Movatterモバイル変換


[0]ホーム

URL:


CN111440158A - Novel crystal form of brexpiprazole hydrochloride and preparation method thereof - Google Patents

Novel crystal form of brexpiprazole hydrochloride and preparation method thereof
Download PDF

Info

Publication number
CN111440158A
CN111440158ACN202010210564.3ACN202010210564ACN111440158ACN 111440158 ACN111440158 ACN 111440158ACN 202010210564 ACN202010210564 ACN 202010210564ACN 111440158 ACN111440158 ACN 111440158A
Authority
CN
China
Prior art keywords
brexpiprazole
hydrochloride
crystal form
acetic acid
crystalline form
Prior art date
Legal status (The legal status is an assumption and is not a legal conclusion. Google has not performed a legal analysis and makes no representation as to the accuracy of the status listed.)
Pending
Application number
CN202010210564.3A
Other languages
Chinese (zh)
Inventor
王洁
龚登凰
杨敏
孙文姣
巨鹏瑶
朱立峰
王玉蒙
张茜
Current Assignee (The listed assignees may be inaccurate. Google has not performed a legal analysis and makes no representation or warranty as to the accuracy of the list.)
CSPC Zhongqi Pharmaceutical Technology Shijiazhuang Co Ltd
Original Assignee
CSPC Zhongqi Pharmaceutical Technology Shijiazhuang Co Ltd
Priority date (The priority date is an assumption and is not a legal conclusion. Google has not performed a legal analysis and makes no representation as to the accuracy of the date listed.)
Filing date
Publication date
Application filed by CSPC Zhongqi Pharmaceutical Technology Shijiazhuang Co LtdfiledCriticalCSPC Zhongqi Pharmaceutical Technology Shijiazhuang Co Ltd
Priority to CN202010210564.3ApriorityCriticalpatent/CN111440158A/en
Publication of CN111440158ApublicationCriticalpatent/CN111440158A/en
Pendinglegal-statusCriticalCurrent

Links

Images

Classifications

Landscapes

Abstract

The invention provides an epipiprazole hydrochloride crystal form S and a preparation method thereof. According to the method, the crude product of the ipiprazole can be dissolved at normal temperature by controlling the dosage of the mixed solvent of the glacial acetic acid and the ethanol relative to the crude product of the ipiprazole, so that potential safety hazards and health risks caused by dripping acetic acid at high temperature are avoided. The novel crystal form S of the ipiprazole hydrochloride with the particle size obviously larger than that of the conventional crystal form is obtained by controlling the crystallization temperature, the filtering time can be shortened by 44-60%, the time cost is reduced, the production efficiency is improved, and the method is suitable for industrial production.

Description

Novel crystal form of brexpiprazole hydrochloride and preparation method thereof
Technical Field
The patent relates to medicine preparation, in particular to a novel crystal form of brexpiprazole hydrochloride and a preparation method thereof.
Background
Brexpiprazole (Brexpiprazole, formula 1) chemically named 7- (4- (4-benzo [ b ] thiophen-4-yl-piperazin-1-yl) butoxy) -1H-quinolin-2-one is the first dopamine, part of the 5-HT1A receptor agonist and 5-HT2A receptor antagonist compound developed by tsukamur pharmaceuticals and approved for sale in the united states onday 7 and 11 of 2015 under the trade name Rexulti. The product can be used for treating adult schizophrenia, and can also be used as adjuvant medicine for treating adult major depression.
Figure BDA0002422654650000011
In the prior art, crude epipiprazole (formula 1) is reacted with hydrochloric acid to generate epipiprazole hydrochloride (formula 2), and then the hydrochloric acid is removed to obtain relatively pure epipiprazole, wherein the reaction formula is shown as follows:
Figure BDA0002422654650000012
wherein, the salt forming condition is as follows: heating and refluxing (about 76 ℃) in a solvent system of ethanol and acetic acid to dissolve the crude product of the ipiprazole, and continuously dropwise adding hydrochloric acid under the refluxing condition to carry out salt forming reaction. CN104829603A and CN104254530A both adopt the salt forming method, and only the crystallization process is different: CN104829603A patent example 2 uses a mixture of ethanol and acetic acid as a solvent, adds the mixture into the mixture, then heats, refluxes and stirs the mixture, after the solution is clear, drops concentrated hydrochloric acid until the pH value is 2-3, cools to 20 ℃ or below, and then filters and dries to obtain the crystal form A of the hydrochloric acid. Comparative example 1 in CN104254530A patent mixing free base of ipiprazole, ethanol and acetic acid in a reactor, heating the mixture to reflux temperature (76 ℃) to dissolve free base of ipiprazole, further adding concentrated hydrochloric acid thereto, and cooling to 10 ℃ while stirring; thereafter, the mixture was heated again, stirred at reflux temperature for 1 hour, and then cooled to 8 ℃; filtering the precipitated solid by suction and washing the solid by ethanol; the solid component is then dried at 60 ℃ until its weight is constant, thus obtaining a white solid of ipiprazole hydrochloride (referred to in this patent application as form I).
However, in the process of producing the brexpiprazole, the inventor of the application finds that the crystal size of the brexpiprazole hydrochloride prepared by the two patent publications is small, the D90 is between 5 and 25 mu m, the subsequent filtering step takes too long, and the production progress is seriously influenced. Moreover, the step of dripping acetic acid at high temperature to dissolve the crude product of the ipiprazole in the preparation method is applied to industrial production, so that serious potential safety hazards exist, splashing and explosion accidents are easy to occur, and the physical health of workers can be seriously influenced by the volatilization of a large amount of acetic acid at high temperature.
Aiming at the defects of the prior art, a novel preparation method of the ipiprazole hydrochloride, which is safe to operate and friendly to workers, is needed. If the crystal form of the brexpiprazole hydrochloride with larger particle size can be obtained, the filtering time can be effectively reduced, and the production efficiency can be improved.
Disclosure of Invention
The invention aims to provide a novel preparation method of brexpiprazole hydrochloride, which can dissolve crude brexpiprazole at normal temperature and avoid potential safety hazard and health risk caused by dripping acetic acid at high temperature. Meanwhile, the novel crystal form S of the brexpiprazole hydrochloride is obtained unexpectedly, the crystal form has larger particle size, high yield and short time consumption of the filtering step, and is more suitable for industrial production.
The invention provides a preparation method of a new crystal form S of brexpiprazole hydrochloride, which comprises the following specific steps: adding crude products of the brexpiprazole into a mixed solvent of ethanol and glacial acetic acid, stirring at room temperature to dissolve the brexpiprazole, heating to the crystallization temperature of 30-45 ℃, adding hydrochloric acid until the reaction is complete, cooling to the temperature of less than or equal to 15 ℃, crystallizing, and filtering to obtain the brexpiprazole hydrochloride crystal form S. The dosage of the mixed solvent relative to the crude product of the brexpiprazole is as follows: adding 40-50ml of ethanol and 2.5-3.5ml of glacial acetic acid into each 1g of crude brexpiprazole. Preferably, the dosage of the mixed solvent relative to the crude product of the brexpiprazole is as follows: 50ml of ethanol and 2.5ml of glacial acetic acid are added into each 1g of crude brexpiprazole.
The invention also provides an epipiprazole crystal form hydrochloride, which is prepared by using the method. Preferably, the D90 of the crystal form is 150-350 μm. More preferably, the D90 of the crystal form is 180-310 μm.
Further, the powder X-ray diffraction measured in 2 θ (°) by Cu-K α showed characteristic peaks at 5.4. + -. 0.2, 10.6. + -. 0.2, 18.6. + -. 0.2, 19.8. + -. 0.2, 20.1. + -. 0.2, and 21.2. + -. 0.2.
Further, the crystal form pattern of the crystal form is shown in figure 1.
Further, the particle size distribution diagram of the crystal form is shown in fig. 7.
The invention achieves the following beneficial effects:
(1) the crystallization temperature is controlled within the range of 30-45 ℃, the grain diameter of the prepared crystal form S of the epipiprazole is obviously larger than that of the existing crystal form, the D90 of the crystal form S of the invention is as high as 180-310 mu m and is more than 10 times of the grain diameter of the crystal form of CN104829603A and CN104254530A in the prior art, the time of the filtration step is saved by 44-60%, the production efficiency can be obviously improved, and the large-scale production is more facilitated.
(2) According to the invention, by controlling the adding amount of ethanol and glacial acetic acid relative to the crude product of the brexpiprazole, the brexpiprazole can be dissolved at normal temperature, so that the production energy consumption is reduced, and potential safety hazard and health risk caused by dripping acetic acid at high temperature are avoided.
(3) The yield of the crystal form of the brexpiprazole hydrochloride prepared by the invention is more than 89%, and the reaction solvent is not wasted, so that the method is suitable for industrial production.
Drawings
FIG. 1 is an XRD diffraction pattern of crystalline form of brexpiprazole hydrochloride prepared in examples 2-3.
FIG. 2 is the XRD diffraction pattern data of the crystalline form of brexpiprazole hydrochloride prepared in example 2-3.
FIG. 3 is an XRD diffraction pattern of the crystalline form of brexpiprazole hydrochloride prepared in comparative example 2.
FIG. 4 is XRD diffraction pattern data of the crystalline form of brexpiprazole hydrochloride prepared in comparative example 2.
FIG. 5 is a particle size distribution diagram of example 2-1.
FIG. 6 is a particle size distribution diagram of example 2-2.
FIG. 7 is a graph showing the particle size distribution in examples 2 to 3.
FIG. 8 is a graph showing the particle size distribution in examples 2 to 4.
Detailed Description
The invention will be further illustrated with reference to the following specific examples. It should be understood that these examples are for illustrative purposes only and are not intended to limit the scope of the present invention. The experimental procedures, in which specific conditions are not noted in the following examples, are generally carried out under conventional conditions or under conditions recommended by the manufacturers.
Unless defined otherwise, all technical and scientific terms used herein have the same meaning as commonly understood by one of ordinary skill in the art. In addition, any methods and materials similar or equivalent to those described herein can be used in the methods of the present invention. The preferred embodiments and materials described herein are exemplary only.
The particle size testing method comprises the following steps:
particle size analyzer:mastersizer 2000.
Detection conditions are as follows: refractive index: 1.52, sample injection pressure: 2.0, dry sampling.
X-ray powder diffractometer (XRD) test method:
instrument name and model: rigaku D/MAX-2500X-ray diffractometer in Japan.
The measurement conditions were as follows: Cu/Ka1Ray, tube pressure 40KV, tube flow 150mA,scanning range 0 ~ 60.
Preparation example 1: preparation of crude brexpiprazole
A crude product of ipiprazole was prepared as described in example 1 of CN101155804A by stirring a mixture of 90g of 7- (4-chlorobutoxy) -1H-quinolin-2-one, 100g of 1-benzo [ b ] thiophen-4-yl-piperazine hydrochloride, 140g of potassium carbonate, 60g of potassium iodide and 900m of L DMF at 80 ℃ for 2H, adding water to the reaction mixture, precipitating crystals, filtering for separation, and drying to give 130g of crude product of ipiprazole having a purity of 95.6%.
Example 1: influence of glacial acetic acid and ethanol addition amount on solubility of brexpiprazole
When other conditions were the same, the effect of glacial acetic acid and 95% ethanol addition on the solubility of brexpiprazole was observed.
100g of crude brexpiprazole prepared in preparation example 1 was charged into a reaction flask, and 95% ethanol and glacial acetic acid were added as shown in Table 1 below, followed by stirring at room temperature to observe the dissolution of brexpiprazole.
And after the ipiprazole is completely dissolved, heating to 45 ℃, adding 1N HCl 310m L, stirring for 30-60 min after the addition is finished, cooling to 15 ℃, continuing stirring for crystallization for 30-60 min, filtering the solid, washing with ethanol, and drying to obtain the ipiprazole hydrochloride, wherein the results are shown in Table 1.
TABLE 1 Effect of glacial acetic acid, ethanol addition on Epipprazole dissolution
Figure BDA0002422654650000041
The result shows that when the using amount of the ethanol is 5000ml, if the adding amount of the glacial acetic acid is less than 250ml, the ipiprazole cannot be dissolved at room temperature; when the amount of the glacial acetic acid added is more than 350ml, although the dissolving and stirring effects can meet the production requirements, the product yield is reduced along with the increase of the amount of the glacial acetic acid. It is suggested that the amount of glacial acetic acid is not only very important for the dissolution effect of ipiprazole at room temperature, but also affects the product yield.
When the addition amount of the fixed glacial acetic acid is 350ml, the use amount of ethanol is adjusted, and the result shows that the ethanol is less than or equal to 3000ml, although the ipiprazole can be completely dissolved, the solution is too viscous during the crystallization reaction, and the stirring is difficult; when the ethanol is more than 5000ml, excessive solvent not only increases the cost and the difficulty of post-treatment, but also the yield of the final product tends to decrease.
Therefore, when 40-50ml of ethanol and 2.5-3.5ml of glacial acetic acid are added relative to 1g of crude epipiprazole, the epipiprazole can be dissolved at room temperature, the solution can be fully stirred during crystallization, the yield of the final product is high, and the method is suitable for industrial production.
Example 2: influence of crystallization temperature on yield of Epipprazole hydrochloride
100g of crude epipiprazole (prepared in preparation example 1), 4L of 95% ethanol and 300m L of glacial acetic acid are added into a reaction bottle, the mixture is stirred at room temperature to dissolve the epipiprazole, the temperature is raised to the crystallization temperature, 1N HCl 230m L is added, after the addition is finished, solid is separated out, the stirring is continued for 30-60 min, the temperature is reduced to 15 ℃, the stirring is continued, the filtration is carried out, the washing is carried out by ethanol, and the drying is carried out to obtain the epipiprazole hydrochloride.
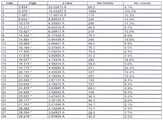
TABLE 2 influence of crystallization temperature on particle size, yield and purity of Epipprazole hydrochloride crystals
Figure BDA0002422654650000051
The XRD pattern data of example 2-3 is shown in figure 1-2, and the particle size distribution diagram of example 2-1-2-4 is shown in figure 5-8.
In the process of adjusting the crystallization temperature, we surprisingly found that when hydrochloric acid is added when the temperature is raised to 25 ℃, the particle size D90 of the obtained crystal is less than 11 μm, the purity of the product is less than 85%, and the production requirement is difficult to meet. While the crystallization temperature was increased by 5 ℃ and hydrochloric acid was added at 30 ℃ to increase the crystal grain size D90 to about 190 μm, which is about 18 times larger. When the crystallization temperature is 45 ℃, the crystal particle size is more up to 300 μm. However, when the crystallization temperature is further increased, the crystal grain size is rapidly decreased rather than being increased. When the crystallization temperature is increased to 50 ℃, the crystal grain size is reduced to 50.6 μm, 1/6 of the crystal grain size is reduced under the condition of 45 ℃, and the product yield is obviously reduced. If the crystallization temperature is further increased, the crystal particle size and the product yield are further decreased.
The above test results suggest: the crystallization temperature is controlled within the range of 30-45 ℃, and the prepared crystal has large grain diameter (180 mu m < D90<310 mu m) and high product yield and purity. Even a slight adjustment of the crystallization temperature outside this range (e.g., +/-5 ℃) results in a significant reduction in the crystal size (reduction of more than 80%), and product purity or yield is significantly affected. Such technical effects are difficult to expect by those skilled in the art.
Comparative example 1: preparation of crystal form A of brexpiprazole hydrochloride
The method of CN104829603A example 2 is used to prepare ipiprazole hydrochloride: in a reaction flask, 90g of crude brexpiprazole is added, a mixture of 2050ml of ethanol and 150ml of glacial acetic acid is added, and the mixture is heated under reflux and stirred. After the solid is completely dissolved, concentrated hydrochloric acid is dripped until the pH value is 2-3. After the dropwise addition, naturally cooling to the temperature of less than or equal to 20 ℃ in the system. Filtering, and drying a filter cake by a blower through hot air to obtain 75.8g of the A crystal form brexpiprazole hydrochloride with the purity of 92.3%.
Comparative example 2: preparation of brexpiprazole hydrochloride
In a reaction bottle, 100g of crude epipiprazole is added, a mixture of 2L ethanol and 200ml of glacial acetic acid is added, the mixture is heated to the reflux temperature (76 ℃) and stirred, after the solid is completely dissolved, 22.57ml of concentrated hydrochloric acid is added, the mixture is cooled to 10 ℃ while being stirred, then the mixture is heated to the reflux temperature and stirred for 1 hour, then the mixture is cooled to 8 ℃, filtered, washed by ethanol and dried at 60 ℃, 86.2g of epipiprazole hydrochloride is obtained, the purity of the mixture is 90.3%, and XRD (X-ray diffraction) measurement is carried out, so that the diagram and data (referred to as crystal form I in the application) shown in figures 3-4 are obtained.
Example 3: particle size distribution and filtering effect comparison experiment of different crystal forms
And (3) measurement of particle size: the particle size data of the three crystal forms, crystal form S of examples 2-3, crystal form a of comparative example 1 and crystal form I of comparative example 2, of the present application were tested and the results are shown in table 3.
Measurement of filtration time: the time taken to filter form S of examples 2-3, form a of comparative example 1 and form I of comparative example 2 of the present application was determined under the same filtration conditions.
The filtration step described in example 3 refers to the filtration step after cooling/cooling in the processes for preparing ipiprazole hydrochloride of examples 2 to 3, comparative example 1 and comparative example 2. The specific operation is as follows: the buchner funnel with the filter paper laid thereon was connected to the filtration flask, the vacuum pump (zhengzhou dupu instrument factory: circulating water type multipurpose vacuum pump) was turned on and off, the mixture was poured in, filtration was started (the filtration parameters used for the three crystal forms were the same), and the filtration time was calculated after no liquid was dropped from the lower end of the buchner funnel, the results are shown in table 4.
Table 3 particle size distribution data for different crystal forms
Figure BDA0002422654650000061
TABLE 4 comparison of the filtration times of the different crystal modifications
Crystal formSAI
Filtration time/min101825
As can be seen from tables 3 and 4, the particle size of the crystal form S of the epipiprazole hydrochloride of the invention is obviously larger than that of the comparative crystal form A and the crystal form I, and the D90 of the crystal form S is 14 times that of the crystal form A and 37 times that of the crystal form I respectively. Under the same filtering condition, the crystal form S of the brexpiprazole hydrochloride has the shortest time consumption in the filtering step due to the large particle size, and is respectively shortened by 44 percent and 60 percent compared with the comparative crystal form A and the comparative crystal form I. If the production is further expanded, the advantage of large particle size of the crystal form S is more obvious. This is very advantageous in reducing time cost and improving production efficiency.

Claims (5)

1. A preparation method of an epipiprazole hydrochloride crystal form S comprises the following specific steps: adding crude products of the brexpiprazole into a mixed solvent of ethanol and glacial acetic acid, stirring at room temperature to dissolve the brexpiprazole, heating to the crystallization temperature of 30-45 ℃, adding hydrochloric acid until the reaction is complete, cooling to the temperature of less than or equal to 15 ℃, crystallizing, and filtering to obtain a brexpiprazole hydrochloride crystal form S;
the dosage of the mixed solvent relative to the crude product of the brexpiprazole is as follows: adding 40-50ml of ethanol and 2.5-3.5ml of glacial acetic acid into each 1g of crude brexpiprazole; preferably, the dosage of the mixed solvent relative to the crude product of the brexpiprazole is as follows: 50ml of ethanol and 2.5ml of glacial acetic acid are added into each 1g of crude brexpiprazole.
2. The crystalline form S of brexpiprazole hydrochloride prepared by the preparation method of claim 1, wherein the D90 of the crystalline form is 150-350 μm; preferably, the D90 of the crystal form is 180-310 μm.
3. Crystalline form S of ipiprazole hydrochloride according to claim 2, characterized by characteristic peaks in powder X-ray diffraction at 5.4 ± 0.2, 10.6 ± 0.2, 18.6 ± 0.2, 19.8 ± 0.2, 20.1 ± 0.2, 21.2 ± 0.2 in 2 θ (°) using Cu-K α radiation.
4. The crystalline form S of brexpiprazole hydrochloride according to claim 2, wherein the crystalline form pattern of the crystalline form is shown in figure 1.
5. The crystalline form S of brexpiprazole hydrochloride of claim 2, wherein the particle size distribution diagram of the crystalline form is shown in figure 7.
CN202010210564.3A2020-03-242020-03-24Novel crystal form of brexpiprazole hydrochloride and preparation method thereofPendingCN111440158A (en)

Priority Applications (1)

Application NumberPriority DateFiling DateTitle
CN202010210564.3ACN111440158A (en)2020-03-242020-03-24Novel crystal form of brexpiprazole hydrochloride and preparation method thereof

Applications Claiming Priority (1)

Application NumberPriority DateFiling DateTitle
CN202010210564.3ACN111440158A (en)2020-03-242020-03-24Novel crystal form of brexpiprazole hydrochloride and preparation method thereof

Publications (1)

Publication NumberPublication Date
CN111440158Atrue CN111440158A (en)2020-07-24

Family

ID=71629477

Family Applications (1)

Application NumberTitlePriority DateFiling Date
CN202010210564.3APendingCN111440158A (en)2020-03-242020-03-24Novel crystal form of brexpiprazole hydrochloride and preparation method thereof

Country Status (1)

CountryLink
CN (1)CN111440158A (en)

Citations (7)

* Cited by examiner, † Cited by third party
Publication numberPriority datePublication dateAssigneeTitle
CN104254530A (en)*2012-04-232014-12-31大塚制药株式会社 Dihydrate of benzothiophene compound or salt thereof and preparation method thereof
CN104829603A (en)*2015-05-192015-08-12杭州新博思生物医药有限公司Crystal form A brexpiprazole hydrochloride and preparation method thereof
CN106632291A (en)*2016-10-092017-05-10瑞阳制药有限公司Brexpiprazole crystal, its preparation method and application, and pharmaceutical composition comprising brexpiprazole crystal
WO2017106641A1 (en)*2015-12-172017-06-22Assia Chemical Industries Ltd.Solid state forms of brexpiprazole
CN107365305A (en)*2016-05-122017-11-21上海奥博生物医药技术有限公司One kind is according to piperazine azoles novel crystal forms and preparation method thereof
CN107936005A (en)*2016-10-132018-04-20上海科胜药物研发有限公司One kind is according to piperazine azoles novel crystal forms II and preparation method thereof
US20190389847A1 (en)*2017-02-022019-12-26Hexal AktiengesellschaftCrystalline Brexpiprazole

Patent Citations (9)

* Cited by examiner, † Cited by third party
Publication numberPriority datePublication dateAssigneeTitle
CN104254530A (en)*2012-04-232014-12-31大塚制药株式会社 Dihydrate of benzothiophene compound or salt thereof and preparation method thereof
CN104829603A (en)*2015-05-192015-08-12杭州新博思生物医药有限公司Crystal form A brexpiprazole hydrochloride and preparation method thereof
WO2017106641A1 (en)*2015-12-172017-06-22Assia Chemical Industries Ltd.Solid state forms of brexpiprazole
CN107365305A (en)*2016-05-122017-11-21上海奥博生物医药技术有限公司One kind is according to piperazine azoles novel crystal forms and preparation method thereof
CN109071517A (en)*2016-05-122018-12-21浙江华海药业股份有限公司According to the crystal form and preparation method thereof of piperazine azoles
CN106632291A (en)*2016-10-092017-05-10瑞阳制药有限公司Brexpiprazole crystal, its preparation method and application, and pharmaceutical composition comprising brexpiprazole crystal
CN107936005A (en)*2016-10-132018-04-20上海科胜药物研发有限公司One kind is according to piperazine azoles novel crystal forms II and preparation method thereof
CN109863149A (en)*2016-10-132019-06-07浙江华海药业股份有限公司One kind is according to piperazine azoles novel crystal forms and preparation method thereof
US20190389847A1 (en)*2017-02-022019-12-26Hexal AktiengesellschaftCrystalline Brexpiprazole

Non-Patent Citations (2)

* Cited by examiner, † Cited by third party
Title
张兆旺: "《中药药剂学》", 31 March 2017, 中国中医药出版社*
赵临襄: "《化学制药工艺学》", 31 August 2015, 中国医药科技出版社*

Similar Documents

PublicationPublication DateTitle
WO2015165320A1 (en)Regorafenib salt and crystal form thereof, and preparation method
CA2980418C (en)Preparation method of crystalline form a of pci-32765
CN106256824B (en)Preparation method of high-purity delafloxacin meglumine salt
JP2006321798A (en)Improved method for producing high-purity telmisartan form a suitable for pharmaceutical composition
CN108358900A (en)A kind of preparation method of Afatinib and its maleate
EP2370433A2 (en)A method for the preparation of tizanidine hydrochloride
CN111440158A (en)Novel crystal form of brexpiprazole hydrochloride and preparation method thereof
CN103012437A (en)Method for preparing cefoxitin acid as antibacterial medicament
CN110526879B (en)Crystallization preparation method of small-granularity febuxostat
CN115073444A (en)Method for refining and removing lurasidone hydrochloride epoxy impurities
CN106749216B (en)Refining method of crystal form A azilsartan
CN114349768B (en)Preparation method of cefotaxime acid
CN116041337A (en) A kind of preparation method of afatinib and maleate thereof
CN110606854A (en) A kind of controllable preparation method of I crystal form clopidogrel bisulfate
CN116444525A (en)Preparation method of ponatinib hydrochloride A crystal form
CN110105374B (en) A kind of crystallization method of phenylacetyl-7-amino-3-deacetoxy cephalosporanic acid with controllable particle size and crystal habit
CN104496938B (en)A kind of preparation method of 2-acetyl phenothiazine
CN106279108B (en)A kind of method of industrialized production Rabeprazole and dextral-rabeprazole intermediate
CN108586450B (en)Recrystallization purification method of choline M receptor anticaking agent
CN112409350A (en) A kind of preparation method of avatrombopag maleate crystal form C
CN107698563B (en)Method for preparing neratinib maleate crystal form
CN112125338A (en)Method for preparing M-phase vanadium dioxide by solvothermal method
CN108239086B (en)Preparation method of dasatinib N-6 anhydrous crystal
CN105330652B (en)A kind of preparation method of Afatinib
CN116874443B (en)Febuxostat crystal form and preparation method thereof

Legal Events

DateCodeTitleDescription
PB01Publication
PB01Publication
SE01Entry into force of request for substantive examination
SE01Entry into force of request for substantive examination
RJ01Rejection of invention patent application after publication

Application publication date:20200724

RJ01Rejection of invention patent application after publication

[8]ページ先頭

©2009-2025 Movatter.jp