









技术领域technical field
本申请实施例涉及计算机技术领域,特别涉及一种信息展示方法、装置、设备及存储介质。The embodiments of the present application relate to the field of computer technologies, and in particular, to an information display method, apparatus, device, and storage medium.
背景技术Background technique
随着终端的智能化发展,智能终端如手机越来越普及,交互对象可利用终端中安装的应用程序浏览终端展示的各种交互信息,例如,短视频信息,新闻信息等。终端可以基于交互对象的滑动指令,在滑动过程(包括滑动指令结束前的拖动滑动过程以及滑动指令结束后的惯性滑动过程)中展示交互信息,以供交互对象浏览更多的交互信息。With the intelligent development of terminals, intelligent terminals such as mobile phones are becoming more and more popular, and interactive objects can browse various interactive information displayed by the terminal by using the application program installed in the terminal, for example, short video information, news information, etc. The terminal can display interactive information during the sliding process (including the dragging and sliding process before the end of the sliding command and the inertial sliding process after the end of the sliding command) based on the sliding command of the interactive object, so that the interactive object can browse more interactive information.
目前,终端在滑动过程中展示交互信息的过程为:终端检测到滑动指令开始时,将交互信息的展示方式转换为某种目标展示方式,然后以目标展示方式展示出现在屏幕上的交互信息,直至滑动停止。也就是说,在整个滑动过程中,终端以相同的展示方式展示出现在屏幕上的交互信息,此种展示信息的方式较单一,信息展示的视觉效果较差,交互对象的浏览体验较差。At present, the process of displaying the interactive information during the sliding process of the terminal is as follows: when the terminal detects the start of the sliding instruction, it converts the display mode of the interactive information into a certain target display mode, and then displays the interactive information appearing on the screen in the target display mode. until the sliding stops. That is to say, during the entire sliding process, the terminal displays the interactive information appearing on the screen in the same display manner. This method of displaying information is relatively simple, the visual effect of the information display is poor, and the browsing experience of the interactive objects is poor.
发明内容SUMMARY OF THE INVENTION
本申请实施例提供了一种信息展示方法、装置、设备及存储介质,可用于提高信息展示的视觉效果。所述技术方案如下:Embodiments of the present application provide an information display method, apparatus, device, and storage medium, which can be used to improve the visual effect of information display. The technical solution is as follows:
一方面,本申请实施例提供了一种信息展示方法,所述方法包括:On the one hand, an embodiment of the present application provides an information display method, the method includes:
响应于滑动过程满足快速滑动开始条件,在滑动的过程中,对于出现在屏幕上的任一第一交互信息,将所述第一交互信息中的除图片和目标文字外的其他信息隐藏;In response to the sliding process satisfying the fast sliding start condition, during the sliding process, for any first interaction information that appears on the screen, other information except the picture and the target text in the first interaction information is hidden;
将所述第一交互信息中的图片的属性调整为第一目标属性,展示具有所述第一目标属性的图片;adjusting the attribute of the picture in the first interaction information to the first target attribute, and displaying the picture with the first target attribute;
将所述第一交互信息中的目标文字的属性调整为第二目标属性,在具有所述第一目标属性的图片上展示具有所述第二目标属性的目标文字。The attribute of the target text in the first interaction information is adjusted to the second target attribute, and the target text with the second target attribute is displayed on the picture with the first target attribute.
另一方面,提供了一种信息展示装置,所述装置包括:In another aspect, an information display device is provided, the device comprising:
隐藏模块,用于响应于滑动过程满足快速滑动开始条件,在滑动的过程中,对于出现在屏幕上的任一第一交互信息,将所述第一交互信息中的除图片和目标文字外的其他信息隐藏;The hidden module is used to satisfy the fast sliding start condition in response to the sliding process. During the sliding process, for any first interaction information appearing on the screen, the information in the first interaction information except the picture and the target text is deleted. other information hiding;
第一展示模块,用于将所述第一交互信息中的图片的属性调整为第一目标属性,展示具有所述第一目标属性的图片;a first display module, configured to adjust the attribute of the picture in the first interaction information to the first target attribute, and display the picture with the first target attribute;
第二展示模块,用于将所述第一交互信息中的目标文字的属性调整为第二目标属性,在具有所述第一目标属性的图片上展示具有所述第二目标属性的目标文字。The second display module is configured to adjust the attribute of the target text in the first interaction information to the second target attribute, and display the target text with the second target attribute on the picture with the first target attribute.
在一种可能实现方式中,所述装置还包括:In a possible implementation, the apparatus further includes:
获取模块,用于获取目标元素在滑动指令结束时的目标运动信息,所述目标运动信息包括目标速度和目标加速度;响应于所述目标运动信息满足快速滑动开始条件,滑动过程满足快速滑动开始条件。The acquisition module is used to acquire the target motion information of the target element at the end of the sliding instruction, the target motion information includes the target speed and the target acceleration; in response to the target motion information satisfying the fast sliding start condition, the sliding process satisfies the fast sliding start condition .
在一种可能实现方式中,所述图片的属性包括透明度,所述第一展示模块,还用于将所述第一交互信息中的图片的透明度增大至目标透明度,展示具有所述目标透明度的图片。In a possible implementation manner, the attribute of the picture includes transparency, and the first display module is further configured to increase the transparency of the picture in the first interaction information to a target transparency, and the display has the target transparency picture of.
在一种可能实现方式中,所述图片的属性还包括尺寸,所述第一展示模块,还用于将所述第一交互信息中的图片的尺寸增大至目标尺寸,所述目标尺寸为与所述第一交互信息所在区域匹配的尺寸;将所述第一交互信息中的具有目标尺寸的图片的透明度增大至目标透明度。In a possible implementation manner, the attribute of the picture further includes a size, and the first display module is further configured to increase the size of the picture in the first interaction information to a target size, where the target size is A size matching the area where the first interaction information is located; increasing the transparency of the picture with the target size in the first interaction information to the target transparency.
在一种可能实现方式中,所述目标文字的属性包括字号和字体颜色,所述第二展示模块,还用于将所述第一交互信息中的目标文字的字号增大至目标字号,将所述目标文字的颜色调整至目标颜色;在具有所述第一目标属性的图片上展示具有所述目标字号和所述目标颜色的目标文字。In a possible implementation manner, the attributes of the target text include a font size and a font color, and the second display module is further configured to increase the font size of the target text in the first interaction information to the target font size, and The color of the target text is adjusted to the target color; the target text with the target font size and the target color is displayed on the picture with the first target attribute.
在一种可能实现方式中,所述装置还包括:In a possible implementation, the apparatus further includes:
恢复模块,用于响应于滑动过程满足快速滑动结束条件,将出现在屏幕上的交互信息的展示方式恢复至默认展示方式。The restoration module is configured to restore the display mode of the interactive information appearing on the screen to the default display mode in response to the sliding process satisfying the fast sliding end condition.
在一种可能实现方式中,所述获取模块,还用于从滑动指令开始时,每隔第一参考时间间隔获取一次所述目标元素的位置信息,直至得到所述目标元素在滑动指令结束时的第一位置信息;基于所述第一位置信息、位于所述第一位置信息前一位的第二位置信息和所述第一参考时间间隔,获取所述目标元素在滑动指令结束时的目标速度;基于所述第一位置信息、所述第二位置信息、位于所述第一位置信息前两位的第三位置信息和所述第一参考时间间隔,获取所述目标元素在滑动指令结束时的目标加速度。In a possible implementation manner, the obtaining module is further configured to obtain the position information of the target element every first reference time interval from the beginning of the sliding instruction, until the target element is obtained when the sliding instruction ends The first position information of ; based on the first position information, the second position information located before the first position information and the first reference time interval, obtain the target element of the target element at the end of the sliding instruction speed; based on the first position information, the second position information, the third position information located in the first two positions of the first position information, and the first reference time interval, obtain the target element at the end of the sliding instruction target acceleration.
在一种可能实现方式中,所述目标运动信息满足快速滑动开始条件,包括:所述目标速度不小于速度阈值;或者,所述目标加速度不小于加速度阈值;或者,所述目标速度不小于所述速度阈值,所述目标加速度不小于所述加速度阈值。In a possible implementation manner, the target motion information satisfies the fast sliding start condition, including: the target speed is not less than a speed threshold; or the target acceleration is not less than an acceleration threshold; or the target speed is not less than all the speed threshold, the target acceleration is not less than the acceleration threshold.
在一种可能实现方式中,所述滑动过程满足快速滑动结束条件,包括:目标元素在滑动过程中的实际位置信息为快速滑动结束时的理论位置信息;或者,在滑动过程中检测到屏幕触摸指令。In a possible implementation manner, the sliding process satisfies the fast sliding end condition, including: the actual position information of the target element during the sliding process is the theoretical position information at the end of the fast sliding; or, a screen touch is detected during the sliding process. instruction.
在一种可能实现方式中,所述装置还包括:In a possible implementation, the apparatus further includes:
确定模块,用于基于所述目标元素在滑动指令结束时的目标速度和目标加速度,确定所述目标元素在滑动过程中依次经过的各个理论位置信息,任两个相邻的理论位置信息之间的时间间隔均为第二参考时间间隔;依次将各个理论位置信息与目标参考条件进行匹配,响应于任一理论位置信息满足目标参考条件,将所述任一理论位置信息作为所述快速滑动结束时的理论位置信息。The determination module is used to determine the respective theoretical position information of the target element in the sliding process, based on the target velocity and target acceleration of the target element at the end of the sliding instruction, between any two adjacent theoretical position information The time interval is the second reference time interval; each theoretical position information is matched with the target reference condition in turn, and in response to any theoretical position information meeting the target reference condition, the any theoretical position information is used as the fast sliding end The theoretical position information at the time.
在一种可能实现方式中,所述任一理论位置信息满足目标参考条件,包括:所述任一理论位置信息对应的第一距离不大于第一数值,所述第一距离为所述任一理论位置信息与第一理论位置信息之间的距离,所述第一理论位置信息为位于所述任一理论位置信息前一位的理论位置信息;或者,所述任一理论位置信息对应的第二距离与所述第一距离的差值不大于第二数值,所述第二距离为第二理论位置信息与所述第一理论位置信息之间的距离,所述第二理论位置信息为位于所述任一理论位置信息前两位的理论位置信息;或者,所述第一距离不大于所述第一数值,所述第二距离与所述第一距离的差值不大于所述第二数值。In a possible implementation manner, the any theoretical position information satisfies the target reference condition, including: the first distance corresponding to the any theoretical position information is not greater than a first value, and the first distance is any of the The distance between the theoretical position information and the first theoretical position information, the first theoretical position information is the theoretical position information located in the previous position of any theoretical position information; or, the first theoretical position information corresponding to the any theoretical position information The difference between the two distances and the first distance is not greater than a second value, the second distance is the distance between the second theoretical position information and the first theoretical position information, and the second theoretical position information is located at The theoretical position information of the first two bits of any theoretical position information; or, the first distance is not greater than the first value, and the difference between the second distance and the first distance is not greater than the second distance numerical value.
在一种可能实现方式中,所述装置还包括:In a possible implementation, the apparatus further includes:
第三展示模块,用于响应于针对出现在屏幕上的任一第二交互信息的触发指令,展示所述第二交互信息的关联信息。The third display module is configured to, in response to a trigger instruction for any second interaction information appearing on the screen, display the associated information of the second interaction information.
另一方面,提供了一种计算机设备,所述计算机设备包括处理器和存储器,所述存储器中存储有至少一条程序代码,所述至少一条程序代码由所述处理器加载并执行,以实现上述任一所述的信息展示方法。In another aspect, a computer device is provided, the computer device includes a processor and a memory, the memory stores at least one piece of program code, and the at least one piece of program code is loaded and executed by the processor to implement the above Any of the described information display methods.
另一方面,还提供了一种计算机可读存储介质,所述计算机可读存储介质中存储有至少一条程序代码,所述至少一条程序代码由处理器加载并执行,以实现上述任一所述的信息展示方法。On the other hand, a computer-readable storage medium is also provided, and at least one piece of program code is stored in the computer-readable storage medium, and the at least one piece of program code is loaded and executed by a processor, so as to realize any one of the above method of displaying information.
本申请实施例提供的技术方案至少带来如下有益效果:The technical solutions provided in the embodiments of the present application at least bring the following beneficial effects:
当滑动过程满足快速滑动开始条件时,对于出现在屏幕上的任一第一交互信息,将该第一交互信息中的其他信息隐藏,将图片和目标文字的属性分别调整为第一目标属性和第二目标属性,然后在具有第一目标属性的图片上展示具有第二目标属性的目标文字。在此种信息展示过程中,在滑动过程中识别出快速滑动的开始行为,在快速滑动开始后改变交互信息的展示方式,将交互信息中的图片和目标文字按照不同的属性进行展示,信息展示的视觉效果较好,有利于提高交互信息在滑动过程中的触达率,提高交互对象在滑动过程中的浏览体验。When the sliding process satisfies the fast sliding start condition, for any first interaction information that appears on the screen, other information in the first interaction information is hidden, and the attributes of the picture and the target text are adjusted to the first target attribute and the second target attribute, and then displaying the target text with the second target attribute on the picture with the first target attribute. In this information display process, the start behavior of fast sliding is identified during the sliding process, the display method of interactive information is changed after the rapid sliding starts, and the pictures and target texts in the interactive information are displayed according to different attributes. The visual effect is better, which is beneficial to improve the touch rate of interactive information in the sliding process, and improve the browsing experience of interactive objects in the sliding process.
附图说明Description of drawings
为了更清楚地说明本申请实施例中的技术方案,下面将对实施例描述中所需要使用的附图作简单地介绍,显而易见地,下面描述中的附图仅仅是本申请的一些实施例,对于本领域普通技术人员来讲,在不付出创造性劳动的前提下,还可以根据这些附图获得其他的附图。In order to illustrate the technical solutions in the embodiments of the present application more clearly, the following briefly introduces the drawings that are used in the description of the embodiments. Obviously, the drawings in the following description are only some embodiments of the present application. For those of ordinary skill in the art, other drawings can also be obtained from these drawings without creative effort.
图1是本申请实施例提供的一种信息展示方法的实施环境的示意图;1 is a schematic diagram of an implementation environment of an information display method provided by an embodiment of the present application;
图2是本申请实施例提供的一种信息展示方法的流程图;2 is a flowchart of an information display method provided by an embodiment of the present application;
图3是本申请实施例提供的一种信息展示界面的示意图;3 is a schematic diagram of an information display interface provided by an embodiment of the present application;
图4是本申请实施例提供的一种信息展示界面的示意图;4 is a schematic diagram of an information display interface provided by an embodiment of the present application;
图5是本申请实施例提供的一种信息展示方法的流程图;5 is a flowchart of an information display method provided by an embodiment of the present application;
图6是本申请实施例提供的一种信息展示过程的示意图;6 is a schematic diagram of an information display process provided by an embodiment of the present application;
图7是本申请实施例提供的一种信息展示装置的示意图;FIG. 7 is a schematic diagram of an information display device provided by an embodiment of the present application;
图8是本申请实施例提供的一种信息展示装置的示意图;8 is a schematic diagram of an information display device provided by an embodiment of the present application;
图9是本申请实施例提供的一种终端的结构示意图;FIG. 9 is a schematic structural diagram of a terminal provided by an embodiment of the present application;
图10是本申请实施例提供的一种计算机设备的结构示意图。FIG. 10 is a schematic structural diagram of a computer device provided by an embodiment of the present application.
具体实施方式Detailed ways
为使本申请的目的、技术方案和优点更加清楚,下面将结合附图对本申请实施方式作进一步地详细描述。In order to make the objectives, technical solutions and advantages of the present application clearer, the embodiments of the present application will be further described in detail below with reference to the accompanying drawings.
需要说明的是,本申请的说明书和权利要求书及上述附图中的术语“第一”、“第二”等是用于区别类似的对象,而不必用于描述特定的顺序或先后次序。应该理解这样使用的数据在适当情况下可以互换,以便这里描述的本申请的实施例能够以除了在这里图示或描述的那些以外的顺序实施。以下示例性实施例中所描述的实施方式并不代表与本申请相一致的所有实施方式。相反,它们仅是与如所附权利要求书中所详述的、本申请的一些方面相一致的装置和方法的例子。It should be noted that the terms "first", "second", etc. in the description and claims of the present application and the above drawings are used to distinguish similar objects, and are not necessarily used to describe a specific sequence or sequence. It is to be understood that data so used may be interchanged under appropriate circumstances so that the embodiments of the application described herein can be practiced in sequences other than those illustrated or described herein. The implementations described in the illustrative examples below are not intended to represent all implementations consistent with this application. Rather, they are merely examples of apparatus and methods consistent with some aspects of the present application as recited in the appended claims.
随着终端的智能化发展,智能终端如手机越来越普及,交互对象可利用终端中安装的应用程序浏览终端展示的各种交互信息,例如,短视频信息,新闻信息等。终端可以基于交互对象的滑动指令,在滑动过程(包括滑动指令结束前的拖动滑动过程以及滑动指令结束后的惯性滑动过程)中展示交互信息,以供交互对象浏览更多的交互信息。With the intelligent development of terminals, intelligent terminals such as mobile phones are becoming more and more popular, and interactive objects can browse various interactive information displayed by the terminal by using the application program installed in the terminal, for example, short video information, news information, etc. The terminal can display interactive information during the sliding process (including the dragging and sliding process before the end of the sliding command and the inertial sliding process after the end of the sliding command) based on the sliding command of the interactive object, so that the interactive object can browse more interactive information.
对此,本申请实施例提供了一种信息展示方法,以在滑动过程中展示交互信息。请参考图1,其示出了本申请实施例提供的信息展示方法的实施环境的示意图。该实施环境可以包括:终端11和服务器12。In this regard, an embodiment of the present application provides an information display method, so as to display interactive information during a sliding process. Please refer to FIG. 1 , which shows a schematic diagram of an implementation environment of the information display method provided by the embodiment of the present application. The implementation environment may include: a terminal 11 and a
其中,终端11安装有能够展示交互信息的应用程序或者网页,当该应用程序或者网页需要在滑动过程中展示出现在屏幕上的交互信息时,可应用本申请实施例提供的方法进行展示。服务器12可以对需要展示的交互信息进行存储,终端11可以从服务器12上获取需要展示的交互信息。当然,终端11上也可以对获取的交互信息进行存储。The terminal 11 is installed with an application or webpage capable of displaying interactive information. When the application or webpage needs to display the interactive information displayed on the screen during the sliding process, the method provided by the embodiment of the present application can be applied to display. The
在一种可能实现方式中,终端11可以是诸如手机、平板电脑、个人计算机等的智能设备。服务器12可以是一台服务器,也可以是由多台服务器组成的服务器集群,或者是一个云计算服务中心。终端11与服务器12通过有线或无线网络建立通信连接。In a possible implementation manner, the terminal 11 may be a smart device such as a mobile phone, a tablet computer, a personal computer, and the like. The
本领域技术人员应能理解上述终端11和服务器12仅为举例,其他现有的或今后可能出现的终端或服务器如可适用于本申请,也应包含在本申请保护范围以内,并在此以引用方式包含于此。Those skilled in the art should understand that the above-mentioned terminal 11 and
基于上述图1所示的实施环境,本申请实施例提供一种信息展示方法,以该方法应用于终端11为例。如图2所示,本申请实施例提供的方法可以包括如下步骤:Based on the above-mentioned implementation environment shown in FIG. 1 , an embodiment of the present application provides an information display method, and the method is applied to the terminal 11 as an example. As shown in FIG. 2 , the method provided by the embodiment of the present application may include the following steps:
在步骤201中,响应于滑动过程满足快速滑动开始条件,在滑动的过程中,对于出现在屏幕上的任一第一交互信息,将第一交互信息中的除图片和目标文字外的其他信息隐藏。In
当滑动过程满足快速滑动开始条件时,说明快速滑动阶段开始,此时,在基于目标速度和目标加速度进行滑动的过程中,改变出现在屏幕上的交互信息的展示方式,以提高交互信息在快速滑动阶段的触达率。When the sliding process satisfies the fast sliding start condition, it indicates that the fast sliding phase starts. At this time, during the sliding process based on the target speed and target acceleration, the display method of the interactive information appearing on the screen is changed to improve the interactive information in the fast sliding process. The reach rate of the sliding phase.
出现在屏幕上的交互信息用于简要概括该交互信息的关联信息。本申请实施例对交互信息的关联信息的类型不加以限定。示例性地,交互信息的关联信息的类型可以为视频、也可以为新闻等。在滑动过程中,终端的屏幕上展示交互信息。在一种可能实现方式中,交互信息可以构成信息流,在滑动过程中,终端的屏幕上不断展示信息流中的新交互信息。示例性地,信息流可以是指feed(饲料)流。feed是将交互对象主动订阅的若干消息源组合在一起形成内容聚合器,帮助交互对象持续地获取最新的订阅源内容。feed流即持续更新并呈现给交互对象内容的信息流。feed流可以包括短视频feed流、新闻feed流等。The interactive information that appears on the screen is used to briefly summarize the related information of the interactive information. This embodiment of the present application does not limit the type of the associated information of the interaction information. Exemplarily, the type of the associated information of the interaction information may be video, news, or the like. During the sliding process, interactive information is displayed on the screen of the terminal. In a possible implementation manner, the interactive information may constitute an information flow, and during the sliding process, new interactive information in the information flow is continuously displayed on the screen of the terminal. Illustratively, an information flow may refer to a feed flow. Feed is a content aggregator that combines several news sources actively subscribed by interactive objects to help interactive objects continuously obtain the latest feed content. A feed stream is a stream of information that is continuously updated and presented to interactive objects. Feed streams may include short video feed streams, news feed streams, and the like.
需要说明的是,出现在屏幕上的交互信息在滑动过程中不断变化,同时出现在屏幕上的交互信息的数量可以为一个或多个。在同一个应用程序或者同一网页中,各个交互信息的组成结构及默认排版格式是相同的,但是由于不同交互信息占用的屏幕区域大小可能不同,所以在滑动过程中,同时出现在屏幕上的交互信息的数量可能不同。It should be noted that the interactive information appearing on the screen is constantly changing during the sliding process, and the number of interactive information appearing on the screen at the same time may be one or more. In the same application or the same web page, the composition structure and default typesetting format of each interactive information are the same, but the size of the screen area occupied by different interactive information may be different, so during the sliding process, the interaction that appears on the screen at the same time The amount of information may vary.
本申请实施例对出现在屏幕上的交互信息的组成结构及默认排版格式不加以限定。示例性地,交互信息的组成结构可以包括图片、目标文字以及除图片和目标文字外的其他信息。图片可以是指交互信息的关联信息中的任一图片;目标文字可以是指交互信息的关联信息的标题;其他信息包括但不限于播放次数信息、用户名称信息、互动信息等。在此种组成结构下,默认排版格式可以为:目标文字显示在图片所在区域的下方,播放次数信息显示在图片所在区域中的右下角,用户名称信息和互动信息显示在目标文字的下方。例如,交互信息的组成结构及默认排版格式可以如图3中的(1)中的30所示,交互信息30的组成结构包括图片301、“医生教你减轻生育疼痛”的目标文字302和其他信息,该其他信息包括“1800次播放”的播放次数信息303、“用户3”的用户名称信息304以及包括点赞图标和点赞次数“500”的互动信息305。默认排版格式为:目标文字302显示在图片301所在区域的下方,播放次数信息303显示在图片301所在区域中的右下角,用户名称信息304和互动信息305显示在目标文字302的下方。The embodiment of the present application does not limit the composition structure and default typesetting format of the interaction information appearing on the screen. Exemplarily, the composition structure of the interaction information may include a picture, a target text, and other information other than the picture and the target text. The picture may refer to any picture in the associated information of the interaction information; the target text may refer to the title of the associated information of the interaction information; other information includes but is not limited to play times information, user name information, interaction information, etc. Under this structure, the default typesetting format can be as follows: the target text is displayed below the area where the image is located, the play count information is displayed in the lower right corner of the area where the image is located, and the user name information and interactive information are displayed below the target text. For example, the composition structure and the default typesetting format of the interactive information can be shown as 30 in (1) in FIG. 3 , and the composition structure of the interactive information 30 includes a
在一种可能实现方式中,可以将保持默认排版格式不变的展示方式作为默认展示方式。例如,当用默认展示方式展示出现在屏幕上的交互信息时,终端的信息展示界面可以如图3中的(1)所示。图3中的(1)可以为滑动之前的静止展示界面,在图3中的(1)所示的信息展示界面中,除展示了4个与交互信息30具有相同组成结构和排版格式的交互信息外,还展示了预告信息31。需要说明的是,在从下向上滑动的过程中,预告信息31向上滑动,当预告信息31滑出屏幕后,出现在屏幕上的仅具有交互信息。In a possible implementation manner, a presentation manner that keeps the default typesetting format unchanged may be used as the default presentation manner. For example, when the interactive information appearing on the screen is displayed in the default display mode, the information display interface of the terminal may be as shown in (1) in FIG. 3 . (1) in FIG. 3 can be a static display interface before sliding. In the information display interface shown in (1) in FIG. 3 , except that four interactions with the same composition and layout format as the interactive information 30 are displayed In addition to the information, notice
第一交互信息中的除图片和目标文字外的其他信息为交互对象在快速滑动阶段无需关注的信息,将除图片和目标文字外的其他信息隐藏可以减少不必要信息的干扰。本申请实施例对隐藏其他信息的方式不加以限定,示例性地,可以通过将其他信息设置为透明状态来隐藏其他信息。Other information in the first interaction information except the picture and the target text is information that the interactive object does not need to pay attention to in the fast sliding stage, and hiding other information except the picture and the target text can reduce the interference of unnecessary information. The embodiments of the present application do not limit the manner of hiding other information. For example, other information may be hidden by setting the other information to a transparent state.
需要说明的是,在实现步骤201之前,需要先判断滑动过程是否满足快速滑动开始条件,该判断过程可以基于步骤200实现。It should be noted that, before
步骤200:获取目标元素在滑动指令结束时的目标运动信息,目标运动信息包括目标速度和目标加速度;响应于目标运动信息满足快速滑动开始条件,滑动过程满足快速滑动开始条件。Step 200: Obtain target motion information of the target element at the end of the sliding instruction, the target motion information includes target speed and target acceleration; in response to the target motion information satisfying the fast sliding start condition, the sliding process satisfies the fast sliding start condition.
目标元素是指在滑动过程中位置不断发射变化的任一元素,示例性地,目标元素可以是指滑动指令开始时出现在屏幕中的某一图片或者某一文字等。滑动指令是指交互对象的滑动操作触发的指令,交互对象的滑动操作由持续一段滑动距离的触摸操作构成,当交互对象的触摸操作停止时,滑动指令结束。The target element refers to any element whose position changes continuously during the sliding process. Exemplarily, the target element may refer to a picture or a text that appears on the screen when the sliding instruction starts. The sliding instruction refers to an instruction triggered by the sliding operation of the interactive object. The sliding operation of the interactive object consists of a touch operation that lasts for a sliding distance. When the touching operation of the interactive object stops, the sliding instruction ends.
在一种可能实现方式中,终端获取目标元素在滑动指令结束时的目标运动信息的过程包括以下步骤200A和步骤200B:In a possible implementation manner, the process of the terminal acquiring the target motion information of the target element at the end of the sliding instruction includes the following steps 200A and 200B:
步骤200A:终端获取滑动指令。Step 200A: The terminal obtains a sliding instruction.
在一种可能实现方式中,终端获取滑动指令的过程为:交互对象触摸屏幕,终端检测到触摸指令;在检测到触摸指令后,被触摸区域中的目标元素的位置发生目标方向的移动,此时,认为交互对象产生了滑动操作,终端获取滑动指令。交互对象的触摸操作开始时,滑动指令开始;交互对象的触摸操作停止时,滑动指令结束。需要说明的是,本申请实施例对目标方向不加以限定,可以根据终端的配置情况进行设置。示例性地,若终端的配置情况仅支持纵向滑动,则目标方向为从上到下或者从下到上的方向;若终端的配置情况仅支持横向互动,则目标方向为从左到右或者从右到左的方向;若终端的配置情况既支持纵向滑动又支持横向滑动,则目标方向既可以为从上到下或者从下到上的方向,又可以为从左到右或者从右到左的方向。在一次滑动过程中,目标方向为一个固定的方向,目标元素在滑动过程中的运动为直线运动。In a possible implementation manner, the process for the terminal to obtain the sliding instruction is as follows: the interactive object touches the screen, and the terminal detects the touch instruction; after detecting the touch instruction, the position of the target element in the touched area moves in the target direction. , it is considered that the interactive object has generated a sliding operation, and the terminal obtains the sliding instruction. When the touch operation of the interactive object starts, the sliding instruction starts; when the touch operation of the interactive object stops, the sliding instruction ends. It should be noted that, the embodiment of the present application does not limit the target direction, which may be set according to the configuration of the terminal. Exemplarily, if the configuration of the terminal only supports vertical sliding, the target direction is from top to bottom or from bottom to top; if the configuration of the terminal only supports horizontal interaction, the target direction is from left to right or from bottom to top. Right-to-left direction; if the configuration of the terminal supports both vertical and horizontal sliding, the target direction can be either top-to-bottom or bottom-to-top, left-to-right or right-to-left direction. In a sliding process, the target direction is a fixed direction, and the movement of the target element during the sliding process is a linear motion.
在本申请实施例中,屏幕可以采用LCD(LiquidCrystalDisplay,液晶显示器)、OLED(OrganicLight-EmittingDiode,有机发光二极管)等材质来配置显示面板,从而显示图片、文字、图标、视频等。屏幕可以包括触敏表面以及其他输入设备。触敏表面,也称为触摸显示屏或者触控板,可收集交互对象在其上或附近的触摸操作(比如交互对象使用手指、触笔等任何适合的物体或附件在触敏表面上或在触敏表面附近的操作),然后根据预先设定的程序驱动相应的连接装置。在一种可能实现方式中,触敏表面可以包括触摸检测装置和触摸控制器两个部分。其中,触摸检测装置检测交互对象的滑动操作从而获得触摸操作带来的信号,将信号传送给触摸控制器;触摸控制器从触摸检测装置上接收信号,并将它转换成触点坐标。进一步地,触敏表面可覆盖显示面板,当触敏表面检测到在其上或附近的触摸操作后,传送给处理器以确定触摸事件的类型,随后处理器根据触摸事件的类型在显示面板上提供相应的视觉输出。In the embodiment of the present application, the screen can be configured with materials such as LCD (Liquid Crystal Display, liquid crystal display), OLED (Organic Light-Emitting Diode, organic light-emitting diode) and other materials to configure the display panel, thereby displaying pictures, text, icons, videos, etc. Screens may include touch-sensitive surfaces as well as other input devices. A touch-sensitive surface, also known as a touch display or trackpad, collects touch operations on or near the interacting object (such as the interacting object using a finger, stylus, etc., any suitable object or attachment on or on the touch-sensitive surface. operation near the touch-sensitive surface), and then actuate the corresponding connection device according to the preset program. In one possible implementation, the touch-sensitive surface may include two parts, a touch detection device and a touch controller. The touch detection device detects the sliding operation of the interactive object to obtain the signal brought by the touch operation, and transmits the signal to the touch controller; the touch controller receives the signal from the touch detection device and converts it into contact coordinates. Further, the touch-sensitive surface can cover the display panel, and when the touch-sensitive surface detects a touch operation on or near it, it is transmitted to the processor to determine the type of touch event, and then the processor displays the touch event on the display panel according to the type of touch event. Provide the corresponding visual output.
由于终端的屏幕范围有限,越来越多的应用程序或者网页可以基于交互对象的滑动指令,在滑动过程中展示交互信息,以供交互对象浏览更多的交互信息。需要说明的是,通常情况下,基于滑动指令进行滑动的滑动过程包括滑动指令结束前的拖动滑动过程以及滑动指令结束后的惯性滑动过程,以减少滑动骤然停止的视觉突兀感,一定程度上提高视觉效果。拖动滑动过程是根据交互对象的滑动操作控制的,惯性滑动过程是在拖动滑动过程结束时的速度和加速度的基础上,由终端中的惯性滑动控制组件自动控制的。Due to the limited screen range of the terminal, more and more applications or web pages can display interactive information during the sliding process based on the sliding instruction of the interactive object, so that the interactive object can browse more interactive information. It should be noted that, under normal circumstances, the sliding process of sliding based on the sliding command includes the drag sliding process before the end of the sliding command and the inertial sliding process after the end of the sliding command, so as to reduce the visual abruptness of the sudden stop of the sliding, to a certain extent. Improve visual effects. The drag sliding process is controlled according to the sliding operation of the interactive object, and the inertia sliding process is automatically controlled by the inertia sliding control component in the terminal on the basis of the speed and acceleration at the end of the drag sliding process.
需要说明的是,由于拖动滑动过程根据交互对象的滑动操作控制,交互对象的滑动操作的滑动速度以及滑动距离有限,屏幕中滑动的内容较少,所以在拖动滑动过程中,终端可以以默认展示方式展示出现在屏幕上的交互信息。默认展示方式可以是指屏幕静止时的展示方式。It should be noted that, since the dragging and sliding process is controlled according to the sliding operation of the interactive object, the sliding speed and sliding distance of the sliding operation of the interactive object are limited, and the sliding content on the screen is less, so during the dragging and sliding process, the terminal can The default presentation method displays interactive information that appears on the screen. The default display method can refer to the display method when the screen is stationary.
在滑动指令结束前,终端可以一直以默认展示方式展示出现在屏幕上的交互信息,直至滑动指令结束,执行步骤200B。Before the end of the sliding instruction, the terminal may display the interactive information appearing on the screen in a default display manner until the end of the sliding instruction, and then step 200B is performed.
步骤200B:响应于滑动指令结束,获取目标元素在滑动指令结束时的目标运动信息。Step 200B: In response to the end of the sliding instruction, acquire target motion information of the target element at the end of the sliding instruction.
滑动指令结束,即为拖动滑动过程结束,开始惯性滑动过程。目标元素在滑动指令结束时的目标运动信息是指目标元素在拖动滑动过程结束时的运动信息,也是指目标元素在惯性滑动过程开始时的运动信息。目标运动信息的用途为判断惯性滑动过程开始时是否满足快速滑动。When the sliding command ends, the dragging and sliding process ends, and the inertial sliding process begins. The target motion information of the target element at the end of the sliding instruction refers to the motion information of the target element when the dragging and sliding process ends, and also refers to the motion information of the target element when the inertial sliding process begins. The purpose of the target motion information is to judge whether fast sliding is satisfied at the beginning of the inertial sliding process.
滑动指令结束后,终端中的交互信息进行惯性滑动,该惯性滑动的速度可能较快,在滑动速度较快时,交互对象难以准确捕捉到目标文字,从而可能使交互对象遗漏感兴趣的交互信息,导致交互对象无法快速选择感兴趣的交互信息,进而影响消费决策。因此,本申请实施例通过判断目标元素在滑动指令结束时的目标运动信息是否满足快速滑动开始条件,来判断是否改变出现在屏幕中的交互信息的展示方式,以提高交互对象的浏览体验。After the sliding command ends, the interactive information in the terminal will undergo inertial sliding, and the inertial sliding speed may be fast. When the sliding speed is fast, it is difficult for the interactive object to accurately capture the target text, which may cause the interactive object to miss the interactive information of interest. , resulting in the inability of interactive objects to quickly select interesting interactive information, thereby affecting consumption decisions. Therefore, the embodiment of the present application determines whether to change the display mode of the interactive information appearing on the screen by judging whether the target motion information of the target element at the end of the sliding instruction satisfies the fast sliding start condition, so as to improve the browsing experience of the interactive objects.
目标运动信息是指目标元素在滑动指令结束时的运动信息,目标运动信息包括目标速度和目标加速度。目标速度即为惯性滑动过程的起始速度,目标加速度即为惯性滑动过程的起始加速度。一种可能实现方式中,获取目标元素在滑动指令结束时的目标运动信息的过程包括以下步骤A至步骤C:The target motion information refers to the motion information of the target element at the end of the sliding instruction, and the target motion information includes the target speed and the target acceleration. The target velocity is the initial velocity of the inertial sliding process, and the target acceleration is the initial acceleration of the inertial sliding process. In a possible implementation, the process of obtaining the target motion information of the target element at the end of the sliding instruction includes the following steps A to C:
步骤A:从滑动指令开始时,每隔第一参考时间间隔获取一次目标元素的位置信息,直至得到目标元素在滑动指令结束时的第一位置信息。Step A: From the beginning of the sliding instruction, the position information of the target element is acquired every first reference time interval until the first position information of the target element at the end of the sliding instruction is obtained.
滑动指令的持续时长为第一参考时间间隔的整数倍,以保证能够获取到目标元素在滑动指令结束时的第一位置信息。第一参考时间间隔可以根据经验设置,也可以根据终端的配置情况进行灵活调整,本申请实施例对此不加以限定。例如,第一参考时间间隔可以设置为1秒。The duration of the sliding instruction is an integer multiple of the first reference time interval, so as to ensure that the first position information of the target element at the end of the sliding instruction can be obtained. The first reference time interval may be set according to experience, and may also be flexibly adjusted according to the configuration of the terminal, which is not limited in this embodiment of the present application. For example, the first reference time interval may be set to 1 second.
在一种可能实现方式中,位置信息携带时间戳,任一位置信息用于指示目标元素在该位置信息携带的时间戳时所处的位置,位置信息可以用坐标的形式进行表示。在用坐标的形式表示位置信息时,坐标原点可以根据经验设置,本申请实施例对此不加以限定,例如,可以将屏幕中心作为坐标原点,也可以将屏幕左上角作为坐标原点等。In a possible implementation manner, the location information carries a time stamp, and any location information is used to indicate the location of the target element at the time stamp carried by the location information, and the location information may be expressed in the form of coordinates. When the position information is represented in the form of coordinates, the coordinate origin can be set according to experience, which is not limited in the embodiments of the present application.
经过步骤A,可以得到目标元素从滑动指令开始到滑动指令结束的过程中不断变化的位置信息。这些位置信息按照时间先后顺序依次排列,任两个相邻的位置信息之间的时间间隔均为第一参考时间间隔。目标元素从滑动指令开始到滑动指令结束的过程中的位置信息可以分别用y(1),y(2),y(3)……y(n-2),y(n-1),y(n)(n为不小于3的整数)表示。其中,y(1)表示目标元素在滑动指令开始时的位置信息;y(n)表示目标元素在滑动指令结束时的第一位置信息。After step A, the continuously changing position information of the target element in the process from the start of the slide instruction to the end of the slide instruction can be obtained. The pieces of position information are arranged in chronological order, and the time interval between any two adjacent pieces of position information is the first reference time interval. The position information of the target element in the process from the start of the slide command to the end of the slide command can be used respectively y(1), y(2), y(3)... y(n-2), y(n-1), y (n) (n is an integer not less than 3) represents. Wherein, y(1) represents the position information of the target element at the beginning of the sliding instruction; y(n) represents the first position information of the target element at the end of the sliding instruction.
步骤B:基于第一位置信息、位于第一位置信息前一位的第二位置信息和第一参考时间间隔,获取目标元素在滑动指令结束时的目标速度。Step B: Based on the first position information, the second position information located one position before the first position information, and the first reference time interval, obtain the target speed of the target element at the end of the sliding instruction.
假设y(n)表示第一位置信息,y(n-1)表示位于第一位置信息前一位的第二位置信息,t1表示第一参考时间间隔,则目标元素在滑动指令结束时的目标速度v可以根据公式1计算得到:Assuming that y(n) represents the first position information, y(n-1) represents the second position information located one position before the first position information, and t1 represents the first reference time interval, then the target element at the end of the sliding instruction The target speed v can be calculated according to formula 1:
其中,y(n)-y(n-1)可以表示目标元素从第二位置信息到第一位置信息的移动距离。在一种可能实现方式中,可以规定滑动方向为正方向,由于目标元素在沿着滑动方向运动,所以计算得到的目标速度为正值。Wherein, y(n)-y(n-1) may represent the moving distance of the target element from the second position information to the first position information. In a possible implementation manner, the sliding direction may be specified as a positive direction, and since the target element is moving along the sliding direction, the calculated target speed is a positive value.
步骤C:基于第一位置信息、第二位置信息、位于第一位置信息前两位的第三位置信息和第一参考时间间隔,获取目标元素在滑动指令结束时的目标加速度。Step C: Based on the first position information, the second position information, the third position information located in the first two positions of the first position information, and the first reference time interval, obtain the target acceleration of the target element at the end of the sliding instruction.
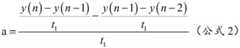
假设y(n)表示第一位置信息,y(n-1)表示第二位置信息,y(n-2)表示第三位置信息,t1表示第一参考时间间隔,则目标元素在滑动指令结束时的目标加速度a可以根据公式2计算得到:Assuming that y(n) represents the first position information, y(n-1) represents the second position information, y(n-2) represents the third position information, and t1 represents the first reference time interval, then the target element is in the sliding instruction The target acceleration a at the end can be calculated according to Equation 2:
其中,y(n)-y(n-1)可以表示目标元素从第二位置信息到第一位置信息的移动距离,y(n-1)-y(n-2)可以表示目标元素从第三位置信息到第二位置信息的移动距离。在一种可能实现方式中,可以规定滑动方向为正方向,根据公式2计算得到的目标加速度a可能为正数,也可能为负数。当目标加速度a为正数时,说明目标元素在滑动指令结束时的运动为加速运动;当目标加速度a为负数时,说明目标元素在滑动指令结束时的运动为减速运动。Among them, y(n)-y(n-1) can represent the moving distance of the target element from the second position information to the first position information, and y(n-1)-y(n-2) can represent the target element from the first position information. The moving distance from the third position information to the second position information. In a possible implementation manner, the sliding direction may be specified as a positive direction, and the target acceleration a calculated according to
在获取目标运动信息后,判断目标运动信息是否满足快速滑动开始条件,响应于目标运动信息满足快速滑动开始条件,认为滑动过程满足快速滑动开始条件,执行步骤201。在一种可能实现方式中,响应于目标运动信息不满足快速滑动开始条件,认为滑动过程不满足快速滑动开始条件,将出现在屏幕上的交互信息以默认展示方式进行展示。After acquiring the target motion information, it is determined whether the target motion information satisfies the fast sliding start condition, and in response to the target motion information satisfying the fast sliding start condition, it is considered that the sliding process satisfies the fast sliding start condition, and step 201 is executed. In a possible implementation manner, in response to the target motion information not meeting the fast sliding start condition, it is considered that the sliding process does not meet the quick sliding start condition, and the interactive information appearing on the screen is displayed in a default display manner.
在一种可能实现方式中,目标运动信息满足快速滑动开始条件包括但不限于以下三种情况:In a possible implementation, the target motion information satisfying the fast sliding start condition includes but is not limited to the following three situations:
情况一:目标速度不小于速度阈值。Case 1: The target speed is not less than the speed threshold.
速度阈值可以根据经验设置,也可以根据终端的配置情况灵活调整,本申请实施例对此不加以限定。当目标速度不小于速度阈值时,说明目标元素在滑动指令结束时的运动速度较大,此时,认为目标运动信息满足快速滑动开始条件。The speed threshold may be set according to experience, and may also be flexibly adjusted according to the configuration of the terminal, which is not limited in this embodiment of the present application. When the target speed is not less than the speed threshold, it means that the movement speed of the target element at the end of the sliding command is relatively large. At this time, it is considered that the target movement information satisfies the fast sliding start condition.
情况二:目标加速度不小于加速度阈值。Case 2: The target acceleration is not less than the acceleration threshold.
加速度阈值可以根据经验设置,也可以根据终端的配置情况灵活调整,本申请实施例对此不加以限定。需要说明的是,当规定滑动方向为正方向时,加速度阈值为正数。当目标加速度不小于加速度阈值时,说明目标元素在滑动指令结束时的运动为加速运动,且加速运动的加速度较大,基于该目标加速度进行滑动时有一段过程的滑动速度较大,此时,认为目标运动信息满足快速滑动开始条件。The acceleration threshold may be set according to experience, and may also be flexibly adjusted according to the configuration of the terminal, which is not limited in this embodiment of the present application. It should be noted that when the prescribed sliding direction is a positive direction, the acceleration threshold value is a positive number. When the target acceleration is not less than the acceleration threshold, it means that the motion of the target element at the end of the sliding command is accelerated motion, and the acceleration of the accelerated motion is relatively large. When sliding based on the target acceleration, there is a period of sliding speed that is relatively large. At this time, It is considered that the target motion information satisfies the fast sliding start condition.
情况三:目标速度不小于速度阈值,目标加速度不小于加速度阈值。Case 3: The target speed is not less than the speed threshold, and the target acceleration is not less than the acceleration threshold.
当目标速度不小于速度阈值,并且目标加速度不小于加速度阈值时,说明滑动指令结束时,目标元素的速度和加速度均较大,基于该目标速度和目标加速度进行滑动时有一段过程中的滑动速度较大,此时,认为目标运动信息满足快速滑动开始条件。相比于情况一和情况二,根据此种情况三判断目标运动信息是否满足快速滑动开始条件的结果更加可靠。When the target speed is not less than the speed threshold, and the target acceleration is not less than the acceleration threshold, it means that when the sliding command ends, the speed and acceleration of the target element are both large, and there is a sliding speed in the process of sliding based on the target speed and target acceleration. If it is larger, at this time, it is considered that the target motion information satisfies the fast sliding start condition. Compared with
当确定目标运动信息满足快速滑动开始条件时,即可认为滑动过程满足快速滑动开始条件,然后可以在滑动过程中执行步骤201,以及在执行步骤201后,继续执行步骤202和步骤203。在一种可能实现方式中,当滑动过程满足快速滑动开始条件时,滑动的过程为基于目标速度和目标加速度进行滑动的过程。When it is determined that the target motion information satisfies the fast sliding start condition, it can be considered that the sliding process satisfies the fast sliding start condition, and then step 201 can be performed during the sliding process, and after performing
基于目标速度和目标加速度进行滑动的过程可以由终端中的惯性滑动控制组件控制。终端中的惯性滑动控制组件以该目标速度作为起始速度、以该目标加速度作为起始加速度控制惯性滑动过程。惯性滑动控制组件可以确定目标元素在基于目标速度和目标加速度进行滑动的过程中什么时间滑到什么位置。不同终端中的惯性滑动控制组件的参数可能不同,本申请实施例对此不加以限定。The sliding process based on the target speed and target acceleration can be controlled by the inertial sliding control component in the terminal. The inertial sliding control component in the terminal controls the inertial sliding process with the target speed as the starting speed and the target acceleration as the starting acceleration. The inertial sliding control component can determine when and where the target element slides during the process of sliding based on the target velocity and target acceleration. Parameters of inertial sliding control components in different terminals may be different, which are not limited in this embodiment of the present application.
在步骤202中,将第一交互信息中的图片的属性调整为第一目标属性,展示具有第一目标属性的图片。In
图片携带的有效信息较少,第一目标属性用于降低图片的视觉关注优先级,也就是说,在展示具有第一目标属性的图片后,交互对象在浏览过程中对图片的关注度较低。The picture carries less effective information, and the first target attribute is used to reduce the priority of visual attention of the picture, that is, after displaying the picture with the first target attribute, the interactive object pays less attention to the picture during the browsing process .
在一种可能实现方式中,图片的属性包括透明度,在此种情况下,将第一交互信息中的图片的属性调整为第一目标属性,展示具有第一目标属性的图片的过程包括:将第一交互信息中的图片的透明度增大至目标透明度,展示具有目标透明度的图片。In a possible implementation manner, the attribute of the picture includes transparency. In this case, the attribute of the picture in the first interaction information is adjusted to the first target attribute, and the process of displaying the picture with the first target attribute includes: The transparency of the picture in the first interaction information is increased to the target transparency, and the picture with the target transparency is displayed.
透明度越大,图片越透明,图片的视觉关注优先级越低。在一种可能实现方式中,将图片的透明度增大至目标透明度的方式包括但不限于以下两种:The greater the transparency, the more transparent the image, and the lower the priority of the image's visual attention. In a possible implementation manner, the manners of increasing the transparency of the picture to the target transparency include but are not limited to the following two:
方式1:直接调整图片的透明度至目标透明度。Method 1: Directly adjust the transparency of the image to the target transparency.
方式2:在图片上叠加一个非透明层,通过将非透明层的透明度调整至指定透明度,使图片的透明度增大至目标透明度。Method 2: Superimpose an opaque layer on the image, and increase the transparency of the image to the target transparency by adjusting the opacity of the opaque layer to the specified transparency.
指定透明度根据目标透明度确定。示例性地,假设透明度的取值范围为0-100,其中,0表示完全不透明,100表示完全透明。假设目标透明度为p(0<p<100),则指定透明度q=100-p。The specified transparency is determined according to the target transparency. Exemplarily, it is assumed that the value of transparency ranges from 0 to 100, where 0 represents complete opacity, and 100 represents complete transparency. Assuming that the target transparency is p (0<p<100), specify the transparency q=100-p.
需要说明的是,目标透明度可以根据经验设置,也可以根据应用场景灵活调整,本申请实施例对此不加以限定。It should be noted that, the target transparency may be set according to experience, and may also be flexibly adjusted according to application scenarios, which is not limited in this embodiment of the present application.
在一种可能实现方式中,图片的属性还包括尺寸,将第一交互信息中的图片的透明度增大至目标透明度的过程中包括但不限于以下两种情况:In a possible implementation manner, the attributes of the picture further include size, and the process of increasing the transparency of the picture in the first interaction information to the target transparency includes but is not limited to the following two situations:
情况1:保持图片的尺寸不变,将第一交互信息中的图片的透明度增大至目标透明度。Case 1: Keep the size of the picture unchanged, and increase the transparency of the picture in the first interaction information to the target transparency.
在该种情况1下,第一交互信息中的图片的尺寸保持不变,在图片原有尺寸的基础上,通过增大透明度来降低图片的视觉关注优先级。In this
情况2:将第一交互信息中的图片的尺寸增大至目标尺寸,将第一交互信息中的具有目标尺寸的图片的透明度增大至目标透明度。Case 2: The size of the picture in the first interaction information is increased to the target size, and the transparency of the picture with the target size in the first interaction information is increased to the target transparency.
其中,目标尺寸为与至与第一交互信息所在区域匹配的尺寸。Wherein, the target size is a size that matches the area where the first interaction information is located.
在该种情况2下,先将第一交互信息中的图片的尺寸增大至与第一交互信息所在区域匹配的目标尺寸,然后通过增大透明度来降低图片的视觉关注优先级。将第一交互信息中的图片的尺寸增大至与第一交互信息所在区域匹配的目标尺寸后,第一交互信息中的图片可以占据第一交互信息所在的整个区域,此种方式可以使各个交互信息之间的相对位置关系在滑动过程中保持不变。In this
对应于上述两种情况,展示具有第一目标属性的图片的情况也包括以下两种:Corresponding to the above two situations, the situations of displaying the picture with the first target attribute also include the following two:
情况一、展示具有目标透明度的保持尺寸不变的图片。
情况二、展示具有目标尺寸和目标透明度的图片。
在一种可能实现方式中,图片的属性还可以包括颜色。除了将图片的透明度增大至目标透明度外,还可以将图片的颜色调整为指定颜色,以进一步降低图片的视觉关注优先级。需要说明的是,本申请实施例中的图片的颜色是指图片的整体颜色,本申请实施例对指定颜色不加以限定,只要能够在一定程度上降低图片的视觉关注优先级即可,例如,指定颜色可以为灰色。In a possible implementation, the attributes of the picture may also include color. In addition to increasing the transparency of the image to the target transparency, you can also adjust the color of the image to a specified color to further reduce the priority of the image's visual attention. It should be noted that the color of the picture in the embodiment of the present application refers to the overall color of the picture, and the embodiment of the present application does not limit the specified color, as long as the priority of visual attention of the picture can be reduced to a certain extent, for example, The specified color can be gray.
需要说明的是,上述内容仅为对将第一交互信息中的图片的属性调整为第一目标属性的示例性描述,还可以对图片的其他方面的属性进行调整,本申请实施例对此不加以限定,只要能够起到降低图片的视觉关注优先级的效果即可。It should be noted that the above content is only an exemplary description of adjusting the attribute of the picture in the first interaction information to the first target attribute, and the attributes of other aspects of the picture may also be adjusted, which is not the case in the embodiment of the present application. It is limited as long as it can have the effect of lowering the priority of visual attention of the picture.
在步骤203中,将第一交互信息中的目标文字的属性调整为第二目标属性,在具有第一目标属性的图片上展示具有第二目标属性的目标文字。In
目标文字携带的有效信息较少,第二目标属性用于提高目标文字的视觉关注优先级。也就是说,在展示具有第二目标属性的目标文字后,交互对象在浏览过程中对目标文字的关注度较高。需要说明的是,在默认展示方式中,图片和目标文字的视觉关注优先级基本上一致,在降低图片的视觉关注优先级,提高目标文字的视觉关注优先级后,目标文字的视觉关注优先级高于图片的视觉关注优先级,有利于进一步提高交互对象在浏览过程中对目标文字的关注度,使交互对象在快速滑动阶段重点关注目标文字,以根据目标文字确定感兴趣的交互信息。The target text carries less effective information, and the second target attribute is used to improve the visual attention priority of the target text. That is to say, after displaying the target text with the second target attribute, the interactive object pays more attention to the target text during the browsing process. It should be noted that in the default display mode, the visual attention priority of the image and the target text is basically the same. After reducing the visual attention priority of the image and increasing the visual attention priority of the target text, the visual attention priority of the target text The priority of visual attention higher than that of the picture is beneficial to further improve the attention of the interactive object to the target text during the browsing process, so that the interactive object can focus on the target text in the fast sliding stage, so as to determine the interactive information of interest according to the target text.
在一种可能实现方式中,目标文字的属性包括字号和字体颜色,将第一交互信息中的目标文字的属性调整为第二目标属性,在具有第一目标属性的图片上展示具有第二目标属性的目标文字的方式可以为:将第一交互信息中的目标文字的字号增大至目标字号,将目标文字的颜色调整至目标颜色;在具有第一目标属性的图片上展示具有目标字号和目标颜色的目标文字。In a possible implementation manner, the attributes of the target text include font size and font color, the attribute of the target text in the first interaction information is adjusted to the second target attribute, and a picture with the first target attribute is displayed with the second target attribute The method of the target text of the attribute may be: increasing the font size of the target text in the first interactive information to the target font size, and adjusting the color of the target text to the target color; displaying on the picture with the first target attribute has the target font size and The target text of the target color.
将第一交互信息中的目标文字的字号增大至目标字号可以提高目标文字的触达率,本申请实施例对目标字号不加以限定,可以根据经验进行设置。目标颜色可以根据具有第一目标属性的图片的颜色设置,以使具有目标颜色的目标文字可以在具有第一目标属性的图片上突出显示。例如,当具有第一目标属性的图片的颜色为灰色时,目标颜色可以设置为白色。Increasing the font size of the target text in the first interaction information to the target font size can improve the reach rate of the target text. The embodiment of the present application does not limit the target font size, and can be set according to experience. The target color can be set according to the color of the picture with the first target attribute, so that the target text with the target color can be highlighted on the picture with the first target attribute. For example, when the color of the picture with the first target attribute is gray, the target color may be set to white.
在一种可能实现方式中,目标文字的属性还可以包括字体格式,将第一交互信息中的目标文字的属性调整为第二目标属性还可以包括:将第一交互信息中的目标文字的字体格式调整为目标字体格式。示例性地,目标字体格式可以是指加粗格式。In a possible implementation manner, the attribute of the target text may further include a font format, and adjusting the attribute of the target text in the first interaction information to the second target attribute may further include: changing the font of the target text in the first interaction information The format is adjusted to the target font format. Illustratively, the target font format may refer to a bold format.
在一种可能实现方式中,在具有第一目标属性的图片上展示具有第二目标属性的目标文字之前,可以先确定目标展示位置。然后在具有第一目标属性的图片上的目标展示位置处展示具有第二目标属性的目标文字。目标展示位置可以根据经验设置,也可以根据终端的配置情况灵活调整,本申请实施例对此不加以限定,示例性地,目标展示位置可以设置为具有第一目标属性的图片上的下半部分区域所在位置。In a possible implementation manner, before displaying the target text with the second target attribute on the picture with the first target attribute, the target display position may be determined first. The target text with the second target attribute is then displayed at the target placement on the image with the first target attribute. The target display position may be set according to experience, and may also be flexibly adjusted according to the configuration of the terminal, which is not limited in this embodiment of the present application. Exemplarily, the target display position may be set as the lower half of the picture with the first target attribute The location of the area.
需要说明的是,当展示具有第一目标属性的图片的情况为展示具有目标透明度的保持尺寸不变的图片时,图片的尺寸未发生改变,在具有第一目标属性的图片上展示具有第二目标属性的目标文字后,第一交互信息占据的区域缩小至图片占据的区域,此种方式可以减少交互信息占据的区域大小,使同时出现在屏幕上的交互信息的数量增多,提高交互对象浏览的交互信息的数量。当展示具有第一目标属性的图片的情况为展示具有目标尺寸和目标透明度的图片时,具有第一目标属性的图片占据第一交互信息原本所在的整个区域,在具有第一目标属性的图片上展示具有第二目标属性的目标文字后,第一交互信息占据的区域未发生改变,此种方式可以使各个交互信息之间的相对位置关系在滑动过程中保持不变,减少视觉上的突兀感。It should be noted that when the picture with the first target attribute is displayed and the image with the target transparency remains unchanged, the size of the picture does not change, and the image with the first target attribute is displayed on the picture with the second target attribute. After the target text of the target attribute, the area occupied by the first interactive information is reduced to the area occupied by the picture. This method can reduce the size of the area occupied by the interactive information, increase the number of interactive information simultaneously appearing on the screen, and improve the browsing of interactive objects. the amount of interactive information. When the picture with the first target attribute is displayed, the picture with the target size and the target transparency is displayed, the picture with the first target attribute occupies the entire area where the first interaction information is originally located, and on the picture with the first target attribute After displaying the target text with the second target attribute, the area occupied by the first interactive information does not change. This method can keep the relative positional relationship between each interactive information unchanged during the sliding process and reduce the visual abruptness. .
示例性地,当展示具有第一目标属性的图片的情况为展示具有目标透明度的保持尺寸不变的图片时,终端的信息展示界面可以如图3中的(2)所示,在图3中的(2)所示的信息展示界面中,将交互信息中的播放次数信息、用户名称信息、互动信息等除图片和目标文字外的其他信息均隐藏,保持交互信息中的图片的尺寸不变,将图片的透明度增大至目标透明度,将图片的颜色调整为灰色,然后在具有目标透明度的保持尺寸不变的灰色图片的下半部分区域展示字号增大的白色的目标文字。图3中的(2)中的交互信息40与图3中的(1)中的交互信息30为同一交互信息,在图3中的(2)所示的展示方式下,交互信息40占据的区域小于图3中的(1)中的交互信息30占据的区域。Exemplarily, when displaying a picture with the first target attribute is to display a picture with target transparency that remains the same size, the information display interface of the terminal may be as shown in (2) in FIG. 3 , in FIG. 3 . In the information display interface shown in (2), other information except pictures and target texts, such as the number of plays, user name information, and interactive information in the interactive information, are hidden, and the size of the pictures in the interactive information is kept unchanged. , increase the transparency of the image to the target transparency, adjust the color of the image to gray, and then display the target text with an increased font size in the lower half of the gray image with the target transparency that remains the same size. The
当展示具有第一目标属性的图片的情况为展示具有目标尺寸和目标透明度的图片时,终端的信息展示界面可以如图4所示,在图4所示的信息展示界面中,将交互信息中的播放次数信息、用户名称信息、互动信息等除图片和目标文字外的其他信息均隐藏,将交互信息中的图片的尺寸增大至占据交互信息原本所在的整个区域的目标尺寸,然后将具有目标尺寸的图片的透明度增大至目标透明度,将图片的颜色调整为灰色,在具有目标透明度和目标尺寸的灰色图片上的下半部分区域展示字号增大的白色的目标文字。图4中的交互信息50与图3中的(1)中的交互信息30为同一交互信息,在图4所示的展示方式下,交互信息50占据的区域与图3中的(1)中的交互信息30占据的区域相同。When the picture with the first target attribute is displayed, the picture with the target size and the target transparency is displayed, the information display interface of the terminal may be as shown in FIG. 4 , in the information display interface shown in FIG. All other information except pictures and target texts, such as the number of plays, user name information, interactive information, etc., are hidden, and the size of the pictures in the interactive information is increased to the target size that occupies the entire area where the interactive information is originally located. The transparency of the image of the target size is increased to the target transparency, the color of the image is adjusted to gray, and the target text with increased font size is displayed in the lower half of the gray image with the target transparency and the target size. The
在图3中的(2)和图4所示的两种展示方式下,由于相同的交互信息占据的区域不相同,所以同时出现在屏幕上的交互信息的数量可能不同。在图3中的(2)所示的信息展示界面中,同时出现在屏幕上的完整交互信息的数量为6;在图4所示的信息展示界面中,同时出现在屏幕上的完整交互信息的数量为4。In the two display manners shown in (2) in FIG. 3 and FIG. 4 , since the same interactive information occupies different areas, the number of interactive information simultaneously appearing on the screen may be different. In the information display interface shown in (2) in Figure 3, the number of complete interactive information simultaneously appearing on the screen is 6; in the information display interface shown in Figure 4, the complete interactive information simultaneously appearing on the screen The number is 4.
经过上述步骤201至步骤203后,可以突出显示目标文字,以使交互对象在快速滑动阶段依然能关注到交互信息中的目标文字,有利于进一步提高交互信息的触达率。After the
需要说明的是,在满足快速滑动开始条件时,对出现在屏幕上的各个交互信息均用相同的展示方式进行展示。It should be noted that, when the fast sliding start condition is satisfied, each interactive information appearing on the screen is displayed in the same display manner.
通常情况下,在基于目标速度和目标加速度进行滑动的过程中,目标元素的运动为减速运动。在一种可能实现方式中,在基于目标速度和目标加速度进行滑动的过程中,终端可以监控滑动过程是否满足快速滑动结束条件。当不满足快速滑动结束条件时,说明仍为快速滑动阶段,此时,继续根据步骤201至步骤203的展示方式展示出现在屏幕上的交互信息,直至满足快速滑动结束条件。Usually, in the process of sliding based on the target speed and target acceleration, the movement of the target element is a deceleration movement. In a possible implementation manner, during the sliding process based on the target speed and the target acceleration, the terminal may monitor whether the sliding process satisfies the fast sliding end condition. When the fast sliding end condition is not met, it indicates that it is still in the fast sliding stage. At this time, the interactive information appearing on the screen is continued to be displayed according to the display method of
在一种可能实现方式中,信息展示方法的流程图可以如图5所示,在执行步骤203后,还包括步骤204。在步骤204中,响应于滑动过程满足快速滑动结束条件,将出现在屏幕上的交互信息的展示方式恢复至默认展示方式。在一种可能实现方式中,将出现在屏幕上的交互信息的展示方式恢复至默认展示方式的过程可以为:将出现在屏幕上的交互信息中的其他信息恢复显示、将出现在屏幕上的交互信息中的图片的第一目标属性恢复至原有属性,将出现在屏幕上的交互信息中的目标文字的第二目标属性恢复至原有属性,以默认排版格式展示恢复后的其他信息、图片和目标文字。In a possible implementation manner, the flowchart of the information display method may be as shown in FIG. 5 , and after
当滑动过程满足快速滑动结束条件时,滑动过程中的快速滑动阶段结束,此时,滑动速度较慢,将出现在屏幕上的交互信息的展示方式恢复至滑动指令结束前的默认展示方式。滑动速度较慢时,交互对象可以较容易地在滑动过程中捕捉感兴趣的信息,所以将交互信息以默认展示方式进行展示即可。When the sliding process satisfies the fast sliding end condition, the fast sliding phase in the sliding process ends. At this time, the sliding speed is slow, and the display mode of the interactive information appearing on the screen is restored to the default display mode before the end of the sliding instruction. When the sliding speed is slow, the interactive object can easily capture the information of interest during the sliding process, so the interactive information can be displayed in the default display mode.
在一种可能实现方式中,滑动过程满足快速滑动结束条件,包括但不限于以下两种情况:In a possible implementation manner, the sliding process satisfies the fast sliding end condition, including but not limited to the following two situations:
情况一:在滑动过程中检测到屏幕触摸指令。Case 1: A screen touch command is detected during the sliding process.
此种情况一下,交互对象主动使快速滑动阶段结束。在滑动过程中,若交互对象不希望再继续滑动,交互对象可以触摸屏幕,终端检测到屏幕触摸指令。当终端在滑动过程中检测到屏幕触发指令,则说明无需继续滑动,此时,认为互动过程满足快速滑动结束条件。在此种情况一下,终端可以立即或者缓慢停止滑动过程,本申请实施例对此不加以限定。In this case, the interactive object actively ends the fast sliding phase. During the sliding process, if the interactive object does not want to continue to slide, the interactive object can touch the screen, and the terminal detects the screen touch instruction. When the terminal detects a screen trigger instruction during the sliding process, it means that there is no need to continue sliding, and at this time, it is considered that the interaction process satisfies the fast sliding end condition. In this case, the terminal may stop the sliding process immediately or slowly, which is not limited in this embodiment of the present application.
情况二:目标元素在滑动过程中的实际位置信息为快速滑动结束时的理论位置信息。Case 2: The actual position information of the target element during the sliding process is the theoretical position information at the end of the fast sliding.
快速滑动结束时的理论位置信息用于指示在交互对象未主动使快速滑动阶段结束的情况下,快速滑动阶段结束时目标元素应该所处的位置。The theoretical position information at the end of the quick slide is used to indicate the position where the target element should be at the end of the quick slide phase if the interactive object does not actively end the quick slide phase.
在基于此种情况二判断滑动过程是否满足快速滑动结束条件之前,需要先确定快速滑动结束时的理论位置信息。在一种可能实现方式中,确定快速滑动结束时的理论位置信息的方式为:基于目标元素在滑动指令结束时的目标速度和目标加速度,确定快速滑动结束时的理论位置信息。Before judging whether the sliding process satisfies the fast sliding end condition based on the second situation, the theoretical position information at the end of the fast sliding needs to be determined first. In a possible implementation manner, the method of determining the theoretical position information at the end of the fast sliding is: based on the target velocity and target acceleration of the target element at the end of the sliding instruction, determining the theoretical position information at the end of the fast sliding.
在一种可能实现方式中,基于目标速度和目标加速度,确定快速滑动结束时的理论位置信息的过程包括以下两个步骤:In a possible implementation manner, based on the target velocity and the target acceleration, the process of determining the theoretical position information at the end of the fast sliding includes the following two steps:
步骤1:基于目标元素在滑动指令结束时的目标速度和目标加速度,确定目标元素在滑动过程中依次经过的各个理论位置信息,任两个相邻的理论位置信息之间的时间间隔均为第二参考时间间隔。Step 1: Based on the target velocity and target acceleration of the target element at the end of the sliding command, determine each theoretical position information that the target element passes through in sequence during the sliding process, and the time interval between any two adjacent theoretical position information is the first 2. Reference time interval.
终端中的惯性滑动控制组件可以基于目标速度和目标加速度,自动确定目标元素在滑动过程中依次经过的各个理论位置信息,以便于根据各个理论位置信息控制惯性滑动过程。任两个相邻的理论位置信息之间的时间间隔均为第二参考时间间隔,第二参考时间间隔可以根据终端中的惯性滑动控制组件的参数设置。第二参考时间间隔可以与第一参考时间间隔相同,也可以与第一参考时间间隔不同,本申请实施例对此不加以限定。The inertial sliding control component in the terminal can automatically determine each theoretical position information that the target element passes through in sequence during the sliding process based on the target speed and target acceleration, so as to control the inertial sliding process according to each theoretical position information. The time interval between any two adjacent theoretical position information is the second reference time interval, and the second reference time interval may be set according to the parameters of the inertial sliding control component in the terminal. The second reference time interval may be the same as the first reference time interval, or may be different from the first reference time interval, which is not limited in this embodiment of the present application.
目标元素在滑动过程中依次经过的各个理论位置信息可以分别用s(1),s(2),s(3)……s(m-2),s(m-1),s(m)(m为不小于3的整数)表示。其中,s(m)表示目标元素在滑动玩完全停止时的理论位置信息。Each theoretical position information that the target element passes through in sequence during the sliding process can be respectively used as s(1), s(2), s(3)... s(m-2), s(m-1), s(m) (m is an integer not less than 3) representation. Among them, s(m) represents the theoretical position information of the target element when the sliding play is completely stopped.
步骤2:依次将各个理论位置信息与目标参考条件进行匹配,响应于任一理论位置信息满足目标参考条件,将任一理论位置信息作为快速滑动结束时的理论位置信息。Step 2: Match each theoretical position information with the target reference condition in sequence, and in response to any theoretical position information satisfying the target reference condition, use any theoretical position information as the theoretical position information at the end of the fast sliding.
在基于步骤1确定目标元素在滑动过程中依次经过的各个理论位置信息后,依次将各个理论位置信息与目标参考条件进行匹配,以依次判断每个理论位置信息是否满足目标参考条件。在依次将各个理论位置信息与目标参考条件进行匹配的过程中,当任一理论位置信息满足目标参考条件时,将该任一理论位置信息作为快递滑动结束时的理论位置信息。需要说明的是,在依次将各个理论位置信息与目标参考条件进行匹配的过程中,只要存在一个理论位置信息满足目标参考条件,则不再将后续的理论位置信息与目标参考条件进行匹配。After determining each theoretical position information that the target element sequentially passes through in the sliding process based on
在一种可能实现方式中,任一理论位置信息满足目标参考条件包括但不限于以下三种情况:In a possible implementation, any theoretical position information satisfying the target reference condition includes but is not limited to the following three situations:
情况a:任一理论位置信息对应的第一距离不大于第一数值。Case a: The first distance corresponding to any theoretical position information is not greater than the first value.
其中,第一距离为该任一理论位置信息与第一理论位置信息之间的距离,第一理论位置信息为位于该任一理论位置信息前一位的理论位置信息。Wherein, the first distance is the distance between the any theoretical position information and the first theoretical position information, and the first theoretical position information is the theoretical position information located in the previous position of the any theoretical position information.
第一数值可以根据第一阈值以及第二参考时间间隔计算得到,在一种可能实现方式中,第一数值为第一阈值和第二参考时间间隔的乘积。第一阈值可以根据速度阈值进行确定。在一种可能实现方式中,第一阈值为速度阈值和第一比例系数的乘积。第一比例系数可以根据终端的配置情况设置,本申请实施例对此不加以限定,例如,第一比例系数可以设置为2,则第一阈值为速度阈值的2倍。The first value may be calculated according to the first threshold and the second reference time interval. In a possible implementation manner, the first value is the product of the first threshold and the second reference time interval. The first threshold may be determined from a speed threshold. In one possible implementation, the first threshold is the product of the speed threshold and the first proportional coefficient. The first proportional coefficient may be set according to the configuration of the terminal, which is not limited in this embodiment of the present application. For example, the first proportional coefficient may be set to 2, and the first threshold is twice the speed threshold.
假设s(x)表示该任一理论位置信息,s(x-1)表示第一理论位置信息,t2表示第二参考时间间隔,N表示第一阈值。此时,该任一理论位置信息对应的第一距离为s(x)-s(x-1),第一数值为N×t2。当该任一理论位置信息对应的第一距离满足公式3时,认为任一理论位置信息满足目标参考条件。It is assumed that s(x) represents any theoretical position information, s(x-1) represents the first theoretical position information, t2 represents the second reference time interval, and N represents the first threshold. At this time, the first distance corresponding to any theoretical position information is s(x)-s(x-1), and the first value is N×t2 . When the first distance corresponding to any theoretical position information satisfies Formula 3, it is considered that any theoretical position information satisfies the target reference condition.
s(x)-s(x-1)≤N×t2 (公式3)s(x)-s(x-1)≤N×t2 (Equation 3)
通常情况下,在基于目标速度和目标加速度进行滑动的过程中,目标元素的运动为减速运动,随着理论位置信息的排列顺序的延后,理论位置信息对应的第一距离逐渐减小,当存在一个理论位置信息对应的第一距离不大于第一数值时,可以认为滑动速度较小,该理论位置信息满足目标参考条件情况,可以将该理论位置信息作为快速滑动结束时的理论位置信息。Under normal circumstances, in the process of sliding based on the target speed and target acceleration, the movement of the target element is a deceleration movement. As the arrangement order of the theoretical position information is delayed, the first distance corresponding to the theoretical position information gradually decreases. When When there is a first distance corresponding to the theoretical position information not greater than the first value, it can be considered that the sliding speed is small, the theoretical position information satisfies the target reference condition, and the theoretical position information can be used as the theoretical position information at the end of the fast sliding.
情况b:任一理论位置信息对应的第二距离与第一距离的差值不大于第二数值。Case b: The difference between the second distance corresponding to any theoretical position information and the first distance is not greater than the second value.
其中,第二距离为第二理论位置信息与第一理论位置信息之间的距离,第二理论位置信息为位于任一理论位置信息前两位的理论位置信息。The second distance is the distance between the second theoretical position information and the first theoretical position information, and the second theoretical position information is the theoretical position information located in the first two positions of any theoretical position information.
第二数值可以根据第二阈值以及第二参考时间间隔计算得到,在一种可能实现方式中,第二数值为第二阈值和第二参考时间间隔的平方的乘积。第二阈值可以根据加速度阈值进行确定。在一种可能实现方式中,第二阈值为加速度阈值和第二比例系数的乘积。第二比例系数可以根据终端的配置情况设置,本申请实施例对此不加以限定,第二比例系数可以与第一比例系数相同,也可以与第一比例系数不同。The second value may be calculated according to the second threshold and the second reference time interval. In a possible implementation manner, the second value is the product of the second threshold and the square of the second reference time interval. The second threshold may be determined based on the acceleration threshold. In one possible implementation, the second threshold is the product of the acceleration threshold and the second proportional coefficient. The second proportional coefficient may be set according to the configuration of the terminal, which is not limited in this embodiment of the present application, and the second proportional coefficient may be the same as the first proportional coefficient, or may be different from the first proportional coefficient.
假设s(x)表示该任一理论位置信息,s(x-1)表示第一理论位置信息,s(x-2)表示第二理论位置信息,t2表示第二参考时间间隔,M表示第二阈值。此时,该任一理论位置信息对应的第一距离为s(x)-s(x-1),该任一理论位置信息对应的第二距离为s(x-1)-s(x-2),第二数值为M×t22。当该任一理论位置信息对应的第二距离与第一距离的差值满足公式4时,认为任一理论位置信息满足目标参考条件。Suppose s(x) represents any theoretical position information, s(x-1) represents the first theoretical position information, s(x-2) represents the second theoretical position information, t2 represents the second reference time interval, and M represents the second threshold. At this time, the first distance corresponding to any theoretical position information is s(x)-s(x-1), and the second distance corresponding to any theoretical position information is s(x-1)-s(x- 2), the second value is M×t22 . When the difference between the second distance and the first distance corresponding to any theoretical position information satisfies Formula 4, it is considered that any theoretical position information satisfies the target reference condition.
[s(x-1)-s(x-2)]-[s(x)-s(x-1)]≤M×t22 (公式4)[s(x-1)-s(x-2)]-[s(x)-s(x-1)]≤M×t22 (Equation 4)
通常情况下,在基于目标速度和目标加速度进行滑动的过程中,目标元素的运动为减速运动,随着理论位置信息的排列顺序的延后,理论位置信息对应的第二距离与第一距离的差值逐渐减小,当存在一个理论位置信息对应的第二距离与第一距离的差值不大于第二数值时,可以认为滑动速度较小,该理论位置信息满足目标参考条件情况,可以将该理论位置信息作为快速滑动结束时的理论位置信息。Under normal circumstances, in the process of sliding based on the target speed and target acceleration, the movement of the target element is a deceleration movement. The difference gradually decreases. When the difference between the second distance corresponding to the theoretical position information and the first distance is not greater than the second value, it can be considered that the sliding speed is small, and the theoretical position information satisfies the target reference condition. The theoretical position information is used as the theoretical position information at the end of the fast swipe.
情况c:第一距离不大于第一数值,第二距离与第一距离的差值不大于第二数值。Case c: The first distance is not greater than the first value, and the difference between the second distance and the first distance is not greater than the second value.
该种情况c为上述情况a和情况b的合并情况,基于该种情况c确定的满足目标参考条件的理论信息的可靠性更高。This case c is a combination of the above-mentioned cases a and b, and the theoretical information that satisfies the target reference condition determined based on this case c is more reliable.
综上所述,信息展示过程可以如图6中的步骤601至步骤608所示。601、终端检测到触摸指令;602、在检测到触摸指令后,被触摸区域中的目标元素的位置发生目标方向的移动,终端获取滑动指令;603、终端获取目标元素在滑动指令结束时的目标运动信息;604、基于加速度阈值和速度阈值中的至少一个,判断目标运动信息是否满足快速滑动开始条件;当目标运动信息满足快速滑动开始条件时,执行步骤605;605、将交互信息中的除图片和目标文字外的其他信息隐藏;将交互信息中的图片的属性调整为第一目标属性,展示具有第一目标属性的图片;将交互信息中的目标文字的属性调整为第二目标属性,在具有第一目标属性的图片上展示具有第二目标属性的目标文字;606、当目标元素在滑动过程中的实际位置信息为快速滑动结束时的理论位置信息时,认为滑动过程满足快速滑动结束条件,执行步骤608;607、当在滑动过程中检测到屏幕触摸指令时,认为滑动过程满足快速滑动结束条件,执行步骤608;608、将出现在屏幕上的交互信息的展示方式恢复至默认展示方式。To sum up, the information display process can be shown as
在一种可能实现方式中,在滑动过程中,终端仅展示出现在屏幕上的交互信息,并不展示交互信息的关联信息。在滑动完全停止后,响应于针对出现在屏幕上的任一第二交互信息的触发指令,展示该第二交互信息的关联信息。在实际应用场景中,展示第二交互信息的关联信息,可以是指播放第二交互信息对应的视频、展示第二交互信息对应的完整新闻信息等。In a possible implementation manner, during the sliding process, the terminal only displays the interaction information that appears on the screen, and does not display the related information of the interaction information. After the sliding is completely stopped, in response to a trigger instruction for any second interaction information appearing on the screen, the associated information of the second interaction information is displayed. In an actual application scenario, displaying the associated information of the second interaction information may refer to playing a video corresponding to the second interaction information, displaying complete news information corresponding to the second interaction information, and the like.
在一种可能实现方式中,本申请实施例中的滑动过程可以基于应用程序或网页的原生滑动行为实现,也可以基于可定制化的元素滑动组件实现,在采用可定制化的元素滑动组件时,依然能够比较精准的判断是否快速滑动。In a possible implementation manner, the sliding process in this embodiment of the present application may be implemented based on the native sliding behavior of an application or web page, or may be implemented based on a customizable element sliding component. When a customizable element sliding component is used , it is still able to accurately judge whether it is fast sliding.
在本申请实施例中,通过判断目标运动信息是否满足快速滑动开始条件,可以更好地判断快速滑动定义的边界,从而更精准的满足交互需求,达到交互对象预期的浏览体验,给交互对象更完美的操作体验。此外,在滑动过程中,运用分层取舍手段重新组织滑动过程中的快速滑动阶段的交互信息的展示方式,在快速滑动阶段将交互信息中的其他信息隐藏,降低图片的视觉关注优先级,提高目标文字的视觉关注优先级,从而可以带来新的信息触达维度,提升交互信息传递的触达率。In the embodiment of the present application, by judging whether the target motion information satisfies the fast sliding start condition, the boundary defined by the fast sliding can be better judged, so as to meet the interaction requirements more accurately, achieve the expected browsing experience of the interactive objects, and give the interactive objects more Perfect operating experience. In addition, in the sliding process, the method of hierarchical selection is used to reorganize the display method of the interactive information in the fast sliding stage of the sliding process, and other information in the interactive information is hidden in the fast sliding stage, which reduces the priority of visual attention of the picture and improves the The visual attention priority of the target text can bring a new dimension of information reach and improve the reach rate of interactive information transmission.
在本申请实施例中,当滑动过程满足快速滑动开始条件时,对于出现在屏幕上的任一第一交互信息,将该第一交互信息中的其他信息隐藏,将图片和目标文字的属性分别调整为第一目标属性和第二目标属性,然后在具有第一目标属性的图片上展示具有第二目标属性的目标文字。在此种信息展示过程中,在滑动过程中识别出快速滑动的开始行为,在快速滑动开始后改变交互信息的展示方式,将交互信息中的图片和目标文字按照不同的属性进行展示,信息展示的视觉效果较好,有利于提高交互信息在滑动过程中的触达率,提高交互对象在滑动过程中的浏览体验。In the embodiment of the present application, when the sliding process satisfies the fast sliding start condition, for any first interaction information that appears on the screen, other information in the first interaction information is hidden, and the attributes of the picture and the target text are respectively Adjust to the first target attribute and the second target attribute, and then display the target text with the second target attribute on the picture with the first target attribute. In this information display process, the start behavior of fast sliding is identified during the sliding process, the display method of interactive information is changed after the rapid sliding starts, and the pictures and target texts in the interactive information are displayed according to different attributes. The visual effect is better, which is beneficial to improve the touch rate of interactive information in the sliding process, and improve the browsing experience of interactive objects in the sliding process.
参见图7,本申请实施例提供了一种信息展示装置,该装置包括:Referring to FIG. 7 , an embodiment of the present application provides an information display device, which includes:
隐藏模块701,用于响应于滑动过程满足快速滑动开始条件,在滑动的过程中,对于出现在屏幕上的任一第一交互信息,将第一交互信息中的除图片和目标文字外的其他信息隐藏;The
第一展示模块702,用于将第一交互信息中的图片的属性调整为第一目标属性,展示具有第一目标属性的图片;The
第二展示模块703,用于将第一交互信息中的目标文字的属性调整为第二目标属性,在具有第一目标属性的图片上展示具有第二目标属性的目标文字。The
在一种可能实现方式中,参见图8,该装置还包括:In a possible implementation, referring to FIG. 8 , the apparatus further includes:
获取模块704,用于获取目标元素在滑动指令结束时的目标运动信息,目标运动信息包括目标速度和目标加速度;响应于目标运动信息满足快速滑动开始条件,滑动过程满足快速滑动开始条件。The obtaining
在一种可能实现方式中,图片的属性包括透明度,第一展示模块702,还用于将第一交互信息中的图片的透明度增大至目标透明度,展示具有目标透明度的图片。In a possible implementation manner, the attribute of the picture includes transparency, and the
在一种可能实现方式中,图片的属性还包括尺寸,第一展示模块702,还用于将第一交互信息中的图片的尺寸增大至目标尺寸,目标尺寸为与第一交互信息所在区域匹配的尺寸;将第一交互信息中的具有目标尺寸的图片的透明度增大至目标透明度。In a possible implementation manner, the attributes of the picture further include size, and the
在一种可能实现方式中,目标文字的属性包括字号和字体颜色,第二展示模块703,还用于将第一交互信息中的目标文字的字号增大至目标字号,将目标文字的颜色调整至目标颜色;在具有第一目标属性的图片上展示具有目标字号和目标颜色的目标文字。In a possible implementation manner, the attributes of the target text include font size and font color, and the
在一种可能实现方式中,参见图8,该装置还包括:In a possible implementation, referring to FIG. 8 , the apparatus further includes:
恢复模块705,用于响应于滑动过程满足快速滑动结束条件,将出现在屏幕上的交互信息的展示方式恢复至默认展示方式。The
在一种可能实现方式中,获取模块704,还用于从滑动指令开始时,每隔第一参考时间间隔获取一次目标元素的位置信息,直至得到目标元素在滑动指令结束时的第一位置信息;基于第一位置信息、位于第一位置信息前一位的第二位置信息和第一参考时间间隔,获取目标元素在滑动指令结束时的目标速度;基于第一位置信息、第二位置信息、位于第一位置信息前两位的第三位置信息和第一参考时间间隔,获取目标元素在滑动指令结束时的目标加速度。In a possible implementation manner, the obtaining
在一种可能实现方式中,目标运动信息满足快速滑动开始条件,包括:目标速度不小于速度阈值;或者,目标加速度不小于加速度阈值;或者,目标速度不小于速度阈值,目标加速度不小于加速度阈值。In a possible implementation, the target motion information satisfies the fast sliding start condition, including: the target speed is not less than the speed threshold; or the target acceleration is not less than the acceleration threshold; or the target speed is not less than the speed threshold, and the target acceleration is not less than the acceleration threshold .
在一种可能实现方式中,滑动过程满足快速滑动结束条件,包括:目标元素在滑动过程中的实际位置信息为快速滑动结束时的理论位置信息;或者,在滑动过程中检测到屏幕触摸指令。In a possible implementation manner, the sliding process satisfies the fast sliding end condition, including: the actual position information of the target element during the sliding process is the theoretical position information at the end of the fast sliding; or, a screen touch instruction is detected during the sliding process.
在一种可能实现方式中,参见图8,该装置还包括:In a possible implementation, referring to FIG. 8 , the apparatus further includes:
确定模块706,用于基于目标元素在滑动指令结束时的目标速度和目标加速度,确定目标元素在滑动过程中依次经过的各个理论位置信息,任两个相邻的理论位置信息之间的时间间隔均为第二参考时间间隔;依次将各个理论位置信息与目标参考条件进行匹配,响应于任一理论位置信息满足目标参考条件,将任一理论位置信息作为快速滑动结束时的理论位置信息。The
在一种可能实现方式中,任一理论位置信息满足目标参考条件,包括:任一理论位置信息对应的第一距离不大于第一数值,第一距离为任一理论位置信息与第一理论位置信息之间的距离,第一理论位置信息为位于任一理论位置信息前一位的理论位置信息;或者,任一理论位置信息对应的第二距离与第一距离的差值不大于第二数值,第二距离为第二理论位置信息与第一理论位置信息之间的距离,第二理论位置信息为位于任一理论位置信息前两位的理论位置信息;或者,第一距离不大于第一数值,第二距离与第一距离的差值不大于第二数值。In a possible implementation manner, any theoretical position information satisfies the target reference condition, including: the first distance corresponding to any theoretical position information is not greater than the first value, and the first distance is between any theoretical position information and the first theoretical position The distance between the information, the first theoretical position information is the theoretical position information located in the previous position of any theoretical position information; or, the difference between the second distance corresponding to any theoretical position information and the first distance is not greater than the second value , the second distance is the distance between the second theoretical position information and the first theoretical position information, and the second theoretical position information is the theoretical position information located in the first two positions of any theoretical position information; or, the first distance is not greater than the first value, the difference between the second distance and the first distance is not greater than the second value.
在一种可能实现方式中,参见图8,该装置还包括:In a possible implementation, referring to FIG. 8 , the apparatus further includes:
第三展示模块707,用于响应于针对出现在屏幕上的任一第二交互信息的触发指令,展示第二交互信息的关联信息。The
在本申请实施例中,当滑动过程满足快速滑动开始条件时,对于出现在屏幕上的任一第一交互信息,将该第一交互信息中的其他信息隐藏,将图片和目标文字的属性分别调整为第一目标属性和第二目标属性,然后在具有第一目标属性的图片上展示具有第二目标属性的目标文字。在此种信息展示过程中,在滑动过程中识别出快速滑动的开始行为,在快速滑动开始后改变交互信息的展示方式,将交互信息中的图片和目标文字按照不同的属性进行展示,信息展示的视觉效果较好,有利于提高交互信息在滑动过程中的触达率,提高交互对象在滑动过程中的浏览体验。In the embodiment of the present application, when the sliding process satisfies the fast sliding start condition, for any first interaction information that appears on the screen, other information in the first interaction information is hidden, and the attributes of the picture and the target text are respectively Adjust to the first target attribute and the second target attribute, and then display the target text with the second target attribute on the picture with the first target attribute. In this information display process, the start behavior of fast sliding is identified during the sliding process, the display method of interactive information is changed after the rapid sliding starts, and the pictures and target texts in the interactive information are displayed according to different attributes. The visual effect is better, which is beneficial to improve the touch rate of interactive information in the sliding process, and improve the browsing experience of interactive objects in the sliding process.
需要说明的是,上述实施例提供的装置在实现其功能时,仅以上述各功能模块的划分进行举例说明,实际应用中,可以根据需要而将上述功能分配由不同的功能模块完成,即将设备的内部结构划分成不同的功能模块,以完成以上描述的全部或者部分功能。另外,上述实施例提供的装置与方法实施例属于同一构思,其具体实现过程详见方法实施例,这里不再赘述。It should be noted that, when the device provided in the above embodiment realizes its functions, only the division of the above functional modules is used as an example for illustration. The internal structure is divided into different functional modules to complete all or part of the functions described above. In addition, the apparatus and method embodiments provided in the above embodiments belong to the same concept, and the specific implementation process thereof is detailed in the method embodiments, which will not be repeated here.
图9是本申请实施例提供的一种终端的结构示意图。该终端可以是:智能手机、平板电脑、笔记本电脑或台式电脑。终端还可能被称为用户设备、便携式终端、膝上型终端、台式终端等其他名称。FIG. 9 is a schematic structural diagram of a terminal provided by an embodiment of the present application. The terminal can be: a smart phone, a tablet computer, a laptop or a desktop computer. A terminal may also be called user equipment, portable terminal, laptop terminal, desktop terminal, etc. by other names.
通常,终端包括有:处理器901和存储器902。Generally, the terminal includes: a
处理器901可以包括一个或多个处理核心,比如4核心处理器、8核心处理器等。处理器901可以采用DSP(Digital Signal Processing,数字信号处理)、FPGA(Field-Programmable Gate Array,现场可编程门阵列)、PLA(Programmable Logic Array,可编程逻辑阵列)中的至少一种硬件形式来实现。处理器901也可以包括主处理器和协处理器,主处理器是用于对在唤醒状态下的数据进行处理的处理器,也称CPU(Central ProcessingUnit,中央处理器);协处理器是用于对在待机状态下的数据进行处理的低功耗处理器。在一些实施例中,处理器901可以集成有GPU(Graphics Processing Unit,图像处理器),GPU用于负责显示屏所需要显示的内容的渲染和绘制。一些实施例中,处理器901还可以包括AI(Artificial Intelligence,人工智能)处理器,该AI处理器用于处理有关机器学习的计算操作。The
存储器902可以包括一个或多个计算机可读存储介质,该计算机可读存储介质可以是非暂态的。存储器902还可包括高速随机存取存储器,以及非易失性存储器,比如一个或多个磁盘存储设备、闪存存储设备。在一些实施例中,存储器902中的非暂态的计算机可读存储介质用于存储至少一个指令,该至少一个指令用于被处理器901所执行以实现本申请中方法实施例提供的信息展示方法。
在一些实施例中,终端还可选包括有:外围设备接口903和至少一个外围设备。处理器901、存储器902和外围设备接口903之间可以通过总线或信号线相连。各个外围设备可以通过总线、信号线或电路板与外围设备接口903相连。具体地,外围设备包括:射频电路904、触摸显示屏905、摄像头组件906、音频电路907、定位组件908和电源909中的至少一种。In some embodiments, the terminal may optionally further include: a
外围设备接口903可被用于将I/O(Input/Output,输入/输出)相关的至少一个外围设备连接到处理器901和存储器902。在一些实施例中,处理器901、存储器902和外围设备接口903被集成在同一芯片或电路板上;在一些其他实施例中,处理器901、存储器902和外围设备接口903中的任意一个或两个可以在单独的芯片或电路板上实现,本实施例对此不加以限定。The
射频电路904用于接收和发射RF(Radio Frequency,射频)信号,也称电磁信号。射频电路904通过电磁信号与通信网络以及其他通信设备进行通信。射频电路904将电信号转换为电磁信号进行发送,或者,将接收到的电磁信号转换为电信号。可选地,射频电路904包括:天线系统、RF收发器、一个或多个放大器、调谐器、振荡器、数字信号处理器、编解码芯片组、用户身份模块卡等等。射频电路904可以通过至少一种无线通信协议来与其它终端进行通信。该无线通信协议包括但不限于:城域网、各代移动通信网络(2G、3G、4G及5G)、无线局域网和/或WiFi(Wireless Fidelity,无线保真)网络。在一些实施例中,射频电路904还可以包括NFC(Near Field Communication,近距离无线通信)有关的电路,本申请对此不加以限定。The
显示屏905用于显示UI(User Interface,用户界面)。该UI可以包括图形、文本、图标、视频及其它们的任意组合。当显示屏905是触摸显示屏时,显示屏905还具有采集在显示屏905的表面或表面上方的触摸信号的能力。该触摸信号可以作为控制信号输入至处理器901进行处理。此时,显示屏905还可以用于提供虚拟按钮和/或虚拟键盘,也称软按钮和/或软键盘。在一些实施例中,显示屏905可以为一个,设置在终端的前面板;在另一些实施例中,显示屏905可以为至少两个,分别设置在终端的不同表面或呈折叠设计;在再一些实施例中,显示屏905可以是柔性显示屏,设置在终端的弯曲表面上或折叠面上。甚至,显示屏905还可以设置成非矩形的不规则图形,也即异形屏。显示屏905可以采用LCD(LiquidCrystal Display,液晶显示屏)、OLED(Organic Light-Emitting Diode,有机发光二极管)等材质制备。The
摄像头组件906用于采集图像或视频。可选地,摄像头组件906包括前置摄像头和后置摄像头。通常,前置摄像头设置在终端的前面板,后置摄像头设置在终端的背面。在一些实施例中,后置摄像头为至少两个,分别为主摄像头、景深摄像头、广角摄像头、长焦摄像头中的任意一种,以实现主摄像头和景深摄像头融合实现背景虚化功能、主摄像头和广角摄像头融合实现全景拍摄以及VR(Virtual Reality,虚拟现实)拍摄功能或者其它融合拍摄功能。在一些实施例中,摄像头组件906还可以包括闪光灯。闪光灯可以是单色温闪光灯,也可以是双色温闪光灯。双色温闪光灯是指暖光闪光灯和冷光闪光灯的组合,可以用于不同色温下的光线补偿。The
音频电路907可以包括麦克风和扬声器。麦克风用于采集用户及环境的声波,并将声波转换为电信号输入至处理器901进行处理,或者输入至射频电路904以实现语音通信。出于立体声采集或降噪的目的,麦克风可以为多个,分别设置在终端的不同部位。麦克风还可以是阵列麦克风或全向采集型麦克风。扬声器则用于将来自处理器901或射频电路904的电信号转换为声波。扬声器可以是传统的薄膜扬声器,也可以是压电陶瓷扬声器。当扬声器是压电陶瓷扬声器时,不仅可以将电信号转换为人类可听见的声波,也可以将电信号转换为人类听不见的声波以进行测距等用途。在一些实施例中,音频电路907还可以包括耳机插孔。
定位组件908用于定位终端的当前地理位置,以实现导航或LBS(Location BasedService,基于位置的服务)。定位组件908可以是基于美国的GPS(Global PositioningSystem,全球定位系统)、中国的北斗系统、俄罗斯的格雷纳斯系统或欧盟的伽利略系统的定位组件。The
电源909用于为终端中的各个组件进行供电。电源909可以是交流电、直流电、一次性电池或可充电电池。当电源909包括可充电电池时,该可充电电池可以支持有线充电或无线充电。该可充电电池还可以用于支持快充技术。The
在一些实施例中,终端还包括有一个或多个传感器910。该一个或多个传感器910包括但不限于:加速度传感器911、陀螺仪传感器912、压力传感器913、指纹传感器914、光学传感器915以及接近传感器916。In some embodiments, the terminal further includes one or
加速度传感器911可以检测以终端建立的坐标系的三个坐标轴上的加速度大小。比如,加速度传感器911可以用于检测重力加速度在三个坐标轴上的分量。处理器901可以根据加速度传感器911采集的重力加速度信号,控制触摸显示屏905以横向视图或纵向视图进行用户界面的显示。加速度传感器911还可以用于游戏或者用户的运动数据的采集。The
陀螺仪传感器912可以检测终端的机体方向及转动角度,陀螺仪传感器912可以与加速度传感器911协同采集用户对终端的3D动作。处理器901根据陀螺仪传感器912采集的数据,可以实现如下功能:动作感应(比如根据用户的倾斜操作来改变UI)、拍摄时的图像稳定、游戏控制以及惯性导航。The
压力传感器913可以设置在终端的侧边框和/或触摸显示屏905的下层。当压力传感器913设置在终端的侧边框时,可以检测用户对终端的握持信号,由处理器901根据压力传感器913采集的握持信号进行左右手识别或快捷操作。当压力传感器913设置在触摸显示屏905的下层时,由处理器901根据用户对触摸显示屏905的压力操作,实现对UI界面上的可操作性控件进行控制。可操作性控件包括按钮控件、滚动条控件、图标控件、菜单控件中的至少一种。The
指纹传感器914用于采集用户的指纹,由处理器901根据指纹传感器914采集到的指纹识别用户的身份,或者,由指纹传感器914根据采集到的指纹识别用户的身份。在识别出用户的身份为可信身份时,由处理器901授权该用户执行相关的敏感操作,该敏感操作包括解锁屏幕、查看加密信息、下载软件、支付及更改设置等。指纹传感器914可以被设置在终端的正面、背面或侧面。当终端上设置有物理按键或厂商Logo时,指纹传感器914可以与物理按键或厂商Logo集成在一起。The
光学传感器915用于采集环境光强度。在一个实施例中,处理器901可以根据光学传感器915采集的环境光强度,控制触摸显示屏905的显示亮度。具体地,当环境光强度较高时,调高触摸显示屏905的显示亮度;当环境光强度较低时,调低触摸显示屏905的显示亮度。在另一个实施例中,处理器901还可以根据光学传感器915采集的环境光强度,动态调整摄像头组件906的拍摄参数。
接近传感器916,也称距离传感器,通常设置在终端的前面板。接近传感器916用于采集用户与终端的正面之间的距离。在一个实施例中,当接近传感器916检测到用户与终端的正面之间的距离逐渐变小时,由处理器901控制触摸显示屏905从亮屏状态切换为息屏状态;当接近传感器916检测到用户与终端的正面之间的距离逐渐变大时,由处理器901控制触摸显示屏905从息屏状态切换为亮屏状态。A
本领域技术人员可以理解,图9中示出的结构并不构成对终端的限定,可以包括比图示更多或更少的组件,或者组合某些组件,或者采用不同的组件布置。Those skilled in the art can understand that the structure shown in FIG. 9 does not constitute a limitation on the terminal, and may include more or less components than shown, or combine some components, or adopt different component arrangements.
在示例性实施例中,还提供了一种计算机设备,参见图10,该计算机设备包括处理器1001和存储器1002,该存储器1002中存储有至少一条程序代码。该至少一条程序代码由一个或者一个以上处理器1001加载并执行,以实现上述任一种信息展示方法。In an exemplary embodiment, a computer device is also provided. Referring to FIG. 10 , the computer device includes a
在示例性实施例中,还提供了一种计算机可读存储介质,该计算机可读存储介质中存储有至少一条程序代码,该至少一条程序代码由计算机设备的处理器加载并执行,以实现上述任一种信息展示方法。In an exemplary embodiment, a computer-readable storage medium is also provided, and at least one piece of program code is stored in the computer-readable storage medium, and the at least one piece of program code is loaded and executed by the processor of the computer device, so as to realize the above-mentioned any method of presenting information.
可选地,上述计算机可读存储介质可以是只读存储器(Read-Only Memory,ROM)、随机存取存储器(Random Access Memory,RAM)、只读光盘(Compact Disc Read-OnlyMemory,CD-ROM)、磁带、软盘和光数据存储设备等。Optionally, the above-mentioned computer-readable storage medium may be a read-only memory (Read-Only Memory, ROM), a random access memory (Random Access Memory, RAM), a compact disc (Compact Disc Read-Only Memory, CD-ROM) , tapes, floppy disks and optical data storage devices.
应当理解的是,在本文中提及的“多个”是指两个或两个以上。“和/或”,描述关联对象的关联关系,表示可以存在三种关系,例如,A和/或B,可以表示:单独存在A,同时存在A和B,单独存在B这三种情况。字符“/”一般表示前后关联对象是一种“或”的关系。It should be understood that references herein to "a plurality" means two or more. "And/or", which describes the association relationship of the associated objects, means that there can be three kinds of relationships, for example, A and/or B, which can mean that A exists alone, A and B exist at the same time, and B exists alone. The character "/" generally indicates that the associated objects are an "or" relationship.
以上所述仅为本申请的示例性实施例,并不用以限制本申请,凡在本申请的精神和原则之内,所作的任何修改、等同替换、改进等,均应包含在本申请的保护范围之内。The above are only exemplary embodiments of the present application and are not intended to limit the present application. Any modifications, equivalent replacements, improvements, etc. made within the spirit and principles of the present application shall be included in the protection of the present application. within the range.
| Application Number | Priority Date | Filing Date | Title |
|---|---|---|---|
| CN202010247142.3ACN111459363B (en) | 2020-03-31 | 2020-03-31 | Information display method, device, equipment and storage medium |
| CN202310856318.9ACN116820289A (en) | 2020-03-31 | 2020-03-31 | Information display method, device, equipment and storage medium |
| Application Number | Priority Date | Filing Date | Title |
|---|---|---|---|
| CN202010247142.3ACN111459363B (en) | 2020-03-31 | 2020-03-31 | Information display method, device, equipment and storage medium |
| Application Number | Title | Priority Date | Filing Date |
|---|---|---|---|
| CN202310856318.9ADivisionCN116820289A (en) | 2020-03-31 | 2020-03-31 | Information display method, device, equipment and storage medium |
| Publication Number | Publication Date |
|---|---|
| CN111459363Atrue CN111459363A (en) | 2020-07-28 |
| CN111459363B CN111459363B (en) | 2023-07-21 |
| Application Number | Title | Priority Date | Filing Date |
|---|---|---|---|
| CN202310856318.9APendingCN116820289A (en) | 2020-03-31 | 2020-03-31 | Information display method, device, equipment and storage medium |
| CN202010247142.3AActiveCN111459363B (en) | 2020-03-31 | 2020-03-31 | Information display method, device, equipment and storage medium |
| Application Number | Title | Priority Date | Filing Date |
|---|---|---|---|
| CN202310856318.9APendingCN116820289A (en) | 2020-03-31 | 2020-03-31 | Information display method, device, equipment and storage medium |
| Country | Link |
|---|---|
| CN (2) | CN116820289A (en) |
| Publication number | Priority date | Publication date | Assignee | Title |
|---|---|---|---|---|
| CN112632920A (en)* | 2020-11-16 | 2021-04-09 | 腾讯科技(深圳)有限公司 | Link processing method, link processing device, terminal equipment and storage medium |
| CN113176846A (en)* | 2021-04-27 | 2021-07-27 | Oppo广东移动通信有限公司 | Picture display method, device, equipment and storage medium |
| CN113536173A (en)* | 2021-07-14 | 2021-10-22 | 北京字节跳动网络技术有限公司 | Page processing method and device, electronic equipment and readable storage medium |
| CN115457398A (en)* | 2022-11-14 | 2022-12-09 | 成都智元汇信息技术股份有限公司 | Centralized graph judging client based on dual visual angles and display method |
| Publication number | Priority date | Publication date | Assignee | Title |
|---|---|---|---|---|
| US20120278756A1 (en)* | 2011-04-26 | 2012-11-01 | Google Inc. | Mobile browser context switching |
| CN103777850A (en)* | 2014-01-17 | 2014-05-07 | 广州华多网络科技有限公司 | Menu display method, device and terminal |
| US20140365892A1 (en)* | 2013-06-08 | 2014-12-11 | Tencent Technology (Shenzhen) Company Limited | Method, apparatus and computer readable storage medium for displaying video preview picture |
| US20150074573A1 (en)* | 2013-08-21 | 2015-03-12 | Panasonic Intellectual Management Co., Ltd. | Information display device, information display method and information display program |
| CN104571862A (en)* | 2014-12-30 | 2015-04-29 | 北京奇虎科技有限公司 | Method and device for displaying data in mobile terminal page |
| CN105637466A (en)* | 2014-01-15 | 2016-06-01 | 宇龙计算机通信科技(深圳)有限公司 | Terminal control method and terminal control device |
| CN107025158A (en)* | 2017-04-28 | 2017-08-08 | 努比亚技术有限公司 | A kind of slide method of testing, device and terminal |
| WO2018113065A1 (en)* | 2016-12-23 | 2018-06-28 | 北京金山安全软件有限公司 | Information display method, device and terminal device |
| CN108717347A (en)* | 2018-05-25 | 2018-10-30 | 北京金堤科技有限公司 | Business information interactive identification method, apparatus and electronic equipment |
| CN109525885A (en)* | 2018-12-13 | 2019-03-26 | 广州华多网络科技有限公司 | Information processing method, device, electronic equipment and computer-readable readable medium |
| CN109597554A (en)* | 2018-12-04 | 2019-04-09 | 北京马上慧科技术有限公司 | A kind of page returning method, computer installation and readable storage medium storing program for executing |
| CN109669617A (en)* | 2018-12-27 | 2019-04-23 | 北京字节跳动网络技术有限公司 | Method and apparatus for switching the page |
| CN110162286A (en)* | 2019-05-17 | 2019-08-23 | 维沃移动通信有限公司 | A kind of image display method and terminal |
| CN110727496A (en)* | 2019-10-22 | 2020-01-24 | 中国工商银行股份有限公司 | Graphical user interface layout method and device, electronic equipment and storage medium |
| CN110841288A (en)* | 2019-11-07 | 2020-02-28 | 腾讯科技(深圳)有限公司 | Prompt identifier eliminating method, device, terminal and storage medium |
| Publication number | Priority date | Publication date | Assignee | Title |
|---|---|---|---|---|
| US20120278756A1 (en)* | 2011-04-26 | 2012-11-01 | Google Inc. | Mobile browser context switching |
| US20140365892A1 (en)* | 2013-06-08 | 2014-12-11 | Tencent Technology (Shenzhen) Company Limited | Method, apparatus and computer readable storage medium for displaying video preview picture |
| US20150074573A1 (en)* | 2013-08-21 | 2015-03-12 | Panasonic Intellectual Management Co., Ltd. | Information display device, information display method and information display program |
| CN105637466A (en)* | 2014-01-15 | 2016-06-01 | 宇龙计算机通信科技(深圳)有限公司 | Terminal control method and terminal control device |
| CN103777850A (en)* | 2014-01-17 | 2014-05-07 | 广州华多网络科技有限公司 | Menu display method, device and terminal |
| CN104571862A (en)* | 2014-12-30 | 2015-04-29 | 北京奇虎科技有限公司 | Method and device for displaying data in mobile terminal page |
| WO2018113065A1 (en)* | 2016-12-23 | 2018-06-28 | 北京金山安全软件有限公司 | Information display method, device and terminal device |
| CN107025158A (en)* | 2017-04-28 | 2017-08-08 | 努比亚技术有限公司 | A kind of slide method of testing, device and terminal |
| CN108717347A (en)* | 2018-05-25 | 2018-10-30 | 北京金堤科技有限公司 | Business information interactive identification method, apparatus and electronic equipment |
| CN109597554A (en)* | 2018-12-04 | 2019-04-09 | 北京马上慧科技术有限公司 | A kind of page returning method, computer installation and readable storage medium storing program for executing |
| CN109525885A (en)* | 2018-12-13 | 2019-03-26 | 广州华多网络科技有限公司 | Information processing method, device, electronic equipment and computer-readable readable medium |
| CN109669617A (en)* | 2018-12-27 | 2019-04-23 | 北京字节跳动网络技术有限公司 | Method and apparatus for switching the page |
| CN110162286A (en)* | 2019-05-17 | 2019-08-23 | 维沃移动通信有限公司 | A kind of image display method and terminal |
| CN110727496A (en)* | 2019-10-22 | 2020-01-24 | 中国工商银行股份有限公司 | Graphical user interface layout method and device, electronic equipment and storage medium |
| CN110841288A (en)* | 2019-11-07 | 2020-02-28 | 腾讯科技(深圳)有限公司 | Prompt identifier eliminating method, device, terminal and storage medium |
| Title |
|---|
| 崔天剑;董甜甜;: "交互界面功能性扩展设计研究:以智能手机为例", 南京艺术学院学报(美术与设计), no. 05* |
| Publication number | Priority date | Publication date | Assignee | Title |
|---|---|---|---|---|
| CN112632920A (en)* | 2020-11-16 | 2021-04-09 | 腾讯科技(深圳)有限公司 | Link processing method, link processing device, terminal equipment and storage medium |
| CN112632920B (en)* | 2020-11-16 | 2021-11-23 | 腾讯科技(深圳)有限公司 | Link processing method, link processing device, terminal equipment and storage medium |
| CN113176846A (en)* | 2021-04-27 | 2021-07-27 | Oppo广东移动通信有限公司 | Picture display method, device, equipment and storage medium |
| CN113176846B (en)* | 2021-04-27 | 2024-10-25 | Oppo广东移动通信有限公司 | A method, device, equipment and storage medium for displaying pictures |
| CN113536173A (en)* | 2021-07-14 | 2021-10-22 | 北京字节跳动网络技术有限公司 | Page processing method and device, electronic equipment and readable storage medium |
| CN113536173B (en)* | 2021-07-14 | 2024-01-16 | 抖音视界有限公司 | Page processing method and device, electronic equipment and readable storage medium |
| CN115457398A (en)* | 2022-11-14 | 2022-12-09 | 成都智元汇信息技术股份有限公司 | Centralized graph judging client based on dual visual angles and display method |
| CN115457398B (en)* | 2022-11-14 | 2023-04-07 | 成都智元汇信息技术股份有限公司 | Centralized graph judging client based on dual visual angles and display method |
| Publication number | Publication date |
|---|---|
| CN111459363B (en) | 2023-07-21 |
| CN116820289A (en) | 2023-09-29 |
| Publication | Publication Date | Title |
|---|---|---|
| CN110602321B (en) | Application switching method, device, electronic device and storage medium | |
| CN107908929B (en) | Method and device for playing audio data | |
| WO2021104365A1 (en) | Object sharing method and electronic device | |
| CN109460177A (en) | A kind of image processing method and terminal device | |
| CN111459363B (en) | Information display method, device, equipment and storage medium | |
| CN108391171A (en) | Control method and device, the terminal of video playing | |
| EP3731506A1 (en) | Image display method and mobile terminal | |
| CN113613053B (en) | Video recommendation method and device, electronic equipment and storage medium | |
| WO2022088765A1 (en) | Interaction processing method and computer device | |
| WO2022134632A1 (en) | Work processing method and apparatus | |
| WO2020253129A1 (en) | Song display method, apparatus and device, and storage medium | |
| CN108172176B (en) | Page refreshing method and device for ink screen | |
| WO2021218926A1 (en) | Image display method and apparatus, and computer device | |
| CN108804628A (en) | A kind of image display method and terminal | |
| CN116320582A (en) | Video display method, device, electronic device and storage medium | |
| CN116033219A (en) | Picture-based video playing method and device, electronic equipment and storage medium | |
| CN110191236B (en) | Song playing queue management method and device, terminal equipment and storage medium | |
| CN112000899A (en) | Display method, device, electronic device and storage medium for scenic spot information | |
| CN114296620A (en) | Information interaction method, device, electronic device and storage medium | |
| CN115361566B (en) | Live broadcast watching method, device, terminal and storage medium | |
| CN114594885A (en) | Application icon management method, apparatus, device, and computer-readable storage medium | |
| CN108877845A (en) | Playback of songs method and device | |
| CN112732133B (en) | Message processing method and device, electronic equipment and storage medium | |
| CN114388001A (en) | Multimedia file playing method, device, equipment and storage medium | |
| CN114897915A (en) | Image segmentation method, device, electronic device and storage medium |
| Date | Code | Title | Description |
|---|---|---|---|
| PB01 | Publication | ||
| PB01 | Publication | ||
| REG | Reference to a national code | Ref country code:HK Ref legal event code:DE Ref document number:40025595 Country of ref document:HK | |
| SE01 | Entry into force of request for substantive examination | ||
| SE01 | Entry into force of request for substantive examination | ||
| GR01 | Patent grant | ||
| GR01 | Patent grant |