Movatterモバイル変換


[0]ホーム

URL:


CN111399321A - Small-size projection optical assembly and projection optical system suitable for near-eye display - Google Patents

Small-size projection optical assembly and projection optical system suitable for near-eye display
Download PDF

Info

Publication number
CN111399321A
CN111399321ACN202010380018.4ACN202010380018ACN111399321ACN 111399321 ACN111399321 ACN 111399321ACN 202010380018 ACN202010380018 ACN 202010380018ACN 111399321 ACN111399321 ACN 111399321A
Authority
CN
China
Prior art keywords
prism
projection optical
light
projection
optical
Prior art date
Legal status (The legal status is an assumption and is not a legal conclusion. Google has not performed a legal analysis and makes no representation as to the accuracy of the status listed.)
Granted
Application number
CN202010380018.4A
Other languages
Chinese (zh)
Other versions
CN111399321B (en
Inventor
程德文
陈海龙
王其为
侯起超
Current Assignee (The listed assignees may be inaccurate. Google has not performed a legal analysis and makes no representation or warranty as to the accuracy of the list.)
Beijing Ned+ar Display Technology Co ltd
Original Assignee
Beijing Ned+ar Display Technology Co ltd
Priority date (The priority date is an assumption and is not a legal conclusion. Google has not performed a legal analysis and makes no representation as to the accuracy of the date listed.)
Filing date
Publication date
Application filed by Beijing Ned+ar Display Technology Co ltdfiledCriticalBeijing Ned+ar Display Technology Co ltd
Priority to CN202010380018.4ApriorityCriticalpatent/CN111399321B/en
Publication of CN111399321ApublicationCriticalpatent/CN111399321A/en
Application grantedgrantedCritical
Publication of CN111399321BpublicationCriticalpatent/CN111399321B/en
Activelegal-statusCriticalCurrent
Anticipated expirationlegal-statusCritical

Links

Images

Classifications

Landscapes

Abstract

The invention provides a miniaturized projection optical assembly suitable for near-eye display, which comprises a lens group, a lens group and a lens group, wherein the lens group is used for correcting aberrations such as chromatic aberration and the like in a system; a prism for correcting off-axis aberrations and a deflection optical axis angle in the system; a wedge angle prism for slightly controlling the angle of the optical axis with respect to the exit pupil plane; the image light passing through the projection optics is coupled into a predetermined waveguide at the exit pupil plane. The projection optical assembly has the advantages of small volume, small vertical axis size not more than 7mm, compact structure and excellent optical performance.

Description

Small-size projection optical assembly and projection optical system suitable for near-eye display
Technical Field
The present invention relates to projection systems in the optical field, and more particularly, to a compact projection optical assembly and projection optical system suitable for use in a near-eye display.
Background
The concept of Augmented Reality (AR) technology is widely spread, and the technology can provide additional superimposed information for users while not shielding the normal observation of the real world by human eyes, effectively broaden the information capacity visible to the human eyes, and has wide application prospects in the fields of education, medical treatment, entertainment and the like. As an important device for realizing augmented reality, the development of a transmissive head-mounted near-eye display has become a hot spot. At present, companies such as EPSON, Google, Microsoft, etc. have been put into development of related technologies and have introduced related products such as ESPON-BT series, Google Glass, Hololens, etc. Patents related to AR have also been issued by Apple inc, which was a major development in the detonation industry in the mobile phone age, with a beneficial market layout.
Among the AR-related technologies, a technology has been developed that can realize enhanced see-through display in the form of a waveguide type element having a flat appearance based on the diffraction principle of physical optics, and this technology has been focused on the merit that the display effect is excellent, the flat state is similar to that of corrective glasses, and the device is suitable for wearing and modeling. The above-mentioned so-called waveguide near-eye display system is mainly composed of two parts: a waveguide type element and a projection section. Due to the limitation of optical principle, the planar waveguide type element cannot provide any focal power and cannot optically amplify an image, so that the performance of the projection part largely determines the quality of the displayed image of the waveguide near-eye display system. Therefore, how to design a light-weight, small-sized and excellent-performance projection unit is a technical problem that needs to be solved urgently.
Disclosure of Invention
In view of the above, the main objective of the present invention is to provide a projection optical assembly suitable for a waveguide type optical element, which is small, light, and compact, and a projection optical system using the same.
A compact projection optics assembly for a near-eye display according to the invention comprises:
a lens group for receiving image light from the microdisplay;
the prism is arranged behind the lens group along the optical path direction and used for correcting off-axis aberration in the system, and comprises at least one effective optical surface which is an aspheric surface or a free-form surface;
the wedge angle prism is arranged on the light emergent side of the prism along the direction of the light path and is used for controlling the angle of the image light relative to the exit pupil plane of the optical component;
the image light passing through the projection optical assembly is coupled to a predetermined waveguide type optical sheet at the exit pupil plane.
Further, the lens assembly comprises at least one cemented lens, wherein the cemented lens comprises at least one negative lens with high refractive index and small abbe number and at least one positive lens with low refractive index and large abbe number.
Preferably, the prism bends the optical axis, and the angle of the optical axis bending is 45-75 degrees.
According to an embodiment of the invention, the effective optical surface of the prism is configured such that total reflection of the image light occurs at least once while propagating therein. The wedge angle prism has the same shape as two adjacent surfaces of the prism.
Preferably, the maximum outer diameters of the lens group and the prism in the vertical axis direction do not exceed 7mm, and the wedge angle prism is smaller than the volume of the prism.
Optionally, the effective optical surface of the wedge prism comprises at least one aspheric surface.
According to the projection optical System constituted by the optical module of the embodiment of the present invention, the image source can be selected from one of a reflective liquid crystal display (L CoS) type Micro display, a MEMS (Micro electro mechanical System) laser scanning mirror, an organic light emitting semiconductor display (O L ED) type, a Micro light emitting diode display (Micro L ED) type, and a liquid crystal display (L CD) type Micro display, and accordingly, the rear intercept of the projection optical module is less than 15 mm.
According to the projection optical assembly and the projection optical system, the volume is remarkably reduced due to the introduction of the prism, and the optical axis angle can be adjusted to a proper position to meet the requirements of integral modeling and arrangement. The projection system has the advantages of small number of units, further help for weight reduction, short overall optical path and compact structure, effectively solves the contradiction of small volume and high optical performance of the projection system for the waveguide type optical element in the near-to-eye display device, and ensures that the volume and the weight of the overall device are more suitable for head wearing.
Drawings
FIG. 1 is a schematic view of a projection optical system in a first embodiment of the present invention;
FIG. 1A is a schematic diagram of the optical performance of the system of FIG. 1;
FIG. 2 is a partial view of an illumination optical path and a projection optical path of the projection optical system in the first embodiment of the present invention;
FIG. 3 is a diagram of the illumination path of a L CoS chip of a conventional projection optical system;
FIG. 4 is a schematic view of an illumination optical path of the projection optical system in the first embodiment of the present invention;
FIG. 5 is a schematic view of a microlens array in the illumination path shown in FIG. 4;
FIG. 6 is a schematic view of a projection optical system in a second embodiment of the present invention;
FIG. 6A is a schematic diagram of the optical performance of the system of FIG. 6;
FIG. 7 is a schematic view of a projection optical system in a third embodiment of the present invention;
fig. 8 is a schematic view of a projection optical system of the present invention configured as a near-eye display device.
Detailed Description
In order to make the objects, technical solutions and advantages of the embodiments of the present invention clearer, the technical solutions in the embodiments of the present invention will be clearly and completely described below with reference to the drawings in the embodiments of the present invention, and it is obvious that the described embodiments are some, but not all, embodiments of the present invention. All other embodiments, which can be obtained by a person skilled in the art without any inventive step based on the embodiments of the present invention, are within the scope of the present invention.
First embodiment
According to a first embodiment of the projection optics according to the invention, the light path is as shown in fig. 1, anexemplary image source 15 is implemented as a L CoS type microdisplay, the image light is provided to the projection optics by theimage source 15, passes through alens group 14, an off-axiscatadioptric prism 13, awedge prism 12, and then reaches theexit pupil plane 11, the image light passing through the projection optics is coupled at theexit pupil plane 11 to a predetermined waveguide type optical sheet according to the use of the projection optics according to the invention.
In the first embodiment, as shown in fig. 1, thelens group 14 is constructed in the form of a cemented lens including a negative lens on the side close to the image source and a positive lens cemented to the negative lens, preferably such that the negative lens is formed of a material having a relatively high refractive index and a small abbe number and the positive lens is formed of a material having a relatively low refractive index and a large abbe number. Thefront surface 110 of the negative lens is adjacent to the image source side, theback surface 109 is cemented to thefront surface 109 of the positive lens, and image light is transmitted out of thelens group 14 from theback surface 108 of the positive lens.
Theprism 13 is configured to be off-axis catadioptric, and includes three optical surfaces 107,104/106,105, wherein thesurface 104/106 is a multiplexing surface, that is, thesurface 104 is defined as the first pass after the image light passes through thesurface 107 of theprism 13 closest to thelens group 14 and is transmitted into theprism 13, and the image light is totally internally reflected on thesurface 104, so that the light energy is not lost, and thesurface 104/106 does not need to be coated to perform the reflection function; transmission occurs when the image light passes a second time after traveling in theprism 13, denoted assurface 106. Whilesurface 105 is also formed as a reflective surface, and preferably, a total reflection coating is plated to achieve high efficiency reflection.
Thelens group 14 is disposed coaxially with the image light emission surface, and the off-axiscatadioptric prism 13 realizes main optical axis folding, and off-axis aberration due to the optical axis folding can be corrected by using an aspherical surface or a free-form surface. Preferably, the three surfaces (107,104/106,105) ofprism 13 can be described as aspherical or free-form surfaces.
Further, the first embodiment of the present invention further includes awedge prism 12 disposed close to theprism 13 to realize a slight optical axis folding, and for better controlling the balanced aberration, the surface of thewedge prism 12 may be described by using an aspheric surface/a free-form surface. Thesurface 103 of the wedge-angle prism is adjacent to thesurface 104/106 of theprism 13 and has the same shape, and in order not to obstruct the occurrence of surface total internal reflection, thesurface 103 and thesurface 104/106 need to keep a certain air space, preferably, the space is 0.1-0.5 mm.
Fig. 1a (a) shows an optical Modulation Transfer Function (MTF) of a projection optical assembly according to a first embodiment of the present invention shown in fig. 1, and fig. 1 b (b) shows a corresponding distortion, which indicates that the assembly has excellent optical performance. In the projection optical assembly of the first embodiment, the optical axis is folded at least once due to the prism, and although the deflection angle can be set to be between-90 ° and 90 °, it is preferable that the angle of folding the optical axis is controlled to be between 45 ° and 80 ° in the first embodiment.
For the requirement of miniaturization, in the first embodiment, the maximum outer diameters in the vertical axis direction of the lens group and the prism are each limited to not more than 7 mm; whereas wedge-angle prism mirror image encompasses a volume that is generally masked under thesurface 104/106 of the prism, the wedge-angle prism volume is also significantly smaller than the volume of the prism.
Exemplary specific optical surface parameters are given in table 1-1, wheresurface 101 is the plane ofexit pupil 11 andsurfaces 103 and 104/106 have the same surface shape, althoughsurfaces 107 and 105 are formed as freeform surfaces andsurfaces 108 and 110 are shown as spherical surface shapes in table 4-1, it will be understood that aspheric surfaces may be used as the surface shapes described above and the front and back surfaces of the beam splitter prism typically required for L CoS type microdisplays are designated assurfaces 111 and 112, which are planar surfaces.
TABLE 1-1
Figure BDA0002481634680000061
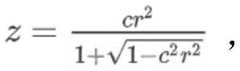
Wherein the surface formed as a sphere satisfies the equation:
Figure BDA0002481634680000062
where c is the inverse of the radius of curvature and r is the radial distance of a point on the surface.
A surface configured as an aspheric surface satisfies the equation:
Figure BDA0002481634680000063
wherein c is the reciprocal of the radius of curvature, r is the radial distance of a point on the surface, k is the conic constant, Ai is the high order term coefficient, see tables 1-2;
the free-form surface constituted as an XY polynomial satisfies the equation:
Figure BDA0002481634680000071
where c is the inverse of the radius of curvature, r is the radial distance of a point on the surface, k is the conic constant, and Cj is the polynomial coefficient, see tables 1-3.
Tables 1 to 2
Figure BDA0002481634680000072
Tables 1 to 3
Figure BDA0002481634680000073
In the first embodiment of the present invention, as shown in FIG. 1, theimage source 15 is implemented by L CoS type microdisplay, and according to the image light generation principle of L CoS, a corresponding illumination light path is added to provide collimated and uniform illumination light for the Display chip 113(Display panel) of L CoS type microdisplay, and accordingly, the back intercept (BF L) of the projection optical assembly should be 6mm < BF L <15mm to accommodate the illumination light path.
As shown in FIG. 2, which shows the way of coupling the illumination light beam into the projection light Path when using L CoS type microdisplay, wherein Path2 represents the projection optical assembly light Path as described in detail in the embodiments, Path1 represents the illumination light Path to L CoS display chip, the illumination light beam first passes through the splitting plane M1 of the splitting prism BS1, reflects to the display chip of L CoS type microdisplay, then the light beam is modulated, and the reflected light beam carries the information of the image to form image light, and transmits again through the splitting plane M1 to the projection optical assembly.
Before entering the light splitting plane, some exemplary ways to satisfy the illumination requirement can be shown in fig. 3, where fig. 3(a) is implemented as a simple L ED lamp panel, which has a compact structure and a small volume, but can provide limited optical power, fig. 3(b) shows an illumination light path composed of L ED and a shaping lens, which has a volume slightly larger than that of the L ED lamp panel, and can effectively increase the optical power, and further, as shown in fig. 3(c), shows an illumination light path composed of L ED, a light guide rod and a shaping lens, which has a larger volume, which can effectively increase the optical power, and can provide a more collimated and uniform illumination light beam, but the ways shown in fig. 3 have adverse effects on the control volume.
In order to keep the volume small, the specific illumination path according to the first embodiment of the present invention is preferably in the form of a microlens array as shown in fig. 4, and includes at least one microlens array, specifically, the light emitted from L ED light source passes through a shaping lens L ens1, the divergence angle of the light beam is adjusted, and further passes through a microlens array L a1 and a microlens array L a2, and the light beam passing through the shaping lens is homogenized by microlens arrays L a1, L a 2. preferably, an aspheric surface, a free-form surface shaping lens or a folding mirror is used to form a shaping lens L ens1, which is produced by using a resin material and an injection molding process, and a glass or resin material may be selected to design the microlens array, and each lenslet array in the microlens array may be described by a spherical surface, an aspheric surface, and a free-form surface, although not shown, the microlens array may be a plane on one side, a lenslet array on the other side, or both sides may be a lenslet array, and have the same or different arrangement, for simplicity, fig. 5 shows a microlens array L a 84, which is used in the first embodiment of the present invention.
Tables 1-4 present exemplary design parameters for L ens1, L a1, and L a2, where the surfaces of shaping lens L ens1 (surface markers 9,10) are formed as aspheric surface shapes and the individual lenslets of microlens arrays L a1, L a2 are formed as spherical surface shapes.
Tables 1 to 4
Surface markingType (B)Radius of curvatureThickness ofPropertiesMicro-lens aperturePitch ofmicro-lenses
1Spherical surfaceInfinite number of elementsInfinite number ofelements
2Spherical surface0.601Lens array 10.2×0.20.2
3Spherical surfaceInfinite number ofelements0
4Spherical surfaceInfinite number ofelements1
5Spherical surfaceInfinite number ofelements0
6Spherical surfaceInfinite number ofelements1Lens array 20.2×0.20.2
7Spherical surface-0.600
8Spherical surfaceInfinite number of elements0.5
9Aspherical surface2.864.17Shaping lens
10Aspherical surface-10.020
Second embodiment
According to a second embodiment of the invention, a similar projection optical assembly is used as in the first embodiment of the invention, but with an O L ED type microdisplay as theimage source 25, as shown in fig. 6.
According to the projection optical assembly of the second embodiment of the present invention, compared with the case of using the L CoS type microdisplay as an image source, the O L ED type microdisplay is a self-light emitting device, and illumination is performed without an additional illumination optical path, which simplifies the complexity of image light formation, and the entire projection optical system can be further reduced in weight because an additional illumination system is not required.
Fig. 6a (a) shows the optical Modulation Transfer Function (MTF) of the projection optics, and fig. 6a (b) shows the corresponding distortion. The system has similar optical performance as compared with the first embodiment, and the maximum outer diameters in the vertical axis direction of the same lens group and prism are each limited to not more than 7 mm.
The parameters of the respective optical surfaces are given in table 2-1, in which thesurface 201 is the plane in which theexit pupil 21 of the projection optical assembly of the second embodiment of the present invention is located, and thesurface 203 and themultiplexing surface 204/206 of theprism 23 have the same surface shape, although thesurfaces 207 and 205 are formed as the surface types of the free curved surfaces and thesurfaces 208 and 210 are shown as the surface shapes of the spherical surfaces in table 2-1, it is understood that the aspherical surfaces may be used as the shapes of the above surfaces.
TABLE 2-1
Figure BDA0002481634680000101
Wherein the surface of the spherical surface is fullThe foot equation is:
Figure BDA0002481634680000102
where c is the inverse of the radius of curvature and r is the radial distance of a point on the surface.
A surface configured as an aspheric surface satisfies the equation:
Figure BDA0002481634680000111
where c is the inverse of the radius of curvature, r is the radial distance of a point on the surface, k is the conic constant, and Ai is the high order term coefficient, as shown in Table 2-2.
The surface of the free-form surface constituted as an XY polynomial satisfies the equation:
Figure BDA0002481634680000112
where c is the inverse of the radius of curvature, r is the radial distance of a point on the surface, k is the conic constant, and Cj is the polynomial coefficient, as shown in tables 2-3.
Tables 2 to 2
Figure BDA0002481634680000113
Tables 2 to 3
Figure BDA0002481634680000114
Figure BDA0002481634680000121
Although the second embodiment of the present invention is illustrated with an O L ED-type microdisplay as the image source, it will be understood by those skilled in the art that other types of microdisplays that are self-emitting or that do not require additional illumination to be inserted in front of the light exit surface of the image, such as a Micro L ED-type microdisplay, and a L CD-type microdisplay that is backlit, can be used as the image source in the second embodiment, accommodating the projection optics shown in the second embodiment since the position of the path of the additional illumination light does not have to be considered, the back-intercept (BF L) of the projection optics can satisfy 2mm < BF L <15mm when using a microdisplay of the type described above.
Third embodiment
According to a third embodiment of the present invention, the embodiment is different from the first embodiment in that it uses a MEMS (Micro electro mechanical System) laser scanning mirror as an image source.
Compared with an O L ED type micro display used as an image source, the MEMS laser scanning mirror has high power and can effectively improve the display brightness of image light, and compared with a L CoS type micro display used as an image source, the MEMS laser scanning mirror used as an image source can omit an illumination light path comprising a shaping lens, further effectively reduces the weight of a projection optical system, and the light effect of laser is also higher than L ED.
Fig. 7(a) shows a projection optical assembly and a projection optical system optical path using the same according to a third embodiment of the present invention, where the projection optical assembly is similar to the first and second embodiments and will not be repeated.
Fig. 7(b) is an enlarged schematic diagram of the operation of the MEMS laser scanning mirror, according to the third embodiment of the present invention, a laser L aser first emits a fine collimated laser beam, wherein, for monochromatic application, only one laser is needed, and for polychromatic application, at least three lasers of red, green and blue are needed, and the three lasers need to be combined by a prism and modulated by a color wheel.
For an image source of a MEMS laser scanning mirror, a laser beam emitted by a laser L aser enters the MEMS scanning mirror, which is a planar mirror capable of two-dimensional rotational movement, i.e., can rotate around the x-axis or the z-axis, and reflects the laser light emitted by the laser to an imagesource position surface 311 of a projection system, for example, when the MEMS is in the P1 position, the reflected laser beam will reach a point A on thesurface 311, then the MEMS rotates around the x-axis, when the MEMS is in the P2 position, the reflected laser beam will reach a point B on thesurface 311. by rotating around both the x-axis and the z-axis, the MEMS scanning mirror can scan a complete image on thesurface 311. in order to allow light to enter the projection optical system, thesurface 311 should have reflection/scattering properties and be substantially formed as a plane.
According to the projection optical assembly and the projection optical system using the same shown in the embodiments of the present invention, an image displayed on a microdisplay near the user's eye (e.g., at the side of the eye, approximately the position of the temple) is projected with magnification to the exit pupil position and then coupled into a waveguide type optical element arranged based on the principle of physical optics, and the transmission and one-dimensional or two-dimensional expansion of the light entering optical element are propagated to the user's eye, so that the user can see the magnified image displayed on the microdisplay, and if the projection optical system of the present invention is implemented with both eyes, the user can see the magnified 3D display image, as shown in fig. 8. The projection optical unit according to the present invention can be miniaturized and can be accommodated in a substantially temple position on the side with the aid of a support and protection structure (not shown), and the flat waveguide type optical element is realized in front of the eye as a lens and is configured as a complete near-eye display device in a form similar to spectacles as a whole. The image displayed on the microdisplay can be transmitted by the central processor by means of a wired, e.g. USB-type C wired interface, which has been implemented as a general purpose, or a wireless network, e.g. a 5G network with large bandwidth and low delay transmission characteristics.
The foregoing is a detailed description of the invention with reference to specific preferred embodiments, and no attempt is made to limit the invention to the particular embodiments disclosed, or modifications and equivalents thereof, since those skilled in the art may make various alterations and equivalents without departing from the spirit and scope of the invention, which should be determined from the claims appended hereto.

Claims (13)

1. A compact projection optics assembly for a near-eye display, the optics assembly comprising:
a lens group (14) for receiving image light from the microdisplay;
a prism (13) disposed behind the lens group in the optical path direction for correcting off-axis aberration in the system, including at least one effective optical surface being an aspherical surface or a free-form surface;
a wedge angle prism (12) disposed on a light exit side of the prism in an optical path direction for controlling an angle of the image light with respect to an exit pupil plane (11) of the optical component;
the image light passing through the projection optics is coupled to a predetermined waveguide type optical sheet at the exit pupil plane (11).
2. The projection optics assembly of claim 1 wherein the lens group comprises at least one cemented lens comprising at least one negative lens with a high refractive index and a small abbe number and at least one positive lens with a low refractive index and a large abbe number.
3. The projection optics assembly according to claim 1, wherein the prism (13) folds the optical axis at an angle of 45 to 75 degrees.
4. Projection optics assembly according to claim 3, wherein the effective optical surface of the prism (13) is configured to cause at least one total reflection of the image light as it propagates therein.
5. Projection optics according to claim 1, wherein the maximum outside diameter in the direction of the vertical axis of the lens group and the prism does not exceed 7mm, the wedge angle prism is smaller than the volume of the prism, and the two adjacent surfaces of the wedge angle prism (13) and the prism (12) have the same shape.
6. The projection optics assembly of claim 5, wherein the effective optical surface of the wedge prism comprises at least one aspheric surface.
7. A projection optical system comprising an optical assembly according to any one of claims 1 to 6, characterized in that it further comprises a reflective liquid crystal display (L CoS) -type image source.
8. The projection optical system of claim 7, wherein the image source 45 comprises: a reflective liquid crystal switching layer;
a polarization beam splitter disposed in front of the reflective light-emitting surface of the switching layer at a predetermined distance;
an L ED light source for providing an initial light beam, and at least one shaping lens (L ens1) disposed between the L ED light source and the polarizing beam splitter for adjusting the divergence angle of the initial light beam and projecting the light onto a microlens array (L A1, L A2) for further homogenizing the light beam.
9. The projection optical system according to claim 8, wherein the polarization beam splitter is a polarization beam splitting cube prism or a beam splitting film having a support structure.
10. The projection optical system of claim 9 wherein said shaping lens has aspheric front and back surfaces for coupling the illumination beam into the optical path.
11. A projection optical System comprising the optical assembly of any one of claims 1 to 6, further comprising a MEMS (Micro electro mechanical System) laser scanning mirror as an image source, said MEMS scanning mirror scanning a complete one-plane image on a reflection/scattering surface (311) at a predetermined position by a laser beam irradiated thereto, said predetermined position being an image source surface position of said projection optical assembly.
12. A projection optical system comprising a projection optical assembly according to any one of claims 1 to 6, characterized in that said projection optical system further comprises an image source of a type selected from one of an organic light emitting semiconductor display (O L ED) type, a Micro light emitting diode display (Micro L ED) type, a liquid crystal display (L CD) type Micro display.
13. The projection optical system according to any of claims 7 to 12, characterized in that the projection optical assembly is comprised with a back intercept of less than 15 mm.
CN202010380018.4A2020-05-082020-05-08Small-size projection optical assembly and projection optical system suitable for near-eye displayActiveCN111399321B (en)

Priority Applications (1)

Application NumberPriority DateFiling DateTitle
CN202010380018.4ACN111399321B (en)2020-05-082020-05-08Small-size projection optical assembly and projection optical system suitable for near-eye display

Applications Claiming Priority (1)

Application NumberPriority DateFiling DateTitle
CN202010380018.4ACN111399321B (en)2020-05-082020-05-08Small-size projection optical assembly and projection optical system suitable for near-eye display

Publications (2)

Publication NumberPublication Date
CN111399321Atrue CN111399321A (en)2020-07-10
CN111399321B CN111399321B (en)2022-04-15

Family

ID=71433661

Family Applications (1)

Application NumberTitlePriority DateFiling Date
CN202010380018.4AActiveCN111399321B (en)2020-05-082020-05-08Small-size projection optical assembly and projection optical system suitable for near-eye display

Country Status (1)

CountryLink
CN (1)CN111399321B (en)

Cited By (7)

* Cited by examiner, † Cited by third party
Publication numberPriority datePublication dateAssigneeTitle
CN113795783A (en)*2021-08-062021-12-14香港应用科技研究院有限公司 Display-integrated imaging device for head-mounted display
CN114578550A (en)*2020-11-302022-06-03精工爱普生株式会社 Display modules and display devices
CN115657266A (en)*2022-09-162023-01-31北京凌宇世纪信息科技有限公司Optical lens module and virtual reality equipment
CN116027552A (en)*2021-10-272023-04-28宁波舜宇光电信息有限公司 Optical components and optical projection systems for near-eye displays
WO2023168861A1 (en)*2022-03-102023-09-14歌尔光学科技有限公司Optical projection system and electronic device
CN116755255A (en)*2023-08-172023-09-15歌尔光学科技有限公司 Projection display systems and projection equipment
CN119376111A (en)*2024-11-192025-01-28北京理工大学 A multi-viewpoint retinal projection augmented reality near-eye display optical system

Citations (16)

* Cited by examiner, † Cited by third party
Publication numberPriority datePublication dateAssigneeTitle
JP2002107656A (en)*2000-09-272002-04-10Mixed Reality Systems Laboratory IncPicture display device and head-mounted display using the same
US20040070854A1 (en)*2002-10-092004-04-15Young Optics Inc.Projection optical system having a wedge prism
CN103837988A (en)*2014-03-052014-06-04杭州科汀光学技术有限公司Minitype near-to-eye display optical system
CN105334608A (en)*2015-12-052016-02-17中国航空工业集团公司洛阳电光设备研究所Prism optical system
CN105629478A (en)*2016-04-012016-06-01北京耐德佳显示技术有限公司Visual optical imaging device and binocular near-eye display by using the same
CN106019595A (en)*2016-07-272016-10-12上海渺视光学科技有限公司Large-exit-pupil large-visual-field augmented reality optical system
CN106646885A (en)*2016-12-302017-05-10苏州苏大维格光电科技股份有限公司Projection object lens and three dimensional display apparatus
CN106855655A (en)*2015-12-082017-06-16铭异科技股份有限公司Asymmetric curved surface prism image display optical system
TW201738620A (en)*2016-04-252017-11-01Min Aik Technology Co LtdAsymmetric curved-surface prismatic image display optical system a second prism and a third prism are respectively arranged in front of and behind a first prism
CN107329273A (en)*2017-08-292017-11-07京东方科技集团股份有限公司A kind of nearly eye display device
CN107450188A (en)*2017-08-312017-12-08深圳珑璟光电技术有限公司A kind of nearly eye display device of 3D and method
CN107656371A (en)*2017-10-162018-02-02苏州耐德佳天成光电科技有限公司Optical system with diopter adjustment function
CN108152952A (en)*2016-12-062018-06-12深圳市谛源光科有限公司A kind of nearly eye display optical system
CN110221428A (en)*2018-03-022019-09-10蒋晶Near-eye display system
CN110376738A (en)*2019-06-132019-10-25浙江大学A kind of light-duty free form surface waveguide type visual optical imaging device of big visual field and its near-eye display system
CN211905857U (en)*2018-11-112020-11-10鲁姆斯有限公司Near-eye display

Patent Citations (17)

* Cited by examiner, † Cited by third party
Publication numberPriority datePublication dateAssigneeTitle
JP2002107656A (en)*2000-09-272002-04-10Mixed Reality Systems Laboratory IncPicture display device and head-mounted display using the same
US20040070854A1 (en)*2002-10-092004-04-15Young Optics Inc.Projection optical system having a wedge prism
CN103837988A (en)*2014-03-052014-06-04杭州科汀光学技术有限公司Minitype near-to-eye display optical system
CN105334608A (en)*2015-12-052016-02-17中国航空工业集团公司洛阳电光设备研究所Prism optical system
CN105334608B (en)*2015-12-052018-06-26中国航空工业集团公司洛阳电光设备研究所A kind of prism optical system
CN106855655A (en)*2015-12-082017-06-16铭异科技股份有限公司Asymmetric curved surface prism image display optical system
CN105629478A (en)*2016-04-012016-06-01北京耐德佳显示技术有限公司Visual optical imaging device and binocular near-eye display by using the same
TW201738620A (en)*2016-04-252017-11-01Min Aik Technology Co LtdAsymmetric curved-surface prismatic image display optical system a second prism and a third prism are respectively arranged in front of and behind a first prism
CN106019595A (en)*2016-07-272016-10-12上海渺视光学科技有限公司Large-exit-pupil large-visual-field augmented reality optical system
CN108152952A (en)*2016-12-062018-06-12深圳市谛源光科有限公司A kind of nearly eye display optical system
CN106646885A (en)*2016-12-302017-05-10苏州苏大维格光电科技股份有限公司Projection object lens and three dimensional display apparatus
CN107329273A (en)*2017-08-292017-11-07京东方科技集团股份有限公司A kind of nearly eye display device
CN107450188A (en)*2017-08-312017-12-08深圳珑璟光电技术有限公司A kind of nearly eye display device of 3D and method
CN107656371A (en)*2017-10-162018-02-02苏州耐德佳天成光电科技有限公司Optical system with diopter adjustment function
CN110221428A (en)*2018-03-022019-09-10蒋晶Near-eye display system
CN211905857U (en)*2018-11-112020-11-10鲁姆斯有限公司Near-eye display
CN110376738A (en)*2019-06-132019-10-25浙江大学A kind of light-duty free form surface waveguide type visual optical imaging device of big visual field and its near-eye display system

Cited By (11)

* Cited by examiner, † Cited by third party
Publication numberPriority datePublication dateAssigneeTitle
CN114578550A (en)*2020-11-302022-06-03精工爱普生株式会社 Display modules and display devices
CN114578550B (en)*2020-11-302024-03-08精工爱普生株式会社 Display modules and display devices
CN113795783A (en)*2021-08-062021-12-14香港应用科技研究院有限公司 Display-integrated imaging device for head-mounted display
CN113795783B (en)*2021-08-062024-02-06香港应用科技研究院有限公司 Display-integrated imaging device for head-mounted displays
CN116027552A (en)*2021-10-272023-04-28宁波舜宇光电信息有限公司 Optical components and optical projection systems for near-eye displays
WO2023168861A1 (en)*2022-03-102023-09-14歌尔光学科技有限公司Optical projection system and electronic device
CN115657266A (en)*2022-09-162023-01-31北京凌宇世纪信息科技有限公司Optical lens module and virtual reality equipment
CN116755255A (en)*2023-08-172023-09-15歌尔光学科技有限公司 Projection display systems and projection equipment
CN116755255B (en)*2023-08-172023-11-17歌尔光学科技有限公司Projection display system and projection apparatus
CN119376111A (en)*2024-11-192025-01-28北京理工大学 A multi-viewpoint retinal projection augmented reality near-eye display optical system
CN119376111B (en)*2024-11-192025-09-16北京理工大学Multi-viewpoint retina projection augmented reality near-to-eye display optical system

Also Published As

Publication numberPublication date
CN111399321B (en)2022-04-15

Similar Documents

PublicationPublication DateTitle
CN111399321B (en)Small-size projection optical assembly and projection optical system suitable for near-eye display
US11307414B2 (en)Near-eye display system
CN109557666B (en)Near-eye optical imaging system, near-eye display device and head-mounted display device
CN108957750A (en)Optical system wears display equipment and intelligent glasses
US20070177275A1 (en)Personal Display Using an Off-Axis Illuminator
WO2016160099A2 (en)Display devices with reflectors
KR101421199B1 (en)Lens system for head mounted display
US11175483B2 (en)Wide field of view head mounted display
JP7230072B2 (en) display system
CN111610631B (en) Optical system and near-eye display device
US11036051B2 (en)Head wearable display using powerless optical combiner
US20200166753A1 (en)Exit pupil expansion via curved waveguide
WO2017223167A1 (en)Optics of wearable display devices
CN118068563B (en) Optical systems and display devices
TW202424570A (en)Optical lens assembly and head-mounted electronic device
CN215117019U (en)Optical lens group and near-to-eye display device
CN117406441A (en)Optical system for virtual image display device, and head-mounted display
CN218956921U (en)Optical machine module and near-to-eye display device
CN113504654A (en)Near-to-eye display optical system
CN119689708A (en) A large-field-of-view compact eyepiece lens and near-eye display device for near-eye display
CN107272203B (en)Refractive, diffractive and reflective head-mounted display optical system
CN114594575A (en)Optical projection system and electronic equipment
CN111487777B (en) A foldable micro-projection lens
CN117192777B (en) Optical systems and head mounted display devices
CN216285988U (en)Off-axis optical module and head-mounted display equipment

Legal Events

DateCodeTitleDescription
PB01Publication
PB01Publication
SE01Entry into force of request for substantive examination
SE01Entry into force of request for substantive examination
GR01Patent grant
GR01Patent grant

[8]ページ先頭

©2009-2025 Movatter.jp