Movatterモバイル変換


[0]ホーム

URL:


CN111464064B - Harmonic Suppression Method for Multilevel DC Link Inverters - Google Patents

Harmonic Suppression Method for Multilevel DC Link Inverters
Download PDF

Info

Publication number
CN111464064B
CN111464064BCN202010388145.9ACN202010388145ACN111464064BCN 111464064 BCN111464064 BCN 111464064BCN 202010388145 ACN202010388145 ACN 202010388145ACN 111464064 BCN111464064 BCN 111464064B
Authority
CN
China
Prior art keywords
bridge module
switch
harmonic distortion
distortion content
electrically connected
Prior art date
Legal status (The legal status is an assumption and is not a legal conclusion. Google has not performed a legal analysis and makes no representation as to the accuracy of the status listed.)
Active
Application number
CN202010388145.9A
Other languages
Chinese (zh)
Other versions
CN111464064A (en
Inventor
岳舟
Current Assignee (The listed assignees may be inaccurate. Google has not performed a legal analysis and makes no representation or warranty as to the accuracy of the list.)
Hunan University of Humanities Science and Technology
Original Assignee
Hunan University of Humanities Science and Technology
Priority date (The priority date is an assumption and is not a legal conclusion. Google has not performed a legal analysis and makes no representation as to the accuracy of the date listed.)
Filing date
Publication date
Application filed by Hunan University of Humanities Science and TechnologyfiledCriticalHunan University of Humanities Science and Technology
Priority to CN202010388145.9ApriorityCriticalpatent/CN111464064B/en
Publication of CN111464064ApublicationCriticalpatent/CN111464064A/en
Application grantedgrantedCritical
Publication of CN111464064BpublicationCriticalpatent/CN111464064B/en
Activelegal-statusCriticalCurrent
Anticipated expirationlegal-statusCritical

Links

Images

Classifications

Landscapes

Abstract

Translated fromChinese

本发明提供了一种多电平直流链路逆变器及其谐波抑制方法,包括:第一半桥模块;第二半桥模块,所述第二半桥模块的第一端与所述第一半桥模块的第一端电连接;第三半桥模块,所述第三半桥模块的第一端与所述第二半桥模块的第二端电连接;第四半桥模块,所述第四半桥模块的第一端与所述第三半桥模块的第二端电连接;H桥模块,所述H桥模块的第一端与所述第一半桥模块的第二端电连接,所述H桥模块的第二端与所述第四半桥模块的第二端电连接。本发明结构灵活,可操作性强,操作简单,可以在减少开关数量的情况下产生更多的电平,降低输出电压和输出电流的谐波失真,增加输出电压和输出电流的有效值,提高输出功率。

Figure 202010388145

The present invention provides a multi-level DC link inverter and a harmonic suppression method thereof, comprising: a first half-bridge module; a second half-bridge module, wherein the first end of the second half-bridge module is connected to the The first end of the first half-bridge module is electrically connected; the third half-bridge module, the first end of the third half-bridge module is electrically connected to the second end of the second half-bridge module; the fourth half-bridge module, The first end of the fourth half-bridge module is electrically connected to the second end of the third half-bridge module; the H-bridge module, the first end of the H-bridge module is electrically connected to the second end of the first half-bridge module The terminals are electrically connected, and the second terminal of the H-bridge module is electrically connected to the second terminal of the fourth half-bridge module. The invention has flexible structure, strong operability and simple operation, can generate more levels under the condition of reducing the number of switches, reduce the harmonic distortion of output voltage and output current, increase the effective value of output voltage and output current, and improve Output Power.

Figure 202010388145

Description

Harmonic suppression method of multilevel DC link inverter
Technical Field
The invention relates to the technical field of power conversion devices and control methods, in particular to a harmonic suppression method of a multilevel direct-current link inverter.
Background
Multi-level dc-link inverter (MLI) is a combination of power semiconductor switches and a dc voltage source to generate an ac output voltage in the form of a staircase wave, the most common and most conventional multi-level dc-link inverter topologies are neutral point clamped inverter (NPC), capacitance clamped inverter (FC) and cascaded H-bridge inverter (CHB), and in recent years, many new topologies have been developed which can generate more levels with a reduced number of switches compared to the conventional inverter topology, modular multi-level converter (MMC), which is a variant of multi-level dc-link inverter (MLI) with a modular and reconfigurable structure, multi-level dc-link inverter (dlmli), which is a very important topology of the existing MMC, MLDCLI, which is a combination of a half-bridge cell and a full-bridge inverter, the cascaded half-bridge cell operating to increase the output level of MMC, the full-bridge inverter plays a role of generating an alternating current output negative polarity.
Despite the extensive research conducted by many experts and scholars on MLI topologies, the efficient operation of MLI depends on the manner in which the switches operate. Therefore, many modulation schemes are used and developed to make MLI operate efficiently. For simplicity, modulation schemes may be divided into High Switching Frequency (HSF) and Low Switching Frequency (LSF) modulation schemes. In the HSF scheme, the switches are operated at a frequency of several kHz to reduce harmonics of the output. The switches in the LSF modulation scheme operate at less than 1 kHz. The switching losses of power semiconductor switches are an important parameter in medium voltage high power applications. The manufacturing and operating costs of the converter are reduced while the switching losses are reduced. It also helps to improve equipment utilization, converter efficiency and reduce cooling requirements. Therefore, the LSF modulation scheme is generally more preferable than the HSF modulation scheme.
The isophase method (EPM) and the semi-isophase method (HEPM) have the same duty cycle, and therefore they generate very high voltage and current harmonic distortion. Since the harmonic distortion is high, the effective values of the output voltage and current are reduced, providing low power conversion efficiency. Selective harmonic cancellation (SHE) is an effective solution to eliminate lower order harmonics, but it comes at the cost of increasing higher order harmonics. Any improvement of the SHE scheme requires an increase in the switching frequency, which is not desirable. Meanwhile, the SHE scheme is also highly dependent on the modulation factor. The working principle of Spatial Vector Control (SVC) is almost the same for MLI with less Level levels, SVC and Nearest Level Modulation (NLM). However, SVC becomes more and more complex as the MLI level increases.
Disclosure of Invention
The invention provides a harmonic suppression method of a multi-level direct-current link inverter, and aims to solve the problems that the harmonic distortion of output voltage and output current is high and the effective values of the output voltage and the output current are reduced in the traditional control method.
In order to achieve the above object, an embodiment of the present invention provides a harmonic suppression method of a multilevel dc-link inverter, including:
a first half-bridge module;
a second half-bridge module, a first end of the second half-bridge module electrically connected with a second end of the first half-bridge module;
a third half-bridge module, a first end of the third half-bridge module electrically connected with a second end of the second half-bridge module;
a fourth half-bridge module, a first end of the fourth half-bridge module being electrically connected with a second end of the third half-bridge module;
and the first end of the H-bridge module is electrically connected with the first end of the first half-bridge module, and the second end of the H-bridge module is electrically connected with the second end of the fourth half-bridge module.
The first, second, third and fourth half-bridge modules each include:
a DC voltage source;
a first switch, a second end of the first switch being electrically connected to a first end of the DC voltage source;
and a first end of the second switch is electrically connected with the second end of the direct current voltage source, and a second end of the second switch is electrically connected with the first end of the first switch.
A first terminal of the first switch in the second half-bridge module is electrically connected with a second terminal of the first switch in the first half-bridge module, a first terminal of the first switch in the third half-bridge module is electrically connected with a second terminal of the first switch in the second half-bridge module, and a first terminal of the first switch in the fourth half-bridge module is electrically connected with a second terminal of the first switch in the third half-bridge module.
The H-bridge module includes:
a third switch having a first end electrically connected to the first end of the first switch in the first half-bridge module;
a fourth switch, a first end of the fourth switch being electrically connected to a second end of the third switch;
a fifth switch, a first end of the fifth switch being electrically connected to a first end of the third switch;
a sixth switch, a first terminal of the sixth switch being electrically connected to the second terminal of the fifth switch, a second terminal of the sixth switch being electrically connected to the second terminal of the first switch in the fourth half-bridge module, a second terminal of the sixth switch being electrically connected to the second terminal of the fourth switch;
a load, a first end of the load being electrically connected to a first end of the fourth switch, a second end of the load being electrically connected to a first end of the sixth switch.
The harmonic suppression method of the multilevel DC link inverter comprises the following steps:
step 1, increasing the number of half-bridge modules of a plurality of half-bridge modules provided by a multi-level direct-current link inverter to realize level expansion;
step 2, according to the number of the plurality of half-bridge modules, different voltage distribution and proportion are carried out on the direct-current voltage sources in the plurality of half-bridge modules, and various outputs with different levels are obtained;
step 3, determining the number of the selected cascaded half-bridge modules and the number of the switching angles, and calculating the angle value of the switching angle of each half-bridge module;
step 4, calculating harmonic distortion content according to the angle value of the switching angle of each half-bridge module;
step 5, reducing the angle value of the switching angle of the first half-bridge module by 1 degree and calculating the harmonic distortion content;
step 6, judging whether the newly calculated harmonic distortion content is less than the previous harmonic distortion content, executing thestep 5, if the newly calculated harmonic distortion content is not less than the previous harmonic distortion content, executing thestep 5 for the switching angles of other half-bridge modules, and executing thestep 7 until the newly calculated harmonic distortion content of the switching angle of the last half-bridge module is not less than the previous calculated harmonic distortion content;
and 7, reducing the angle values of the switching angles of all the half-bridge modules by 0.1 degree, and executing thestep 5 and thestep 6 until the minimum harmonic distortion content is obtained.
Wherein, thestep 1 specifically comprises:
by increasing the number of dc voltage sources, the number of levels of the multilevel dc link inverter is increased, and the values of all dc voltage sources are the same, as follows:
Vdc,j=Vdc j=1,2,3,4… (1)
wherein, Vdc,jDenotes a dc voltage source with index j;
the number of levels and the number of switches of the output voltage of the multilevel DC link inverter are as follows:
Nlevel=n-3 n=6,8,10,12… (2)
wherein N islevelRepresents the number of levels of the output voltage, n represents the number of switches;
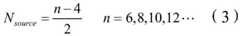
as the number of switches increases, the number of dc voltage sources also increases, as follows:
Figure GDA0003013251880000041
wherein N issourceRepresenting the number of dc voltage sources and n representing the number of switches.
Wherein, thestep 3 specifically comprises:
when the number of half-bridge modules is 4, the value of the angle of the switching angle of the half-bridge modules is calculated by the following equation:
Figure GDA0003013251880000042
wherein alpha isiThe angle value representing the switching angle i of the half-bridge module, i ═ 1,2,3, 4.
Wherein, thestep 4 specifically comprises:
the harmonic distortion content is calculated by the following equation:
Figure GDA0003013251880000043
where THD represents the harmonic distortion content.
Wherein, thestep 5 and thestep 6 specifically include:
by researching a nine-level structure provided by the multi-level direct-current link inverter, wherein the nine-level structure comprises four switching angles, the harmonic distortion content is calculated for an initial set of the four switching angles, and the angle value alpha of the first switching angle is iterated for the first time1Reduce by 1 degreeMaintaining the angle value alpha of the second switching angle2Angle value alpha of the third switching angle3And the angle value alpha of the fourth switching angle4Calculating the harmonic distortion content using the updated switching angle, comparing the newly calculated harmonic distortion content with the previously calculated harmonic distortion content, and when the newly calculated harmonic distortion content is less than the previously calculated harmonic distortion content, the angle value alpha of the first switching angle is1Reducing by 1 degree again, and repeating the first iteration process until the newly calculated harmonic distortion content is not further reduced compared with the previously calculated harmonic distortion content; when the newly calculated harmonic distortion content is larger than the previously calculated harmonic distortion content, reducing the angle value of the next switching angle by 1 degree, keeping other switching angles unchanged, and executing the iteration operation; when the angle value alpha is changed by changing the first switching angle1The angle value alpha of the second switching angle is implemented when the newly calculated harmonic distortion content obtained is not further reduced compared to the previously calculated harmonic distortion content2Reducing by 1 degree until a new calculated harmonic distortion content is obtained without further reduction compared to the previously calculated harmonic distortion content, and performing a third switching angle with an angle value alpha3Reducing by 1 degree until a new calculated harmonic distortion content is obtained without further reduction compared to the previously calculated harmonic distortion content, and performing an angle value alpha of a fourth switching angle4The 1 degree reduction operation is performed until a new calculated harmonic distortion content is obtained without further reduction from the previously calculated harmonic distortion content, forming a first loop.
Wherein, thestep 7 specifically comprises:
when the angle value of the fourth switching angle is alpha4And when the newly calculated harmonic distortion content is obtained and is not further reduced compared with the previously calculated harmonic distortion content, reducing the angle values of all the switching angles by 0.1 degrees, and executing the angle value alpha from the first switching angle1The beginning whole process is repeated again for the same change of reducing 1 degree, and a second cycle is formed; repeating the above cycle until the minimum value is obtainedHarmonic distortion content.
The scheme of the invention has the following beneficial effects:
the harmonic suppression method for the multilevel dc link inverter according to the above embodiment of the present invention has the advantages of flexible structure, strong operability, and simple operation of the multilevel dc link inverter, and can generate more levels with reduced switching number, the harmonic suppression method is simple to execute, the switching angle can be calculated by a simple equation, so that the harmonic suppression method is easier to execute, the new switching angle is helpful to improve the performance parameters of the multilevel dc link inverter, reduce the harmonic distortion content of the output voltage and the output current, increase the effective values of the output voltage and the output current, improve the output power, expand the multilevel dc link inverter to any level, and have enough space to improve the harmonic suppression method without increasing the switching frequency.
Drawings
FIG. 1 is a flow chart of the present invention;
FIG. 2 is a schematic diagram comparing the output of a 7-level multilevel DC-link inverter of the present invention with a sinusoidal waveform;
FIG. 3 is a specific circuit diagram of the present invention.
[ description of reference ]
1-a first half-bridge module; 2-a second half-bridge module; 3-a third half-bridge module; 4-a fourth half-bridge module; 5-H bridge module; 6-direct voltage source 6; 7-a first switch; 8-a second switch; 9-a third switch; 10-a fourth switch; 11-a fifth switch; 12-a sixth switch; 13-load.
Detailed Description
In order to make the technical problems, technical solutions and advantages of the present invention more apparent, the following detailed description is given with reference to the accompanying drawings and specific embodiments.
The invention provides a harmonic suppression method of a multilevel direct current link inverter, aiming at the problems that the harmonic distortion of output voltage and output current is high and the effective values of the output voltage and the output current are reduced in the existing control method.
As shown in fig. 1 to 3, an embodiment of the present invention provides a harmonic suppression method of a multilevel dc-link inverter, the multilevel dc-link inverter including: a first half-bridge module 1; a second half-bridge module 2, a first end of the second half-bridge module 2 being electrically connected with a second end of the first half-bridge module 1; a third half-bridge module 3, a first end of the third half-bridge module 3 being electrically connected with a second end of the second half-bridge module 2; a fourth half-bridge module 4, a first end of the fourth half-bridge module 4 being electrically connected with a second end of the third half-bridge module 3; and the first end of the H-bridge module 5 is electrically connected with the first end of the first half-bridge module 1, and the second end of the H-bridge module 5 is electrically connected with the second end of the fourth half-bridge module 4.
The method for harmonic suppression of a multilevel dc-link inverter according to the above-mentioned embodiment of the present invention is composed of the first half-bridge module 1, the second half-bridge module 2, the third half-bridge module 3, the fourth half-bridge module 4 and the H-bridge module 5, wherein the first switch 7 and the second switch 8 are disposed in each of the first half-bridge module 1, the second half-bridge module 2, the third half-bridge module 3 and the fourth half-bridge module 4, and the operation of the first switch 7 and the second switch 8 in the first half-bridge module 1, the second half-bridge module 2, the third half-bridge module 3 and the fourth half-bridge module 4 determines whether the relevant dc voltage source 6 should be added to the circuit or not by cascading the first half-bridge module 1, the second half-bridge module 2, the third half-bridge module 3 and the fourth half-bridge module 4 to generate different levels, the first switch 7 and the second switch 8 in the first half-bridge module 1, the second half-bridge module 2, the third half-bridge module 3 and the fourth half-bridge module 4 operate in a switched manner.
The first half-bridge module 1, the second half-bridge module 2, the third half-bridge module 3 and the fourth half-bridge module 4 each include: a directcurrent voltage source 6; afirst switch 7, a second end of thefirst switch 7 being electrically connected to a first end of thedc voltage source 6; a second switch 8, a first terminal of the second switch 8 is electrically connected to the second terminal of thedc voltage source 6, and a second terminal of the second switch 8 is electrically connected to the first terminal of thefirst switch 7.
A first terminal of thefirst switch 7 in the second half-bridge module 2 is electrically connected to a second terminal of thefirst switch 7 in the first half-bridge module 1, a first terminal of thefirst switch 7 in the third half-bridge module 3 is electrically connected to a second terminal of thefirst switch 7 in the second half-bridge module 2, and a first terminal of thefirst switch 7 in the fourth half-bridge module 4 is electrically connected to a second terminal of thefirst switch 7 in the third half-bridge module 3.
The H-bridge module 5 includes: a third switch 9, a first end of the third switch 9 being electrically connected with a first end of thefirst switch 7 in the first half-bridge module 1; a fourth switch 10, wherein a first end of the fourth switch 10 is electrically connected with a second end of the third switch 9; a fifth switch 11, wherein a first end of the fifth switch 11 is electrically connected with a first end of the third switch 9; asixth switch 12, a first terminal of thesixth switch 12 is electrically connected to the second terminal of the fifth switch 11, a second terminal of thesixth switch 12 is electrically connected to the second terminal of thefirst switch 7 in the fourth half-bridge module 4, and a second terminal of thesixth switch 12 is electrically connected to the second terminal of the fourth switch 10; a load 13, wherein a first terminal of the load 13 is electrically connected to a first terminal of the fourth switch 10, and a second terminal of the load 13 is electrically connected to a first terminal of thesixth switch 12.
The harmonic suppression method of the multilevel dc link inverter according to the above embodiment of the present invention is considered when considering the first switch S in the fourth half-bridge module 41And the second switch S in the fourth half-bridge module 42While, the switch S is turned on2And closing the switch S1Providing a current path connecting a DC voltage source V in said fourth half-bridge module 4dc1Added to the main circuit, but opening the switch S1And closing the switch S2Will release Vdc1The association of (a); when considering the first switch S in the third half-bridge module 33And the second switch S in the third half-bridge module 34While, the switch S is turned on4And closing the switch S3Providing a current path connecting a DC voltage source V in said third half-bridge module 3dc2Added to the main circuit, but opening the switch S3And closing the switch S4Will release Vdc2The association of (a); when considering the first switch S in the second half-bridge module 25And the second switch S in the second half-bridge module 26While, the switch S is turned on6And closing the switch S5Providing a current path connecting a DC voltage source V in said second half-bridge module 2dc3Added to the main circuit, but opening the switch S5And closing the switch S6Will release Vdc3The association of (a); when considering the first switch 7S in the first half-bridge module 17And said second switch 8S in said first half-bridge module 18While, the switch S is turned on8And closing the switch S7Providing a current path connecting a DC voltage source 6V in said first half-bridge module 1dc4Added to the main circuit, but opening the switch S7And closing the switch S8Will release Vdc4The association of (a); the third switch 9S in the H-bridge module 59And said sixth switch 12S in said H-bridge module 510The switch-on operation will provide a positive half cycle of the AC output, the negative half of which is provided by the fifth switch 11S in the H-bridge module 511And the fourth switch 10S in the H-bridge module 512It is provided that, for a single cycle, the switching frequency of each half-bridge module is twice the switching frequency of the H-bridge module 5, the H-bridge module 5 operating at a switching frequency of 50Hz to produce a 50Hz ac output.
The harmonic suppression method of the multilevel DC link inverter comprises the following steps: step 1, increasing the number of half-bridge modules of a plurality of half-bridge modules provided by a multi-level direct-current link inverter to realize level expansion; step 2, according to the number of the plurality of half-bridge modules, different voltage distribution and proportion are carried out on the direct-current voltage sources in the plurality of half-bridge modules, and various outputs with different levels are obtained; step 3, determining the number of the selected cascaded half-bridge modules and the number of the switching angles, and calculating the angle value of the switching angle of each half-bridge module; step 4, calculating harmonic distortion content according to the angle value of the switching angle of each half-bridge module; step 5, reducing the angle value of the switching angle of the first half-bridge module by 1 degree and calculating the harmonic distortion content; step 6, judging whether the newly calculated harmonic distortion content is less than the previous harmonic distortion content, executing the step 5, if the newly calculated harmonic distortion content is not less than the previous harmonic distortion content, executing the step 5 for the switching angles of other half-bridge modules, and executing the step 7 until the newly calculated harmonic distortion content of the switching angle of the last half-bridge module is not less than the previous calculated harmonic distortion content; and 7, reducing the angle values of the switching angles of all the half-bridge modules by 0.1 degree, and executing the step 5 and the step 6 until the minimum harmonic distortion content is obtained.
Wherein, thestep 1 specifically comprises: by increasing the number of dc voltage sources, the number of levels of the multilevel dc link inverter is increased, and the values of all dc voltage sources are the same, as follows:
Vdc,j=Vdc j=1,2,3,4… (1)
wherein, Vdc,jDenotes a dc voltage source with index j;
the number of levels and the number of switches of the output voltage of the multilevel DC link inverter are as follows:
Nlevel=n-3 n=6,8,10,12… (2)
wherein N islevelRepresents the number of levels of the output voltage, n represents the number of switches;
as the number of switches increases, the number of dc voltage sources also increases, as follows:
Figure GDA0003013251880000091
wherein N issourceRepresenting the number of dc voltage sources and n representing the number of switches.
The above embodiments of the present inventionAccording to the harmonic suppression method of the multilevel dc link inverter, the dc voltage sources in the multilevel dc link inverter can be classified into two categories according to their symmetry, namely, the multilevel dc link inverter with a symmetrical structure and the multilevel dc link inverter with an asymmetrical structure, the multilevel dc link inverter with the constant-amplitude dc voltage source is classified as a symmetrical multilevel dc link inverter, whereas an asymmetrical multilevel dc link inverter has an unequal dc power amount, and in the symmetrical structure, the voltage amplitudes of all the dc voltage sources are equal, and four possible voltage levels, namely, V, appeardc1、Vdc1+Vdc2、Vdc1+Vdc2+Vdc3And Vdc1+Vdc2+Vdc3+Vdc4Thus, a 9-level output is generated, which is the first of twelve possible configurations provided by the multi-level dc-link inverter, and this symmetrical configuration can be extended to any number of levels using equations (1) -3, where Vdc1Is a DC voltage source, V, in the fourth half-bridge module 4dc2Is a DC voltage source, V, in the third half-bridge module 3dc3Is a DC voltage source, V, in the second half-bridge module 2dc4Is the dc voltage source 6 in said first half-bridge module 1.
In an asymmetric configuration, the dc voltage sources are not equally sized, which produces more levels than a symmetric configuration, which helps to improve the ac output voltage waveform quality and associated harmonic distortion. However, as the multi-level dc-link inverter level, in which 11 asymmetrical structures are considered to produce outputs from 11 levels to 31 levels, increases, the number of operating modes of the multi-level dc-link inverter increases within a single cycle, resulting in an increase in switching frequency, with higher multi-level dc-link inverter levels always being preferred.
As shown in table 1, the voltage of each first dc voltage source is different, and in configuration 2, the voltage of the fourth dc voltage source is twice as large as that of the other three dc voltage sources, so that 11-level output is generated; structure 3 carries a dc voltage source ratio of 1:1:2:2 and produces a 13 level output; selecting a second DC voltage source, a third DC voltage source and a fourth DC voltage source twice as large as the first DC voltage source to generate a 15-level output; the 17 level output and the 19 level output are generated by DC voltage source ratios of 1:2:2:3 and 1:2:2:4 respectively; a direct current voltage source is connected behind a natural number sequence to generate 21-level output; to produce a 23 level output, a dc voltage source ratio of 1:2:3:5 was used, similar to the Fibonacci sequence; when the ratio of the direct current voltage source is 1:2:3:6, 25-level output is generated; outputs of 27 level and 29 level are generated with dc voltage source ratios of 1:2:4:6 and 1:2:4:7, respectively; a binary sequence dc voltage source ratio is used to generate 31 levels. Table 1 shows the combined operation mode of all the structures provided by the harmonic suppression method of the multi-level dc link inverter.
TABLE 1
Figure GDA0003013251880000101
Figure GDA0003013251880000111
Wherein, thestep 3 specifically comprises: when the number of half-bridge modules is 4, the value of the angle of the switching angle of the half-bridge modules is calculated by the following equation:
Figure GDA0003013251880000112
wherein alpha isiThe angle value representing the switching angle i of the half-bridge module, i ═ 1,2,3, 4.
The harmonic suppression method of the multilevel dc link inverter according to the above embodiment of the present invention is shown in fig. 2, which shows a single cycle of 7-level multilevel dc link inverter (MLI) output compared to a sinusoidal waveform and also shows a quarter cycle, which is an operation of the conventional schemeProviding an insight. For ease of understanding, the sinusoidal waveform cutting the rising edge of the multilevel dc link inverter level can be divided into two parts, the upper part being called the Upper Segment (USL) and the lower part being called the Lower Segment (LSL), the sizes of USL and LSL being the same for the harmonic suppression method. This applies to all rising edges of the multilevel dc-link inverter level, the angle value α of the switching angle being calculated by means of equation (4)i
Wherein, thestep 4 specifically comprises: the harmonic distortion content is calculated by the following equation:
Figure GDA0003013251880000121
where THD represents the harmonic distortion content.
The harmonic suppression method for the multilevel dc link inverter according to the above embodiment of the present invention needs to correctly calculate the harmonic distortion, and replace the switching angle in the harmonic distortion equation (5) to determine whether the new set of switching angles increases or decreases the harmonic distortion.
Wherein, the step 5 and the step 6 specifically include: by researching a nine-level structure provided by the multi-level direct-current link inverter, wherein the nine-level structure comprises four switching angles, the harmonic distortion content is calculated for an initial set of the four switching angles, and the angle value alpha of the first switching angle is iterated for the first time1Reducing by 1 degree and maintaining the angle value alpha of the second switching angle2Angle value alpha of the third switching angle3And the angle value alpha of the fourth switching angle4Calculating the harmonic distortion content using the updated switching angle, comparing the newly calculated harmonic distortion content with the previously calculated harmonic distortion content, and when the newly calculated harmonic distortion content is less than the previously calculated harmonic distortion content, the angle value alpha of the first switching angle is1Reducing by 1 degree again, and repeating the first iteration process until the newly calculated harmonic distortion content is not further reduced compared with the previously calculated harmonic distortion content; when the newly calculated harmonic distortion content is greater than the previously calculated harmonic distortion contentWhen the harmonic distortion content exists, reducing the angle value of the next switching angle by 1 degree, keeping other switching angles unchanged, and executing the iteration operation; when the angle value alpha is changed by changing the first switching angle1The angle value alpha of the second switching angle is implemented when the newly calculated harmonic distortion content obtained is not further reduced compared to the previously calculated harmonic distortion content2Reducing by 1 degree until a new calculated harmonic distortion content is obtained without further reduction compared to the previously calculated harmonic distortion content, and performing a third switching angle with an angle value alpha3Reducing by 1 degree until a new calculated harmonic distortion content is obtained without further reduction compared to the previously calculated harmonic distortion content, and performing an angle value alpha of a fourth switching angle4The 1 degree reduction operation is performed until a new calculated harmonic distortion content is obtained without further reduction from the previously calculated harmonic distortion content, forming a first loop.
Wherein, thestep 7 specifically comprises: when the angle value of the fourth switching angle is alpha4And when the newly calculated harmonic distortion content is obtained and is not further reduced compared with the previously calculated harmonic distortion content, reducing the angle values of all the switching angles by 0.1 degrees, and executing the angle value alpha from the first switching angle1The beginning whole process is repeated again for the same change of reducing 1 degree, and a second cycle is formed; the above cycle is repeated until a minimum harmonic distortion content is obtained.
The harmonic suppression method for the multilevel dc link inverter according to the above embodiment of the present invention performs a nine-level structure research provided by the multilevel dc link inverter, where the nine-level structure has four switching angles, the harmonic suppression method first calculates a harmonic distortion content by using an initial set of switching angles, and iterates for the first time, where an angle value α of the first switching angle is1Reducing by 1 degree and maintaining the angle value alpha of the second switching angle2Angle value alpha of the third switching angle3And the angle value alpha of the fourth switching angle4Unchanged, with the angle value alpha of the updated first switching angle1Calculating harmonic distortion content and calculating new harmonic distortionComparing the true content with the previously calculated harmonic distortion content, and when the newly calculated harmonic distortion content is less than the previously calculated harmonic distortion content, the angle value alpha of the first switching angle1Further reducing by 1 degree, and carrying out second iteration until the newly calculated harmonic distortion content is not further reduced compared with the previously calculated harmonic distortion content; the angle value alpha of the second switching angle is greater when the newly calculated harmonic distortion content is greater than the previously calculated harmonic distortion content2Reducing by 1 degree and maintaining the angle value alpha of the first switching angle1Angle value alpha of the third switching angle3And the angle value alpha of the fourth switching angle4With unchanged angle value alpha of the updated second switching angle2Calculating the harmonic distortion content, comparing the newly calculated harmonic distortion content with the previously calculated harmonic distortion content, and when the newly calculated harmonic distortion content is less than the previously calculated harmonic distortion content, the angle value alpha of the second switching angle2Further reducing by 1 degree, and continuing iteration until the newly calculated harmonic distortion content is not further reduced compared with the previously calculated harmonic distortion content; the angle value alpha of the third switching angle is greater when the newly calculated harmonic distortion content is greater than the previously calculated harmonic distortion content3Reducing by 1 degree and maintaining the angle value alpha of the first switching angle1Angle value alpha of the second switching angle2And the angle value alpha of the fourth switching angle4Unchanged, with the angle value alpha of the updated third switching angle3Calculating the harmonic distortion content, comparing the newly calculated harmonic distortion content with the previously calculated harmonic distortion content, and when the newly calculated harmonic distortion content is less than the previously calculated harmonic distortion content, the angle value alpha of the third switching angle3Further reducing by 1 degree, and continuing iteration until the newly calculated harmonic distortion content is not further reduced compared with the previously calculated harmonic distortion content; the angle value alpha of the fourth switching angle is greater when the newly calculated harmonic distortion content is greater than the previously calculated harmonic distortion content4Reduce by 1 degree and maintain a first switch angleAngle value alpha of1Angle value alpha of the second switching angle2And the angle value alpha of the third switching angle3Unchanged, with the angle value alpha of the updated fourth switching angle4Calculating the harmonic distortion content, comparing the newly calculated harmonic distortion content with the previously calculated harmonic distortion content, and when the newly calculated harmonic distortion content is less than the previously calculated harmonic distortion content, the angle value alpha of the fourth switching angle4Further reducing by 1 degree, and continuing iteration until the newly calculated harmonic distortion content is not further reduced compared with the previously calculated harmonic distortion content; when the angle value alpha is changed by changing the first switching angle1The angle value alpha of the second switching angle is implemented when the newly calculated harmonic distortion content obtained is not further reduced compared to the previously calculated harmonic distortion content2Reducing by 1 degree until a new calculated harmonic distortion content is obtained without further reduction compared to the previously calculated harmonic distortion content, and performing a third switching angle with an angle value alpha3Reducing by 1 degree until a new calculated harmonic distortion content is obtained without further reduction compared to the previously calculated harmonic distortion content, and performing an angle value alpha of a fourth switching angle4The 1 degree reduction operation is performed until a new calculated harmonic distortion content is obtained without further reduction compared to the previously calculated harmonic distortion content, which is the first cycle. When the angle value of the fourth switching angle is alpha4When the newly calculated harmonic distortion content is not further reduced compared with the previously calculated harmonic distortion content, the angle values of all the switching angles are reduced by 0.1 degree from the angle value alpha of the first switching angle1The whole process starting with a decrease of 1 degree repeats again the same change of angle value by 1 degree, which forms a second cycle. These cycles are repeated until a minimum harmonic distortion content is obtained. To change alpha1、α2、α3And alpha4Again repeating the process as experienced, helps to adjust the angle.
According to the number of the switch angles i, the cycle required for completing the harmonic suppression methodThe number of phases is different and the number of cycles required to complete the harmonic suppression method increases with increasing switching angle, table 2 shows the important results for a nine-level configuration, and the difference in harmonic distortion content between the different iterations can be seen from the number ofiterations 1, 10, 16, 25, 37 and 42. The difference in harmonic distortion content for the nine-level configuration is due to equation (5) taking into account the sinusoidal nature of the output of the multilevel dc-link inverter, and it can be seen from table 2 that the value of the angle α at the first switching angle is α1The harmonic distortion content is not reduced any further after the reduction and therefore remains at the same level betweeniterations 1 and 10. However, the angle value α with the second switching angle2The harmonic distortion content is reduced. Angle value alpha of the second switching angle after the 10 th iteration2After continuing to decrease to the 25 th iteration, the harmonic distortion content is not further decreased, and therefore, the angle value alpha of the third switching angle is decreased3So as to observe the variation of the harmonic distortion content and then reduce the angle value alpha of the fourth switching angle4The variation of the harmonic distortion content is continuously observed.
TABLE 2
Figure GDA0003013251880000151
The result that can be derived from table 2 is the angle value α of the fourth switching angle4The variation in (c) will have a significant effect on the harmonic distortion content. Therefore, the iteration between the fourth switching angles shows a significant change. Angle value alpha of first switch angle1The impact on harmonic distortion content is minimal and table 2 gives an inference of 42 iterations to reach a minimum harmonic distortion content of 8.9025%, which provides the final switching angle. The accuracy ofiterations 1, 10 and 16 was 1 degree, while the accuracy of iterations 25, 37 and 42 was 0.10 degree. Similar attempts can be made for the above process for other asymmetric structures. While implementing the method for all symmetric and asymmetric structures, the number of levels and the number of switching angles for each structure need to be re-determined. This is because the number of layers per structure is different, and the number of switching angles is also different. Thus, an overlapThe number of generations increases with the number of switching angles. The harmonic suppression method is then repeated from start to finish. The entire process is a flexible implementation using equations (4) and (5) in the form of simple MATLAB code. Before the multi-level direct current link inverter is operated, the switching angle is modified to obtain a final switching angle and the final switching angle is programmed into a microcontroller, a multi-level direct current link inverter (MLDCLI) circuit is operated on a pre-programmed microcontroller program, no further monitoring is needed, harmonic distortion is controlled through a harmonic suppression method of the multi-level direct current link inverter, the harmonic distortion content of output voltage and output current is reduced, the effective value of the output voltage and the output current is increased, and the output power is improved.
While the foregoing is directed to the preferred embodiment of the present invention, it will be understood by those skilled in the art that various changes and modifications may be made without departing from the spirit and scope of the invention as defined in the appended claims.

Claims (6)

Translated fromChinese
1.一种多电平直流链路逆变器的谐波抑制方法,所述多电平直流链路逆变器包括:1. A harmonic suppression method for a multilevel DC link inverter, the multilevel DC link inverter comprising:第一半桥模块;The first half bridge module;第二半桥模块,所述第二半桥模块的第一端与所述第一半桥模块的第二端电连接;a second half-bridge module, the first end of the second half-bridge module is electrically connected to the second end of the first half-bridge module;第三半桥模块,所述第三半桥模块的第一端与所述第二半桥模块的第二端电连接;a third half-bridge module, the first end of the third half-bridge module is electrically connected to the second end of the second half-bridge module;第四半桥模块,所述第四半桥模块的第一端与所述第三半桥模块的第二端电连接;a fourth half-bridge module, the first end of the fourth half-bridge module is electrically connected to the second end of the third half-bridge module;H桥模块,所述H桥模块的第一端与所述第一半桥模块的第一端电连接,所述H桥模块的第二端与所述第四半桥模块的第二端电连接;H-bridge module, the first end of the H-bridge module is electrically connected to the first end of the first half-bridge module, and the second end of the H-bridge module is electrically connected to the second end of the fourth half-bridge module connect;所述第一半桥模块、所述第二半桥模块、所述第三半桥模块和所述第四半桥模块均包括:The first half-bridge module, the second half-bridge module, the third half-bridge module and the fourth half-bridge module all include:直流电压源;DC voltage source;第一开关,所述第一开关的第二端与所述直流电压源的第一端电连接;a first switch, the second end of the first switch is electrically connected to the first end of the DC voltage source;第二开关,所述第二开关的第一端与所述直流电压源的第二端电连接,所述第二开关的第二端与所述第一开关的第一端电连接;a second switch, the first end of the second switch is electrically connected to the second end of the DC voltage source, and the second end of the second switch is electrically connected to the first end of the first switch;所述第二半桥模块中的所述第一开关的第一端与所述第一半桥模块中的所述第一开关的第二端电连接,所述第三半桥模块中的所述第一开关的第一端与所述第二半桥模块中的所述第一开关的第二端电连接,所述第四半桥模块中的所述第一开关的第一端与所述第三半桥模块中的所述第一开关的第二端电连接;The first end of the first switch in the second half-bridge module is electrically connected to the second end of the first switch in the first half-bridge module, and all the switches in the third half-bridge module are electrically connected to the second end of the first switch in the first half-bridge module. The first end of the first switch is electrically connected to the second end of the first switch in the second half-bridge module, and the first end of the first switch in the fourth half-bridge module is electrically connected to the second end of the first switch in the fourth half-bridge module. the second end of the first switch in the third half-bridge module is electrically connected;所述H桥模块包括:The H-bridge module includes:第三开关,所述第三开关的第一端与所述第一半桥模块中的所述第一开关的第一端电连接;a third switch, the first end of the third switch is electrically connected to the first end of the first switch in the first half-bridge module;第四开关,所述第四开关的第一端与所述第三开关的第二端电连接;a fourth switch, the first end of the fourth switch is electrically connected to the second end of the third switch;第五开关,所述第五开关的第一端与所述第三开关的第一端电连接;a fifth switch, the first end of the fifth switch is electrically connected to the first end of the third switch;第六开关,所述第六开关的第一端与所述第五开关的第二端电连接,所述第六开关的第二端与所述第四半桥模块中的所述第一开关的第二端电连接,所述第六开关的第二端与所述第四开关的第二端电连接;a sixth switch, the first end of the sixth switch is electrically connected to the second end of the fifth switch, and the second end of the sixth switch is electrically connected to the first switch in the fourth half-bridge module The second end of the sixth switch is electrically connected to the second end of the fourth switch;负载,所述负载的第一端与所述第四开关的第一端电连接,所述负载的第二端与所述第六开关的第一端电连接;a load, the first end of the load is electrically connected to the first end of the fourth switch, and the second end of the load is electrically connected to the first end of the sixth switch;多电平直流链路逆变器的谐波抑制方法,包括:Harmonic suppression methods for multilevel DC link inverters, including:步骤1,对多电平直流链路逆变器提供的多个半桥模块进行半桥模块数量的增加以实现电平扩展;Step 1, increasing the number of half-bridge modules provided by the multi-level DC link inverter to achieve level expansion;步骤2,根据多个半桥模块的数量并对多个半桥模块中的直流电压源进行不同的电压分配和配比,得到多种不同电平的输出;Step 2, according to the number of the plurality of half-bridge modules, different voltage distribution and ratios are performed on the DC voltage sources in the plurality of half-bridge modules, so as to obtain a variety of outputs of different levels;步骤3,确定选择级联的半桥模块的数量和开关角数量并计算每个半桥模块的开关角的角度值;Step 3: Determine the number of cascaded half-bridge modules and the number of switching angles and calculate the angle value of the switching angle of each half-bridge module;步骤4,根据每个半桥模块的开关角的角度值计算谐波失真含量;Step 4: Calculate the harmonic distortion content according to the angle value of the switching angle of each half-bridge module;步骤5,将第一半桥模块的开关角的角度值减小1度并计算谐波失真含量;Step 5, reducing the angle value of the switching angle of the first half-bridge module by 1 degree and calculating the harmonic distortion content;步骤6,判断新计算出的谐波失真含量是否小于前一个谐波失真含量,新计算出的谐波失真含量小于前一个谐波失真含量,执行所述步骤5,新计算出的谐波失真含量不小于前一个谐波失真含量,对其他半桥模块的开关角执行所述步骤5,直到最后一个半桥模块的开关角新计算出的谐波失真含量不小于前一个计算出的谐波失真含量时,执行步骤7;Step 6, determine whether the newly calculated harmonic distortion content is less than the previous harmonic distortion content, and the newly calculated harmonic distortion content is less than the previous harmonic distortion content, and execute the step 5, the newly calculated harmonic distortion content The content is not less than the previous harmonic distortion content, and the step 5 is performed for the switching angles of other half-bridge modules until the newly calculated harmonic distortion content of the switching angle of the last half-bridge module is not less than the previous calculated harmonic distortion. When the distortion content is present, go to step 7;步骤7,将所有半桥模块的开关角的角度值减小0.1度,执行所述步骤5和所述步骤6,直到得到最小谐波失真含量。Step 7: Decrease the angle values of the switching angles of all half-bridge modules by 0.1 degrees, and perform the steps 5 and 6 until the minimum harmonic distortion content is obtained.2.根据权利要求1所述的多电平直流链路逆变器的谐波抑制方法,其特征在于,所述步骤1具体包括:2. The harmonic suppression method for a multi-level DC link inverter according to claim 1, wherein the step 1 specifically comprises:通过增加直流电压源的数量,增加多电平直流链路逆变器的电平数,所有直流电压源的值相同,如下所示:By increasing the number of DC voltage sources, increasing the number of levels of the multilevel DC link inverter, all DC voltage sources have the same value as follows:Vdc,j=Vdc j=1,2,3,4… (1)Vdc,j =Vdcj =1,2,3,4…(1)其中,Vdc,j表示下标为j的直流电压源;Among them, Vdc,j represents the DC voltage source with the subscript j;所述多电平直流链路逆变器输出电压的电平数和开关数,如下所示:The number of levels and switches of the output voltage of the multi-level DC link inverter are as follows:Nlevel=n-3 n=6,8,10,12… (2)Nlevel = n-3 n = 6, 8, 10, 12... (2)其中,Nlevel表示输出电压的电平数,n表示开关的数量;Among them, Nlevel represents the number of levels of the output voltage, and n represents the number of switches;随着开关数量的增加,直流电压源的数量也增加,如下所示:As the number of switches increases, so does the number of DC voltage sources, as follows:
Figure FDA0003013251870000031
Figure FDA0003013251870000031
其中,Nsource表示直流电压源的数量,n表示开关的数量。Among them, Nsource represents the number of DC voltage sources, and n represents the number of switches.3.根据权利要求2所述的多电平直流链路逆变器的谐波抑制方法,其特征在于,所述步骤3具体包括:3. The harmonic suppression method for a multi-level DC link inverter according to claim 2, wherein the step 3 specifically comprises:当半桥模块的数量为4时,通过以下方程计算半桥模块的开关角的角度值:When the number of half-bridge modules is 4, the angle value of the switching angle of the half-bridge modules is calculated by the following equation:
Figure FDA0003013251870000032
Figure FDA0003013251870000032
其中,αi表示半桥模块的开关角i的角度值,i=1,2,3,4。Wherein, αi represents the angle value of the switching angle i of the half-bridge module, i=1, 2, 3, 4.
4.根据权利要求3所述的多电平直流链路逆变器的谐波抑制方法,其特征在于,所述步骤4具体包括:4. The harmonic suppression method for a multi-level DC link inverter according to claim 3, wherein the step 4 specifically comprises:通过以下方程计算谐波失真含量:Calculate the harmonic distortion content by the following equation:
Figure FDA0003013251870000033
Figure FDA0003013251870000033
其中,THD表示谐波失真含量。where THD represents the harmonic distortion content.
5.根据权利要求4所述的多电平直流链路逆变器的谐波抑制方法,其特征在于,所述步骤5和所述步骤6具体包括:5. The harmonic suppression method for a multi-level DC link inverter according to claim 4, wherein the step 5 and the step 6 specifically include:通过对所述多电平直流链路逆变器提供的九电平结构进行研究,九电平结构包括四个开关角,对四个开关角的初始集合计算谐波失真含量,第一次迭代,将第一个开关角的角度值α1减小1度,保持第二个开关角的角度值α2、第三个开关角的角度值α3和第四个开关角的角度值α4不变,使用更新的开关角计算谐波失真含量,将新计算出的谐波失真含量与前一个计算出的谐波失真含量进行比较,当新计算出的谐波失真含量小于前一个计算出的谐波失真含量时,第一个开关角的角度值α1再减小1度,重复第一次迭代过程直到新计算出的谐波失真含量与前一个计算出的谐波失真含量相比没有进一步减少为止;当新计算出的谐波失真含量大于前一个计算出的谐波失真含量时,将下一个开关角的角度值减小1度,其他开关角保持不变,执行以上迭代操作;当通过改变第一个开关角的角度值α1获得的新计算出的谐波失真含量与前一个计算出的谐波失真含量相比没有进一步减少时,执行第二个开关角的角度值α2减小1度的操作,直到获得新计算出的谐波失真含量与前一个计算出的谐波失真含量相比没有进一步减少,执行第三个开关角的角度值α3减小1度的操作,直到获得新计算出的谐波失真含量与前一个计算出的谐波失真含量相比没有进一步减少,执行第四个开关角的角度值α4减小1度的操作,直到获得新计算出的谐波失真含量与前一个计算出的谐波失真含量相比没有进一步减少,形成第一个循环。By studying the nine-level structure provided by the multi-level DC link inverter, the nine-level structure includes four switching angles, the harmonic distortion content is calculated for the initial set of the four switching angles, the first iteration , reduce the angle value α1 of the first switching angle by 1 degree, keep the angle value α2 of the second switching angle, the angle value α3 of the third switching angle and the angle value α4 of the fourth switching angle No change, use the updated switching angle to calculate the harmonic distortion content, compare the newly calculated harmonic distortion content with the previous calculated harmonic distortion content, when the newly calculated harmonic distortion content is less than the previous calculated harmonic distortion content When the harmonic distortion contentof Until there is no further reduction; when the newly calculated harmonic distortion content is greater than the previous calculated harmonic distortion content, the angle value of the next switching angle is reduced by 1 degree, and the other switching angles remain unchanged, and the above iterative operation is performed. ; When the newly calculated harmonic distortion content obtained by changing the angle value α1 of thefirst switching angle does not decrease further compared to the previous calculated harmonic distortion content, execute the angle value of the second switching angle α2 is reduced by 1 degree until it is obtained that the newly calculated harmonic distortion content has no further reduction compared to the previous calculated harmonic distortion content, the angle value α3 of the third switching angle is reduced by 1 degree operation until the newly calculated harmonic distortion content is obtained with no further reduction compared to the previous calculated harmonic distortion content, and the operation of reducing the angle value α4 of the fourth switching angle by 1 degree is performed until the new calculated harmonic distortion content is obtained. The calculated harmonic distortion content is not further reduced compared to the previous calculated harmonic distortion content, forming the first loop.6.根据权利要求5所述的多电平直流链路逆变器的谐波抑制方法,其特征在于,所述步骤7具体包括:6 . The harmonic suppression method for a multi-level DC link inverter according to claim 5 , wherein the step 7 specifically comprises:当第四个开关角的角度值α4变化,获得新计算出的谐波失真含量与前一个计算出的谐波失真含量相比没有进一步减少时,将所有开关角的角度值减小0.1度,执行从第一个开关角的角度值α1开始的整个过程再次重复相同的减小1度变化,形成第二个循环;重复以上循环,直到获得最小谐波失真含量。When the angle value α4 of thefourth switching angle is changed to obtain no further reduction in the newly calculated harmonic distortion content compared to the previous calculated harmonic distortion content, reduce the angle value of all switching angles by 0.1 degrees , perform the whole process starting from the angle value α1 of the first switching angle and repeat the same decrease by 1 degree change again to form a second cycle; repeat the above cycle until the minimum harmonic distortion content is obtained.
CN202010388145.9A2020-05-092020-05-09 Harmonic Suppression Method for Multilevel DC Link InvertersActiveCN111464064B (en)

Priority Applications (1)

Application NumberPriority DateFiling DateTitle
CN202010388145.9ACN111464064B (en)2020-05-092020-05-09 Harmonic Suppression Method for Multilevel DC Link Inverters

Applications Claiming Priority (1)

Application NumberPriority DateFiling DateTitle
CN202010388145.9ACN111464064B (en)2020-05-092020-05-09 Harmonic Suppression Method for Multilevel DC Link Inverters

Publications (2)

Publication NumberPublication Date
CN111464064A CN111464064A (en)2020-07-28
CN111464064Btrue CN111464064B (en)2021-06-04

Family

ID=71681091

Family Applications (1)

Application NumberTitlePriority DateFiling Date
CN202010388145.9AActiveCN111464064B (en)2020-05-092020-05-09 Harmonic Suppression Method for Multilevel DC Link Inverters

Country Status (1)

CountryLink
CN (1)CN111464064B (en)

Families Citing this family (1)

* Cited by examiner, † Cited by third party
Publication numberPriority datePublication dateAssigneeTitle
CN119315854B (en)*2024-12-172025-06-13华东交通大学 A nine-level inverter topology structure and modulation method thereof

Citations (7)

* Cited by examiner, † Cited by third party
Publication numberPriority datePublication dateAssigneeTitle
US5933339A (en)*1998-03-231999-08-03Electric Boat CorporationModular static power converter connected in a multi-level, multi-phase, multi-circuit configuration
CN102594192A (en)*2010-11-302012-07-18中国南方电网有限责任公司电网技术研究中心Step wave pulse width modulation method based on nonlinear programming
CN103296912A (en)*2013-05-172013-09-11苏州市职业大学Dual-compound chained multi-level inverter
CN104270023A (en)*2014-06-232015-01-07中国矿业大学(北京)Harmonic optimization and modulation method of multi-level converter
CN205336145U (en)*2015-12-112016-06-22华南理工大学Half -bridge cascades many inverter of type
CN106560991A (en)*2016-08-122017-04-12中国船舶重工集团公司第七〇二研究所Pulse width modulation method for H-bridge cascading-type inverter
EP3616632A1 (en)*2018-08-282020-03-04Ethicon LLCTemperature control of ultrasonic end effector and control system therefor

Patent Citations (7)

* Cited by examiner, † Cited by third party
Publication numberPriority datePublication dateAssigneeTitle
US5933339A (en)*1998-03-231999-08-03Electric Boat CorporationModular static power converter connected in a multi-level, multi-phase, multi-circuit configuration
CN102594192A (en)*2010-11-302012-07-18中国南方电网有限责任公司电网技术研究中心Step wave pulse width modulation method based on nonlinear programming
CN103296912A (en)*2013-05-172013-09-11苏州市职业大学Dual-compound chained multi-level inverter
CN104270023A (en)*2014-06-232015-01-07中国矿业大学(北京)Harmonic optimization and modulation method of multi-level converter
CN205336145U (en)*2015-12-112016-06-22华南理工大学Half -bridge cascades many inverter of type
CN106560991A (en)*2016-08-122017-04-12中国船舶重工集团公司第七〇二研究所Pulse width modulation method for H-bridge cascading-type inverter
EP3616632A1 (en)*2018-08-282020-03-04Ethicon LLCTemperature control of ultrasonic end effector and control system therefor

Also Published As

Publication numberPublication date
CN111464064A (en)2020-07-28

Similar Documents

PublicationPublication DateTitle
Nagarajan et al.Performance analysis of a novel reduced switch cascaded multilevel inverter
Ding et al.Analysis of an asymmetric modulation method for cascaded multilevel inverters
Menshawi et al.Voltage vector approximation control of multistage—Multilevel inverter using simplified logic implementation
Meraj et al.DSP based implementation of SHE-PWM for cross-switched multilevel inverter
Elias et al.A three-phase hybrid multilevel inverter with enhanced pulse-width modulation strategy
Nagarajan et al.A carrier-based pulse width modulation control strategies for cascaded multilevel inverter
CN111464064B (en) Harmonic Suppression Method for Multilevel DC Link Inverters
CN102082523B (en)Control method of hybrid control cascade multilevel inverter and multilevel inverter
Monfared et al.Overview of modulation techniques for the four-switch converter topology
Gupta et al.PV based QZS inverter with improved space vector modulation technique
CN108696163B (en) A Modulation Method Suitable for Diode Clamped Arbitrary Level Converters
Awais et al.Optimal switching angles for minimization of total harmonic distortion in single phase cascaded multilevel inverters
Sirisha et al.SVPWM based generalized switching schemes for seven level DCMLI including over modulation operation-FPGA implementation
Kumar et al.Design and analysis of different multi-level inverter topologies for single phase im drive
Neralwar et al.GA based hybrid selective harmonic elimination (SHE) technique applied to five-level Nested Neutral Point Clamped (NNPC) Converter
Wang et al.Research on split-source two-stage matrix converter and its modulation strategy
Aboadla et al.A comparative study between SPWM and SHE-PWM modulation techniques for DC-AC inverters
Laali et al.Development of multi-carrier PWM technique for multilevel inverters
CN112701952B (en) Three-phase two-level inverter current ripple minimum effective value PWM method and system
Ghamudi et al.A Modified Topology Of Asymmetrical 9-Levels Cascaded Multilevel Inverter
Vinogradov et al.Control of a multilevel frequency converter of a power-efficient electric drive
Sabeur et al.A simple modulation based maximum boost control strategy for three-phase quasi Z-source inverter
Zhang et al.Novel space-vector pulse-width-modulation mechanism for three-level neutral-point-clamped z-source inverter
Xu et al.Two variations of five-level hybrid-clamped converters and their voltage balancing control using three degrees of freedom
Ming et al.A novel SVPWM method with periodically-balanced zero-sequence voltage impulse for three-phase three-level photovoltaic inverters

Legal Events

DateCodeTitleDescription
PB01Publication
PB01Publication
SE01Entry into force of request for substantive examination
SE01Entry into force of request for substantive examination
GR01Patent grant
GR01Patent grant

[8]ページ先頭

©2009-2025 Movatter.jp