Movatterモバイル変換


[0]ホーム

URL:


CN111432364B - A non-line-of-sight error suppression method based on radial basis function neural network - Google Patents

A non-line-of-sight error suppression method based on radial basis function neural network
Download PDF

Info

Publication number
CN111432364B
CN111432364BCN202010216383.1ACN202010216383ACN111432364BCN 111432364 BCN111432364 BCN 111432364BCN 202010216383 ACN202010216383 ACN 202010216383ACN 111432364 BCN111432364 BCN 111432364B
Authority
CN
China
Prior art keywords
sample data
neural network
radial basis
basis function
function neural
Prior art date
Legal status (The legal status is an assumption and is not a legal conclusion. Google has not performed a legal analysis and makes no representation as to the accuracy of the status listed.)
Active
Application number
CN202010216383.1A
Other languages
Chinese (zh)
Other versions
CN111432364A (en
Inventor
王慧强
高凯旋
吕宏武
冯光升
郭方方
杨帅征
Current Assignee (The listed assignees may be inaccurate. Google has not performed a legal analysis and makes no representation or warranty as to the accuracy of the list.)
Harbin Engineering University
Original Assignee
Harbin Engineering University
Priority date (The priority date is an assumption and is not a legal conclusion. Google has not performed a legal analysis and makes no representation as to the accuracy of the date listed.)
Filing date
Publication date
Application filed by Harbin Engineering UniversityfiledCriticalHarbin Engineering University
Priority to CN202010216383.1ApriorityCriticalpatent/CN111432364B/en
Publication of CN111432364ApublicationCriticalpatent/CN111432364A/en
Application grantedgrantedCritical
Publication of CN111432364BpublicationCriticalpatent/CN111432364B/en
Activelegal-statusCriticalCurrent
Anticipated expirationlegal-statusCritical

Links

Images

Classifications

Landscapes

Abstract

Translated fromChinese

本发明提供一种基于径向基函数神经网络的非视距误差抑制方法,包括:将原始多径TOA样本数据进行标准化分类预处理,得到标准化分类的多径TOA样本数据;建立径向基函数神经网络,并使用量子人工蜂群对径向基函数神经网络进行优化,该径向基函数神经网络由隐层和输出层组成;由标准化分类的多径TOA样本数据训练径向基函数神经网络;使用径向基函数神经网络识别并剔除未知多径TOA数据中的非视距误差。本发明提高移动用户设备的定位精度;不增加任何额外冗余基站,降低部署成本;不带来额外的解算复杂度,提升定位效率。

Figure 202010216383

The invention provides a non-line-of-sight error suppression method based on a radial basis function neural network, which includes: standardizing and classifying original multipath TOA sample data to obtain standardized and classified multipath TOA sample data; establishing a radial basis function neural network, and use quantum artificial bee colony to optimize the radial basis function neural network, which consists of a hidden layer and an output layer; train the radial basis function neural network from the standardized and classified multipath TOA sample data ; Use radial basis function neural network to identify and eliminate non-line-of-sight errors in unknown multipath TOA data. The present invention improves the positioning accuracy of the mobile user equipment; does not add any additional redundant base stations, reduces the deployment cost; does not bring additional computational complexity and improves the positioning efficiency.

Figure 202010216383

Description

Radial basis function neural network-based non-line-of-sight error suppression method
Technical Field
The invention relates to a radial basis function neural network-based non-line-of-sight error suppression method, and belongs to the technical field of wireless positioning.
Background
At present, the rapid development of 5G communication technology and the continuous improvement of communication standards mark that the 5G communication era has come. The requirement of high-precision indoor positioning under the environment of 5G network indoor dense networking is increasingly prominent, which has great positive significance for the whole positioning navigation field. In various large-scale building scenes such as underground parking lots, superstores, large exhibition halls, waiting halls and the like, the modern production and living mode of people can not be supported by indoor positioning service. Therefore, the high-precision indoor positioning technology has significance and wide application background in national safety level, civil economic development level and the like.
Although many scholars in the field of indoor positioning propose indoor positioning technical schemes based on various technologies such as in-band technology, Wi-Fi technology and Bluetooth technology at present, the indoor positioning technical schemes are all limited by errors caused by signal propagation in a non-line-of-sight environment, so that the positioning accuracy cannot be effectively improved, and the actual measurement level is far lower than a theoretical design target. The reason is that the indoor environment is complicated and the articles are placed irregularly, which causes the positioning signals to be reflected, refracted, shielded or attenuated for many times, and finally causes the original data measured by the positioning system to contain a large amount of non-line-of-sight error data. Therefore, a technology capable of identifying and eliminating non-line-of-sight error data in original data becomes a key technology for improving an indoor positioning system. The technology can be widely applied to indoor positioning systems based on various technologies, so that the technology has value and significance for popularization and application.
The traditional non-line-of-sight error suppression method mostly adopts methods such as multi-base-station cooperative positioning, numerical analysis, traditional neural network and the like to correct errors or eliminate errors. However, the methods respectively have the problems of high deployment cost, low practical application effect lower than a theoretical value, easy falling into a local optimal solution, low accuracy rate and the like. Currently, representative efforts include: an article 'Shuxiang, Zhudaiyin, Yanqing, Cao dao, a non-line-of-sight base station screening algorithm [ J ] based on multi-base-station voting of an ultra-wideband positioning system, a network security technology and application, 2018(11): 32-34' proposes a non-line-of-sight base station screening algorithm based on multi-base-station voting, screens out non-line-of-sight errors by utilizing redundancy of multi-base-station cooperative positioning and positioning estimation deviation introduced when the non-line-of-sight base station participates in positioning, but because of the arrangement of a redundant base station, extra cost is increased, more complex multipath effect is caused, and channel quality under an indoor environment is deteriorated; the patent "a location method for restraining mine non-line-of-sight error (CN 201910315757.2)" proposes a location method for judging whether there is non-line-of-sight transmission of signals according to the characteristics of ranging change caused by non-line-of-sight signal intensity attenuation and ranging change caused by non-line-of-sight signal time delay, and further restraining mine non-line-of-sight error, but because numerical analysis is carried out by using the characteristics of multiple bidirectional communication signals, the operation load of a base station is increased, and the method is not suitable for low-delay and large-bandwidth multi-user indoor location scenes under 5G communication; the article "Liu Xia, Moshu, He Hui Ling, Yang Jun." is based on the wireless indoor positioning [ J ] of the optimized RBF neural network telecommunication technology, 2019,59(11): 1261-; in addition, the method is applied to positioning technology based on signal strength, and is not suitable for the field of complicated and variable indoor positioning. Therefore, in the field of indoor positioning, a non-line-of-sight error suppression method based on a radial basis function neural network under 5G communication is not specially researched at present, and still belongs to a new field.
To sum up, summarizing the existing non-line-of-sight error suppression methods also have the following disadvantages:
(1) redundant base stations are additionally arranged, so that the hardware overhead is increased, and the cost is overhigh;
(2) the numerical analysis method increases the complexity of the base station calculation, and has low efficiency;
(3) the traditional neural network method is easy to fall into a local optimal solution and low in identification accuracy.
Disclosure of Invention
The invention aims to provide a non-line-of-sight error suppression method based on a radial basis function neural network, which adopts the radial basis function neural network optimized by a quantum artificial bee colony to identify and eliminate the non-line-of-sight error in unknown multi-path TOA (time of arrival, signal arrival time) data, so that only line-of-sight information is reserved, and the positioning accuracy is improved.
The purpose of the invention is realized as follows: the method comprises the following steps:
step 1: carrying out standardized classification pretreatment on original multipath TOA sample data to obtain standardized classified multipath TOA sample data;
step 2: establishing a radial basis function neural network, and optimizing the radial basis function neural network by using a quantum artificial bee colony, wherein the radial basis function neural network consists of a hidden layer and an output layer;
and step 3: training a radial basis function neural network by the multi-path TOA sample data of the standardized classification in the step 1;
and 4, step 4: and (4) identifying and rejecting non-line-of-sight errors in unknown multi-path TOA data by using the radial basis function neural network in the step (3).
The invention also includes such structural features:
1. the method for performing standardized classification preprocessing on original multipath TOA sample data in step 1 specifically comprises the following steps:
(1.1) reading original multipath TOA sample data in the step 1;
(1.2) dividing the sample data read in the step 1.1 into two types according to whether the error value is greater than the door limit th;
(1.3) unifying the data volumes of the two types of sample data in the step 1.2, wherein the method comprises the following steps: when the data volume of the first type of sample data is larger than that of the second type of sample data, randomly extracting n from the first type of sample data2One individual, discarding the remaining individuals, wherein n2The data size of the second type of sample data is; when the data volume of the first type of sample data is smaller than that of the second type of sample data, randomly extracting n from the second type of sample data1One individual, discarding the remaining individuals, wherein n1The data size of the first type of sample data is;
(1.4) normalizing the two types of sample data in the step 1.3 to obtain normalized sample data individuals:
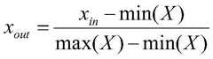
Figure BDA0002424597090000031
wherein: x is the number ofinIs not normalizedProcessing sample data individuals; x is the whole sample data; min (X) is a function of X and functions to obtain the smallest individual of the X in the whole sample; max (X) is a function of X and functions to obtain the largest individual of the total X of the sample; x is the number ofoutThe normalized sample data individuals are obtained;
(1.5) binding the two types of sample data in the step 1.4 with binary label information.
2. The method for training the radial basis function neural network in the step 3 specifically comprises the following steps:
(3.1) determining the number N of central vectors of hidden nodes of the radial basis function neural network described in step 3vector
(3.2) selecting N in the step 3.1 by using a quantum artificial bee colony algorithmvectorA center vector;
(3.3) calculating a normalization constant sigma of hidden layer nodes from the central vector in the step 3.2;
(3.4) calculating the connection weight from the hidden layer node to the output layer node in the radial basis function neural network by adopting a least square method, wherein the connection weight comprises the following steps:
Figure BDA0002424597090000032
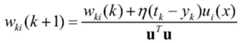
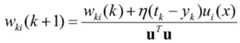
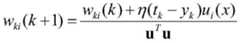
wherein: k is 1, 2.; 1,2, Nvector
Figure BDA0002424597090000033
wkiFor connection weights, output layer node identifiers, i is a central vector identifier, ui(x) Is a Gaussian function, eta is the learning rate, u is ui(x) Vector of (a), tkIndicating the expected value, y, of the kth output level nodekRepresenting the actual value of the kth output layer node.
3. Selecting N in step 3.1 by using quantum artificial bee colony algorithm in step 3.2vectorThe method for generating the central vector specifically comprises the following steps:
(3.2.1) initializing quantum populations and bee colony parameters;
(3.2.2) computing initial quantum-encoded honey sources, i.e. a set of solutions of the central vector in said step 3.2;
(3.2.3) leading bees to search and update quantum-coded honey sources, namely searching and updating a group of solutions of the central vector in the step 3.2 and calculating the fitness of the solutions; and calculating the fitness thereof;
Figure BDA0002424597090000034
wherein i is a honey source identifier, fitiFitness, function, of a honey source with identifier iiAn objective function of a honey source with an identifier of i;
(3.2.4) the follower bees update the quantum-coded honey sources, namely a set of solutions of the central vector in the step 3.2, according to the honey source information searched by the leading bees in the step 3.2.3;
(3.2.5) the scout bee uses the quantum logic gate to update the transfer matrix, search and update the quantum-coded honey source, i.e. update a set of solutions of the central vector in the step 3.2, and calculate its fitness;
(3.2.6) recording the information of the current best solution of the central vector and the fitness thereof;
(3.2.7) if the maximum iteration number is reached, outputting the currently recorded optimal solution of the central vector; otherwise, step 3.2.3 to step 3.2.7 are repeated.
Compared with the prior art, the invention has the beneficial effects that: the invention gives consideration to the implementation cost, the resolving efficiency and the actual positioning effect. The positioning accuracy can be improved, and meanwhile, any extra redundant base station is not added, so that the cost is reduced; the method does not bring extra resolving complexity and improves the efficiency.
(1) Improving the positioning accuracy of the mobile user equipment;
(2) no additional redundant base station is added, and the deployment cost is reduced;
(3) the method does not bring extra resolving complexity, and improves the positioning efficiency.
Drawings
FIG. 1 shows a flow diagram of a radial basis function neural network-based non-line-of-sight error suppression method;
FIG. 2 is a flow chart illustrating a method for performing a standardized classification preprocessing on original multipath TOA sample data according to the present invention;
FIG. 3 is a flow chart illustrating a method of training a radial basis function neural network according to the present invention;
FIG. 4 shows the selection of N using the quantum artificial bee colony algorithm in the present inventionvectorA flow diagram of a method of individual center vectors;
fig. 5 is a schematic diagram illustrating an indoor positioning signal non-line-of-sight propagation scenario according to an embodiment of the present invention.
Detailed Description
The present invention will be described in further detail with reference to the accompanying drawings and specific embodiments.
As shown in fig. 1, the non-line-of-sight error suppression method based on the radial basis function neural network includes the following specific steps:
step (1) carrying out standardized classification pretreatment on original multipath TOA sample data to obtain the multipath TOA sample data of standardized classification;
the non-line-of-sight propagation scenario of the indoor positioning signal in this embodiment is shown in fig. 5;
step (2), establishing a radial basis function neural network, and optimizing the radial basis function neural network by using a quantum artificial bee colony, wherein the radial basis function neural network consists of a hidden layer and an output layer;
step (3) further, training a radial basis function neural network by the multi-path TOA sample data of the standardized classification in the step (1);
step (4) further, using the radial basis function neural network in the step (3) to identify and reject non-line-of-sight errors in unknown multipath TOA data;
the method for performing standardized classification preprocessing on the original multipath TOA sample data in the step (1) specifically comprises the following steps:
(1.1) reading original multipath TOA sample data in the step 1;
the original multipath TOA sample data in this embodiment includes: a mobile user equipment identifier, a base station identifier and a mobile user equipment to base station TOA value;
(1.2) dividing the sample data read in the step 1.1 into two types according to whether the error value is greater than the door limit th;
in this embodiment, th is 1 meter; the first type of sample data is data with an error value smaller than 1 meter, and the second type of sample data is data with an error value larger than 1 meter;
(1.3) unifying the data volumes of the two types of sample data in the step 1.2, wherein the method comprises the following steps: when the data volume of the first type of sample data is larger than that of the second type of sample data, randomly extracting n from the first type of sample data2One individual, discarding the remaining individuals, wherein n2The data size of the second type of sample data is; when the data volume of the first type of sample data is smaller than that of the second type of sample data, randomly extracting n from the second type of sample data1One individual, discarding the remaining individuals, wherein n1The data size of the first type of sample data is;
in this embodiment, the number of the first type samples is smaller than the number of the second type samples, so n is randomly extracted from the second type samples1And discarding the rest individuals so that the number of the retained second type samples is equal to the number of the first type samples.
(1.4) normalizing the two types of sample data in the step 1.3 to obtain normalized sample data individuals;
Figure BDA0002424597090000051
wherein xinThe sample data individuals are not subjected to normalization processing; x is the whole sample data; min (X) is a function of X and functions to obtain the smallest individual of the X in the whole sample; max (X) is a function of X and functions to obtain the largest individual of the total X of the sample; x is the number ofoutThe normalized sample data individuals are obtained;
preferably, the sample data is linearly mapped into the real number interval of [ -1,1 ].
(1.5) binding the two types of sample data in the step 1.4 with binary label information;
preferably, the first type of sample data is bound with a binary expression label '01', and the second type of sample data is bound with a binary expression label '10';
the method for training the radial basis function neural network in the step (3) specifically comprises the following steps:
(3.1) determining the number N of central vectors of hidden nodes of the radial basis function neural network described in step 3vector
Preferred is NvectorThe value is assigned to 3;
(3.2) selecting 3 central vectors in the step 3.1 by using a quantum artificial bee colony algorithm;
(3.3) calculating a normalization constant sigma of hidden layer nodes from the central vector in the step 3.2;
(3.4) calculating the connection weight from the hidden layer node to the output layer node in the radial basis function neural network by adopting a least square method;
Figure BDA0002424597090000061
wherein k is 1, 2.; 1,2, Nvector
Figure BDA0002424597090000062
wkiFor connection weights, output layer node identifiers, i is a central vector identifier, ui(x) Is a Gaussian function, eta is the learning rate, u is ui(x) Vector of (a), tkIndicating the expected value, y, of the kth output level nodekRepresenting the actual value of the kth output layer node;
the preferable eta is 0.05;
in the step (3.2), selecting N in the step 3.1 by using a quantum artificial bee colony algorithmvectorThe method for generating the central vector specifically comprises the following steps:
(3.2.1) initializing quantum populations and bee colony parameters;
the preferred quantum population scale is 10, the bee colony scale is 10, and the maximum iteration number is 100;
(3.2.2) computing initial quantum-encoded honey sources, i.e. a set of solutions of the central vector in said step 3.2;
(3.2.3) leading bees to search and update quantum-coded honey sources, namely searching and updating a group of solutions of the central vector in the step 3.2 and calculating the fitness of the solutions;
Figure BDA0002424597090000063
wherein i is a honey source identifier, fitiFitness, function, of a honey source with identifier iiAn objective function of a honey source with an identifier of i;
the target function is the error value of the TOA data;
(3.2.4) the follower bees update the quantum-coded honey sources, namely a set of solutions of the central vector in the step 3.2, according to the honey source information searched by the leading bees in the step 3.2.3;
(3.2.5) the scout bee uses the quantum logic gate to update the transfer matrix, search and update the quantum-coded honey source, i.e. update a set of solutions of the central vector in the step 3.2, and calculate its fitness;
(3.2.6) recording the information of the current best solution of the central vector and the fitness thereof;
(3.2.7) if the maximum iteration number is reached, outputting the currently recorded optimal solution of the central vector; otherwise, repeating the step 3.2.3 to the step 3.2.7;
the preferred maximum number of iterations is 100.

Claims (3)

1. A non-line-of-sight error suppression method based on a radial basis function neural network is characterized by comprising the following steps: the method comprises the following steps:
step 1: carrying out standardized classification pretreatment on original multipath TOA sample data to obtain standardized classified multipath TOA sample data;
step 2: establishing a radial basis function neural network, and optimizing the radial basis function neural network by using a quantum artificial bee colony, wherein the radial basis function neural network consists of a hidden layer and an output layer;
and step 3: training a radial basis function neural network by the multi-path TOA sample data of the standardized classification in the step 1;
(3.1) determining the number N of central vectors of hidden nodes of the radial basis function neural network described in step 3vector
(3.2) selecting N in the step 3.1 by using a quantum artificial bee colony algorithmvectorA center vector;
(3.3) calculating a normalization constant sigma of hidden layer nodes from the central vector in the step 3.2;
(3.4) calculating the connection weight from the hidden layer node to the output layer node in the radial basis function neural network by adopting a least square method, wherein the connection weight comprises the following steps:
Figure FDA0002934974410000011
wherein:
Figure FDA0002934974410000012
wkifor the connection weight, k is the output layer node identifier, i is the central vector identifier, ui(x) Is a Gaussian function, eta is the learning rate, u is ui(x) Vector of (a), tkIndicating the expected value, y, of the kth output level nodekRepresenting the actual value of the kth output layer node;
and 4, step 4: and (4) identifying and rejecting non-line-of-sight errors in unknown multi-path TOA data by using the radial basis function neural network in the step (3).
2. The method for suppressing non-line-of-sight error based on the radial basis function neural network as claimed in claim 1, wherein: the method for performing standardized classification preprocessing on original multipath TOA sample data in step 1 specifically comprises the following steps:
(1.1) reading original multipath TOA sample data in the step 1;
(1.2) dividing the sample data read in the step 1.1 into two types according to whether the error value is greater than the door limit th;
(1.3) unifying the data volumes of the two types of sample data in the step 1.2, wherein the method comprises the following steps: when the data volume of the first type of sample data is larger than that of the second type of sample data, randomly extracting n from the first type of sample data2One individual, discarding the remaining individuals, wherein n2The data size of the second type of sample data is; when the data volume of the first type of sample data is smaller than that of the second type of sample data, randomly extracting n from the second type of sample data1One individual, discarding the remaining individuals, wherein n1The data size of the first type of sample data is;
(1.4) normalizing the two types of sample data in the step 1.3 to obtain normalized sample data individuals:
Figure FDA0002934974410000021
wherein: x is the number ofinThe sample data individuals are not subjected to normalization processing; x is the whole sample data; min (X) is a function of X and functions to obtain the smallest individual of the X in the whole sample; max (X) is a function of X and functions to obtain the largest individual of the total X of the sample; x is the number ofoutThe normalized sample data individuals are obtained;
(1.5) binding the two types of sample data in the step 1.4 with binary label information.
3. The radial basis function neural network-based non-line-of-sight error suppression method according to claim 2, wherein: selecting N in step 3.1 by using quantum artificial bee colony algorithm in step 3.2vectorThe method for generating the central vector specifically comprises the following steps:
(3.2.1) initializing quantum populations and bee colony parameters;
(3.2.2) computing initial quantum-encoded honey sources, i.e. a set of solutions of the central vector in said step 3.2;
(3.2.3) leading bees to search and update quantum-coded honey sources, namely searching and updating a group of solutions of the central vector in the step 3.2 and calculating the fitness of the solutions; and calculating the fitness thereof;
Figure FDA0002934974410000022
wherein i is a honey source identifier, fitiFitness, function, of a honey source with identifier iiAn objective function of a honey source with an identifier of i;
(3.2.4) the follower bees update the quantum-coded honey sources, namely a set of solutions of the central vector in the step 3.2, according to the honey source information searched by the leading bees in the step 3.2.3;
(3.2.5) the scout bee uses the quantum logic gate to update the transfer matrix, search and update the quantum-coded honey source, i.e. update a set of solutions of the central vector in the step 3.2, and calculate its fitness;
(3.2.6) recording the information of the current best solution of the central vector and the fitness thereof;
(3.2.7) if the maximum iteration number is reached, outputting the currently recorded optimal solution of the central vector; otherwise, step 3.2.3 to step 3.2.7 are repeated.
CN202010216383.1A2020-03-252020-03-25 A non-line-of-sight error suppression method based on radial basis function neural networkActiveCN111432364B (en)

Priority Applications (1)

Application NumberPriority DateFiling DateTitle
CN202010216383.1ACN111432364B (en)2020-03-252020-03-25 A non-line-of-sight error suppression method based on radial basis function neural network

Applications Claiming Priority (1)

Application NumberPriority DateFiling DateTitle
CN202010216383.1ACN111432364B (en)2020-03-252020-03-25 A non-line-of-sight error suppression method based on radial basis function neural network

Publications (2)

Publication NumberPublication Date
CN111432364A CN111432364A (en)2020-07-17
CN111432364Btrue CN111432364B (en)2021-05-11

Family

ID=71549460

Family Applications (1)

Application NumberTitlePriority DateFiling Date
CN202010216383.1AActiveCN111432364B (en)2020-03-252020-03-25 A non-line-of-sight error suppression method based on radial basis function neural network

Country Status (1)

CountryLink
CN (1)CN111432364B (en)

Families Citing this family (1)

* Cited by examiner, † Cited by third party
Publication numberPriority datePublication dateAssigneeTitle
CN111948622A (en)*2020-08-072020-11-17哈尔滨工程大学Linear frequency modulation radar signal TOA estimation algorithm based on parallel CNN-LSTM

Citations (4)

* Cited by examiner, † Cited by third party
Publication numberPriority datePublication dateAssigneeTitle
CN103561463A (en)*2013-10-242014-02-05电子科技大学RBF neural network indoor positioning method based on sample clustering
CN108734321A (en)*2018-05-172018-11-02江苏大学A kind of short-term load forecasting method based on the Elman neural networks for improving ABC algorithms
CN110488222A (en)*2019-08-192019-11-22杭州电子科技大学The UWB localization method that SVM is combined with barycentric coodinates under the conditions of a kind of NLOS
CN110823215A (en)*2019-10-252020-02-21南京航空航天大学 A UAV Relative Navigation Information Fusion Method

Family Cites Families (1)

* Cited by examiner, † Cited by third party
Publication numberPriority datePublication dateAssigneeTitle
TWI544822B (en)*2014-12-172016-08-01緯創資通股份有限公司Signal strength distribution establishing method and wireless positioning system

Patent Citations (4)

* Cited by examiner, † Cited by third party
Publication numberPriority datePublication dateAssigneeTitle
CN103561463A (en)*2013-10-242014-02-05电子科技大学RBF neural network indoor positioning method based on sample clustering
CN108734321A (en)*2018-05-172018-11-02江苏大学A kind of short-term load forecasting method based on the Elman neural networks for improving ABC algorithms
CN110488222A (en)*2019-08-192019-11-22杭州电子科技大学The UWB localization method that SVM is combined with barycentric coodinates under the conditions of a kind of NLOS
CN110823215A (en)*2019-10-252020-02-21南京航空航天大学 A UAV Relative Navigation Information Fusion Method

Non-Patent Citations (3)

* Cited by examiner, † Cited by third party
Title
Neural Network Localization With TOA Measurements Based on Error Learning and Matching;Shixun Wu et.al;《IEEE Access》;20190204;全文*
基于人工蜂群算法优化RBF 神经网络的光伏组件故障诊断定位方法;郝思鹏 等;《供用电》;20191005;正文第2节*
非视距传播环境下的 AOA 定位跟踪算法;毛永毅 等;《计算机应用》;20110427;正文第2节、3.2节*

Also Published As

Publication numberPublication date
CN111432364A (en)2020-07-17

Similar Documents

PublicationPublication DateTitle
Liu et al.Reinforcement learning-based multislot double-threshold spectrum sensing with Bayesian fusion for industrial big spectrum data
CN110298663B (en) Fraudulent Transaction Detection Method Based on Sequence Wide and Deep Learning
CN106376002B (en)Management method and device and spam monitoring system
CN116596095B (en)Training method and device of carbon emission prediction model based on machine learning
CN108470022B (en)Intelligent work order quality inspection method based on operation and maintenance management
CN109151750B (en) A floor discrimination method for LTE indoor positioning based on recurrent neural network model
CN114844840B (en) A method for out-of-distribution network traffic data detection based on calculated likelihood ratio
CN113347559B (en)Strong robustness wireless positioning method based on deep learning
CN111366820A (en)Pattern recognition method, device, equipment and storage medium for partial discharge signal
CN109145114B (en) Social network event detection method based on Kleinberg online state machine
CN114943260B (en) Traffic scene identification method, device, equipment and storage medium
Cui et al.Improved genetic algorithm to optimize the Wi-Fi indoor positioning based on artificial neural network
CN107679484A (en)A kind of Remote Sensing Target automatic detection and recognition methods based on cloud computing storage
CN111432364B (en) A non-line-of-sight error suppression method based on radial basis function neural network
CN107817466A (en)Based on the indoor orientation method for stacking limited Boltzmann machine and random forests algorithm
CN119046168A (en)Novel self-adaptive sequencing method for test cases of train operation control system
CN109977131A (en)A kind of house type matching system
CN114358058A (en)Wireless communication signal open set identification method and system based on deep neural network
CN118862004A (en) Multifunctional radar waveform unit boundary recognition method based on multi-dimensional features
Wang et al.FCM algorithm and index CS for the signal sorting of radiant points
CN117851850A (en)User journey recognition method and device based on neural network
CN111798237B (en)Abnormal transaction diagnosis method and system based on application log
CN108668254A (en) Regional positioning method based on WiFi signal features of improved BP neural network
CN113194426A (en)Fingerprint library updating method, device, equipment and computer storage medium
CN114782000A (en)Family relation identification method, device, equipment, medium and product

Legal Events

DateCodeTitleDescription
PB01Publication
PB01Publication
SE01Entry into force of request for substantive examination
SE01Entry into force of request for substantive examination
GR01Patent grant
GR01Patent grant

[8]ページ先頭

©2009-2025 Movatter.jp