






技术领域technical field
本发明属于光学成像技术领域,具体涉及一种具有折叠光路的光学显示系统及AR设备。The invention belongs to the technical field of optical imaging, and in particular relates to an optical display system with a folded optical path and an AR device.
背景技术Background technique
增强现实(AR,Augmented Reality)是通过光学器件结合计算机技术将现实世界与虚拟世界叠加在一起的一种技术,该技术可以实现用户同时与现实世界和虚拟世界进行互动,可带给用户全新的交互体验。穿透式光学显示系统是增强现实领域的核心技术之一。目前使用增强显示技术的可穿戴设备已广泛应用在游戏、零售、教育、工业,医疗等领域。Augmented reality (AR, Augmented Reality) is a technology that superimposes the real world and the virtual world through optical devices combined with computer technology. This technology enables users to interact with the real world and the virtual world at the same time. interactive experience. Transmissive optical display system is one of the core technologies in the field of augmented reality. At present, wearable devices using enhanced display technology have been widely used in games, retail, education, industry, medical and other fields.
目前,穿透式光学显示技术可以分为几何光学方案为主的:Birdbath、普通反射棱镜、自由曲面棱镜等方案和以衍射光学为主的阵列光波导、衍射光波导等方案。其中以几何光学方案为主的思路,相比衍射方案具有技术成熟,器件加工方便,组装公差要求小等特点,但是这一类方案受限于光源器件以及AR系统整体尺寸、重量、价格的要求,普遍存在尺寸、价格、视场、性能、观测距离无法兼顾的问题,且显示内容容易泄露,保密性较差;对于近视用户,还需额外添加近视镜片配合光学系统共同使用。这些缺点都降低了增强现实可穿戴设备的使用体验。At present, transmissive optical display technology can be divided into geometric optics schemes: Birdbath, ordinary reflection prism, free-form prism and other schemes, and diffractive optics-based array optical waveguides, diffractive optical waveguides and other schemes. Among them, the geometric optics scheme is the main idea. Compared with the diffraction scheme, it has the characteristics of mature technology, convenient device processing, and small assembly tolerance requirements. However, this type of scheme is limited by the light source device and the overall size, weight and price of the AR system. , there are generally problems that size, price, field of view, performance, and observation distance cannot be taken into account, and the display content is easy to leak, and the confidentiality is poor; for myopic users, additional myopia lenses are required to be used together with the optical system. These shortcomings all degrade the experience of using augmented reality wearables.
发明内容SUMMARY OF THE INVENTION
本发明实施方式的目的在于提供一种具有折叠光路的光学显示系统,其体积小,成像质量好,视场角范围大。The purpose of the embodiments of the present invention is to provide an optical display system with a folded optical path, which is small in size, has good imaging quality, and has a wide field of view.
本发明实施方式的又一个目的在于提供一种AR设备,其穿戴方便,能够适配近视用户,提升用户体验和沉浸感。Another object of the embodiments of the present invention is to provide an AR device, which is convenient to wear, can adapt to myopic users, and improve user experience and immersion.
本发明的实施方式是这样实现的:Embodiments of the present invention are implemented as follows:
本发明的实施方式提供了一种具有折叠光路的光学显示系统,包括显示器、第一光学系统组件和第二光学系统组件,所述第一光学系统组件设置于所述显示器的出光光路上,所述第二光学系统组件包括第一光学镜片和第二光学镜片,所述第一光学镜片设置于所述第一光学系统组件的出光光路上,所述第二光学镜片设置于所述第一光学镜片的反射光光路上,所述第一光学镜片的光轴与所述第一光学系统组件的出光光路形成夹角β,其满足20°≤β≤70°。Embodiments of the present invention provide an optical display system with a folded optical path, including a display, a first optical system component and a second optical system component, the first optical system component is disposed on the light exit light path of the display, and the The second optical system component includes a first optical lens and a second optical lens, the first optical lens is disposed on the light exit light path of the first optical system assembly, and the second optical lens is disposed on the first optical lens On the optical path of the reflected light of the lens, the optical axis of the first optical lens forms an angle β with the light exit path of the first optical system component, which satisfies 20°≤β≤70°.
可选的,所述第一光学镜片包括第一透镜、第一偏振吸收膜、第一偏振反射膜、第一相位延迟膜和第一增透膜;Optionally, the first optical lens includes a first lens, a first polarization absorption film, a first polarization reflection film, a first phase retardation film, and a first anti-reflection film;
所述第一偏振吸收膜设置于所述第一透镜的靠近所述第一光学系统组件的一侧,所述第一偏振反射膜设置于所述第一偏振吸收膜的远离所述第一透镜的一侧,所述第一相位延迟膜设置于所述第一偏振反射膜的远离所述第一透镜的一侧,所述第一增透膜的数量为两片且分别设置于第一相位延迟膜的远离所述第一透镜的一侧和所述第一透镜的远离所述第一偏振吸收膜的一侧;The first polarized absorbing film is arranged on the side of the first lens close to the first optical system component, and the first polarized reflective film is arranged on the side of the first polarized absorbing film away from the first lens The first phase retardation film is arranged on the side of the first polarizing reflective film away from the first lens, and the number of the first anti-reflection films is two, and they are respectively arranged on the first phase a side of the retardation film away from the first lens and a side of the first lens away from the first polarizing absorption film;
或者,所述第一偏振吸收膜设置于所述第一透镜的远离所述第一光学系统组件的一侧,所述第一偏振反射膜设置于所述第一透镜的靠近所述第一光学系统组件的一侧,所述第一相位延迟膜设置于所述第一偏振反射膜的远离所述第一透镜的一侧,所述第一增透膜的数量为两片且分别设置于所述第一相位延迟膜的远离所述第一透镜的一侧和所述第一偏振吸收膜的远离所述第一透镜的一侧;Alternatively, the first polarized absorbing film is disposed on the side of the first lens away from the first optical system component, and the first polarization reflective film is disposed on the first lens close to the first optical system On one side of the system component, the first phase retardation film is disposed on the side of the first polarizing reflective film away from the first lens, and the number of the first anti-reflection films is two, and they are respectively disposed on the side of the first lens. a side of the first phase retardation film away from the first lens and a side of the first polarization absorption film away from the first lens;
或者,所述第一相位延迟膜设置于所述第一透镜的远离所述第一光学系统组件的一侧,所述第一偏振反射膜设置于所述第一相位延迟膜的远离所述第一透镜的一侧,所述第一偏振吸收膜设置于所述第一偏振反射膜远离所述第一透镜的一侧,所述第一增透膜的数量为两片且分别设置于第一偏振吸收膜的远离所述第一透镜的一侧和所述第一透镜的远离所述第一光学系统组件的一侧。Alternatively, the first phase retardation film is arranged on a side of the first lens away from the first optical system component, and the first polarizing reflection film is arranged at a side of the first phase retardation film away from the first optical system component. One side of a lens, the first polarized absorbing film is disposed on the side of the first polarized reflective film away from the first lens, the number of the first anti-reflection films is two, and they are respectively disposed on the first A side of the polarizing absorption film away from the first lens and a side of the first lens away from the first optical system component.
可选的,所述第二光学镜片包括第二透镜、补偿镜、第二相位延迟膜、第二线性偏振膜、第二部分透射部分反射膜和第二增透膜;Optionally, the second optical lens includes a second lens, a compensation mirror, a second phase retardation film, a second linear polarizing film, a second partial transmission and partial reflection film, and a second anti-reflection film;
所述补偿镜设置于所述第二透镜的远离所述第一光学镜片的一侧,所述第二相位延迟膜设置于所述补偿镜的远离所述第二透镜的一侧,所述第二线性偏振膜设置于所述第二相位延迟膜的远离所述第二透镜的一侧,所述第二增透膜设置于所述第二线性偏振膜的远离所述第二透镜的一侧,所述第二部分透射部分反射膜设置于所述第二透镜远离所述补偿镜的一侧;The compensating mirror is arranged on the side of the second lens away from the first optical lens, the second phase retardation film is arranged on the side of the compensating mirror away from the second lens, and the first The second linear polarizing film is arranged on the side of the second phase retardation film away from the second lens, and the second anti-reflection film is arranged on the side of the second linear polarizing film away from the second lens , the second partial transmission and partial reflection film is arranged on the side of the second lens away from the compensation mirror;
或者,所述第二部分透射部分反射膜设置于所述第二透镜的远离所述第一光学镜片的一侧,所述补偿镜设置于所述第二部分透射部分反射膜的远离所述第一光学镜片的一侧,所述第二相位延迟膜设置于所述补偿镜的远离所述第二透镜的一侧,所述第二线性偏振膜设置于所述第二相位延迟膜的远离所述第二透镜的一侧,所述第二增透膜设置于所述第二线性偏振膜的远离所述第二透镜的一侧。Alternatively, the second partially transmissive and partially reflective film is disposed on a side of the second lens away from the first optical lens, and the compensation mirror is disposed on a side of the second partially transmissive and partially reflective film away from the first optical lens. One side of an optical lens, the second phase retardation film is arranged on the side of the compensation mirror away from the second lens, and the second linear polarizing film is arranged on the side of the second phase retardation film away from all one side of the second lens, the second anti-reflection film is disposed on the side of the second linear polarizing film away from the second lens.
可选的,所述第二透镜的靠近所述第一光学镜片的一侧表面的曲率半径为R211,所述第二透镜的远离所述第一光学镜片的一侧表面的曲率半径为R212,其满足:10mm≤|R211|,10mm≤|R212|。Optionally, the radius of curvature of the side surface of the second lens close to the first optical lens is R211, and the radius of curvature of the side surface of the second lens away from the first optical lens is R212, It satisfies: 10mm≤|R211|, 10mm≤|R212|.
可选的,所述第一光学系统组件包括第三光学镜片和第四光学镜片,所述第三光学镜片设置于所述显示器的出光光路上,所述第四光学镜片设置于所述第三光学镜片的透射光光路上,所述第四光学镜片为全反射镜片,所述第一光学镜片设置于所述第三光学镜片的反射光光路上。Optionally, the first optical system component includes a third optical lens and a fourth optical lens, the third optical lens is disposed on the light exit light path of the display, and the fourth optical lens is disposed on the third optical lens. On the optical path of the transmitted light of the optical lens, the fourth optical lens is a total reflection lens, and the first optical lens is arranged on the optical path of the reflected light of the third optical lens.
可选的,所述第三光学镜片包括第三透镜、第三偏振反射膜、第三相位延迟膜和第三增透膜;Optionally, the third optical lens includes a third lens, a third polarized reflection film, a third phase retardation film and a third anti-reflection film;
所述第三偏振反射膜设置于所述第三透镜的远离所述显示器的一侧,所述第三相位延迟膜设置于所述第三偏振反射膜的远离所述第三透镜的一侧,所述第三增透膜的数量为两片且分别设置于所述第三透镜的靠近所述显示器的一侧和所述第三相位延迟膜的远离所述第三透镜的一侧;The third polarizing reflective film is arranged on the side of the third lens away from the display, and the third phase retardation film is arranged on the side of the third polarizing reflective film away from the third lens, The number of the third anti-reflection film is two, and they are respectively arranged on the side of the third lens close to the display and the side of the third phase retardation film far away from the third lens;
或者,所述第三偏振反射膜设置于所述第三透镜的靠近所述显示器的一侧,所述第三相位延迟膜设置于所述第三透镜的远离所述显示器的一侧,所述第三增透膜的数量为两片且分别设置于所述第三偏振反射膜的靠近所述显示器的一侧和所述第三相位延迟膜的远离所述第三透镜的一侧;Alternatively, the third polarizing reflective film is arranged on the side of the third lens close to the display, the third phase retardation film is arranged on the side of the third lens away from the display, the The number of third anti-reflection films is two, and they are respectively disposed on the side of the third polarizing reflective film close to the display and the side of the third phase retardation film far away from the third lens;
或者,所述第三相位延迟膜设置于所述第三透镜的靠近所述显示器的一侧,所述第三偏振反射膜设置于所述第三相位延迟膜的远离所述第三透镜的一侧,所述第三增透膜的数量为两片且分别设置于所述第三透镜的远离所述显示器的一侧和所述第三偏振反射膜的远离所述第三透镜的一侧;所述第四光学镜片为全反射镜片。Alternatively, the third phase retardation film is disposed on a side of the third lens close to the display, and the third polarizing reflective film is disposed on a side of the third phase retardation film far from the third lens side, the number of the third anti-reflection film is two, and they are respectively arranged on the side of the third lens away from the display and the side of the third polarizing reflective film away from the third lens; The fourth optical lens is a total reflection lens.
可选的,所述第三光学镜片包括第三透镜、第三偏振膜、第三偏振反射膜、第三相位延迟膜和第三增透膜;Optionally, the third optical lens includes a third lens, a third polarizing film, a third polarizing reflection film, a third phase retardation film and a third anti-reflection film;
所述第三偏振膜设置于所述第三透镜的靠近所述显示器的一侧,所述第三偏振反射膜设置于所述第三透镜的远离所述显示器的一侧,所述第三相位延迟膜设置于所述第三偏振反射膜的远离所述第三透镜的一侧,所述第三增透膜的数量为两片且分别设置于所述第三偏振膜的远离所述第三透镜的一侧和所述第三相位延迟膜的远离所述第三透镜的一侧;The third polarizing film is arranged on the side of the third lens close to the display, the third polarizing reflective film is arranged on the side of the third lens away from the display, and the third phase The retardation film is arranged on the side of the third polarizing reflective film away from the third lens, and the number of the third anti-reflection films is two, and they are respectively arranged on the side of the third polarizing film away from the third lens. one side of the lens and the side of the third phase retardation film away from the third lens;
或者,所述第三偏振膜设置于所述第三透镜的远离所述显示器的一侧,所述第三偏振反射膜设置于所述第三偏振膜的远离所述第三透镜的一侧,所述第三相位延迟膜设置于所述第三偏振反射膜的远离所述第三透镜的一侧,所述第三增透膜的数量为两片且分别设置于所述第三透镜的靠近所述显示器的一侧和所述第三相位延迟膜的远离所述第三透镜的一侧;Alternatively, the third polarizing film is arranged on the side of the third lens away from the display, and the third polarizing reflective film is arranged on the side of the third polarizing film away from the third lens, The third phase retardation film is arranged on the side of the third polarizing reflective film away from the third lens, and the number of the third anti-reflection films is two, and they are respectively arranged near the third lens. a side of the display and a side of the third phase retardation film away from the third lens;
或者,所述第三相位延迟膜设置于所述第三透镜的靠近所述显示器的一侧,所述第三偏振反射膜设置于所述第三相位延迟膜的远离所述第三透镜的一侧,所述第三偏振膜设置于所述第三偏振反射膜的远离所述第三透镜的一侧,所述第三增透膜的数量为两片且分别设置于所述第三透镜的远离所述显示器的一侧和所述第三偏振膜的远离所述第三透镜的一侧;所述第四光学镜片为全反射镜片。Alternatively, the third phase retardation film is disposed on a side of the third lens close to the display, and the third polarizing reflective film is disposed on a side of the third phase retardation film far from the third lens side, the third polarizing film is arranged on the side of the third polarizing reflective film away from the third lens, the number of the third anti-reflection films is two and they are respectively arranged on the side of the third lens The side away from the display and the side away from the third lens of the third polarizing film; the fourth optical lens is a total reflection lens.
可选的,所述第一光学系统组件包括第三光学镜片和第四光学镜片,所述第三光学镜片设置于所述显示器的出光光路上,所述第四光学镜片设置于所述第三光学镜片的反射光光路上,所述第四光学镜片为全反射镜片,所述第一光学镜片设置于所述第三光学镜片的透射光光路上。Optionally, the first optical system component includes a third optical lens and a fourth optical lens, the third optical lens is disposed on the light exit light path of the display, and the fourth optical lens is disposed on the third optical lens. On the reflected light path of the optical lens, the fourth optical lens is a total reflection lens, and the first optical lens is disposed on the transmitted light path of the third optical lens.
可选的,所述第三光学镜片包括第三透镜、第三偏振反射膜、第三相位延迟膜、第四相位延迟膜和第三增透膜;Optionally, the third optical lens includes a third lens, a third polarized reflection film, a third phase retardation film, a fourth phase retardation film and a third anti-reflection film;
所述第三偏振反射膜设置于所述第三透镜的靠近所述显示器的一侧,所述第三相位延迟膜设置于所述第三偏振反射膜的远离第三透镜的一侧,所述第四相位延迟膜设置于所述第三透镜的远离所述显示器的一侧,所述第三增透膜的数量为两片且分别设置于所述第三相位延迟膜的远离所述第三透镜的一侧和所述第四相位延迟膜的远离所述第三透镜的一侧;The third polarized reflective film is arranged on the side of the third lens close to the display, the third phase retardation film is arranged on the side of the third polarized reflective film away from the third lens, the The fourth phase retardation film is arranged on the side of the third lens away from the display, and the number of the third anti-reflection films is two, and they are respectively arranged on the side of the third phase retardation film away from the third phase retardation film. one side of the lens and the side of the fourth phase retardation film away from the third lens;
或者,所述第四相位延迟膜设置于所述第三透镜的靠近所述显示器的一侧,所述第三偏振反射膜设置于所述第四相位延迟膜的远离所述第三透镜的一侧,所述第三相位延迟膜设置于所述第三偏振反射膜的远离第三透镜的一侧,所述第三增透膜的数量为两片且分别设置于所述第三透镜的远离所述显示器的一侧和所述第三相位延迟膜的远离所述第三透镜的一侧;Alternatively, the fourth phase retardation film is disposed on a side of the third lens close to the display, and the third polarizing reflection film is disposed on a side of the fourth phase retardation film far from the third lens side, the third phase retardation film is disposed on the side of the third polarizing reflective film away from the third lens, the number of the third anti-reflection films is two and they are respectively disposed away from the third lens a side of the display and a side of the third phase retardation film away from the third lens;
或者,所述第三相位延迟膜设置于所述第三透镜的远离所述显示器的一侧,所述第三偏振反射膜设置于所述第三相位延迟膜的远离所述第三透镜的一侧,所述第四相位延迟膜设置于所述第三偏振反射膜的远离第三透镜的一侧,所述第三增透膜的数量为两片且分别设置于所述第四相位延迟膜的远离所述第三透镜的一侧和所述第三透镜的靠近所述显示器的一侧。Alternatively, the third phase retardation film is arranged on a side of the third lens away from the display, and the third polarizing reflection film is arranged at a side of the third phase retardation film away from the third lens side, the fourth phase retardation film is arranged on the side of the third polarizing reflective film away from the third lens, the number of the third anti-reflection films is two and they are respectively arranged on the fourth phase retardation film the side away from the third lens and the side of the third lens close to the display.
可选的,所述显示器与所述第三光学镜片之间的光路上设有第五光学镜片,所述第三光学镜片与所述第四光学镜片之间的光路上设有第六光学镜片,所述第三光学镜片与所述第一光学镜片之间的光路上设有第七光学镜片,所述第五光学镜片、所述第六光学镜片和所述第七光学镜片均为透射镜。Optionally, a fifth optical lens is provided on the optical path between the display and the third optical lens, and a sixth optical lens is provided on the optical path between the third optical lens and the fourth optical lens , a seventh optical lens is arranged on the optical path between the third optical lens and the first optical lens, and the fifth optical lens, the sixth optical lens and the seventh optical lens are all transmission lenses .
可选的,所述显示器与所述第三光学镜片之间的光路上设有第八光学镜片,所述第三光学镜片与所述第四光学镜片之间的光路上设有第六光学镜片,所述第三光学镜片与所述第一光学镜片之间的光路上设有第七光学镜片,所述第六光学镜片和所述第七光学镜片均为透射镜;Optionally, an eighth optical lens is provided on the optical path between the display and the third optical lens, and a sixth optical lens is provided on the optical path between the third optical lens and the fourth optical lens , a seventh optical lens is arranged on the optical path between the third optical lens and the first optical lens, and both the sixth optical lens and the seventh optical lens are transmission mirrors;
所述第八光学镜片包括第八透镜、第八偏振膜、第八相位延迟膜和第八增透膜;The eighth optical lens includes an eighth lens, an eighth polarizing film, an eighth phase retardation film and an eighth anti-reflection film;
所述第八相位延迟膜设置于所述第八透镜的靠近所述显示器的一侧,所述第八偏振膜设置于所述第八相位延迟膜的远离所述第八透镜的一侧,所述第八增透膜的数量为两片且分别设置于所述第八偏振膜的靠近所述显示器的一侧和所述第八透镜的远离所述显示器的一侧;The eighth phase retardation film is arranged on the side of the eighth lens close to the display, and the eighth polarizing film is arranged on the side of the eighth phase retardation film away from the eighth lens, so The number of the eighth anti-reflection film is two, and they are respectively arranged on the side of the eighth polarizing film close to the display and the side of the eighth lens away from the display;
或者,所述第八相位延迟膜设置于所述第八透镜的远离所述显示器的一侧,所述第八偏振膜设置于所述第八透镜的靠近所述显示器的一侧,所述第八增透膜的数量为两片且分别设置于所述第八偏振膜的远离所述第八透镜的一侧和所述第八相位延迟膜的远离所述第八透镜的一侧;Alternatively, the eighth phase retardation film is disposed on a side of the eighth lens away from the display, the eighth polarizing film is disposed on a side of the eighth lens close to the display, and the first The number of eight anti-reflection films is two, and they are respectively arranged on the side of the eighth polarizing film away from the eighth lens and the side of the eighth phase retardation film away from the eighth lens;
或者,所述第八偏振反射膜设置于所述第八透镜的远离所述显示器的一侧,所述第八相位延迟膜设置于所述第八偏振反射膜的远离所述第八透镜的一侧,所述第八增透膜的数量为两片且分别设置于所述第八透镜的靠近所述显示器的一侧和所述第八相位延迟膜的远离所述第八透镜的一侧。Alternatively, the eighth polarizing reflective film is disposed on a side of the eighth lens away from the display, and the eighth phase retardation film is disposed on a side of the eighth polarizing reflective film that is far away from the eighth lens The number of the eighth anti-reflection film is two, and they are respectively disposed on the side of the eighth lens close to the display and the side of the eighth phase retardation film away from the eighth lens.
可选的,所述第一透镜的中心与所述第三透镜的中心之间的间距为T1,所述第一透镜的中心与所述第二透镜的中心之间的间距为T2,所述第三透镜的中心与所述第四光学镜片的中心之间的间距为T3,所述第三透镜的中心与所述显示器之间的间距为T4,其满足:T1≤50mm,T2≤50mm,T3+T4≤70mm。Optionally, the distance between the center of the first lens and the center of the third lens is T1, the distance between the center of the first lens and the center of the second lens is T2, and the The distance between the center of the third lens and the center of the fourth optical lens is T3, and the distance between the center of the third lens and the display is T4, which satisfies: T1≤50mm, T2≤50mm, T3+T4≤70mm.
可选的,所述第四光学镜片的靠近所述第三光学镜片的一侧表面的曲率半径为R40,其满足:10mm≤|R40|。Optionally, the radius of curvature of the surface of the side of the fourth optical lens close to the third optical lens is R40, which satisfies: 10mm≤|R40|.
可选的,所述第三光学镜片的光轴与所述显示器的出光光路形成的夹角为α,20°≤α≤70°。Optionally, the angle formed between the optical axis of the third optical lens and the light exit light path of the display is α, and 20°≤α≤70°.
可选的,该光学显示系统的视场角为FOV,其满足:30°≤FOV≤60°;该光学显示系统的焦距为f,其满足:|f|≤60mm;所述第一光学系统组件的焦距为f1,其满足:10mm≤|f1|≤100mm;所述第二光学系统组件的焦距为f2,其满足:10mm≤|f2|≤100mm;该光学显示系统的像高为IMGH,其满足:0.5≤|f1/IMGH|≤10,0.5≤|f2/IMGH|≤10,|IMGH/f|≤6。Optionally, the field of view of the optical display system is FOV, which satisfies: 30°≤FOV≤60°; the focal length of the optical display system is f, which satisfies: |f|≤60mm; the first optical system The focal length of the component is f1, which satisfies: 10mm≤|f1|≤100mm; the focal length of the second optical system component is f2, which satisfies: 10mm≤|f2|≤100mm; The image height of the optical display system is IMGH, It satisfies: 0.5≤|f1/IMGH|≤10, 0.5≤|f2/IMGH|≤10, and |IMGH/f|≤6.
可选的,该光学显示系统能够形成观察者可看到的虚像,该光学显示系统在右手直角坐标系O-xyz中,定义所述显示器的出光光路方向为Z轴负方向,则人眼相对该具有折叠光路的光学显示系统可在Z方向或Y方向移动的范围为EB,其满足5mm≤EB≤25mm;人眼距离所述第二光学系统组件中最外侧的一片光学镜片的距离为ER,其满足0.2≤ER/EB≤5;该具有折叠光路的光学显示系统形成的虚像距离人眼的距离为OB,0.1m≤OB≤10m。Optionally, the optical display system can form a virtual image that can be seen by the observer. In the right-handed rectangular coordinate system O-xyz, the optical display system defines the direction of the light exit light path of the display as the negative direction of the Z axis, then the human eye is relatively The optical display system with the folded optical path can move in the Z direction or the Y direction in a range of EB, which satisfies 5mm≤EB≤25mm; the distance between the human eye and the outermost optical lens in the second optical system component is ER , which satisfies 0.2≤ER/EB≤5; the distance between the virtual image formed by the optical display system with the folded optical path and the human eye is OB, and 0.1m≤OB≤10m.
可选的,所述第三光学镜片和所述第四光学镜片的光路方向与Z轴方向一致,所述第一光学镜片的反射光光路方向与X轴方向一致。Optionally, the optical path direction of the third optical lens and the fourth optical lens is consistent with the Z-axis direction, and the optical path direction of the reflected light of the first optical lens is consistent with the X-axis direction.
上述各光学镜片中,增透膜的作用是为了提高光学镜片的透过率,降低杂散光对系统带来的影响;部分透射部分反射膜的作用是为了让部分光线透射过光学镜片,部分光线被反射,从而实现同时观察现实世界和虚拟世界;偏振吸收膜的作用是吸收某一方向的线偏振光,透射另一方向的线偏振光;偏振反射膜的作用是反射某一方向的线偏振光,透射另一方向的线偏振光;相位延迟膜为四分之一波片,其作用是将圆偏振光转为线偏振光或将线偏振光转为圆偏振光。Among the above optical lenses, the function of the anti-reflection film is to improve the transmittance of the optical lens and reduce the influence of stray light on the system; the function of the partially transmitted and partially reflective film is to allow part of the light to transmit through the optical lens, and part of the light to pass through the optical lens. The function of polarized absorbing film is to absorb linearly polarized light in one direction and transmit linearly polarized light in another direction; the function of polarized reflective film is to reflect linearly polarized light in one direction Light, transmits linearly polarized light in the other direction; the phase retardation film is a quarter-wave plate, and its function is to convert circularly polarized light to linearly polarized light or convert linearly polarized light to circularly polarized light.
本发明揭露的各光学镜片中,所有的偏振吸收膜、偏振反射膜和相位延迟膜的厚度均小于0.5mm。In each optical lens disclosed in the present invention, the thicknesses of all the polarized absorption films, polarized reflection films and retardation films are all less than 0.5 mm.
本发明中,制成上述各光学镜片的材料可以为塑料或玻璃,所选材料的折射率为N,色散系数为V,其满足1.3<N<1.8,20<V<90。In the present invention, the material for making the above optical lenses can be plastic or glass, the refractive index of the selected material is N, and the dispersion coefficient is V, which satisfies 1.3<N<1.8 and 20<V<90.
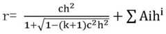
上述各透镜的非球面(ASP)曲线方程式如下:The aspheric surface (ASP) curve equations of each of the above lenses are as follows:
公式中r为非球面沿光轴方向在高度为h的位置时,距离非球面定点的距离矢高,c为非球面的曲率,即c=1/R(R为曲率半径),k为圆锥系数,Ai是非球面第i阶的系数。In the formula, r is the distance vector height from the fixed point of the aspheric surface when the aspheric surface is at a position of height h along the optical axis, and c is the curvature of the aspheric surface, that is, c=1/R (R is the radius of curvature), and k is the cone coefficient , Ai is the coefficient of the i-th order of the aspheric surface.
本发明的实施方式还提供了一种AR设备,包括穿戴部件和上述所述的具有折叠光路的光学显示系统,所述具有折叠光路的光学显示系统设置于所述穿戴部件上。Embodiments of the present invention also provide an AR device, comprising a wearable component and the above-mentioned optical display system with a folded optical path, wherein the optical display system with a folded optical path is disposed on the wearable component.
本发明的有益效果为:The beneficial effects of the present invention are:
本发明实施方式提供的光学显示系统,其体积小,成像质量好,视场角范围大。The optical display system provided by the embodiment of the present invention has a small volume, good imaging quality, and a wide field of view.
本发明实施方式提供的AR设备,其穿戴方便,可通过调节系统适配不同近视程度的人使用,实现近视用户无需额外近视镜片就同时可看清楚数字世界和真实世界,保证观看舒适性。The AR device provided by the embodiment of the present invention is easy to wear, and can be used by people with different degrees of myopia through the adjustment system, so that myopic users can see the digital world and the real world clearly without additional myopia lenses at the same time, ensuring viewing comfort.
附图说明Description of drawings
图1为本发明实施例一的具有折叠光路的光学显示系统的光学架构示意图;1 is a schematic diagram of an optical structure of an optical display system with a folded optical path according to Embodiment 1 of the present invention;
图2为本发明实施例一的MTF曲线图;Fig. 2 is the MTF curve diagram of Embodiment 1 of the present invention;
图3为本发明实施例二的具有折叠光路的光学显示系统的光学架构示意图;3 is a schematic diagram of an optical structure of an optical display system with a folded optical path according to Embodiment 2 of the present invention;
图4为本发明实施例二的MTF曲线图;Fig. 4 is the MTF curve diagram of the second embodiment of the present invention;
图5为本发明实施例三的具有折叠光路的光学显示系统的光学架构示意图;5 is a schematic diagram of an optical structure of an optical display system with a folded optical path according to Embodiment 3 of the present invention;
图6为本发明实施例三的MTF曲线图;Fig. 6 is the MTF curve diagram of the third embodiment of the present invention;
图7为本发明实施例四的AR设备的结构示意图;7 is a schematic structural diagram of an AR device according to Embodiment 4 of the present invention;
图中:10-第一光学镜片;11-第一透镜;12-第一偏振吸收膜;13-第一偏振反射膜;14-第一相位延迟膜;15-第一增透膜;20-第二光学镜片;21-第二透镜;22-补偿镜;23-第二相位延迟膜;24-第二线性偏振膜;25-第二部分透射部分反射膜;26-第二增透膜;30-第三光学镜片;31-第三透镜;32-第三偏振反射膜;33-第三相位延迟膜;34-第三增透膜;35-第三偏振膜;36-第四相位延迟膜;40-第四光学镜片;50-第五光学镜片;60-第六光学镜片;70-第七光学镜片;80-第八光学镜片;81-第八透镜;82-第八偏振膜;83-第八相位延迟膜;84-第八增透膜;90-显示器;91-人眼;92-穿戴部件;100-具有折叠光路的光学显示系统;200-具有折叠光路的光学显示系统;300-具有折叠光路的光学显示系统。In the figure: 10- the first optical lens; 11- the first lens; 12- the first polarized absorption film; 13- the first polarized reflection film; 14- the first phase retardation film; 15- the first anti-reflection film; 20- 21-second lens; 22-compensating mirror; 23-second phase retardation film; 24-second linear polarizing film; 25-second partial transmission and partial reflection film; 26-second anti-reflection film; 30-the third optical lens; 31-the third lens; 32-the third polarizing reflection film; 33-the third phase retardation film; 34-the third anti-reflection film; 35-the third polarizing film; 36-the fourth phase retardation Film; 40-fourth optical lens; 50-fifth optical lens; 60-sixth optical lens; 70-seventh optical lens; 80-eighth optical lens; 81-eighth lens; 82-eighth polarizing film; 83-eighth phase retardation film; 84-eighth anti-reflection film; 90-display; 91-human eye; 92-wearable part; 100-optical display system with folded optical path; 200-optical display system with folded optical path; 300 - Optical display system with folded optical path.
具体实施方式Detailed ways
为使本发明实施方式的目的、技术方案和优点更加清楚,下面将结合本发明实施方式中的附图,对本发明实施方式中的技术方案进行清楚、完整地描述,显然,所描述的实施方式是本发明一部分实施方式,而不是全部的实施方式。通常在此处附图中描述和示出的本发明实施方式的组件可以以各种不同的配置来布置和设计。In order to make the purposes, technical solutions and advantages of the embodiments of the present invention clearer, the technical solutions in the embodiments of the present invention will be clearly and completely described below with reference to the accompanying drawings in the embodiments of the present invention. Obviously, the described embodiments These are some embodiments of the present invention, but not all of them. The components of the embodiments of the invention generally described and illustrated in the drawings herein may be arranged and designed in a variety of different configurations.
需要说明的是,在不冲突的情况下,本发明中的实施方式及实施方式中的特征可以相互组合。It should be noted that the embodiments of the present invention and the features of the embodiments may be combined with each other without conflict.
在本发明的描述中,需要说明的是,术语“第一”、“第二”、“第三”等仅用于区分描述,而不能理解为指示或暗示相对重要性。In the description of the present invention, it should be noted that the terms "first", "second", "third", etc. are only used to distinguish the description, and cannot be understood as indicating or implying relative importance.
实施例1Example 1
参考图1所示,本发明实施例一提供了一种具有折叠光路的光学显示系统100,包括显示器90、第一光学系统组件和第二光学系统组件。Referring to FIG. 1 , Embodiment 1 of the present invention provides an
显示器90主要起到发出光线的作用,显示器90可显示2D或3D的图像或视频,显示器90可以采用OLED显示器、LCD显示器、LCOS显示器、micro-LED显示器、micro-OLED显示器或mini-LED显示器等,本实施例中,显示器90采用OLED显示器。The
第一光学系统组件包括第三光学镜片30和第四光学镜片40,第三光学镜片30设置于显示器90的出光光路上,第四光学镜片40设置于第三光学镜片30的透射光光路上,第四光学镜片40为全反射镜片。The first optical system component includes a third
第三光学镜片30的光轴与显示器90的出光光路形成的夹角为α,α=45°。当然,α也可以为20°、30°、40°、50°、60°、70°等。The angle formed between the optical axis of the third
第四光学镜片40的靠近第三光学镜片30的一侧表面的曲率半径为R40,其满足:R40=28mm。The curvature radius of the side surface of the fourth
第三光学镜片30包括第三透镜31、第三偏振反射膜32、第三相位延迟膜33和第三增透膜34。第三偏振反射膜32设置于第三透镜31的远离显示器90的一侧,第三相位延迟膜33设置于第三偏振反射膜32的远离第三透镜31的一侧,第三增透膜34的数量为两片且分别设置于第三透镜31的靠近显示器90的一侧和第三相位延迟膜33的远离第三透镜31的一侧。The third
第二光学系统组件包括第一光学镜片10和第二光学镜片20,第一光学镜片10设置于第三光学镜片30的反射光光路上,第二光学镜片20设置于第一光学镜片10的反射光光路上。The second optical system component includes a first optical lens 10 and a second
第一光学镜片10的光轴与第三光学镜片30的反射光光路形成夹角β,其满足β=45°。当然,β也可以为20°、30°、40°、50°、60°、70°等。The optical axis of the first optical lens 10 and the reflected light path of the third
第一光学镜片10包括第一透镜11、第一偏振吸收膜12、第一偏振反射膜13、第一相位延迟膜14和第一增透膜15。第一偏振吸收膜12设置于第一透镜11的靠近第一光学系统组件的一侧,第一偏振反射膜13设置于第一偏振吸收膜12的远离第一透镜11的一侧,第一相位延迟膜14设置于第一偏振反射膜13的远离第一透镜11的一侧,第一增透膜15的数量为两片且分别设置于第一相位延迟膜14的远离第一透镜11的一侧和第一透镜11的远离第一偏振吸收膜12的一侧。The first optical lens 10 includes a
第二光学镜片20包括第二透镜21、补偿镜22、第二相位延迟膜23、第二线性偏振膜24、第二部分透射部分反射膜25和第二增透膜26。补偿镜22设置于第二透镜21的远离第一光学镜片10的一侧,第二相位延迟膜23设置于补偿镜22的远离第二透镜21的一侧,第二线性偏振膜24设置于第二相位延迟膜23的远离第二透镜21的一侧,第二增透膜26设置于第二线性偏振膜24的远离第二透镜21的一侧,第二部分透射部分反射膜25设置于第二透镜21远离补偿镜22的一侧。The second
第二透镜21的靠近第一光学镜片10的一侧表面的曲率半径为R211,第二透镜21的远离第一光学镜片10的一侧表面的曲率半径为R212,其满足:|R211|=43.49mm,|R212|=43.49mm。The curvature radius of the side surface of the
显示器90与第三光学镜片30之间的光路上还可以设有第五光学镜片50,第三光学镜片30与第四光学镜片40之间的光路上还可以设有第六光学镜片60,第三光学镜片30与第一光学镜片10之间的光路上还可以设有第七光学镜片70,第五光学镜片50、第六光学镜片60和第七光学镜片70均为透射镜。第五光学镜片50、第六光学镜片60和第七光学镜片70的数量均可以是一片或多片。A fifth
本实施例中的具有折叠光路的光学显示系统的视场角FOV=42°;焦距f=16.15mm,第一光学系统组件的焦距为f1=21.747mm,第二光学系统组件的焦距为f2=21.960mm。The field of view of the optical display system with the folded optical path in this embodiment is FOV=42°; the focal length is f=16.15mm, the focal length of the first optical system component is f1=21.747mm, and the focal length of the second optical system component is f2= 21.960mm.
该光学显示系统的像高为IMGH,其满足:|f1/IMGH|=1.7,|f2/IMGH|=1.7,|IMGH/f|=1.2。The image height of the optical display system is IMGH, which satisfies: |f1/IMGH|=1.7, |f2/IMGH|=1.7, and |IMGH/f|=1.2.
第一透镜11的中心与第三透镜31的中心之间的间距为T1,第一透镜11的中心与第二透镜21的中心之间的间距为T2,第三透镜31的中心与所述第四光学镜片40的中心之间的间距为T3,第三透镜31的中心与显示器90之间的间距为T4,其满足:T1=19.5mm,T2=40mm,T3+T4=30mm。The distance between the center of the
该具有折叠光路的光学显示系统在右手直角坐标系O-xyz中,定义所述显示器90的出光光路方向为Z轴负方向,则人眼91相对该光学显示系统可在Z方向或Y方向移动的范围为EB(Eye Box),其满足5mm≤EB≤25mm;人眼91距离所述光学系统组件中最外侧的一片光学镜片的距离为ER(Eye Relief),其满足0.2≤ER/EB≤5;该具有折叠光路的光学显示系统形成的虚像距离人眼91的可调节距离为OB,0.1m≤OB≤10m。EB和ER越大,可以保证人眼91在更大范围内移动时,都可以看到显示完整且清晰的画面。The optical display system with the folded optical path is in the right-hand rectangular coordinate system O-xyz, and the direction of the light exiting optical path of the
需要说明的是,第三光学镜片30和第四光学镜片40的光路方向与Z轴方向一致,第一光学镜片10的反射光光路方向与X轴方向一致。It should be noted that the optical path directions of the third
本实施例中的各光学结构的详细参数参见表一和表二。For the detailed parameters of each optical structure in this embodiment, please refer to Table 1 and Table 2.
表一Table I
表二Table II
表一为实施例一的相关光学结构数据,因为在光学设计软件中,光路是反向设计,因此表面S0到S49依序表示光线由虚像位置至显示器90依次经过的表面。其中厚度表示光线从该表面到达下一表面的距离,0表示两个表面紧贴,负值表示光线在该表面发生反射。Table 1 shows the relevant optical structure data of the first embodiment, because in the optical design software, the optical path is reversely designed, so the surfaces S0 to S49 sequentially represent the surfaces that the light passes through from the virtual image position to the
表二为实施例一中相关光学结构的非球面数据,其中k为上述曲线方程式中的圆锥系数,A4到A10表示各表面第4到第10阶非球面系数。Table 2 shows the aspheric surface data of the relevant optical structures in Example 1, wherein k is the conic coefficient in the above curve equation, and A4 to A10 represent the 4th to 10th order aspheric coefficients of each surface.
图2为本实施例的MTF曲线图,MTF是Modulation Transfer Function的缩写,是描述光学系统性能的一种方式,可以评判光学系统还原对比度的能力。横轴代表空间频率,纵轴代表对比度,实线表示子午方向,虚线表示弧矢方向。从图中可以看出,该光学系统在不同视场不同方向都有较好的解析力。FIG. 2 is an MTF graph of the present embodiment. MTF is an abbreviation of Modulation Transfer Function, which is a way to describe the performance of an optical system, and can judge the ability of the optical system to restore contrast. The horizontal axis represents spatial frequency, the vertical axis represents contrast, the solid line represents the meridional direction, and the dashed line represents the sagittal direction. It can be seen from the figure that the optical system has good resolving power in different fields of view and different directions.
本实施例的具有折叠光路的光学显示系统的成像原理如下:The imaging principle of the optical display system with the folded optical path of this embodiment is as follows:
显示器90发出的无偏振光线首先进入第五光学镜片50,光线从第五光学镜片50透射出去进入第三光学镜片30,经过第三光学镜片30处理后变为圆偏振光透射出去,然后进入第六光学镜片60,从第六光学镜片60透射出去的光线进入第四光学镜片40,光线在第四光学镜片40中被反射,然后再次进入第六光学镜片60,从第六光学镜片60透射出去的光线再次进入第三光学镜片30且被反射进入第七光学镜片70,光学从第七光学镜片70透射出去进入第一光学镜片10,光线在第一光学镜片10中被反射变进入第二光学镜片20,光线在第二光学镜片20被反射再次进入第一光学镜片10,然后被第一光学镜片10处理变为线偏振光透射出去到达人眼91形成特定成像位置和特定放大倍数的虚像。The unpolarized light emitted by the
第二相位延迟膜23和第二线性偏振膜24的设置可以实现吸收泄露光,同时对通过光学系统观察外部世界的影响也较小。The arrangement of the second
通过合理的设置光学显示系统中各光学透镜表面的面型参数可以大大的减小光学显示系统的像差,提高系统分辨率,提升画质。By reasonably setting the surface parameters of each optical lens surface in the optical display system, the aberration of the optical display system can be greatly reduced, the system resolution can be improved, and the image quality can be improved.
实施例2Example 2
参考图3所示,本发明实施例二提供了一种具有折叠光路的光学显示系统200,包括显示器90、第一光学系统组件和第二光学系统组件。Referring to FIG. 3 , Embodiment 2 of the present invention provides an optical display system 200 with a folded optical path, including a
显示器90主要起到发出光线的作用,显示器90可显示2D或3D的图像或视频,显示器90可以采用OLED显示器、LCD显示器、LCOS显示器、micro-LED显示器、micro-OLED显示器或mini-LED显示器等,本实施例中,显示器90采用OLED显示器。The
第一光学系统组件包括第三光学镜片30和第四光学镜片40,第三光学镜片30设置于显示器90的出光光路上,第四光学镜片40设置于第三光学镜片30的透射光光路上,第四光学镜片40为全反射镜片。The first optical system component includes a third
第三光学镜片30的光轴与显示器90的出光光路形成的夹角为α,α=45°。当然,α也可以为20°、30°、40°、50°、60°、65°、70°等。The angle formed between the optical axis of the third
第四光学镜片40的靠近第三光学镜片30的一侧表面的曲率半径为R40,其满足:R40=31mm。The curvature radius of the side surface of the fourth
第三光学镜片30包括第三透镜31、第三偏振膜35、第三偏振反射膜32、第三相位延迟膜33和第三增透膜34。第三偏振膜35设置于第三透镜31的靠近显示器90的一侧,第三偏振反射膜32设置于第三透镜31的远离显示器90的一侧,第三相位延迟膜33设置于第三偏振反射膜32的远离第三透镜31的一侧,第三增透膜34的数量为两片且分别设置于第三偏振膜35的远离第三透镜31的一侧和第三相位延迟膜33的远离第三透镜31的一侧。The third
第二光学系统组件包括第一光学镜片10和第二光学镜片20,第一光学镜片10设置于第三光学镜片30的反射光光路上,第二光学镜片20设置于第一光学镜片10的反射光光路上。The second optical system component includes a first optical lens 10 and a second
第一光学镜片10的光轴与第三光学镜片30的反射光光路形成夹角β,其满足β=45°。当然,β也可以为20°、30°、40°、50°、60°、70°等。The optical axis of the first optical lens 10 and the reflected light path of the third
第一光学镜片10包括第一透镜11、第一偏振吸收膜12、第一偏振反射膜13、第一相位延迟膜14和第一增透膜15。第一偏振吸收膜12设置于第一透镜11的远离第一光学系统组件的一侧,第一偏振反射膜13设置于第一透镜11的靠近第一光学系统组件的一侧,第一相位延迟膜14设置于第一偏振反射膜13的远离第一透镜11的一侧,第一增透膜15的数量为两片且分别设置于第一相位延迟膜14的远离第一透镜11的一侧和第一偏振吸收膜12的远离第一透镜11的一侧。The first optical lens 10 includes a
第二光学镜片20包括第二透镜21、补偿镜22、第二相位延迟膜23、第二线性偏振膜24、第二部分透射部分反射膜25和第二增透膜26。第二部分透射部分反射膜25设置于第二透镜21的远离第一光学镜片10的一侧,补偿镜22设置于第二部分透射部分反射膜25的远离第一光学镜片10的一侧,第二相位延迟膜23设置于补偿镜22的远离第二透镜21的一侧,第二线性偏振膜24设置于第二相位延迟膜23的远离第二透镜21的一侧,第二增透膜26设置于第二线性偏振膜24的远离第二透镜21的一侧。The second
第二透镜21的靠近第一光学镜片10的一侧表面的曲率半径为R211,第二透镜21的远离第一光学镜片10的一侧表面的曲率半径为R212,其满足:|R211|=44.4mm,|R212|=44.4mm。The curvature radius of the side surface of the
显示器90与第三光学镜片30之间的光路上还可以设有第五光学镜片50,第三光学镜片30与第四光学镜片40之间的光路上还可以设有第六光学镜片60,第三光学镜片30与第一光学镜片10之间的光路上还可以设有第七光学镜片70,第五光学镜片50、第六光学镜片60和第七光学镜片70均为透射镜。第五光学镜片50、第六光学镜片60和第七光学镜片70的数量均可以是一片或多片。A fifth
本实施例中的具有折叠光路的光学显示系统的视场角FOV=46°;焦距f=16.17mm,第一光学系统组件的焦距为f1=34.83mm,第二光学系统组件的焦距为f2=22.19mm。The field of view of the optical display system with the folded optical path in this embodiment is FOV=46°; the focal length is f=16.17mm, the focal length of the first optical system component is f1=34.83mm, and the focal length of the second optical system component is f2= 22.19mm.
该光学显示系统的像高为IMGH,其满足:|f1/IMGH|=2.7,|f2/IMGH|=1.7,|IMGH/f|=1.24。The image height of the optical display system is IMGH, which satisfies: |f1/IMGH|=2.7, |f2/IMGH|=1.7, and |IMGH/f|=1.24.
第一透镜11的中心与第三透镜31的中心之间的间距为T1,第一透镜11的中心与第二透镜21的中心之间的间距为T2,第三透镜31的中心与所述第四光学镜片40的中心之间的间距为T3,第三透镜31的中心与显示器90之间的间距为T4,其满足:T1=19.7mm,T2=39.6mm,T3+T4=33mm。The distance between the center of the
该具有折叠光路的光学显示系统在右手直角坐标系O-xyz中,定义所述显示器90的出光光路方向为Z轴负方向,则人眼91相对该光学显示系统可在Z方向或Y方向移动的范围为EB(Eye Box),其满足5mm≤EB≤25mm;人眼91距离所述光学系统组件中最外侧的一片光学镜片的距离为ER(Eye Relief),其满足0.2≤ER/EB≤5;该具有折叠光路的光学显示系统形成的虚像距离人眼91的可调节距离为OB,0.1m≤OB≤10m。EB和ER越大,可以保证人眼91在更大范围内移动时,都可以看到显示完整且清晰的画面。The optical display system with the folded optical path is in the right-hand rectangular coordinate system O-xyz, and the direction of the light exiting optical path of the
需要说明的是,第三光学镜片30和第四光学镜片40的光路方向与Z轴方向一致,第一光学镜片10的反射光光路方向与X轴方向一致。It should be noted that the optical path directions of the third
本实施例中的各光学结构的详细参数参见表三和表四。For detailed parameters of each optical structure in this embodiment, please refer to Table 3 and Table 4.
表三Table 3
表四Table 4
表三为实施例二的相关光学结构数据,因为在光学设计软件中,光路是反向设计,因此表面S0到S56依序表示光线由虚像位置至显示器90依次经过的表面。其中厚度表示光线从该表面到达下一表面的距离,0表示两个表面紧贴,负值表示光线在该表面发生反射。Table 3 shows the relevant optical structure data of the second embodiment, because in the optical design software, the optical path is reversed, so the surfaces S0 to S56 sequentially represent the surfaces that the light passes through from the virtual image position to the
表四为实施例二中相关光学结构的非球面数据,其中k为上述曲线方程式中的圆锥系数,A4到A10表示各表面第4到第10阶非球面系数。Table 4 shows the aspheric surface data of the relevant optical structures in Example 2, wherein k is the conic coefficient in the above curve equation, and A4 to A10 represent the 4th to 10th order aspheric coefficients of each surface.
图4为本实施例的MTF曲线图,MTF是Modulation Transfer Function的缩写,是描述光学系统性能的一种方式,可以评判光学系统还原对比度的能力。横轴代表空间频率,纵轴代表对比度,实线表示子午方向,虚线表示弧矢方向。从图中可以看出,该光学系统在不同视场不同方向都有较好的解析力。FIG. 4 is an MTF curve diagram of the present embodiment. MTF is an abbreviation of Modulation Transfer Function, which is a way to describe the performance of an optical system, and can judge the ability of the optical system to restore contrast. The horizontal axis represents spatial frequency, the vertical axis represents contrast, the solid line represents the meridional direction, and the dashed line represents the sagittal direction. It can be seen from the figure that the optical system has good resolving power in different fields of view and different directions.
本实施例的具有折叠光路的光学显示系统的成像原理如下:The imaging principle of the optical display system with the folded optical path of this embodiment is as follows:
显示器90发出的无偏振光线首先进入第五光学镜片50,光线从第五光学镜片50透射出去进入第三光学镜片30,经过第三光学镜片30处理后变为圆偏振光透射出去,然后进入第六光学镜片60,从第六光学镜片60透射出去的光线进入第四光学镜片40,光线在第四光学镜片40中被反射,然后再次进入第六光学镜片60,从第六光学镜片60透射出去的光线再次进入第三光学镜片30且被反射进入第七光学镜片70,光学从第七光学镜片70透射出去进入第一光学镜片10,光线在第一光学镜片10中被反射变进入第二光学镜片20,光线在第二光学镜片20被反射再次进入第一光学镜片10,然后被第一光学镜片10处理变为线偏振光透射出去到达人眼91形成特定成像位置和特定放大倍数的虚像。The unpolarized light emitted by the
第二相位延迟膜23和第二线性偏振膜24的设置可以实现吸收泄露光,同时对通过光学系统观察外部世界的影响也较小。The arrangement of the second
通过合理的设置光学显示系统中各光学透镜表面的面型参数可以大大的减小光学显示系统的像差,提高系统分辨率,提升画质。By reasonably setting the surface parameters of each optical lens surface in the optical display system, the aberration of the optical display system can be greatly reduced, the system resolution can be improved, and the image quality can be improved.
实施例3Example 3
参考图5所示,本发明实施例三提供了一种具有折叠光路的光学显示系统300,包括显示器90、第一光学系统组件和第二光学系统组件。Referring to FIG. 5 , Embodiment 3 of the present invention provides an optical display system 300 with a folded optical path, including a
显示器90主要起到发出光线的作用,显示器90可显示2D或3D的图像或视频,显示器90可以采用OLED显示器、LCD显示器、LCOS显示器、micro-LED显示器、micro-LED显示器或mini-LED显示器等,本实施例中,显示器90采用OLED显示器。The
第一光学系统组件包括第三光学镜片30和第四光学镜片40,第三光学镜片30设置于显示器90的出光光路上,第四光学镜片40设置于第三光学镜片30的反射光光路上,第四光学镜片40为全反射镜片。The first optical system component includes a third
第三光学镜片30的光轴与显示器90的出光光路形成的夹角为α,α=45°。当然,α也可以为20°、30°、40°、50°、60°、65°等。The angle formed between the optical axis of the third
第四光学镜片40的靠近第三光学镜片30的一侧表面的曲率半径为R40,其满足:R40=32mm。The radius of curvature of the surface of the fourth
第三光学镜片30包括第三透镜31、第三偏振反射膜32、第三相位延迟膜33、第四相位延迟膜36和第三增透膜34。第三偏振反射膜32设置于第三透镜31的靠近显示器90的一侧,第三相位延迟膜33设置于第三偏振反射膜32的远离第三透镜31的一侧,第四相位延迟膜36设置于第三透镜31的远离显示器90的一侧,第三增透膜34的数量为两片且分别设置于第三相位延迟膜33的远离第三透镜31的一侧和第四相位延迟膜36的远离第三透镜31的一侧。The third
第二光学系统组件包括第一光学镜片10和第二光学镜片20,第一光学镜片10设置于第三光学镜片30的反射光光路上,第二光学镜片20设置于第一光学镜片10的反射光光路上。The second optical system component includes a first optical lens 10 and a second
第一光学镜片10的光轴与第三光学镜片30的反射光光路形成夹角β,其满足β=45°。当然,β也可以为20°、30°、40°、50°、60°、70°等。The optical axis of the first optical lens 10 and the reflected light path of the third
第一光学镜片10包括第一透镜11、第一偏振吸收膜12、第一偏振反射膜13、第一相位延迟膜14和第一增透膜15。第一相位延迟膜14设置于第一透镜11的远离第一光学系统组件的一侧,第一偏振反射膜13设置于第一相位延迟膜14的远离第一透镜11的一侧,第一偏振吸收膜12设置于第一偏振反射膜13远离第一透镜11的一侧,第一增透膜15的数量为两片且分别设置于第一偏振吸收膜12的远离第一透镜11的一侧和第一透镜11的远离第一光学系统组件的一侧。The first optical lens 10 includes a
第二光学镜片20包括第二透镜21、补偿镜22、第二相位延迟膜23、第二线性偏振膜24、第二部分透射部分反射膜25和第二增透膜26。第二部分透射部分反射膜25设置于第二透镜21的靠近第一光学镜片10的一侧,补偿镜22设置于第一光学镜片10的远离第二部分透射部分反射膜25的一侧,第二相位延迟膜23设置于补偿镜22的远离第二透镜21的一侧,第二线性偏振膜24设置于第二相位延迟膜23的远离第二透镜21的一侧,第二增透膜26设置于第二线性偏振膜24的远离第二透镜21的一侧。The second
第二透镜21的靠近第一光学镜片10的一侧表面的曲率半径为R211,第二透镜21的远离第一光学镜片10的一侧表面的曲率半径为R212,其满足:|R211|=44.9mm,|R212|=44.9mm。The curvature radius of the side surface of the
显示器90与第三光学镜片30之间的光路上还可以设有第八光学镜片80,第三光学镜片30与第四光学镜片40之间的光路上还可以设有第六光学镜片60,第三光学镜片30与第一光学镜片10之间的光路上还可以设有第七光学镜片70,第六光学镜片60和第七光学镜片70均为透射镜。第六光学镜片60和第七光学镜片70的数量均可以是一片或多片。An eighth
第八光学镜片80包括第八透镜81、第八偏振膜82、第八相位延迟膜83和第八增透膜84。第八相位延迟膜83设置于第八透镜81的靠近显示器90的一侧,第八偏振膜82设置于第八相位延迟膜83的远离第八透镜81的一侧,第八增透膜84的数量为两片且分别设置于第八偏振膜82的靠近显示器90的一侧和第八透镜81的远离显示器90的一侧。The eighth
本实施例中的具有折叠光路的光学显示系统的视场角FOV=42°;焦距f=16.60mm,第一光学系统组件的焦距为f1=63.348m,第二光学系统组件的焦距为f2=22.472mm。The field of view of the optical display system with the folded optical path in this embodiment is FOV=42°; the focal length is f=16.60mm, the focal length of the first optical system component is f1=63.348m, and the focal length of the second optical system component is f2= 22.472mm.
该光学显示系统的像高为IMGH,其满足:|f1/IMGH|=4.8,|f2/IMGH|=1.7,|IMGH/f|=1.3。The image height of the optical display system is IMGH, which satisfies: |f1/IMGH|=4.8, |f2/IMGH|=1.7, and |IMGH/f|=1.3.
第一透镜11的中心与第三透镜31的中心之间的间距为T1,第一透镜11的中心与第二透镜21的中心之间的间距为T2,第三透镜31的中心与所述第四光学镜片40的中心之间的间距为T3,第三透镜31的中心与显示器90之间的间距为T4,其满足:T1=18.0mm,T2=39mm,T3+T4=35mm。The distance between the center of the
该具有折叠光路的光学显示系统在右手直角坐标系O-xyz中,定义所述显示器90的出光光路方向为Z轴负方向,则人眼91相对该光学显示系统可在Z方向或Y方向移动的范围为EB(Eye Box),其满足5mm≤EB≤25mm;人眼91距离所述光学系统组件中最外侧的一片光学镜片的距离为ER(Eye Relief),其满足0.2≤ER/EB≤5;该具有折叠光路的光学显示系统形成的虚像距离人眼91的可调节距离为OB,0.1m≤OB≤10m。EB和ER越大,可以保证人眼91在更大范围内移动时,都可以看到显示完整且清晰的画面。The optical display system with the folded optical path is in the right-hand rectangular coordinate system O-xyz, and the direction of the light exiting optical path of the
需要说明的是,第三光学镜片30和第四光学镜片40的光路方向与Z轴方向一致,第一光学镜片10的反射光光路方向与X轴方向一致。It should be noted that the optical path directions of the third
本实施例中的各光学结构的详细参数参见表五和表六。The detailed parameters of each optical structure in this embodiment are shown in Tables 5 and 6.
表五Table 5
表六Table 6
表五为实施例三的相关光学结构数据,因为在光学设计软件中,光路是反向设计,因此表面S0到S63依序表示光线由虚像位置至显示器90依次经过的表面。其中厚度表示光线从该表面到达下一表面的距离,0表示两个表面紧贴,负值表示光线在该表面发生反射。Table 5 shows the relevant optical structure data of Example 3, because in the optical design software, the optical path is reversed, so the surfaces S0 to S63 sequentially represent the surfaces that the light passes through from the virtual image position to the
表六为实施例三中相关光学结构的非球面数据,其中k为上述曲线方程式中的圆锥系数,A4到A10表示各表面第4到第10阶非球面系数。Table 6 shows the aspheric surface data of the relevant optical structure in Example 3, wherein k is the conic coefficient in the above curve equation, and A4 to A10 represent the 4th to 10th order aspheric coefficients of each surface.
图6为本实施例的MTF曲线图,MTF是Modulation Transfer Function的缩写,是描述光学系统性能的一种方式,可以评判光学系统还原对比度的能力。横轴代表空间频率,纵轴代表对比度,实线表示子午方向,虚线表示弧矢方向。从图中可以看出,该光学系统在不同视场不同方向都有较好的解析力。FIG. 6 is an MTF graph of the present embodiment. MTF is an abbreviation of Modulation Transfer Function, which is a way to describe the performance of an optical system, and can judge the ability of the optical system to restore contrast. The horizontal axis represents spatial frequency, the vertical axis represents contrast, the solid line represents the meridional direction, and the dashed line represents the sagittal direction. It can be seen from the figure that the optical system has good resolving power in different fields of view and different directions.
本实施例的具有折叠光路的光学显示系统的成像原理如下:The imaging principle of the optical display system with the folded optical path of this embodiment is as follows:
显示器90发出的无偏振光线首先进入第八光学镜片80,光线从第八光学镜片80透射出去进入第三光学镜片30,经过第三光学镜片30处理后变为圆偏振光反射出去,然后进入第六光学镜片60,从第六光学镜片60透射出去的光线进入第四光学镜片40,光线在第四光学镜片40中被反射,然后进入第六光学镜片60,从第六光学镜片60透射出去的光线再次进入第三光学镜片30且透射进入第七光学镜片70,光学从第七光学镜片70透射出去进入第一光学镜片10,光线在第一光学镜片10中被反射变进入第二光学镜片20,光线在第二光学镜片20被反射再次进入第一光学镜片10,然后被第一光学镜片10处理变为线偏振光透射出去到达人眼91形成特定成像位置和特定放大倍数的虚像。The unpolarized light emitted by the
第二相位延迟膜23和第二线性偏振膜24的设置可以实现吸收泄露光,同时对通过光学系统观察外部世界的影响也较小。The arrangement of the second
实施例4Example 4
参考图7所示,本发明实施例四提供了一种AR设备,包括穿戴部件92和具有折叠光路的光学显示系统100。Referring to FIG. 7 , Embodiment 4 of the present invention provides an AR device, including a
需要说明的是,本实施例中的具有折叠光路的光学显示系统可以采用实施例1、实施例2或实施例3中的具有折叠光路的光学显示系统,其结构、工作原理和产生的技术效果参考实施例1、实施例2和实施例3中的相应内容,此处不作赘述。It should be noted that the optical display system with a folded optical path in this embodiment can adopt the optical display system with a folded optical path in Embodiment 1, Embodiment 2 or Embodiment 3, and its structure, working principle and technical effect produced Refer to the corresponding contents in Embodiment 1, Embodiment 2 and Embodiment 3, which will not be repeated here.
具有折叠光路的光学显示系统100设置于穿戴部件92上。穿戴部件92可以是头盔或眼镜架等,这样方便人们戴在头上。当然,AR设备还包括控制单元、储存单元等,控制单元便于控制设备,储存单元便于存储图像、视频等。The
使用时,可以通过手动或电动的调整各光学镜片之间的距离,或者改变镜头和显示屏幕之间的距离以改变虚像的位置,来更好地适应近视用户对数字影像的观看需要,当有规律的调节系统虚像距离由近及远或由远及近的变化时,使用者眼睛的睫状肌在反复的聚焦过程中可以得到锻炼,起到保护眼睛,矫正视力的作用。When in use, the distance between the optical lenses can be adjusted manually or electrically, or the distance between the lens and the display screen can be changed to change the position of the virtual image, so as to better meet the viewing needs of myopic users for digital images. When the virtual image distance of the regular adjustment system changes from near to far or from far to near, the ciliary muscle of the user's eyes can be exercised during the repeated focusing process, which can protect the eyes and correct the vision.
本发明不局限于上述可选的实施方式,任何人在本发明的启示下都可得出其他各种形式的产品。上述具体实施方式不应理解成对本发明的保护范围的限制,本发明的保护范围应当以权利要求书中界定的为准,并且说明书可以用于解释权利要求书。The present invention is not limited to the above-mentioned optional embodiments, and anyone can derive other various forms of products under the inspiration of the present invention. The above specific embodiments should not be construed as limiting the protection scope of the present invention, which should be defined in the claims, and the description can be used to interpret the claims.
| Application Number | Priority Date | Filing Date | Title |
|---|---|---|---|
| CN202010363256.4ACN111367085B (en) | 2020-04-30 | 2020-04-30 | Optical display system and AR device with folded optical path |
| PCT/CN2020/124425WO2021218080A1 (en) | 2020-04-30 | 2020-10-28 | Optical display system having folded optical path, and wearable device |
| Application Number | Priority Date | Filing Date | Title |
|---|---|---|---|
| CN202010363256.4ACN111367085B (en) | 2020-04-30 | 2020-04-30 | Optical display system and AR device with folded optical path |
| Publication Number | Publication Date |
|---|---|
| CN111367085Atrue CN111367085A (en) | 2020-07-03 |
| CN111367085B CN111367085B (en) | 2025-01-14 |
| Application Number | Title | Priority Date | Filing Date |
|---|---|---|---|
| CN202010363256.4AActiveCN111367085B (en) | 2020-04-30 | 2020-04-30 | Optical display system and AR device with folded optical path |
| Country | Link |
|---|---|
| CN (1) | CN111367085B (en) |
| WO (1) | WO2021218080A1 (en) |
| Publication number | Priority date | Publication date | Assignee | Title |
|---|---|---|---|---|
| WO2021218080A1 (en)* | 2020-04-30 | 2021-11-04 | 宁波鸿蚁光电科技有限公司 | Optical display system having folded optical path, and wearable device |
| WO2021232677A1 (en)* | 2020-05-20 | 2021-11-25 | 宁波鸿蚁光电科技有限公司 | Binocular optical display system having multiplexed light source and folding light path, and wearable device |
| CN114371557A (en)* | 2022-01-17 | 2022-04-19 | 惠州Tcl移动通信有限公司 | VR optical system |
| Publication number | Priority date | Publication date | Assignee | Title |
|---|---|---|---|---|
| CN114942523A (en)* | 2022-07-26 | 2022-08-26 | 歌尔光学科技有限公司 | Optical modules and head-mounted display devices |
| CN114942489A (en)* | 2022-07-26 | 2022-08-26 | 歌尔光学科技有限公司 | Optical module and head-mounted display device |
| CN116149065B (en)* | 2023-04-24 | 2023-08-04 | 歌尔光学科技有限公司 | Optical module and wearable equipment |
| Publication number | Priority date | Publication date | Assignee | Title |
|---|---|---|---|---|
| CN108681073A (en)* | 2018-07-17 | 2018-10-19 | 王锐 | A kind of augmented reality optical presentation system |
| CN108681068A (en)* | 2018-02-12 | 2018-10-19 | 杭州太若科技有限公司 | AR display devices and wearable AR devices |
| CN211786381U (en)* | 2020-04-30 | 2020-10-27 | 宁波鸿蚁光电科技有限公司 | Optical display system with folding light path and AR equipment |
| Publication number | Priority date | Publication date | Assignee | Title |
|---|---|---|---|---|
| AU7352994A (en)* | 1994-02-07 | 1995-08-21 | Richard Dennis Rallison | Intensified visual display |
| CN107065180A (en)* | 2017-01-17 | 2017-08-18 | 浙江唯见科技有限公司 | A kind of close-coupled virtual reality near-eye display system and wear display device |
| CN208607440U (en)* | 2018-08-08 | 2019-03-15 | 青岛小鸟看看科技有限公司 | A kind of short focus optical system |
| CN109613703A (en)* | 2018-12-17 | 2019-04-12 | 重庆爱奇艺智能科技有限公司 | A display device based on a folded optical path |
| CN110873967A (en)* | 2019-11-28 | 2020-03-10 | Oppo广东移动通信有限公司 | Near-to-eye display optical system and head-mounted display |
| CN111367085B (en)* | 2020-04-30 | 2025-01-14 | 宁波鸿蚁光电科技有限公司 | Optical display system and AR device with folded optical path |
| CN111487776A (en)* | 2020-05-20 | 2020-08-04 | 宁波鸿蚁光电科技有限公司 | A multiplexed light source binocular optical display system and wearable device |
| CN111487775A (en)* | 2020-05-20 | 2020-08-04 | 宁波鸿蚁光电科技有限公司 | Binocular optical display system for multiplexing light source folding light path and wearable equipment |
| Publication number | Priority date | Publication date | Assignee | Title |
|---|---|---|---|---|
| CN108681068A (en)* | 2018-02-12 | 2018-10-19 | 杭州太若科技有限公司 | AR display devices and wearable AR devices |
| CN108681073A (en)* | 2018-07-17 | 2018-10-19 | 王锐 | A kind of augmented reality optical presentation system |
| CN211786381U (en)* | 2020-04-30 | 2020-10-27 | 宁波鸿蚁光电科技有限公司 | Optical display system with folding light path and AR equipment |
| Publication number | Priority date | Publication date | Assignee | Title |
|---|---|---|---|---|
| WO2021218080A1 (en)* | 2020-04-30 | 2021-11-04 | 宁波鸿蚁光电科技有限公司 | Optical display system having folded optical path, and wearable device |
| WO2021232677A1 (en)* | 2020-05-20 | 2021-11-25 | 宁波鸿蚁光电科技有限公司 | Binocular optical display system having multiplexed light source and folding light path, and wearable device |
| CN114371557A (en)* | 2022-01-17 | 2022-04-19 | 惠州Tcl移动通信有限公司 | VR optical system |
| CN114371557B (en)* | 2022-01-17 | 2024-02-09 | 惠州Tcl移动通信有限公司 | VR optical system |
| Publication number | Publication date |
|---|---|
| CN111367085B (en) | 2025-01-14 |
| WO2021218080A1 (en) | 2021-11-04 |
| Publication | Publication Date | Title |
|---|---|---|
| CN111367085A (en) | An optical display system and AR device with a folded optical path | |
| CN104635333B (en) | A kind of eyepiece, wear eyepiece system and micro display helmet | |
| US10302906B2 (en) | Eyepiece optical system for near-eye display, and head-mounted display device | |
| US5801885A (en) | Head mount type image display unit | |
| CN111240022B (en) | A light and thin optical display system, image lens module and VR device | |
| US20230341659A1 (en) | Optical lens assembly and a head-mounted electronic device | |
| EP4010750B1 (en) | Near-eye optical system implementing a waveguide with an output viewer element having a refractive beam-splitting convex lens | |
| CN111158154A (en) | Optical display system and wearable equipment | |
| CN110376738B (en) | A large field of view light free-form surface waveguide type visual optical imaging device and its near-eye display system | |
| TWM633841U (en) | Optical lens set and head mounted electronic device | |
| CN109656025A (en) | Projecting optical device of the augmented reality in conjunction with glasses | |
| TW202424570A (en) | Optical lens assembly and head-mounted electronic device | |
| CN116125668A (en) | Optical system | |
| CN211263953U (en) | Optical display system and wearable equipment | |
| US20240248321A1 (en) | Optical system and display apparatus | |
| US6008947A (en) | Optical system comprising a prism having a combined transmission and reflection action, and device therefor | |
| TWI813395B (en) | Optical lens assembly and head-mounted electronic device | |
| TWI804345B (en) | Optical lens assembly and head-mounted electronic device | |
| CN116466488A (en) | Optical system and optical apparatus including the same | |
| CN111487776A (en) | A multiplexed light source binocular optical display system and wearable device | |
| CN113341558B (en) | Reflective eyepiece optical system and head-mounted near-to-eye display device | |
| CN211318884U (en) | Light and thin type optical display system, image lens module and VR equipment | |
| TWI875059B (en) | Optical lens assembly and electronic device | |
| CN204515242U (en) | A kind of eyepiece, wear eyepiece system and micro-display helmet | |
| US20250164791A1 (en) | Near-focus optical system with multi-focal correction |
| Date | Code | Title | Description |
|---|---|---|---|
| PB01 | Publication | ||
| PB01 | Publication | ||
| SE01 | Entry into force of request for substantive examination | ||
| SE01 | Entry into force of request for substantive examination | ||
| GR01 | Patent grant | ||
| GR01 | Patent grant |