

技术领域technical field
本发明涉及一种多目标协同优化的多微网能量管理方法,为了降低微网的运行成本以及减少系统损耗、电压降和温室气体排放,引入独立性能指标(IndependencePerformance Index,IPI)减少与主电网的能量交换。The invention relates to a multi-microgrid energy management method for multi-objective collaborative optimization. In order to reduce the operating cost of microgrids and reduce system losses, voltage drops and greenhouse gas emissions, an independent performance index (IndependencePerformance Index, IPI) is introduced to reduce the number of grids associated with the main grid. energy exchange.
背景技术Background technique
多微网能量管理有两种策略:竞争与合作策略。在竞争策略中,每个实体都有一个试图优化其目标的运营商。通常多微网和分布式网络运营商之间的竞争模型以最小化每个参与者的成本为目标。合作博弈注重群体形成、联合行动和集体收益。合作博弈比竞争策略提供了一种更直接的方法,并且在没有任何讨价还价假设的情况下对博弈进行分析。因此,合作策略在多微网能量管理中更受重视。There are two strategies for multi-microgrid energy management: competition and cooperation strategies. In a competitive strategy, each entity has an operator trying to optimize its goals. Usually the competition model between multi-piconet and distributed network operators aims to minimize the cost per participant. Cooperative games focus on group formation, joint action and collective benefits. Cooperative games offer a more direct approach than competitive strategies, and the game is analyzed without any bargaining assumptions. Therefore, cooperative strategies are more important in multi-microgrid energy management.
在现有关于多微网能量管理策略的发明中,存在以下问题:(1)整体策略为单一目标函数,主要以系统总运行成本最小为目标,缺乏对系统损耗、电压降和碳排放等因素的考虑。(2)未对系统内风电和光伏的出力不确定性进行考虑。In the existing inventions on energy management strategies for multi-microgrids, there are the following problems: (1) The overall strategy is a single objective function, which mainly aims at minimizing the total operating cost of the system, and lacks factors such as system loss, voltage drop, and carbon emissions. consideration. (2) The output uncertainty of wind power and photovoltaics in the system is not considered.
发明内容SUMMARY OF THE INVENTION
为了克服已有技术的不足,本发明提供了一种多目标协同优化的多微网能量管理方法,综合考虑系统损耗、电压降和碳排放因素,同时对系统内风电和光伏的出力不确定性进行考虑。In order to overcome the shortcomings of the prior art, the present invention provides a multi-microgrid energy management method with multi-objective collaborative optimization, which comprehensively considers the system loss, voltage drop and carbon emission factors, and at the same time has the uncertainty of the output of wind power and photovoltaic in the system. Consider.
本发明解决其技术问题所采用的技术方案是:The technical scheme adopted by the present invention to solve its technical problems is:
一种多目标协同优化的多微网能量管理方法,包括以下步骤:A multi-microgrid energy management method for multi-objective collaborative optimization, comprising the following steps:
1)场景生成和削减,过程如下:1) Scene generation and reduction, the process is as follows:
首先,假定每个不确定输入都有一个概率密度函数(Probability DensityFunction,PDF),得到每个不确定参数的场景,接着通过减少场景数量来提高优化的计算速度;First, it is assumed that each uncertain input has a probability density function (Probability DensityFunction, PDF), and the scene of each uncertain parameter is obtained, and then the calculation speed of optimization is improved by reducing the number of scenes;
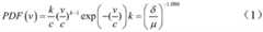
根据可再生能源发电特性,利用Weibull和Beta分布来描述参数风速和光照强度的PDF,Weibull分布如下:According to the characteristics of renewable energy generation, Weibull and Beta distributions are used to describe the PDF of the parameters wind speed and light intensity. The Weibull distribution is as follows:
式中:v为风速,k为形状参数,c为比例参数,μ和δ分别为风速的平均值和标准差,Γ()为gamma函数;where v is the wind speed, k is the shape parameter, c is the scale parameter, μ and δ are the mean and standard deviation of the wind speed, respectively, and Γ() is the gamma function;
对于光照强度概率密度函数,用Bate分布描述:For the light intensity probability density function, it is described by the Bate distribution:
式中:L为光照强度,a和b为分布参数,θ和γ分别为晴空指数的均值和标准差;where L is the light intensity, a and b are the distribution parameters, θ and γ are the mean and standard deviation of the clear sky index, respectively;
由于PDF中不可能有无限集,因此需要从PDF中选择一组间隔,nx是每个场景的间隔数,每个场景概率计算方法如式(6)和(7):Since it is impossible to have infinite sets in the PDF, it is necessary to select a set of intervals from the PDF, nx is the number of intervals for each scene, and the probability calculation method for each scene is as formulas (6) and (7):
式中:x表示不确定随机变量,例如光照强度或风速;为场景nx概率;Nx为最大场景数;为场景nx期望值;和分别为场景nx起始值和结束值;Where: x represents an uncertain random variable, such as light intensity or wind speed; is the probability of scene nx ; Nx is the maximum number of scenes; is the expected value of scene nx ; and are the starting value and ending value of scene nx respectively;
由式(8)和(9)计算出场景总数量Ns和场景向量概率ρs:The total number of scenes Ns and the scene vector probability ρs are calculated from equations (8) and (9):
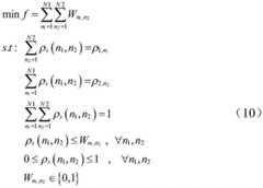
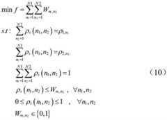
采用混合整数线性规划场景削减技术,保留典型场景,如式(10):The mixed integer linear programming scene reduction technique is adopted to retain typical scenes, such as formula (10):
使用该技术找到所需最小场景数,在上述公式中,为二元变量表示n1和n2场景的选择,参数ρs(n1,n2)表示场景n1和n2的发生概率;Use this technique to find the minimum number of scenes required, in the above formula, For binary variables to represent the selection of n1 and n2 scenarios, the parameter ρs (n1 , n2 ) represents the occurrence probability of scenarios n1 and n2;
2)多目标优化函数建立,过程如下:2) Multi-objective optimization function is established, and the process is as follows:
2.1)目标1:多微网运行成本如式(1)-(10):2.1) Goal 1: The operating cost of multiple microgrids is as shown in equations (1)-(10):
MinCost=Min[CostPV+CostWT+CostDG+CostFC+CostMT+CostCL+CostGrid] (11)MinCost=Min[CostPV +CostWT +CostDG +CostFC +CostMT +CostCL +CostGrid ] (11)
式中:CostPV、CostWT、CostDG、CostFC、CostMT、CostCL、CostGrid分别表示光伏、风机、柴油发电机、燃料电池、燃气轮机、减载和向电网购电所需成本,分别为各装置的运维成本,分别为各装置所消耗燃料成本,分别为各装置运维成本系数,km为微网m柴油发电机在最低发电量下运行成本,Im,t为微网m柴油发电机机组状态;ΔT为时间间隔长度,πm,n为微网m中柴油发电机线性发电成本函数,Pm,n,t为t时刻微网m中柴油发电机分段线性发电成本函数第n分段的上限功率,Cng/Lng为燃料价格系数,分别为t时刻微网m各装置发电功率,PtGrid为t时刻整个系统向主网购电功率,为t时刻微网m的负荷削减功率,CCL为惩罚成本,与分别为t时刻微网m燃料电池和燃汽轮机的发电效率,为t时刻整个系统向主网购电成本系数,NM为微网个数,NT为最大时间,设为24;where: CostPV , CostWT , CostDG , CostFC , CostMT , CostCL , and CostGrid represent the costs of photovoltaics, wind turbines, diesel generators, fuel cells, gas turbines, load shedding and power purchases from the grid, respectively, are the operation and maintenance costs of each device, respectively. are the fuel costs consumed by each device, respectively, are the operation and maintenance cost coefficients of each device, km is the operating cost of the microgridm diesel generators at the lowest power generation,Im,t is the state of the microgrid m diesel generator sets; ΔT is the time interval length, πm,n is the linear power generation cost function of the diesel generator in the microgrid m, Pm,n,t is the upper limit power of the nth segment of the piecewise linear power generation cost function of the diesel generator in the microgrid m at time t, and Cng /Lng is the fuel price factor, are the power generated by each device of the microgrid m at time t, and PtGrid is the power purchased by the entire system from the main grid at time t, is the load reduction power of the microgrid m at time t, CCL is the penalty cost, and are the power generation efficiencies of the microgrid m fuel cell and gas turbine at time t, respectively, is the power purchase cost coefficient of the whole system from the main grid at time t, NM is the number of microgrids, NT is the maximum time, set to 24;
式(11)为多微网总运行成本,式(12)和(13)分别为光伏与风机运维成本,式(14)~(15)分别为柴油发电机总成本、消耗的燃料成本与运维成本,式(17)和(18)为燃料电池与燃气轮机所花成本,式(19)为减载所造成的惩罚成本,式(20)为向主网购电成本;Equation (11) is the total operating cost of the multi-microgrid; Equations (12) and (13) are the operation and maintenance costs of photovoltaics and wind turbines, respectively; Equations (14) to (15) are the total cost of diesel generators, the fuel cost and the Operation and maintenance cost, equations (17) and (18) are the cost of fuel cells and gas turbines, equation (19) is the penalty cost caused by load shedding, and equation (20) is the cost of purchasing electricity from the main grid;
2.2)目标2:独立性能指数2.2) Objective 2: Independent Performance Index
式中:IPIMMG为多微网独立性能指数,为t时刻微网m的总负荷功率,为t时刻微网m的柔性负荷功率,为t时刻微网m的刚性负荷功率;where: IPIMMG is the multi-microgrid independent performance index, is the total load power of microgrid m at time t, is the flexible load power of the microgrid m at time t, is the rigid load power of the microgrid m at time t;
2.3)将两个目标函数统一表示:2.3) Express the two objective functions uniformly:
Max(f1(x),f2(x),...,fk(x)) (23)Max(f1 (x),f2 (x),...,fk (x)) (23)
s.t:x∈X (24)s.t:x∈X(24)
式中:k为目标数量,X为决策变量的可行解集合,fk(x)为第k各子目标函数;In the formula: k is the number of objectives, X is the feasible solution set of decision variables, and fk (x) is the kth sub-objective function;
3)CP求解算法,过程如下:3) CP solution algorithm, the process is as follows:
确定一个乌托邦式的解,以该解作为决策的参考点,基于引入的距离概念,找出最接近理想解的解集,利用CP方法能够将原多目标优化问题转化为单目标优化问题,从而求解。Determine a utopian solution, use the solution as a reference point for decision-making, and find out the solution set closest to the ideal solution based on the introduced distance concept, and use the CP method to convert the original multi-objective optimization problem into a single-objective optimization problem, so that Solve.
进一步,所述步骤3)中,CP法的公式为:Further, in described step 3), the formula of CP method is:
式中:Wi为权重向量,fi和fi*分别为单目标模型的最优解和理想解,1/P次幂表示了决策者对距离概念的态度,P取1、2或者无穷;In the formula: Wi is the weight vector, fi and fi* are the optimal solution and ideal solution of the single-objective model, respectively, the 1/P power represents the decision maker's attitude towards the concept of distance, and P is 1, 2 or infinite. ;
根据不同的1/P取值,定义不同的距离:According to different 1/P values, define different distances:
3.1)当P=1时,计算理想解与各最优帕累托解之间的笛卡尔距离。最优解与理想解的距离最小;3.1) When P=1, calculate the Cartesian distance between the ideal solution and each optimal Pareto solution. The distance between the optimal solution and the ideal solution is the smallest;
3.2)当P=2时,计算理想解与各最优解之间的欧氏距离,解c的欧氏距离等于AC;3.2) When P=2, calculate the Euclidean distance between the ideal solution and each optimal solution, and the Euclidean distance of the solution c is equal to AC;
3.3)当P=∞时,该距离需根据切比雪夫距离计算得出,最优解与理想解的切比雪夫距离最小,这种距离是在向量空间上定义的度量,在向量空间中,两个向量之间的距离是它们在任何坐标维度上的最大差异,令式(25)中P=∞,则3.3) When P=∞, the distance needs to be calculated according to the Chebyshev distance. The Chebyshev distance between the optimal solution and the ideal solution is the smallest. This distance is a measure defined in the vector space. In the vector space, The distance between two vectors is their maximum difference in any coordinate dimension. Let P=∞ in equation (25), then
式(26)变为Equation (26) becomes
利用线性规划将式(27)转换为(28)Convert equation (27) to (28) using linear programming
式中:ξ为最小-最大(Min-Max)方法的自由变量;where: ξ is the free variable of the Min-Max method;
P的每一个值都提供了一个位于Pareto前沿的解,基于最优化理论,这些解决方案并不占主导地位,因此,P值的选择取决于多微网操作员的偏好。Every value of P provides a solution that lies on the Pareto front, and based on optimization theory, these solutions are not dominant, therefore, the choice of the value of P depends on the preference of the multi-piconet operator.
本发明的技术构思为;多目标决策是多准则决策的一个领域,它需要同时优化非齐次目标函数。目前解决多目标规划问题方法有很多,如目标规划、模糊决策、Epsilo约束等。将原多目标优化问题转化为一次或多次求解的单目标优化问题。本发明采用妥协规划(Compromise Programming,CP)的方法,该方法主要优点在于简单并且能够结合非齐次目标函数。本发明针对多微网系统提出了一种多目标协同优化的能量管理方法,该方法由三部分组成,第一部分为针对系统内风电和光伏出力不确定利用场景生成和场景削减技术对其进行建模,获得风电和光伏功率输出函数;本发明目标函数包含微网运行总成本最小和独立性能指标最大,因此在第二部分主要是叙述多目标函数的建立;在第三部分介绍了CP求解算法。The technical idea of the present invention is that multi-objective decision-making is a field of multi-criteria decision-making, which requires simultaneous optimization of non-homogeneous objective functions. At present, there are many methods for solving multi-objective programming problems, such as objective programming, fuzzy decision-making, and Epsilo constraints. Transform the original multi-objective optimization problem into a single-objective optimization problem that can be solved one or more times. The present invention adopts the method of Compromise Programming (CP), the main advantage of which is that it is simple and can combine inhomogeneous objective functions. The present invention proposes a multi-objective collaborative optimization energy management method for a multi-microgrid system. The method consists of three parts. The first part is to use the scene generation and scene reduction technology to build the uncertain wind power and photovoltaic output in the system. The objective function of the present invention includes the minimum total cost of microgrid operation and the maximum independent performance index, so the second part mainly describes the establishment of multi-objective functions; the third part introduces the CP solution algorithm .
本发明以系统运行成本和独立性能指标最大为目标,提出一种多目标协同优化的多微电网能量管理方法。本发明的有益效果主要表现在:(1)引入独立性能指标,旨在考虑微网与主网的独立性,它可以同时替代多个目标。因为随着微网独立性的增强,能源将由本地供应,因此电力将通过更短线路传输,降低了电压降和系统损耗;另一方面,为了增强微网的独立性,当地资源会产生更多的能量,并且由于当地资源的排放系数降低,因此次总排放量会降低;(2)考虑到风电和光伏出力的不确定性,提出了一个随机模型;(3)采用了适合于非齐次目标组合的随机妥协规划方法。The invention aims at maximizing the system operating cost and independent performance index, and proposes a multi-microgrid energy management method with multi-objective collaborative optimization. The beneficial effects of the present invention are mainly manifested in: (1) Introducing an independent performance index, aiming at considering the independence of the micro-grid and the main network, it can replace multiple targets at the same time. Because as the independence of the microgrid increases, energy will be supplied locally, so electricity will be transmitted over shorter lines, reducing voltage drops and system losses; on the other hand, to increase the independence of the microgrid, local resources will generate more energy, and the sub-total emissions will decrease due to the reduction in the emission coefficient of local resources; (2) a stochastic model is proposed considering the uncertainty of wind and photovoltaic output; (3) a stochastic model suitable for non-homogeneous A Stochastic Compromise Planning Method for Target Combinations.
附图说明Description of drawings
图1是一种多目标协同优化的多微网能量管理方法的流程图。FIG. 1 is a flow chart of a multi-microgrid energy management method for multi-objective collaborative optimization.
图2是理想点和CP法的示意图。Figure 2 is a schematic diagram of the ideal point and CP method.
具体实施方式Detailed ways
下面结合附图对本发明作进一步描述。The present invention will be further described below in conjunction with the accompanying drawings.
参照图1和图2,一种多目标协同优化的多微网能量管理方法,包括以下步骤:1 and 2, a multi-microgrid energy management method for multi-objective collaborative optimization, comprising the following steps:
1)场景生成和削减,过程如下:1) Scene generation and reduction, the process is as follows:
可再生能源发电具有高度的随机性,本发明针对系统内存在的风电和光伏不确定性,提出了一种场景生成与削减技术。Renewable energy power generation has a high degree of randomness, and the present invention proposes a scene generation and reduction technology for the uncertainty of wind power and photovoltaics existing in the system.
首先,假定每个不确定输入(如风速和光照强度)都有一个概率密度函数(Probability Density Function,PDF),得到每个不确定参数的场景,接着通过减少场景数量来提高优化的计算速度;First, assume that each uncertain input (such as wind speed and light intensity) has a Probability Density Function (PDF) to obtain the scene of each uncertain parameter, and then reduce the number of scenes to improve the calculation speed of optimization;
根据可再生能源发电特性,可以利用Weibull和Beta分布来描述参数风速和光照强度的PDF,Weibull分布如下:According to the characteristics of renewable energy generation, Weibull and Beta distributions can be used to describe the PDF of the parameters wind speed and light intensity. The Weibull distribution is as follows:
式中:v为风速,k为形状参数,c为比例参数,μ和δ分别为风速的平均值和标准差,Γ()为gamma函数;where v is the wind speed, k is the shape parameter, c is the scale parameter, μ and δ are the mean and standard deviation of the wind speed, respectively, and Γ() is the gamma function;
对于光照强度概率密度函数,用Bate分布描述:For the light intensity probability density function, it is described by the Bate distribution:
式中:L为光照强度,a和b为分布参数,θ和γ分别为晴空指数的均值和标准差;where L is the light intensity, a and b are the distribution parameters, θ and γ are the mean and standard deviation of the clear sky index, respectively;
由于PDF中不可能有无限集,因此需要从PDF中选择一组间隔,nx是每个场景的间隔数,每个场景概率计算方法如式(6)和(7):Since it is impossible to have infinite sets in the PDF, it is necessary to select a set of intervals from the PDF, nx is the number of intervals for each scene, and the probability calculation method for each scene is as formulas (6) and (7):
式中:x表示不确定随机变量,例如光照强度或风速;为场景nx概率;Nx为最大场景数;为场景nx期望值;和分别为场景nx起始值和结束值;Where: x represents an uncertain random variable, such as light intensity or wind speed; is the probability of scene nx ; Nx is the maximum number of scenes; is the expected value of scene nx ; and are the starting value and ending value of scene nx respectively;
由式(8)和(9)计算出场景总数量Ns和场景向量ρsThe total number of scenes Ns and the scene vector ρs are calculated from equations (8) and (9)
若在计算时考虑所有场景,则需要大量的计算时间,因此本发明采用了混合整数线性规划场景削减技术,保留典型场景,该技术如式(10):If all the scenarios are considered in the calculation, it will take a lot of calculation time, so the present invention adopts the mixed integer linear programming scenario reduction technology to retain the typical scenarios, and the technology is as formula (10):
使用该技术找到所需最小场景数,在上述公式中,为二元变量表示n1和n2场景的选择,参数ρs(n1,n2)表示场景n1和n2的发生概率;Use this technique to find the minimum number of scenes required, in the above formula, For binary variables to represent the selection of n1 and n2 scenarios, the parameter ρs (n1 , n2 ) represents the occurrence probability of scenarios n1 and n2;
2)多目标优化函数建立,过程如下:2) Multi-objective optimization function is established, and the process is as follows:
2.1)目标1:多微网运行成本如式(1)-(10):2.1) Goal 1: The operating cost of multiple microgrids is as shown in equations (1)-(10):
MinCost=Min[CostPV+CostWT+CostDG+CostFC+CostMT+CostCL+CostGrid] (11)MinCost=Min[CostPV +CostWT +CostDG +CostFC +CostMT +CostCL +CostGrid ] (11)
式中:CostPV、CostWT、CostDG、CostFC、CostMT、CostCL、CostGrid分别表示光伏、风机、柴油发电机、燃料电池、燃气轮机、减载和向电网购电所需成本,分别为各装置的运维成本,分别为各装置所消耗燃料成本,分别为各装置运维成本系数,km为微网m柴油发电机在最低发电量下运行成本,Im,t为微网m柴油发电机机组状态;ΔT为时间间隔长度,πm,n为微网m中柴油发电机线性发电成本函数,Pm,n,t为t时刻微网m中柴油发电机分段线性发电成本函数第n分段的上限功率,Cng/Lng为燃料价格系数,分别为t时刻微网m各装置发电功率,PtGrid为t时刻整个系统向主网购电功率,为t时刻微网m的负荷削减功率,CCL为惩罚成本,与分别为t时刻微网m燃料电池和燃汽轮机的发电效率,为t时刻整个系统向主网购电成本系数,NM为微网个数,NT为最大时间,设为24;where: CostPV , CostWT , CostDG , CostFC , CostMT , CostCL , and CostGrid represent the costs of photovoltaics, wind turbines, diesel generators, fuel cells, gas turbines, load shedding and power purchases from the grid, respectively, are the operation and maintenance costs of each device, respectively. are the fuel costs consumed by each device, respectively, are the operation and maintenance cost coefficients of each device, km is the operating cost of the microgridm diesel generators at the lowest power generation,Im,t is the state of the microgrid m diesel generator sets; ΔT is the time interval length, πm,n is the linear power generation cost function of the diesel generator in the microgrid m, Pm,n,t is the upper limit power of the nth segment of the piecewise linear power generation cost function of the diesel generator in the microgrid m at time t, and Cng /Lng is the fuel price factor, are the power generated by each device of the microgrid m at time t, and PtGrid is the power purchased by the entire system from the main grid at time t, is the load reduction power of the microgrid m at time t, CCL is the penalty cost, and are the power generation efficiencies of the microgrid m fuel cell and gas turbine at time t, respectively, is the power purchase cost coefficient of the whole system from the main grid at time t, NM is the number of microgrids, NT is the maximum time, set to 24;
式(11)为多微网总运行成本,式(12)和(13)分别为光伏与风机运维成本,式(14)~(15)分别为柴油发电机总成本、消耗的燃料成本与运维成本,式(17)和(18)为燃料电池与燃气轮机所花成本,式(19)为减载所造成的惩罚成本,式(20)为向主网购电成本;Equation (11) is the total operating cost of the multi-microgrid; Equations (12) and (13) are the operation and maintenance costs of photovoltaics and wind turbines, respectively; Equations (14) to (15) are the total cost of diesel generators, the fuel cost and the Operation and maintenance cost, equations (17) and (18) are the cost of fuel cells and gas turbines, equation (19) is the penalty cost caused by load shedding, and equation (20) is the cost of purchasing electricity from the main grid;
2.2)目标2:独立性能指数2.2) Objective 2: Independent Performance Index
式中:IPIMMG为多微网独立性能指数,为t时刻微网m的总负荷功率,为t时刻微网m的柔性负荷功率,为t时刻微网m的刚性负荷功率;where: IPIMMG is the multi-microgrid independent performance index, is the total load power of microgrid m at time t, is the flexible load power of the microgrid m at time t, is the rigid load power of the microgrid m at time t;
2.3)将两个目标函数统一表示:2.3) Express the two objective functions uniformly:
Max(f1(x),f2(x),...,fk(x)) (23)Max(f1 (x),f2 (x),...,fk (x)) (23)
s.t:x∈X (24)s.t:x∈X(24)
式中:k为目标数量,X为决策变量的可行解集合,fk(x)为第k各子目标函数;In the formula: k is the number of objectives, X is the feasible solution set of decision variables, and fk (x) is the kth sub-objective function;
3)CP求解算法,过程如下:3) CP solution algorithm, the process is as follows:
该方法基本思想是确定一个乌托邦式的解,以该解作为决策的参考点,基于引入的距离概念,找出最接近理想解的解集,利用CP方法能够将原多目标优化问题转化为单目标优化问题,从而求解。The basic idea of this method is to determine a utopian solution, take the solution as the reference point for decision-making, and find the solution set closest to the ideal solution based on the introduced distance concept. The CP method can be used to transform the original multi-objective optimization problem into a single The objective optimization problem is solved.
CP法的公式为:The formula of the CP method is:
式中:Wi为权重向量,fi和fi*分别为单目标模型的最优解和理想解,1/P次幂表示了决策者对距离概念的态度,P可以取1、2或者无穷。In the formula: Wi is the weight vector, fi and fi* are the optimal solution and ideal solution of the single-objective model, respectively, the 1/P power represents the decision maker's attitude towards the concept of distance, and P can be 1, 2 or endless.
图2展示了最大化F1和F2的多目标优化问题,其中在Z中的DCE线段为最优帕累托解的集合,点是理想解。Figure 2 shows the multi-objective optimization problem of maximizing F1 and F2, where the DCE line segment in Z is the set of optimal Pareto solutions, point is the ideal solution.
根据不同的1/P取值,定义不同的距离:According to different 1/P values, define different distances:
3.1)当P=1时,计算理想解与各最优帕累托解之间的笛卡尔距离。最优解与理想解的距离最小,例如:解c的笛卡尔距离为AB+BC;3.1) When P=1, calculate the Cartesian distance between the ideal solution and each optimal Pareto solution. The distance between the optimal solution and the ideal solution is the smallest, for example: the Cartesian distance of solution c is AB+BC;
3.2)当P=2时,计算理想解与各最优解之间的欧氏距离。解c的欧氏距离等于AC;3.2) When P=2, calculate the Euclidean distance between the ideal solution and each optimal solution. The Euclidean distance of the solution c is equal to AC;
3.3)当P=∞时,该距离需根据切比雪夫距离计算得出,最优解与理想解的切比雪夫距离最小。这种距离是在向量空间上定义的度量,在向量空间中,两个向量之间的距离是它们在任何坐标维度上的最大差异,令式(25)中P=∞,则3.3) When P=∞, the distance should be calculated according to the Chebyshev distance, and the Chebyshev distance between the optimal solution and the ideal solution is the smallest. This distance is a measure defined on a vector space. In the vector space, the distance between two vectors is their maximum difference in any coordinate dimension. Let P = ∞ in Eq. (25), then
式(26)变为Equation (26) becomes
利用线性规划将式(27)转换为(28)Convert equation (27) to (28) using linear programming
式中:ξ为最小-最大(Min-Max)方法的自由变量;where: ξ is the free variable of the Min-Max method;
P的每一个值都提供了一个位于Pareto前沿的解,基于最优化理论,这些解决方案并不占主导地位,因此,P值的选择取决于多微网操作员的偏好。Every value of P provides a solution that lies on the Pareto front, and based on optimization theory, these solutions are not dominant, therefore, the choice of the value of P depends on the preference of the multi-piconet operator.
| Application Number | Priority Date | Filing Date | Title |
|---|---|---|---|
| CN202010114851.4ACN111428909B (en) | 2020-02-25 | 2020-02-25 | Multi-micro-grid energy management method based on multi-objective collaborative optimization |
| Application Number | Priority Date | Filing Date | Title |
|---|---|---|---|
| CN202010114851.4ACN111428909B (en) | 2020-02-25 | 2020-02-25 | Multi-micro-grid energy management method based on multi-objective collaborative optimization |
| Publication Number | Publication Date |
|---|---|
| CN111428909Atrue CN111428909A (en) | 2020-07-17 |
| CN111428909B CN111428909B (en) | 2022-12-06 |
| Application Number | Title | Priority Date | Filing Date |
|---|---|---|---|
| CN202010114851.4AActiveCN111428909B (en) | 2020-02-25 | 2020-02-25 | Multi-micro-grid energy management method based on multi-objective collaborative optimization |
| Country | Link |
|---|---|
| CN (1) | CN111428909B (en) |
| Publication number | Priority date | Publication date | Assignee | Title |
|---|---|---|---|---|
| CN114219214A (en)* | 2021-11-16 | 2022-03-22 | 国网辽宁省电力有限公司经济技术研究院 | Power grid comprehensive risk assessment system considering new energy and electric automobile access |
| Publication number | Priority date | Publication date | Assignee | Title |
|---|---|---|---|---|
| CN106655267A (en)* | 2016-12-26 | 2017-05-10 | 上海电力学院 | Energy local area network considering multi-micro-grid interaction and control method |
| US20170262007A1 (en)* | 2016-03-10 | 2017-09-14 | Macau University Of Science And Technology | Multi-agent oriented method for forecasting-based control with load priority of microgrid in island mode |
| CN107292449A (en)* | 2017-07-18 | 2017-10-24 | 广东双新电气科技有限公司 | One kind is containing the scattered collaboration economic load dispatching method of many microgrid active distribution systems |
| CN107622324A (en)* | 2017-09-01 | 2018-01-23 | 燕山大学 | A kind of robust environmental economy dispatching method for considering more microgrid energy interactions |
| Publication number | Priority date | Publication date | Assignee | Title |
|---|---|---|---|---|
| US20170262007A1 (en)* | 2016-03-10 | 2017-09-14 | Macau University Of Science And Technology | Multi-agent oriented method for forecasting-based control with load priority of microgrid in island mode |
| CN106655267A (en)* | 2016-12-26 | 2017-05-10 | 上海电力学院 | Energy local area network considering multi-micro-grid interaction and control method |
| CN107292449A (en)* | 2017-07-18 | 2017-10-24 | 广东双新电气科技有限公司 | One kind is containing the scattered collaboration economic load dispatching method of many microgrid active distribution systems |
| CN107622324A (en)* | 2017-09-01 | 2018-01-23 | 燕山大学 | A kind of robust environmental economy dispatching method for considering more microgrid energy interactions |
| Title |
|---|
| DA XU 等: "Distributed Multienergy Coordination of Multimicrogrids With Biogas-Solar-Wind Renewables", 《IEEE》* |
| 陈奇芳: "用户侧智能用电集成系统的自律协同能量管理优化方法", 《万方数据库》* |
| Publication number | Priority date | Publication date | Assignee | Title |
|---|---|---|---|---|
| CN114219214A (en)* | 2021-11-16 | 2022-03-22 | 国网辽宁省电力有限公司经济技术研究院 | Power grid comprehensive risk assessment system considering new energy and electric automobile access |
| Publication number | Publication date |
|---|---|
| CN111428909B (en) | 2022-12-06 |
| Publication | Publication Date | Title |
|---|---|---|
| CN113394817B (en) | Multi-energy capacity optimal configuration method of wind, light, water and fire storage system | |
| CN105591406B (en) | A kind of optimized algorithm of the microgrid energy management system based on non-cooperative game | |
| WO2022048127A1 (en) | Optimization and regulation method and system for thermoelectric heat pump-thermoelectricity combined system | |
| CN114662752B (en) | Comprehensive energy system operation optimization method based on price type demand response model | |
| CN110138006A (en) | Consider more micro electric network coordination Optimization Schedulings containing New-energy electric vehicle | |
| Mohamed et al. | Microgrid online management and balancing using multiobjective optimization | |
| CN113988392B (en) | Micro-grid optimization planning method considering reliability demand response | |
| CN114050609B (en) | Adaptive robust day-ahead optimization scheduling method for high-proportion new energy power system | |
| CN108808737A (en) | Promote the active distribution network Optimization Scheduling of renewable distributed generation resource consumption | |
| CN116914743A (en) | Source network load storage cooperative operation method of power system | |
| CN117578622A (en) | Energy sharing-based multi-microgrid power distribution system optimal scheduling method and device | |
| CN116090325A (en) | Multi-objective optimization method for microgrid based on Tent chaotic map NSGA-II algorithm | |
| CN110190615A (en) | A control strategy optimization method for microgrid energy storage system | |
| Aiswariya et al. | Optimal microgrid battery scheduling using simulated annealing | |
| CN116706949A (en) | Energy storage optimal configuration method, system, equipment and medium for new energy system | |
| CN117335431A (en) | A distributed coordination and optimization method for multi-microgrid interconnected systems considering virtual energy storage | |
| CN114329857A (en) | Distributed power supply planning method based on improved whale algorithm | |
| CN112883630A (en) | Day-ahead optimized economic dispatching method for multi-microgrid system for wind power consumption | |
| CN116488183A (en) | An Optimal Dispatch Method for Distribution Networks Containing Distributed Power | |
| CN116191575A (en) | Operation control method and system for participation of optical storage system in power grid voltage regulation auxiliary service | |
| CN116073417A (en) | Power distribution network source-network-load-storage joint planning method considering comprehensive performance | |
| CN111428909B (en) | Multi-micro-grid energy management method based on multi-objective collaborative optimization | |
| CN119253683A (en) | A distributed photovoltaic, wind power and load power balancing strategy using energy storage regulation | |
| CN119171531A (en) | Power supply and demand balance optimization method and system for new power system | |
| CN118353065A (en) | Optimization method and system for wind storage capacity configuration |
| Date | Code | Title | Description |
|---|---|---|---|
| PB01 | Publication | ||
| PB01 | Publication | ||
| SE01 | Entry into force of request for substantive examination | ||
| SE01 | Entry into force of request for substantive examination | ||
| TA01 | Transfer of patent application right | Effective date of registration:20221031 Address after:310012 Room 709, Floor 7, Building 10, Jingshunbo Yuecheng, Xihu District, Hangzhou, Zhejiang Applicant after:Hangzhou Shengxing Energy Technology Co.,Ltd. Address before:The city Zhaohui six districts Chao Wang Road Hangzhou City, Zhejiang province 310014 18 Applicant before:JIANG University OF TECHNOLOGY | |
| TA01 | Transfer of patent application right | ||
| GR01 | Patent grant | ||
| GR01 | Patent grant |