



技术领域technical field
本发明属于配电网投资建设技术领域,具体涉及一种考虑风险测度的配电网精准投资项目优选方法。The invention belongs to the technical field of distribution network investment and construction, and in particular relates to a method for optimizing a distribution network precise investment project considering risk measurement.
背景技术Background technique
当前,我国电网建设重心已逐渐转移到配电网。《配电网建设改造行动计划(2015-2020年)》提出,近年配电网建设改造投资不低于2万亿元。随着社会需求发展,配电网规划发展面临一系列新的挑战:①分布式能源、电动汽车等可控设备接入,导致配电网运行场景多样化,致使规划中不确定性与复杂程度增加;②配电网投资目标多元化,不再局限于只满足负荷增长,提高用电可靠性、增强弹性运行能力、充分消纳清洁能源等也成为重要目标;③社会资本参与增量配电网投资、建设与运营。电网企业不再是配电网投资的单一主体,与社会资本将在投资效益与运营效率上形成竞争;④投资的科学性和合理性在电网有效资产的形成起关键作用。同时,实现电网企业未来发展目标必须要提升投资精准化管控水平,实现精准投资和科学决策。当前,配电网仍亟需大量改造、扩容、新建,以适应电力工业发展新态势,满足日益增长的高品质用能需求。不同于对一条或几条馈线进行规划设计,配电网投资往往以中长期为周期,以体系化工程项目群体为对象,具有发展建设规模大、涉及因素众多、单体效益难以量化、项目描述结构性差异大等难点,实际中也缺乏指导配电网精准投资与项目优选的方法,难以辅助电网管控投资风险。因此,需深入研究适合配电网发展特点的精准投资分析理论,量化项目优选依据,引入考虑风险管控的投资组合体系,提升配电网发展投资决策效益。At present, the focus of my country's power grid construction has gradually shifted to the distribution network. The Action Plan for the Construction and Reconstruction of Distribution Networks (2015-2020) proposes that the investment in the construction and renovation of distribution networks in recent years should not be less than 2 trillion yuan. With the development of social needs, the development of distribution network planning faces a series of new challenges: (1) The access of controllable equipment such as distributed energy and electric vehicles leads to the diversification of distribution network operation scenarios, resulting in uncertainty and complexity in planning Increase; ② The investment objectives of distribution network are diversified, and are no longer limited to only meeting the load growth, but also to improve the reliability of electricity consumption, enhance the ability of flexible operation, and fully absorb clean energy, etc. have also become important goals; ③ Participation of social capital in incremental power distribution Network investment, construction and operation. Power grid enterprises are no longer the single main body of distribution network investment, and will compete with social capital in terms of investment efficiency and operational efficiency; ④The scientificity and rationality of investment play a key role in the formation of effective grid assets. At the same time, to achieve the future development goals of power grid enterprises, it is necessary to improve the level of precise investment management and control, and to achieve precise investment and scientific decision-making. At present, the distribution network still needs a lot of transformation, expansion, and new construction to adapt to the new development trend of the power industry and meet the growing demand for high-quality energy. Different from the planning and design of one or several feeders, the investment in distribution network is often based on medium and long-term cycles, and is aimed at systematic engineering project groups. There are many difficulties such as large structural differences. In practice, there is also a lack of methods to guide the precise investment and project selection of the distribution network, and it is difficult to assist the power grid to manage and control investment risks. Therefore, it is necessary to deeply study the precise investment analysis theory suitable for the characteristics of distribution network development, quantify the basis for project selection, introduce an investment portfolio system that considers risk management and control, and improve the investment decision-making efficiency of distribution network development.
本发明提供一种考虑风险测度的配电网精准投资项目优选方法来克服上述缺陷。The present invention provides a method for selecting a precise investment project of a distribution network considering risk measurement to overcome the above-mentioned defects.
发明内容SUMMARY OF THE INVENTION
本发明目的在于提供一种考虑风险测度的配电网精准投资项目优选方法,用于解决上述现有技术中存在的技术问题之一,如:当前,配电网仍亟需大量改造、扩容、新建,以适应电力工业发展新态势,满足日益增长的高品质用能需求。不同于对一条或几条馈线进行规划设计,配电网投资往往以中长期为周期,以体系化工程项目群体为对象,具有发展建设规模大、涉及因素众多、单体效益难以量化、项目描述结构性差异大等难点,实际中也缺乏指导配电网精准投资与项目优选的方法,难以辅助电网管控投资风险。因此,需深入研究适合配电网发展特点的精准投资分析理论,量化项目优选依据,引入考虑风险管控的投资组合体系,提升配电网发展投资决策效益。The purpose of the present invention is to provide a precise investment project optimization method for a distribution network considering risk measurement, which is used to solve one of the technical problems existing in the above-mentioned prior art. It is newly built to adapt to the new development trend of the power industry and to meet the growing demand for high-quality energy consumption. Different from the planning and design of one or several feeders, the investment in distribution network is often based on medium and long-term cycles, and is aimed at systematic engineering project groups. There are many difficulties such as large structural differences. In practice, there is also a lack of methods to guide the precise investment and project selection of the distribution network, and it is difficult to assist the power grid to manage and control investment risks. Therefore, it is necessary to deeply study the precise investment analysis theory suitable for the characteristics of distribution network development, quantify the basis for project selection, introduce an investment portfolio system that considers risk management and control, and improve the investment decision-making efficiency of distribution network development.
为实现上述目的,本发明的技术方案是:For achieving the above object, the technical scheme of the present invention is:
一种考虑风险测度的配电网精准投资项目优选方法,其特征在于,包括以下步骤:A method for optimizing an accurate investment project in a distribution network considering risk measurement, characterized in that it includes the following steps:
S1、采集需安排投资计划的区域配电网历史数据,包括:配电网设备运行信息、本次投资预算金额、申报项目汇集、用电负荷增长信息、亟待解决问题五大类,并对配电网申报项目进行编号;S1. Collect the historical data of the regional distribution network that needs to arrange investment plans, including: distribution network equipment operation information, the investment budget amount, the collection of declared projects, electricity load growth information, and urgent problems to be solved. Numbering of online application projects;
S2、结合城市中高压配电网特点,构建配电网项目投资效益评估双层指标体系,其中包含微观指标与宏观指标,指标体系涵盖网架坚强程度、供电安全与质量、运行经济与高效、供电协调性、互动性与社会友好性五大类,又进一步细分为各种子指标;S2. Combined with the characteristics of urban medium and high voltage distribution network, construct a two-layer index system for evaluating investment benefits of distribution network projects, including micro-index and macro-index. The index system covers grid strength, power supply safety and quality, operation economy and efficiency, The five categories of power supply coordination, interaction and social friendliness are further subdivided into various sub-indicators;
S3、利用宏观指标对安排投资计划的区域开展配电网发展诊断,确定本次投资思路与对应投资约束条件,并确定投资关注点;S3. Use macro indicators to diagnose the development of the distribution network in the area where the investment plan is arranged, determine the investment ideas and corresponding investment constraints, and determine the investment focus;
S4、利用微观指标量化单个投资项目单位投资效率,使用评分量化无法直接用金额量化的效益产出维度,例如网架坚强程度提升、降低重过载设备等,根据指标权重与评分标准对每个备选项目评分,从而辅助精准投资;S4. Use microscopic indicators to quantify the investment efficiency of a single investment project unit, and use scoring to quantify the benefit output dimension that cannot be directly quantified by the amount, such as the improvement of the strength of the grid, the reduction of heavy overloaded equipment, etc., according to the index weight and scoring standard. Select project scores to assist accurate investment;
S5、基于条件风险测度的方法,将单个项目收益率的分布特征计入投资风险,对单个项目进行收益率与风险评估,在此维度构建含风险偏好置信度的投资风险最小目标函数;S5. Based on the method of conditional risk measurement, the distribution characteristics of the rate of return of a single project are included in the investment risk, and the rate of return and risk assessment of a single project is carried out, and the minimum objective function of investment risk with confidence in risk preference is constructed in this dimension;
S6、将投资总额、电网发展需求、投资组合收益率、项目间耦合关系作为约束,建立以效率与风险为目标的配电网投资组合优化模型,在达到投资收益与收益的边界条件下,兼顾投资成本与投资风险;设xT=(x1,x2,x3,…,xn)T为投资决策向量,xi=1代表确定投建第i个项目,为0则表示该项目不进入投资计划,n为项目总数;设V=(v1,v2,v3,…,vn)为项目收益率向量,vi表示第i个项目收益率,符合正态分布,其期望为平均收益率,方差为项目风险程度估计;S6. Taking the total investment, power grid development demand, investment portfolio rate of return, and coupling relationship between projects as constraints, establish a distribution network investment portfolio optimization model aiming at efficiency and risk. Under the boundary conditions of investment income and income, taking into account Investment cost and investment risk; let xT =(x1 ,x2 ,x3 ,...,xn )T be the investment decision vector, xi =1 means the i-th project is determined to be invested, and 0 means the project Do not enter the investment plan, n is the total number of projects; let V = (v1 , v2 , v3 ,..., vn ) be the project rate of return vector, vi represents the ith project rate of return, which is in line with the normal distribution, its The expectation is the average rate of return, and the variance is the estimation of the risk degree of the project;
S7、利用模糊满意度将其转化为易于求解的单目标混合整数线性规划问题,以计算配电网精准投资策略;S7. Use the fuzzy satisfaction to transform it into an easy-to-solve single-objective mixed integer linear programming problem to calculate the precise investment strategy of the distribution network;
S8、判断是否满足投资目标与可行性,若否,则返回S3,反之则结束该方法。S8, judge whether the investment objective and feasibility are met, if not, return to S3, otherwise, end the method.
优选的,所述步骤S1中,所述区域配电网历史数据包括:配电网设备运行信息、本次投资预算金额、申报项目汇集、用电负荷增长信息、亟待解决问题五大类,并对配电网申报项目进行编号;Preferably, in the step S1, the historical data of the regional distribution network includes five categories: distribution network equipment operation information, the current investment budget amount, the collection of declared projects, electricity load growth information, and urgent problems to be solved. Numbering of the projects declared by the distribution network;
所述配电网设备运行信息包括日、月、年负载率统计,设备运行年限、线路损耗与变压器损耗、供电可靠率、电压合格率、容载比、“N-1”通过率、线路联络率、线路分段合格率、线路供电半径合格率、线路绝缘化率、配电自动化覆盖率、高损配变占比、线路重载率、配变重载率、综合线损率、分布式能源并网率、动态电价用电量比例、电动汽车用电量比例;The operation information of the distribution network equipment includes daily, monthly and annual load rate statistics, equipment operating years, line loss and transformer loss, power supply reliability rate, voltage qualification rate, load capacity ratio, "N-1" pass rate, line connection rate, line segment pass rate, line power supply radius pass rate, line insulation rate, distribution automation coverage, proportion of high-loss distribution transformers, line overload rate, distribution transformer overload rate, comprehensive line loss rate, distribution Energy grid connection rate, dynamic electricity price electricity consumption ratio, electric vehicle electricity consumption ratio;
所述本次投资预算金额包括此次投资金额预算;The said investment budget amount includes this investment amount budget;
所述申报项目汇集包括投资建设金额、新增容量、增供负荷、新增供电负荷、预计供电可靠率(RS-3)改善程度、预计电压合格率改善程度、“N-1”线路提升条数、配电线路联络线路提升条数、分段合理线路提升条数、供电半径合格线路提升条数、配电线路绝缘化、提升公里数、配电自动化台数、高损配变下降台数、线路重载下降条数、配变重载下降个数、预计线路损耗率改善程度、新接入分布式电源容量、动态电价增加容量、新增充电桩个数;The collection of declared projects includes investment and construction amount, new capacity, increased supply load, new power supply load, estimated improvement of power supply reliability rate (RS-3), estimated improvement of voltage qualification rate, and “N-1” line improvement conditions. Number, the number of connection lines of distribution lines to be lifted, the number of reasonable segmented lines to be lifted, the number of qualified lines to be lifted of power supply radius, the insulation of distribution lines, the number of kilometers to be lifted, the number of distribution automation units, the number of high-loss distribution transformers to drop, the number of lines The number of heavy load drops, the number of distribution transformer heavy load drops, the expected improvement in line loss rate, the capacity of newly connected distributed power sources, the capacity of dynamic electricity prices, and the number of new charging piles;
所述用电负荷增长信息包括年最大负荷增长率,局部缺供负荷;The electricity load growth information includes the annual maximum load growth rate and the local shortage of supply load;
所述亟待解决问题包括重点专项建设计划、突出供电矛盾等。The urgent problems to be solved include key special construction plans, prominent power supply contradictions, etc.
优选的,所述步骤S2中,构建配电网项目投资效益评估双层指标体系,其中包含微观指标与宏观指标,具体为:Preferably, in the step S2, a two-layer index system for evaluating the investment benefit of the distribution network project is constructed, which includes micro-indexes and macro-indexes, specifically:
宏观指标:“N-1”通过率(单位%)、线路联络率(单位%)、线路分段合格率(单位%)、线路供电半径合格率(单位%)、供电可靠率(RS-3)(单位%)、电压合格率(单位%)、线路绝缘化率(单位%)、配电自动化覆盖率(单位%)、容载比、高损配变占比(单位%)、线路重载率(单位%)、配变重载率(单位%)、综合线损率(单位%)、分布式能源并网率(单位%)、动态电价用电量比例(单位%)、电动汽车用电量比例(单位%);Macro indicators: "N-1" pass rate (unit%), line connection rate (unit%), line segment pass rate (unit%), line power supply radius pass rate (unit%), power supply reliability rate (RS-3 ) (unit%), voltage qualification rate (unit%), line insulation rate (unit%), distribution automation coverage rate (unit%), load capacity ratio, proportion of high-loss distribution transformers (unit%), line weight Load factor (unit%), distribution transformer overload rate (unit%), comprehensive line loss rate (unit%), distributed energy grid connection rate (unit%), dynamic electricity price ratio (unit%), electric vehicle Proportion of electricity consumption (unit %);
微观指标:单位投资“N-1”线路提升条数(单位:条/万元)、单位投资配电线路联络线路提升条数(单位:条/万元)、单位投资分段合理线路提升条数(单位:条/万元)、单位投资供电半径合格线路提升条数(单位:条/万元)、局部综合电压合格率预计改善程度(单位:%)、单位投资配电线路绝缘化提升公里数(单位:km/万元)、局部供电可靠率预计改善程度(RS-3)(单位:%)、单位投资配电自动化台数(单位:台/万元)、单位投资高损配变下降台数(单位:台/万元)、单位投资线路重载下降条数(单位:km/万元)、单位投资配变重载下降个数(单位:台/万元)、局部线路损耗率预计改善程度(单位:%)、单位投资增供电量(单位:kWh/元)、单位投资增供负荷(单位:kW/元)、单位投资新接入分布式电源容量(单位:kWh/元)、单位投资动态电价增加容量(单位:kW/元)、单位投资新增充电桩个数(单位:个/万元)。Micro-indices: number of "N-1" line upgrades per unit investment (unit: line/10,000 yuan), number of connection lines for unit investment in distribution lines (unit: line/10,000 yuan), and reasonable line upgrades per unit investment segment Number (unit: bar/10,000 yuan), number of qualified lines to be upgraded per unit of investment power supply radius (unit: bar/10,000 yuan), expected improvement in local comprehensive voltage qualification rate (unit: %), unit investment in distribution line insulation improvement The number of kilometers (unit: km/10,000 yuan), the expected improvement of the local power supply reliability rate (RS-3) (unit: %), the number of units invested in distribution automation units (unit: units/10,000 yuan), the unit investment in high-loss distribution transformers The number of units dropped (unit: unit/10,000 yuan), the number of heavy-duty drops per unit of investment line (unit: km/10,000 yuan), the number of units invested in distribution transformer heavy-duty drops (unit: units/10,000 yuan), the local line loss rate Estimated degree of improvement (unit: %), increased power supply per unit investment (unit: kWh/yuan), increased supply load per unit investment (unit: kW/yuan), capacity of newly connected distributed power generation per unit investment (unit: kWh/yuan) ), the dynamic electricity price increase capacity per unit investment (unit: kW/yuan), the number of new charging piles per unit investment (unit: unit: pc/yuan).
优选的,所述步骤S3中,宏观指对安排投资计划的区域开展配电网发展诊断,确定本次投资思路与部分投资约束条件,并确定投资关注点,具体为:Preferably, in the step S3, the macro refers to carrying out the development diagnosis of the distribution network in the area where the investment plan is arranged, determining the investment idea and some investment constraints, and determining the investment focus, specifically:
“N-1”通过率(单位%)=满足“N-1”安全准则的配电线路条数/配电线路总条数×100%;"N-1" pass rate (unit %) = number of distribution lines meeting "N-1" safety criteria/total number of distribution lines × 100%;
线路联络率(单位%)=满足主干线互联的配电线路条数/配电线路总条数×100%;Line connection rate (unit %) = the number of distribution lines that meet the interconnection of the main line / the total number of distribution lines × 100%;
线路分段合格率(单位%)=合理的分段配电线路条数/配电线路总条数×100%;Line segment pass rate (unit%) = reasonable number of segmented distribution lines/total number of distribution lines × 100%;
线路供电半径合格率(单位%)=供电半径合格的线路条数/配电线路总条数×100%(A+、A、B类地区不大于3公里,C类地区不大于5公里,D类地区不大于15公里);Qualified rate of line power supply radius (unit%) = number of lines with qualified power supply radius/total number of distribution lines × 100% (A+, A, B area is not more than 3 kilometers, C type area is not more than 5 kilometers, D type The area is not more than 15 kilometers);
供电可靠率(RS-3)(单位%)=[1-(用户平均停电时间-用户平均限电停电时间/统计期间时间]×100%;Power supply reliability rate (RS-3) (unit%) = [1-(user average power outage time - user average power outage time/statistic period time] × 100%;
电压合格率(单位%)=各个电网监测点电压合格率之和/电网监测点个数×100%;Voltage qualification rate (unit %) = sum of voltage qualification rate of each grid monitoring point / number of grid monitoring points × 100%;
线路绝缘化率(单位%)=绝缘线路长度/线路总长度×100%;Line insulation rate (unit%) = insulated line length / total line length × 100%;
配电自动化覆盖率(单位%)=自动化变压器/配变总数量×100%;Distribution automation coverage rate (unit%) = total number of automatic transformers/distribution transformers × 100%;
容载比=配变容量/最大负荷×100%;Capacity-load ratio = distribution transformer capacity/maximum load × 100%;
高损配变占比(单位%)=高损配变数量/配变总台数×100%;The proportion of high-loss distribution transformers (unit %) = the number of high-loss distribution transformers / the total number of distribution transformers × 100%;
线路重载率(单位%)=年最大负载率大于70%的配电线路条数/配电线路总条数×100%;Line overload rate (unit%) = number of distribution lines with annual maximum load rate greater than 70% / total number of distribution lines × 100%;
配变重载率(单位%)=城市年最大负载率大于80%的配变台数/配变总台数×100%;Distribution transformer overload rate (unit %) = the number of distribution transformers with the city's annual maximum load rate greater than 80% / the total number of distribution transformers × 100%;
综合线损率(单位%)=线路损失功率/首端输送功率×100%;Comprehensive line loss rate (unit%) = line loss power / head end transmission power × 100%;
分布式能源并网率(单位%)=分布式能源上网容量/分布式能源总容量;Distributed energy grid connection rate (unit %) = distributed energy grid connection capacity/distributed energy total capacity;
动态电价用电量比例(单位%)=动态电价负荷/配电用户总负荷;Dynamic electricity price electricity consumption ratio (unit %) = dynamic electricity price load / total load of distribution users;
电动汽车用电量比例(单位%)=电动汽车用电量比例/配电网地电量;Electric vehicle power consumption ratio (unit %) = electric vehicle power consumption ratio / power distribution network;
通过上述各指标,得知配电玩整体运行情况,确定满足新增负荷、增强网架结构、消除安全隐患、变电站配套送出工程、解决重过载设备五类配电网项目侧重点,并将其中容载比、线路重载率、配变重载率、N-1通过率目标值将作为边界条件,用于步骤S6的模型优化。Through the above indicators, the overall operation of the power distribution network is known, and the five types of power distribution network projects are determined to meet the new load, strengthen the grid structure, eliminate potential safety hazards, substation supporting projects, and solve heavy overload equipment. The load capacity ratio, line overload rate, distribution transformer overload rate, and N-1 pass rate target value will be used as boundary conditions for model optimization in step S6.
优选的,所述步骤S4中,使用评分量化无法直接用金额量化的效益产出维度,例如网架坚强程度提升、降低重过载设备等,根据指标权重与评分标准对每个备选项目评分,辅助精准投资。具体为:Preferably, in the step S4, use the score to quantify the benefit output dimension that cannot be directly quantified by the amount, such as the improvement of the strength of the grid, the reduction of heavy overloaded equipment, etc., to score each candidate project according to the index weight and the scoring standard, Assist in precise investment. Specifically:
单位投资“N-1”线路提升条数(单位:条/万元)=项目实施后满足“N-1”配电线路数量增加的条数/项目总投资;The number of "N-1" lines to be upgraded by the unit investment (unit: line/10,000 yuan) = the number of lines that meet the increase in the number of "N-1" distribution lines after the project is implemented / the total investment of the project;
单位投资配电线路联络线路提升条数(单位:条/万元)=项目实施后单辐射线路减少的条数或联络线路增加的条数/项目总投资;The number of connecting lines of distribution lines invested by the unit (unit: line/10,000 yuan) = the number of single-radiation lines reduced after the project is implemented or the number of connecting lines increased/the total investment of the project;
单位投资分段合理线路提升条数(单位:条/万元)=项目实施后分段合理线路上升条数/项目总投资;The number of reasonable line upgrades per unit investment (unit: line/10,000 yuan) = the number of reasonable line upgrades after the project is implemented / the total investment of the project;
单位投资供电半径合格线路提升条数(单位:条/万元)=项目实施后供电半径合格线路条数/项目总投资;The number of qualified lines in the power supply radius of the unit investment (unit: line/10,000 yuan) = the number of qualified lines in the power supply radius after the project is implemented / the total investment of the project;
局部综合电压合格率预计改善程度(单位:%)=(项目实施后该条线路(或该片区线路)电压合格率-项目实施前该条线路(或该片区线路)电压合格率);Expected improvement degree of local comprehensive voltage pass rate (unit: %) = (voltage pass rate of this line (or line in this area) after project implementation - voltage pass rate of this line (or line in this area) before project implementation);
配电线路绝缘化提升公里数(单位:km/万元)=项目实施后绝缘化线路增加的公里数/项目总投资;The number of kilometers of insulation improvement of distribution lines (unit: km/10,000 yuan) = the number of kilometers added to the insulation line after the implementation of the project / the total investment of the project;
局部供电可靠率预计改善程度(RS-3)(单位:%)=(项目实施后该条线路(或该片区线路)供电可靠性-项目实施前该条线路(或该片区线路)供电可靠性);Estimated improvement degree of local power supply reliability rate (RS-3) (unit: %) = (power supply reliability of this line (or line in this area) after project implementation - power supply reliability of this line (or line in this area) before project implementation );
单位投资配电自动化台数(单位:台/万元)=项目实施后自动化变压器变上升台数/项目总投资;The number of units invested in power distribution automation (unit: unit/10,000 yuan) = the number of automated transformers changed after the implementation of the project / the total investment of the project;
单位投资高损配变下降台数(单位:台/万元)=项目实施后高损配变下降台数/项目总投资;The number of units of high-loss distribution transformers reduced by unit investment (unit: units/10,000 yuan) = the number of reduced units of high-loss distribution transformers after the implementation of the project/total investment of the project;
单位投资线路重载下降条数(单位:km/万元)=项目实施后负载率大于70%的配电线路减少的条数/项目总投资;The number of heavy-load reduction lines per unit of investment (unit: km/10,000 yuan) = the number of power distribution lines with a load rate greater than 70% reduced after the project is implemented / total project investment;
单位投资配变重载下降个数(单位:台/万元)=项目实施后负载率大于80%的配变减少的台数/项目总投资;The number of distribution transformers with heavy load reduction per unit investment (unit: units/10,000 yuan) = the number of units reduced by distribution transformers with a load rate greater than 80% after the implementation of the project/total investment in the project;
局部线路损耗率预计改善程度(单位:%)=(项目实施前该台配变(或该片区配变)理论损耗-项目实施后该台配变(或该片区配变)理论损耗;Estimated improvement degree of local line loss rate (unit: %) = (theoretical loss of the distribution transformer (or distribution transformer in the area) before the project implementation - theoretical loss of the distribution transformer (or distribution transformer in the area) after the implementation of the project;
单位投资增供电量(单位:kWh/元)=项目涉及的配变理论上增加的供电量/项目总投资;Power supply per unit investment (unit: kWh/yuan) = theoretically increased power supply for distribution transformers involved in the project/total project investment;
单位投资增供负荷(单位:kW/元)=项目涉及的配变理论上增加的负荷/项目总投资;Increased supply load per unit investment (unit: kW/yuan) = theoretically increased load of distribution transformers involved in the project/total project investment;
单位投资新接入分布式电源容量(单位:kWh/元)=新接入分布式电源容/项目总投资;Unit investment of newly connected distributed power capacity (unit: kWh/yuan) = newly connected distributed power capacity / total project investment;
单位投资动态电价增加容量(单位:kW/元)=动态电价增加容量/项目总投资;Unit investment dynamic electricity price increase capacity (unit: kW/yuan) = dynamic electricity price increase capacity / total project investment;
单位投资新增充电桩个数(单位:个/万元)=新增充电桩个数/项目总投资;The number of new charging piles invested by the unit (unit: piece/10,000 yuan) = the number of new charging piles / total project investment;
针对不同评价目标,可用赋权方式体现相对重要程度的不同;考虑项目投资评价维度多,通过专家最终确定权重;网架坚强程度、供电安全与质量、运行经济与高效、供电协调性、互动性与社会友好性分别赋权为0.2、0.25、0.25、0.2和0.1,可根据经验或工作重点要求灵活调整;For different evaluation objectives, the weighting method can be used to reflect the relative importance; considering the multiple dimensions of project investment evaluation, the weight is finally determined by experts; the strength of the grid, the safety and quality of power supply, the economy and efficiency of operation, the coordination and interaction of power supply The weights for social friendliness are 0.2, 0.25, 0.25, 0.2 and 0.1 respectively, which can be adjusted flexibly according to experience or work priorities;
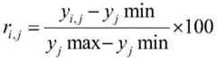
单个项目投资绩效指标反映单位投资收益,均为效益型指标;目前无成熟的应用经验,尚未有规范导则指出其范围;由于各指标量纲不同、属性不同、需对数据进行初始化处理;依据择优投资的原则,单位投资产出值越大越理想;将最大值设为100分,最小值为0分,各指标得分计算如下:The investment performance indicators of a single project reflect the unit investment income and are all benefit-type indicators; there is no mature application experience, and there is no normative guide to point out its scope; due to the different dimensions and attributes of each indicator, the data needs to be initialized; According to the principle of selective investment, the larger the unit investment output value, the more ideal; the maximum value is set to 100 points, and the minimum value is 0 points. The score of each indicator is calculated as follows:
式中:ri为第i个项目的第j个指标评分,其中yi,j为第i项目的第j个指标数据,yjmax为第j个指最大值,yjmin为第j个指标最小值;In the formula: ri is the j-th index score of thei -th item, where yi,j is the j-th index data of the i-th item, yjmax is the j-th index maximum value, and yjmin is the j-th index the minimum value of an indicator;
将各指标无量纲化处理转换为分数,结合指标权重,单个项目投资投资效益评价模型为:The dimensionless processing of each index is converted into a score, combined with the weight of the index, the investment benefit evaluation model of a single project is as follows:
式中:R为某个投资项目的综合评估值,yj为第j个指标的得分,wj为第j个指标的权重,共有n个指标;考虑层次化结构的指标体系,可以逐次计算各目标层得分:In the formula: R is the comprehensive evaluation value of an investment project, yj is the score of the j-th indicator, wj is the weight of the j-th indicator, and there are n indicators in total; considering the hierarchical structure of the indicator system, it can be calculated successively The score of each target layer:
式中:上标t+1表示第t+1层指标。In the formula: the superscript t+1 represents the index of the t+1th layer.
优选的,所述步骤S5中,具体为:Preferably, in the step S5, specifically:
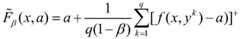
风险价值(Value at Risk,VaR)是指在给定置信度下,某投资组合在未来一定持有期内的最坏预期损失值;CVaR指投资损失超过VaR值的条件均值,代表了超额损失的平均水平,较VaR更能体现尾部潜在风险价值;Value at Risk (VaR) refers to the worst expected loss value of a portfolio within a certain holding period in the future under a given confidence level; CVaR refers to the conditional mean of the investment loss exceeding the VaR value, representing excess loss The average level of the tail can better reflect the potential risk value of the tail than VaR;
设X为投资组合可行集,令f(x,y)为损失函数;其中,x∈X为n维配电网项目投资组合方案向量,n为项目数量;y∈Rm为m维随机变量,为m个随机因素(如购售电价差、售电量、单位成本等);设y的联合概率密度函数为p(y),对于确定的x,由y引起的损失f(x,y)是R上服从某一分布的随机变量,其不超过置信度α的分布函数为:Let X be the portfolio feasible set, Let f(x,y) be the loss function; where x∈X is the n-dimensional distribution network project investment portfolio plan vector, n is the number of projects; y∈Rm is the m-dimensional random variable, which is m random factors (such as Price difference between purchase and sale of electricity, electricity sold, unit cost, etc.); let the joint probability density function of y be p(y), for a certain x, the loss f(x, y) caused by y is subject to a certain distribution on R A random variable whose distribution function does not exceed the confidence α is:
对于任意固定x,ψ(x,a)作为α的函数,是在投资组合x下的损失累积概率分布函数;以β表示置信度;αβ(x)表示当投资组合为x时损失f(x,y)所对应的VaR值,其计算公式为:For any fixed x, ψ(x, a), as a function of α, is the cumulative probability distribution function of the loss under the portfolio x; β represents the confidence; αβ (x) represents the loss f( when the portfolio is x The VaR value corresponding to x, y), its calculation formula is:
αβ(x)=min{α∈R;ψ(x,α)≥β}αβ (x)=min{α∈R;ψ(x,α)≥β}
计算可得在给定概率水平β∈(0,1)下最大可能损失;进一步,根据定义计算资产损失f(x,y)不小于αβ(x)的CVaR值:Calculate the maximum possible loss under a given probability levelβ∈ (0,1); further, according to the definition, calculate the CVaR value of the asset loss f(x,y) not less than αβ(x):
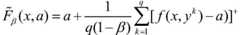
因上式中含有VaR函数αβ(x)项,而αβ(x)的解析表达式难以求出,通常引入一个可解析函数Fβ(x,α)代替φβ(x)计算CVaR:Because the VaR function αβ (x) is included in the above formula, and the analytical expression of αβ (x) is difficult to obtain, an analytic function Fβ (x,α) is usually introduced instead of φβ (x) to calculate CVaR:
式中:[f(x,y)-α]+表示max{0,f(x,y)-α};α为VaR值;β为置信度;In the formula: [f(x,y)-α]+ represents max{0,f(x,y)-α}; α is the VaR value; β is the confidence level;
概率密度函数p(y)的解析表达式难以获取,常使用蒙特卡罗法抽取样本数据来给出式上式中的积分估计;设有y1,y2,…,yq为y的q个样本,则函数Fβ(x,α)的计算值为:The analytical expression of the probability density functionp (y ) isdifficult to obtain, and the Monte Carlo method is often used to extract sample data to give the integral estimate in the formula above; samples, then the calculated value of the function Fβ (x,α) is:
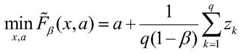
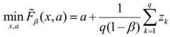
在实际计算中,通常基于上式确定资产的最优组合系数向量x及相应的CVaR值与VaR值;根据CVaR方法,在可行域X中找到最小α-CVaR值,可定义为下列的优化模型:In actual calculation, the optimal combination coefficient vector x and the corresponding CVaR value and VaR value of the asset are usually determined based on the above formula; according to the CVaR method, to find the minimum α-CVaR value in the feasible region X, it can be defined as the following optimization model :
min CVaRα(xTw)min CVaRα (xT w)
式中:w为投资收益向量;当使用离散样本来估计上述模型组合中各资产权重x与CVaR时,可将优化模型转化为:where w is the investment return vector; when discrete samples are used to estimate the asset weight x and CVaR in the above model combination, the optimization model can be transformed into:
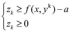
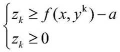
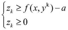
式中zk=[f(x,yk)-a)]+.将上式通过加入下式所示的线性约束,可将原方程转换为可解析求解的线性规划模型:In the formula, zk =[f(x,yk )-a)]+ . By adding the linear constraints shown in the following formula to the above formula, the original equation can be converted into a linear programming model that can be solved analytically:
将配电网项目的收益一般为正态分布,收益率期望的可以看作项目盈利水平,可以代表σ2可以代表对风险程度的估计,σ2值越大意味着极端情况愈多,投资风险愈高。从投资风险角度,每个项目都存在一定的收益不确定性的决策风险。例如,销售电价调整、用电量受产业结构、经济发展影响等多种因素,会导致购售价差、售电量、基准折现率、单位供电成本存在不确定,最终导致各项目收益率及其波动范围存在差异,部分项目甚至出现亏损,造成电网公司经营损失。此分布由专家综合上述因素给出。The income of distribution network projects is generally distributed normally, and the expected rate of return can be regarded as the project profitability level, which can represent σ2 can represent the estimation of the degree of risk. The larger the value of σ2 , the more extreme cases, the investment risk. higher. From the perspective of investment risk, each project has certain decision-making risks of uncertainty of returns. For example, various factors such as the adjustment of selling electricity prices, the influence of electricity consumption by industrial structure and economic development, etc., will lead to uncertainties in the difference in purchase price, electricity sales, benchmark discount rate, and unit power supply cost, which will eventually lead to the profitability of each project and There are differences in the fluctuation range, and some projects even suffer losses, resulting in operating losses of power grid companies. This distribution is given by experts combining the above factors.
优选的,所述步骤S6中,具体为:Preferably, in the step S6, specifically:
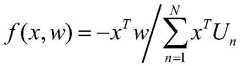
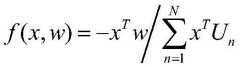
设xT=(x1,x2,x3,…,xn)T为投资决策向量,xi=1代表确定投建第i个项目,为0则表示该项目不进入投资计划,n为项目总数;设V=(v1,v2,v3,…,vn)为项目收益率向量,vi表示第i个项目收益率,符合正态分布,其期望为平均收益率,方差为项目风险程度估计;定义项目组合投资收益函数为R(x,y)=xTw,其中w=[v1U1,v2U2,v3U3,…,vnUn],第i个项目期望收益wi=v1Ui,Ui为第i个项目投资金额;定义组合投资损失函数为f(x,w)=-R(x,w),R(x,w)为组合投资收益率,损失函数由下式给出:Let xT =(x1 ,x2 ,x3 ,...,xn )T be the investment decision vector, xi =1 means that the i-th project is determined to be invested, 0 means that the project does not enter the investment plan, n is the total number of projects; let V=(v1 , v2 , v3 ,...,vn ) be the project rate of return vector, vi represents the i-th project rate of return, which conforms to a normal distribution, and its expectation is the average rate of return, The variance is the estimation of the project risk degree; the investment return function of the project portfolio is defined as R(x,y)=xT w, where w=[v1 U1 ,v2 U2 ,v3 U3 ,...,vn Un ], the expected income of the i-th project wi =v1 Ui , Ui is the investment amount of the i-th project; define the portfolio investment loss function as f(x,w)=-R(x,w), R(x ,w) is the portfolio investment return, and the loss function is given by:
1)投资风险最小化目标函数1) Investment risk minimization objective function
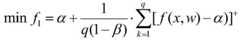
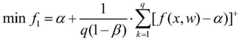
在多个不确定因素影响下,各项目收益率及其波动范围具有差异,部分项目易出现亏损,造成电网公司经营损失,应尽力降低投资风险,具体为:Under the influence of multiple uncertain factors, the rate of return of each project and its fluctuation range are different, and some projects are prone to losses, resulting in operating losses of the power grid company. We should try our best to reduce investment risks, specifically:
式中:f(x,w)为式(12);(x,α)∈(X,R);α为VaR值;In the formula: f(x,w) is formula (12); (x,α)∈(X,R); α is the VaR value;
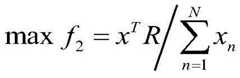
2)单位投资产出效率最大化目标函数2) The objective function of maximizing the output efficiency of unit investment
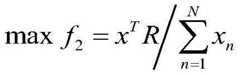
下层单个项目投资绩效指标均需计算单位投资产出,项目评分愈高表征单位产出愈高;为避免过度投资,应尽力提升项目平均评分,具体为:The lower-level single project investment performance indicators need to calculate the unit investment output. The higher the project score, the higher the unit output; in order to avoid excessive investment, the average project score should be improved as much as possible, specifically:
式中:R为项目评分向量,R=(r1,r2,r3,…,rn)T,其中ri为第i个项目评分;In the formula: R is the item rating vector, R=(r1 , r2 ,r3 ,..., rn )T , where ri is theith item rating;
配电网投资应优先考虑满足电力需求约束、用电可靠性约束,此外,还需考虑设备承载能力、投资总额、预期收益等约束;同时,多个配电网项目之间建设有先后顺序等耦合约束,如某接入配套工程必须在某间隔扩容完成后(两者可能未列入同一项目中),其关联性也需考虑在内;The investment of distribution network should give priority to meeting the constraints of power demand and reliability of electricity use. In addition, constraints such as equipment carrying capacity, total investment, and expected income should also be considered; at the same time, there are orders of construction among multiple distribution network projects, etc. Coupling constraints, such as a certain access supporting project must be completed after the expansion of a certain interval (the two may not be included in the same project), its relevance also needs to be considered;
电力需求约束:Power Demand Constraints:
负荷预测是配电网发展的前置条件,需综合各地区经济发展,电量水平等影响因素;配电网投资建设应满足该地区电力需求,约束条件如下:Load forecasting is a precondition for the development of the distribution network, which needs to be integrated with the economic development of each region, power level and other influencing factors; the investment and construction of the distribution network should meet the electricity demand in the region, and the constraints are as follows:
式中:D代表了新增电力需求;cn代表了第n个项目新增供电能力;In the formula: D represents the new power demand; cn represents the new power supply capacity of the nth project;
用电可靠性约束:Electricity reliability constraints:
配电网N-1通过率与用户年平均停电时间、供电可靠率(RS-3)具有直接联系;当N-1通过率增加时能显著增加用电可靠性,约束表达式如下:The N-1 pass rate of the distribution network is directly related to the annual average power outage time of users and the power supply reliability rate (RS-3). When the N-1 pass rate increases, the reliability of electricity consumption can be significantly increased, and the constraint expression is as follows:
式中:γ为投资后目标N-1通过率,通过上层指标体系诊断分析给出;L为配电网线路总数;l为通过N-1校验的线路数量;In the formula: γ is the post-investment target N-1 pass rate, which is given by the diagnostic analysis of the upper-level index system; L is the total number of lines in the distribution network; l is the number of lines that pass the N-1 check;
供电协调性约束:Power supply coordination constraints:
供电协调性约束用容载比来表示,是反映供电能力的重要指标之一;容载比过高会导致电网运行成本增加,造成过度投资;反之,则可能无法满足负荷增长需求,易造成设备重过载,降低运行可靠性;根据相关导则,容载比应控制在合理区间内:The power supply coordination constraint is expressed by the load capacity ratio, which is one of the important indicators to reflect the power supply capacity; if the load capacity ratio is too high, the operating cost of the power grid will increase, resulting in excessive investment; Heavy overload reduces operational reliability; according to relevant guidelines, the load capacity ratio should be controlled within a reasonable range:
式中:δmax和δmin为容载比上下限,具体取值由负荷增长速度决定;Pmax为年最大峰值负荷;In the formula: δmax and δmin are the upper and lower limits of the load capacity ratio, and the specific value is determined by the load growth rate; Pmax is the annual maximum peak load;
重过载设备约束Heavy Overload Equipment Constraints
配电网负荷增长迅速,设备重载问题成为日益突出的矛盾,变压器增容、新增线路能在一定程度上舒缓设备重过载问题;因此,应通过上层诊断指标确定其重过载比例应降低的目标,如下式所示:The load of the distribution network is growing rapidly, and the problem of equipment overload has become an increasingly prominent contradiction. Transformer capacity expansion and new lines can alleviate the equipment overload problem to a certain extent; therefore, the upper-level diagnostic indicators should be used to determine the proportion of heavy overload that should be reduced. target, as follows:
式中:Sover是重载设备数量,S是设备总数量,Nover为单个项目解决重载设备数量;投资总额约束In the formula: Sover is the number of heavy-duty equipment, S is the total number of equipment, and Nover solves the number of heavy-duty equipment for a single project; the total investment constraint
在制定周期内投资计划时,电网公司需对整个规划期内的投资能力进行预估,投资总额不能超过公司的投资能力;When formulating the investment plan within the cycle, the power grid company needs to estimate the investment capacity of the whole planning period, and the total investment cannot exceed the investment capacity of the company;
式中:Umax代表此次投资最大投资能力,Un为第n个项目投资建设费用;In the formula: Umax represents the maximum investment capacity of this investment, and Un is the investment and construction cost of the nth project;
投资预期收益约束Investment Expected Return Constraint
选取投资期望净现值代表投资收益;其投资收益约束如下:Select the expected net present value of the investment to represent the investment income; the investment income constraints are as follows:
式中:μ表示电网企业本次投资预期最小收益率;In the formula: μ represents the expected minimum rate of return of the investment of the power grid enterprise;
项目间耦合约束Inter-project coupling constraints
配电网项目在实施时常彼此存在着相互制约的关系,为以下三种:Distribution network projects often have mutual constraints in the implementation of the following three types:
2)项目互斥约束:2) Project mutual exclusion constraints:
xi+xj≤1xi +xj ≤1
即两个工程不能同时存在;针对同一问题有多种改造措施,不能同时或重复投资;That is, two projects cannot exist at the same time; there are multiple transformation measures for the same problem, and investment cannot be made at the same time or repeatedly;
2)项目从属关系约束:2) Project affiliation constraints:
xi-xj≥0xi -xj ≥0
只有项目i存在时,项目j才可存在;如扩建工程,低电压等级需等到高电压等级的配网工程。Only when project i exists, project j can exist; such as expansion projects, the low-voltage level needs to wait for the distribution network project of high-voltage level.
3)严格互补约束:3) Strict complementarity constraints:
xi-xj=0xi -xj =0
两个项目必须同时建设或同时不建设,如变电站配套工程与变电站建设相互依赖。Two projects must be constructed at the same time or not at the same time, such as substation supporting projects and substation construction are interdependent.
优选的,所述步骤S7中,Preferably, in the step S7,
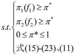
由于CVaR最小化与单位投资效益是最大化目标相异,因此分别引入降半梯度隶属度函数和升半直线型隶属度函数,具体如下:Since CVaR minimization is different from the maximization goal of unit investment benefit, the descending semi-gradient membership function and the ascending semi-linear membership function are introduced respectively, as follows:
1)输入模型原始数据,按单目标优化模型分别求解目标函数,得到不同优化目标下的目标值,形成目标函数的决策属性表,具体如为F1*、F1min、F1(2)、F2*、F2(1)、F2max其中带*值表示仅以该目标函数求解模型:1) Input the original data of the model, solve the objective function separately according to the single-objective optimization model, obtain the objective value under different optimization objectives, and form the decision attribute table of the objective function, such as F1 *, F1min , F1(2) , F2 *, F2(1) , F2max The value with * indicates that the model is only solved with this objective function:
2)将多目标函数根据决策者的意愿和偏好进行不同程度的伸缩,进而确定F1max、F2min,进一步确定取值范围,具体计算结果如下:2) The multi-objective function is scaled to different degrees according to the wishes and preferences of the decision maker, and then F1max and F2min are determined, and the value range is further determined. The specific calculation results are as follows:
0≤F1max-F1min≤F1(2)-F1min0≤F1max -F1min ≤F1(2) -F1min
F2max-F2min≥F2max-F2(1)F2max -F2min ≥F2max -F2(1)
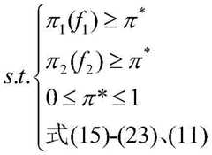
3)应用降半梯度隶属度函数处理CVaR最小化目标函数,应用升半直线形隶属度函数处理投资评分最大化目标函数,得到目标函数隶属度函数为:3) Apply the descending semi-gradient membership function to process the CVaR minimization objective function, and apply the ascending semi-linear membership function to process the investment score maximizing objective function, and obtain the objective function membership function as:
式中:Fimax和Fimin为目标函数fi(·)的最小值和最大值,π(fi)为目标函数fi(·)的隶属度函数;In the formula: Fimax and Fimin are the minimum and maximum values of the objective function fi (·), and π(fi ) is the membership function of the objective function fi (·);
应用模糊满意度理论获得各目标函数隶属度,根据模糊集合理论的max-min原则,可以转化为多目标CVaR模型,具体如下:The membership degree of each objective function is obtained by applying fuzzy satisfaction theory. According to the max-min principle of fuzzy set theory, it can be transformed into a multi-objective CVaR model, as follows:
min λπ1(f1)+(1-λ)π2(f2)min λπ1 (f1 )+(1-λ)π2 (f2 )
式中:π*=min{πk(fk),k=1,2};πk(fk)为各目标函数隶属度;λ为权重;此模型为线性模型,便于求解。In the formula: π*=min{πk (fk ),k=1,2}; πk (fk ) is the membership degree of each objective function; λ is the weight; this model is a linear model, which is easy to solve.
优选的,所述步骤S8中判断是否满足投资目标与可行性,若否则返回S3,否则结束该方法,具体为:是否符合实际,是则纳入当年投资建设计划。Preferably, in the step S8, it is judged whether the investment objective and feasibility are met, if otherwise, return to S3, otherwise the method ends, specifically: whether it conforms to the actual situation, and if so, it is included in the investment and construction plan of the current year.
与现有技术相比,本发明所具有的有益效果为:本方案提出了考虑风险测度的配电网精准投资组合优化模型;该模型以项目为决策对象,可计及单个项目达成效益置信度,在引入配电网发展诊断和项目绩效评估指标基础上,通过构建投产绩效、投资限制、项目关联等实际约束,较好表征了计划项目在配电网投资决策中的成本绩效属性,基于收益率与单位产出效益的模糊满意度,最终计算出一定投资风险偏好下的配电网项目组合优选策略。Compared with the prior art, the present invention has the following beneficial effects: this scheme proposes a precise investment portfolio optimization model of the distribution network considering risk measurement; the model takes the project as the decision object, and can take into account the confidence of a single project to achieve benefits , based on the introduction of distribution network development diagnosis and project performance evaluation indicators, and by constructing practical constraints such as production performance, investment restrictions, and project associations, the cost performance attributes of planned projects in distribution network investment decision-making are well characterized. According to the fuzzy satisfaction rate and unit output benefit, the optimal strategy of distribution network project portfolio under certain investment risk preference is finally calculated.
附图说明Description of drawings
图1是本发明的实施例的基本步骤示意图。FIG. 1 is a schematic diagram of the basic steps of an embodiment of the present invention.
图2是本发明的实施例的投资决策流程示意图。FIG. 2 is a schematic diagram of an investment decision-making process according to an embodiment of the present invention.
图3是本发明的实施例的双层配电网项目投资效益评估指标体系示意图。3 is a schematic diagram of an investment benefit evaluation index system of a double-layer distribution network project according to an embodiment of the present invention.
图4是本发明的实施例的基于CVaR的配电网组合投资应用流程示意图。FIG. 4 is a schematic diagram of the application flow of CVaR-based distribution network portfolio investment according to an embodiment of the present invention.
具体实施方式Detailed ways
下面结合本发明的附图1-4,对本发明实施例中的技术方案进行清楚、完整地描述,显然,所描述的实施例仅仅是本发明一部分实施例,而不是全部的实施例。基于本发明中的实施例,本领域普通技术人员在没有做出创造性劳动前提下所获得的所有其他实施例,都属于本发明保护的范围。The technical solutions in the embodiments of the present invention will be clearly and completely described below with reference to the accompanying drawings 1-4 of the present invention. Obviously, the described embodiments are only a part of the embodiments of the present invention, rather than all the embodiments. Based on the embodiments of the present invention, all other embodiments obtained by those of ordinary skill in the art without creative efforts shall fall within the protection scope of the present invention.
实施例:Example:
如图1-图4所示,一种考虑风险测度的配电网精准投资项目优选方法,其特征在于,包括以下步骤:As shown in Figures 1-4, a method for selecting a precise investment project in a distribution network considering risk measurement, is characterized in that it includes the following steps:
S1、采集需安排投资计划的区域配电网历史数据,包括:配电网设备运行信息、本次投资预算金额、申报项目汇集、用电负荷增长信息、亟待解决问题五大类,并对配电网申报项目进行编号;S1. Collect the historical data of the regional distribution network that needs to arrange investment plans, including: distribution network equipment operation information, the investment budget amount, the collection of declared projects, electricity load growth information, and urgent problems to be solved. Numbering of online application projects;
S2、结合城市中高压配电网特点,构建配电网项目投资效益评估双层指标体系,其中包含微观指标与宏观指标,指标体系涵盖网架坚强程度、供电安全与质量、运行经济与高效、供电协调性、互动性与社会友好性五大类,又进一步细分为各种子指标;S2. Combined with the characteristics of urban medium and high voltage distribution network, construct a two-layer index system for evaluating investment benefits of distribution network projects, including micro-index and macro-index. The index system covers grid strength, power supply safety and quality, operation economy and efficiency, The five categories of power supply coordination, interaction and social friendliness are further subdivided into various sub-indicators;
S3、利用宏观指标对安排投资计划的区域开展配电网发展诊断,确定本次投资思路与对应投资约束条件,并确定投资关注点;S3. Use macro indicators to diagnose the development of the distribution network in the area where the investment plan is arranged, determine the investment ideas and corresponding investment constraints, and determine the investment focus;
S4、利用微观指标量化单个投资项目单位投资效率,使用评分量化无法直接用金额量化的效益产出维度,例如网架坚强程度提升、降低重过载设备等,根据指标权重与评分标准对每个备选项目评分,从而辅助精准投资;S4. Use microscopic indicators to quantify the investment efficiency of a single investment project unit, and use scoring to quantify the benefit output dimension that cannot be directly quantified by the amount, such as the improvement of the strength of the grid, the reduction of heavy overloaded equipment, etc., according to the index weight and scoring standard. Select project scores to assist accurate investment;
S5、基于条件风险测度的方法,将单个项目收益率的分布特征计入投资风险,对单个项目进行收益率与风险评估,在此维度构建含风险偏好置信度的投资风险最小目标函数;S5. Based on the method of conditional risk measurement, the distribution characteristics of the rate of return of a single project are included in the investment risk, and the rate of return and risk assessment of a single project is carried out, and the minimum objective function of investment risk with confidence in risk preference is constructed in this dimension;
S6、将投资总额、电网发展需求、投资组合收益率、项目间耦合关系作为约束,建立以效率与风险为目标的配电网投资组合优化模型,在达到投资收益与收益的边界条件下,兼顾投资成本与投资风险;设xT=(x1,x2,x3,…,xn)T为投资决策向量,xi=1代表确定投建第i个项目,为0则表示该项目不进入投资计划,n为项目总数;设V=(v1,v2,v3,…,vn)为项目收益率向量,vi表示第i个项目收益率,符合正态分布,其期望为平均收益率,方差为项目风险程度估计;S6. Taking the total investment, power grid development demand, investment portfolio rate of return, and coupling relationship between projects as constraints, establish a distribution network investment portfolio optimization model aiming at efficiency and risk. Under the boundary conditions of investment income and income, taking into account Investment cost and investment risk; let xT =(x1 ,x2 ,x3 ,...,xn )T be the investment decision vector, xi =1 means the i-th project is determined to be invested, and 0 means the project Do not enter the investment plan, n is the total number of projects; let V = (v1 , v2 , v3 ,..., vn ) be the project rate of return vector, vi represents the ith project rate of return, which is in line with the normal distribution, its The expectation is the average rate of return, and the variance is the estimation of the risk degree of the project;
S7、利用模糊满意度将其转化为易于求解的单目标混合整数线性规划问题,以计算配电网精准投资策略;S7. Use the fuzzy satisfaction to transform it into an easy-to-solve single-objective mixed integer linear programming problem to calculate the precise investment strategy of the distribution network;
S8、判断是否满足投资目标与可行性,若否,则返回S3,反之则结束该方法。S8, judge whether the investment objective and feasibility are met, if not, return to S3, otherwise, end the method.
优选的,所述步骤S1中,所述区域配电网历史数据包括:配电网设备运行信息、本次投资预算金额、申报项目汇集、用电负荷增长信息、亟待解决问题五大类,并对配电网申报项目进行编号;Preferably, in the step S1, the historical data of the regional distribution network includes five categories: distribution network equipment operation information, the current investment budget amount, the collection of declared projects, electricity load growth information, and urgent problems to be solved. Numbering of the projects declared by the distribution network;
所述配电网设备运行信息包括日、月、年负载率统计,设备运行年限、线路损耗与变压器损耗、供电可靠率、电压合格率、容载比、“N-1”通过率、线路联络率、线路分段合格率、线路供电半径合格率、线路绝缘化率、配电自动化覆盖率、高损配变占比、线路重载率、配变重载率、综合线损率、分布式能源并网率、动态电价用电量比例、电动汽车用电量比例;The operation information of the distribution network equipment includes daily, monthly and annual load rate statistics, equipment operating years, line loss and transformer loss, power supply reliability rate, voltage qualification rate, load capacity ratio, "N-1" pass rate, line connection rate, line segment pass rate, line power supply radius pass rate, line insulation rate, distribution automation coverage, proportion of high-loss distribution transformers, line overload rate, distribution transformer overload rate, comprehensive line loss rate, distribution Energy grid connection rate, dynamic electricity price electricity consumption ratio, electric vehicle electricity consumption ratio;
所述本次投资预算金额包括此次投资金额预算;The said investment budget amount includes this investment amount budget;
所述申报项目汇集包括投资建设金额、新增容量、增供负荷、新增供电负荷、预计供电可靠率(RS-3)改善程度、预计电压合格率改善程度、“N-1”线路提升条数、配电线路联络线路提升条数、分段合理线路提升条数、供电半径合格线路提升条数、配电线路绝缘化、提升公里数、配电自动化台数、高损配变下降台数、线路重载下降条数、配变重载下降个数、预计线路损耗率改善程度、新接入分布式电源容量、动态电价增加容量、新增充电桩个数;The collection of declared projects includes investment and construction amount, new capacity, increased supply load, new power supply load, estimated improvement of power supply reliability rate (RS-3), estimated improvement of voltage qualification rate, and “N-1” line improvement conditions. Number, the number of connection lines of distribution lines to be lifted, the number of reasonable segmented lines to be lifted, the number of qualified lines to be lifted of power supply radius, the insulation of distribution lines, the number of kilometers to be lifted, the number of distribution automation units, the number of high-loss distribution transformers to drop, the number of lines The number of heavy load drops, the number of distribution transformer heavy load drops, the expected improvement in line loss rate, the capacity of newly connected distributed power sources, the capacity of dynamic electricity prices, and the number of new charging piles;
所述用电负荷增长信息包括年最大负荷增长率,局部缺供负荷;The electricity load growth information includes the annual maximum load growth rate and the local shortage of supply load;
所述亟待解决问题包括重点专项建设计划、突出供电矛盾等。The urgent problems to be solved include key special construction plans, prominent power supply contradictions, etc.
优选的,所述步骤S2中,构建配电网项目投资效益评估双层指标体系,其中包含微观指标与宏观指标,具体为:Preferably, in the step S2, a two-layer index system for evaluating the investment benefit of the distribution network project is constructed, which includes micro-indexes and macro-indexes, specifically:
宏观指标:“N-1”通过率(单位%)、线路联络率(单位%)、线路分段合格率(单位%)、线路供电半径合格率(单位%)、供电可靠率(RS-3)(单位%)、电压合格率(单位%)、线路绝缘化率(单位%)、配电自动化覆盖率(单位%)、容载比、高损配变占比(单位%)、线路重载率(单位%)、配变重载率(单位%)、综合线损率(单位%)、分布式能源并网率(单位%)、动态电价用电量比例(单位%)、电动汽车用电量比例(单位%);Macro indicators: "N-1" pass rate (unit%), line connection rate (unit%), line segment pass rate (unit%), line power supply radius pass rate (unit%), power supply reliability rate (RS-3 ) (unit%), voltage qualification rate (unit%), line insulation rate (unit%), distribution automation coverage rate (unit%), load capacity ratio, proportion of high-loss distribution transformers (unit%), line weight Load factor (unit%), distribution transformer overload rate (unit%), comprehensive line loss rate (unit%), distributed energy grid connection rate (unit%), dynamic electricity price ratio (unit%), electric vehicle Proportion of electricity consumption (unit %);
微观指标:单位投资“N-1”线路提升条数(单位:条/万元)、单位投资配电线路联络线路提升条数(单位:条/万元)、单位投资分段合理线路提升条数(单位:条/万元)、单位投资供电半径合格线路提升条数(单位:条/万元)、局部综合电压合格率预计改善程度(单位:%)、单位投资配电线路绝缘化提升公里数(单位:km/万元)、局部供电可靠率预计改善程度(RS-3)(单位:%)、单位投资配电自动化台数(单位:台/万元)、单位投资高损配变下降台数(单位:台/万元)、单位投资线路重载下降条数(单位:km/万元)、单位投资配变重载下降个数(单位:台/万元)、局部线路损耗率预计改善程度(单位:%)、单位投资增供电量(单位:kWh/元)、单位投资增供负荷(单位:kW/元)、单位投资新接入分布式电源容量(单位:kWh/元)、单位投资动态电价增加容量(单位:kW/元)、单位投资新增充电桩个数(单位:个/万元)。Micro-indices: number of "N-1" line upgrades per unit investment (unit: line/10,000 yuan), number of connection lines for unit investment in distribution lines (unit: line/10,000 yuan), and reasonable line upgrades per unit investment segment Number (unit: bar/10,000 yuan), number of qualified lines to be upgraded per unit of investment power supply radius (unit: bar/10,000 yuan), expected improvement in local comprehensive voltage qualification rate (unit: %), unit investment in distribution line insulation improvement The number of kilometers (unit: km/10,000 yuan), the expected improvement of the local power supply reliability rate (RS-3) (unit: %), the number of units invested in distribution automation units (unit: units/10,000 yuan), the unit investment in high-loss distribution transformers The number of units dropped (unit: unit/10,000 yuan), the number of heavy-duty drops per unit of investment line (unit: km/10,000 yuan), the number of units invested in distribution transformer heavy-duty drops (unit: units/10,000 yuan), the local line loss rate Estimated degree of improvement (unit: %), increased power supply per unit investment (unit: kWh/yuan), increased supply load per unit investment (unit: kW/yuan), capacity of newly connected distributed power generation per unit investment (unit: kWh/yuan) ), the dynamic electricity price increase capacity per unit investment (unit: kW/yuan), the number of new charging piles per unit investment (unit: unit: pc/yuan).
优选的,所述步骤S3中,宏观指对安排投资计划的区域开展配电网发展诊断,确定本次投资思路与部分投资约束条件,并确定投资关注点,具体为:Preferably, in the step S3, the macro refers to carrying out the development diagnosis of the distribution network in the area where the investment plan is arranged, determining the investment idea and some investment constraints, and determining the investment focus, specifically:
“N-1”通过率(单位%)=满足“N-1”安全准则的配电线路条数/配电线路总条数×100%;"N-1" pass rate (unit %) = number of distribution lines meeting "N-1" safety criteria/total number of distribution lines × 100%;
线路联络率(单位%)=满足主干线互联的配电线路条数/配电线路总条数×100%;Line connection rate (unit %) = the number of distribution lines that meet the interconnection of the main line / the total number of distribution lines × 100%;
线路分段合格率(单位%)=合理的分段配电线路条数/配电线路总条数×100%;Line segment pass rate (unit%) = reasonable number of segmented distribution lines/total number of distribution lines × 100%;
线路供电半径合格率(单位%)=供电半径合格的线路条数/配电线路总条数×100%(A+、A、B类地区不大于3公里,C类地区不大于5公里,D类地区不大于15公里);Qualified rate of line power supply radius (unit%) = number of lines with qualified power supply radius/total number of distribution lines × 100% (A+, A, B area is not more than 3 kilometers, C type area is not more than 5 kilometers, D type The area is not more than 15 kilometers);
供电可靠率(RS-3)(单位%)=[1-(用户平均停电时间-用户平均限电停电时间/统计期间时间]×100%;Power supply reliability rate (RS-3) (unit%) = [1-(user average power outage time - user average power outage time/statistic period time] × 100%;
电压合格率(单位%)=各个电网监测点电压合格率之和/电网监测点个数×100%;Voltage qualification rate (unit %) = sum of voltage qualification rate of each grid monitoring point / number of grid monitoring points × 100%;
线路绝缘化率(单位%)=绝缘线路长度/线路总长度×100%;Line insulation rate (unit%) = insulated line length / total line length × 100%;
配电自动化覆盖率(单位%)=自动化变压器/配变总数量×100%;Distribution automation coverage rate (unit%) = total number of automatic transformers/distribution transformers × 100%;
容载比=配变容量/最大负荷×100%;Capacity-load ratio = distribution transformer capacity/maximum load × 100%;
高损配变占比(单位%)=高损配变数量/配变总台数×100%;The proportion of high-loss distribution transformers (unit %) = the number of high-loss distribution transformers / the total number of distribution transformers × 100%;
线路重载率(单位%)=年最大负载率大于70%的配电线路条数/配电线路总条数×100%;Line overload rate (unit%) = number of distribution lines with annual maximum load rate greater than 70% / total number of distribution lines × 100%;
配变重载率(单位%)=城市年最大负载率大于80%的配变台数/配变总台数×100%;Distribution transformer overload rate (unit %) = the number of distribution transformers with the city's annual maximum load rate greater than 80% / the total number of distribution transformers × 100%;
综合线损率(单位%)=线路损失功率/首端输送功率×100%;Comprehensive line loss rate (unit%) = line loss power / head end transmission power × 100%;
分布式能源并网率(单位%)=分布式能源上网容量/分布式能源总容量;Distributed energy grid connection rate (unit %) = distributed energy grid connection capacity/distributed energy total capacity;
动态电价用电量比例(单位%)=动态电价负荷/配电用户总负荷;Dynamic electricity price electricity consumption ratio (unit %) = dynamic electricity price load / total load of distribution users;
电动汽车用电量比例(单位%)=电动汽车用电量比例/配电网地电量;Electric vehicle power consumption ratio (unit %) = electric vehicle power consumption ratio / power distribution network;
通过上述各指标,得知配电玩整体运行情况,确定满足新增负荷、增强网架结构、消除安全隐患、变电站配套送出工程、解决重过载设备五类配电网项目侧重点,并将其中容载比、线路重载率、配变重载率、N-1通过率目标值将作为边界条件,用于步骤S6的模型优化。Through the above indicators, the overall operation of the power distribution network is known, and the five types of power distribution network projects are determined to meet the new load, strengthen the grid structure, eliminate potential safety hazards, substation supporting projects, and solve heavy overload equipment. The load capacity ratio, line overload rate, distribution transformer overload rate, and N-1 pass rate target value will be used as boundary conditions for model optimization in step S6.
优选的,所述步骤S4中,使用评分量化无法直接用金额量化的效益产出维度,例如网架坚强程度提升、降低重过载设备等,根据指标权重与评分标准对每个备选项目评分,辅助精准投资。具体为:Preferably, in the step S4, use the score to quantify the benefit output dimension that cannot be directly quantified by the amount, such as the improvement of the strength of the grid, the reduction of heavy overloaded equipment, etc., to score each candidate project according to the index weight and the scoring standard, Assist in precise investment. Specifically:
单位投资“N-1”线路提升条数(单位:条/万元)=项目实施后满足“N-1”配电线路数量增加的条数/项目总投资;The number of "N-1" lines to be upgraded by the unit investment (unit: line/10,000 yuan) = the number of lines that meet the increase in the number of "N-1" distribution lines after the project is implemented / the total investment of the project;
单位投资配电线路联络线路提升条数(单位:条/万元)=项目实施后单辐射线路减少的条数或联络线路增加的条数/项目总投资;The number of connecting lines of distribution lines invested by the unit (unit: line/10,000 yuan) = the number of single-radiation lines reduced after the project is implemented or the number of connecting lines increased/the total investment of the project;
单位投资分段合理线路提升条数(单位:条/万元)=项目实施后分段合理线路上升条数/项目总投资;The number of reasonable line upgrades per unit investment (unit: line/10,000 yuan) = the number of reasonable line upgrades after the project is implemented / the total investment of the project;
单位投资供电半径合格线路提升条数(单位:条/万元)=项目实施后供电半径合格线路条数/项目总投资;The number of qualified lines in the power supply radius of the unit investment (unit: line/10,000 yuan) = the number of qualified lines in the power supply radius after the project is implemented / the total investment of the project;
局部综合电压合格率预计改善程度(单位:%)=(项目实施后该条线路(或该片区线路)电压合格率-项目实施前该条线路(或该片区线路)电压合格率);Expected improvement degree of local comprehensive voltage pass rate (unit: %) = (voltage pass rate of this line (or line in this area) after project implementation - voltage pass rate of this line (or line in this area) before project implementation);
配电线路绝缘化提升公里数(单位:km/万元)=项目实施后绝缘化线路增加的公里数/项目总投资;The number of kilometers of insulation improvement of distribution lines (unit: km/10,000 yuan) = the number of kilometers added to the insulation line after the implementation of the project / the total investment of the project;
局部供电可靠率预计改善程度(RS-3)(单位:%)=(项目实施后该条线路(或该片区线路)供电可靠性-项目实施前该条线路(或该片区线路)供电可靠性);Estimated improvement degree of local power supply reliability rate (RS-3) (unit: %) = (power supply reliability of this line (or line in this area) after project implementation - power supply reliability of this line (or line in this area) before project implementation );
单位投资配电自动化台数(单位:台/万元)=项目实施后自动化变压器变上升台数/项目总投资;The number of units invested in power distribution automation (unit: unit/10,000 yuan) = the number of automated transformers changed after the implementation of the project / the total investment of the project;
单位投资高损配变下降台数(单位:台/万元)=项目实施后高损配变下降台数/项目总投资;The number of units of high-loss distribution transformers reduced by unit investment (unit: units/10,000 yuan) = the number of reduced units of high-loss distribution transformers after the implementation of the project/total investment of the project;
单位投资线路重载下降条数(单位:km/万元)=项目实施后负载率大于70%的配电线路减少的条数/项目总投资;The number of heavy-load reduction lines per unit of investment (unit: km/10,000 yuan) = the number of power distribution lines with a load rate greater than 70% reduced after the project is implemented / total project investment;
单位投资配变重载下降个数(单位:台/万元)=项目实施后负载率大于80%的配变减少的台数/项目总投资;The number of distribution transformers with heavy load reduction per unit investment (unit: units/10,000 yuan) = the number of units reduced by distribution transformers with a load rate greater than 80% after the implementation of the project/total investment in the project;
局部线路损耗率预计改善程度(单位:%)=(项目实施前该台配变(或该片区配变)理论损耗-项目实施后该台配变(或该片区配变)理论损耗;Estimated improvement degree of local line loss rate (unit: %) = (theoretical loss of the distribution transformer (or distribution transformer in the area) before the project implementation - theoretical loss of the distribution transformer (or distribution transformer in the area) after the implementation of the project;
单位投资增供电量(单位:kWh/元)=项目涉及的配变理论上增加的供电量/项目总投资;Power supply per unit investment (unit: kWh/yuan) = theoretically increased power supply for distribution transformers involved in the project/total project investment;
单位投资增供负荷(单位:kW/元)=项目涉及的配变理论上增加的负荷/项目总投资;Increased supply load per unit investment (unit: kW/yuan) = theoretically increased load of distribution transformers involved in the project/total project investment;
单位投资新接入分布式电源容量(单位:kWh/元)=新接入分布式电源容/项目总投资;Unit investment of newly connected distributed power capacity (unit: kWh/yuan) = newly connected distributed power capacity / total project investment;
单位投资动态电价增加容量(单位:kW/元)=动态电价增加容量/项目总投资;Unit investment dynamic electricity price increase capacity (unit: kW/yuan) = dynamic electricity price increase capacity / total project investment;
单位投资新增充电桩个数(单位:个/万元)=新增充电桩个数/项目总投资;The number of new charging piles invested by the unit (unit: piece/10,000 yuan) = the number of new charging piles / total project investment;
针对不同评价目标,可用赋权方式体现相对重要程度的不同;考虑项目投资评价维度多,通过专家最终确定权重;网架坚强程度、供电安全与质量、运行经济与高效、供电协调性、互动性与社会友好性分别赋权为0.2、0.25、0.25、0.2和0.1,可根据经验或工作重点要求灵活调整;For different evaluation objectives, the weighting method can be used to reflect the relative importance; considering the multiple dimensions of project investment evaluation, the weight is finally determined by experts; the strength of the grid, the safety and quality of power supply, the economy and efficiency of operation, the coordination and interaction of power supply The weights for social friendliness are 0.2, 0.25, 0.25, 0.2 and 0.1 respectively, which can be adjusted flexibly according to experience or work priorities;
单个项目投资绩效指标反映单位投资收益,均为效益型指标;目前无成熟的应用经验,尚未有规范导则指出其范围;由于各指标量纲不同、属性不同、需对数据进行初始化处理;依据择优投资的原则,单位投资产出值越大越理想;将最大值设为100分,最小值为0分,各指标得分计算如下:The investment performance indicators of a single project reflect the unit investment income and are all benefit-type indicators; there is no mature application experience, and there is no normative guide to point out its scope; due to the different dimensions and attributes of each indicator, the data needs to be initialized; According to the principle of selective investment, the larger the unit investment output value, the more ideal; the maximum value is set to 100 points, and the minimum value is 0 points. The score of each indicator is calculated as follows:
式中:ri为第i个项目的第j个指标评分,其中yi,j为第i项目的第j个指标数据,yjmax为第j个指最大值,yjmin为第j个指标最小值;In the formula: ri is the j-th index score of thei -th item, where yi,j is the j-th index data of the i-th item, yjmax is the j-th index maximum value, and yjmin is the j-th index the minimum value of an indicator;
将各指标无量纲化处理转换为分数,结合指标权重,单个项目投资投资效益评价模型为:The dimensionless processing of each index is converted into a score, combined with the weight of the index, the investment benefit evaluation model of a single project is as follows:
式中:R为某个投资项目的综合评估值,yj为第j个指标的得分,wj为第j个指标的权重,共有n个指标;考虑层次化结构的指标体系,可以逐次计算各目标层得分:In the formula: R is the comprehensive evaluation value of an investment project, yj is the score of the j-th indicator, wj is the weight of the j-th indicator, and there are n indicators in total; considering the hierarchical structure of the indicator system, it can be calculated successively The score of each target layer:
式中:上标t+1表示第t+1层指标。In the formula: the superscript t+1 represents the index of the t+1th layer.
优选的,所述步骤S5中,具体为:Preferably, in the step S5, specifically:
风险价值(Value at Risk,VaR)是指在给定置信度下,某投资组合在未来一定持有期内的最坏预期损失值;CVaR指投资损失超过VaR值的条件均值,代表了超额损失的平均水平,较VaR更能体现尾部潜在风险价值;Value at Risk (VaR) refers to the worst expected loss value of a portfolio within a certain holding period in the future under a given confidence level; CVaR refers to the conditional mean of the investment loss exceeding the VaR value, representing excess loss The average level of the tail can better reflect the potential risk value of the tail than VaR;
设X为投资组合可行集,令f(x,y)为损失函数;其中,x∈X为n维配电网项目投资组合方案向量,n为项目数量;y∈Rm为m维随机变量,为m个随机因素(如购售电价差、售电量、单位成本等);设y的联合概率密度函数为p(y),对于确定的x,由y引起的损失f(x,y)是R上服从某一分布的随机变量,其不超过置信度α的分布函数为:Let X be the portfolio feasible set, Let f(x,y) be the loss function; where x∈X is the n-dimensional distribution network project investment portfolio plan vector, n is the number of projects; y∈Rm is the m-dimensional random variable, which is m random factors (such as Price difference between purchase and sale of electricity, electricity sold, unit cost, etc.); let the joint probability density function of y be p(y), for a certain x, the loss f(x, y) caused by y is subject to a certain distribution on R A random variable whose distribution function does not exceed the confidence α is:
对于任意固定x,ψ(x,a)作为α的函数,是在投资组合x下的损失累积概率分布函数;以β表示置信度;αβ(x)表示当投资组合为x时损失f(x,y)所对应的VaR值,其计算公式为:For any fixed x, ψ(x, a), as a function of α, is the cumulative probability distribution function of the loss under the portfolio x; β represents the confidence; αβ (x) represents the loss f( when the portfolio is x The VaR value corresponding to x, y), its calculation formula is:
αβ(x)=min{α∈R;ψ(x,α)≥β}αβ (x)=min{α∈R;ψ(x,α)≥β}
计算可得在给定概率水平β∈(0,1)下最大可能损失;进一步,根据定义计算资产损失f(x,y)不小于αβ(x)的CVaR值:Calculate the maximum possible loss under a given probability levelβ∈ (0,1); further, according to the definition, calculate the CVaR value of the asset loss f(x,y) not less than αβ(x):
因上式中含有VaR函数αβ(x)项,而αβ(x)的解析表达式难以求出,通常引入一个可解析函数Fβ(x,α)代替φβ(x)计算CVaR:Because the VaR function αβ (x) is included in the above formula, and the analytical expression of αβ (x) is difficult to obtain, an analytic function Fβ (x,α) is usually introduced instead of φβ (x) to calculate CVaR:
式中:[f(x,y)-α]+表示max{0,f(x,y)-α};α为VaR值;β为置信度;In the formula: [f(x,y)-α]+ represents max{0,f(x,y)-α}; α is the VaR value; β is the confidence level;
概率密度函数p(y)的解析表达式难以获取,常使用蒙特卡罗法抽取样本数据来给出式上式中的积分估计;设有y1,y2,…,yq为y的q个样本,则函数Fβ(x,α)的计算值为:The analytical expression of the probability density functionp (y ) isdifficult to obtain, and the Monte Carlo method is often used to extract sample data to give the integral estimate in the formula above; samples, then the calculated value of the function Fβ (x,α) is:
在实际计算中,通常基于上式确定资产的最优组合系数向量x及相应的CVaR值与VaR值;根据CVaR方法,在可行域X中找到最小α-CVaR值,可定义为下列的优化模型:In actual calculation, the optimal combination coefficient vector x and the corresponding CVaR value and VaR value of the asset are usually determined based on the above formula; according to the CVaR method, to find the minimum α-CVaR value in the feasible region X, it can be defined as the following optimization model :
min CVaRα(xTw)min CVaRα (xT w)
式中:w为投资收益向量;当使用离散样本来估计上述模型组合中各资产权重x与CVaR时,可将优化模型转化为:where w is the investment return vector; when discrete samples are used to estimate the asset weight x and CVaR in the above model combination, the optimization model can be transformed into:
式中zk=[f(x,yk)-a)]+.将上式通过加入下式所示的线性约束,可将原方程转换为可解析求解的线性规划模型:In the formula, zk =[f(x,yk )-a)]+ . By adding the linear constraints shown in the following formula to the above formula, the original equation can be converted into a linear programming model that can be solved analytically:
将配电网项目的收益一般为正态分布,收益率期望的可以看作项目盈利水平,可以代表σ2可以代表对风险程度的估计,σ2值越大意味着极端情况愈多,投资风险愈高。从投资风险角度,每个项目都存在一定的收益不确定性的决策风险。例如,销售电价调整、用电量受产业结构、经济发展影响等多种因素,会导致购售价差、售电量、基准折现率、单位供电成本存在不确定,最终导致各项目收益率及其波动范围存在差异,部分项目甚至出现亏损,造成电网公司经营损失。此分布由专家综合上述因素给出。The income of distribution network projects is generally distributed normally, and the expected rate of return can be regarded as the project profitability level, which can represent σ2 can represent the estimation of the degree of risk. The larger the value of σ2 , the more extreme cases, the investment risk. higher. From the perspective of investment risk, each project has certain decision-making risks of uncertainty of returns. For example, various factors such as the adjustment of selling electricity prices, the influence of electricity consumption by industrial structure and economic development, etc., will lead to uncertainties in the difference in purchase price, electricity sales, benchmark discount rate, and unit power supply cost, which will eventually lead to the profitability of each project and There are differences in the fluctuation range, and some projects even suffer losses, resulting in operating losses of power grid companies. This distribution is given by experts combining the above factors.
优选的,所述步骤S6中,具体为:Preferably, in the step S6, specifically:
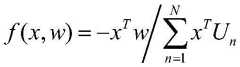
设xT=(x1,x2,x3,…,xn)T为投资决策向量,xi=1代表确定投建第i个项目,为0则表示该项目不进入投资计划,n为项目总数;设V=(v1,v2,v3,…,vn)为项目收益率向量,vi表示第i个项目收益率,符合正态分布,其期望为平均收益率,方差为项目风险程度估计;定义项目组合投资收益函数为R(x,y)=xTw,其中w=[v1U1,v2U2,v3U3,…,vnUn],第i个项目期望收益wi=v1Ui,Ui为第i个项目投资金额;定义组合投资损失函数为f(x,w)=-R(x,w),R(x,w)为组合投资收益率,损失函数由下式给出:Let xT =(x1 ,x2 ,x3 ,...,xn )T be the investment decision vector, xi =1 means that the i-th project is determined to be invested, 0 means that the project does not enter the investment plan, n is the total number of projects; let V=(v1 , v2 , v3 ,...,vn ) be the project rate of return vector, vi represents the i-th project rate of return, which conforms to a normal distribution, and its expectation is the average rate of return, The variance is the estimation of the project risk degree; the investment return function of the project portfolio is defined as R(x,y)=xT w, where w=[v1 U1 ,v2 U2 ,v3 U3 ,...,vn Un ], the expected income of the i-th project wi =v1 Ui , Ui is the investment amount of the i-th project; define the portfolio investment loss function as f(x,w)=-R(x,w), R(x ,w) is the portfolio investment return, and the loss function is given by:
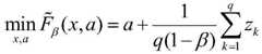
1)投资风险最小化目标函数1) Investment risk minimization objective function
在多个不确定因素影响下,各项目收益率及其波动范围具有差异,部分项目易出现亏损,造成电网公司经营损失,应尽力降低投资风险,具体为:Under the influence of multiple uncertain factors, the rate of return of each project and its fluctuation range are different, and some projects are prone to losses, resulting in operating losses of the power grid company. We should try our best to reduce investment risks, specifically:
式中:f(x,w)为式(12);(x,α)∈(X,R);α为VaR值;In the formula: f(x,w) is formula (12); (x,α)∈(X,R); α is the VaR value;
2)单位投资产出效率最大化目标函数2) The objective function of maximizing the output efficiency of unit investment
下层单个项目投资绩效指标均需计算单位投资产出,项目评分愈高表征单位产出愈高;为避免过度投资,应尽力提升项目平均评分,具体为:The lower-level single project investment performance indicators need to calculate the unit investment output. The higher the project score, the higher the unit output; in order to avoid excessive investment, the average project score should be improved as much as possible, specifically:
式中:R为项目评分向量,R=(r1,r2,r3,…,rn)T,其中ri为第i个项目评分;In the formula: R is the item rating vector, R=(r1 , r2 ,r3 ,..., rn )T , where ri is theith item rating;
配电网投资应优先考虑满足电力需求约束、用电可靠性约束,此外,还需考虑设备承载能力、投资总额、预期收益等约束;同时,多个配电网项目之间建设有先后顺序等耦合约束,如某接入配套工程必须在某间隔扩容完成后(两者可能未列入同一项目中),其关联性也需考虑在内;The investment of distribution network should give priority to meeting the constraints of power demand and reliability of electricity use. In addition, constraints such as equipment carrying capacity, total investment, and expected income should also be considered; at the same time, there are orders of construction among multiple distribution network projects, etc. Coupling constraints, such as a certain access supporting project must be completed after the expansion of a certain interval (the two may not be included in the same project), its relevance also needs to be considered;
电力需求约束:Power Demand Constraints:
负荷预测是配电网发展的前置条件,需综合各地区经济发展,电量水平等影响因素;配电网投资建设应满足该地区电力需求,约束条件如下:Load forecasting is a precondition for the development of the distribution network, which needs to be integrated with the economic development of each region, power level and other influencing factors; the investment and construction of the distribution network should meet the electricity demand in the region, and the constraints are as follows:
式中:D代表了新增电力需求;cn代表了第n个项目新增供电能力;In the formula: D represents the new power demand; cn represents the new power supply capacity of the nth project;
用电可靠性约束:Electricity reliability constraints:
配电网N-1通过率与用户年平均停电时间、供电可靠率(RS-3)具有直接联系;当N-1通过率增加时能显著增加用电可靠性,约束表达式如下:The N-1 pass rate of the distribution network is directly related to the annual average power outage time of users and the power supply reliability rate (RS-3). When the N-1 pass rate increases, the reliability of electricity consumption can be significantly increased, and the constraint expression is as follows:
式中:γ为投资后目标N-1通过率,通过上层指标体系诊断分析给出;L为配电网线路总数;l为通过N-1校验的线路数量;In the formula: γ is the post-investment target N-1 pass rate, which is given by the diagnostic analysis of the upper-level index system; L is the total number of lines in the distribution network; l is the number of lines that pass the N-1 check;
供电协调性约束:Power supply coordination constraints:
供电协调性约束用容载比来表示,是反映供电能力的重要指标之一;容载比过高会导致电网运行成本增加,造成过度投资;反之,则可能无法满足负荷增长需求,易造成设备重过载,降低运行可靠性;根据相关导则,容载比应控制在合理区间内:The power supply coordination constraint is expressed by the load capacity ratio, which is one of the important indicators to reflect the power supply capacity; if the load capacity ratio is too high, the operating cost of the power grid will increase, resulting in excessive investment; Heavy overload reduces operational reliability; according to relevant guidelines, the load capacity ratio should be controlled within a reasonable range:
式中:δmax和δmin为容载比上下限,具体取值由负荷增长速度决定;Pmax为年最大峰值负荷;In the formula: δmax and δmin are the upper and lower limits of the load capacity ratio, and the specific value is determined by the load growth rate; Pmax is the annual maximum peak load;
重过载设备约束Heavy Overload Equipment Constraints
配电网负荷增长迅速,设备重载问题成为日益突出的矛盾,变压器增容、新增线路能在一定程度上舒缓设备重过载问题;因此,应通过上层诊断指标确定其重过载比例应降低的目标,如下式所示:The load of the distribution network is growing rapidly, and the problem of equipment overload has become an increasingly prominent contradiction. Transformer capacity expansion and new lines can alleviate the equipment overload problem to a certain extent; therefore, the upper-level diagnostic indicators should be used to determine the proportion of heavy overload that should be reduced. target, as follows:
式中:Sover是重载设备数量,S是设备总数量,Nover为单个项目解决重载设备数量;投资总额约束In the formula: Sover is the number of heavy-duty equipment, S is the total number of equipment, and Nover solves the number of heavy-duty equipment for a single project; the total investment constraint
在制定周期内投资计划时,电网公司需对整个规划期内的投资能力进行预估,投资总额不能超过公司的投资能力;When formulating the investment plan within the cycle, the power grid company needs to estimate the investment capacity of the whole planning period, and the total investment cannot exceed the investment capacity of the company;
式中:Umax代表此次投资最大投资能力,Un为第n个项目投资建设费用;In the formula: Umax represents the maximum investment capacity of this investment, and Un is the investment and construction cost of the nth project;
投资预期收益约束Investment Expected Return Constraint
选取投资期望净现值代表投资收益;其投资收益约束如下:Select the expected net present value of the investment to represent the investment income; the investment income constraints are as follows:
式中:μ表示电网企业本次投资预期最小收益率;In the formula: μ represents the expected minimum rate of return of the investment of the power grid enterprise;
项目间耦合约束Inter-project coupling constraints
配电网项目在实施时常彼此存在着相互制约的关系,为以下三种:Distribution network projects often have mutual constraints in the implementation of the following three types:
3)项目互斥约束:3) Project mutual exclusion constraints:
xi+xj≤1xi +xj ≤1
即两个工程不能同时存在;针对同一问题有多种改造措施,不能同时或重复投资;That is, two projects cannot exist at the same time; there are multiple transformation measures for the same problem, and investment cannot be made at the same time or repeatedly;
2)项目从属关系约束:2) Project affiliation constraints:
xi-xj≥0xi -xj ≥0
只有项目i存在时,项目j才可存在;如扩建工程,低电压等级需等到高电压等级的配网工程。Only when project i exists, project j can exist; such as expansion projects, the low-voltage level needs to wait for the distribution network project of high-voltage level.
3)严格互补约束:3) Strictly complementary constraints:
xi-xj=0xi -xj =0
两个项目必须同时建设或同时不建设,如变电站配套工程与变电站建设相互依赖。Two projects must be constructed at the same time or not at the same time, such as substation supporting projects and substation construction are interdependent.
优选的,所述步骤S7中,Preferably, in the step S7,
由于CVaR最小化与单位投资效益是最大化目标相异,因此分别引入降半梯度隶属度函数和升半直线型隶属度函数,具体如下:Since CVaR minimization is different from the maximization goal of unit investment benefit, the descending semi-gradient membership function and the ascending semi-linear membership function are introduced respectively, as follows:
1)输入模型原始数据,按单目标优化模型分别求解目标函数,得到不同优化目标下的目标值,形成目标函数的决策属性表,具体如为F1*、F1min、F1(2)、F2*、F2(1)、F2max其中带*值表示仅以该目标函数求解模型:1) Input the original data of the model, solve the objective function separately according to the single-objective optimization model, obtain the objective value under different optimization objectives, and form the decision attribute table of the objective function, such as F1 *, F1min , F1(2) , F2 *, F2(1) , F2max The value with * indicates that the model is only solved with this objective function:
2)将多目标函数根据决策者的意愿和偏好进行不同程度的伸缩,进而确定F1max、F2min,进一步确定取值范围,具体计算结果如下:2) The multi-objective function is scaled to different degrees according to the wishes and preferences of the decision maker, and then F1max and F2min are determined, and the value range is further determined. The specific calculation results are as follows:
0≤F1max-F1min≤F1(2)-F1min0≤F1max -F1min ≤F1(2) -F1min
F2max-F2min≥F2max-F2(1)F2max -F2min ≥F2max -F2(1)
3)应用降半梯度隶属度函数处理CVaR最小化目标函数,应用升半直线形隶属度函数处理投资评分最大化目标函数,得到目标函数隶属度函数为:3) Apply the descending semi-gradient membership function to process the CVaR minimization objective function, and apply the ascending semi-linear membership function to process the investment score maximizing objective function, and obtain the objective function membership function as:
式中:Fimax和Fimin为目标函数fi(·)的最小值和最大值,π(fi)为目标函数fi(·)的隶属度函数;In the formula: Fimax and Fimin are the minimum and maximum values of the objective function fi (·), and π(fi ) is the membership function of the objective function fi (·);
应用模糊满意度理论获得各目标函数隶属度,根据模糊集合理论的max-min原则,可以转化为多目标CVaR模型,具体如下:The membership degree of each objective function is obtained by applying fuzzy satisfaction theory. According to the max-min principle of fuzzy set theory, it can be transformed into a multi-objective CVaR model, as follows:
min λπ1(f1)+(1-λ)π2(f2)min λπ1 (f1 )+(1-λ)π2 (f2 )
式中:π*=min{πk(fk),k=1,2};πk(fk)为各目标函数隶属度;λ为权重;此模型为线性模型,便于求解。In the formula: π*=min{πk (fk ),k=1,2}; πk (fk ) is the membership degree of each objective function; λ is the weight; this model is a linear model, which is easy to solve.
优选的,所述步骤S8中判断是否满足投资目标与可行性,若否则返回S3,否则结束该方法,具体为:是否符合实际,是则纳入当年投资建设计划。。Preferably, in the step S8, it is judged whether the investment objective and feasibility are met, if otherwise, return to S3, otherwise the method ends, specifically: whether it conforms to the actual situation, and if so, it is included in the investment and construction plan of the current year. .
以上是本发明的较佳实施例,凡依本发明技术方案所作的改变,所产生的功能作用未超出本发明技术方案的范围时,均属于本发明的保护范围。The above are the preferred embodiments of the present invention, all changes made according to the technical solutions of the present invention, when the resulting functional effects do not exceed the scope of the technical solutions of the present invention, belong to the protection scope of the present invention.
| Application Number | Priority Date | Filing Date | Title |
|---|---|---|---|
| CN202010203053.9ACN111460378A (en) | 2020-03-20 | 2020-03-20 | A method for optimizing precision investment projects in distribution network considering risk measurement |
| Application Number | Priority Date | Filing Date | Title |
|---|---|---|---|
| CN202010203053.9ACN111460378A (en) | 2020-03-20 | 2020-03-20 | A method for optimizing precision investment projects in distribution network considering risk measurement |
| Publication Number | Publication Date |
|---|---|
| CN111460378Atrue CN111460378A (en) | 2020-07-28 |
| Application Number | Title | Priority Date | Filing Date |
|---|---|---|---|
| CN202010203053.9APendingCN111460378A (en) | 2020-03-20 | 2020-03-20 | A method for optimizing precision investment projects in distribution network considering risk measurement |
| Country | Link |
|---|---|
| CN (1) | CN111460378A (en) |
| Publication number | Priority date | Publication date | Assignee | Title |
|---|---|---|---|---|
| CN112651540A (en)* | 2020-07-31 | 2021-04-13 | 国网陕西省电力公司经济技术研究院 | Power distribution network planning project investment optimization method |
| CN113435209A (en)* | 2021-06-24 | 2021-09-24 | 台州师同人信息技术有限公司 | Data management method and system based on shared laboratory platform |
| CN114820200A (en)* | 2022-04-06 | 2022-07-29 | 中国农业银行股份有限公司 | Quantitative investment processing method and device |
| CN115713241A (en)* | 2022-10-14 | 2023-02-24 | 国网福建省电力有限公司经济技术研究院 | Full life cycle evaluation method and terminal for power grid infrastructure project |
| CN117252707A (en)* | 2023-11-14 | 2023-12-19 | 国网吉林省电力有限公司经济技术研究院 | Power grid project investment optimization methods and devices |
| Publication number | Priority date | Publication date | Assignee | Title |
|---|---|---|---|---|
| US20040034612A1 (en)* | 2002-03-22 | 2004-02-19 | Nick Mathewson | Support vector machines for prediction and classification in supply chain management and other applications |
| JP2018206023A (en)* | 2017-06-02 | 2018-12-27 | 株式会社Quick | Risk evaluation system, risk evaluation method and risk evaluation program |
| CN109165809A (en)* | 2018-07-18 | 2019-01-08 | 国网江苏省电力有限公司 | A kind of new electricity changes Electric Power Network Planning project investment Ranking evaluation method under environment |
| CN109472398A (en)* | 2018-10-22 | 2019-03-15 | 国网四川省电力公司经济技术研究院 | Grid investment project portfolio optimization method based on relatively robust CVaR |
| CN109687458A (en)* | 2019-03-05 | 2019-04-26 | 东北电力大学 | Consider the space truss project method of regional distribution network risk tolerance difference |
| Publication number | Priority date | Publication date | Assignee | Title |
|---|---|---|---|---|
| US20040034612A1 (en)* | 2002-03-22 | 2004-02-19 | Nick Mathewson | Support vector machines for prediction and classification in supply chain management and other applications |
| JP2018206023A (en)* | 2017-06-02 | 2018-12-27 | 株式会社Quick | Risk evaluation system, risk evaluation method and risk evaluation program |
| CN109165809A (en)* | 2018-07-18 | 2019-01-08 | 国网江苏省电力有限公司 | A kind of new electricity changes Electric Power Network Planning project investment Ranking evaluation method under environment |
| CN109472398A (en)* | 2018-10-22 | 2019-03-15 | 国网四川省电力公司经济技术研究院 | Grid investment project portfolio optimization method based on relatively robust CVaR |
| CN109687458A (en)* | 2019-03-05 | 2019-04-26 | 东北电力大学 | Consider the space truss project method of regional distribution network risk tolerance difference |
| Title |
|---|
| ZEQI WANG: "Distribution Network Project Portfolio Optimization Decision Model Based on Power Demand Matching", 《IEEE》* |
| 刘友波: "电力市场下供需互动响应", 《中国电机工程学会电力市场专委会 2018 年年会论文集》* |
| 王国权等: "配电网投资效益评价及投资项目的优选", 《电力系统及其自动化学报》* |
| 鞠立伟: "需求响应参与清洁能源集成消纳与效益评价模型研究", 《中国博士学位论文全文数据库》* |
| Publication number | Priority date | Publication date | Assignee | Title |
|---|---|---|---|---|
| CN112651540A (en)* | 2020-07-31 | 2021-04-13 | 国网陕西省电力公司经济技术研究院 | Power distribution network planning project investment optimization method |
| CN113435209A (en)* | 2021-06-24 | 2021-09-24 | 台州师同人信息技术有限公司 | Data management method and system based on shared laboratory platform |
| CN113435209B (en)* | 2021-06-24 | 2021-12-14 | 台州师同人信息技术有限公司 | Data management method and system based on shared laboratory platform |
| CN114820200A (en)* | 2022-04-06 | 2022-07-29 | 中国农业银行股份有限公司 | Quantitative investment processing method and device |
| CN115713241A (en)* | 2022-10-14 | 2023-02-24 | 国网福建省电力有限公司经济技术研究院 | Full life cycle evaluation method and terminal for power grid infrastructure project |
| CN117252707A (en)* | 2023-11-14 | 2023-12-19 | 国网吉林省电力有限公司经济技术研究院 | Power grid project investment optimization methods and devices |
| CN117252707B (en)* | 2023-11-14 | 2024-02-09 | 国网吉林省电力有限公司经济技术研究院 | Power grid project investment optimization methods and devices |
| Publication | Publication Date | Title |
|---|---|---|
| CN111460378A (en) | A method for optimizing precision investment projects in distribution network considering risk measurement | |
| Jin et al. | Game theoretical analysis on capacity configuration for microgrid based on multi-agent system | |
| He et al. | Urban long term electricity demand forecast method based on system dynamics of the new economic normal: the case of Tianjin | |
| CN104951866B (en) | A benchmarking evaluation system and evaluation method for comprehensive management of line loss in county-level power supply enterprises | |
| Macedo et al. | Demand side management using artificial neural networks in a smart grid environment | |
| Neimane | On development planning of electricity distribution networks | |
| Alaqeel et al. | A fuzzy Analytic Hierarchy Process algorithm to prioritize Smart Grid technologies for the Saudi electricity infrastructure | |
| CN108122068A (en) | A kind of power distribution network risk-averse retailer method and system | |
| CN109165809B (en) | Power grid planning project investment sequencing assessment method under new electricity-to-electricity environment | |
| CN107067149A (en) | A kind of method for assessing the lower power network Purchasing combination income of peak regulation constraint and risk | |
| CN108876132A (en) | Industrial enterprise's efficiency service recommendation method based on cloud and system | |
| CN108985602A (en) | Power grid classification project input and output evaluation method and system considering risks | |
| Gao et al. | Low-carbon dispatching for virtual power plant with aggregated distributed energy storage considering spatiotemporal distribution of cleanness value | |
| Liu et al. | Evaluating investment strategies for distribution networks based on yardstick competition and DEA | |
| CN111428938A (en) | Power transmission network scheme optimization method based on function difference and full life cycle | |
| CN117691681A (en) | Virtual power plant scheduling and clearing method based on conditional risk value in market mode | |
| CN114707782A (en) | Decision and management method for stone park users to participate in orderly power utilization | |
| CN112651544B (en) | A multi-agent coordination optimization method for incremental power distribution | |
| CN113255957A (en) | Quantitative optimization analysis method and system for uncertain factors of comprehensive service station | |
| Lv et al. | Research on grid precision investment strategy of grid companies considering multidimensional economic and social factors | |
| CN111553525A (en) | A grid investment strategy optimization method considering transmission and distribution price supervision | |
| CN117521883A (en) | Power distribution network planning project optimization method based on improved value engineering | |
| CN109389315A (en) | A kind of rural power grids typical case platform area decreasing loss method | |
| CN103886393A (en) | Power grid investment optimization method based on simulation investment benefit analysis and learning automatons | |
| Wu et al. | Distribution network project portfolio optimization decision model based on power demand matching |
| Date | Code | Title | Description |
|---|---|---|---|
| PB01 | Publication | ||
| PB01 | Publication | ||
| SE01 | Entry into force of request for substantive examination | ||
| SE01 | Entry into force of request for substantive examination | ||
| RJ01 | Rejection of invention patent application after publication | ||
| RJ01 | Rejection of invention patent application after publication | Application publication date:20200728 |