Movatterモバイル変換


[0]ホーム

URL:


CN111487321A - Full-focusing imaging method for improving focusing energy based on ultrasonic reflection - Google Patents

Full-focusing imaging method for improving focusing energy based on ultrasonic reflection
Download PDF

Info

Publication number
CN111487321A
CN111487321ACN202010289914.XACN202010289914ACN111487321ACN 111487321 ACN111487321 ACN 111487321ACN 202010289914 ACN202010289914 ACN 202010289914ACN 111487321 ACN111487321 ACN 111487321A
Authority
CN
China
Prior art keywords
ultrasonic
imaging
array
array element
full
Prior art date
Legal status (The legal status is an assumption and is not a legal conclusion. Google has not performed a legal analysis and makes no representation as to the accuracy of the status listed.)
Pending
Application number
CN202010289914.XA
Other languages
Chinese (zh)
Inventor
蔡庆生
韩松
李振宁
Current Assignee (The listed assignees may be inaccurate. Google has not performed a legal analysis and makes no representation or warranty as to the accuracy of the list.)
Guangzhou Duopule Electronic Technology Co ltd
Original Assignee
Guangzhou Duopule Electronic Technology Co ltd
Priority date (The priority date is an assumption and is not a legal conclusion. Google has not performed a legal analysis and makes no representation as to the accuracy of the date listed.)
Filing date
Publication date
Application filed by Guangzhou Duopule Electronic Technology Co ltdfiledCriticalGuangzhou Duopule Electronic Technology Co ltd
Priority to CN202010289914.XApriorityCriticalpatent/CN111487321A/en
Publication of CN111487321ApublicationCriticalpatent/CN111487321A/en
Pendinglegal-statusCriticalCurrent

Links

Images

Classifications

Landscapes

Abstract

The invention discloses a full-focus imaging method for improving focusing energy based on ultrasonic reflection, which is characterized in that a plurality of imaging points are divided in an array in a workpiece to be measured, aiming at any imaging point b, the amplitude values of ultrasonic echo signal intensities of a transmitting array element k and a receiving array element h at the time of delay time t are set as I (k, b, h, t), and the amplitude values of the ultrasonic echo signal intensities of the transmitting array element k and the receiving array element h are set as follows:
Figure DDA0002450019410000011
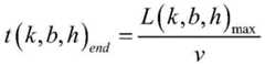
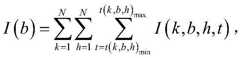
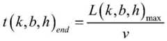
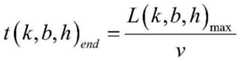
wherein, t (k, b, h)minAiming at an imaging point b, the delay time corresponding to the shortest sound path between a transmitting array element k and a receiving array element h; t (k, b, h)endIs a needleFor an imaging point b, transmitting the delay cut-off time of the ultrasonic echo signals of the array element k and the receiving array element h; aiming at an imaging point b, sequentially exciting N array elements of an ultrasonic array probe to transmit ultrasonic signals, wherein the amplitude I (b) of the total signal intensity of the obtained ultrasonic echo is as follows:
Figure DDA0002450019410000012
converting the amplitude I (b) into imaging gray scale to obtain the imaging gray scale value of an imaging point b; and finishing the measurement of the imaging gray values of all the imaging points in the workpiece to be measured to obtain the ultrasonic full-focus imaging image.

Description

Full-focusing imaging method for improving focusing energy based on ultrasonic reflection
Technical Field
The invention belongs to the technical field of ultrasonic nondestructive testing, and particularly relates to a full-focus imaging method for improving focus energy based on ultrasonic reflection.
Background
For ultrasonic detection of long and thin workpieces such as bolts and the like, point-by-point scanning detection technology, ultrasonic phased array detection technology and ultrasonic full-focus imaging technology are mainly adopted at present by adopting a single crystal straight probe or a small-angle longitudinal wave inclined probe on the end face and the cylindrical surface of the bolt.
The ultrasonic phased array detection technology is a common method in the field of industrial nondestructive detection, and the phased array technology has the advantages of rapidness, accuracy, strong adaptability and the like, so that the ultrasonic phased array detection technology is widely applied to actual ultrasonic detection. Because the ultrasonic phased array can only carry out single-point real-time focusing, the imaging resolution and accuracy are limited, and the ultrasonic phased array is gradually replaced by an ultrasonic full-focusing imaging technology in recent years. The ultrasonic full-focus imaging technology can overcome the defects of the phased array technology by acquiring full-matrix echo data of any point in a detected area and performing virtual focusing. By comparing the synthetic aperture focused ultrasound imaging method, the imaging effect of the ultrasonic full-focus imaging technology is better.
The ultrasonic phased array detection technology cannot provide 3D body imaging inside the slender workpiece, and defects of inspectors cannot be identified and judged intuitively and easily; although the existing ultrasonic full-focusing imaging technology can provide internal body imaging of a slender workpiece, the penetrating power of single-vibration-source excitation imaging cannot reach the penetrating depth of more than 1 meter, and the effective detection depth is limited by the effective area of a probe wafer, so that the detection of the slender workpiece with the length of more than 1 meter cannot be realized. That is, the ultrasonic phased array detection technology is far inferior to the ultrasonic full focus imaging technology in terms of imaging resolution and defect recovery, but in terms of detection depth, the phased array is in a multi-array element participating transmission form, while the full focus technology is in a single-array element transmission form, so the detection depth of the phased array technology exceeds the ultrasonic full focus imaging technology.
In the existing ultrasonic full-focusing imaging technology, after one array element is excited each time, all the array elements collect the reflection energy of the direct sound wave of the ultrasonic wave to perform focusing accumulation calculation imaging, N excitation periods are arranged in each frame period, each excitation period is excited by a single array element to generate the ultrasonic wave, and reflection energy data are received through all the array elements, so that the focusing and energy accumulation are performed to complete the calculation imaging. The energy excited by a single array element adopted by the ultrasonic full-focusing imaging technology is much lower than the energy excited by a plurality of array elements adopted by the ultrasonic phased array detection technology, so that the penetration depth of the detection ultrasonic wave in the detected material is relatively low; particularly, when the ultrasonic full-focus imaging device is applied to the detection of elongated workpieces such as bolts, the detection depth is very deep, the detection surface area of the end part of the workpiece is small, and the requirements on the detection depth and the penetration force of ultrasonic energy are very high and severe, so that the existing ultrasonic full-focus imaging technology cannot be applied to the detection requirements on the elongated workpieces with high requirements on the detection depth.
Disclosure of Invention
The detection imaging space set by the existing ultrasonic full-focusing imaging technology is a direct sound field model of an open space, the energy of a side wall reflection sound field of a slender workpiece is not considered in the imaging model, only the energy of the direct ultrasonic field is considered for accumulation calculation, if the calculation of the reflection energy of the side wall reflection sound field of a bolt at an imaging point is accumulated in the detection imaging, the signal to noise ratio of defects can be greatly improved, and the detection depth of the ultrasonic full-focusing imaging technology on the slender workpiece is greatly improved.
In view of this, the present invention provides a full-focus imaging method for improving focus energy based on ultrasonic reflection, which can effectively improve detection depth to solve the problem of insufficient detection depth of the existing full-focus imaging method.
In order to achieve the purpose, the invention provides the following technical scheme:
the utility model provides a promote full focus imaging method of focused energy based on supersound reflection, a plurality of imaging points of array division in the work piece of being surveyed, to arbitrary imaging point b, set up the amplitude of the ultrasonic echo signal intensity of emission array element k, receiving array element h at delay time t moment as I (k, b, h, t), then the amplitude I (k, b, h) of the ultrasonic echo signal intensity of emission array element k, receiving array element h is:
Figure BDA0002450019390000021
wherein k is 1,2, 3. N ═ 1,2,3, · N; n is the number of array elements of the ultrasonic array probe;
t(k,b,h)minaiming at an imaging point b, the delay time corresponding to the shortest sound path between a transmitting array element k and a receiving array element h;
t(k,b,h)endfor the imaging point b, the delay cut-off time of the ultrasonic echo signal of the transmitting array element k and the receiving array element h is t (k, b, h)end≥t(k,b,h)min
For an imaging point b and a transmitting array element k, the amplitude I (k, b) of the ultrasonic echo signal intensity received by all array elements of the ultrasonic array probe is as follows:
Figure BDA0002450019390000022
aiming at an imaging point b, sequentially exciting N array elements of an ultrasonic array probe to transmit ultrasonic signals, wherein the amplitude I (b) of the total signal intensity of the obtained ultrasonic echo is as follows:
Figure BDA0002450019390000023
converting the amplitude I (b) of the ultrasonic echo total signal intensity of the imaging point b into imaging gray scale to obtain the imaging gray scale value of the imaging point b;
and finishing the measurement of the imaging gray values of all the imaging points in the workpiece to be measured to obtain the ultrasonic full-focus imaging image.
Further, for imaging point b, the shortest acoustic path between the transmitting array element k and the receiving array element h is L (k, b, h) which is the sum of the straight distances between the transmitting array element k and the receiving array element h, respectively, and the imaging point bminAnd then:
Figure BDA0002450019390000031
wherein v is the transmission rate of the ultrasonic wave in the workpiece to be tested.
Further, t (k, b, h)endFor the longest acoustic path L (k, b, h) between the transmit and receive elements k, h for imaging point bmaxThe corresponding delay time is as follows:
Figure BDA0002450019390000032
or the like, or, alternatively,
t(k,b,h)end=mt(k,b,h)min
wherein m is a coefficient, and m is more than or equal to 1;
or the like, or, alternatively,
if aiming at the imaging point b, the transmitting array element k and the receiving array element h are delayed for time t0The amplitude of the ultrasonic echo signal intensity at the moment is I (k, b, h, t)0) Satisfies the following conditions:
I(k,b,h,t0)=cI(k,b,h,tmin)
then:
t(k,b,h)end=t0
wherein c is a coefficient, and c is more than or equal to 0 and less than or equal to 1.
Further, ultrasonic array probe includes the base plate, be equipped with at least one annular array district on the base plate, all coaxial setting between the annular array district, the array is equipped with the wafer in the annular array district, along the direction of the axial view in annular array district, all the area that the wafer occupies equals.
Further, the number of the annular array areas is at least two, and in two adjacent annular array areas, the diameter of the outer ring of the annular array area positioned on the inner side is equal to the diameter of the inner ring of the annular array area positioned on the outer side.
Furthermore, the center of the substrate is provided with a yielding hole for yielding the surface structure of the workpiece to be detected, and the yielding hole and the annular array area are coaxially arranged.
Further, the workpiece to be measured is a slender workpiece.
Further, the workpiece to be measured is a bolt, a screw or a broach.
The invention has the beneficial effects that:
the invention discloses a full-focusing imaging method for improving focusing energy based on ultrasonic reflection, aiming at any imaging point in a measured workpiece, the ultrasonic wave transmitting principle shows that the ultrasonic wave transmitted by a transmitting array element directly reaches the imaging point and then is reflected to the direct sound field of a receiving array element, and the sound path is shortest, so that the corresponding delay time t (k, b, h)minShortest; the sound path of the reflected sound field after being reflected at least once by the side wall of the workpiece is larger than that of the direct sound field, and the corresponding delay time is called as the extension of the direct sound field; because there are countless reflection paths among the transmitting array element, the imaging point and the receiving array element after being reflected at least once by the side wall of the workpiece, the time delay of the echo signal of the reflected sound field can continuously last for a period of time;
the invention sets the cut-off time t (k, b, h)endThe shortest delay time t (k, b, h) corresponding to the direct sound fieldminWith a cut-off time t (k, b, h)endThe amplitude values of all ultrasonic echo signal intensities in the process of ultrasonic imaging are accumulated, so that echo signals of a direct sound field and echo signals of all reflected sound fields received by the receiving array elements within a set delay time are accumulated in detection imaging, the energy of the echo signals of corresponding imaging points is greatly improved, the detection depth can be effectively improved, and the problem of insufficient detection depth of the existing full-focus imaging method is solved.
Drawings
In order to make the object, technical scheme and beneficial effect of the invention more clear, the invention provides the following drawings for explanation:
FIG. 1 is a diagram showing a positional relationship between an ultrasonic array probe and an elongated workpiece when the elongated workpiece is inspected by using the full focus imaging method for improving focus energy based on ultrasonic reflection according to the present invention;
fig. 2 is a schematic diagram of a wafer distribution structure of the ultrasonic array probe of the present embodiment;
FIG. 3 is a schematic diagram of a wafer array layout;
fig. 4 is a schematic diagram of a direct sound field path and a reflected sound field path.
Description of reference numerals:
1-an ultrasonic array probe; 2-an elongated workpiece; 3-a substrate; 4-a wafer; 5-abdicating holes.
Detailed Description
The present invention is further described with reference to the following drawings and specific examples so that those skilled in the art can better understand the present invention and can practice the present invention, but the examples are not intended to limit the present invention.
Fig. 1 is a diagram showing a positional relationship between anultrasonic array probe 1 and anelongated workpiece 2 when the elongated workpiece is inspected by using the full-focus imaging method for improving focus energy based on ultrasonic reflection according to the present invention. In use, theultrasonic array probe 1 is coupled to an end face of anelongate workpiece 2. Specifically, the specific implementation of detecting the elongated workpiece by using the full-focus imaging method based on the ultrasonic reflection to improve the focusing energy is as follows:
this embodiment is based on ultrasonic reflection promotes focus energy's full focus imaging method, and a plurality of imaging points are divided to the array in the work piece under test, to arbitrary imaging point b, and it is I (k, b, h, t) to set the amplitude of the ultrasonic echo signal intensity of transmission array element k, receiving array element h at delay time t moment, then the amplitude I (k, b, h) of the ultrasonic echo signal intensity of transmission array element k, receiving array element h is:
Figure BDA0002450019390000041
wherein k is 1,2, 3. N ═ 1,2,3, · N; n is the number of array elements of the ultrasonic array probe;
t(k,b,h)minaiming at an imaging point b, the delay time corresponding to the shortest sound path between a transmitting array element k and a receiving array element h; because the ultrasonic wave transmitted by the transmitting array element directly reaches the imaging point and is reflected to the direct sound field of the receiving array element, the sound path is shortest, and the corresponding delay time t (k, b, h)minShortest, in particular, for imaging point b, the shortest acoustic path between transmit element k and receive element h is L (k, b, h) the sum of the linear distances between transmit element k and receive element h, respectively, and imaging point bminAnd then:
Figure BDA0002450019390000051
wherein v is the transmission rate of the ultrasonic wave in the workpiece to be tested.
t(k,b,h)endFor the imaging point b, the delay cut-off time of the ultrasonic echo signal of the transmitting array element k and the receiving array element h is t (k, b, h)end≥t(k,b,h)min. Delay deadline t (k, b, h)endThe determination may be made in a variety of ways.
The first mode is as follows: t (k, b, h)endMay be the longest acoustic path L (k, b, h) between the transmitting array element k and the receiving array element h for the imaging point bmaxThe corresponding delay time is as follows:
Figure BDA0002450019390000052
at this time, pass L (k, b, h)maxSolving the obtained t (k, b, h)endConsidering the attenuation of ultrasonic waves as a theoretical value, the cut-off time t (k, b, h) can be appropriately shortened without affecting the detection accuracy and the detection depthendThat is, the cutoff time t (k, b, h) can be determined in the following two waysend
The second mode is as follows:
t(k,b,h)end=mt(k,b,h)min
wherein m is a coefficient, and m is more than or equal to 1.
I.e. with the shortest delay time t (k, b, h)minBasic, at the shortest delay time t (k, b, h)minOn the basis, the time of the set multiple is prolonged and then is used as the cut-off time, and the data value of the coefficient m can be determined according to the actual situation under the condition that the detection precision and the detection depth are not influenced.
Third methodFormula (II): if aiming at the imaging point b, the transmitting array element k and the receiving array element h are delayed for time t0The amplitude of the ultrasonic echo signal intensity at the moment is I (k, b, h, t)0) Satisfies the following conditions:
I(k,b,h,t0)=cI(k,b,h,tmin)
then:
t(k,b,h)end=t0
wherein c is a coefficient, and c is more than or equal to 0 and less than or equal to 1; t is tmin=t(k,b,h)min
That is, the cut-off time t (k, b, h) is determined as a delay time corresponding to a set ratio of attenuation of the ultrasonic echo signal in the reflected sound field with respect to the echo signal in the direct sound field based on the intensity of the ultrasonic echo signalendAt a cut-off time t (k, b, h)endThe echo signal of the reflected sound field is low in intensity, so that the detection precision and the detection depth are not affected. Specifically, the specific value of the coefficient c may be determined according to actual conditions.
The present embodiment employs a third way to finalize the deadline t (k, b, h)end
Specifically, for an imaging point b and a transmitting array element k, the amplitude I (k, b) of the ultrasonic echo signal intensity received by all array elements of the ultrasonic array probe is:
Figure BDA0002450019390000061
specifically, for an imaging point b, N array elements of the ultrasonic array probe are sequentially excited to transmit ultrasonic signals, and the amplitude i (b) of the total signal intensity of the obtained ultrasonic echo is as follows:
Figure BDA0002450019390000062
converting the amplitude I (b) of the ultrasonic echo total signal intensity of the imaging point b into imaging gray scale to obtain the imaging gray scale value of the imaging point b; specifically, the algorithm for converting the amplitude i (b) into the imaging gray scale is as follows: and (b) taking an absolute value of I (a), (b) and dividing the absolute value by 256 to convert the absolute value into imaging gray scale.
And finishing the measurement of the imaging gray values of all the imaging points in the workpiece to be measured to obtain the ultrasonic full-focus imaging image.
Further,ultrasonic array probe 1 includesbase plate 3, be equipped with at least one annular array district on the base plate, all coaxial setting between the annular array district, the array is equipped withwafer 4 in the annular array district, along the direction of the axial view in annular array district, all the area thatwafer 4 occupies equals. Specifically, when the number of the annular array regions is at least two, the outer circle diameter of the annular array region located on the inner side is equal to the inner circle diameter of the annular array region located on the outer side in two adjacent annular array regions. For some slender workpieces with concave or convex structures on the end faces, a yieldinghole 5 for yielding the surface structure of the workpiece to be detected can be arranged in the center of the substrate, and the yielding hole and the annular array area are coaxially arranged.
Further, the workpiece to be detected is a slender workpiece, and the slender workpiece can be a bolt, a screw rod or a broach. Of course, the full-focus imaging method based on ultrasonic reflection to improve focusing energy of the embodiment may also be applied to the detection of other various elongated workpieces, even to the detection of workpieces with non-elongated structures, and will not be described again.
In the embodiment of the full-focusing imaging method for improving focusing energy based on ultrasonic reflection, aiming at any imaging point in a measured workpiece, the ultrasonic wave transmitting principle shows that the path of the direct sound field reflected to a receiving array element after the ultrasonic wave transmitted by a transmitting array element directly reaches the imaging point is shortest, so that the corresponding delay time t (k, b, h)minShortest; the sound path of the reflected sound field after being reflected at least once by the side wall of the workpiece is larger than that of the direct sound field, and the corresponding delay time is called as the extension of the direct sound field; and because there are countless reflection paths among the transmitting array element, the imaging point and the receiving array element after being reflected at least once by the side wall of the workpiece, the time delay of the echo signal of the reflected sound field can continuously last for a period of time, as shown in fig. 4. In fig. 4, a solid line indicates a path of a direct sound field, and a broken line indicates a path of a reflected sound field (there are numerous paths of the reflected sound field, and only one path is shown in fig. 4).The embodiment is realized by setting the cut-off time t (k, b, h)endThe shortest delay time t (k, b, h) corresponding to the direct sound fieldminWith a cut-off time t (k, b, h)endThe amplitude values of all ultrasonic echo signal intensities in the process of ultrasonic imaging are accumulated, so that echo signals of a direct sound field and echo signals of all reflected sound fields received by the receiving array elements within a set delay time are accumulated in detection imaging, the energy of the echo signals of corresponding imaging points is greatly improved, the detection depth can be effectively improved, and the problem of insufficient detection depth of the existing full-focus imaging method is solved.
The above-mentioned embodiments are merely preferred embodiments for fully illustrating the present invention, and the scope of the present invention is not limited thereto. The equivalent substitution or change made by the technical personnel in the technical field on the basis of the invention is all within the protection scope of the invention. The protection scope of the invention is subject to the claims.

Claims (8)

1. A full-focus imaging method for improving focus energy based on ultrasonic reflection is characterized in that:
a plurality of imaging points are divided in the measured workpiece in an array mode, aiming at any imaging point b, the amplitude of the ultrasonic echo signal intensity of a transmitting array element k and a receiving array element h at the time of delay time t is set to be I (k, b, h, t), and then the amplitude I (k, b, h) of the ultrasonic echo signal intensity of the transmitting array element k and the receiving array element h is set to be I (k, b, h):
Figure FDA0002450019380000011
wherein k is 1,2, 3. N ═ 1,2,3, · N; n is the number of array elements of the ultrasonic array probe;
t(k,b,h)minaiming at an imaging point b, the delay time corresponding to the shortest sound path between a transmitting array element k and a receiving array element h;
t(k,b,h)endfor the imaging point b, the delay cut-off time of the ultrasonic echo signal of the transmitting array element k and the receiving array element h is t (k, b, h)end≥t(k,b,h)min
For an imaging point b and a transmitting array element k, the amplitude I (k, b) of the ultrasonic echo signal intensity received by all array elements of the ultrasonic array probe is as follows:
Figure FDA0002450019380000012
aiming at an imaging point b, sequentially exciting N array elements of an ultrasonic array probe to transmit ultrasonic signals, wherein the amplitude I (b) of the total signal intensity of the obtained ultrasonic echo is as follows:
Figure FDA0002450019380000013
converting the amplitude I (b) of the ultrasonic echo total signal intensity of the imaging point b into imaging gray scale to obtain the imaging gray scale value of the imaging point b;
and finishing the measurement of the imaging gray values of all the imaging points in the workpiece to be measured to obtain the ultrasonic full-focus imaging image.
2. The method of claim 1, wherein the shortest acoustic path between the transmitting element k and the receiving element h for the imaging point b is L (k, b, h) which is the sum of the linear distances between the transmitting element k and the receiving element h and the imaging point b respectivelyminAnd then:
Figure FDA0002450019380000014
wherein v is the transmission rate of the ultrasonic wave in the workpiece to be tested.
3. The full focus imaging method based on ultrasonic reflection to boost focus energy of claim 1, wherein:
t(k,b,h)endfor the longest acoustic path L (k, b, h) between the transmit and receive elements k, h for imaging point bmaxThe corresponding delay time is as follows:
Figure FDA0002450019380000021
or the like, or, alternatively,
t(k,b,h)end=mt(k,b,h)min
wherein m is a coefficient, and m is more than or equal to 1;
or the like, or, alternatively,
if aiming at the imaging point b, the transmitting array element k and the receiving array element h are delayed for time t0The amplitude of the ultrasonic echo signal intensity at the moment is I (k, b, h, t)0) Satisfies the following conditions:
I(k,b,h,t0)=cI(k,b,h,tmin)
then:
t(k,b,h)end=t0
wherein c is a coefficient, and c is more than or equal to 0 and less than or equal to 1.
4. The full focus imaging method based on ultrasonic reflection enhanced focused energy according to any one of claims 1-3, characterized in that: the ultrasonic array probe comprises a substrate, wherein at least one annular array area is arranged on the substrate, all the annular array areas are coaxially arranged, wafers are arranged in the annular array areas in an array mode, and the occupied areas of all the wafers are equal in the direction of the axial view of the annular array areas.
5. The full focus imaging method based on ultrasonic reflection to boost focused energy of claim 4, wherein: the number of the annular array areas is at least two, and in two adjacent annular array areas, the diameter of the outer ring of the annular array area positioned on the inner side is equal to the diameter of the inner ring of the annular array area positioned on the outer side.
6. The full focus imaging method based on ultrasonic reflection to boost focused energy of claim 4, wherein: the center of base plate is equipped with the hole of stepping down of the measured workpiece surface structure, the hole of stepping down with the coaxial setting in annular array district.
7. The full focus imaging method based on ultrasonic reflection to boost focus energy of claim 1, wherein: the workpiece to be measured is a slender workpiece.
8. The full focus imaging method based on ultrasonic reflection to boost focused energy of claim 7, wherein: the workpiece to be measured is a bolt, a screw or a broach.
CN202010289914.XA2020-04-142020-04-14Full-focusing imaging method for improving focusing energy based on ultrasonic reflectionPendingCN111487321A (en)

Priority Applications (1)

Application NumberPriority DateFiling DateTitle
CN202010289914.XACN111487321A (en)2020-04-142020-04-14Full-focusing imaging method for improving focusing energy based on ultrasonic reflection

Applications Claiming Priority (1)

Application NumberPriority DateFiling DateTitle
CN202010289914.XACN111487321A (en)2020-04-142020-04-14Full-focusing imaging method for improving focusing energy based on ultrasonic reflection

Publications (1)

Publication NumberPublication Date
CN111487321Atrue CN111487321A (en)2020-08-04

Family

ID=71795205

Family Applications (1)

Application NumberTitlePriority DateFiling Date
CN202010289914.XAPendingCN111487321A (en)2020-04-142020-04-14Full-focusing imaging method for improving focusing energy based on ultrasonic reflection

Country Status (1)

CountryLink
CN (1)CN111487321A (en)

Cited By (5)

* Cited by examiner, † Cited by third party
Publication numberPriority datePublication dateAssigneeTitle
CN113693624A (en)*2021-09-032021-11-26合肥工业大学High-quality ultrasonic composite imaging method
CN114623961A (en)*2022-02-242022-06-14武汉大学High-sound attenuation bolt axial force ultrasonic measurement method based on annular array
CN114777696A (en)*2022-05-072022-07-22中国科学院声学研究所 A method of ultrasonic thickness measurement
CN114848022A (en)*2022-05-052022-08-05合肥工业大学High-resolution ultrasonic imaging method based on near focusing
CN118296858A (en)*2024-06-052024-07-05汕头市超声仪器研究所股份有限公司Quick simulation method for full-focus imaging sound field

Citations (6)

* Cited by examiner, † Cited by third party
Publication numberPriority datePublication dateAssigneeTitle
CN103969337A (en)*2014-05-072014-08-06北京工业大学Orientation identification method of ultrasonic array crack defects based on vector full-focusing imaging
CN106093204A (en)*2016-02-222016-11-09南京兰博瑞达检测技术有限公司A kind of phase weighting vector total focus imaging device for forging crack quantitative judge and method
CN106596736A (en)*2016-12-142017-04-26天津大学Real-time ultrasonic phased array total focusing imaging method
CN106770664A (en)*2016-11-222017-05-31中国计量大学 A Method of Improving Edge Defect Detection Based on Total Focus Imaging Algorithm
CN107219305A (en)*2017-06-022017-09-29北京航空航天大学A kind of total focus imaging detection method based on annular array transducer
WO2018109313A1 (en)*2016-12-152018-06-21Commissariat à l'énergie atomique et aux énergies alternativesMethod of acquiring ultrasonic testing signals, and corresponding computer program and ultrasonic testing device

Patent Citations (6)

* Cited by examiner, † Cited by third party
Publication numberPriority datePublication dateAssigneeTitle
CN103969337A (en)*2014-05-072014-08-06北京工业大学Orientation identification method of ultrasonic array crack defects based on vector full-focusing imaging
CN106093204A (en)*2016-02-222016-11-09南京兰博瑞达检测技术有限公司A kind of phase weighting vector total focus imaging device for forging crack quantitative judge and method
CN106770664A (en)*2016-11-222017-05-31中国计量大学 A Method of Improving Edge Defect Detection Based on Total Focus Imaging Algorithm
CN106596736A (en)*2016-12-142017-04-26天津大学Real-time ultrasonic phased array total focusing imaging method
WO2018109313A1 (en)*2016-12-152018-06-21Commissariat à l'énergie atomique et aux énergies alternativesMethod of acquiring ultrasonic testing signals, and corresponding computer program and ultrasonic testing device
CN107219305A (en)*2017-06-022017-09-29北京航空航天大学A kind of total focus imaging detection method based on annular array transducer

Non-Patent Citations (1)

* Cited by examiner, † Cited by third party
Title
强天鹏等: "全聚焦相控阵技术的场测量", 《无损检测》*

Cited By (9)

* Cited by examiner, † Cited by third party
Publication numberPriority datePublication dateAssigneeTitle
CN113693624A (en)*2021-09-032021-11-26合肥工业大学High-quality ultrasonic composite imaging method
CN113693624B (en)*2021-09-032023-07-18合肥工业大学 A High Quality Ultrasound Composite Imaging Method
CN114623961A (en)*2022-02-242022-06-14武汉大学High-sound attenuation bolt axial force ultrasonic measurement method based on annular array
CN114623961B (en)*2022-02-242023-04-07武汉大学High-sound attenuation bolt axial force ultrasonic measurement method based on annular array
CN114848022A (en)*2022-05-052022-08-05合肥工业大学High-resolution ultrasonic imaging method based on near focusing
CN114777696A (en)*2022-05-072022-07-22中国科学院声学研究所 A method of ultrasonic thickness measurement
CN114777696B (en)*2022-05-072023-08-11中国科学院声学研究所Ultrasonic thickness measuring method
CN118296858A (en)*2024-06-052024-07-05汕头市超声仪器研究所股份有限公司Quick simulation method for full-focus imaging sound field
CN118296858B (en)*2024-06-052024-10-18汕头市超声仪器研究所股份有限公司 A fast simulation method for full-focus imaging sound field

Similar Documents

PublicationPublication DateTitle
CN111487321A (en)Full-focusing imaging method for improving focusing energy based on ultrasonic reflection
US12007362B2 (en)Method for reconstructing crack profiles based on composite-mode total focusing method
CN106093205B (en) A Defect Detection Method for Thick-walled Structures Based on Oblique Incident Ultrasonic Synthetic Aperture Focusing
CN105699492B (en)A kind of ultrasonic imaging method for weld seam detection
CN113899816A (en) Ultrasonic non-destructive testing device and method for T-shaped composite structure and R-zone testing method and device
CN101308118A (en) A high-sensitivity ultrasonic probe
CN111380955A (en)Method for detecting defects of additive manufacturing part based on ultrasonic phased array
CN203981638U (en)A kind of phased array ultrasonic detection device of composite insulator inherent vice
CN106556645B (en)A kind of ultrasonic synthetic aperture focusing detection device and imaging method of solid shafting
CN106802323A (en)A kind of ultrasonic total focus imaging system based on complete matrix data
CN111751448A (en) A leaky surface wave ultrasonic synthetic aperture focusing imaging method
CN113686960B (en) Optimization method and system for phased array surface all-focus imaging based on sound field threshold segmentation
US20240036008A1 (en)Ultrasound scanning system with adaptive signal transmission timing
CN118655222A (en) A double-layer medium defect imaging method and system with improved full focusing algorithm
CN110849962A (en)Device and method for evaluating trend and depth of metal crack by utilizing electromagnetic ultrasonic principle
CN207964729U (en)The device that ultrasonic phase array small angle longitudinal wave detects a flaw to axle body
CN118376693A (en)Casting detection method
CN205015313U (en) Ultrasonic probe for small-diameter tube rolling defects and supporting test blocks
CN114047256B (en)Flat ceramic membrane defect ultrasonic imaging method based on dynamic array element synthetic aperture focusing
CN102507737A (en)Ultrasonic time-of-flight diffraction method by cylinder focusing wedge
CN207268724U (en) An ultrasonic testing device for live working insulating rods
CN114674933B (en)Ultrasonic flaw detection method
CN116046894B (en) Ultrasonic imaging method for pipeline axial defects based on modified mode synthetic aperture focusing
ZHANG et al.Research on Detection of Weld Defects with Multi-Wave Total Focusing Method
CN104483387B (en)Nuclear power examines technique with the TOFD of heavy wall austenitic steel pipeline inner wall defect

Legal Events

DateCodeTitleDescription
PB01Publication
PB01Publication
SE01Entry into force of request for substantive examination
SE01Entry into force of request for substantive examination
RJ01Rejection of invention patent application after publication
RJ01Rejection of invention patent application after publication

Application publication date:20200804


[8]ページ先頭

©2009-2025 Movatter.jp