Movatterモバイル変換


[0]ホーム

URL:


CN111342948A - Synchronization device in narrow-band wireless communication terminal - Google Patents

Synchronization device in narrow-band wireless communication terminal
Download PDF

Info

Publication number
CN111342948A
CN111342948ACN201911187605.5ACN201911187605ACN111342948ACN 111342948 ACN111342948 ACN 111342948ACN 201911187605 ACN201911187605 ACN 201911187605ACN 111342948 ACN111342948 ACN 111342948A
Authority
CN
China
Prior art keywords
sampling
module
correlation
sliding
sequence
Prior art date
Legal status (The legal status is an assumption and is not a legal conclusion. Google has not performed a legal analysis and makes no representation as to the accuracy of the status listed.)
Granted
Application number
CN201911187605.5A
Other languages
Chinese (zh)
Other versions
CN111342948B (en
Inventor
李文龙
Current Assignee (The listed assignees may be inaccurate. Google has not performed a legal analysis and makes no representation or warranty as to the accuracy of the list.)
Xiaoxiang Guangzhou Business Co ltd
Original Assignee
Individual
Priority date (The priority date is an assumption and is not a legal conclusion. Google has not performed a legal analysis and makes no representation as to the accuracy of the date listed.)
Filing date
Publication date
Application filed by IndividualfiledCriticalIndividual
Priority to CN201911187605.5ApriorityCriticalpatent/CN111342948B/en
Publication of CN111342948ApublicationCriticalpatent/CN111342948A/en
Application grantedgrantedCritical
Publication of CN111342948BpublicationCriticalpatent/CN111342948B/en
Activelegal-statusCriticalCurrent
Anticipated expirationlegal-statusCritical

Links

Images

Classifications

Landscapes

Abstract

The invention discloses a synchronous detection device applied to a narrow-band wireless communication system terminal, which comprises a down-sampling module, a sliding autocorrelation module and a differential cross-correlation module. The down-sampling module down-samples the received 1.92MHz time domain signal to a 240kHz signal according to the OFDM symbol duration and a fixed down-sampling pattern. The sliding autocorrelation module takes the bit-by-bit movement of sampling point data in a 10ms wireless frame processing window length as an initial position t, takes an OFDM symbol duration with the length of 11 as a sliding window, and performs correlation accumulation between two groups of 11 groups of sampling point intervals in the sliding window. And the difference cross-correlation module divides the obtained preliminary synchronization sequence difference into two approximately equal parts and performs cross-correlation accumulation with a locally generated main synchronization sequence. The synchronous detection device can still better detect the master synchronous signal under the application scenes of low signal-to-noise ratio and large frequency offset of the narrow-band wireless communication system, and has low complexity and low cost.

Description

Synchronization device in narrow-band wireless communication terminal
Technical Field
The invention relates to the field of mobile communication, in particular to a synchronizing device and a synchronizing method applied to a narrow-band cellular communication terminal in a future internet of things network.
Background
IoT (internet of things) has become an industry highlight in the recent communication market, and recent innovation results and application cases thereof are shown on many operators and equipment. The narrow-band wireless communication technology (NB-Iot) is the key of the market of the Internet of things for the march of operators. The narrow-band wireless communication system has the advantages of low power consumption, wide coverage, low cost, high capacity and the like, so that the narrow-band wireless communication system can be widely applied to various vertical industries, such as remote meter reading, asset tracking, intelligent parking, intelligent agriculture and the like. The first release of the 3GPP standard was expected to be released in 2016, and narrowband wireless communication is expected to stand out in multiple technological competitions in the LPWA market, becoming the best choice for leading operators.
The first version of narrowband wireless communication supports 3 operation modes (standby, in-band, guard-band), including:
■ Standalone replaces one or more GSM carriers with the spectrum of an existing GERAN system
■ Guard-band using unused resource blocks in LTE carrier Guard interval
■ In-band, utilizing common LTE intra-carrier resource blocks.
In network deployment of narrowband wireless communication, bandwidth resources available to a base station are wide, but for a specific narrowband wireless communication terminal device, the uplink and downlink bandwidths of the terminal device occupy only 180kHz (i.e. one PRB) at most, when the terminal device shares bandwidth deployment with the conventional LTE, a downlink synchronization pilot of a narrowband wireless communication system can only be transmitted on a specific PRB, and the specific PRB differs from a 100kHz grid point by a fixed 2.5kHz or 7.5kHz, which is called an anchor PRB.
The invention relates to a technical scheme of detecting a main synchronization sequence of a narrow-band wireless communication system. The characteristics of the primary synchronization pilot (NPSS) in the first 3gpp version of the narrowband wireless communication system include:
■ NPSS transmission period is one wireless frame length (10ms)
■ NPSS uses the last 11OFDM symbols ofsub-frame 5 in each radio frame and occupies 11 sub-carrier transmissions on each symbol, fromsub-carrier 0 to sub-carrier 10
■ NPSS adopts the same ZC sequence as a base sequence in each OFDM symbol, the ZC root sequence is u-5, the ZC root sequence is generated in a frequency domain, and the ZC sequence has good time domain and frequency domain correlation
■ NPSS employs a binary scrambling sequence of random patterns between different OFDM symbols.
In addition, as mentioned above, in the same network deployment mode as the conventional LTE, a 2.5/7.5kHz frequency offset exists between the anchor PRB where the downlink synchronization pilot frequency of the narrowband wireless communication system is located and the 100kHz frequency sweep grid, and the superposition of the two factors causes the initial frequency offset which may reach 25kHz or more at most when the narrowband wireless communication terminal device is initially synchronized.
Moreover, the narrowband wireless communication terminal device is often deployed in an extremely low signal-to-noise ratio network environment, and how to detect the synchronization signal in a strong noise background is also a technical problem to be overcome.
The primary synchronization detection method in the conventional LTE system, for example, the invention of application No. 20101038021, a 3gpp LTE downlink initial primary synchronization detection method, or the invention of application No. 2013103796348, a fast downlink primary synchronization method for TD-LTE cell handover, and the invention of application No. 201010111963, a method and an apparatus for detecting and generating a sequence of an LTE primary synchronization signal in an LTE system, all disclose methods for detecting (or determining) the existence of a synchronization signal by cross-correlating a received sequence with a locally generated sequence. For a narrowband wireless communication system, because the synchronization sequence is short and works in an environment with an extremely low signal-to-noise ratio and a large initial frequency offset, a synchronization sequence detection method applying frequency domain data cross-correlation used in a traditional LTE system cannot find a correlation peak at all.
Disclosure of Invention
In view of the above drawbacks and deficiencies in the prior art, an object of the present invention is to provide a synchronization apparatus and method for an internet of things narrowband cellular communication terminal, which can better detect a primary synchronization signal in an environment with an extremely low signal-to-noise ratio and a relatively large frequency offset, and the implementation cost of the synchronization apparatus and method is relatively low.
According to an aspect of the present invention, there is provided a synchronization apparatus for a narrowband cellular communication terminal, comprising the following modules, as shown in fig. 1.
And the M101 down-sampling module is used for down-sampling the time domain sampling signal with the sampling rate of 1.92MHz into a signal of 240 kHz.
The down-sampling module divides 1920 sampling points of every 1ms (one sub-frame length) into 14 OFDM symbol durations, the down-sampling patterns in the 1 st and 7 th OFDM symbol durations are {10,8,8,8,8,8,8,8,8,8,8, 8}, and the down-sampling patterns in other OFDM symbol lengths are {9,8,8,8,8,8,8,8,8,8,8,8,8,8,8,8 }.
M201 sliding auto-correlation module for preliminary determination of the existence and preliminary location of the primary synchronization sequence.
The sliding autocorrelation module further comprises a data buffer for buffering the down-sampled data of the last 11OFDM durations of the last 10ms radio frame, so that the total data length processed by the sliding autocorrelation module at one time is the sum of the current 10ms radio frame and the last 11OFDM symbols of the last 10ms radio frame.
The sliding autocorrelation module moves sampling point data in a processing window bit by bit to serve as an initial position t, downsampled data with the duration of 11OFDM symbols are taken out to serve as a sliding window, then the sampling points in the sliding window are divided into 11 groups, correlation accumulation is carried out after the sampling points between every two groups are multiplied by corresponding scrambling sequences, alpha filtering is carried out on a plurality of groups of sliding autocorrelation results of a plurality of 10ms wireless frame processing windows, and finally power normalization is carried out on the sliding autocorrelation results of each sliding window.
And if the sliding autocorrelation result of one sliding window is larger than the threshold value of the preset value, starting the differential cross correlation module.
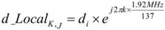
Further, the sliding autocorrelation module further comprises a decimal frequency offset estimation and calibration submodule, which performs decimal frequency offset estimation and calibration according to the phase value of the obtained sliding autocorrelation result, wherein the decimal frequency offset estimation is estimated according to the following formula,
Figure BDA0002292776400000031
wherein, arctan { AtThe phase value of the result of the sliding autocorrelation is taken, 1.92MHz is the sampling rate of the initial time domain data, and 137 is the number of sampling points for one OFDM symbol duration.
And the M301 differential cross-correlation module is used for further determining whether the NPSS signal exists.
The data object processed by the differential cross-correlation module is a 187 sampling sequence in a sliding window obtained from the sliding autocorrelation module, the 187 sampling sequence is differentiated into two segments with approximately equal length, for example, the length of the first segment is 97 points, the length of the second segment is 98 points, or the length of the first segment is 98 points, the length of the second segment is 97 points, after conjugate multiplication and accumulation are respectively performed on the two segments of sequences and a locally generated NPSS time domain sequence, correlation and combination are performed on the two segments of sequences, and if the correlation and combination result is greater than a preset threshold value, existence of NPSS is confirmed.
Further, the correlation combining further includes performing power normalization on the combined result in each 10ms radio frame.
Preferably, the differential correlation module further includes a sub-module for performing integer-multiple frequency offset estimation and calibration on the received sequence, the sub-module enumerates all possible integer-multiple frequency offset values within the frequency offset range, tries to modulate the locally generated NPSS time domain sequence with each integer-multiple frequency offset value, performs differential correlation using the modulated local NPSS sequence, and finds out a maximum value of a differential cross-correlation result, where the corresponding integer-multiple frequency offset value is an estimated value. Then, the sum of the decimal frequency offset estimation value and the integer frequency offset estimation value is synthesized to be a total frequency offset estimation value, and phase calibration is carried out according to the sampling time of the sampling point.
Preferably, the differential correlation module further includes a timing estimation sub-module, that is, the local NPSS time domain sequence with a high sampling rate is generated, then different initial sampling point offsets are tried and downsampled to generate the local NPSS time domain sequence, then the differential cross correlation is performed, and an initial offset value which enables a differential cross correlation value to be maximum is found out and used as an estimated timing offset.
The device of the invention has the beneficial effects that: the method provides a solution for the narrowband wireless communication terminal to still correctly detect the master synchronization sequence in the environment with low signal-to-noise ratio and large initial frequency offset, and is different from the traditional scheme for correlating the received signal with the local sequence, and the scheme provided by the invention has better performance. Under a better configuration, the device disclosed by the invention also performs estimation and calibration of decimal frequency offset and integer frequency offset in the process of detecting the NPSS signal, so that the performance of resisting large frequency offset is further improved. Under a better configuration, the device disclosed by the invention can also carry out preliminary timing estimation, thereby creating better conditions for subsequent downlink data reception and improving the overall performance of a receiver. The device disclosed by the invention has been subjected to multiple simulation experiments and evaluations, and according to the convention of a 3gpp protocol and the simulation configuration of the convention of the 3gpp, the detection success rate of over 95% can be obtained by using the device disclosed by the invention, under the better configuration, the timing synchronization can be within 4Tsamp (wherein Tsamp corresponds to a 1.92MHz sampling interval), and the frequency synchronization error is within 50 Hz.
According to another aspect of the present invention, there is provided a synchronization detection method for a narrowband cellular communication terminal, which includes the following several processes.
S101, a down-sampling process, namely down-sampling a time domain signal with a sampling rate of 1.92MHz into a signal with a sampling rate of 240kHz according to a fixed down-sampling pattern by taking an OFDM symbol as a unit length; the fixed downsampling pattern is as described in the apparatus section of the present invention.
S201, in the sliding self-correlation process, sampling point data in a 10ms wireless frame processing window length are moved bit by bit to serve as an initial position t, the length of 11OFDM symbol durations serves as a sliding window, sampling points in the sliding window are divided into 11 groups, and correlation accumulation is carried out on the sampling points between the two groups at intervals.
Preferably, the sliding autocorrelation process further includes a sub-process of performing fractional frequency offset estimation and calibration according to the autocorrelation result.
And if the sliding autocorrelation obtained by the calculation of the sliding autocorrelation process is greater than a threshold value, starting a differential cross correlation process.
S301, a differential cross-correlation process, in which the synchronization sequence in the sliding window obtained in the sliding auto-correlation process is differentiated into two parts with equal length, and is cross-correlated and accumulated with the locally generated synchronization sequence.
Preferably, the differential cross-correlation process further includes a sub-process of estimating and calibrating the integer multiple frequency offset.
Preferably, the differential cross-correlation process further comprises a timing estimation sub-process.
And if the cross-correlation result obtained in the differential cross-correlation process is larger than a threshold value, determining that the detected sequence is a main synchronization sequence.
Drawings
Fig. 1 is a schematic block diagram of a synchronization apparatus according to the present invention.
Fig. 2 is a schematic diagram of a down-sampling pattern.
Fig. 3 is a schematic diagram showing a comparison relationship between actual sub-frame sampling points and sampling patterns in practice, wherein the actual sub-frame sampling points are randomly extracted within a time length of 1 ms.
Fig. 4 is a diagram illustrating the physical mapping of NPSS sequences.
Fig. 5 is a diagram showing a comparison of the actual 10ms processing window with the actual radio frame location.
Fig. 6 is a schematic diagram of sliding autocorrelation.
Fig. 7 is a diagram illustrating attempts at different timing offsets in timing estimation.
Detailed Description
The embodiments of the present invention will be described below by specific examples, which are described herein for the purpose of illustration only and are not intended to be limiting. Other advantages and effects of the present invention will be readily apparent to those skilled in the art from the disclosure herein.
Referring to the drawings, the NPSS detection apparatus includes modules as shown in fig. 1, including a down-sampling module, a sliding auto-correlation module (AutoCorr), a coarse cross-correlation module, and a fine cross-correlation module.
M101 down-sampling module
The down-sampling module implements down-sampling from a sampling rate of 1.92MHz to 240K, inputting 1920 ═ 137 × (14 +2) samples for 1ms per sub-frame before down-sampling, outputting 238 ═ 17 × (14) samples per sub-frame after down-sampling, and following the following fixed down-sampling pattern:
the 1920 samples of each sub-frame are taken as 14 groups (14 OFDM symbols), the 1 st group of samples is 138, the 2 nd to 6 th groups of samples are 137, the 7 th group of samples is 138, and the 8 th to 14 th groups of samples are 137. The 1 st to 6 th groups are denoted as slot 1(slot1), the 7 th to 14 th groups are denoted as slot 2(slot2), the 1 st group of each slot is denoted as the first OFDM symbol, and the remaining groups are denoted as non-first OFDM symbols.
The first OFDM symbol (i.e.,groups 1 and 7) of each slot is down-sampled with a pattern of {10,8,8,8,8,8,8,8,8,8 }; as shown in the upper half of fig. 2, 1 sample is taken every 10 points, 1 sample is taken every 8 points for the remaining sample points, and so on.
The sampling pattern of the non-first OFDM symbol (i.e., groups 2-6, groups 8-14) is {9,8,8,8,8,8,8,8,8,8 }; as shown in the lower half of fig. 2, 1 point is sampled every 9 points, 1 point is sampled every 8 points for the remaining sampling points, and so on.
Thus, the number of down-sampled points per OFDM symbol is 17, and each 1ms duration includes the number of samples 238 ═ 17 × 14.
FIG. 3 is a schematic diagram showing the comparison between the sampling point of the actual subframe and the sampling pattern in the practically randomly extracted 1ms time length, assuming that the starting position of the randomly extracted 1ms time window corresponds to the last OFDM symbol of the previous subframe, and the sampling pattern of the first group is {10,8,8,8,8,8,8,8,8,8,8,8,8,8,8,8,8}, so that the first 17 down-sampled data in the subframe corresponds to the 1 st point in the original CP section, the 2 nd, 10 th, … th in the data section, and the 122 th down-sampling window corresponds to the first OFDM symbol of the subframe, and the sampling pattern is {9,8,8,8,8,8,8,8,8,8,8, 8}, so that the 17 data in the down-sampled subframe corresponds to the 3 rd point in the original CP section, the 1 st, 9 th, … th, 122 th and third down-sampling windows in the data segment correspond to the second OFDM symbol of the sub-frame, and the sampling pattern is still {9,8,8,8,8,8,8,8,8,8, 8}, so that the 17 down-sampled data in the sub-frame correspond to the 2 nd point in the original CP segment, the 1 st, 9 th, … th, 122 th point in the data segment, and so on.
Therefore, the fixed sampling pattern is adopted for down-sampling, the number of points after down-sampling in each OFDM symbol time length can be ensured to be the same, the error between sampling positions of an original OFDM symbol after down-sampling is ensured to be kept at the maximum 1 sampling point, most OFDM sampling positions are free from error, the calculation amount of subsequent sliding autocorrelation is reduced, and meanwhile, the performance reduction caused by the down-sampling to the sliding autocorrelation is reduced to the maximum extent.
M201 sliding auto-correlation module
As shown in fig. 4, as the convention in the protocol [36.211], the primary synchronization code NB-PSS sequence of the narrowband wireless communication system is a short sequence in the frequency domain, occupies 11 REs in the frequency domain, occupies 11 consecutive OFDM symbols in the time domain, and is transmitted after being scrambled.
The number of sampling points of 1ms after down-sampling is 238, the primary processing object of the sliding autocorrelation module is the received time domain data in each wireless frame (10ms) window time, the actual sliding autocorrelation module further comprises a data buffer for buffering the last 11 data of the OFDM symbols in the last wireless frame window, namely 11 sampling points, so that the actual primary processing object of the sliding autocorrelation module comprises 2380 sampling points +11 sampling points after down-sampling of one wireless frame, and the data of 2567 down-sampling points in total.
The beneficial effect of adding the data buffer in the sliding autocorrelation module is to prevent data missing detection, as shown in fig. 5, there may be a scenario where the starting position of the current 10ms processing window is just inside the frame of the real-sent NPSS subframe, and the data buffer with the added 11OFDM symbol durations can ensure that at least one complete NPSS sequence is certainly stored in the increased sliding autocorrelation processing window.
As shown in fig. 6, the sample data in the processing window is shifted bit by bit as a start position t, and the sample is taken out from a time length window with a length of 11OFDM symbols (i.e., 187 samples) as a sliding window.
The 187 samples within a sliding window are then divided into 11 groups of 17 samples, with the correlation accumulation being performed at intervals between two groups as shown in fig. 6, where the scrambling sequence for each OFDM symbol is also multiplied, as shown below,
Figure BDA0002292776400000081
in the above formula, the first and second carbon atoms are,
Figure BDA0002292776400000082
is a received sequence of sample points, S, of the duration of the mth OFDM symbol from the tth sample pointm、Sm+1Is the scrambling code corresponding to these two OFDM symbol sequences, which represents the conjugate operation taken for each point in the sequence.
Preferably, the engineering practice also includes an alpha filtering operation of the autocorrelation result in a continuous wireless frame (10ms) window
At=a×At-1+(1-αNPSS,1)×At
Thereby obtaining diversity combining gain and further improving the accuracy of detection.
Then, the power normalization is carried out on the sliding correlation result,
Figure RE-GDA0002488038580000091
and judging whether the normalized sliding autocorrelation result is larger than a predefined threshold value, if so, determining that the wireless frame window contains NPSS (network provider service) and the approximate initial position is at the t-th sampling point, and transferring to a next coarse autocorrelation module, otherwise, transferring to the judgment of the next wireless frame window.
Figure BDA0002292776400000095
Preferably, the engineering further includes performing fractional frequency offset estimation and calibration on the down-sampled signal according to the sliding autocorrelation result.
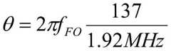
As described above, since the initial sampling rate is 1.92MHz, the number of sampling points included in one OFDM symbol is 137, and thus the time length of one OFDM symbol is 137/1.92MHz, the phase rotation caused by the frequency offset over the time length of one OFDM symbol is:
Figure BDA0002292776400000092
where θ is the phase value of the autocorrelation result.
Therefore, the estimate of the frequency offset:
Figure BDA0002292776400000093
it should be noted that, when the phase rotation caused by the true frequency offset value on one OFDM symbol is less than pi, the estimation result in the above formula is the complete frequency offset value, but in general, as described in the background, since the very large initial frequency offset of the narrowband wireless communication system causes the phase rotation greater than pi, the estimation result in the above formula is only the fractional part of the frequency offset value, which is called the fractional frequency offset value.
Finally, according to the estimated decimal frequency offset value, the frequency offset calibration is carried out on the down-sampling sequence in the sliding window,
Figure BDA0002292776400000094
where λ i is the sampling instant of the ith sample point.
M301 differential cross-correlation module
The differential cross-correlation module is started only when the sliding autocorrelation judges that NPSS exists, and is used for confirming the existence of the NPSS and estimating and calibrating integral multiple frequency offset, and preferably, the method also comprises the step of eliminating timing deviation.
First, a local sequence without frequency offset, denoted as d, is generated according to the protocol specificationi,diIs the same as the down-sampled received sequence and modulates d according to different integer frequency offsetsi
In the background art, the maximum frequency deviation is + -25.5 KHz when a narrow-band wireless communication system encounters in cell search, and 5 possible integer frequency deviations exist in the range, respectively
Figure BDA0002292776400000101
The frequency offset values all fall within the maximum frequency offset range.
By way of enumeration, each integer frequency offset in the above assumptions is attempted to modulate the original native sequence.
Figure BDA0002292776400000102
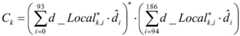
Then, the modulated local sequence is correlated with the sample sequence output by the sliding autocorrelation, the NPSS sequence within 11OFDM symbol duration is divided into two segments with approximately equal length for differential correlation, i.e. the local sequence with the length of 187 points and the received sample sequence are equally divided into two segments, the first segment is 94 points in length, the second segment is 93 points in length (or can be divided into the first segment 93 points and the second segment 94 points), and the two segments are correlated,
Figure BDA0002292776400000103
where denotes the conjugate operation.
In the conventional technical method in the field, most of the cross-correlation is obtained by performing correlation operation on a complete received sequence and a local sequence, but in the scheme of the invention, the complete synchronization sequence is divided into two sections with approximately equal length, and then the two sections are respectively correlated with the local sequence. This is because NPSS can be mapped to different antenna ports for transmission in different radio frames as specified by the protocol, so that if the conventional means is sampled, NPSS local sequences and received sequences of one subframe length (187 points) are directly correlated, and cannot be combined among multiple radio frame windows to obtain combining gain; according to the scheme, two sections in the subframe are firstly differentiated and then correlated, the antenna port in one subframe is unchanged, and the differential correlation results among different wireless frames can still be combined, so that the problem of switching among the antenna ports among the wireless frames is avoided, and the combining gain is obtained.
The power normalization is carried out on the differential correlation results in the 10ms wireless frame, and the differential correlation results in a plurality of 10ms wireless frame windows are combined
Figure BDA0002292776400000111
Figure BDA0002292776400000112
Wherein,
Figure BDA0002292776400000113
is the result of the normalization within the last 10ms radio frame window.
If the differential cross-correlation result is greater than the threshold value, finding a k value which maximizes the differential cross-correlation result,
Figure RE-GDA0002354384720000114
the differential cross-correlation is considered to confirm that the NPSS signal is successfully detected, and the corresponding frequency offset value is an integer multiple frequency offset estimation result.
Figure RE-GDA0002354384720000115
The total frequency offset estimation result is the sum of the decimal multiple and integer frequency offset estimation results.
Figure BDA0002292776400000116
The received NPSS sequence is frequency offset calibrated,
Figure BDA0002292776400000117
wherein λ isiIs the sampling instant of the ith sample point.
In the preferred case of engineering, the differential cross-correlation module also includes processing of preliminary timing estimates. As described earlier, the initial local sequence diIs the same as the down-sampled received sequence (i.e., 240 kHz). If the process of preliminary timing estimation is needed, a local sequence with a high sampling rate is generated, and then a plurality of initial sample point offsets are tried and downsampled, for example, the generated local sequence has a sampling rate of 1.92MHz, as shown in fig. 7, the tried sample point offsets are j equal to 0,1,2, …, 7 points, the downsampling rate is 8, and the corresponding downsampled sequence is recorded as
Figure BDA0002292776400000121
The down-sampled sequence is still 240kHz, then the differential cross-correlation is performed as described above, and the maximum differential cross-correlation result is found,
Figure RE-RE-GDA0002354384720000122
the corresponding sample point offset j is the initial timing estimator.
According to the simulation configuration (as shown in table 1) agreed by 3gpp, the device disclosed by the invention can obtain a detection success rate of more than 95%, and can achieve timing synchronization at 4T under better configurationsampWithin (wherein T)sampCorresponding to a 1.92MHz sampling interval), the frequency synchronization error is within 50Hz range
Figure BDA0002292776400000123
Figure BDA0002292776400000131
Table 1 performance simulation conditions.

Claims (1)

1. A synchronous detection device applied to a narrow-band wireless communication system terminal is characterized by comprising a down-sampling module, a sliding auto-correlation module and a differential cross-correlation module, wherein,
the down-sampling module down-samples the time domain signal of 1.92MHz sampling rate into a signal of 240kHz sampling rate according to a fixed down-sampling pattern by taking an OFDM symbol as a unit length;
the sliding autocorrelation module takes the bit-by-bit movement of sampling point data in a wireless frame processing window length of 10ms as an initial position t, takes the OFDM symbol duration with the length of 11 as a sliding window, divides the sampling points in the sliding window into 11 groups, and performs correlation accumulation at intervals of the sampling points between the two groups;
if the sliding autocorrelation obtained by the calculation of the sliding autocorrelation module is greater than a threshold value, starting the differential cross-correlation module;
the differential cross-correlation module differentiates the synchronous sequence in the sliding window obtained by the sliding self-correlation module into two parts with equal length, and performs cross-correlation accumulation with a down-sampling local sequence respectively; the down-sampling local sequence is a down-sampling local sequence which is obtained by the sliding autocorrelation module, is obtained by differentiating a synchronous sequence in the sliding window into two parts with equal length, simultaneously generates a local sequence with a sampling rate of 1.92MHz, and then enumerates initial sampling point offsets of 0, 1.. 7 points and down-samples to a sampling rate of 240 kHz;
taking out the maximum module value accumulated by the cross-correlation, recording the maximum module value as a differential cross-correlation result, and taking the corresponding timing offset enumerated value as an estimated timing offset value;
if the differential cross-correlation result is larger than a threshold value, the detected sequence is confirmed to be a main synchronization sequence;
the sliding autocorrelation module further comprises a sub-module for performing fractional frequency offset estimation and calibration according to the phase value of the sliding autocorrelation result, the fractional frequency offset estimation is calculated according to the following formula,
Figure FDA0002292776390000011
wherein, arctan { AtThe result of sliding autocorrelation takes the phase value, 1.92MHz is the sampling rate of the initial time domain data, 137 is the number of samples of one OFDM symbol duration,
and the decimal frequency offset calibration processing is to carry out phase calibration according to the decimal frequency offset estimation value and the sampling time of each sampling point.
CN201911187605.5A2017-02-052017-02-05Synchronous detection device applied to narrow-band wireless communication system terminalActiveCN111342948B (en)

Priority Applications (1)

Application NumberPriority DateFiling DateTitle
CN201911187605.5ACN111342948B (en)2017-02-052017-02-05Synchronous detection device applied to narrow-band wireless communication system terminal

Applications Claiming Priority (2)

Application NumberPriority DateFiling DateTitle
CN201911187605.5ACN111342948B (en)2017-02-052017-02-05Synchronous detection device applied to narrow-band wireless communication system terminal
CN201710064995.1ACN106656453B (en)2017-02-052017-02-05Synchronization device in narrow-band wireless communication terminal

Related Parent Applications (1)

Application NumberTitlePriority DateFiling Date
CN201710064995.1ADivisionCN106656453B (en)2017-02-052017-02-05Synchronization device in narrow-band wireless communication terminal

Publications (2)

Publication NumberPublication Date
CN111342948Atrue CN111342948A (en)2020-06-26
CN111342948B CN111342948B (en)2022-01-28

Family

ID=58845346

Family Applications (7)

Application NumberTitlePriority DateFiling Date
CN201911195757.XAActiveCN110932837B (en)2017-02-052017-02-05Synchronous detection device applied to narrow-band wireless communication system terminal
CN201911187573.9AActiveCN111106892B (en)2017-02-052017-02-05Synchronous detection method in narrow-band wireless communication terminal
CN201911187338.1AActiveCN111106923B (en)2017-02-052017-02-05Synchronization device in narrow-band wireless communication terminal
CN201911187310.8AActiveCN110798304B (en)2017-02-052017-02-05Synchronization device in narrow-band wireless communication terminal
CN201911187605.5AActiveCN111342948B (en)2017-02-052017-02-05Synchronous detection device applied to narrow-band wireless communication system terminal
CN201911187364.4AExpired - Fee RelatedCN111106924B (en)2017-02-052017-02-05Synchronous detection device applied to narrow-band wireless communication system terminal
CN201710064995.1AActiveCN106656453B (en)2017-02-052017-02-05Synchronization device in narrow-band wireless communication terminal

Family Applications Before (4)

Application NumberTitlePriority DateFiling Date
CN201911195757.XAActiveCN110932837B (en)2017-02-052017-02-05Synchronous detection device applied to narrow-band wireless communication system terminal
CN201911187573.9AActiveCN111106892B (en)2017-02-052017-02-05Synchronous detection method in narrow-band wireless communication terminal
CN201911187338.1AActiveCN111106923B (en)2017-02-052017-02-05Synchronization device in narrow-band wireless communication terminal
CN201911187310.8AActiveCN110798304B (en)2017-02-052017-02-05Synchronization device in narrow-band wireless communication terminal

Family Applications After (2)

Application NumberTitlePriority DateFiling Date
CN201911187364.4AExpired - Fee RelatedCN111106924B (en)2017-02-052017-02-05Synchronous detection device applied to narrow-band wireless communication system terminal
CN201710064995.1AActiveCN106656453B (en)2017-02-052017-02-05Synchronization device in narrow-band wireless communication terminal

Country Status (1)

CountryLink
CN (7)CN110932837B (en)

Families Citing this family (28)

* Cited by examiner, † Cited by third party
Publication numberPriority datePublication dateAssigneeTitle
CN107231326B (en)*2017-05-192020-04-14大连理工大学 A Cell Search System in Downlink of NB-IoT System
CN107743059A (en)*2017-08-232018-02-27重庆邮电大学 A method for detecting the number of antenna ports for narrowband Internet of Things
CN109428848B (en)*2017-08-292021-03-26苏州优尼赛信息科技有限公司Method for detecting and estimating fine synchronization of downlink primary synchronization signal in NB-loT system
CN109729034B (en)*2017-10-272020-10-16电信科学技术研究院Timing method, device and terminal
CN109802904B (en)*2017-11-162021-08-06中国移动通信有限公司研究院 A frequency offset estimation method and terminal for narrowband Internet of Things NB-IoT
CN109302364A (en)*2017-12-122019-02-01上海创远仪器技术股份有限公司A kind of frequency deviation estimating method for NB_IoT system
CN108123774B (en)*2017-12-272019-10-25中山大学花都产业科技研究院 A downlink synchronization method and system for narrowband internet of things
CN110034838B (en)*2018-01-122020-10-27北京小米松果电子有限公司Signal synchronization method and apparatus, storage medium, and electronic device
CN110198208B (en)*2018-02-262021-08-06普天信息技术有限公司 Uplink pilot design method, transmitter and receiver for narrowband communication system
CN108965189A (en)*2018-07-022018-12-07天津市德力电子仪器有限公司It is a kind of applied to the symbol timing synchronization method for resisting big frequency deviation in NB-IOT system
KR102799337B1 (en)*2019-01-242025-04-23삼성전자주식회사Wireless communication apparatus including synchronization signal detector and cell searching method thereof
CN109768852B (en)*2019-02-272021-08-13东南大学 Method, device and storage medium for realizing precise symbol synchronization processing based on computer software system
CN110199506B (en)*2019-04-182022-04-22北京小米移动软件有限公司Frequency offset determination method and device and resource block sending method and device
CN110392424B (en)*2019-07-042021-07-13南京理工大学 A timing method of downlink synchronization signal in narrowband system
CN110601719B (en)*2019-09-262021-03-26北京智联安科技有限公司Simplification method for coarse synchronization autocorrelation of NB-IoT (NB-IoT) terminal
CN110636602B (en)*2019-09-272022-02-11广州粒子微电子有限公司NB-IoT downlink synchronization method and related operation module thereof
CN111030959B (en)*2019-12-262021-05-11江苏科大亨芯半导体技术有限公司Frequency domain time-frequency synchronization method of NB-IoT
WO2021128159A1 (en)*2019-12-262021-07-01哈尔滨海能达科技有限公司Synchronization detection method and device
CN111093252B (en)*2019-12-272021-09-28重庆物奇科技有限公司Rapid hierarchical searching method for narrow-band Internet of things NB-IoT
CN111093253A (en)*2019-12-272020-05-01重庆物奇科技有限公司Main synchronization signal fine search method of narrow-band Internet of things NB-IoT
CN112039811B (en)*2020-07-012023-06-30武汉梦芯科技有限公司Calculation method in time-frequency synchronization process
CN112039816B (en)*2020-07-312022-08-16中国电子科技集团公司第七研究所Downlink synchronization method for narrow-band Internet of things system
CN113422748B (en)*2021-06-232022-07-26广州粒子微电子有限公司Method and device for estimating frequency offset in narrowband Internet of things and storage medium
CN113709857B (en)*2021-08-262022-10-11中山大学 A kind of downlink synchronization preprocessing method for narrowband Internet of things system
CN114567532A (en)*2021-10-182022-05-31北京智联安科技有限公司Optimization method applied to NB-IoT fine synchronization
CN115695131B (en)*2022-10-272025-06-24中国星网网络应用有限公司 A method, device and equipment for quickly capturing a main synchronization signal
CN116962123B (en)*2023-09-202023-11-24大尧信息科技(湖南)有限公司Raised cosine shaping filter bandwidth estimation method and system of software defined framework
CN118367960B (en)*2024-06-202024-09-03上海三菲半导体有限公司Data packet detection method and receiver

Citations (4)

* Cited by examiner, † Cited by third party
Publication numberPriority datePublication dateAssigneeTitle
CN102694763A (en)*2012-05-312012-09-26重庆邮电大学Method for assessing integer frequency offset of TD-LTE system
CN102695263A (en)*2011-03-232012-09-26上海无线通信研究中心Method for robust downlink timing synchronization of LTE system
WO2014099224A1 (en)*2012-12-172014-06-26Qualcomm IncorporatedNarrow-band preamble for orthogonal frequency-division multiplexing system
CN104065604A (en)*2013-03-212014-09-24联想(北京)有限公司Signal synchronization method, receiving end and system

Family Cites Families (18)

* Cited by examiner, † Cited by third party
Publication numberPriority datePublication dateAssigneeTitle
US6111919A (en)*1999-01-202000-08-29Intellon CorporationSynchronization of OFDM signals
WO2008126356A1 (en)*2007-03-292008-10-23Panasonic CorporationOfdm receiving device and ofdm receiving method
US8532201B2 (en)*2007-12-122013-09-10Qualcomm IncorporatedMethods and apparatus for identifying a preamble sequence and for estimating an integer carrier frequency offset
CN101582870B (en)*2008-05-152013-01-16中兴通讯股份有限公司Method and device for realizing synchronization
US8139614B2 (en)*2008-06-062012-03-20Maxim Integrated Products, Inc.Robust narrowband symbol and frame synchronizer for power-line communication
US8363635B2 (en)*2008-08-202013-01-29Wei Chi LiuMethod and system for reducing power consumption of signal synchronization
CN101753505B (en)*2008-12-222012-09-05北京信威通信技术股份有限公司Method for synchronizing downlink time and frequency of OFDM system
CN101924725B (en)*2009-06-172013-01-30国民技术股份有限公司Frame synchronization method and device for OFDM system
CN102148785B (en)*2010-02-052014-03-12中兴通讯股份有限公司Methods and devices for detecting main synchronous signal and generating sequence in LTE (Long Term Evolution) system
CN102457870B (en)*2010-10-212015-04-15电信科学技术研究院Method and device for detecting primary synchronization signal and method and system for searching neighborhoods
EP2456106B1 (en)*2010-11-222013-11-06Sequans CommunicationsCell search method for a downlink channel of an OFDMA transmission system
CN102122997B (en)*2011-03-212014-03-19中兴通讯股份有限公司Method, device and terminal for detecting long term evolution (LTE) master synchronizing signal
CN102130883B (en)*2011-04-152013-07-17重庆邮电大学Time frequency synchronization method for time division long-term evolution (TD-LTE) system
CN102938931B (en)*2011-08-152016-05-18重庆航讯时代科技有限责任公司Asynchronous up-link access method and device on a large scale
CN102413079B (en)*2011-11-102014-09-03复旦大学Initial fraction frequency offset estimation method used in downlink of 3 generation partnership project long term evolution (3GPP-LTE) system
US9497733B2 (en)*2013-02-132016-11-15Qualcomm IncorporatedSingle-frequency network (SFN) operation for machine-type communications (MTC) coverage enhancements
CN104427564B (en)*2013-08-272018-02-02工业和信息化部电信研究院A kind of main synchronous method of fast downlink for the switching of TD LTE cells
US9998250B2 (en)*2015-01-272018-06-12Telefonaktiebolaget Lm Ericsson (Publ)Narrowband machine-to-machine cell search

Patent Citations (4)

* Cited by examiner, † Cited by third party
Publication numberPriority datePublication dateAssigneeTitle
CN102695263A (en)*2011-03-232012-09-26上海无线通信研究中心Method for robust downlink timing synchronization of LTE system
CN102694763A (en)*2012-05-312012-09-26重庆邮电大学Method for assessing integer frequency offset of TD-LTE system
WO2014099224A1 (en)*2012-12-172014-06-26Qualcomm IncorporatedNarrow-band preamble for orthogonal frequency-division multiplexing system
CN104065604A (en)*2013-03-212014-09-24联想(北京)有限公司Signal synchronization method, receiving end and system

Also Published As

Publication numberPublication date
CN106656453B (en)2020-08-21
CN111106892A (en)2020-05-05
CN110932837B (en)2021-11-16
CN111106923B (en)2021-11-19
CN110798304B (en)2021-10-01
CN110798304A (en)2020-02-14
CN111106923A (en)2020-05-05
CN111106924B (en)2022-03-04
CN111106924A (en)2020-05-05
CN106656453A (en)2017-05-10
CN111106892B (en)2021-08-24
CN111342948B (en)2022-01-28
CN110932837A (en)2020-03-27

Similar Documents

PublicationPublication DateTitle
CN111106923B (en)Synchronization device in narrow-band wireless communication terminal
JP3449984B2 (en) Frame structure and frame synchronization for multi-carrier systems
US9369978B2 (en)Method and system for implementing multiple timing domains for primary and secondary synchronization detection in EUTRA/LTE
RU2365054C2 (en)System and method of frame synchronisation and reception of initial readout of symbol time
RU2323537C1 (en)Method for estimating frequency deviation and method for frame synchronization in an ofdm-system
CN101651648B (en)System and method for executing initial synchronization in wireless communication system
US6876645B1 (en)Delay and channel estimation for multi-carrier CDMA system
US8654914B2 (en)System and method for adaptive time synchronization
US20090196279A1 (en)Tdm based cell search method for ofdm system
US9935681B2 (en)Preamble sequence detection of direct sequence spread spectrum (DSSS) signals
KR102280878B1 (en)Method for estimation a arrival time of radio, and a device for action the method
CA2691989A1 (en)Simultaneous cell group and cyclic prefix detection method, apparatus and system
EP2144378B1 (en)Methods for fast and low-power UWB IR baseband receiver synchronization
EP2842283A1 (en)Method and apparatus for estimating frequency errors
KR20090106510A (en) Adaptive Cell ID Detection in Cellular Communication Systems
EP1847040B1 (en)Method and system for synchronization between a transmitter and a receiver in a wireless communication system
CN1365558A (en) Method for estimating the channel impulse response of a mobile radio channel
JP2020517138A (en) NR wideband synchronization detection
CN111355568B (en) Method and device for differential processing of synchronization codes with time repetition characteristics
KR100948511B1 (en)Channel estimation device and method using hard decision of demapper, and ofdm receiving apparatus comprising the same estimation device
CN100417048C (en) Method and device for improving synchronization detection performance in synchronous code division multiple access system
KR20080052144A (en) Apparatus and method for multiple antenna synchronization acquisition in orthogonal frequency division multiple access system
WO2006107136A1 (en)Apparatus and method for detecting preamble and rf repeating system using the same
KR101579810B1 (en)Apparatus and method for estimating frequency offset using data symbol
WO2005032159A2 (en)Method and apparatus for performing modulation/demodulation in a wireless communication system

Legal Events

DateCodeTitleDescription
PB01Publication
PB01Publication
SE01Entry into force of request for substantive examination
SE01Entry into force of request for substantive examination
TA01Transfer of patent application right

Effective date of registration:20220110

Address after:510000 room a23-2301, Room 601, No. 8, Pazhou Avenue East, Haizhu District, Guangzhou City, Guangdong Province (office only)

Applicant after:Xiaoxiang (Guangzhou) Business Co.,Ltd.

Address before:430000 No. 14 South Central Road, Wuchang District, Hubei, Wuhan

Applicant before:Xiao Hui

TA01Transfer of patent application right
GR01Patent grant
GR01Patent grant

[8]ページ先頭

©2009-2025 Movatter.jp