Movatterモバイル変換


[0]ホーム

URL:


CN111427033A - High-precision radar ranging system and method - Google Patents

High-precision radar ranging system and method
Download PDF

Info

Publication number
CN111427033A
CN111427033ACN202010373858.8ACN202010373858ACN111427033ACN 111427033 ACN111427033 ACN 111427033ACN 202010373858 ACN202010373858 ACN 202010373858ACN 111427033 ACN111427033 ACN 111427033A
Authority
CN
China
Prior art keywords
radar
control unit
pulse
signal
mcu
Prior art date
Legal status (The legal status is an assumption and is not a legal conclusion. Google has not performed a legal analysis and makes no representation as to the accuracy of the status listed.)
Pending
Application number
CN202010373858.8A
Other languages
Chinese (zh)
Inventor
严文年
章孝
许俊
叶秀云
党代表
Current Assignee (The listed assignees may be inaccurate. Google has not performed a legal analysis and makes no representation or warranty as to the accuracy of the list.)
Suzhou Yuntaili Automation Equipment Co ltd
Original Assignee
Suzhou Yuntaili Automation Equipment Co ltd
Priority date (The priority date is an assumption and is not a legal conclusion. Google has not performed a legal analysis and makes no representation as to the accuracy of the date listed.)
Filing date
Publication date
Application filed by Suzhou Yuntaili Automation Equipment Co ltdfiledCriticalSuzhou Yuntaili Automation Equipment Co ltd
Priority to CN202010373858.8ApriorityCriticalpatent/CN111427033A/en
Publication of CN111427033ApublicationCriticalpatent/CN111427033A/en
Pendinglegal-statusCriticalCurrent

Links

Images

Classifications

Landscapes

Abstract

The invention discloses a high-precision radar ranging system which comprises a pulse radar for sending a pulse signal, a coherent filter, a radar sensor for receiving the pulse signal, an MCU (microprogrammed control unit), an information acquisition unit and a touch display screen. The problems of poor real-time performance and poor anti-interference capability are solved through the cooperation of the pulse radar, the coherent filter, the radar sensor, the MCU control unit and the information acquisition unit. The invention also discloses a high-precision radar ranging method.

Description

High-precision radar ranging system and method
Technical Field
The invention relates to the field of measurement, in particular to a high-precision radar ranging system and a high-precision radar ranging method.
Background
Currently, for ranging technology, a series of sensors are required to coordinate with each other. Different sensors have respective advantages and disadvantages, and a sensor which can completely meet the requirement of environment modeling does not exist so far. Therefore, information fusion of the sensors is an effective means for environment modeling, so that redundant information can be obtained by using various sensors, the surrounding environment can be accurately sensed, and accurate data can be provided for environment modeling. In the environment sensing technology, ultrasonic ranging plays an important role. The ultrasonic sensor is a relatively cheap distance information sensor, has the advantages of small volume, low cost, easy deployment and the like, the range of the ultrasonic sensor is generally between 0.3 and 10 meters, and the precision can reach the millimeter level. Because the ultrasonic wave is used for ranging, the device is not influenced by external environment light, can normally work at night, and is less influenced by severe conditions such as rain, snow, flying dust and the like. The range and the precision of the method are just suitable for environment modeling in a small range. Therefore, the ultrasonic sensor may be a main ranging sensor of the robot. Therefore, the working performance of the ultrasonic ranging equipment is improved, and the ultrasonic ranging equipment has important significance for environment perception, environment modeling, path planning and autonomous movement of the intelligent robot.
However, the conventional ultrasonic ranging has the following defects:
1. the problem of poor real-time performance can occur in the ultrasonic ranging in the market;
2. the interference of natural interference sources is easy to be received, and a plurality of devices can interfere with each other, so that the interference resistance is weak.
Disclosure of Invention
In order to overcome the defects of the prior art, an object of the present invention is to provide a high-precision radar ranging system and method, which can solve the problems of poor real-time performance and poor interference resistance.
One of the purposes of the invention is realized by adopting the following technical scheme:
a high-precision radar ranging system comprises a pulse radar for sending out pulse signals, a coherent filter for removing impurity signals in a channel, a radar sensor for receiving the pulse signals, an MCU control unit, an information acquisition unit and a touch display screen, the pulse radar is connected with the coherent filter, the coherent filter is connected with the MCU control unit, the information acquisition unit is interacted with the MCU control unit and the radar sensor, the pulse radar sends out pulse signals towards a distance object, the rebounded pulse signals are transmitted to the radar sensor after being filtered by the coherent filter, the radar sensor generates distance information and sends the distance information to the MCU control unit, the MCU control unit is interacted with an upper computer, and the MCU control unit is interacted with the touch display screen.
Furthermore, the MCU control unit is provided with a serial peripheral interface, and the radar sensor is connected with the MCU control unit through the serial peripheral interface.
Further, the frequency emitted by the pulse radar is 40-80 GHz.
Further, the frequency emitted by the pulse radar is 60 GHz.
Further, the MCU control unit is provided with a serial port communication module, and the MCU control unit is interacted with the upper computer through the serial port communication module.
Further, the radar sensor is A111-001-TY XM 112.
A high-precision radar ranging method is applied to a high-precision radar ranging system, the high-precision radar ranging system comprises a pulse radar for sending out pulse signals, a coherent filter for removing impurity signals in a channel, a radar sensor for receiving the pulse signals, an MCU control unit, an information acquisition unit and a touch display screen, and the method comprises the following steps:
a signal sending step: determining a ranging object and sending a pulse signal of 40-80GHz by a pulse radar;
a rebound filtering step: the pulse signal rebounds after encountering an object, and the coherent filter receives the pulse signal for filtering to form a filtering signal;
a rebound receiving step: the radar sensor receives the filtering signal to form distance information, and the distance information is sent to the information acquisition unit;
a transmission step: the MCU control unit interacts with the MCU control unit and sends distance information to the upper computer.
Further, in the signal sending step, the pulse radar sends out a pulse signal of 60 GHz.
Further, in the rebounding filtering step, secondary verification is carried out on the filtering signal, whether the filtering signal belongs to valid information or not is judged, if yes, the rebounding receiving step is executed, and if not, the signal sending step is returned.
Further, in the transmission step, information management is performed through the touch display screen, and management information is sent to the MCU control unit.
Compared with the prior art, the invention has the beneficial effects that:
the coherent filter with the MCU control unit is connected, the information acquisition unit with the MCU control unit is mutual, the information acquisition unit with radar sensor is mutual, pulse radar sends pulse signal towards the range finder, and pulse signal after the bounce-back passes through after the coherent filter filters, transmits extremely radar sensor, radar sensor generates distance information and sends to the MCU control unit, the MCU control unit is mutual with the host computer, the MCU control unit with touch display screen is mutual. The problems of poor real-time performance and poor anti-interference capability are solved through the cooperation of the pulse radar, the coherent filter, the radar sensor, the MCU control unit and the information acquisition unit.
The foregoing description is only an overview of the technical solutions of the present invention, and in order to make the technical means of the present invention more clearly understood, the present invention may be implemented in accordance with the content of the description, and in order to make the above and other objects, features, and advantages of the present invention more clearly understood, the following preferred embodiments are described in detail with reference to the accompanying drawings.
Drawings
FIG. 1 is a block diagram of a high-precision radar ranging system according to a preferred embodiment of the present invention;
FIG. 2 is a flow chart of a high precision radar ranging method.
Detailed Description
The present invention will be further described with reference to the accompanying drawings and the detailed description, and it should be noted that any combination of the embodiments or technical features described below can be used to form a new embodiment without conflict.
It will be understood that when an element is referred to as being "secured to" another element, it can be directly on the other element or intervening elements may also be present. When a component is referred to as being "connected" to another component, it can be directly connected to the other component or intervening components may also be present. When a component is referred to as being "disposed on" another component, it can be directly on the other component or intervening components may also be present. The terms "vertical," "horizontal," "left," "right," and the like as used herein are for illustrative purposes only.
Unless defined otherwise, all technical and scientific terms used herein have the same meaning as commonly understood by one of ordinary skill in the art to which this invention belongs. The terminology used in the description of the invention herein is for the purpose of describing particular embodiments only and is not intended to be limiting of the invention. As used herein, the term "and/or" includes any and all combinations of one or more of the associated listed items.
Referring to fig. 1, a high-precision radar ranging system includes a pulse radar for emitting a pulse signal, a coherent filter for removing impurity signals in a channel, a radar sensor for receiving the pulse signal, an MCU control unit, an information collection unit, and a touch display screen, the pulse radar is connected with the coherent filter, the coherent filter is connected with the MCU control unit, the information acquisition unit is interacted with the MCU control unit and the radar sensor, the pulse radar sends out pulse signals towards a distance object, the rebounded pulse signals are transmitted to the radar sensor after being filtered by the coherent filter, the radar sensor generates distance information and sends the distance information to the MCU control unit, the MCU control unit is interacted with an upper computer, and the MCU control unit is interacted with the touch display screen. The problems of poor real-time performance and poor anti-interference capability are solved through the cooperation of the pulse radar, the coherent filter, the radar sensor, the MCU control unit and the information acquisition unit.
Specifically, the principle of the coherent filter is as follows:
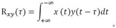
the matched filter may be equivalent to a correlator whose main role is to remove the white noise contribution in the channel. The degree of correlation, or degree of similarity, of the two signals is calculated:
Figure BDA0002479158530000061
the larger the value of Rxy (τ), the higher the degree of similarity between x (t) and y (t). Assuming that the desired signal s (t) is to be detected from x (t),
Rxy(τ)=<x(t),y(t-τ)>。
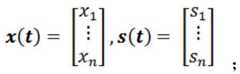
the following transformation is made assuming X (t), S (t) are two space vectors X, S, t is [ t0, t1] time width, dimension is equal to the number of sampling points, and continuous, infinite dimension:
Figure BDA0002479158530000062
Rxs(τ)=<x(t),s(t)>;
|<x(t),s(t)>|≤||x(t)||·||s(t)||。
the method is converted into the method of solving the maximum norm of < x (t), s (t), the equation is established by applying the Cauchy-Schwarz inequality when x (t) and s (t) are linearly related under the condition that the value of | | s (t) | is constant, and for a one-dimensional function, when x (t) | ks (t) is in the following relation, the useful signal s (t) is taken as a template of a matched filter, and the maximum correlation output can be obtained. In other words, s (t) and its scaled signal correlation are strongest.
Preferably, the MCU control unit is provided with a serial peripheral interface, and the radar sensor is connected with the MCU control unit through the serial peripheral interface. The frequency emitted by the pulse radar is 40-80 GHz. Specifically, in this embodiment, the frequency emitted by the pulse radar is 60 GHz. The measurement result can be displayed on a display of the equipment through uploading to a user server through a serial port or a network port, the use is simple and convenient, and the signal pertinence is strong. The 60GHz radar is adopted, and is not interfered by any natural interference source, such as noise, dust, color and direct or indirect light; the mutual interference among the multiple devices can be further avoided.
Preferably, the MCU control unit is provided with a serial port communication module, and the MCU control unit interacts with the upper computer through the serial port communication module. The radar sensor is A111-001-TY XM 112.
Referring to fig. 2, a high-precision radar ranging method is applied to a high-precision radar ranging system, the high-precision radar ranging system includes a pulse radar for sending a pulse signal, a coherent filter for removing impurity signals in a channel, a radar sensor for receiving the pulse signal, an MCU control unit, an information acquisition unit, and a touch display screen, and includes the following steps:
a signal sending step: determining a ranging object and sending a pulse signal of 40-80GHz by a pulse radar; in the signal sending step, the pulse radar sends out a 60GHz pulse signal.
A rebound filtering step: the pulse signal rebounds after encountering an object, and the coherent filter receives the pulse signal for filtering to form a filtering signal; in the rebound filtering step, secondary verification is carried out on the filtering signal, whether the filtering signal belongs to valid information or not is judged, if yes, the rebound receiving step is executed, and if not, the signal sending step is returned.
A rebound receiving step: the radar sensor receives the filtering signal to form distance information, and the distance information is sent to the information acquisition unit;
a transmission step: the MCU control unit interacts with the MCU control unit and sends distance information to the upper computer. And in the transmission step, information management is carried out through the touch display screen, and management information is sent to the MCU control unit. The problems of poor real-time performance and poor anti-interference capability are solved through the cooperation of the pulse radar, the coherent filter, the radar sensor, the MCU control unit and the information acquisition unit.
The above embodiments are only preferred embodiments of the present invention, and the protection scope of the present invention is not limited thereby, and any insubstantial changes and substitutions made by those skilled in the art based on the present invention are within the protection scope of the present invention.

Claims (10)

1. The utility model provides a radar ranging system of high accuracy, includes the pulse radar who is used for sending pulse signal, is arranged in getting rid of the coherent filter of the impurity signal in the channel, is used for receiving pulse signal's radar sensor, MCU the control unit, information acquisition unit and touch display screen, its characterized in that:
the pulse radar with coherent filter connects, coherent filter with the MCU the control unit is connected, the information acquisition unit with the MCU the control unit is mutual, the information acquisition unit with radar sensor is mutual, pulse radar sends pulse signal towards the distance thing, and pulse signal after the bounce-back passes through after coherent filter filters, transmits extremely radar sensor, radar sensor generates distance information and sends to MCU the control unit, MCU the control unit is mutual with the host computer, MCU the control unit with touch display screen is mutual.
2. The high accuracy radar ranging system of claim 1 further comprising: the radar sensor is connected with the MCU control unit through the serial peripheral interface.
3. The high accuracy radar ranging system of claim 1 further comprising: the frequency emitted by the pulse radar is 40-80 GHz.
4. The high accuracy radar ranging system of claim 3 further comprising: the frequency emitted by the pulse radar is 60 GHz.
5. The high accuracy radar ranging system of claim 1 further comprising: the MCU control unit is provided with a serial port communication module and interacts with the upper computer through the serial port communication module.
6. The high accuracy radar ranging system of claim 1 further comprising: the radar sensor is A111-001-TY XM 112.
7. The high-precision radar ranging method is applied to a high-precision radar ranging system, the high-precision radar ranging system comprises a pulse radar for sending out pulse signals, a coherent filter for removing impurity signals in a channel, a radar sensor for receiving the pulse signals, an MCU control unit, an information acquisition unit and a touch display screen, and the high-precision radar ranging method is characterized by comprising the following steps of:
a signal sending step: determining a ranging object and sending a pulse signal of 40-80GHz by a pulse radar;
a rebound filtering step: the pulse signal rebounds after encountering an object, and the coherent filter receives the pulse signal for filtering to form a filtering signal;
a rebound receiving step: the radar sensor receives the filtering signal to form distance information, and the distance information is sent to the information acquisition unit;
a transmission step: the MCU control unit interacts with the MCU control unit and sends distance information to the upper computer.
8. The high precision radar ranging method of claim 7 wherein: in the signal sending step, the pulse radar sends out a 60GHz pulse signal.
9. The high precision radar ranging method of claim 7 wherein: in the rebound filtering step, secondary verification is carried out on the filtering signal, whether the filtering signal belongs to valid information or not is judged, if yes, the rebound receiving step is executed, and if not, the signal sending step is returned.
10. The high precision radar ranging method of claim 7 wherein: and in the transmission step, information management is carried out through the touch display screen, and management information is sent to the MCU control unit.
CN202010373858.8A2020-05-062020-05-06High-precision radar ranging system and methodPendingCN111427033A (en)

Priority Applications (1)

Application NumberPriority DateFiling DateTitle
CN202010373858.8ACN111427033A (en)2020-05-062020-05-06High-precision radar ranging system and method

Applications Claiming Priority (1)

Application NumberPriority DateFiling DateTitle
CN202010373858.8ACN111427033A (en)2020-05-062020-05-06High-precision radar ranging system and method

Publications (1)

Publication NumberPublication Date
CN111427033Atrue CN111427033A (en)2020-07-17

Family

ID=71552431

Family Applications (1)

Application NumberTitlePriority DateFiling Date
CN202010373858.8APendingCN111427033A (en)2020-05-062020-05-06High-precision radar ranging system and method

Country Status (1)

CountryLink
CN (1)CN111427033A (en)

Citations (19)

* Cited by examiner, † Cited by third party
Publication numberPriority datePublication dateAssigneeTitle
US6297764B1 (en)*1999-12-132001-10-02Harris CorporationRadar receiver having matched filter processing
US20050179585A1 (en)*2003-05-222005-08-18General AtomicsUltra-wideband radar system using sub-band coded pulses
US7193558B1 (en)*2003-09-032007-03-20The United States Of America As Represented By The Secretary Of The NavyRadar processor system and method
CN1987516A (en)*2007-02-272007-06-27呼秀山Equivalent sampling pulse distance measuring laser system
CN101470202A (en)*2007-12-262009-07-01清华大学Pulse Doppler radar system and its signal processing method
CN202393910U (en)*2011-12-302012-08-22上海德意达电子电器设备有限公司Built-in radar speed and distance measuring device
US20140168005A1 (en)*2012-12-132014-06-19Industrial Technology Research InstitutePulse radar ranging apparatus and ranging algorithm thereof
CN103954937A (en)*2014-04-102014-07-30西安空间无线电技术研究所Design method for wide-range high-precision microwave distance measurement radar system
CN107144834A (en)*2017-05-232017-09-08哈尔滨工业大学A kind of Gao Zhongying pulse radar extends the waveform design method of finding range
US20170343661A1 (en)*2016-05-312017-11-30Panasonic Intellectual Property Management Co., Ltd.Pulse radar, method of correcting transmission pulse in pulse radar, and method of correcting reception pulse in pulse radar
CN107861116A (en)*2017-10-312018-03-30西安电子科技大学A kind of optimization method of radar range finding
CN108597234A (en)*2018-05-102018-09-28芜湖航飞科技股份有限公司A kind of intelligent transportation detector based on high-resolution radar
CN108603926A (en)*2015-11-132018-09-28菲力尔系统公司Detection and range-measurement system and method
CN110333512A (en)*2019-06-272019-10-15江苏维航精仪科技有限公司A kind of laser radar system and laser ranging system
CN110568430A (en)*2019-10-162019-12-13上海无线电设备研究所non-blind area ranging method and system for monopulse radar with protection channel
CN110806574A (en)*2019-11-302020-02-18的卢技术有限公司Millimeter wave range unit of high accuracy range finding
CN110988862A (en)*2019-11-302020-04-10的卢技术有限公司Sensing method and system based on ultra-close distance millimeter wave radar
CN111010250A (en)*2019-11-252020-04-14成都天奥电子股份有限公司Method and system for realizing high-precision time synchronization
CN111090034A (en)*2019-12-262020-05-01苏州市运泰利自动化设备有限公司PCBA capacitance test system and method

Patent Citations (20)

* Cited by examiner, † Cited by third party
Publication numberPriority datePublication dateAssigneeTitle
US6297764B1 (en)*1999-12-132001-10-02Harris CorporationRadar receiver having matched filter processing
US20050179585A1 (en)*2003-05-222005-08-18General AtomicsUltra-wideband radar system using sub-band coded pulses
US7193558B1 (en)*2003-09-032007-03-20The United States Of America As Represented By The Secretary Of The NavyRadar processor system and method
CN1987516A (en)*2007-02-272007-06-27呼秀山Equivalent sampling pulse distance measuring laser system
CN101470202A (en)*2007-12-262009-07-01清华大学Pulse Doppler radar system and its signal processing method
CN202393910U (en)*2011-12-302012-08-22上海德意达电子电器设备有限公司Built-in radar speed and distance measuring device
US20140168005A1 (en)*2012-12-132014-06-19Industrial Technology Research InstitutePulse radar ranging apparatus and ranging algorithm thereof
JP2014119447A (en)*2012-12-132014-06-30Industrial Technology Research InstitutePulse radar distance measuring device and distance measuring algorithm of the same
CN103954937A (en)*2014-04-102014-07-30西安空间无线电技术研究所Design method for wide-range high-precision microwave distance measurement radar system
CN108603926A (en)*2015-11-132018-09-28菲力尔系统公司Detection and range-measurement system and method
US20170343661A1 (en)*2016-05-312017-11-30Panasonic Intellectual Property Management Co., Ltd.Pulse radar, method of correcting transmission pulse in pulse radar, and method of correcting reception pulse in pulse radar
CN107144834A (en)*2017-05-232017-09-08哈尔滨工业大学A kind of Gao Zhongying pulse radar extends the waveform design method of finding range
CN107861116A (en)*2017-10-312018-03-30西安电子科技大学A kind of optimization method of radar range finding
CN108597234A (en)*2018-05-102018-09-28芜湖航飞科技股份有限公司A kind of intelligent transportation detector based on high-resolution radar
CN110333512A (en)*2019-06-272019-10-15江苏维航精仪科技有限公司A kind of laser radar system and laser ranging system
CN110568430A (en)*2019-10-162019-12-13上海无线电设备研究所non-blind area ranging method and system for monopulse radar with protection channel
CN111010250A (en)*2019-11-252020-04-14成都天奥电子股份有限公司Method and system for realizing high-precision time synchronization
CN110806574A (en)*2019-11-302020-02-18的卢技术有限公司Millimeter wave range unit of high accuracy range finding
CN110988862A (en)*2019-11-302020-04-10的卢技术有限公司Sensing method and system based on ultra-close distance millimeter wave radar
CN111090034A (en)*2019-12-262020-05-01苏州市运泰利自动化设备有限公司PCBA capacitance test system and method

Non-Patent Citations (3)

* Cited by examiner, † Cited by third party
Title
YINGRUI YU: "Optimization and Implementation of SIW Slot Array for Both Medium and Long Range 77Ghz Automotive Radar Application", 《IEEE TRANSACTIONS ON ANTENNAS AND PROPAGATION》*
彭劲松,许俊,李娟,周光明: "机载激光测量系统在地质灾害中的应用", 《测绘通报》*
葛 优,刘景萍,赵惠昌,陈 思,刘定烨: "基于正交相位编码信号的MIMO雷达测速测距算法", 《探测与控制学报》*

Similar Documents

PublicationPublication DateTitle
CN108226852B (en)Unmanned aerial vehicle operator positioning system and method based on aerial radio monitoring platform
CN104714209B (en)Dynamic positioning method and device based on UWB and laser ranging combination
CN102589504B (en) An online measuring device for the diameter of growing trees
CN108416361A (en)A kind of information fusion system and method based on sea survaillance
CN114080549B (en)Target tracking method, device, equipment and storage medium based on ultra-wideband radar
CN106291517A (en)Indoor cloud robot angle positioning method based on position and visual information optimization
CN116125458A (en)Personnel positioning method based on millimeter wave radar
CN104574386A (en)Indoor positioning method based on three-dimensional environment model matching
CN104053129A (en)Wireless sensor network indoor positioning method and device based on sparse RF fingerprint interpolations
CN110502129A (en)Intersection control routine
CN113344954B (en)Boundary detection method, boundary detection device, computer equipment, storage medium and sensor
CN107561591B (en)Sound object detection method and system based on multi-functional ultra-broadband wall-through radar
Sun et al.Inverted ultra-short baseline signal design for multi-AUV navigation
CN109581343A (en)Multi-radar network device and multi-direction object detection method
CN103616692A (en)Portable multifunctional ultrasonic ranging system based on Android mobile terminal
CN105611629A (en)60GHz millimeter wave non-line of sight identification and wireless fingerprint positioning method based on energy detection
CN111866725B (en)People stream detection method based on WIFI probe technology
CN113310513A (en)UWB-based factory intelligent inspection robot system
CN116772860A (en) A new indoor positioning system based on the integration of wireless positioning technology and visual artificial intelligence
KR102322480B1 (en)Position Detecting System and Method of Ultra Wide Band Using the Optimized Detection Threshold at Objects Size and Motion Strenth
Jiménez et al.Precise localisation of archaeological findings with a new ultrasonic 3D positioning sensor
CN111427033A (en)High-precision radar ranging system and method
CN106455051A (en)WiFi positioning precision increasing method using distance calibration device
CN110381580B (en)WiFi positioning method based on proportion optimization
CN103995264A (en)Vehicle-mounted mobile laser radar mapping system

Legal Events

DateCodeTitleDescription
PB01Publication
PB01Publication
SE01Entry into force of request for substantive examination
SE01Entry into force of request for substantive examination
RJ01Rejection of invention patent application after publication
RJ01Rejection of invention patent application after publication

Application publication date:20200717


[8]ページ先頭

©2009-2025 Movatter.jp