

技术领域technical field
本发明属于施工安全技术领域,具体涉及地铁车站安全施工预警方法。The invention belongs to the technical field of construction safety, in particular to a method for early warning of subway station safety construction.
背景技术Background technique
随着经济的快速,城市化水平及城市人口的不断增加,随之而来的人流量和车流量也急速增加,传统地面交通已无法满足人们的需求。因此城市地铁的发展与建设备受人们青睐,得到快速发展,但是在地铁建设中,突发事件不断发生,不仅造成巨大财产损失,同时,也严重危及人民生命安全。因此需要一套安全评价措施来减少事故的发生。安全评价方法往往离不开人的参与,人作为评价主体具有灵活、全面等优点,是不可代替的,但同时具有的主观性会带来准确性。例如包磊在《基于主成分分析法的地铁系统安全综合评价》,采用了专家打分的方法,专家打分必然会产生主观性,此文并没有指出和采取相应的降低措施,导致评价方法难以指导实践。现有的方法尚不能有效的降低主观性产生的不良影响,基于此,提出本发明。With the rapid economic development, the level of urbanization and the continuous increase of urban population, the flow of people and vehicles has also increased rapidly, and traditional ground transportation can no longer meet people's needs. Therefore, the development and construction of urban subways are favored by people and develop rapidly. However, in the construction of subways, emergencies occur constantly, not only causing huge property losses, but also seriously endangering people's lives. Therefore, a set of safety evaluation measures is needed to reduce the occurrence of accidents. Safety evaluation methods are often inseparable from the participation of people. As the subject of evaluation, people have the advantages of flexibility and comprehensiveness, and are irreplaceable, but at the same time, their subjectivity will bring accuracy. For example, in "Comprehensive Evaluation of Metro System Safety Based on Principal Component Analysis", Bao Lei adopted the method of scoring by experts. Expert scoring will inevitably lead to subjectivity. This article does not point out and take corresponding reduction measures, which makes it difficult to guide the evaluation method. practice. The existing methods cannot effectively reduce the adverse effects caused by subjectivity, and based on this, the present invention is proposed.
发明内容SUMMARY OF THE INVENTION
针对现有的地铁施工安全评价方法不能有效降低主观性产生的不良影响,不能有效的用于实践的上述问题,本发明提供一种地铁车站安全施工预警方法,创新性的引入了由于专家打分产生的不良影响而采取的降低控制方法,使结果更加合理和精确。Aiming at the above-mentioned problems that the existing subway construction safety evaluation methods cannot effectively reduce the adverse effects caused by subjectivity and cannot be effectively used in practice, the present invention provides a subway station safety construction early warning method, which innovatively introduces The control method adopted to reduce the adverse effects makes the results more reasonable and accurate.
一种地铁车站安全施工预警方法,包括以下步骤:A method for early warning of subway station safety construction, comprising the following steps:
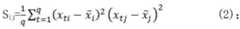
步骤一、召集隧道施工各方面专家至少5名,进行打分,打分内容包括周围环境状况、围护结构风险、基坑失稳坍塌风险、施工人员安全行为、管理因素五个方面;收集一个指标的5种打分结果C,计算出5个C值的分布概率α,确定置信区间[a,b];计算可信度分布函数并取可信度较高的置信区间的打分均值;按此方法计算对应每个指标的打分均值;
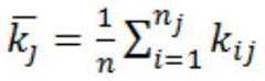
步骤二、计算风险指标打分均值:式中,kij表示专家i对指标j的打分,nj表示打分专家的数量,表示专家对指标打分的平均值;Step 2: Calculate the average score of risk indicators: In the formula, kij represents the expert i’s score on the index j, nj represents the number of scoring experts, Indicates the average of experts' scores on the indicator;
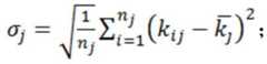
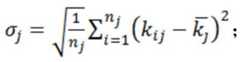
步骤三、求σj为指标j的标准差,计算公式为:
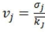
步骤四、求变异系数:式中,vj表示指标j的变异系数,即专家对指标j打分制的波动情况;vj的值以0.16为界,该值比0.16越小则表明专家的一致性越高,越适合作为地铁施工安全风险的评价指标;相反,该值比0.16越大则此评价指标越不适合,vj>0.16更替新的打分指标,重复上述步骤,直至vj≤0.16;
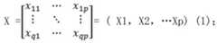
步骤五、提取可信度较高的置信区间的均值,设原始数据矩阵
其中xij(1≤i≤q,1≤j≤p)表示安全评价因素在时间点的评价得分,即原始数据存在p个安全评价因素,q个评价的时间点;where xij (1≤i≤q, 1≤j≤p) represents the evaluation score of the safety evaluation factor at the time point, that is, there are p safety evaluation factors in the original data, and q evaluation time points;
步骤六、对原始数据矩阵(1)进行数据标准化,设标准化后数据矩阵S=(sij)q×pStep 6: Carry out data standardization on the original data matrix (1), set the standardized data matrix S=(sij )q×p
步骤七、对标准化后数据矩阵S=(sij)q×p建立变量的相关系数矩阵R=(rij)q×pStep 7. Establish a variable correlation coefficient matrix R=(rij ) q×p for the standardized data matrix S=(sij )q×p
步骤八、求出相关系数矩阵R的特征值λ1≥λ2≥…≥λp>0,并计算特征值的贡献率H和累计贡献率TH,计算公式如下:Step 8: Find the eigenvalue λ1≥λ2≥...≥λp>0 of the correlation coefficient matrix R, and calculate the contribution rate H of the eigenvalue and the cumulative contribution rate TH. The calculation formula is as follows:
步骤九、根据式(5)计算累计贡献率,选取前a个主成分,使其累计贡献率大于96%,可以得到前a个主成分的线性组合如下Step 9. Calculate the cumulative contribution rate according to formula (5), select the first a principal components, and make the cumulative contribution rate greater than 96%, and the linear combination of the first a principal components can be obtained as follows
其中Fki(1≤k≤q,1≤i≤a)为时间点k的第i个主成分,Za×p取自相关系数矩阵R的单位特征矩阵Zq×p;where Fki (1≤k≤q, 1≤i≤a) is the i-th principal component of time point k, and Za×p is taken from the unit feature matrix Zq×p of the correlation coefficient matrix R;
步骤十、求综合评价函数
wk=H1Fk1+H2Fk2+…+HaFka(1≤k≤q);wk =H1 Fk1 +H2 Fk2 +...+Ha Fka (1≤k≤q);
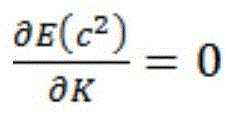
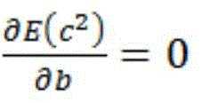
步骤十一、采用线性回归最小二乘法将步骤十得到的W值,根据不同时间点绘制在X-Y坐标系中形成散点图,其中X轴表示时间,Y轴表示综合评价函数,并设线性回归方程为则实验值Y与回归值的偏差是C=Y-(KX+b),计算偏差平方的均值为E(C2)=E[(Y-(KX+b))2]=E[|E-E(Y)-K(X-E(X)+(E(Y)-KE(X)-b))|2]=σ2(Y)+K2σ2(X)-2KE[(X-E(X))(Y-E(Y))+(E(Y)-KE(X)-b)2]其中σ2(X)=E{[X-E(X)]2}σ2(X)为方差,由确定b=E(Y)-KE(X);Step 11: Use the linear regression least squares method to draw the W value obtained in
将K和b带入式中,求得线性回归方程,直线上方为安全,下方为危险。Bring K and b into In the formula, the linear regression equation is obtained, the upper part of the line is safe, and the lower part is dangerous.
进一步的,本方法与施工过程中所采用的其他动态监测系统联合应用,例如GPS监测系统,当数值在下方时,应及时进行安全排查,去调取GPS监测的数据,分析原因,消除隐患。Further, this method is used in conjunction with other dynamic monitoring systems used in the construction process, such as GPS monitoring systems. When the value is below, a safety investigation should be carried out in time to obtain GPS monitoring data, analyze the reasons, and eliminate hidden dangers.
本发明通过把未知有理数的置信度概念引入评价计算中,从而使结果更加合理与精确;通过修改符合实际施工的评价对象,提高专家打分的精确度,在加上主成分分析法能够更加全面、综合、有效地对地铁隧道施工安全施工进行评价,及时发现隐患,减少安全事故的发生,保障人们的生命财产安全。By introducing the confidence concept of unknown rational numbers into the evaluation calculation, the present invention makes the results more reasonable and accurate; by modifying the evaluation object conforming to the actual construction, the accuracy of expert scoring is improved, and the principal component analysis method can be more comprehensive and accurate. Comprehensively and effectively evaluate the construction safety of subway tunnels, discover hidden dangers in time, reduce the occurrence of safety accidents, and ensure the safety of people's lives and property.
附图说明Description of drawings
图1隧道安全施工预警方法;Figure 1 Tunnel safety construction early warning method;
图2实施例综合评价函数。Fig. 2 embodiment comprehensive evaluation function.
具体实施方式Detailed ways
下面结合具体实施例及附图对本发明做进一步详细说明。The present invention will be further described in detail below with reference to specific embodiments and accompanying drawings.
实施例 上软下硬特殊地层隧道安全施工预警方法Example Method for early warning of safe construction of tunnels in special strata with upper soft and lower hard stratum
施工地点:本专利以青岛某地铁车站为例,该隧道洞身主要位于微风化火山岩及变质岩中,地层上软下硬,稳定差异较大,比较容易出现安全事故。详细说明该发明在整个隧道开挖过程中安全评估过程。Construction site: This patent takes a subway station in Qingdao as an example. The tunnel body is mainly located in lightly weathered volcanic rock and metamorphic rock. The stratum is soft and hard at the bottom, and the stability varies greatly, which is more prone to safety accidents. The safety evaluation process of the invention in the entire tunnel excavation process is described in detail.
方法:参考附图1Method: refer to Figure 1
步骤一、召集隧道安全施工方面专家5名,进行打分;打分内容包括周围环境状况、围护结构风险、基坑失稳坍塌风险、施工人员安全行为、管理因素五个方面;每项满分为10分,打分周期一周一次,每个方面具体参考内容如下:
1.1周围环境状况:地表沉降大小,周围建筑物开裂倾斜程度、地下管线破坏渗漏,排水,排气是否畅通,隧道拱顶是否大面积下降、初衬损坏程度。1.1 Surrounding environment conditions: the size of the surface subsidence, the degree of cracking and inclination of the surrounding buildings, the damage and leakage of underground pipelines, whether the drainage and exhaust are smooth, whether the tunnel vault has dropped in a large area, and the degree of damage to the initial lining.
1.2围护结构风险:管涌流沙、折断破坏、整体失稳、开裂渗漏情况。1.2 Risks of the enclosure structure: pipe flow and quicksand, breakage damage, overall instability, cracking and leakage.
1.3基坑失稳坍塌风险:基坑检测方案设计是否合理、基坑周围荷载是否过大、开挖顺序是否正确、是否超标开挖、支撑架设是否及时,支撑拆除是否连贯得当。1.3 The risk of instability and collapse of the foundation pit: whether the design of the foundation pit detection scheme is reasonable, whether the load around the foundation pit is too large, whether the excavation sequence is correct, whether the excavation exceeds the standard, whether the support erection is timely, and whether the support removal is coherent and appropriate.
1.4施工人员安全行为:施工人员操作是否准确包括机器的操作与摆放以及施工顺序、工人是否佩戴安全防护用品、是否疲劳工作、对易燃易爆等危险品处理是否得当。1.4 Safety behavior of construction personnel: Whether the operation of the construction personnel is accurate, including the operation and placement of the machine and the construction sequence, whether the workers wear safety protection equipment, whether they are fatigued, and whether they handle flammable and explosive dangerous goods properly.
1.5管理因素:监理是否称职、安全教育培训、各项规章制度的实行、应急预案的制定、安全组织工作的落实等。1.5 Management factors: whether the supervisor is competent, safety education and training, the implementation of various rules and regulations, the formulation of emergency plans, the implementation of safety organization work, etc.
收集一个指标的5种打分结果C;计算出5个C值的可信度ab,确定置信区间[a,b];计算可信度分布函数并取可信度较高的置信区间的打分均值x;按此方法计算对应每个指标的打分均值x;Collect five scoring results C of an indicator; calculate the reliability ab of the five C values, and determine the confidence interval [a, b]; calculate the reliability distribution function And take the scoring mean x of the confidence interval with higher reliability; calculate the scoring mean x corresponding to each indicator according to this method;
例如针对周围环境状况的打分如表1。For example, the scores for the surrounding environmental conditions are shown in Table 1.
表1周围环境状况的打分Table 1 Scoring of surrounding environmental conditions
所以取x=7。So take x=7.
步骤二、计算风险指标打分均值:式中,kij表示专家i对指标j的打分,nj表示打分专家的数量,表示专家对指标打分的平均值;Step 2: Calculate the average score of risk indicators: In the formula, kij represents the expert i’s score on the index j, nj represents the number of scoring experts, Indicates the average of experts' scores on the indicator;
步骤三、求σj为指标j的标准差,计算公式为:
步骤四、求变异系数:式中,vj表示指标j的变异系数,即专家对指标j打分制的波动情况;vj的值以0.16为界,该值比0.16越小则表明专家的一致性越高,越适合作为地铁施工安全风险的评价指标;相反,该值比0.16越大则此评价指标越不适合,vj>0.16更替新的打分指标,重复上述步骤,直至vj≤0.16;
变异系数vj的确定如表2所示。The determination of the coefficient of variation vj is shown in Table 2.
表2变异系数的确定Table 2 Determination of Coefficient of Variation
因此第一组变异系数合格,第二组不合格。采用第一组打分数据。Therefore, the coefficient of variation of the first group is qualified, and the second group is not qualified. Use the first set of scoring data.
步骤五、提取可信度较高的置信区间的均值,设原始数据矩阵
具体数据如表3所示。The specific data are shown in Table 3.
表3.原始数据矩阵Table 3. Raw data matrix
其中xij(1≤i≤q,1≤j≤p)表示安全评价因素在时间点的评价得分,即原始数据存在p个安全评价因素,q个评价的时间点;where xij (1≤i≤q, 1≤j≤p) represents the evaluation score of the safety evaluation factor at the time point, that is, there are p safety evaluation factors in the original data, and q evaluation time points;
步骤六、对原始数据矩阵(1)进行数据标准化,设标准化后数据矩阵S=(sij)q×pStep 6: Carry out data standardization on the original data matrix (1), set the standardized data matrix S=(sij )q×p
具体数据如表4所示。The specific data are shown in Table 4.
表4.标准化后数据矩阵S=(sij)q×pTable 4. Normalized data matrix S=(sij )q×p
步骤七、对标准化后数据矩阵S=(sij)q×p建立变量的相关系数矩阵R=(rij)q×pStep 7. Establish a variable correlation coefficient matrix R=(rij ) q×p for the standardized data matrix S=(sij )q×p
具体数据如表5所示。The specific data are shown in Table 5.
表5.相关系数矩阵RTable 5. Correlation coefficient matrix R
步骤八、求出相关系数矩阵R的特征值λ1≥λ2≥…≥λp>0,并计算特征值的贡献率H和累计贡献率TH,计算公式如下:Step 8: Find the eigenvalue λ1≥λ2≥...≥λp>0 of the correlation coefficient matrix R, and calculate the contribution rate H and cumulative contribution rate TH of the eigenvalues. The calculation formula is as follows:
具体数据如表6所示。The specific data are shown in Table 6.
表6.贡献率与累计贡献率Table 6. Contribution rate and cumulative contribution rate
步骤九、根据式(5)计算累计贡献率,选取前a个主成分,使其累计贡献率大于80%,可以得到前a个主成分的线性组合如下Step 9: Calculate the cumulative contribution rate according to formula (5), and select the first a principal components to make the cumulative contribution rate greater than 80%. The linear combination of the first a principal components can be obtained as follows
其中Fki(1≤k≤q,1≤i≤a)为时间点k的第i个主成分,Za×p取自相关系数矩阵R的单位特征矩阵Zq×p;where Fki (1≤k≤q, 1≤i≤a) is the i-th principal component of time point k, and Za×p is taken from the unit feature matrix Zq×p of the correlation coefficient matrix R;
步骤十、求综合评价函数
wk=H1Fk1+H2Fk2+…+HaFka(1≤k≤q);wk =H1 Fk1 +H2 Fk2 +...+Ha Fka (1≤k≤q);
具体数据如表7所示。The specific data are shown in Table 7.
表7.求综合评价函数Table 7. Find the comprehensive evaluation function
步骤十一、采用线性回归最小二乘法将步骤十得到的W值,根据不同时间点绘制在X-Y坐标系中形成散点图,其中X轴表示时间,Y轴表示综合评价函数,并设线性回归方程为则实验值Y与回归值的偏差是C=Y-(KX+b),计算偏差平方的均值为E(C2)=E[(Y-(KX+b))2]=E[|E-E(Y)-K(X-E(X)+(E(Y)-KE(X)-b))|2]=σ2(Y)+K2σ2(X)-2KE[(X-E(X))(Y-E(Y))+(E(Y)-KE(X)-b)2]
其中σ2(X)=E{[X-E(X)]2}σ2(X)为方差,由可确定b=E(Y)-KE(X);将K和b带入式中,求得线性回归方程,直线上方为安全,下方为危险。where σ2 (X)=E{[XE(X)]2 }σ2 (X) is the variance, given by can be determined b=E(Y)-KE(X); bring K and b into In the formula, the linear regression equation is obtained, the upper part of the line is safe, and the lower part is dangerous.
具体数据如表8所示。The specific data are shown in Table 8.
表8.计算结果Table 8. Calculation results
如图2所示,w1、w2和w5不安全,w3及w4安全。意味着在第一周,第二周和第五周的安全标准未达到,此时应及时根据打分数据,例如打分小于五分的指标进行排查。本案例第一周在管理方面未达标,第二周在施工人员安全行为方面未达标,第五周在围护结构方面未达标。虽然第三周和第四周个别指标存在不足,但整体W值符合安全标准。对于未达标的指标及时采取相应的安全措施,消除隐患,保证工程顺利施工。As shown in Figure 2, w1 , w2 and w5 are not secure, and w3 and w4 are secure. It means that the safety standards in the first week, the second week and the fifth week have not been met. At this time, the scoring data should be checked in time, such as indicators with a score less than five points. This case failed to meet the standard in terms of management in the first week, failed in the safety behavior of construction workers in the second week, and failed in the envelope structure in the fifth week. Although there were deficiencies in individual indicators in the third and fourth weeks, the overall W value met safety standards. For the indicators that do not meet the standards, corresponding safety measures shall be taken in a timely manner to eliminate hidden dangers and ensure the smooth construction of the project.
本方法还与施工过程中所采用的其他动态监测系统联合应用,例如GPS监测系统,当W数值显示不安全时,去调取GPS监测的数据,应及时进行安全排查,分析原因,消除隐患,保证工程的顺利进行。This method is also used in conjunction with other dynamic monitoring systems used in the construction process, such as GPS monitoring systems. When the W value shows that it is unsafe, to retrieve the GPS monitoring data, safety investigations should be carried out in time, the reasons should be analyzed, and hidden dangers should be eliminated. To ensure the smooth progress of the project.
以上所述的实施例仅是对本发明的优选实施方式进行描述,并非对本发明的范围进行限定,在不脱离本发明设计精神的前提下,本领域普通技术人员对本发明的技术方案作出的各种变形和改进,均应落入本发明权利要求书确定的保护范围内。The above-mentioned embodiments are only to describe the preferred embodiments of the present invention, and do not limit the scope of the present invention. On the premise of not departing from the design spirit of the present invention, those of ordinary skill in the art can make various modifications to the technical solutions of the present invention. Variations and improvements should fall within the protection scope determined by the claims of the present invention.
| Application Number | Priority Date | Filing Date | Title |
|---|---|---|---|
| CN202010216696.7ACN111401768A (en) | 2020-03-25 | 2020-03-25 | Subway station safety construction early warning method |
| Application Number | Priority Date | Filing Date | Title |
|---|---|---|---|
| CN202010216696.7ACN111401768A (en) | 2020-03-25 | 2020-03-25 | Subway station safety construction early warning method |
| Publication Number | Publication Date |
|---|---|
| CN111401768Atrue CN111401768A (en) | 2020-07-10 |
| Application Number | Title | Priority Date | Filing Date |
|---|---|---|---|
| CN202010216696.7APendingCN111401768A (en) | 2020-03-25 | 2020-03-25 | Subway station safety construction early warning method |
| Country | Link |
|---|---|
| CN (1) | CN111401768A (en) |
| Publication number | Priority date | Publication date | Assignee | Title |
|---|---|---|---|---|
| CN117633985A (en)* | 2023-12-04 | 2024-03-01 | 南宁轨道交通建设有限公司 | Evaluation method for multi-index comparison and optimization of underground engineering construction plans |
| Publication number | Priority date | Publication date | Assignee | Title |
|---|---|---|---|---|
| CN105303468A (en)* | 2015-11-20 | 2016-02-03 | 国网天津市电力公司 | Comprehensive evaluation method of smart power grid construction based on principal component cluster analysis |
| CN107153843A (en)* | 2017-05-03 | 2017-09-12 | 西安电子科技大学 | Surface subsidence forecasting system and method based on SVMs |
| US9775037B2 (en)* | 2008-05-13 | 2017-09-26 | At&T Mobility Ii Llc | Intra-premises content and equipment management in a femtocell network |
| CN107829452A (en)* | 2017-11-12 | 2018-03-23 | 湖南科技大学 | It is a kind of to merge multisensor and ground SAR deep foundation pit construction monitoring and warning technology |
| Publication number | Priority date | Publication date | Assignee | Title |
|---|---|---|---|---|
| US9775037B2 (en)* | 2008-05-13 | 2017-09-26 | At&T Mobility Ii Llc | Intra-premises content and equipment management in a femtocell network |
| CN105303468A (en)* | 2015-11-20 | 2016-02-03 | 国网天津市电力公司 | Comprehensive evaluation method of smart power grid construction based on principal component cluster analysis |
| CN107153843A (en)* | 2017-05-03 | 2017-09-12 | 西安电子科技大学 | Surface subsidence forecasting system and method based on SVMs |
| CN107829452A (en)* | 2017-11-12 | 2018-03-23 | 湖南科技大学 | It is a kind of to merge multisensor and ground SAR deep foundation pit construction monitoring and warning technology |
| Title |
|---|
| RITA L. SOUSA;HERBERT H. EINSTEIN: "Risk Analysis during Tunnel Construction Using Bayesian Networks:PortoMetro Case Study", 《TUNNELLING AND UNDERGROUND SPACE TECHNOLOGY》* |
| 包磊 等: "基于主成分分析法的地铁系统安全综合评价", 《三峡大学学报(自然科学版)》* |
| 张思戬: "地铁安全施工风险因素综合评价分析研究", 《中国优秀硕士学位论文全文数据库 工程科技II辑》* |
| 李小浩: "地铁工程施工安全风险评价研究", 《中国优秀硕士学位论文全文数据库 工程科技II辑》* |
| Publication number | Priority date | Publication date | Assignee | Title |
|---|---|---|---|---|
| CN117633985A (en)* | 2023-12-04 | 2024-03-01 | 南宁轨道交通建设有限公司 | Evaluation method for multi-index comparison and optimization of underground engineering construction plans |
| Publication | Publication Date | Title |
|---|---|---|
| CN105678481B (en) | A Pipeline Health Status Assessment Method Based on Random Forest Model | |
| CN111256754A (en) | Concrete dam long-term operation safety early warning method | |
| CN110458367B (en) | A method for evaluating the geological hazard of coal mine working face gas | |
| CN107034932A (en) | A BIM-based foundation pit deformation monitoring and early warning platform during construction | |
| CN103292762A (en) | Displacement monitoring method for judging dam stability | |
| CN102289734A (en) | Dynamic risk evaluation and management method for foundation pit engineering | |
| CN103971288A (en) | Steel structure construction risk assessment method based on accident case-based reasoning | |
| CN110763809A (en) | Experimental verification method for optimal arrangement scheme of gas detector | |
| CN111598406B (en) | High-steep slope block instability risk quantitative assessment method | |
| CN114297756B (en) | BIM (building information modeling) scene construction method for security risk of earthquake occurring in extremely rare water conservancy project reservoir area | |
| CN108985587A (en) | A kind of Shield Tunnel in Soft Soil structural health evaluation method | |
| CN103258298A (en) | Method for assessing safety of open pit coal mine | |
| CN115994398A (en) | Method for evaluating collapse risk of deep-buried granite tunnel | |
| CN115471097A (en) | A data-driven method for evaluating the safety status of underground local areas | |
| CN111401768A (en) | Subway station safety construction early warning method | |
| Li et al. | Evaluation model of coal mine emergency rescue resource allocation based on weight optimization TOPSIS method | |
| CN110414785A (en) | The Risk Identification Method of deep pit construction | |
| CN116776435A (en) | Method for determining longitudinal multistage damage index threshold of shield tunnel | |
| CN116468180A (en) | A method for early warning and prevention of sudden natural disasters | |
| CN116070919A (en) | Special risk grade assessment method for tunnel construction | |
| CN116988842A (en) | Risk determination method, apparatus and risk determination system for roof fall of coal mine tunnel | |
| CN115456325A (en) | Analysis method for disaster fortification capability of non-coal mine | |
| CN115018244A (en) | Optimization method for dam break disaster risk avoiding transfer scheme of tailing pond | |
| CN113793038B (en) | Karst mountain area subway tunnel engineering disaster partitioning method under multi-factor coupling | |
| CN112907151A (en) | Effectiveness evaluation method for earthquake relief equipment based on utility function method |
| Date | Code | Title | Description |
|---|---|---|---|
| PB01 | Publication | ||
| PB01 | Publication | ||
| SE01 | Entry into force of request for substantive examination | ||
| SE01 | Entry into force of request for substantive examination | ||
| RJ01 | Rejection of invention patent application after publication | ||
| RJ01 | Rejection of invention patent application after publication | Application publication date:20200710 |