Movatterモバイル変換


[0]ホーム

URL:


CN111495322A - Rambutan peel modified charcoal and preparation method and application thereof - Google Patents

Rambutan peel modified charcoal and preparation method and application thereof
Download PDF

Info

Publication number
CN111495322A
CN111495322ACN202010351122.0ACN202010351122ACN111495322ACN 111495322 ACN111495322 ACN 111495322ACN 202010351122 ACN202010351122 ACN 202010351122ACN 111495322 ACN111495322 ACN 111495322A
Authority
CN
China
Prior art keywords
rambutan
adsorption
modified
peel
biochar
Prior art date
Legal status (The legal status is an assumption and is not a legal conclusion. Google has not performed a legal analysis and makes no representation as to the accuracy of the status listed.)
Pending
Application number
CN202010351122.0A
Other languages
Chinese (zh)
Inventor
张容鹄
冯建成
邓浩
刘建卓
黎吉辉
Current Assignee (The listed assignees may be inaccurate. Google has not performed a legal analysis and makes no representation or warranty as to the accuracy of the list.)
Institute Of Agricultural Product Processing And Design Hainan Academy Of Agricultural Sciences
Original Assignee
Institute Of Agricultural Product Processing And Design Hainan Academy Of Agricultural Sciences
Priority date (The priority date is an assumption and is not a legal conclusion. Google has not performed a legal analysis and makes no representation as to the accuracy of the date listed.)
Filing date
Publication date
Application filed by Institute Of Agricultural Product Processing And Design Hainan Academy Of Agricultural SciencesfiledCriticalInstitute Of Agricultural Product Processing And Design Hainan Academy Of Agricultural Sciences
Priority to CN202010351122.0ApriorityCriticalpatent/CN111495322A/en
Publication of CN111495322ApublicationCriticalpatent/CN111495322A/en
Pendinglegal-statusCriticalCurrent

Links

Images

Classifications

Landscapes

Abstract

The invention belongs to the technical field of waste recycling, and particularly relates to rambutan peel modified charcoal and a preparation method and application thereof. The invention relates to a preparation method of rambutan peel modified charcoal, which comprises the step of adding MgCl2The modification method under the ultrasonic condition is combined with thermal cracking modification, a large number of surface functional groups of the rambutan peel are reserved, other oxygen-containing groups and pore channels are introduced, and an MgO coating is embedded in the pore channels. The adsorption capacity of the rambutan peel modified charcoal prepared by the method is obviously enhanced, and the rambutan peel modified charcoal has a good adsorption effect on various cationic dyes.

Description

Rambutan peel modified charcoal and preparation method and application thereof
Technical Field
The invention belongs to the technical field of waste recycling, and particularly relates to rambutan peel modified charcoal and a preparation method and application thereof.
Background
The dye industry plays an important role in national economy, and products of the dye industry cover various fields such as textile, printing ink, coating, rubber, leather, medicine, food and the like. Methylene Blue (MB), malachite green, crystal violet, rhodamine and other cationic dyes are used as common dyes in the printing and dyeing industry and are widely applied to the industries of textile, printing, leather, paper making and the like. Because a plurality of chemicals which are harmful to human bodies and the environment are adopted in the dyeing process of the cationic dye, waste water, waste gas and other wastes generated in the dyeing process must be treated before being discharged.
The biochar is a carbon-rich substance obtained by cracking biomass under the anoxic or anaerobic condition, has the characteristics of rich surface functional groups, high carbon content, multiple pore structures and the like, and is expected to be used as a novel adsorbent for adsorbing cationic dyes instead of activated carbon.
Rambutan (nephium lappaceum L.) is an evergreen arbor of the genus nephridae, is also a famous tropical rare fruit, is originally produced in malaysia and indonesia, and is widely distributed in asia areas such as thailand, burma, india, vietnam, singapore and the like at present in 1960, the research institute of the tropical crops in south-hai province is introduced from malaysia for pilot planting, and China starts to popularize and plant in a large scale in 1995, currently, the planting area is nearly 2 ten thousand acres, the planting area is mainly concentrated in the areas such as the county and the city of west-san city in south-hai province, and the rambutan peel is a byproduct with extremely low economic benefit, is mostly discarded, and is not fully utilized.
Disclosure of Invention
The invention aims to overcome the defects in the prior art and provides rambutan peel modified charcoal and a preparation method and application thereof.
The technical scheme of the invention is realized as follows:
a preparation method of rambutan peel modified charcoal comprises the following steps:
(1) drying and crushing the rambutan peel to obtain rambutan peel powder;
(2) putting the rambutan peel powder into a magnesium chloride aqueous solution, mixing, performing ultrasonic treatment, and removing water from the mixed solution to obtain rambutan peel modified powder;
(3) and carrying out thermal cracking on the rambutan peel modified powder, cooling, washing and drying to obtain the rambutan peel modified charcoal.
Further, in the step (1), the rambutan peel is dried at 50-70 ℃ after being cleaned, and is sieved by a 60-mesh sieve after being crushed.
Further, in the step (2), MgCl is added to the magnesium chloride aqueous solution2·6H2The content of O is 50 g/L, and 50g of rambutan peel powder is added into L per 1000m of magnesium chloride aqueous solution.
Further, the ultrasonic treatment condition is ultrasonic treatment for 2h at 25000 Hz.
Further, in the step (2), the moisture is removed by drying at 70-80 ℃.
Further, in the step (3), the pyrolysis conditions are as follows: heating at the speed of 5 ℃/min under the nitrogen atmosphere, and carrying out thermal cracking for 1h at the constant temperature of 200-400 ℃.
Further, in the step (3), after cooling to 15-30 ℃, washing with deionized water until the filtrate is colorless.
The rambutan peel modified charcoal is prepared by the preparation method.
The application of the rambutan pericarp modified charcoal prepared by the preparation method in dye adsorption.
Further, the dye is a cationic dye.
Further, the cationic dye is methylene blue, T safranine, malachite green, crystal violet and/or rhodamine B.
Further, in the application shown, the rambutan peel modified charcoal is used under neutral or alkaline conditions.
Has the advantages that:
the invention relates to a preparation method of rambutan peel modified charcoal, which comprises the step of adding MgCl2The modification method under the ultrasonic condition is combined with thermal cracking modification, a large number of surface functional groups of the rambutan peel are reserved, other oxygen-containing groups and pore channels are introduced, and an MgO coating is embedded in the pore channels.
Adsorption experiments on other cationic dyes prove that the erysipelas peel modified charcoal prepared by the method has a good adsorption effect on the cationic dyes generally.
Drawings
FIG. 1 is a methylene blue standard curve;
FIG. 2 is a comparison of the surface morphology of MBC-300 and BC-300, wherein (a) MBC-300; (b) BC-300;
FIG. 3 is a comparison of MBC-300 and BC-300 infrared spectra, wherein (a) MBC-300; (b) BC-300;
FIG. 4 is Zeta potentials for MBC and BC at different pH values;
FIG. 5 is a graph of the adsorption amounts of samples at different pyrolysis temperatures;
FIG. 6 is a graph showing the effect of pH on methylene blue adsorption performance;
FIG. 7 is the effect of adsorption time on MB adsorption performance;
FIG. 8 is a quasi-first order kinetic fit of MBC-300 to MB adsorption;
FIG. 9 is a quasi-first order kinetic fit of BC-300 to MB adsorption;
FIG. 10 is a quasi-second order kinetic fit of MBC-300 to MB adsorption;
FIG. 11 is a quasi-second order kinetic fit of BC-300 to MB adsorption;
FIG. 12 is a graph showing the effect of initial MB concentration on the adsorption capacity of different adsorbent materials;
FIG. 13 is an L angmuir fit of MBC-300 to MB adsorption;
FIG. 14 is an L angmuir fit of BC-300 to MB adsorption;
FIG. 15 is a Freundlich fit of MBC-300 to MB adsorption;
FIG. 16 is a Freundlich fit of BC-300 to MB adsorption;
FIG. 17 is a T safranine standard curve;
FIG. 18 is a malachite green standard curve;
FIG. 19 is a crystal violet standard curve;
FIG. 20 is a rhodamine B standard curve;
FIG. 21 shows the adsorption effect of different cationic dyes.
Detailed Description
The invention will be better understood from the following description of specific embodiments with reference to the accompanying drawings. The examples do not specify particular techniques or conditions, and are performed according to the techniques or conditions described in the literature in the art or according to the product specifications.
In the following examples, rambutan was purchased from Hainan Baotion Li nationality Miao county. All chemicals include HCl, NaOH, MgCl2MB (1200 mg/L) was prepared and diluted to the desired concentration (25-1200 mg/L). 2 mol/L HCl or NaOH solution to adjust the pH of the solution.
Example 1
Preparation of rambutan pericarp modified charcoal (MBC)
Washing the rambutan peel with tap water, drying at 50-70 deg.C, cutting into small pieces, pulverizing, and sieving with 60 mesh sieve to obtain rambutan peel powder. 50g of MgCl were taken2·6H2Dissolving O (analytically pure) in a 1L beaker by adding 1000m of L ultrapure water, adding 50g of the erysipelas peel powder into a magnesium chloride solution, carrying out ultrasonic treatment for 2h at 25000Hz, drying the obtained mixed solution in an oven at 70-80 ℃ to obtain erysipelas peel modified powder, adding the obtained erysipelas peel modified powder into a ceramic crucible, and placing the ceramic crucible into a vacuum tube furnace (QSH-VGF-RTF-1700T, Quanshuo, Shanghai) for thermal cracking to prepare the erysipelas peel modified biochar, wherein the thermal cracking conditions are that the heating is carried out at the speed of 5 ℃/min to 200 ℃ in a nitrogen atmosphere, and the thermal cracking is carried out at the constant temperature of 200 ℃ for 1 h.Then cooled to room temperature and the sample was washed with deionized water until the filtrate was colorless. And then drying at 60 ℃ to obtain the modified biochar (MBC-200). The same method is used to prepare the modified biochar (MBC-300, MBC-400, MBC-500 and MBC-600) with the thermal cracking temperature of 300 ℃, 400 ℃, 500 ℃ and 600 ℃. The dried modified biochar was ground to a powder (no apparent lumpy solids) for more complete contact with the wastewater.
Example 2
Preparation of rambutan pericarp modified charcoal (BBC)
Washing the rambutan peel with tap water, drying at 50-70 deg.C, cutting into small pieces, pulverizing, and sieving with 60 mesh sieve to obtain rambutan peel powder. 50g of MgCl were taken2·6H2Dissolving O (analytically pure) in a 1L beaker by adding 1000m of L ultrapure water, adding 50g of the erysipelas peel powder into a magnesium chloride solution, soaking for 2h, drying the obtained mixed solution in an oven at 70-80 ℃ to obtain erysipelas peel modified powder, adding the obtained erysipelas peel modified powder into a ceramic crucible, placing the ceramic crucible into a vacuum tube furnace (QSH-VGF-RTF-1700T, Quanshu, Shanghai) for thermal cracking to prepare the erysipelas peel modified biochar, wherein the thermal cracking conditions are that the erysipelas peel modified biochar is heated to 300 ℃ at the rate of 5 ℃/min under the nitrogen atmosphere, the temperature is constant for 1h at 200 ℃ for thermal cracking, then the temperature is cooled to room temperature, the sample is washed by deionized water until the filtrate is colorless, then the sample is dried at 60 ℃ to obtain the erysipelas peel modified biochar (BBC-200), the thermal cracking temperature is respectively 300 ℃, 400 ℃, 600 ℃ modified biochar (BBC-300, BBC-400, BBC-500 ℃ and BBC-500 ℃ for standby, BBC-500 ℃ for drying, and the block-shaped biochar powder (BBC-200) is ground into.
Example 3
Preparation of rambutan pericarp modified charcoal (PBC)
Washing the rambutan peel with tap water, drying at 50-70 deg.C, cutting into small pieces, pulverizing, and sieving with 60 mesh sieve to obtain rambutan peel powder. And putting the obtained rambutan peel powder into a vacuum tube furnace (QSH-VGF-RTF-1700T, Quanshuo, Shanghai) for thermal cracking to prepare the rambutan peel modified charcoal. Conditions of thermal crackingComprises the following steps: heating to 200 deg.C at a rate of 5 deg.C/min under nitrogen atmosphere, and performing thermal cracking at 300 deg.C for 1 h. Then cooled to room temperature and the sample was washed with deionized water until the filtrate was colorless. And then drying at 60 ℃ to obtain the rambutan pericarp biochar. 50g of MgCl were taken2·6H2Dissolving O (analytically pure) in a 1L beaker by adding 1000m of L ultrapure water, adding 50g of the rambutan pericarp biochar into a magnesium chloride solution, soaking for 2h, drying the obtained mixed solution in an oven at 70-80 ℃, cleaning to obtain rambutan pericarp modified biochar (PBC-300), preparing the modified biochar (PBC-300, PBC-400, PBC-500 and PBC-600) with thermal cracking temperatures of 300 ℃, 400 ℃, 500 ℃ and 600 ℃ respectively by the same method, and grinding the dried modified biochar into powder (without obvious blocky solids) for later use.
Comparison of adsorption effects of biochar prepared by different modification methods
(1) Preparation of rambutan pericarp biochar
The rambutan peel powder prepared in example 1 was put into a ceramic crucible and placed in a vacuum tube furnace (QSH-VGF-RTF-1700T, Quanshuo, Shanghai) for thermal cracking to prepare rambutan biochar. Heating to 200 deg.C at a rate of 5 deg.C/min under nitrogen atmosphere, and performing thermal cracking at 200 deg.C for 1 h. Then cooled to room temperature and the sample was washed with deionized water until the filtrate was colorless. Drying at 60 deg.C to obtain rambutan peel biochar (BC-200). Biochar (BC-300, BC-400, BC-500, BC-600) was prepared in the same manner at 300 deg.C, 400 deg.C, 500 deg.C, 600 deg.C. The dried biochar was ground to a powder (no apparent lumpy solids) for use.
(2) Batch adsorption experiment
2.1 Standard Curve transfer of a certain amount of methylene blue stock solution (1000 mg/L) to prepare a series of standard solutions with mass concentrations of 0, 1, 2, 3, 4 and 5 mg/L at lambdamaxThe absorbance was measured at 665nm and a standard curve was plotted (see fig. 1). The regression equation is: y 0.2484x + 0.0137. R2 ═ 0.999, where y is the absorbance (Abs) and x is the mass concentration C of methylene blueb(mg/L)。
2.2 methods of measurement
20mg of the sample and 40m of L MB of the aqueous solution were put into a conical flask sealed with a rubber stopper, and the resulting mixture was shaken at a fixed temperature in a constant-temperature rotary shaker for a desired time at 180r/min, then the solid was filtered off, and the absorbance thereof was measured at 665nm wavelength with an ultraviolet spectrophotometer, and the adsorption amount (mg/g) was calculated as follows:
q=(c0-ce)V/M(1)
in the formula c0(mg/L) -initial mass concentration of MB solution,
ce(mg/L) -mass concentration at adsorption equilibrium of the MB solution,
v (L) -MB solution volume
M (g) -mass of sample
2.3 the adsorption effect of the biochar prepared and modified by different pyrolysis temperatures is explored.
BC-200, BC-300, BC-400, BC-500, BC-600, MBC-200, MBC-300, MBC-400, MBC-500, MBC-600 samples were taken from 3 groups each, and 400 mg/L MB solution was adsorbed for 24 hours at 25 ℃ under 180 r/min.
2.4 influence of solution pH on the adsorption effect of charcoal.
100 mg/L MB solution is taken, the pH value of the solution is adjusted to 3, 4, 5, 6, 7, 8, 9 and 10, and the adsorption experiment is carried out at 25 ℃ by using BC-300 and MBC-300 as adsorbents.
2.5 adsorption kinetics study
Adsorption experiments were performed at 50 mg/L, 100 mg/L, 150 mg/L MB solutions at 25 ℃ for different time intervals (1, 2, 4, 7, 11, 16, 22, 29, 37, 48h) at BC-30025 ℃ and adsorption experiments were performed at 300 mg/L, 400 mg/L, 500 mg/L MB solutions at 25 ℃ for different time intervals (1, 2, 4, 7, 11, 16, 22, 29, 37, 48h) at BC-30025 ℃.
2.6 adsorption isotherms and thermodynamic studies
In the isothermal adsorption experiment, 25, 50, 75, 100, 150, 200, 250, 300 and 400 mg/L MB solutions are used for carrying out adsorption experiments at different temperatures by BC-300, wherein the adsorption time is 72 hours, the temperatures are respectively 15 ℃, 25 ℃, 35 ℃ and 45 ℃, in the isothermal adsorption experiment, 300, 350, 400, 450, 500, 600, 700, 800, 1000 and 1200 mg/L MB solutions are used for carrying out adsorption experiments at different temperatures by MBC-300 as an adsorbent, the adsorption time is 72 hours, and the temperatures are respectively 15 ℃, 25 ℃, 35 ℃ and 45 ℃.
2.7 characterization
Surface area and pore structure were measured on a surface area and porosity analyzer (ASAP 2460 analyzer Micromeritics, USA). The biochar was degassed in vacuo and passed through N at 77K2And (5) performing characterization by adsorption. The surface area was calculated by the Brunauer-Emmett-Teller (BET) method. The biochar particle size was analyzed by a particle size analyzer (Mastersizer2000, Malvern, UK). Zeta Potential (ZP) was recorded on a Zeta potential analyzer (Zetasizer NANO ZS, Malvern, UK) in water at pH 4.0 to 10.0, with pH adjusted by NaOH or HCl solution and determined by pH test strips. The surface morphology was observed with a Scanning Electron Microscope (SEM) instrument (SU1510, Hitachi, Japan). The functional groups were analyzed by Fourier Transform Infrared (FTIR) spectrometer (Bruker Tensor 27). Powdered biochar was mixed with KBr at a ratio of 1:500wt, tabletted and recorded at 400-4000cm-1In the meantime. The total elemental composition including C, O, N, H and S was measured by an elemental analyzer (Thermo Scientific Flash 2000CHNS/O, America). The Mg content was analyzed by Inductively Coupled Plasma (ICP) elemental analyzer (Agilent ICPOES 730, USA).
(3) Results and analysis
3.1 characterization
3.1.1 SEM characterization
FIG. 2 is the surface morphology of MBC-300 and BC-300 under SEM magnification of 14500 times. As can be seen from fig. 2 (a): the MBC-300 pore channel is dredged well, the light-color small-block-shaped solid embedded in the pore channel is MgO particles, the MgO particles are well embedded on the surface of the biochar, and the BC-300 in the figure 2(b) has a flat surface and the pore channel is blocked. From the surface structure, MBC-300 is significantly more readily adsorbed than BC-300, indicating that the modification was successfully achieved.
3.1.2 BET analysis
TABLE 1 Physics and Chemicals parameters of rambutan pericarp biochar and modified biochar
Figure BDA0002471856720000071
As shown in Table 1, the pore diameter, the pore volume and the specific surface area of the MBC-300 are far larger than those of the BC-300; while the average particle size of MBC-300 biochar is significantly smaller than BC-300, which may be due to Mg filling into the pores or pore collapse, which is advantageous for adsorption. The BET analysis results showed that the physical properties of rambutan pericarp modified biochar were improved by modification with magnesium chloride under ultrasound.
3.1.3 elemental analysis
TABLE 2 element contents of rambutan pericarp biochar and modified biochar thereof
Figure BDA0002471856720000072
As shown in Table 2, both MBC-300 and BC-300 are composed of C, O, H, N and S elements. MBC has a lower C, N content than BC; and H, O is higher than BC. The content of O in the product is increased from 21.63% to 33.11%, the content is obviously increased, and the increase of oxygen-containing groups is favorable for the adsorption of cations. Through modification of magnesium chloride ultrasound, an Mg element is introduced into the MBC-300, and the Mg element can be attributed to MgO coated on the surface of the MCB.
3.1.4 Infrared analysis
As shown in FIG. 3, both MBC-300 and BC-300 are 3550-3400cm-1、2930-2920cm-1、1640-1540cm-1、1450-1340cm-1And 1320-1210cm-1Absorption peaks are shown in the positions corresponding to O-H bonds in-OH, C-O stretching of methyl, carbonyl, carboxyl and carboxylic acids and O-H in-plane bending vibration respectively, which indicates that the biochar contains a large number of organic functional groups. After modification, the magnesium modified biochar is increased by 2364.27cm compared with the original biochar-1、1567.99cm-1、1120~1030cm-1And 1075 and 1000cm-1The absorption peaks corresponding to carbon-carbon triple bond, carbonyl and hydroxyl respectively show that the number of functional groups of carbonyl and hydroxyl in the magnesium modified biochar is increased, and the increase of oxygen-containing groups is beneficial to adsorption.
3.1.5 Zeta potential analysis
As shown in FIG. 4, the Zeta potential of MBC-300 and BC is negative betweenpH 4 andpH 10, and the negative value increases with increasing pH, and the Zeta potential of BC-300 is always higher than that of MBC. This means that MBC-300 has more negative surface charge. This is probably due to the introduction of other oxygen-containing species groups and the bonding of MgOX to the surface of MBC-300. The generally negatively charged surface facilitates the adsorption of cations by electrostatic interactions[20]
3.2 Effect of adsorption conditions
3.2.1 adsorption Effect of different samples
As shown in FIG. 5, the adsorption effect of MBC is significantly better than that of BC at the same thermal cracking temperature, wherein the adsorption effect of MBC-300 is significantly optimal at 300 ℃, and BC-300 and MBC-300 are used as the control samples in the following experiments.
3.2.2 adsorption experiments at different pH
As shown in FIG. 6, the equilibrium adsorption capacity of the two biochar to methylene blue is similar to the change rule of pH, both of the biochar and the methylene blue increase with the increase of the pH value, and the adsorption capacity of MBC-300 is far higher than that of BC-300. MB is a cationic dye, and at lower pH, more H is present in solution+It competes with methylene blue cation for active adsorption sites on the surface of the charcoal, thus resulting in a decrease in the amount of adsorption.
pH is an important parameter affecting the adsorption capacity of biochar to MB, as it affects the surface charge and functional group ionic state of biochar and the ionization degree of MB. The adsorption efficiency of BC and MBC increased with increasing pH (fig. 6), which is consistent with the law of increasing surface negative charge (fig. 4). Although the adsorption amount of BC and MBC is larger under alkaline condition, the amplification is not much compared with the adsorption amount under neutral condition, and the dye waste water of MB is not too high in concentration generally, so that the dye waste water is more close to neutral, and the subsequent experiments are all selected to be carried out under the condition ofpH 7 in consideration of practical application.
3.2.3 kinetic experiments
Since the kinetic progress of the adsorption reaction is closely related to the contact time, the experiment investigated the change law of the adsorption amount of two samples to MB with time, as shown in fig. 7. Obviously, the adsorption rate of MBC and BC on MB is increased gradually with the increase of time, the adsorption of MB is nearly balanced in 48h, the equilibrium adsorption capacity of MBC is far greater than that of BC, and the adsorption capacity of MBC and BC is increased with the increase of MB concentration. We fit the experimental data with quasi-primary and quasi-secondary kinetic models, respectively.
A quasi-first order kinetic model:
ln(Qe-Qt)=ln Qe-k1t
a quasi-second order kinetic model:
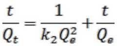
Figure BDA0002471856720000091
wherein t is adsorption time (min), QtThe amount of adsorption at time t (mg. g)-1),k1(min-1) And k2(g·mg-1min-1) Are respectively a quasi-first and a quasi-second adsorption rate constant, QeTo balance the adsorption amount (mg. g)-1). The quasi-first and second order kinetic fits for MB adsorption are shown in FIGS. 8-11, with relevant parameters listed in Table 3.
TABLE 3 kinetic fitting parameters
Figure BDA0002471856720000092
From Table 3, it can be seen that the regression coefficients R of MBC-300 and BC-300 were fitted with quasi-second order kinetics2The quasi first-order power fitting is closer to 1, and the expected equilibrium adsorption quantity QeAlso with the experimentally obtained QmaxMore closely, the quasi-first order kinetic model fits with poorer results. Indicating that the quasi-second order fit is more consistent with the adsorption process. It was shown that adsorption of MB by MBC-300 and BC-300 is dominated by chemisorption.
3.2.4 thermodynamic experiments
FIG. 12 is an adsorption isotherm of MBC-300 and BC-300, with the abscissa being the concentration of the MB solution and the ordinate being the equilibrium adsorption capacity at different temperatures for that concentration, it is clear that the equilibrium adsorption value of the sample to MB gradually increases with increasing concentration and eventually reaches a saturation value, the maximum equilibrium adsorption capacity of MBC-300 and BC-300 both increases with increasing temperature due to the opening of the porous structure at high temperature, wherein the maximum equilibrium adsorption capacity of MBC-300 does not change much with temperature, demonstrating the better adsorption effect of modified biochar MBC-300 at different temperatures, and the thermodynamic fit of L angmuir and Freundlich is performed for MB adsorption below.
The L angmuir model equation can be expressed as:
Figure BDA0002471856720000101
the Freundlich model equation can be expressed as:
Figure BDA0002471856720000102
in the formula, CeMass concentration of residual MB in solution after equilibration for adsorption (mg L)-1),QeAdsorption amount of MB onto the adsorbent (mg g) after equilibrium for adsorption-1),QmaxTo theoretically saturate the adsorption capacity (mg. g)-1),KLIs adsorption equilibrium constant (L. mg)-1)。KFFreundlich constant (mg)1-n·Ln·g-1) And n represents the degree of adsorption dependent on the equilibrium concentration.
The thermodynamic fit of L angmuir and Freundlich to MB adsorption is shown in fig. 13-16, with relevant parameters in table 4.
TABLE 4 thermodynamic fitting parameters
Figure BDA0002471856720000103
Figure BDA0002471856720000111
As can be seen from Table 4, the fitting parameter was higher in the L angMuir model than in the Freundlich model, and the maximum equilibrium adsorption Q was fittedmaxValue and experimentally determined Qe,maxClose to each other, so that the adsorption process of MB can be better described, and the maximum adsorption quantity of MBC-300 reaches about 850mg/g, which is higher than the adsorption value of the biochar reported by most of documents and patents, the high fitness of L angmuir model indicates that the adsorption of MB-300 and BC-300 belongs to single-layer adsorption.
3.3 comparison of the adsorption amounts of the samples of different examples
TABLE 5 comparison of the adsorption amounts of the samples of the different examples
Figure BDA0002471856720000112
As shown in Table 5, the adsorption capacity of the biochar MBC modified by the method in example 1 is obviously better than that of BBC and PBC modified by the methods in examples 2 and 3, the maximum adsorption capacity of MBC-300 reaches 683.756mg/g, and the BBC-300 and PBC-300 with the maximum adsorption capacities in examples 2 and 3 only have 604.046mg/g and 445.370mg/g respectively. Namely, the modification method of firstly soaking by ultrasonic magnesium chloride and then thermally cracking is superior to the modification method of directly soaking by magnesium chloride and then thermally cracking and firstly thermally cracking and then soaking by ultrasonic magnesium chloride.
3.4 adsorption Properties for other cationic dyes
Referring to the drawing method of the methylene blue standard curve, adsorption standard curves of different cationic dyes are respectively drawn, as shown in FIGS. 17 to 20. The adsorption amounts of different cationic dyes by MBC-300 and BC-300 were measured under adsorption conditions of 25 ℃, 180r/min and 48h, respectively, and the results are shown in FIG. 21.
As shown in FIG. 14, MBC-300 has good adsorption effect on different cationic dyes, and the adsorption amount is obviously better than that of BC-300, and the specific data are shown in the following table.
TABLE 6 adsorption Effect of biochar on different cationic dyes
Figure BDA0002471856720000121
The adsorption capacity of BC-300 to the rest of cations is small, especially the adsorption capacity to T safranine and rhodamine B is almost zero, and is only 3.509mg/g and 2.249mg/g, which is difficult to be observed in FIG. 14. In addition to the good adsorption effect of the MBC-300 on various cationic dyes, the MBC-200 and MBC-400 have good adsorption capacity on various cationic dyes, and the adsorption capacity of the MBC-400 on the malachite green reaches 694.913mg/g, which is better than that of the MBC-300.
The embodiments of the present invention have been described in detail, but the embodiments are merely examples, and the present invention is not limited to the embodiments described above. Any equivalent modifications and substitutions to those skilled in the art are also within the scope of the present invention. Accordingly, equivalent changes and modifications made without departing from the spirit and scope of the present invention should be covered by the present invention.

Claims (10)

1. A preparation method of rambutan peel modified charcoal is characterized by comprising the following steps:
(1) drying and crushing the rambutan peel to obtain rambutan peel powder;
(2) putting the rambutan peel powder into a magnesium chloride aqueous solution, mixing, performing ultrasonic treatment, and removing water from the mixed solution to obtain rambutan peel modified powder;
(3) and carrying out thermal cracking on the rambutan peel modified powder, cooling, washing and drying to obtain the rambutan peel modified charcoal.
2. The method for preparing rambutan pericarp modified biochar as claimed in claim 1, wherein in step (1), rambutan pericarp is washed, dried at 50-70 ℃, pulverized and sieved with a 60-mesh sieve.
3. The method for preparing rambutan pericarp modified biochar as claimed in claim 1, wherein in step (2), MgCl is added to the aqueous solution of magnesium chloride2·6H2The content of O is 50 g/L, 50g of rambutan peel powder is added into L per 1000m of magnesium chloride aqueous solution, and the ultrasonic treatment condition is ultrasonic treatment for 2h at 25000 Hz.
4. The method for preparing the rambutan pericarp modified biochar as claimed in claim 1, wherein in the step (3), the pyrolysis conditions are as follows: heating at the speed of 5 ℃/min under the nitrogen atmosphere, and carrying out thermal cracking for 1h at the constant temperature of 200-400 ℃.
5. The method for preparing rambutan pericarp modified biochar as claimed in claim 1, wherein in the step (2), the moisture is removed by drying at 70-80 ℃; and (3) after cooling to 15-30 ℃, washing with deionized water until the filtrate is colorless.
6. A rambutan pericarp modified charcoal prepared by the preparation method of any one of claims 1-5.
7. The application of the rambutan pericarp modified charcoal in dye adsorption is characterized in that the rambutan modified charcoal is prepared by the preparation method of any one of claims 1-5.
8. The use of claim 6, wherein: the dye is a cationic dye.
9. The use of claim 8, wherein: the cationic dye is methylene blue, T safranine, malachite green, crystal violet and/or rhodamine B.
10. Use according to claim 8 or 9, characterized in that: the rambutan peel modified charcoal is used under neutral or alkaline conditions.
CN202010351122.0A2020-04-282020-04-28Rambutan peel modified charcoal and preparation method and application thereofPendingCN111495322A (en)

Priority Applications (1)

Application NumberPriority DateFiling DateTitle
CN202010351122.0ACN111495322A (en)2020-04-282020-04-28Rambutan peel modified charcoal and preparation method and application thereof

Applications Claiming Priority (1)

Application NumberPriority DateFiling DateTitle
CN202010351122.0ACN111495322A (en)2020-04-282020-04-28Rambutan peel modified charcoal and preparation method and application thereof

Publications (1)

Publication NumberPublication Date
CN111495322Atrue CN111495322A (en)2020-08-07

Family

ID=71849126

Family Applications (1)

Application NumberTitlePriority DateFiling Date
CN202010351122.0APendingCN111495322A (en)2020-04-282020-04-28Rambutan peel modified charcoal and preparation method and application thereof

Country Status (1)

CountryLink
CN (1)CN111495322A (en)

Citations (10)

* Cited by examiner, † Cited by third party
Publication numberPriority datePublication dateAssigneeTitle
CA2821909A1 (en)*2012-07-272014-01-27Carbon Basis Company Ltd.Biochar products and method of manufacture thereof
CN104258812A (en)*2014-10-242015-01-07江苏省农业科学院Metal element improved biochar-based nitrate radical adsorbent and preparation method thereof
CN104724703A (en)*2015-03-202015-06-24福州大学Method for preparing adsorptive activated carbon from Musaceae plants
CN106010601A (en)*2016-06-012016-10-12湖南农业大学Biochar prepared from banana peel, preparation method and application thereof
CN106607007A (en)*2015-10-202017-05-03北京林业大学Preparation method for MgO loaded china-hemp stalk activated carbon
CN106669603A (en)*2016-12-072017-05-17广东工业大学Preparation method and application of magnesium oxide-rice husk biological carbon composite material
CN108786738A (en)*2018-07-032018-11-13西北农林科技大学A kind of magnesium salts modification biological charcoal and its application
CN110756166A (en)*2019-12-032020-02-07四川农业大学 A kind of corncob loaded magnesium modified adsorption material and preparation method and application thereof
CN111054306A (en)*2019-11-192020-04-24南京师范大学Modified biochar and preparation method and application method thereof
CN111054307A (en)*2019-11-282020-04-24海南大学Modified pepper stem adsorbing material and preparation method and application thereof

Patent Citations (10)

* Cited by examiner, † Cited by third party
Publication numberPriority datePublication dateAssigneeTitle
CA2821909A1 (en)*2012-07-272014-01-27Carbon Basis Company Ltd.Biochar products and method of manufacture thereof
CN104258812A (en)*2014-10-242015-01-07江苏省农业科学院Metal element improved biochar-based nitrate radical adsorbent and preparation method thereof
CN104724703A (en)*2015-03-202015-06-24福州大学Method for preparing adsorptive activated carbon from Musaceae plants
CN106607007A (en)*2015-10-202017-05-03北京林业大学Preparation method for MgO loaded china-hemp stalk activated carbon
CN106010601A (en)*2016-06-012016-10-12湖南农业大学Biochar prepared from banana peel, preparation method and application thereof
CN106669603A (en)*2016-12-072017-05-17广东工业大学Preparation method and application of magnesium oxide-rice husk biological carbon composite material
CN108786738A (en)*2018-07-032018-11-13西北农林科技大学A kind of magnesium salts modification biological charcoal and its application
CN111054306A (en)*2019-11-192020-04-24南京师范大学Modified biochar and preparation method and application method thereof
CN111054307A (en)*2019-11-282020-04-24海南大学Modified pepper stem adsorbing material and preparation method and application thereof
CN110756166A (en)*2019-12-032020-02-07四川农业大学 A kind of corncob loaded magnesium modified adsorption material and preparation method and application thereof

Non-Patent Citations (2)

* Cited by examiner, † Cited by third party
Title
徐祺等: ""超声改性生物炭对染料废水的吸附特性"", 《水处理技术》*
马志豪等: ""果皮在水处理中应用的研究进展"", 《辽宁化工》*

Similar Documents

PublicationPublication DateTitle
Lim et al.Artocarpus odoratissimus skin as a potential low-cost biosorbent for the removal of methylene blue and methyl violet 2B
Reddy et al.A comparison of microstructure and adsorption characteristics of activated carbons by CO2 and H3PO4 activation from date palm pits
Kan et al.Preparation and characterization of activated carbons from waste tea by H3PO4 activation in different atmospheres for oxytetracycline removal
Jothirani et al.Ultrasonic modified corn pith for the sequestration of dye from aqueous solution
Han et al.Removal of methylene blue from aqueous solution using porous biochar obtained by KOH activation of peanut shell biochar
Deng et al.Preparation and characterization of activated carbon from cotton stalk by microwave assisted chemical activation—application in methylene blue adsorption from aqueous solution
Bardhan et al.Adsorption of methylene blue onto betel nut husk-based activated carbon prepared by sodium hydroxide activation process
Lima et al.Synthesis and characterization of pecan nutshell-based adsorbent with high specific area and high methylene blue adsorption capacity
CN108339522B (en)Amino acid @ Cu-BTC composite adsorbent and preparation method thereof
Li et al.Effect of pyrolytic temperature on the adsorptive removal of p-benzoquinone, tetracycline, and polyvinyl alcohol by the biochars from sugarcane bagasse
Ahmad et al.Organic dye adsorption on activated carbon derived from solid waste
CN103406105B (en)A kind of modified abandoned tealeaf residue adsorbent, preparation method and application
Uzunoğlu et al.Adsorption of Acid Blue 121 dye on fish (Dicentrarchus labrax) scales, the extracted from fish scales and commercial hydroxyapatite: equilibrium, kinetic, thermodynamic, and characterization studies
CN110589821B (en) A kind of porous biochar derived from cattail, its preparation method and application
Mahmoudi et al.Preparation and characterization of activated carbon from date pits by chemical activation with zinc chloride for methyl orange adsorption
CN109967033A (en) A kind of modified rice husk biomass carbon and preparation method thereof
Kong et al.Kinetic and equilibrium studies of the biosorption of sunset yellow dye by alligator weed activated carbon
Durairaj et al.Novel synthesis of Chrysanthemum indicum flower as an adsorbent for the removal of direct Congo red from aqueous solution
Azmi et al.Preparation of activated carbon using sea mango (Cerbera odollam) with microwave-assisted technique for the removal of methyl orange from textile wastewater
Yu et al.Single and bicomponent anionic dyes adsorption equilibrium studies on magnolia-leaf-based porous carbons
Dong et al.Activated carbon prepared from semi-coke as an effective adsorbent for dyes
Sukmana et al.Utilization of rice husks as effective bioadsorbents for methylene blue removal from wastewater: characterization, adsorption performance, and regeneration studies
CN117191536A (en)Application of magnetic biochar material as purifying agent in QuEChERS pretreatment method
CN111495322A (en)Rambutan peel modified charcoal and preparation method and application thereof
Liu et al.A comparison of the influence of flocculent and granular structure of sludge on activated carbon: preparation, characterization and application

Legal Events

DateCodeTitleDescription
PB01Publication
PB01Publication
SE01Entry into force of request for substantive examination
SE01Entry into force of request for substantive examination

[8]ページ先頭

©2009-2025 Movatter.jp