Movatterモバイル変換


[0]ホーム

URL:


CN111338346B - Automatic driving control method and device, vehicle and storage medium - Google Patents

Automatic driving control method and device, vehicle and storage medium
Download PDF

Info

Publication number
CN111338346B
CN111338346BCN202010146615.0ACN202010146615ACN111338346BCN 111338346 BCN111338346 BCN 111338346BCN 202010146615 ACN202010146615 ACN 202010146615ACN 111338346 BCN111338346 BCN 111338346B
Authority
CN
China
Prior art keywords
actual
planned
automatic driving
speed
objective function
Prior art date
Legal status (The legal status is an assumption and is not a legal conclusion. Google has not performed a legal analysis and makes no representation as to the accuracy of the status listed.)
Active
Application number
CN202010146615.0A
Other languages
Chinese (zh)
Other versions
CN111338346A (en
Inventor
杨斯琦
吕颖
崔茂源
Current Assignee (The listed assignees may be inaccurate. Google has not performed a legal analysis and makes no representation or warranty as to the accuracy of the list.)
FAW Group Corp
Original Assignee
FAW Group Corp
Priority date (The priority date is an assumption and is not a legal conclusion. Google has not performed a legal analysis and makes no representation as to the accuracy of the date listed.)
Filing date
Publication date
Application filed by FAW Group CorpfiledCriticalFAW Group Corp
Priority to CN202010146615.0ApriorityCriticalpatent/CN111338346B/en
Publication of CN111338346ApublicationCriticalpatent/CN111338346A/en
Priority to PCT/CN2021/079289prioritypatent/WO2021175313A1/en
Application grantedgrantedCritical
Publication of CN111338346BpublicationCriticalpatent/CN111338346B/en
Activelegal-statusCriticalCurrent
Anticipated expirationlegal-statusCritical

Links

Images

Classifications

Landscapes

Abstract

The invention discloses an automatic driving control method, an automatic driving control device, a vehicle and a storage medium. The method comprises the following steps: determining a planned path and a planned speed of automatic driving according to a first objective function under a natural coordinate system; determining a target track of automatic driving according to the planned path, the planned speed and a second target function; and solving a control sequence according to the target track, and controlling the automatic driving of the vehicle according to the control sequence. According to the technical scheme, the target track of automatic driving of the vehicle is accurately determined according to the target function on the basis of the planned path and the planned speed, so that the automatic driving of the vehicle is controlled according to the target track, and the reliability of automatic driving is improved.

Description

Automatic driving control method and device, vehicle and storage medium
Technical Field
The embodiment of the invention relates to the technical field of vehicle control, in particular to an automatic driving control method, an automatic driving control device, a vehicle and a storage medium.
Background
The automobile is an indispensable vehicle in life and work of people, has stronger and stronger intelligence, and especially the autopilot function has brought very big facility for people. In the trajectory planning process of automatic driving, parameters in vehicle kinematics and dynamic models have uncertainty, and in a complex random road environment, other motor vehicles, pedestrians and the like exist, and the behavior randomness of the intelligent bodies brings great difficulty and challenge to the autonomous decision making of the vehicles.
At present, some intelligent decision methods are applied to automatic driving, for example, automatic driving planning and control are carried out based on deep learning, and the method can theoretically realize fitting of any function, but needs a large number of artificial labels and samples, and cannot be realized in a short period; for example, planning and control are performed based on reinforcement learning, reward and punishment functions are set based on behavior meanings, and decisions are optimized through continuous trial and error, but some errors are unacceptable and untried in automatic driving decisions. Therefore, at present, planning and control of automatic driving still remain under simpler working conditions, and reliable autonomous decision-making cannot be realized.
Disclosure of Invention
The invention provides an automatic driving control method, an automatic driving control device, a vehicle and a storage medium, and aims to improve the reliability of automatic driving.
In a first aspect, an embodiment of the present invention provides an automatic driving control method, including:
determining a planned path and a planned speed of automatic driving according to a first objective function under a natural coordinate system;
determining an automatic driving target track according to the planned path, the planned speed and a second target function;
and solving a control sequence according to the target track, and controlling the automatic driving of the vehicle according to the control sequence.
Further, the determining the planned path and the planned speed of the automatic driving according to the first objective function in the natural coordinate system includes:
setting candidate path points in the lanes within a set range and generating a path candidate set;
establishing a first objective function under a natural coordinate system based on the path candidate set, wherein the first objective function is respectively associated with the actual speed, the actual acceleration derivative and the actual path of the vehicle;
and solving the actual speed, the actual acceleration derivative and the actual path which enable the first objective function to be minimum, and determining the planned path and the planned speed according to the obtained actual speed, actual acceleration derivative and actual path.
Further, the determining a target trajectory of the automatic driving according to the planned path, the planned speed, and a second objective function includes:
establishing a second objective function under a natural coordinate system based on the path candidate set, wherein the second objective function is respectively associated with an actual state quantity and a state gap quantity of a vehicle, and the state gap quantity comprises a gap quantity between the actual state quantity and the planned path and a gap quantity between the actual state quantity and the planned speed;
and solving the actual state quantity which enables the second objective function to be minimum, and determining the target track of automatic driving according to the actual state quantity.
Further, the method also comprises the following steps: reading the actual state quantity through a sensor;
the actual state quantity includes: actual lateral displacement, actual longitudinal displacement, actual speed, actual acceleration, actual yaw rate, actual body angle, actual heading angle, and actual acceleration;
the actual state quantity is within the range of the speed limit, start-stop limit, and traveling direction limit of the road.
Further, the constraint conditions corresponding to the first objective function and the second objective function include:
the target trajectory is outside an area of an obstacle vehicle shape set as an ellipse with a major axis being a transverse axis.
Further, the solving a control sequence according to the target trajectory includes:
constructing the first objective function, the second objective function and a Hamiltonian corresponding to the constraint condition;
performing partial differentiation on the Hamiltonian to obtain a first function;
and solving the first function by adopting a continuity/Generalized Minimal Residual (C/GMRES) algorithm to obtain the control sequence.
Further, before determining the planned path and the planned speed of the automatic driving according to the first objective function in the natural coordinate system, the method further includes:
and converting the Cartesian coordinate system into a natural coordinate system, wherein the natural coordinate system takes the center line of the road as a horizontal axis and takes the normal of the road as a vertical axis.
In a second aspect, an embodiment of the present invention provides an automatic driving control apparatus, including:
the behavior planning module is used for determining a planned path and a planned speed of automatic driving according to a first objective function under a natural coordinate system;
the track determining module is used for determining an automatic driving target track according to the planned path, the planned speed and a second target function;
the sequence solving module is used for solving a control sequence according to the target track;
and the control module is used for controlling the automatic driving of the vehicle according to the control sequence.
In a third aspect, an embodiment of the present invention provides a vehicle, including:
one or more processors;
storage means for storing one or more programs;
when the one or more programs are executed by the one or more processors, the one or more processors are caused to implement the automatic driving control method according to the first aspect.
In a fourth aspect, the present invention further provides a computer-readable storage medium, on which a computer program is stored, which when executed by a processor implements the automatic driving control method according to the first aspect.
The embodiment of the invention provides an automatic driving control method, an automatic driving control device, a vehicle and a storage medium, wherein the method comprises the following steps: determining a planned path and a planned speed of automatic driving according to a first objective function under a natural coordinate system; determining a target track of automatic driving according to the planned path, the planned speed and a second target function; and solving a control sequence according to the target track, and controlling the automatic driving of the vehicle according to the control sequence. According to the technical scheme, the target track of automatic driving of the vehicle is accurately determined according to the target function on the basis of the planned path and the planned speed, so that the automatic driving of the vehicle is controlled according to the target track, and the reliability of automatic driving is improved.
Drawings
Fig. 1 is a flowchart of an automatic driving control method according to an embodiment of the present invention;
FIG. 2 is a schematic diagram illustrating a natural coordinate system established according to a first embodiment of the present invention;
fig. 3 is a flowchart of an automatic driving control method according to a second embodiment of the present invention;
FIG. 4 is a diagram illustrating a path candidate set according to a second embodiment of the present invention;
FIG. 5 is a schematic diagram of a planned path according to a second embodiment of the present invention;
FIG. 6 is a diagram illustrating a planning speed according to a second embodiment of the present invention;
FIG. 7 is a schematic diagram illustrating a method for determining a target trajectory for autonomous driving according to a second embodiment of the present invention;
fig. 8 is a schematic diagram of a constraint condition of a vehicle shape in the second embodiment of the invention;
FIG. 9 is a diagram illustrating a target trajectory according to a second embodiment of the present invention;
fig. 10 is a schematic structural diagram of an automatic driving control device according to a third embodiment of the present invention;
fig. 11 is a schematic hardware structure diagram of a vehicle according to a fourth embodiment of the present invention.
Detailed Description
The present invention will be described in further detail with reference to the accompanying drawings and examples. It is to be understood that the specific embodiments described herein are merely illustrative of the invention and are not limiting of the invention. It should be further noted that, for the convenience of description, only some of the structures related to the present invention are shown in the drawings, not all of the structures.
Example one
Fig. 1 is a flowchart of an automatic driving control method according to an embodiment of the present invention. The present embodiment is applicable to a case where automatic driving of a vehicle is realized by predicting and controlling the trajectory and state of the vehicle. In particular, the autopilot control method may be performed by an autopilot control device, which may be implemented in software and/or hardware and integrated in the vehicle.
As shown in fig. 1, the method specifically includes the following steps:
and S110, determining a planned path and a planned speed of automatic driving according to the first objective function in a natural coordinate system.
Specifically, in path planning, calculation is generally performed based on a cartesian coordinate system, but in the present embodiment, considering that the autonomous driving is in a scene of a structured road, it is difficult to establish an objective function, a constraint condition, a prediction model, or the like using the cartesian coordinate system, and therefore, an autonomous driving trajectory is predicted and planned based on a natural coordinate system. First, a planned path and a planned speed are determined based on a first objective function, for example, road data including lane directions, vehicle lines, obstacle positions, etc. are collected by a camera, a distance sensor, a radar, etc., and a suitable path and a speed of a vehicle traveling on the path are planned accordingly. The process of determining the planned path and the planned speed is substantially a process of optimizing a first objective function, where the first objective function may be a maximized optimization problem or a minimized optimization problem, and the associated variables include speed, acceleration, path (or position), and a solution that maximizes or minimizes the value of the first objective function may be solved in an iterative manner, that is, the planned path and the corresponding planned speed on the path may be obtained. The first objective function is established according to the principle that the speed of the vehicle is stably changed on the basis of meeting the speed limit requirement of the road and selecting a driving path without obstacles. The planned path and the planned speed are used as initial decisions in the automatic driving control process and can be used as a hot start initial value and a reference value of subsequent target track planning.
It should be noted that different planned paths have a great influence on the determination of the planned speed, and different lanes in which the vehicle is located have different obstacles, so that the vehicle may take different actions such as passing, following, avoiding, and the like. Before planning, obstacles around the vehicle and surrounding vehicles need to be detected, and for example, a speed chart can be drawn according to the position of the vehicle, zhou Che position, zhou Cheche speed, and the speed can be planned in the chart. The abscissa of the velocity diagram is time and the ordinate is longitudinal (i.e. road direction or vehicle direction of travel) displacement. In the process of planning the speed, a reference speed can be set as a limiting factor of working conditions such as road speed limit, start and stop of traffic lights and the like. On the basis, the first objective function is established by considering factors such as speed, acceleration derivative and continuity, different weights can be given to the factors, and finally a solution which enables the weighted sum of the factors to be maximum or minimum is obtained, namely the planned path and the planned speed can be obtained.
And S120, determining a target track of automatic driving according to the planned path, the planned speed and a second target function.
Specifically, on the basis of determining the planned path and the planned speed, the target track of automatic driving is further determined according to the second objective function, namely the planned path and the planned speed are optimized, so that the form track and the speed of the vehicle are more consistent with the condition of continuity, and the driving state of the vehicle is conveniently tracked in real time. The second objective function considers the closeness (or difference) of the actual state of the vehicle to the planned result in step S110, so that the actual trajectory coincides with the planned path, and also considers the speed, acceleration, yaw rate, magnitude of the acceleration derivative, and the like of the vehicle, so that the actual speed coincides with the planned speed, and further, restricts the heading angle of the vehicle in the final state on the current path to be parallel to the lane line, ensuring that the traveling direction does not deviate. The process of determining the target trajectory is substantially a process of performing optimization solution on a second objective function, and the second objective function may be a maximized optimization problem in a form, or may be a minimized optimization problem.
And S130, solving a control sequence according to the target track.
Specifically, a control sequence for the vehicle is solved according to a target trajectory, where the control sequence includes various parameters for performing automatic driving control on the vehicle to achieve the target trajectory, for example, if the target trajectory is a planned route that is traveled at a planned speed (including when a lane change is made, and a specific trajectory and speed of the lane change process are determined), and it is approximately required to travel the route in 5 minutes, then a control sequence, specifically, a real-time gear, a steering wheel angle, a pressure amplitude of an accelerator pedal or a brake pedal, an engine speed, a switch of a steering lamp, and the like of the vehicle in 5 minutes, may be reversely solved according to a kinetic model and a kinematic model of the vehicle, so that the vehicle may be controlled to accurately automatically drive according to the target trajectory.
And S140, controlling the automatic driving of the vehicle according to the control sequence.
Specifically, the vehicle is controlled according to the control sequence, so that the vehicle can be automatically driven according to the target track accurately by controlling the corresponding speed, acceleration, yaw rate, course angle and the like in the automatic driving process.
Further, before determining the planned path and the planned speed of the automatic driving according to the first objective function in the natural coordinate system, the method further includes: and converting the Cartesian coordinate system into a natural coordinate system, wherein the natural coordinate system takes the center line of the road as a horizontal axis and takes the normal of the road as a vertical axis.
Fig. 2 is a schematic diagram of establishing a natural coordinate system according to a first embodiment of the present invention. As shown in fig. 2, road data such as a lane direction, a vehicle line, an obstacle position, and the like are collected by a camera, a distance sensor, a radar, and the like, and a cartesian coordinate system is converted into a natural coordinate system when a road shape is known. The natural coordinate system takes the road center line as a reference line as a horizontal axis and the normal line of the road curve as a vertical axis, the curvature of the road curve can be ignored after conversion, and planning and prediction calculation are simplified.
According to the automatic driving control method provided by the embodiment of the invention, the planned path and the planned speed are determined according to the first objective function under the natural coordinate system, the target track of automatic driving is determined according to the second objective function on the basis, the control sequence is solved according to the target track, and the automatic driving of the vehicle is controlled, so that the target track is consistent with the planned path and the planned speed, the automatic driving of the vehicle is accurately controlled, and the reliability of automatic driving is improved.
Example two
Fig. 3 is a flowchart of an automatic driving control method according to a second embodiment of the present invention, where the second embodiment is optimized based on the first embodiment, and a process of solving each objective function and a control sequence is specifically described. It should be noted that, for technical details that are not described in detail in this embodiment, reference may be made to any of the embodiments described above.
Specifically, as shown in fig. 3, the method specifically includes the following steps:
s210, converting the Cartesian coordinate system into a natural coordinate system, wherein the natural coordinate system takes the center line of the road as a horizontal axis and takes the normal of the road as a vertical axis.
And S220, setting candidate path points in the lane within the set range and generating a path candidate set.
Specifically, a path candidate set is generated by integrating the conditions of each lane in a certain range. Fig. 4 is a schematic diagram of a path candidate set according to a second embodiment of the present invention. As shown in fig. 4, candidate route points are set in segments on each adjacent lane within a certain distance (S =100 meters) in front of the vehicle, a route candidate set is generated by traversing all the connection manners, and the planned route obtained by solving the first objective function is an optimal route in the route candidate set as a reference of the planned route.
And S230, establishing a first objective function under a natural coordinate system based on the path candidate set.
In the present embodiment, the first objective function is associated with the actual speed, the actual acceleration derivative, and the actual path of the vehicle, respectively.
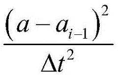
Specifically, a reference speed is set as a limiting factor of working conditions such as a road speed limit, a traffic light start-stop and the like, factors such as an actual speed, an actual acceleration derivative and continuity are considered in the establishment of the first objective function, different weights are given to the factors, and a solution enabling the weighted sum value of the factors to be minimum is finally obtained, so that a planned path and a planned speed can be obtained. Taking the minimized optimization objective as an example, the first objective function may be: f. ofspeed =wr fr +wa fa +wj fj +wc fc Wherein w isr 、wa 、wj 、wc Is a weight (each weight value is greater than or equal to 0); f. ofr =|vlimit -vik The method comprises the following steps that |, the difference value between the actual speed of a vehicle and a reference speed is controlled within a certain range, and the actual speed cannot be too large or too small;
Figure BDA0002400956910000091
indicating the change in speed of the vehicle at the current and previous timesThe vehicle speed is controlled to be stable within a certain range;
Figure BDA0002400956910000092
indicating that the actual acceleration is within a certain range;
Figure BDA0002400956910000093
indicating that the actual acceleration derivative is within a certain range; wherein, (i, k), (i-1,j) and (i-2,j) represent different candidate waypoint serial numbers arranged on adjacent lanes within a certain distance in front, refer to the candidate waypoint labels shown in fig. 4, select different waypoints to connect to generate different routes, and if lane change occurs, j ≠ k; t denotes different moments in time.
S240, solving the actual speed, the actual acceleration derivative and the actual path which enable the first objective function to be minimum, and determining a planned path and a planned speed according to the obtained actual speed, actual acceleration derivative and actual path.
Specifically, the first objective function f is found in the candidate path setspeed The path with the minimum value is the planned path, meanwhile, the corresponding planned speed can be solved by using an intelligent optimization algorithm, an iterative algorithm and the like, and the speed, the acceleration and the like at each moment can be determined. Different planned paths correspond to different planned speeds, the track distances of the different planned paths are different, the speed planning corresponding to each candidate path is different, and the driving time is shortened as the planned speed is faster. The optimal solution can be obtained by comparing all possible paths (each path in the path candidate set) with the corresponding speed. By constructing the first objective function in combination with factors such as the travel time, the travel distance, the acceleration derivative and the like, the optimal planned path and the optimal planned speed can be determined.
Fig. 5 is a schematic diagram of a planned path in the second embodiment of the present invention. As shown in fig. 5, for the L coordinate, -2 to 2 correspond to the first lane, 2 to 6 correspond to the second lane, and the S coordinate means the longitudinal distance. Fig. 6 is a schematic diagram of a planning speed in a second embodiment of the present invention. As shown in fig. 6, the planned vehicle speed and the planned path of the portion S of 0 to 40 correspond to the first lane, and the planned vehicle speed and the planned path of the portion S of 40 to 80 correspond to the second lane. It should be noted that the lane change trajectory can be planned after the obstacle in front of the lane is monitored by collecting the road data, and the planning speed is solved according to the first objective function.
And S250, establishing a second objective function under a natural coordinate system based on the path candidate set.
In this embodiment, the second objective function is respectively associated with an actual state quantity and a state gap quantity of the vehicle, where the state gap quantity includes a gap quantity between the actual state quantity and the planned path and a gap quantity between the actual state quantity and the planned speed.
Specifically, the optimization goal of the second objective function is to keep the actual state quantity of the vehicle consistent with the planned path and the planned speed, so that the vehicle automatically drives according to the planned path and the planned speed. On the premise that the actual state quantity is close to the planned path and the planned speed, the actual state quantity needs to meet continuous conditions more, and the vehicle can be conveniently tracked. Specifically, taking the minimized optimization objective as an example, the second objective function is, for example:
Figure BDA0002400956910000111
wherein, w1 、w2 、w3 、w4 、w5 、w6 、w7 Is a weight (each weight value is greater than or equal to 0); (x, y) is the actual displacement of the vehicle, (x)ref ,yref ) Is the planned position (x-x) of the automatic driving of the vehicle according to the planned path and the planned speedref )2 、(y-yref )2 Controlling the difference between the actual position coordinate and the planning position coordinate within a certain range; (v-v)ref )2 Controlling the difference between the actual speed and the planned speed within a certain range; in addition, in order to ensure that the target track is smooth enough and the vehicle can be better followed and the riding comfort and the riding stability are improved, the actual acceleration a of the vehicle is controlled within a certain range, and the derivative of the actual acceleration is controlled
Figure BDA0002400956910000112
Controlling the actual yaw velocity w within a certain range; in addition, in order to ensure that the target track finally falls to the road center as much as possible, the actual course angle of the vehicle needs to be kept as close as possible to the road center, thetaN Should tend towards 0.
And S260, solving the actual state quantity which enables the second objective function to be minimum, and determining the target track of the automatic driving according to the actual state quantity.
Fig. 7 is a schematic diagram illustrating the principle of determining the target trajectory of the automatic driving in the second embodiment of the present invention. As shown in fig. 7, x (t) is the actual measured state quantity of the sensor of the vehicle at time t,
Figure BDA0002400956910000113
and u' (t) is the optimal control solution at the time t, and y (t) is the output of the model prediction system at the time t. The controller part adopts a model prediction method, periodically solves a finite time open-loop optimization problem on line based on the current actual state quantity, and acts a control sequence corresponding to the obtained actual state quantity on the vehicle to adjust the actual state quantity of the vehicle, thereby accurately and automatically driving according to a target track.
Further, in the process of determining the target trajectory, the method further includes: reading the actual state quantity through a sensor; the actual state quantities include: actual lateral displacement, actual longitudinal displacement, actual speed, actual acceleration, actual yaw rate, actual body angle, actual heading angle, and actual acceleration; the actual state quantity is within the range of the speed limit, start-stop limit, and traveling direction limit of the road.
Specifically, in each control cycle, data is read from the sensors and the actual state quantity of the vehicle is obtained: such as the actual displacement (x, y) of the vehicle, the actual speed v, the actual body angle ψ, the actual heading angle δ, the actual acceleration a, the actual yaw rate ω, and the like. An optimal control sequence of the controlled autonomous vehicle is obtained by solving an open loop optimization problem.
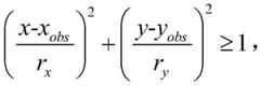
Further, the constraint conditions corresponding to the first objective function and the second objective function include: the target trajectory is outside the area of the obstacle vehicle shape set as an ellipse with the horizontal axis as the major axis.
In particular, the ability to explicitly handle constraints from its model-based prediction of the future dynamic behavior of the system, i.e., adding constraints to the input, output or state variables at the next time, is added in the computation of the target trajectory by the second objective function. Constraints can be explicitly expressed in a quadratic or non-linear programming problem that is solved online. In this embodiment, in addition to the second objective function, the model prediction control may perform hard constraint on the actual state quantity to be solved, so as to avoid collision between the target trajectory and the obstacle vehicle.
Fig. 8 is a schematic diagram of constraints on the shape of a vehicle in a second embodiment of the present invention. As shown in fig. 8, to avoid the planned trajectory colliding with the obstacle vehicle, a hard constraint needs to be added. Because the longitudinal speed of the vehicle running on the road is usually far greater than the lateral speed, the shape of the obstacle vehicle is assumed to be an ellipse with the major axis of the transverse axis, so that a certain distance is reserved between the vehicle and the obstacle, and the safe running is ensured. For example, the constraints are:
Figure BDA0002400956910000131
wherein (x)obs ,yobs ) As coordinates of the center point of the obstacle vehicle, rx 、ry Respectively the minor and major axes of the ellipse; or converting the constraint condition into an equality constraint and introducing the virtual input quantity ud Then the above equation is converted to:
Figure BDA0002400956910000132
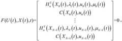
s270, constructing a Hamilton function comprising an objective function and a model of the model prediction system and an equality constraint condition.
Specifically, considering that the vehicle model is a nonlinear model, the present embodiment uses an algorithm of nonlinear model predictive control and selects a nonlinear programming method to solve, that is, C/GMRES is usedAnd (4) solving an algorithm. The C/GMRES algorithm updates the differential equations of the control sequence by using a continuous method and efficiently solves and calculates linear equations by using a generalized minimum residual method. The C/GMRES algorithm is obtained by using the increment of the control sequence at each sampling moment, and the nonlinear optimization problem does not need to be solved by using an iteration method, so that the method has the advantages of high calculation speed and high efficiency. When the C/GMRES algorithm is used for iterative solution, a Hamilton function is constructed according to a first objective function, a second objective function, a prediction model and an equality constraint condition, and partial differentiation is carried out on the Hamilton function, so that a covariate, namely a Hamilton multiplier, is obtained. The Hamiltonian function has the form: h (X, λ, u, μ) = L (X, u) + λT f(X,u)+μT C (X, u), wherein X represents a selected vehicle state measurement vector in a vehicle model state space equation, λ represents a covariate, u represents a selected vehicle control input vector in the vehicle model state space equation, μ represents a hamilton multiplier associated with an equality constraint, L (X, u) represents an objective function of the vehicle system, f (X, u) represents a non-linear state vector model of the vehicle system, and C (X, u) represents an equality constraint condition of the vehicle system.
S280, partial differentiation is carried out on the Hamiltonian to obtain a first function.
Specifically, by partially differentiating the input variable by the hamiltonian function, the first function F =0 can be jointly constructed by combining equation constraints, and the form of the first function is as follows:
Figure BDA0002400956910000141
wherein,
U(t)=[u0 (t),μ0 (t),…,uN-1 (t),μN-1 (t)],u(t)=[u0 (t),…,uN-1 (t)]the input vector is controlled for the vehicle system to be solved.
And S290, solving the first function by adopting a generalized minimum residual C/GMRES algorithm based on continuity to obtain the control sequence.
Specifically, after the first function F =0 is derived, F is approximated to 0 using the C/GMRES algorithm, and the input variable and the derivative value of the hamilton multiplier are iteratively obtained. After the derivative value of the input variable U (t) is obtained, the value of U (t) in the actual time domain can be obtained through the C/GMRES algorithm, and the value is the control sequence. Through the algorithm, the nonlinear model predictive control can be quickly solved, so that the whole track planning process can be quickly iterated in real time, a control sequence U (t) corresponding to the target track is finally output, a processor in the vehicle controls the automatic driving of the vehicle according to the control sequence U (t), and the actual state quantity of the vehicle is tracked and controlled in real time.
Fig. 9 is a schematic diagram of a target track in the second embodiment of the present invention. And controlling the vehicle according to the control sequence obtained by solving the method, so that automatic driving according to the optimized target track can be realized. As shown in fig. 9, a solid line represents a vehicle track corresponding to a control sequence solved according to the C/GMRES algorithm, a dotted line represents a planned path determined in an initial planning process, a rectangular frame represents an obstacle vehicle that needs to be avoided, and the vehicle changes lanes in an automatic driving process.
The automatic driving control method provided by the second embodiment of the invention is optimized on the basis of the second embodiment, based on a layered target track optimization algorithm framework, a coordinate system is converted, a candidate path set is generated, a first target function is established, a planned path and a planned speed are determined, a second target function is established, a target track is determined, and then a control sequence corresponding to the target track is reversely solved by adopting a C/GMRES algorithm. In the process of establishing the target function, weights are given to all the influence factors, so that different actual requirements can be met, and the planning of a target track is more flexible; by adding constraint conditions, the safety of the automatic driving track is ensured, and the automatic driving track is more in line with changeable actual road environments. In addition, the control method of the embodiment selects various key vehicle dynamic state quantities influencing driving decisions, proposes different optimal objective functions in a layering mode from the selection of a path candidate set, the planning of a path and speed and the optimization of a target track to solve the optimization problem, realizes the decoupling of a complex path planning problem, enhances the stability and the robustness of a system, adopts a new efficient numerical algorithm based on a generalized minimum residual algorithm C/GMRES of a continuous method, updates a differential equation of a control sequence by using the continuous method, solves an open-loop optimal solution of a target track model prediction control problem, obtains a C/GMRES algorithm sequence by using an increment of the control sequence at each sampling moment, does not use a traditional iterative method to solve a nonlinear optimization problem, and therefore, the required time is short, the efficiency is high, and the calculated quantity is small.
EXAMPLE III
Fig. 10 is a schematic structural diagram of an automatic driving control device according to a third embodiment of the present invention. The present embodiment provides an automatic driving control apparatus including:
abehavior planning module 310, configured to determine a planned path and a planned speed of the autonomous driving according to the first objective function in a natural coordinate system;
atrajectory determination module 320, configured to determine a target trajectory for autonomous driving according to the planned path, the planned speed, and a second objective function;
asequence solving module 330, configured to solve a control sequence according to the target trajectory;
and acontrol module 340 for controlling the vehicle to drive automatically according to the control sequence.
According to the automatic driving control device provided by the third embodiment of the invention, the planned path and the planned speed are determined according to the first objective function under the natural coordinate system, the target track of automatic driving is determined according to the second objective function on the basis, the control sequence is solved according to the target track, and the automatic driving of the vehicle is controlled, so that the target track is consistent with the planned path and the planned speed, the automatic driving of the vehicle is accurately controlled, and the reliability of automatic driving is improved.
On the basis of the above embodiment, thebehavior planning module 310 includes:
the candidate set setting unit is used for setting candidate route points in the lanes in the setting range and generating a route candidate set;
a first function establishing unit, configured to establish a first objective function in a natural coordinate system based on the path candidate set, where the first objective function is associated with an actual speed, an actual acceleration derivative, and an actual path of the vehicle, respectively;
and the first function solving unit is used for solving the actual speed, the actual acceleration derivative and the actual path which enable the first objective function to be minimum, and determining the planned path and the planned speed according to the obtained actual speed, actual acceleration derivative and actual path.
On the basis of the above embodiment, thetrajectory determination module 320 includes:
a second function establishing unit, configured to establish a second objective function in a natural coordinate system based on the path candidate set, where the second objective function is associated with an actual state quantity of a vehicle and a state difference quantity respectively, where the state difference quantity includes a difference quantity between the actual state quantity and the planned path and a difference quantity between the actual state quantity and the planned speed;
and the second function solving unit is used for solving the actual state quantity which enables the second objective function to be minimum and determining the target track of automatic driving according to the actual state quantity.
Further, the apparatus further comprises:
a state quantity reading unit for reading an actual state quantity by a sensor;
the actual state quantity includes: actual lateral displacement, actual longitudinal displacement, actual speed, actual acceleration, actual yaw rate, actual body angle, actual heading angle, and actual acceleration;
the actual state quantity is within the range of the speed limit, start-stop limit, and traveling direction limit of the road.
Further, the constraint conditions corresponding to the first objective function and the second objective function include:
the target trajectory is outside an area of an obstacle vehicle shape set as an ellipse having a major axis on a horizontal axis.
Further, thesequence solving module 330 includes:
a function constructing unit, configured to construct the first objective function, the second objective function, and a hamiltonian corresponding to the constraint condition;
the partial differentiation unit is used for performing partial differentiation on the Hamiltonian to obtain a first function;
and the solving unit is used for solving the first function by adopting a continuity-based generalized minimum residual C/GMRES algorithm to obtain the control sequence.
Further, the apparatus further comprises:
and the coordinate system conversion module is used for converting the Cartesian coordinate system into a natural coordinate system before determining the planned path and the planned speed of the automatic driving according to the first objective function in the natural coordinate system, wherein the natural coordinate system takes the center line of the road as a horizontal axis and takes the normal of the road as a vertical axis.
The automatic driving control device provided by the third embodiment of the invention can be used for executing the automatic driving control method provided by any embodiment, and has corresponding functions and beneficial effects.
Example four
Fig. 11 is a schematic hardware structure diagram of a vehicle according to a fourth embodiment of the present invention. The terminal includes but is not limited to: desktop computers, notebook computers, smart phones, tablet computers and other intelligent terminals. Further, the server includes, but is not limited to: the system comprises an industrial integration server, a system background server and a cloud server. As shown in fig. 11, the present embodiment provides a vehicle including: aprocessor 410 and astorage 420. The number of the processors in the vehicle may be one or more, fig. 11 illustrates oneprocessor 410, theprocessor 410 and thestorage device 420 in the vehicle may be connected by a bus or in other manners, and fig. 11 illustrates the connection by the bus.
The one or more programs are executed by the one ormore processors 410, causing the one or more processors to implement the autopilot control method of any of the embodiments described above.
Thestorage device 420 in the vehicle, as a computer-readable storage medium, may be used to store one or more programs, which may be software programs, computer-executable programs, and modules, such as program instructions/modules corresponding to the automatic driving control method in the embodiment of the present invention (for example, the modules in the automatic driving control device shown in fig. 10, including thebehavior planning module 310, thetrajectory determination module 320, thesequence solving module 330, and the control module 340). Theprocessor 410 executes various functional applications of the vehicle and data processing, i.e., implements the automatic driving control method in the above-described method embodiments, by executing software programs, instructions, and modules stored in thestorage device 420.
Thestorage device 420 mainly includes a storage program area and a storage data area, wherein the storage program area can store an operating system and an application program required by at least one function; the storage data area may store data created according to the use of the vehicle, etc. (planned path and planned speed, etc. as in the above-described embodiments). Further, thestorage 420 may include high speed random access memory, and may also include non-volatile memory, such as at least one magnetic disk storage device, flash memory device, or other non-volatile solid state storage device. In some examples, thestorage device 420 may further include memory located remotely from theprocessor 410, which may be connected to the vehicle over a network. Examples of such networks include, but are not limited to, the internet, intranets, local area networks, mobile communication networks, and combinations thereof.
And, when one or more programs included in the above-mentioned vehicle are executed by the one ormore processors 410, the following operations are performed: determining a planned path and a planned speed of automatic driving according to a first objective function under a natural coordinate system; determining an automatic driving target track according to the planned path, the planned speed and a second target function; and solving a control sequence according to the target track, and controlling the automatic driving of the vehicle according to the control sequence.
The vehicle proposed by the present embodiment belongs to the same inventive concept as the automatic driving control method proposed by the above embodiments, and technical details that are not described in detail in the present embodiment can be referred to any of the above embodiments, and the present embodiment has the same advantageous effects as the execution of the automatic driving control method.
On the basis of the above-described embodiments, the present embodiment also provides a computer-readable storage medium having stored thereon a computer program that, when executed by an automatic driving control apparatus, implements an automatic driving control method in any of the above-described embodiments of the present invention, the method including: determining a planned path and a planned speed of automatic driving according to a first objective function under a natural coordinate system; determining an automatic driving target track according to the planned path, the planned speed and a second target function; and solving a control sequence according to the target track, and controlling the automatic driving of the vehicle according to the control sequence.
Of course, the storage medium containing the computer-executable instructions provided by the embodiments of the present invention is not limited to the above-described operation of the automatic driving control method, and may also perform related operations in the automatic driving control method provided by any embodiments of the present invention, and has corresponding functions and advantages.
From the above description of the embodiments, it is obvious for those skilled in the art that the present invention can be implemented by software and necessary general hardware, and certainly, can also be implemented by hardware, but the former is a better embodiment in many cases. Based on such understanding, the technical solutions of the present invention may be embodied in the form of a software product, which may be stored in a computer-readable storage medium, such as a floppy disk, a Read-Only Memory (ROM), a Random Access Memory (RAM), a FLASH Memory (FLASH), a hard disk or an optical disk of a computer, and includes several instructions for enabling a computer device (which may be a personal computer, a server, or a network device) to execute the automatic driving control method according to the embodiments of the present invention.
It is to be noted that the foregoing is only illustrative of the preferred embodiments of the present invention and the technical principles employed. It will be understood by those skilled in the art that the present invention is not limited to the particular embodiments described herein, but is capable of various obvious changes, rearrangements and substitutions as will now become apparent to those skilled in the art without departing from the scope of the invention. Therefore, although the present invention has been described in greater detail by the above embodiments, the present invention is not limited to the above embodiments, and may include other equivalent embodiments without departing from the spirit of the present invention, and the scope of the present invention is determined by the scope of the appended claims.

Claims (8)

1. An automatic driving control method characterized by comprising:
determining a planned path and a planned speed of automatic driving according to a first objective function under a natural coordinate system;
determining a target track of automatic driving according to the planned path, the planned speed and a second target function;
solving a control sequence according to the target track, and controlling the automatic driving of the vehicle according to the control sequence;
wherein, the determining the planned path and the planned speed of the automatic driving according to the first objective function in the natural coordinate system comprises:
setting candidate path points in the lane in the set range and generating a path candidate set;
establishing a first objective function under a natural coordinate system based on the path candidate set, wherein the first objective function is respectively associated with the actual speed, the actual acceleration derivative and the actual path of the vehicle;
solving the actual speed, the actual acceleration derivative and the actual path which enable the first objective function to be minimum, and determining the planned path and the planned speed according to the obtained actual speed, actual acceleration derivative and actual path;
the determining a target trajectory for automatic driving according to the planned path, the planned speed and a second objective function includes:
establishing a second objective function under a natural coordinate system based on the path candidate set, wherein the second objective function is respectively associated with an actual state quantity and a state gap quantity of a vehicle, and the state gap quantity comprises a gap quantity between the actual state quantity and the planned path and a gap quantity between the actual state quantity and the planned speed;
and solving the actual state quantity which enables the second objective function to be minimum, and determining the target track of automatic driving according to the actual state quantity.
2. The method of claim 1, further comprising: reading the actual state quantity through a sensor;
the actual state quantity includes: actual lateral displacement, actual longitudinal displacement, actual speed, actual acceleration, actual yaw rate, actual body angle, actual heading angle, and actual acceleration;
the actual state quantity is within the range of the speed limit, start-stop limit, and traveling direction limit of the road.
3. The method of claim 1, wherein the constraints for the first objective function and the second objective function comprise:
the target trajectory is outside an area of an obstacle vehicle shape set as an ellipse having a major axis on a horizontal axis.
4. The method of claim 3, wherein said solving a control sequence from said target trajectory comprises:
constructing the first objective function, the second objective function and the Hamilton function corresponding to the constraint condition;
partial differentiation is carried out on the Hamiltonian to obtain a first function;
and solving the first function by adopting a generalized minimum residual C/GMRES algorithm based on continuity to obtain the control sequence.
5. The method according to any one of claims 1-4, further comprising, prior to said determining the planned path and the planned speed for autonomous driving according to the first objective function in the natural coordinate system:
and converting the Cartesian coordinate system into a natural coordinate system, wherein the natural coordinate system takes the center line of the road as a horizontal axis and takes the normal of the road as a vertical axis.
6. An automatic driving control apparatus, characterized by comprising:
the behavior planning module is used for determining a planned path and a planned speed of automatic driving according to a first objective function under a natural coordinate system;
the track determining module is used for determining an automatic driving target track according to the planned path, the planned speed and a second target function;
the sequence solving module is used for solving a control sequence according to the target track;
the control module is used for controlling the automatic driving of the vehicle according to the control sequence;
the trajectory determination module comprises:
a second function establishing unit, configured to establish a second objective function in a natural coordinate system based on a path candidate set, where the second objective function is associated with an actual state quantity and a state gap quantity of a vehicle, respectively, and the state gap quantity includes a gap quantity between the actual state quantity and the planned path and a gap quantity between the actual state quantity and the planned speed;
a second function solving unit for solving an actual state quantity that minimizes the second objective function, and determining an automatic driving target trajectory according to the actual state quantity;
the behavior planning module comprises:
the candidate set setting unit is used for setting candidate route points in the lanes in the setting range and generating a route candidate set;
a first function establishing unit, configured to establish a first objective function in a natural coordinate system based on the path candidate set, where the first objective function is associated with an actual speed, an actual acceleration derivative, and an actual path of the vehicle, respectively;
and the first function solving unit is used for solving the actual speed, the actual acceleration derivative and the actual path which enable the first objective function to be minimum, and determining the planned path and the planned speed according to the obtained actual speed, actual acceleration derivative and actual path.
7. A vehicle, characterized by comprising:
one or more processors;
storage means for storing one or more programs;
when executed by the one or more processors, cause the one or more processors to implement the autopilot control method of any of claims 1-5.
8. A computer-readable storage medium, on which a computer program is stored, characterized in that the program, when being executed by a processor, implements an autopilot control method according to one of claims 1 to 5.
CN202010146615.0A2020-03-052020-03-05Automatic driving control method and device, vehicle and storage mediumActiveCN111338346B (en)

Priority Applications (2)

Application NumberPriority DateFiling DateTitle
CN202010146615.0ACN111338346B (en)2020-03-052020-03-05Automatic driving control method and device, vehicle and storage medium
PCT/CN2021/079289WO2021175313A1 (en)2020-03-052021-03-05Automatic driving control method and device, vehicle, and storage medium

Applications Claiming Priority (1)

Application NumberPriority DateFiling DateTitle
CN202010146615.0ACN111338346B (en)2020-03-052020-03-05Automatic driving control method and device, vehicle and storage medium

Publications (2)

Publication NumberPublication Date
CN111338346A CN111338346A (en)2020-06-26
CN111338346Btrue CN111338346B (en)2022-10-21

Family

ID=71184235

Family Applications (1)

Application NumberTitlePriority DateFiling Date
CN202010146615.0AActiveCN111338346B (en)2020-03-052020-03-05Automatic driving control method and device, vehicle and storage medium

Country Status (2)

CountryLink
CN (1)CN111338346B (en)
WO (1)WO2021175313A1 (en)

Families Citing this family (49)

* Cited by examiner, † Cited by third party
Publication numberPriority datePublication dateAssigneeTitle
CN111338346B (en)*2020-03-052022-10-21中国第一汽车股份有限公司Automatic driving control method and device, vehicle and storage medium
CN112026772B (en)*2020-08-142021-09-17清华大学Real-time path planning and distributed control method for intelligent networked automobile
CN112406904B (en)*2020-08-272022-02-01腾讯科技(深圳)有限公司Training method of automatic driving strategy, automatic driving method, equipment and vehicle
CN113778071B (en)*2020-09-172025-02-25北京京东乾石科技有限公司 Unmanned vehicle path planning method, device, electronic equipment, unmanned vehicle and medium
CN112146667B (en)*2020-09-292022-10-14广州小鹏自动驾驶科技有限公司Method and device for generating vehicle transition track
CN112256037B (en)*2020-11-032021-07-30智邮开源通信研究院(北京)有限公司Control method and device applied to automatic driving, electronic equipment and medium
CN114516342B (en)*2020-11-192024-05-03上海汽车集团股份有限公司 Vehicle control method, device and vehicle
CN113792249B (en)*2020-11-252024-07-19北京京东乾石科技有限公司Driving data processing method and device, storage medium and electronic equipment
CN114590267B (en)*2020-12-072025-09-09希迪智驾科技股份有限公司Vehicle motion planning method, device, equipment and computer storage medium
CN113753073B (en)*2021-01-122024-07-16京东鲲鹏(江苏)科技有限公司Vehicle speed control method, device, equipment and storage medium
CN112907944A (en)*2021-01-182021-06-04陈潇潇Automatic driving intelligent traffic method for local traffic section
CN113050627A (en)*2021-03-022021-06-29北京旷视机器人技术有限公司Path planning method and device, mobile robot and computer storage medium
CN112947492B (en)*2021-04-142023-09-22北京车和家信息技术有限公司Vehicle control method and device, storage medium, electronic equipment and vehicle
CN113110489B (en)*2021-04-302023-03-10清华大学Trajectory planning method and device, electronic equipment and storage medium
CN113561189B (en)*2021-09-272021-12-31深圳市优必选科技股份有限公司Method, device, equipment and medium for planning joint acceleration of redundant robot
CN113978465A (en)*2021-09-282022-01-28阿波罗智能技术(北京)有限公司Lane-changing track planning method, device, equipment and storage medium
CN114030480B (en)*2021-11-032023-09-22重庆理工大学Unmanned vehicle self-adaptive turning control algorithm based on obstacle avoidance path planning
CN114013450B (en)*2021-11-162023-10-31交控科技股份有限公司Vehicle operation control method, system and computer equipment
CN114061611B (en)*2021-11-172025-04-25腾讯科技(深圳)有限公司 Target object positioning method, device, storage medium and computer program product
CN114030463B (en)*2021-11-232024-05-14上海汽车集团股份有限公司Path planning method and device for automatic parking system
CN114167860B (en)*2021-11-242023-07-07东风商用车有限公司Automatic driving optimal track generation method and device
CN114282380A (en)*2021-12-282022-04-05驭势科技(北京)有限公司 Test method, device, electronic device and storage medium for automatic driving algorithm
CN114394113B (en)*2022-01-192023-08-25广州小鹏自动驾驶科技有限公司Vehicle track re-planning method and device, electronic equipment and storage medium
CN114194217B (en)*2022-01-282023-11-28中国第一汽车股份有限公司Automatic driving method and device for vehicle, electronic equipment and storage medium
CN114506343B (en)*2022-03-022024-07-16阿波罗智能技术(北京)有限公司Track planning method, device, equipment, storage medium and automatic driving vehicle
CN114475663B (en)*2022-03-082024-04-09北京轻舟智航智能技术有限公司Automatic driving transverse control processing method
CN115218902B (en)*2022-04-022024-02-02广州汽车集团股份有限公司Track planning method, device, equipment and storage medium
CN114802299A (en)*2022-04-122022-07-29武汉路特斯汽车有限公司Path trajectory planning method, terminal and computer readable storage medium
CN114604273A (en)*2022-04-152022-06-10京东鲲鹏(江苏)科技有限公司 Vehicle trajectory planning method, device, storage medium and electronic device
CN114715192B (en)*2022-04-152025-03-18重庆大学 A decoupled real-time trajectory planning method, device and system for autonomous driving vehicles
CN114815825B (en)*2022-04-212024-07-12合众新能源汽车股份有限公司Method and device for determining optimal running track of vehicle
CN114620034B (en)*2022-04-282025-04-18重庆城市职业学院 A method, system, device and medium for dynamic trajectory planning of automatic parking
CN114771551B (en)*2022-04-292023-08-11阿波罗智能技术(北京)有限公司Automatic driving vehicle track planning method and device and automatic driving vehicle
CN114750785B (en)*2022-05-172024-09-17武汉理工大学Integrated control method and system for automatic driving automobile lane keeping and lane changing
CN114872711B (en)*2022-05-272024-06-25武汉理工大学 Driving planning method, system, device and medium based on intelligent connected vehicle
CN115016470A (en)*2022-05-302022-09-06东风汽车集团股份有限公司 A learning-based local path planning optimization method and device for autonomous driving
CN115123293B (en)*2022-06-092025-03-14燕山大学 A trajectory planning method based on potential field guidance
CN114996950A (en)*2022-06-092022-09-02零束科技有限公司Driving track planning method and device and electronic equipment
CN114942642B (en)*2022-06-132024-11-26吉林大学 A trajectory planning method for unmanned vehicles
CN115042815A (en)*2022-06-232022-09-13智道网联科技(北京)有限公司Trajectory planning method and device for automatic driving vehicle and electronic equipment
CN115339472A (en)*2022-08-222022-11-15中汽创智科技有限公司Path planning method and device, vehicle-mounted terminal and storage medium
CN115230721B (en)*2022-08-312024-09-24阿波罗智能技术(北京)有限公司Perception data processing method and device and automatic driving vehicle
CN115892045A (en)*2023-01-192023-04-04福州大学Man-machine common driving method based on dynamic safety arbiter
CN116424326A (en)*2023-04-262023-07-14同济大学Constraint fusion type high-speed automatic overtaking movement planning and control method
CN116424319B (en)*2023-06-122023-08-29上海鉴智其迹科技有限公司Vehicle control method and device, electronic equipment and computer storage medium
CN117471972B (en)*2023-11-202024-08-27山东建筑大学Self-balancing active planning route intelligent bicycle control method and device
CN117572875B (en)*2024-01-152024-04-12上海友道智途科技有限公司Real-time speed planning method, system, equipment and medium based on hot start
CN118225103B (en)*2024-05-222024-07-30哈尔滨工程大学三亚南海创新发展基地 Path planning method for pushing cabin on deck of prefabricated cabin on large cruise ship
CN119004858B (en)*2024-10-212025-03-28公安部道路交通安全研究中心Traffic simulation system, method and equipment

Family Cites Families (13)

* Cited by examiner, † Cited by third party
Publication numberPriority datePublication dateAssigneeTitle
US8694382B2 (en)*2011-02-182014-04-08Cnh America LlcSystem and method for automatic guidance control of a vehicle
CN106774329B (en)*2016-12-292019-08-13大连理工大学A kind of robot path planning method based on oval tangent line construction
US10571921B2 (en)*2017-09-182020-02-25Baidu Usa LlcPath optimization based on constrained smoothing spline for autonomous driving vehicles
CN109501799B (en)*2018-10-292020-08-28江苏大学Dynamic path planning method under condition of Internet of vehicles
CN109375632B (en)*2018-12-172020-03-20清华大学Real-time trajectory planning method for automatic driving vehicle
CN109885883B (en)*2019-01-212023-04-18江苏大学Unmanned vehicle transverse motion control method based on GK clustering algorithm model prediction
CN109712421B (en)*2019-02-222021-06-04百度在线网络技术(北京)有限公司Method, apparatus and storage medium for speed planning of autonomous vehicles
CN109866752B (en)*2019-03-292020-06-05合肥工业大学Method for tracking running system of dual-mode parallel vehicle track based on predictive control
CN110196590B (en)*2019-04-232021-12-14华南理工大学 A Time-Optimal Trajectory Planning Method for Robot Path Tracking
CN109976355B (en)*2019-04-262021-12-10腾讯科技(深圳)有限公司Trajectory planning method, system, device and storage medium
CN110244721B (en)*2019-06-052022-04-12杭州飞步科技有限公司Automatic driving control method, device, equipment and storage medium
CN110364009A (en)*2019-07-162019-10-22华人运通(上海)自动驾驶科技有限公司Traveling planing method, device, roadside device and storage medium based on roadside device
CN111338346B (en)*2020-03-052022-10-21中国第一汽车股份有限公司Automatic driving control method and device, vehicle and storage medium

Also Published As

Publication numberPublication date
WO2021175313A1 (en)2021-09-10
CN111338346A (en)2020-06-26

Similar Documents

PublicationPublication DateTitle
CN111338346B (en)Automatic driving control method and device, vehicle and storage medium
CN113485380B (en)AGV path planning method and system based on reinforcement learning
Huang et al.Personalized trajectory planning and control of lane-change maneuvers for autonomous driving
Stahl et al.Multilayer graph-based trajectory planning for race vehicles in dynamic scenarios
Liu et al.Parking like a human: A direct trajectory planning solution
CN110992695B (en)Vehicle urban intersection traffic decision multi-objective optimization method based on conflict resolution
Grigorescu et al.Neurotrajectory: A neuroevolutionary approach to local state trajectory learning for autonomous vehicles
Betz et al.What can we learn from autonomous level-5 motorsport?
CN110568760A (en) Parametric learning decision-making control system and method suitable for lane changing and lane keeping
Parhi et al.Navigational control of several mobile robotic agents using Petri-potential-fuzzy hybrid controller
Arifin et al.The lateral control of autonomous vehicles: A review
CN115933641A (en) AGV path planning method guided by deep reinforcement learning based on model predictive control
Zhang et al.Structured road-oriented motion planning and tracking framework for active collision avoidance of autonomous vehicles
Chen et al.Automatic overtaking on two-way roads with vehicle interactions based on proximal policy optimization
Liu et al.The robustly-safe automated driving system for enhanced active safety
Chen et al.Framework of active obstacle avoidance for autonomous vehicle based on hybrid soft actor-critic algorithm
Tiong et al.Autonomous vehicle driving path control with deep reinforcement learning
Wan et al.Lane-changing tracking control of automated vehicle platoon based on MA-DDPG and adaptive MPC
Chen et al.An Intelligent Navigation Control Approach for Autonomous Unmanned Vehicles via Deep Learning-Enhanced Visual SLAM Framework
Shen et al.Cascade LPV control for automated vehicle trajectory tracking considering parametric uncertainty and varying velocity
Huy et al.A practical and optimal path planning for autonomous parking using fast marching algorithm and support vector machine
Antonelli et al.A novel control strategy for autonomous cars
Vijayakumar et al.A holistic safe planner for automated driving considering interaction with human drivers
Li et al.Decision making for autonomous vehicles
Guirguis et al.ROS-based Model Predictive Trajectory Tracking Control Architecture using LiDAR-Based Mapping and Hybrid A Planning

Legal Events

DateCodeTitleDescription
PB01Publication
PB01Publication
SE01Entry into force of request for substantive examination
SE01Entry into force of request for substantive examination
GR01Patent grant
GR01Patent grant

[8]ページ先頭

©2009-2025 Movatter.jp