Movatterモバイル変換


[0]ホーム

URL:


CN111486893A - Bridge structure health monitoring and early warning system and early warning method - Google Patents

Bridge structure health monitoring and early warning system and early warning method
Download PDF

Info

Publication number
CN111486893A
CN111486893ACN202010266376.2ACN202010266376ACN111486893ACN 111486893 ACN111486893 ACN 111486893ACN 202010266376 ACN202010266376 ACN 202010266376ACN 111486893 ACN111486893 ACN 111486893A
Authority
CN
China
Prior art keywords
bridge
early warning
data
unit
bridge structure
Prior art date
Legal status (The legal status is an assumption and is not a legal conclusion. Google has not performed a legal analysis and makes no representation as to the accuracy of the status listed.)
Pending
Application number
CN202010266376.2A
Other languages
Chinese (zh)
Inventor
陈杨
李丽
邓长军
田涛
范兴华
任东华
邹春蓉
陈名才
胡安庆
熊文豪
Current Assignee (The listed assignees may be inaccurate. Google has not performed a legal analysis and makes no representation or warranty as to the accuracy of the list.)
Chengdu Urban Road And Bridge Supervision Service Center
China Railway Southwest Research Institute Co Ltd
Original Assignee
Chengdu Urban Road And Bridge Supervision Service Center
China Railway Southwest Research Institute Co Ltd
Priority date (The priority date is an assumption and is not a legal conclusion. Google has not performed a legal analysis and makes no representation as to the accuracy of the date listed.)
Filing date
Publication date
Application filed by Chengdu Urban Road And Bridge Supervision Service Center, China Railway Southwest Research Institute Co LtdfiledCriticalChengdu Urban Road And Bridge Supervision Service Center
Priority to CN202010266376.2ApriorityCriticalpatent/CN111486893A/en
Publication of CN111486893ApublicationCriticalpatent/CN111486893A/en
Pendinglegal-statusCriticalCurrent

Links

Images

Classifications

Landscapes

Abstract

The invention provides a bridge structure health monitoring and early warning system, which has the innovation points that: the system comprises a bridge structure health monitoring system and a bridge health state early warning system; the bridge structure health monitoring system is used for automatically monitoring a bridge structure in real time, sorting and storing data, uploading the sorted data to the bridge health state early warning system, processing and analyzing the data by the bridge health state early warning system, and immediately sending out an early warning signal or directly interrupting traffic if obvious abnormal change of a safety early warning index is found; and if the change condition of the safety early warning index is not clear, immediately triggering a bridge structure damage identification and safety inspection module to analyze and evaluate the full bridge, and taking corresponding measures according to the evaluation result.

Description

Bridge structure health monitoring and early warning system and early warning method
Technical Field
The invention relates to the technical field of bridge engineering, in particular to a bridge structure health monitoring and early warning system and an early warning method using the bridge structure health monitoring and early warning system.
Background
In order to ensure the use safety and durability of a large bridge structure, the health condition of the bridge can be known in time through a proper monitoring means, especially hidden damage which endangers the safety of the bridge can be found in an early stage, which plays a vital role in ensuring the safety of the bridge and provides necessary basis for the maintenance and reinforcement of the bridge, thereby saving the maintenance and reinforcement cost of the bridge and avoiding inconvenience and loss caused by frequent overhaul and traffic closure. The past experience and the past training are summarized, a long-term safety monitoring system and a damage identification control system are added during engineering construction, and reliable safety condition prediction information is provided for guaranteeing the safety of the bridge.
For example, chinese patent publication No. CN104199410B discloses a general acquisition control system for monitoring bridge structure health, which includes an acquisition device, a data acquisition module, a data processing module, a data evaluation module, a data display module, and a data storage and control module; the invention has the following beneficial effects: the system comprises a data acquisition universal structure, a difference communication protocol abstract unified interface, a sensing system acquisition strategy, a resource allocation strategy, a reliable control strategy based on a sensing object and combined with a sensing system fault, a multi-parameter multi-level emergency capturing strategy, a data storage and management strategy based on a relational database, remote system control and update and the like. In the technical scheme, although the acquisition equipment and the data evaluation module are arranged to acquire and process the data of the bridge, an effective feedback mechanism is not arranged, and the data information after evaluation cannot be effectively transmitted.
Disclosure of Invention
In order to solve the problem that an effective feedback mechanism does not exist in the prior art, the invention provides a bridge structure health monitoring and early warning system and an early warning method.
The technical scheme adopted by the invention is as follows: the utility model provides a bridge structures health monitoring and early warning system which innovation point lies in: the system comprises a bridge structure health monitoring system and a bridge health state early warning system; the bridge structure health monitoring system is used for automatically monitoring a bridge structure in real time, sorting and storing data, uploading the sorted data to the bridge health state early warning system, processing and analyzing the data by the bridge health state early warning system, and immediately sending out an early warning signal or directly interrupting traffic if obvious abnormal change of a safety early warning index is found; and if the change condition of the safety early warning index is not clear, immediately triggering a bridge structure damage identification and safety inspection module to analyze and evaluate the full bridge, and taking corresponding measures according to the evaluation result.
On the basis, the bridge structure health monitoring system comprises a data acquisition unit, a data storage unit and a communication unit;
the data acquisition unit comprises a plurality of sensors and cameras, the sensors are arranged on the bridge floor, the bridge bottom, two sides of the bridge floor or at any position of the cable tower of the bridge, and the sensors are used for measuring each parameter in the working state of the bridge; the camera is arranged above the bridge and on the side edge of the bridge and used for video acquisition so as to monitor the bearing condition on the bridge;
the data storage unit is used for classifying and storing the state parameters of the bridge measured by the data acquisition unit in real time;
and the communication unit is connected with the bridge health state early warning system and sends the data classified and stored by the data storage unit to the corresponding bridge health state early warning system.
On this basis, the sensor in the data acquisition unit comprises:
the acceleration sensors are uniformly arranged on the surface of a steel structure of the bridge deck of the bridge at intervals, and are used for measuring parameters including acceleration peak values, speed peak values, duration time and the like so as to obtain vibration data of the bridge within the interval time;
the inclinometers are uniformly arranged along the cable tower from top to bottom so as to measure the change of the slope of the cable tower;
strain gauges including an embedded strain gauge embedded in concrete and a surface strain gauge installed on the surface of concrete and steel structures on a bridge, thereby detecting stress at a plurality of places inside the concrete and on the outer surface of the bridge;
the static leveling instrument is uniformly arranged on two sides of the upper bridge floor of the bridge, and is used for measuring the change of the relative elevations of multiple points on the two sides of the bridge so as to obtain the relative settlement of the multiple points of the bridge;
the anemometers are arranged on two sides of the middle position of the bridge and used for measuring the flow velocity of the air passing through the bridge; the cameras are arranged above the bridge and on two side edges of the bridge, and adopt multiple paths of videos to simultaneously acquire the videos; and the characteristics of the bridge vehicles in the multi-channel videos are rapidly identified.
On the basis, the bridge health state early warning system comprises a data analysis unit, an early warning processing unit, an alarm unit and an early warning removing unit; the data analysis unit analyzes and evaluates the received data signals, eliminates data measured under abnormal working conditions, and transmits suspected abnormal data and obviously abnormal data to the early warning processing unit; and after the data processing, the early warning processing unit transmits the processing result to the warning unit or the early warning removing unit.
On the basis, the early warning processing unit comprises a module for identifying vehicle characteristics in a multi-channel video and a bridge structure damage identification and safety inspection module, wherein the bridge structure damage identification and safety inspection module is used for evaluating and identifying the damage of the bridge structure and predicting and evaluating the bearing capacity of the structure to a certain degree; and the module for identifying the vehicle characteristics in the multi-channel videos is used for identifying the characteristics of the bridge over-limit vehicles.
On the basis, the module for identifying the vehicle characteristics in the multi-channel videos comprises:
the vehicle modeling unit is used for digitizing a vehicle picture set to be identified to generate a model library file;
a video access unit: accessing a plurality of paths of videos; collecting picture frame data in a video and forwarding the picture frame;
a vehicle detection unit: detecting the position coordinates of all vehicles in the picture frame, wherein the coordinate values are represented as x1, y1, x2 and y2, and respectively represent the x and y coordinates of the upper left corner and the lower right corner of the vehicle in the picture;
a vehicle comparison unit: intercepting the collected coordinate values to obtain a vehicle small image, inputting the vehicle small image, extracting three-dimensional characteristics of the vehicle, taking the characteristics as retrieval conditions, and retrieving in a model library to obtain a comparison result;
a result feedback unit: and feeding back the identified result to an alarm unit in an independent process, sending the identified result to the alarm unit, and performing overrun alarm processing after the alarm unit receives data.
On the basis, the multi-channel video access adopts a multi-thread mode to meet the requirement of accessing the multi-channel video at the same time, in the access process, only the image frame data in the video is collected and the image frame is forwarded to the vehicle detection process, the vehicle detection can simultaneously open up a plurality of processes to carry out parallel processing, and the efficiency is greatly improved.
On the basis, the multi-channel video access adopts a multi-thread mode to meet the requirement of accessing the multi-channel video at the same time, in the access process, only the image frame data in the video is collected and the image frame is forwarded to the vehicle detection process, the vehicle detection can simultaneously open up a plurality of processes to carry out parallel processing, and the efficiency is greatly improved.
On the basis, the system also comprises a model switching unit, wherein the model switching unit issues a model updating command in the video access process, once the model updating command is received in the identification process queue, a new model is immediately updated and loaded, and the subsequent vehicle frame data in the queue is retrieved in the latest model library.
On the basis, the alarm unit comprises the following alarm forms:
(1) sending out early warning in the form of eye-catching figure, sound and the like on the display interface of the computer terminal, popping up a prompt dialog box, and stopping after manually canceling;
(2) informing relevant management personnel by sending short messages, emails and the like in real time;
(3) the early warning device on the bridge is started to send out an early warning signal or directly interrupt the operation of the bridge, so that vehicles or people passing through the bridge are informed that the bridge is in a dangerous condition, and the bridge is required to leave or change the way to drive as soon as possible.
On this basis, the early warning removing unit comprises the following reminding modes:
(1) prompting the early warning cancellation in the forms of eye-catching graphs, sounds and the like on a display interface of a computer terminal, popping up a prompting dialog box, and stopping after manual cancellation;
(2) and informing related personnel by sending short messages, emails and the like in real time.
The invention also aims to provide an early warning method by utilizing the bridge structure health monitoring and early warning system, which has the innovation points that: the method specifically comprises the following steps:
step 1: collecting information of positions of a bridge deck, a bridge bottom, two sides of the bridge deck, a cable tower and the like of the bridge in real time, wherein the information comprises vibration data, slope, stress and relative settlement data;
step 2: the data are transmitted to a data storage unit, and a data acquisition unit classifies and stores each state parameter of the bridge measured in real time;
step 3: the data classified and stored by the data storage unit are sent to a corresponding bridge health state early warning system through a communication unit;
step 4: the bridge health state early warning system processes and analyzes the Step3 data, and if obvious abnormal changes of safety early warning indexes are found, an early warning signal is immediately sent out or traffic is directly interrupted; and if the change condition of the safety early warning index is not clear, immediately triggering a bridge structure damage identification and safety inspection module to analyze and evaluate the full bridge, and taking corresponding measures according to the evaluation result.
On the basis, the specific steps of Step4 include:
step 40: the data analysis unit analyzes and evaluates the received data signals, eliminates data measured under abnormal working conditions, and transmits suspected abnormal data and obviously abnormal data to the early warning processing unit;
step 41: the suspected abnormal data and the obviously abnormal data trigger a bridge structure damage identification and safety inspection module in the early warning processing unit, so that the bridge structure is evaluated and damaged, and the bearing capacity of the structure is predicted and evaluated to a certain degree;
step 42: after the identification and evaluation processing of Step41, the processing result is transmitted to one of the alarm unit or the early warning releasing unit.
On the basis, the alarm removing unit presets corresponding threshold values and critical values for different sensors, when data transmitted from the data analysis unit exceed the critical values, the corresponding sensors can be determined to be in fault, position numbers and data information of the corresponding sensors are sent to corresponding terminals through the communication module, and meanwhile alarm removing reminding is carried out.
Compared with the prior art, the invention has the beneficial effects that:
(1) in the invention, two major systems are adopted for comprehensive monitoring and early warning, so that the bridge can fully acquire, utilize and mine large data resources, the construction quality of the bridge can be improved, the structural health condition of the bridge can be monitored, the state of the bridge can be mastered, the data resources can be analyzed and processed, the capabilities of forecasting, analyzing, early warning and solving problems can be improved, and precious experience can be provided for the construction management, maintenance and the like of the similar bridge.
(2) The system is a dual system, the bridge structure health monitoring system can perform statistical classification on parameters to form a consulting mode such as a chart model, the bridge health state early warning system performs secondary processing on data of the bridge structure health monitoring system to accurately judge the bridge structure, and due to the dual system, the parameter data have different historical data, and the crash of any system cannot influence the use of the second system, so that the system is more guaranteed.
(3) The system-level method for identifying the vehicles in the multi-channel videos comprises a vehicle modeling unit, a model switching unit, a video access unit, a vehicle identification unit, a result feedback unit, system deployment and the like, the method supports multiple access videos, is quick in identification effect and high in accuracy, the vehicle models support dynamic seamless switching, service restarting is not needed, in addition, the method can be packaged into executable files under each platform, multi-platform deployment operation is realized, and meanwhile, the method also supports operation on a domestic operation system.
Drawings
FIG. 1 is a schematic structural diagram of a bridge structure health monitoring and early warning system according to the present invention;
fig. 2 is a schematic diagram of the steps of the warning method of the present invention.
Detailed Description
The present invention will be described in further detail with reference to the following drawings and examples. It should be understood that the specific embodiments described herein are merely illustrative of the invention and are not intended to limit the invention.
The invention discloses a bridge structure health monitoring and early warning system, which is shown in figure 1: the system comprises a bridge structure health monitoring system and a bridge health state early warning system; the bridge structure health monitoring system is used for automatically monitoring a bridge structure in real time, sorting and storing data, uploading the sorted data to the bridge health state early warning system, processing and analyzing the data by the bridge health state early warning system, and immediately sending out an early warning signal or directly interrupting traffic if obvious abnormal change of a safety early warning index is found; and if the change condition of the safety early warning index is not clear, immediately triggering a bridge structure damage identification and safety inspection module to analyze and evaluate the full bridge, and taking corresponding measures according to the evaluation result. In the invention, two major systems are adopted for comprehensive monitoring and early warning, so that the bridge can fully acquire, utilize and mine large data resources, the construction quality of the bridge can be improved, the structural health condition of the bridge can be monitored, the state of the bridge can be mastered, the data resources can be analyzed and processed, the capabilities of forecasting, analyzing and solving problems can be improved, and precious experience can be provided for the construction management, maintenance and the like of the similar bridge.
Specifically, in this embodiment of the present invention, the bridge structure health monitoring system includes a data acquisition unit, a data storage unit and a communication unit; the data acquisition unit comprises a plurality of sensors and cameras, wherein the sensors are arranged on the bridge floor, the bridge bottom, two sides of the bridge floor or any position of a cable tower of the bridge, and the cameras are arranged above the bridge and on two sides of the bridge; the sensors are used for measuring various parameters in the working state of the bridge; the camera is arranged above the bridge and on the side edge of the bridge and used for video acquisition so as to monitor the bearing condition on the bridge;
the data storage unit is used for classifying and storing the state parameters of the bridge measured by the data acquisition unit in real time; and the communication unit is connected with the bridge health state early warning system and sends the data classified and stored by the data storage unit to the corresponding bridge health state early warning system. Specifically, the sensor in the data acquisition unit includes:
the acceleration sensors are uniformly arranged on the surface of a steel structure of the bridge deck of the bridge at intervals, and are used for measuring parameters including acceleration peak values, speed peak values, duration time and the like so as to obtain vibration data of the bridge within the interval time;
the inclinometers are uniformly arranged along the cable tower from top to bottom so as to measure the change of the slope of the cable tower;
strain gauges including an embedded strain gauge embedded in concrete and a surface strain gauge installed on the surface of concrete and steel structures on a bridge, thereby detecting stress at a plurality of places inside the concrete and on the outer surface of the bridge;
the static leveling instrument is uniformly arranged on two sides of the upper bridge floor of the bridge, and is used for measuring the change of the relative elevations of multiple points on the two sides of the bridge so as to obtain the relative settlement of the multiple points of the bridge;
and the anemometers are arranged on two sides of the middle position of the bridge and used for measuring the flow velocity of the air passing through the bridge.
The cameras are arranged above the bridge and on two side edges of the bridge, and adopt multiple paths of videos to simultaneously acquire the videos; and the characteristics of the bridge vehicles in the multi-channel videos are rapidly identified.
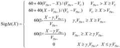
Specifically, in this embodiment of the present invention, the bridge health state early warning system includes a data analysis unit, an early warning processing unit, an alarm unit, and an early warning cancellation unit; the data analysis unit processes and analyzes the received data signals, eliminates data measured under abnormal working conditions, and transmits suspected abnormal data and obviously abnormal data to the early warning processing unit; the analysis and processing of the monitoring indexes are specifically as follows:
and dividing the analysis time granularity of the response by combining different types of monitoring indexes with sampling frequency, and then carrying out standardization and standard dimensionless on the monitoring index statistical value in the corresponding time granularity. Dividing the monitoring index into an upper threshold control index, a lower threshold control index and a double threshold control index according to the action trend and the early warning threshold of the monitoring project, and constructing a dimensionless mathematical model according to a linear percentage system for standardization.
Upper threshold control index model:
Figure BDA0002441405090000061
lower threshold control index model:
Figure BDA0002441405090000062
a dual-threshold index control model:
Figure BDA0002441405090000063
in the formula: Δ t — data analysis time granularity;
x is a statistical representative value of the monitoring indexes within the granularity of data analysis time,
Figure BDA0002441405090000064
Figure BDA0002441405090000065
-average of the monitored values within the data analysis time granularity;
sigma is standard deviation of monitoring values within data analysis time granularity;
β -reliable index of monitoring value target within data analysis time granularity;
sig Δ t (X) -monitoring the index score within the data analysis time granularity Δ t;
VU-initial state of integrity monitoring of the structure is a normal value;
VThr+-monitoring an upper indicator threshold;
γ+-monitorMeasuring an index threshold upper limit increasing coefficient;
VThr--monitoring the indicator lower threshold;
γ--monitoring the index lower threshold increase factor.
And then the early warning processing unit compares the data with the normal score and transmits the processing result to the warning unit or the early warning relieving unit.
Preferably, the early warning processing unit comprises a module for identifying vehicle characteristics in the multi-channel video and a bridge structure damage identification and safety inspection module, wherein the bridge structure damage identification and safety inspection module is used for evaluating and identifying the damage of the bridge structure and predicting and evaluating the bearing capacity of the structure to a certain degree; and the module for identifying the vehicle characteristics in the multi-channel videos is used for identifying the characteristics of the bridge over-limit vehicles.
The module for identifying the vehicle characteristics in the multi-channel video comprises a vehicle modeling unit, and is used for digitizing a vehicle picture set to be identified to generate a model library file; a video access unit: accessing a plurality of paths of videos; collecting picture frame data in a video and forwarding the picture frame; a vehicle detection unit: detecting the position coordinates of all vehicles in the picture frame, wherein the coordinate values are represented as x1, y1, x2 and y2, and respectively represent the x and y coordinates of the upper left corner and the lower right corner of the vehicle in the picture; a vehicle comparison unit: intercepting the collected coordinate values to obtain a vehicle small image, inputting the vehicle small image, extracting three-dimensional characteristics of the vehicle, taking the characteristics as retrieval conditions, and retrieving in a model library to obtain a comparison result; a result feedback unit: and feeding back the identified result to an alarm unit in an independent process, sending the identified result to the alarm unit, and performing overrun alarm processing after the alarm unit receives data. The access of the multi-channel video adopts a multi-thread mode to realize the requirement of simultaneously accessing the multi-channel video, in the access process, only the image frame data in the video is collected and the image frame is forwarded to the process of vehicle detection, and the vehicle detection can simultaneously open up a plurality of processes to be processed in parallel, thereby greatly improving the efficiency.
Preferably, the access of the multiple channels of videos meets the requirement of accessing the multiple channels of videos simultaneously in a multithreading mode, in the access process, the access process is only responsible for collecting picture frame data in the videos and forwarding the picture frames to the vehicle detection process, the vehicle detection process can simultaneously open multiple processes for parallel processing, and the efficiency is greatly improved.
Preferably, the system further comprises a model switching unit, wherein the model switching unit issues a model updating command in the video access process, and once the model updating command is received in the identification progress queue, the new model is updated and loaded immediately, and the subsequent vehicle frame data in the queue is retrieved in the latest model library.
In the prior art, license plate number recognition is generally adopted for vehicle recognition, but with the improvement of science and technology, a video monitoring technology is developed, video monitoring data on a bridge is long in duration, large in data volume and rich and complex in contained information, the vehicle recognition based on characteristics can be carried out by utilizing the data, the vehicle characteristic recognition mainly comprises the extraction of relevant local characteristics of a vehicle, and compared with the original license plate number recognition, the efficiency is higher through characteristic matching calculation, the searched accuracy is higher, the accuracy of the vehicle characteristic recognition is more reliable, and illegal behaviors such as intentional damage and pollution of a license plate under the condition of single license plate number recognition can be avoided.
In this embodiment of the invention, the alarm unit comprises the following alarm forms:
(1) sending out early warning in the form of eye-catching figure, sound and the like on the display interface of the computer terminal, popping up a prompt dialog box, and stopping after manually canceling;
(2) informing relevant management personnel by sending short messages, emails and the like in real time;
(3) the early warning device on the bridge is started to send out an early warning signal or directly interrupt the operation of the bridge, so that vehicles or people passing through the bridge are informed that the bridge is in a dangerous condition, and the bridge is required to leave or change the way to drive as soon as possible.
In this embodiment of the present invention, the warning cancellation unit includes the following reminding manners:
(1) prompting the early warning cancellation in the forms of eye-catching graphs, sounds and the like on a display interface of a computer terminal, popping up a prompting dialog box, and stopping after manual cancellation;
(2) and informing related personnel by sending short messages, emails and the like in real time.
The invention also discloses an early warning method by utilizing the bridge structure health monitoring and early warning system, which is shown in figure 2: the method specifically comprises the following steps:
step 1: collecting information of positions of a bridge deck, a bridge bottom, two sides of the bridge deck, a cable tower and the like of the bridge in real time, wherein the information comprises vibration data, slope, stress and relative settlement data;
step 2: the data are transmitted to a data storage unit, and a data acquisition unit classifies and stores each state parameter of the bridge measured in real time;
step 3: the data classified and stored by the data storage unit are sent to a corresponding bridge health state early warning system through a communication unit;
step 4: the bridge health state early warning system processes and analyzes the Step3 data, and if obvious abnormal changes of safety early warning indexes are found, an early warning signal is immediately sent out or traffic is directly interrupted; and if the change condition of the safety early warning index is not clear, immediately triggering a bridge structure damage identification and safety inspection module to analyze and evaluate the full bridge, and taking corresponding measures according to the evaluation result.
Further, the specific steps of Step4 include:
step 40: the data analysis unit analyzes and evaluates the received data signals, eliminates data measured under abnormal working conditions, and transmits suspected abnormal data and obviously abnormal data to the early warning processing unit;
step 41: the suspected abnormal data and the obviously abnormal data trigger a bridge structure damage identification and safety inspection module in the early warning processing unit, so that the bridge structure is evaluated and damaged, and the bearing capacity of the structure is predicted and evaluated to a certain degree;
step 42: after the identification and evaluation processing of Step41, the processing result is transmitted to one of the alarm unit or the early warning releasing unit.
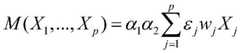
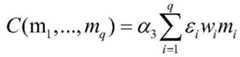
Specifically, the prediction and evaluation scheme for the bridge structure is determined according to the following method:
the evaluation of the state of the bridge structure/member is calculated according to the following formula
Individual components/parts:
Figure BDA0002441405090000081
bridge structure:
Figure 1
in the formula
p is the number of the member monitoring indexes;
j-monitoring the index data reliability correction factor;
w(0)j-the weight of the jth index;
Xj-an evaluation score for the j-th index;
α1-member material strength correction factor;
α2-a component appearance defect correction factor;
q is the number of the monitored bridge components;
i-monitoring the component monitoring project reliability correction factor;
w(0)i-the weight of the ith component index;
mi-an evaluation score of the ith component index;
α3-bridge vehicle load correction factor.
Meanwhile, the alarm removing unit presets corresponding threshold values and critical values for different sensors, when data transmitted from the data analysis unit exceed the critical values, the corresponding sensors can be determined to be in fault, position numbers and data information of the corresponding sensors are sent to corresponding terminals through the communication module, and meanwhile alarm removing reminding is carried out. The design can avoid the interference of some error data and influence on the real monitoring of the bridge structure.
In the description of the present invention, it is to be understood that the terms "coaxial", "bottom", "one end", "top", "middle", "other end", "upper", "one side", "top", "inner", "front", "center", "both ends", and the like, indicate orientations or positional relationships based on those shown in the drawings, and are only for convenience of description and simplicity of description, and do not indicate or imply that the referenced device or element must have a particular orientation, be constructed and operated in a particular orientation, and thus, are not to be construed as limiting the present invention.
In the present invention, unless otherwise expressly specified or limited, the terms "mounted," "disposed," "connected," "secured," "screwed" and the like are to be construed broadly, e.g., as meaning fixedly connected, detachably connected, or integrally formed; can be mechanically or electrically connected; the terms may be directly connected or indirectly connected through an intermediate, and may be communication between two elements or interaction relationship between two elements, unless otherwise specifically limited, and the specific meaning of the terms in the present invention will be understood by those skilled in the art according to specific situations.
While the foregoing description shows and describes the preferred embodiments of the present invention, it is to be understood that the invention is not limited to the forms disclosed herein, but is not to be construed as excluding other embodiments and is capable of use in various other combinations, modifications, and environments and is capable of changes within the scope of the inventive concept as described herein, commensurate with the above teachings, or the skill or knowledge of the relevant art. And that modifications and variations may be effected by those skilled in the art without departing from the spirit and scope of the invention as defined by the appended claims.

Claims (10)

1. The utility model provides a bridge structures health monitoring and early warning system which characterized in that: the system comprises a bridge structure health monitoring system and a bridge health state early warning system; the bridge structure health monitoring system is used for automatically monitoring a bridge structure in real time, sorting and storing data, uploading the sorted data to the bridge health state early warning system, processing and analyzing the data by the bridge health state early warning system, and immediately sending out an early warning signal or directly interrupting traffic if obvious abnormal change of a safety early warning index is found; and if the change condition of the safety early warning index is not clear, immediately triggering a bridge structure damage identification and safety inspection module to analyze and evaluate the full bridge, and taking corresponding measures according to the evaluation result.
2. The bridge structure health monitoring and early warning system of claim 1, wherein: the bridge structure health monitoring system comprises a data acquisition unit, a data storage unit and a communication unit;
the data acquisition unit comprises a plurality of sensors and cameras, the sensors are arranged on the bridge floor, the bridge bottom, two sides of the bridge floor or at any position of the cable tower of the bridge, and the sensors are used for measuring each parameter in the working state of the bridge; the camera is arranged above the bridge and on the side edge of the bridge; the system is used for video acquisition and monitoring the bearing condition on the bridge;
the data storage unit is used for classifying and storing the state parameters of the bridge measured by the data acquisition unit in real time;
and the communication unit is connected with the bridge health state early warning system and sends the data classified and stored by the data storage unit to the corresponding bridge health state early warning system.
3. The bridge structure health monitoring and early warning system of claim 2, wherein: the sensor in the data acquisition unit comprises:
the acceleration sensors are uniformly arranged on the surface of a steel structure of the bridge deck of the bridge at intervals, and are used for measuring parameters including acceleration peak values, speed peak values, duration time and the like so as to obtain vibration data of the bridge within the interval time;
the inclinometers are uniformly arranged along the cable tower from top to bottom so as to measure the change of the slope of the cable tower;
strain gauges including an embedded strain gauge embedded in concrete and a surface strain gauge installed on the surface of concrete and steel structures on a bridge, thereby detecting stress at a plurality of places inside the concrete and on the outer surface of the bridge;
the static leveling instrument is uniformly arranged on two sides of the upper bridge floor of the bridge, and is used for measuring the change of the relative elevations of multiple points on the two sides of the bridge so as to obtain the relative settlement of the multiple points of the bridge;
the anemometers are arranged on two sides of the middle position of the bridge and used for measuring the flow velocity of the air passing through the bridge;
the cameras are arranged above the bridge and on two side edges of the bridge, and adopt multiple paths of videos to simultaneously acquire the videos; and quickly identifying bridge vehicle characteristics in the multi-channel video.
4. The bridge structure health monitoring and early warning system of claim 1, wherein: the bridge health state early warning system comprises a data analysis unit, an early warning processing unit, an alarm unit and an early warning removing unit; the data analysis unit analyzes and evaluates the received data signals, eliminates data measured under abnormal working conditions, and transmits suspected abnormal data and obviously abnormal data to the early warning processing unit; after the data processing, the early warning processing unit transmits the processing result to the warning unit or the early warning removing unit;
the early warning processing unit comprises a module for identifying vehicle characteristics in a multi-channel video and a bridge structure damage identification and safety inspection module, wherein the bridge structure damage identification and safety inspection module is used for evaluating and identifying the damage of the bridge structure and predicting and evaluating the bearing capacity of the structure to a certain extent; and the module for identifying the vehicle characteristics in the multi-channel videos is used for identifying the characteristics of the bridge over-limit vehicles.
5. The bridge structure health monitoring and early warning system of claim 4, wherein: the module for identifying the vehicle characteristics in the multi-channel videos comprises:
the vehicle modeling unit is used for digitizing a vehicle picture set to be identified to generate a model library file;
a video access unit: accessing a plurality of paths of videos; collecting picture frame data in a video and forwarding the picture frame;
a vehicle detection unit: detecting the position coordinates of all vehicles in the picture frame, wherein the coordinate values are represented as x1, y1, x2 and y2, and respectively represent the x and y coordinates of the upper left corner and the lower right corner of the vehicle in the picture;
a vehicle comparison unit: intercepting the collected coordinate values to obtain a vehicle small image, inputting the vehicle small image, extracting three-dimensional characteristics of the vehicle, taking the characteristics as retrieval conditions, and retrieving in a model library to obtain a comparison result;
a result feedback unit: and feeding back the identified result to an alarm unit in an independent process, sending the identified result to the alarm unit, and performing overrun alarm processing after the alarm unit receives data.
6. The bridge structure health monitoring and early warning system of claim 5, wherein: the access of the multi-channel video adopts a multi-thread mode to realize the requirement of simultaneously accessing the multi-channel video, in the access process, only the image frame data in the video is collected and the image frame is forwarded to the process of vehicle detection, and the vehicle detection can simultaneously open up a plurality of processes to be processed in parallel, thereby greatly improving the efficiency.
7. The bridge structure health monitoring and early warning system of claim 6, wherein: the access of the multi-channel video adopts a multi-thread mode to realize the requirement of simultaneously accessing the multi-channel video, in the access process, only the image frame data in the video is collected and the image frame is forwarded to the process of vehicle detection, and the vehicle detection can simultaneously open up a plurality of processes to be processed in parallel, thereby greatly improving the efficiency.
8. The bridge structure health monitoring and early warning system of claim 6, wherein: the system further comprises a model switching unit, wherein the model switching unit issues a model updating command in the video access process, once the model updating command is received in the identification progress queue, a new model is immediately updated and loaded, and the subsequent vehicle frame data in the queue is retrieved in the latest model library.
9. An early warning method using the bridge structure health monitoring and early warning system of claim 1, characterized in that: the method specifically comprises the following steps:
step 1: collecting information of positions of a bridge deck, a bridge bottom, two sides of the bridge deck, a cable tower and the like of the bridge in real time, wherein the information comprises vibration data, slope, stress and relative settlement data;
step 2: the data are transmitted to a data storage unit, and a data acquisition unit classifies and stores each state parameter of the bridge measured in real time;
step 3: the data classified and stored by the data storage unit are sent to a corresponding bridge health state early warning system through a communication unit;
step 4: the bridge health state early warning system processes and analyzes the Step3 data, and if obvious abnormal changes of safety early warning indexes are found, an early warning signal is immediately sent out or traffic is directly interrupted; and if the change condition of the safety early warning index is not clear, immediately triggering a bridge structure damage identification and safety inspection module to analyze and evaluate the full bridge, and taking corresponding measures according to the evaluation result.
10. The warning method according to claim 8, wherein: the specific steps of Step4 include:
step 40: the data analysis unit analyzes and evaluates the received data signals, eliminates data measured under abnormal working conditions, and transmits suspected abnormal data and obviously abnormal data to the early warning processing unit;
step 41: the suspected abnormal data and the obviously abnormal data trigger a bridge structure damage identification and safety inspection module in the early warning processing unit, so that the bridge structure is evaluated and damaged, and the bearing capacity of the structure is predicted and evaluated to a certain degree;
step 42: after the identification and evaluation processing of Step41, the processing result is transmitted to one of the alarm unit or the early warning releasing unit.
CN202010266376.2A2020-04-072020-04-07Bridge structure health monitoring and early warning system and early warning methodPendingCN111486893A (en)

Priority Applications (1)

Application NumberPriority DateFiling DateTitle
CN202010266376.2ACN111486893A (en)2020-04-072020-04-07Bridge structure health monitoring and early warning system and early warning method

Applications Claiming Priority (1)

Application NumberPriority DateFiling DateTitle
CN202010266376.2ACN111486893A (en)2020-04-072020-04-07Bridge structure health monitoring and early warning system and early warning method

Publications (1)

Publication NumberPublication Date
CN111486893Atrue CN111486893A (en)2020-08-04

Family

ID=71791517

Family Applications (1)

Application NumberTitlePriority DateFiling Date
CN202010266376.2APendingCN111486893A (en)2020-04-072020-04-07Bridge structure health monitoring and early warning system and early warning method

Country Status (1)

CountryLink
CN (1)CN111486893A (en)

Cited By (26)

* Cited by examiner, † Cited by third party
Publication numberPriority datePublication dateAssigneeTitle
CN112651066A (en)*2020-09-222021-04-13重庆市城投路桥管理有限公司Bridge health monitoring intelligent evaluation system and evaluation method based on multiple linear regression
CN112698015A (en)*2020-12-082021-04-23温州鼎玛建筑技术有限公司Road and bridge crack detection system
CN112726499A (en)*2020-12-302021-04-30徐州奥拉可电子科技有限公司Flood plugging device with emergent alarm function
CN113128371A (en)*2021-04-012021-07-16中铁大桥局集团有限公司Operation-period bridge monitoring system and method based on automatic visual scanning
CN113155181A (en)*2021-03-022021-07-23中铁第四勘察设计院集团有限公司Underground structure health intelligent monitoring and collaborative early warning system and method
CN113420964A (en)*2021-06-072021-09-21煤炭科学研究总院Bridge safety detection method and device and electronic equipment
CN113514110A (en)*2021-08-192021-10-19张旭辉Road and bridge engineering intelligent measurement system
CN113776582A (en)*2021-08-252021-12-10上海洪铺钢结构工程有限公司 A steel structure bridge, safety monitoring method and safety monitoring device
CN113790853A (en)*2021-09-232021-12-14东北石油大学 A comprehensive test platform for the dynamic sealing performance of gas storage caprock rocks
CN113865549A (en)*2021-10-082021-12-31北京中交桥宇科技有限公司Bridge structure health monitoring and early warning system and early warning method
CN113902588A (en)*2021-10-212022-01-07应急管理部四川消防研究所 A building structure health management platform and its realization method
WO2022056677A1 (en)*2020-09-152022-03-24西门子股份公司Monitoring, collection and analysis systems and methods thereof, and device, storage medium, program and program product
CN114282398A (en)*2021-06-022022-04-05四川轻化工大学 A bridge health monitoring system and method based on big data
CN114429032A (en)*2021-12-232022-05-03贵州大学Bridge health online intelligent monitoring system
CN114689254A (en)*2020-12-312022-07-01沂沭泗水利管理局防汛机动抢险队Bridge dynamic load health diagnosis information system
CN114894411A (en)*2022-05-242022-08-12东营固泰尔建筑科技有限责任公司Bridge health monitoring method and system based on wireless sensor network
CN114965969A (en)*2022-05-132022-08-30湖北博江建筑工程管理有限公司Intelligent monitoring and early warning system for long-span bridge structure health based on wireless sensor
CN115015267A (en)*2022-05-202022-09-06武汉公路桥梁建设集团工程试验检测有限公司 A rapid detection system for multi-platform vehicle-mounted bridges with intelligent identification
CN115985041A (en)*2022-07-132023-04-18广州粤桥工程咨询有限公司Improved bridge safety monitoring comprehensive alarm analysis method and system
CN116182943A (en)*2023-01-312023-05-30江苏丰华建筑系统集成有限公司Large-span steel structure health monitoring method and system based on data reconstruction
CN116308305A (en)*2023-05-252023-06-23安徽省云鹏工程项目管理有限公司Bridge health monitoring data management system
CN117490766A (en)*2023-11-012024-02-02河北大学Ultra-high voltage transmission tower health monitoring system with damage identification function
CN117664484A (en)*2024-01-312024-03-08北京智城联合科技发展有限公司Smart city bridge safety monitoring and early warning method and system
CN117872938A (en)*2024-03-122024-04-12贵州省公路建设养护集团有限公司Method and system for realizing equipment safety control under bridge construction based on Internet of things
CN117928857A (en)*2024-01-252024-04-26上海智能交通有限公司Bridge health state monitoring device and method
CN118549532A (en)*2024-07-252024-08-27深圳八方地动科技有限公司Road bridge safety monitoring method and device

Citations (9)

* Cited by examiner, † Cited by third party
Publication numberPriority datePublication dateAssigneeTitle
CN102081844A (en)*2011-01-252011-06-01华中科技大学Traffic video behavior analyzing and alarming server
CN103810505A (en)*2014-02-192014-05-21北京大学Vehicle identification method and system based on multilayer descriptors
CN105157608A (en)*2015-08-312015-12-16浙江大华技术股份有限公司Detection method, apparatus, and system of oversized vehicle
CN106710231A (en)*2017-01-232017-05-24上海良相智能化工程有限公司Oversize and overload nonlocal law enforcement system
CN107729818A (en)*2017-09-212018-02-23北京航空航天大学A kind of multiple features fusion vehicle recognition methods again based on deep learning
CN107860425A (en)*2017-10-302018-03-30湖北双可智能工程有限公司Bridge structure health monitoring and early warning system and method
CN109029571A (en)*2018-07-242018-12-18杨波A kind of Bridge Condition Monitoring system
CN109377572A (en)*2018-12-122019-02-22杭州华云科技有限公司A kind of management control method and managing device of unattended cloud parking
CN110120155A (en)*2018-02-072019-08-13中国石油化工股份有限公司A kind of chemical industry plant area vehicle overload overload intelligent monitoring and alarming system

Patent Citations (9)

* Cited by examiner, † Cited by third party
Publication numberPriority datePublication dateAssigneeTitle
CN102081844A (en)*2011-01-252011-06-01华中科技大学Traffic video behavior analyzing and alarming server
CN103810505A (en)*2014-02-192014-05-21北京大学Vehicle identification method and system based on multilayer descriptors
CN105157608A (en)*2015-08-312015-12-16浙江大华技术股份有限公司Detection method, apparatus, and system of oversized vehicle
CN106710231A (en)*2017-01-232017-05-24上海良相智能化工程有限公司Oversize and overload nonlocal law enforcement system
CN107729818A (en)*2017-09-212018-02-23北京航空航天大学A kind of multiple features fusion vehicle recognition methods again based on deep learning
CN107860425A (en)*2017-10-302018-03-30湖北双可智能工程有限公司Bridge structure health monitoring and early warning system and method
CN110120155A (en)*2018-02-072019-08-13中国石油化工股份有限公司A kind of chemical industry plant area vehicle overload overload intelligent monitoring and alarming system
CN109029571A (en)*2018-07-242018-12-18杨波A kind of Bridge Condition Monitoring system
CN109377572A (en)*2018-12-122019-02-22杭州华云科技有限公司A kind of management control method and managing device of unattended cloud parking

Cited By (39)

* Cited by examiner, † Cited by third party
Publication numberPriority datePublication dateAssigneeTitle
WO2022056677A1 (en)*2020-09-152022-03-24西门子股份公司Monitoring, collection and analysis systems and methods thereof, and device, storage medium, program and program product
CN112651066A (en)*2020-09-222021-04-13重庆市城投路桥管理有限公司Bridge health monitoring intelligent evaluation system and evaluation method based on multiple linear regression
CN112698015A (en)*2020-12-082021-04-23温州鼎玛建筑技术有限公司Road and bridge crack detection system
CN112698015B (en)*2020-12-082024-04-02温州鼎玛建筑技术有限公司Road and bridge crack detecting system
CN112726499A (en)*2020-12-302021-04-30徐州奥拉可电子科技有限公司Flood plugging device with emergent alarm function
CN114689254A (en)*2020-12-312022-07-01沂沭泗水利管理局防汛机动抢险队Bridge dynamic load health diagnosis information system
CN113155181A (en)*2021-03-022021-07-23中铁第四勘察设计院集团有限公司Underground structure health intelligent monitoring and collaborative early warning system and method
CN113155181B (en)*2021-03-022024-04-30中铁第四勘察设计院集团有限公司Intelligent monitoring collaborative early warning system and method for underground structure health
CN113128371A (en)*2021-04-012021-07-16中铁大桥局集团有限公司Operation-period bridge monitoring system and method based on automatic visual scanning
CN113128371B (en)*2021-04-012023-06-23中铁大桥局集团有限公司 A bridge monitoring system and method during operation period based on automatic visual scanning
CN114282398A (en)*2021-06-022022-04-05四川轻化工大学 A bridge health monitoring system and method based on big data
CN113420964A (en)*2021-06-072021-09-21煤炭科学研究总院Bridge safety detection method and device and electronic equipment
CN113514110A (en)*2021-08-192021-10-19张旭辉Road and bridge engineering intelligent measurement system
CN113776582B (en)*2021-08-252023-11-03上海洪铺钢结构工程有限公司Steel structure bridge, safety monitoring method and safety monitoring device
CN113776582A (en)*2021-08-252021-12-10上海洪铺钢结构工程有限公司 A steel structure bridge, safety monitoring method and safety monitoring device
CN113790853A (en)*2021-09-232021-12-14东北石油大学 A comprehensive test platform for the dynamic sealing performance of gas storage caprock rocks
CN113790853B (en)*2021-09-232024-06-04东北石油大学Comprehensive test platform for dynamic tightness of gas storage cover layer rock
CN113865549A (en)*2021-10-082021-12-31北京中交桥宇科技有限公司Bridge structure health monitoring and early warning system and early warning method
CN113865549B (en)*2021-10-082024-01-26北京中交桥宇科技有限公司Bridge structure health monitoring and early warning system and early warning method
CN113902588A (en)*2021-10-212022-01-07应急管理部四川消防研究所 A building structure health management platform and its realization method
CN114429032A (en)*2021-12-232022-05-03贵州大学Bridge health online intelligent monitoring system
CN114965969A (en)*2022-05-132022-08-30湖北博江建筑工程管理有限公司Intelligent monitoring and early warning system for long-span bridge structure health based on wireless sensor
CN115015267A (en)*2022-05-202022-09-06武汉公路桥梁建设集团工程试验检测有限公司 A rapid detection system for multi-platform vehicle-mounted bridges with intelligent identification
CN114894411A (en)*2022-05-242022-08-12东营固泰尔建筑科技有限责任公司Bridge health monitoring method and system based on wireless sensor network
CN114894411B (en)*2022-05-242024-03-22东营固泰尔建筑科技有限责任公司Bridge health monitoring method and system based on wireless sensor network
CN115985041A (en)*2022-07-132023-04-18广州粤桥工程咨询有限公司Improved bridge safety monitoring comprehensive alarm analysis method and system
CN115985041B (en)*2022-07-132023-09-19广州粤桥工程咨询有限公司Improved bridge safety monitoring comprehensive alarm analysis method and system
CN116182943A (en)*2023-01-312023-05-30江苏丰华建筑系统集成有限公司Large-span steel structure health monitoring method and system based on data reconstruction
CN116182943B (en)*2023-01-312023-12-15扬州丰筑建设工程有限公司Large-span steel structure health monitoring method and system based on data reconstruction
CN116308305B (en)*2023-05-252023-08-08安徽省云鹏工程项目管理有限公司Bridge health monitoring data management system
CN116308305A (en)*2023-05-252023-06-23安徽省云鹏工程项目管理有限公司Bridge health monitoring data management system
CN117490766A (en)*2023-11-012024-02-02河北大学Ultra-high voltage transmission tower health monitoring system with damage identification function
CN117928857A (en)*2024-01-252024-04-26上海智能交通有限公司Bridge health state monitoring device and method
CN117928857B (en)*2024-01-252025-04-11上海智能交通有限公司 A bridge health status monitoring device and method
WO2025156616A1 (en)*2024-01-252025-07-31上海智能交通有限公司Bridge health state monitoring apparatus and method
CN117664484A (en)*2024-01-312024-03-08北京智城联合科技发展有限公司Smart city bridge safety monitoring and early warning method and system
CN117664484B (en)*2024-01-312024-04-05北京智城联合科技发展有限公司Smart city bridge safety monitoring and early warning method and system
CN117872938A (en)*2024-03-122024-04-12贵州省公路建设养护集团有限公司Method and system for realizing equipment safety control under bridge construction based on Internet of things
CN118549532A (en)*2024-07-252024-08-27深圳八方地动科技有限公司Road bridge safety monitoring method and device

Similar Documents

PublicationPublication DateTitle
CN111486893A (en)Bridge structure health monitoring and early warning system and early warning method
CN111965246B (en) A scraper machine fault detection method and its detection system based on multi-information fusion
CN204515511U (en)Cultivating one monitoring system built by bridge
CN111582188B (en)Concrete pouring side station supervision method based on artificial intelligence
CN104386449B (en)On-line checking intelligent protection device is taken turns end to end for mining belt conveyer
CN114894411A (en)Bridge health monitoring method and system based on wireless sensor network
CN201508484U (en) A bridge intelligent monitoring system
CN108515991B (en) A detection system for standardized operation of receiving and dispatching trains
GB2601937A (en)Method and system for managing a crane and/or construction site
CN110889339B (en)Head and shoulder detection-based dangerous area grading early warning method and system
CN113155196A (en)Bridge operation real-time monitoring system based on AIoT and monitoring method thereof
KR20210085168A (en)System and method for safety inspection by trainiing nature freqeuncy of structure based on machine learning
WO2022056677A1 (en)Monitoring, collection and analysis systems and methods thereof, and device, storage medium, program and program product
CN115479949B (en)Bridge safety monitoring and early warning method and system based on big data
CN108928744A (en)A kind of container crane inline diagnosis and maintenance system based on big data
CN112286180A (en)Power inspection analysis system and method based on inspection robot
CN116862244B (en)Industrial field vision AI analysis and safety pre-warning system and method
CN118908003B (en) An elevator fall warning system based on image recognition technology
CN118419520B (en)Coal pile positioning and identifying method for coal mine conveyor belt surface
CN118887797A (en) A timely warning system and method for abnormal road events
CN118255227A (en)Elevator state early warning system based on sensor data acquisition and AI algorithm
CN119558689A (en) A building operation and maintenance method and system based on digital twin
CN113483815A (en)Mechanical fault monitoring system based on industrial big data
CN119741836A (en) Intelligent detection and early warning method for traffic overload control system
CN119117847B (en)Elevator lifting state monitoring method and system

Legal Events

DateCodeTitleDescription
PB01Publication
PB01Publication
SE01Entry into force of request for substantive examination
SE01Entry into force of request for substantive examination
RJ01Rejection of invention patent application after publication

Application publication date:20200804

RJ01Rejection of invention patent application after publication

[8]ページ先頭

©2009-2025 Movatter.jp