Movatterモバイル変換


[0]ホーム

URL:


CN111326243B - Triage recommendation method and device, electronic equipment and storage medium - Google Patents

Triage recommendation method and device, electronic equipment and storage medium
Download PDF

Info

Publication number
CN111326243B
CN111326243BCN202010080731.7ACN202010080731ACN111326243BCN 111326243 BCN111326243 BCN 111326243BCN 202010080731 ACN202010080731 ACN 202010080731ACN 111326243 BCN111326243 BCN 111326243B
Authority
CN
China
Prior art keywords
symptom
department
disease
degree
determining
Prior art date
Legal status (The legal status is an assumption and is not a legal conclusion. Google has not performed a legal analysis and makes no representation as to the accuracy of the status listed.)
Active
Application number
CN202010080731.7A
Other languages
Chinese (zh)
Other versions
CN111326243A (en
Inventor
汪雪松
干萌
Current Assignee (The listed assignees may be inaccurate. Google has not performed a legal analysis and makes no representation or warranty as to the accuracy of the list.)
Iflytek Medical Technology Co ltd
Original Assignee
Iflytek Medical Technology Co ltd
Priority date (The priority date is an assumption and is not a legal conclusion. Google has not performed a legal analysis and makes no representation as to the accuracy of the date listed.)
Filing date
Publication date
Application filed by Iflytek Medical Technology Co ltdfiledCriticalIflytek Medical Technology Co ltd
Priority to CN202010080731.7ApriorityCriticalpatent/CN111326243B/en
Publication of CN111326243ApublicationCriticalpatent/CN111326243A/en
Application grantedgrantedCritical
Publication of CN111326243BpublicationCriticalpatent/CN111326243B/en
Activelegal-statusCriticalCurrent
Anticipated expirationlegal-statusCritical

Links

Images

Classifications

Landscapes

Abstract

The embodiment of the invention provides a triage recommendation method, a triage recommendation device, electronic equipment and a storage medium, wherein the method comprises the following steps: determining symptom information for the patient; determining the fitting degree of the symptom information and any department based on a preset knowledge graph; the preset knowledge graph comprises diseases corresponding to each department and symptoms corresponding to each disease; the degree of engagement of the symptom information with any department is determined based on the degree of association of the symptom information with the symptoms of the department and the degree of dispersion of diseases; and determining the triage result based on the fitting degree of the symptom information and each department. The method, the device, the electronic equipment and the storage medium provided by the embodiment of the invention fully consider the relevance between symptoms and diseases, and convert the actual condition that a single patient suffers from more than one disease at the same time into the disease dispersion degree for measurement so as to improve the accuracy and reliability of triage recommendation.

Description

Triage recommendation method and device, electronic equipment and storage medium
Technical Field
The invention relates to the technical field of natural language processing, in particular to a diagnosis recommending method, a diagnosis recommending device, electronic equipment and a storage medium.
Background
The intelligent triage is used for rapidly and accurately judging the subjects of the patients according to the symptom and the physical sign of the patients and providing an effective treatment path. Compared with the traditional outpatient triage, the intelligent triage can more quickly and accurately give reasonable suggestions according to symptoms.
In the current intelligent triage method, the symptoms corresponding to each department are usually preset, so that the symptom signs of the patient are directly linked to the department. Actually, there is coincidence between the symptoms corresponding to different departments, and the diagnosis is performed only by the association between the symptoms and the departments, so that the reliability of intelligent diagnosis cannot be guaranteed.
Disclosure of Invention
The embodiment of the invention provides a triage recommendation method and device, electronic equipment and a storage medium, which are used for solving the problem of low reliability of the existing triage recommendation.
In a first aspect, an embodiment of the present invention provides a triage recommendation method, including:
determining symptom information for the patient;
determining the fitting degree of the symptom information and any department based on a preset knowledge graph; the preset knowledge graph comprises diseases corresponding to each department and symptoms corresponding to each disease; the degree of engagement of the symptom information with any department is determined based on the degree of association of the symptom information with the symptoms of any department and the degree of dispersion of diseases;
and determining the triage result based on the fitting degree of the symptom information and each department.
Preferably, the determining the degree of engagement of the symptom information with any department based on the preset knowledge graph specifically includes:
based on the preset knowledge graph and the disease of any department corresponding to each determined symptom in the symptom information, determining that any undetermined symptom in the symptom information corresponds to the disease of any department, and updating the any undetermined symptom into a determined symptom;
determining a degree of engagement of the symptom information with the any department based on each determined symptom in the symptom information corresponding to a disease of the any department.
Preferably, the determining that any pending symptom in the symptom information corresponds to the disease of any department based on the preset knowledge graph and each determined symptom in the symptom information corresponds to the disease of any department specifically includes:
determining a relevancy score of any disease corresponding to any department for any pending symptom based on the preset knowledge graph;
determining a divergence score for each determined symptom corresponding to any disease of said any department based on the disease for which said each determined symptom corresponds to said any department;
determining a composite score for any disease for which said any pending symptom corresponds to said any department based on a relevancy score and a divergence score for said any disease for which said any pending symptom corresponds to said any department;
determining a relationship between the pending symptom corresponding to the maximum value of the composite score and the disease based on the composite score of each pending symptom corresponding to each disease of any department.
Preferably, the determining, based on the preset knowledge graph, a relevancy score of any disease corresponding to any pending symptom to any department specifically includes:
determining an associated disease score for any disease for any subject corresponding to any pending symptom based on the preset knowledge graph;
determining a relevancy score for the any disease for which the any pending symptom corresponds to the any department based on the relevancy disease score and the symptom coefficient for the any pending symptom;
wherein the symptom coefficient for any one of the pending symptoms is determined based on the negativity and positivity of the any one of the pending symptoms.
Preferably, said determining a divergence score of said any disease for which said any pending symptom corresponds to said any department based on the disease for which each determined symptom corresponds to said any department specifically comprises:
determining a number of positive symptoms disease for any department when said any pending symptom corresponds to said any disease based on each determined symptom corresponding to a disease of said any department and said any pending symptom corresponding to any disease of said any department;
determining a divergence score for said any disease for which said any pending symptom corresponds to said any department based on said number of positive symptom diseases.
Preferably, the determining of the degree of engagement of the symptom information with the any department based on each determined symptom in the symptom information corresponding to the disease of the any department includes
Determining a first degree of engagement of the symptom information with the any department based on a number of determined symptoms that are positive in the symptom information;
and/or determining a second degree of engagement of the symptom information with any department based on the preset knowledge graph and the disease of the department corresponding to each determined symptom in the symptom information;
determining a degree of engagement of the symptom information with the any department based on the first degree of engagement and/or the second degree of engagement.
Preferably, the determining a second degree of engagement of the symptom information with the any department based on the preset knowledge graph and the disease of the any department corresponding to each determined symptom in the symptom information specifically includes:
determining a disease weight of any determined symptom corresponding to any department based on the preset knowledge graph and the disease of any determined symptom corresponding to any department in the symptom information;
performing weighted summation on each determined symptom based on the disease weight corresponding to each determined symptom and the symptom coefficient of each determined symptom to obtain a second degree of engagement of the symptom information with any department; wherein the symptom coefficient for any one of the determined symptoms is determined based on the negativity or positivity of said any one of the determined symptoms.
In a second aspect, an embodiment of the present invention provides a triage recommendation apparatus, including:
a symptom determination unit for determining symptom information of the patient;
the engagement degree determining unit is used for determining the engagement degree of the symptom information and any department based on a preset knowledge graph; the preset knowledge graph comprises diseases corresponding to each department and symptoms corresponding to each disease; the degree of engagement of the symptom information with any department is determined based on the degree of association of the symptom information with the symptoms of any department and the degree of dispersion of diseases;
and the triage unit is used for determining the triage result based on the fitting degree of the symptom information and each department.
In a third aspect, an embodiment of the present invention provides an electronic device, including a processor, a communication interface, a memory, and a bus, where the processor and the communication interface, the memory complete mutual communication through the bus, and the processor may call a logic command in the memory to perform the steps of the method provided in the first aspect.
In a fourth aspect, an embodiment of the present invention provides a non-transitory computer readable storage medium, on which a computer program is stored, which when executed by a processor, implements the steps of the method as provided in the first aspect.
According to the triage recommendation method, the device, the electronic equipment and the storage medium provided by the embodiment of the invention, the relevance between symptoms and diseases is fully considered, the actual condition that a single patient suffers from more than one disease at the same time is converted into the disease dispersion degree for measurement, and the triage result is determined by combining the association degree between the symptom information and the symptoms of departments and the fitting degree between the symptom information and the departments determined by the disease dispersion degree, so that the accuracy and reliability of the triage recommendation are improved.
Drawings
In order to more clearly illustrate the embodiments of the present invention or the technical solutions in the prior art, the drawings used in the description of the embodiments or the prior art will be briefly described below, and it is obvious that the drawings in the following description are some embodiments of the present invention, and those skilled in the art can also obtain other drawings according to the drawings without creative efforts.
Fig. 1 is a schematic flow chart of a triage recommendation method according to an embodiment of the present invention;
fig. 2 is a schematic flow chart of a method for determining a degree of engagement between symptom information and any department according to an embodiment of the present invention;
FIG. 3 is a schematic flow chart of a method for determining a disease corresponding to any symptom in any department according to an embodiment of the present invention;
fig. 4 is a knowledge sub-graph corresponding to a respiration department in a preset knowledge graph according to an embodiment of the present invention;
FIG. 5 is a flow chart of a method for determining a relevancy score for any disease corresponding to any department for any pending symptom according to an embodiment of the present invention;
FIG. 6 is a schematic flow chart of a method for determining a divergence score of any pending symptom corresponding to any disease in any department according to an embodiment of the present invention;
FIG. 7 is a flowchart illustrating a method for determining the engagement degree between symptom information and any department according to another embodiment of the present invention;
fig. 8 is a flowchart illustrating a second fitness determining method according to an embodiment of the present invention;
FIG. 9 is a portion of a predetermined knowledge-graph provided in accordance with an embodiment of the present invention;
fig. 10 is a schematic structural diagram of a triage recommendation device according to an embodiment of the present invention;
fig. 11 is a schematic structural diagram of an electronic device according to an embodiment of the present invention.
Detailed Description
In order to make the objects, technical solutions and advantages of the embodiments of the present invention clearer, the technical solutions in the embodiments of the present invention will be clearly and completely described below with reference to the drawings in the embodiments of the present invention, and it is obvious that the described embodiments are some, but not all, embodiments of the present invention. All other embodiments, which can be derived by a person skilled in the art from the embodiments given herein without making any creative effort, shall fall within the protection scope of the present invention.
In the current intelligent triage method, the symptoms corresponding to each department are usually preset, so that the symptom signs of the patient are directly linked to the department. Actually, there is coincidence between symptoms corresponding to different departments, and the diagnosis is performed only by the association between the symptoms and the departments, so that the diagnosis result is low in reliability because the fact that the symptoms are associated in the diagnosis scene should be diseases is ignored. In view of the above, the present invention provides a triage recommendation method. Fig. 1 is a schematic flow chart of a triage recommendation method according to an embodiment of the present invention, and as shown in fig. 1, the method includes:
atstep 110, symptom information for the patient is determined.
Specifically, the symptom information includes a plurality of symptoms, and the symptom information may include only positive symptoms, or may include both positive symptoms and negative symptoms, and indicates whether each symptom is positive or negative in the symptom information, which is not particularly limited in this embodiment of the present invention. The positive symptoms are symptoms that the patient currently presents, and the negative symptoms are symptoms that the patient currently does not present.
The symptom information of the patient may be directly selected by the patient in a preset symptom list, or may be extracted from a natural description language input by the patient, and may specifically be obtained by a natural language processing technique such as key information extraction, named entity identification, entity association, and the like, which is not specifically limited in this embodiment of the present invention.
For example, the sentence input by the patient is "expectoration, chest distress, nausea, runny nose and no abdominal pain", the extracted symptom information is { expectoration, chest distress, nausea and runny nose }, and the symptoms are all positive symptoms; or the obtained symptom information is { expectoration }+ Chest oppression+ Nausea and vomiting+ Running nose+ Abdominal pain- And } wherein, + indicates a positive symptom, -indicates a negative symptom.
Step 120, determining the fitting degree of the symptom information and any department based on a preset knowledge graph; the preset knowledge graph comprises diseases corresponding to each department and symptoms corresponding to each disease; the degree of engagement of the symptom information with any department is determined based on the degree of association of the symptom information with the symptoms of the department and the degree of dispersion of the disease.
Specifically, the preset knowledge graph is a preset constructed knowledge graph in the medical field, nodes in the knowledge graph are used for representing departments, diseases or symptoms, and edges connecting the nodes are used for representing the corresponding relation between the departments and the diseases or the corresponding relation between the diseases and the symptoms.
Based on the preset knowledge graph, the symptoms in the symptom information can be matched with the symptoms corresponding to the diseases in each department, and then the symptom association degree and the disease dispersion degree of the symptom information and each department are obtained. For any department, the association degree between the symptom information and the symptom of the department can be represented as the association degree between the symptom in the symptom information and the symptom corresponding to the disease in the department, and the higher the number of the matching between the symptom in the symptom information and the symptom corresponding to the disease in the department is, the higher the association degree between the symptom information and the symptom of the department is; the degree of dispersion of the disease between the symptom information and the department can be expressed as the degree of dispersion of the disease between the symptom information and the department, and the more the number of the disease between the symptom information and the department is, the more the disease matching is dispersed, and the degree of dispersion of the disease between the symptom information and the department is increased.
The degree of engagement between the symptom information and any department can be determined based on the degree of association between the symptom information and the symptoms of the department and the degree of dispersion of the diseases. Further, the higher the association degree of the symptom information and the symptom of the department is, the higher the engagement degree of the symptom information and the department is; meanwhile, considering that the probability that a patient suffers from a plurality of diseases at the same time is low, the reliability that each symptom in the symptom information corresponds to the same disease is high in the actual operation, and the lower the dispersion degree of the symptom information and the disease of the department is, the higher the degree of engagement between the symptom information and the department is.
And step 130, determining the triage result based on the fitting degree of the symptom information and each department.
Specifically, after the degree of engagement of the symptom information with each department is obtained, the triage result can be determined accordingly. For example, the department with the highest degree of engagement is directly used as the triage result, and for example, the department with the degree of engagement higher than a preset degree of engagement threshold is used as the triage result.
The method provided by the embodiment of the invention fully considers the relevance between symptoms and diseases, converts the actual condition that a plurality of single patients suffer from one disease at the same time into the disease dispersion degree for measurement, and determines the triage result by combining the symptom information and the association degree of the symptoms of departments and the contact degree of the symptom information and the departments determined by the disease dispersion degree, so as to improve the accuracy and reliability of the recommendation of the triage.
Based on the foregoing embodiment, fig. 2 is a schematic flowchart of a method for determining a degree of engagement between symptom information and any department according to an embodiment of the present invention, as shown in fig. 2, step 120 specifically includes:
and step 121, determining any undetermined symptom in the symptom information corresponding to the disease of the department based on the preset knowledge graph and the disease of which each determined symptom in the symptom information corresponds to any department, and updating the undetermined symptom into the determined symptom.
Specifically, the symptom information includes several symptoms, wherein any symptom is a pending symptom or a determined symptom, the pending symptom refers to a symptom that is not determined to correspond to the disease of any department, and the determined symptom is a symptom that is determined to correspond to the disease of any department. For any symptom, ifstep 121 has been executed for the symptom and the symptom is obtained to correspond to the disease of the department, the symptom is determined, otherwise the symptom is determined, and the determined symptom may be the symptom that has not been executed instep 121, or the symptom that has been executed instep 121 but has not found a matching symptom among the symptoms corresponding to the department in the preset knowledge graph.
For any undetermined symptom, based on the preset knowledge graph, the disease which the undetermined symptom may correspond to in any department of the preset knowledge graph can be determined, for example, if the undetermined symptom is included in the corresponding symptoms of three diseases in the department, the undetermined symptom is determined to possibly correspond to the three diseases in the department. According to the disease of the department corresponding to each determined symptom in the symptom information and the disease of the pending symptom possibly corresponding to the department, the disease of the pending symptom corresponding to the department can be selected from the diseases of the pending symptom possibly corresponding to the department from the angle of the dispersion degree of the diseases.
And step 122, determining the fitting degree of the symptom information and the department based on the disease of the department corresponding to each determined symptom in the symptom information.
Specifically, after performingstep 121 for each symptom in the symptom information, the degree of engagement of the symptom information with the department may be determined based on the disease of the department corresponding to each determined symptom in the symptom information. Here, the degree of engagement may be calculated according to the number of the determined symptoms, or may be calculated according to the weight of the disease corresponding to the determined symptoms in the department, which is not specifically limited in the embodiment of the present invention.
According to the method provided by the embodiment of the invention, the conformity between the symptom information and the department is determined by determining the disease of any department corresponding to each symptom in the symptom information, so that the reliability of triage recommendation is improved. In addition, for any symptom in the symptom information, the disease corresponding to the department can be determined only based on the preset knowledge graph and each determined symptom in the symptom information corresponds to the disease of any department, so that repeated adjustment of the diseases of different symptoms corresponding to departments in the symptom information is avoided, the disease matching efficiency is improved, the calculated amount is further reduced, and the triage recommendation efficiency is improved.
Based on any one of the above embodiments, fig. 3 is a schematic flow chart of a method for determining a disease corresponding to any one of symptoms in any one department according to an embodiment of the present invention, as shown in fig. 3, instep 121, based on a preset knowledge graph and each determined symptom in the symptom information corresponding to a disease in any one department, determining that any undetermined symptom in the symptom information corresponds to a disease in the department specifically includes:
step 1211, determining a relevancy score of any disease corresponding to any department for any pending symptom based on a preset knowledge graph.
Specifically, for any disease in any one of the pending symptoms and any department, the relevancy score of the disease corresponding to the pending symptom in the department is used for characterizing the relevancy of the pending symptom and the disease, and can be specifically determined based on the value of the side connecting the symptom corresponding to the pending symptom and the disease in the preset knowledge graph.
For example, fig. 4 is a knowledge subgraph corresponding to the respiratory department in the preset knowledge graph provided by the embodiment of the present invention, assuming that the undetermined symptom is "cough", the association score of "cough" corresponding to the disease "acute upper respiratory tract infection" of the respiratory department may be determined based on the value of 0.34 of the edge connecting between the node "acute upper respiratory tract infection" and the node "cough", and the association score of "cough" corresponding to the disease "acute pneumonia" of the respiratory department may be determined based on the value of 0.32 of the edge connecting between the node "acute pneumonia" and the node "cough".
Instep 1212, a divergence score is determined for each determined symptom corresponding to the disease of the department based on the disease corresponding to the determined symptom.
Specifically, each identified symptom corresponds to a disease of the department, and different identified symptoms may be the same or different for the disease of the department. The dispersion degree score of any disease corresponding to the undetermined symptom is used for representing the dispersion degree of the disease corresponding to the department when the undetermined symptom corresponds to the disease, if the disease corresponding to the undetermined symptom is the same as the disease corresponding to the determined symptom, the dispersion degree is smaller, and if the disease corresponding to the undetermined symptom is different from the disease corresponding to the determined symptom, the dispersion degree is higher.
Step 1213, determining a composite score of the disease corresponding to the department for the pending symptom based on the relevancy score and the divergence score of the disease corresponding to the department for the pending symptom.
Specifically, the composite score of the disease corresponding to the pending symptom in the department is obtained by combining the degree of association between the pending symptom and the disease in the department and the dispersion degree of each symptom corresponding to each disease in the department. The higher the association degree of the pending symptom with the disease of the department is, the smaller the dispersion degree of each symptom corresponding to each disease in the department is, and the higher the comprehensive score of the disease of the pending symptom corresponding to the department is.
Step 1214, based on the composite score of each undetermined symptom corresponding to each disease of the department, determining the relationship between the undetermined symptom and the disease corresponding to the maximum value of the composite score.
Specifically, the maximum value of the composite score is determined from the composite score of each undetermined symptom corresponding to each disease of the department, and the corresponding relation between the undetermined symptom and the disease corresponding to the maximum value is determined based on the undetermined symptom and the disease corresponding to the maximum value. For example, undetermined symptom a corresponds to diseases 1 and 2, undetermined symptom B corresponds to diseases 2 and 3, respectively, wherein the undetermined symptom B corresponds to disease 2, and the composite score is the highest, the undetermined symptom B is determined to correspond to disease 2, and the undetermined symptom B is updated to be the determined symptom.
According to the method provided by the embodiment of the invention, the comprehensive score of any disease of any department corresponding to the undetermined symptom is determined from the two aspects of the association degree score and the dispersion degree score, and then the disease of the department corresponding to the undetermined symptom is determined, so that the reliability of triage recommendation is improved. In addition, in the process, the diseases corresponding to undetermined symptoms are sequentially determined according to the height of the comprehensive score, repeated adjustment of the diseases corresponding to the determined symptoms is not needed, the matching efficiency can be effectively improved, and negative influence of the symptoms with low comprehensive score on the symptoms with high comprehensive score is avoided.
Based on any of the above embodiments, fig. 5 is a schematic flow chart of the method for determining the association score of any disease corresponding to any pending symptom in any department according to the embodiment of the present invention, as shown in fig. 5,step 1211 specifically includes:
step 1211-1, determining an associated disease score for any one of the pending symptoms corresponding to any one of the diseases of any one of the departments based on the preset knowledge map.
Specifically, assuming that the pending symptom matches a symptom in any disease of any department in the preset knowledge graph, the associated disease score of the pending symptom corresponding to the disease of the department may be determined, where the associated disease score may represent a margin value connecting the disease and the symptom.
A step 1211-2 of determining a relevancy score of the undetermined symptom corresponding to the disease of the department based on the relevancy disease score and the symptom coefficient of the undetermined symptom; wherein the symptom coefficient of the pending symptom is determined based on the positivity or positivity of the pending symptom.
Specifically, for any pending symptom, the symptom coefficient is determined based on the negative or positive of the pending symptom, for example, when the pending symptom is positive, the symptom coefficient may be set to 1, and when the pending symptom is negative, the symptom coefficient may be set to- λ,0< λ <1. By setting a symptom coefficient, negative undetermined symptoms are explicitly taken into consideration of triage recommendation, and when the undetermined symptoms are positive, the relevance score is improved as much as possible, and when the undetermined symptoms are negative, the relevance score is reduced as much as possible. And (3) combining the associated disease score with the symptom coefficient to determine the association degree score of the undetermined symptom corresponding to any disease of any department, namely, when the negative undetermined symptom is matched, a penalty term is added implicitly to improve the accuracy of triage recommendation.
Based on any of the above embodiments, fig. 6 is a schematic flow chart of the method for determining a dispersion score of any pending symptom corresponding to any disease of any department according to the embodiment of the present invention, as shown in fig. 6,step 1212 specifically includes:
step 1212-1, determining a number of positive symptoms disease for the department when the pending symptom corresponds to the disease, based on each determined symptom corresponding to the disease of the department and the pending symptom corresponding to any disease of the department.
Specifically, when it is known that each determined symptom corresponds to a disease in the department, assuming that the pending symptom corresponds to any disease in the department, the number of types of diseases corresponding to positive symptoms among the symptoms including each determined symptom and the pending symptom is counted as the number of diseases with positive symptoms.
For example, symptom a has been determined to correspond to disease 1 for that department, symptom B, C has been determined to correspond to disease 2 for that department, and assuming pending symptom D corresponds to disease 2 for that department, and symptoms A, B, C, D are all positive symptoms, the number of positive symptom diseases is 2; assuming that the symptom A is a negative symptom, and the symptoms B, C, D are all positive symptoms, the number of diseases with the positive symptoms is 1.
At step 1212-2, based on the number of positive symptoms disease, determining a divergence score of the pending symptom corresponding to the disease for the department.
Specifically, based on the number of positive symptom diseases, the degree of dispersion of the disease corresponding to the symptom information in the department can be determined when the undetermined symptom corresponds to the disease in the department, and then the degree of dispersion score can be obtained. Here, the larger the number of positive symptom diseases, the higher the dispersion degree.
Based on any of the above embodiments, instep 121, any pending symptom corresponding to any department disease can be determined by the following formula:
Figure BDA0002380221450000111
in the formula, k represents department, j represents disease, and i represents symptom. Match (k) is the composite score for any disease for which any pending symptom corresponds to any department, and Maxmize (Match (k)) is used to maximize the composite score.
Wherein σijk Whether the side corresponding to the i symptom of the j disease in k department is selected, that is, whether the pending symptom corresponds to the i symptom of the j disease in k department, may be specifically expressed as:
Figure BDA0002380221450000112
score (ji) represents the edge value connecting the j disease and the i symptom;
sign (i, patient) represents a symptom coefficient corresponding to i symptom, and may specifically be represented as:
Figure BDA0002380221450000113
occur (j, k) indicates whether symptoms exist under j diseases of k departments, and the symptoms are selected by positive symptoms in the symptom information, and can be specifically expressed as:
Figure BDA0002380221450000121
wherein i+ Indicates a positive symptom in the symptom information.
In Match (k), Σji σijk * Score (ji) × sign (i, patient) indicates the relevancy Score for any pending symptom i corresponding to any disease j of any department k, and the relevancy Score comprises the product of the edge value Score (ji) of the pending symptom i connected with the disease j and the symptom coefficient sign (i, patient) of the pending symptom i, and the product of the edge value of each determined symptom connected with the corresponding disease and the symptom coefficient of the determined symptom.
log2 (1+∑j Occur (j, k)) means the degree of divergence of any disease j corresponding to any department k for any pending symptom iScore, scatter score is based on the number of positive symptoms disease ∑ of department kj Occur (j, k).
The comprehensive score Match (k) takes the relevance score Sigmaji σijk * Score (ji) sign (i, patient) and adjustment factor δ and dispersion Score log2 (1+∑j The difference of the product of Occur (j, k)) is used to find the maximum value of the composite score Match (k) through Maxmize (Match (k)), and the disease corresponding to the maximum value is used as the disease of which the symptom to be determined corresponds to the department k.
Based on any of the above embodiments, fig. 7 is a schematic flowchart of a method for determining a degree of engagement between symptom information and any department according to another embodiment of the present invention, as shown in fig. 7, step 122 specifically includes:
step 1221, determining a first degree of engagement of the symptom information with any department based on a number of positive determined symptoms in the symptom information.
Specifically, the first degree of engagement is determined based on the number of positive determined symptoms in the symptom information, and the higher the number of positive determined symptoms, the higher the first degree of engagement. The first degree of engagement may be the number of positive determined symptoms itself, or may be obtained by multiplying the number of positive determined symptoms by a preset coefficient, which is not specifically limited in the embodiment of the present invention.
And/or, step 1222, determining a second degree of engagement of the symptom information with the department based on the predetermined knowledge map and the disease of the department corresponding to each determined symptom in the symptom information.
Specifically, based on the predetermined knowledge map, data such as the margin of each determined symptom and corresponding disease, the margin of the disease and department, and the like can be obtained, and based on the data, the second engagement degree can be calculated. The higher the margin of the symptom to the corresponding disease, the higher the margin of the disease to the department, the greater the number of established symptoms, the higher the second degree of engagement.
Step 1221 and step 1222 may be executed alternatively or together.
Step 1223, determining a degree of engagement of the symptom information with the department based on the first degree of engagement and/or the second degree of engagement.
Specifically, the degree of engagement between the symptom information and the department may be a first degree of engagement or a second degree of engagement, or may be obtained by combining the first degree of engagement and the second degree of engagement, which is not specifically limited in the embodiment of the present invention.
Based on any of the above embodiments, fig. 8 is a flowchart illustrating a second fitness determining method according to an embodiment of the present invention, as shown in fig. 8, step 1222 specifically includes:
step 1222-1, determining a disease weight of any one of the determined symptoms corresponding to any one of the departments based on the predetermined knowledge map and the disease of the department corresponding to any one of the determined symptoms in the symptom information.
Specifically, the default knowledge graph includes the edge values of the root node and each department, the edge values of the department and each disease, and the edge values of the disease and each symptom. For any determined symptom, knowing that the determined symptom corresponds to the disease of any department, the disease weight determined to correspond to the department may be determined based on a preset knowledge graph, where the disease weight may be the edge value of the determined symptom and the corresponding disease, or the product of the edge value of the determined symptom and the corresponding disease, the edge value of the disease and the department, and the edge value of the department and the root node.
Step 1222-2, performing a weighted summation of each determined symptom based on the disease weight corresponding to each determined symptom and the symptom coefficient of each determined symptom to obtain a second degree of engagement of the symptom information with the department; wherein the symptom coefficient for any determined symptom is determined based on the negativity or positivity of the determined symptom.
Specifically, after the disease weight corresponding to each determined symptom to the department is obtained, the negative symptoms are combined with the positive and negative symptoms of each determined symptom, the negative symptoms are used as implicit punishment terms, each determined symptom is subjected to weighted summation, and then the second degree of engagement of the symptom information and the department is obtained.
Based on any of the above embodiments,step 122 may be specifically implemented by the following formula:
Figure BDA0002380221450000131
wherein, tree (k) is the degree of engagement between the symptom information and k departments, τ is an adjustment parameter, num is the number of positive determined symptoms in the symptom information, and τ × Num is the first degree of engagement between the symptom information and k departments; score (k) is the edge value between the root node and the k department, score (kj) is the edge value between the k department and the j disease, score (ji) is the edge value between the j disease and the i symptom, and sigma isijk Representing whether the side corresponding to the i symptom of j disease in k departments is selected, sign (i, patient) representing the symptom coefficient of i symptom, score (k) (∑ e)j Score(kj)*(∑i Score(ji)*σijk * sign (i, patient))) is the second degree of engagement of the symptom information with the k department.
Based on any one of the above embodiments, a triage recommendation method includes the following steps:
first, symptom information of the patient is determined. Symptom information includes { cough }+ Chest oppression+ Running nose+ Headache, headache+ And (5) all four symptoms are positive symptoms.
Secondly, determining the fitting degree of the symptom information and any department based on a preset knowledge graph:
fig. 9 is a partial preset knowledge graph provided in the embodiment of the present invention, in fig. 9, departments such as a respiratory department, a cardiology department, and a neurology department are included below a root node of a hospital, and taking the respiratory department as an example, referring to fig. 5, it is sequentially determined that each undetermined symptom in the symptom information corresponds to a disease of the respiratory department:
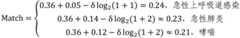
first, a first iteration is performed, taking "runny nose" as the pending symptom, where "runny nose" may correspond to "acute upper respiratory infection" of the respiratory family, and "runny nose" corresponds to "acute upper respiratory infection" of the respiratory family, where δ =0.17:
Match=1*0.36*1-δ*log2 (1+1)=0.19
and if the comprehensive score of the 'runny nose' corresponding to the 'acute upper respiratory tract infection' of the respiratory department is the highest through calculation, determining that the 'runny nose' corresponds to the 'acute upper respiratory tract infection' of the respiratory department, and updating the 'runny nose' into the determined symptom.
Secondly, a second iteration is carried out, the 'cough' is taken as a pending symptom, and the 'cough' is calculated to correspond to the comprehensive score of each disease of the respiratory department, wherein the 'cough' may correspond to the 'acute upper respiratory tract infection', 'acute pneumonia' and 'asthma' of the respiratory department, and the comprehensive score is calculated according to the following formula:
Figure BDA0002380221450000141
taking chest distress as undetermined symptoms, calculating comprehensive scores of the chest distress corresponding to various diseases of the respiratory department, wherein the chest distress may correspond to acute upper respiratory tract infection, acute pneumonia and asthma of the respiratory department, and the comprehensive score calculation formula is as follows:
Figure BDA0002380221450000151
"headache" is considered as a pending symptom, and may correspond to "acute upper respiratory infection" in the respiratory department, and the overall score is calculated as follows:
Match=0.36+0.2-δ*log2 (1+1)=0.39
the above undetermined symptoms "cough", "chest distress" and "headache" respectively correspond to the highest comprehensive score among the comprehensive scores of the diseases of the respiratory department, and the "cough" corresponds to the "acute upper respiratory infection", and the "cough" is determined to correspond to the "acute upper respiratory infection" of the respiratory department, and is updated to the determined symptoms.
Then, a third iteration is carried out, the 'runny nose' and the 'cough' are determined symptoms, the 'chest distress' and the 'headache' are undetermined symptoms, and the 'chest distress' is calculated to respectively correspond to the comprehensive scores of the diseases of the respiratory department:
Figure BDA0002380221450000152
calculate the composite score for "headache" corresponding to "acute upper respiratory infection" of the respiratory family:
Match=0.36+0.34+0.2-δ*log2 (1+1)=0.73
the above undetermined symptoms of chest distress and headache correspond to the respiratory diseases respectively, and the comprehensive score of the headache corresponding to the acute upper respiratory infection is the highest, so that the headache corresponding to the respiratory diseases is determined, and the headache is updated to the determined symptoms.
Next, a fourth iteration is performed, wherein chest distress is an undetermined symptom, and the comprehensive scores of chest distress corresponding to the diseases of the respiratory department are calculated:
Figure BDA0002380221450000153
wherein, the 'chest distress' corresponds to the 'acute upper respiratory tract infection' with the highest comprehensive score, and then the 'chest distress' is determined to correspond to the 'acute upper respiratory tract infection' in the department of respiration, and the 'chest distress' is updated to the determined symptoms.
Thus, it was determined that four symptoms in the symptom information correspond to "acute upper respiratory infection" in the respiratory department.
Then, the fit of the symptom information to the respiratory department can be calculated as follows:
Figure BDA0002380221450000161
wherein τ =2.
The method can calculate the fitting degree of the symptom information and each department, and the department with the highest fitting degree is selected as the triage result.
Based on any of the above embodiments, fig. 10 is a schematic structural diagram of a triage recommendation apparatus according to an embodiment of the present invention, as shown in fig. 10, the triage recommendation apparatus includes asymptom determination unit 1010, a fittingdegree determination unit 1020, and atriage unit 1030;
wherein thesymptom determining unit 1010 is configured to determine symptom information of the patient;
the engagementdegree determining unit 1020 is used for determining the engagement degree of the symptom information and any department based on a preset knowledge graph; the preset knowledge graph comprises diseases corresponding to each department and symptoms corresponding to each disease; the degree of engagement of the symptom information with any department is determined based on the degree of association of the symptom information with the symptoms of any department and the degree of dispersion of diseases;
thetriage unit 1030 is used for determining a triage result based on the fitting degree of the symptom information and each department.
The device provided by the embodiment of the invention fully considers the relevance between symptoms and diseases, converts the actual condition that a plurality of single patients suffer from one disease at the same time into the disease dispersion degree for measurement, and determines the triage result by combining the symptom information and the association degree of the symptoms of departments and the degree of contact between the symptom information and the departments determined by the disease dispersion degree and the departments so as to improve the accuracy and reliability of the recommendation of the triage.
Based on any of the above embodiments, the engagementdegree determination unit 1020 includes:
the disease determination unit is used for determining any undetermined symptom in the symptom information corresponding to the disease of any department and updating the undetermined symptom to be determined on the basis of the preset knowledge graph and the disease of any department corresponding to each determined symptom in the symptom information;
a degree of engagement calculation unit for determining a degree of engagement of the symptom information with the any department based on each determined symptom in the symptom information corresponding to a disease of the any department.
Based on any of the above embodiments, the disease determination unit comprises:
the association degree determining subunit is used for determining an association degree score of any disease corresponding to any department for any undetermined symptom based on the preset knowledge graph;
a divergence determination subunit for determining a divergence score of any one of the diseases of the any department corresponding to the any pending symptom based on the disease of the any department corresponding to each determined symptom;
a composite score determining subunit configured to determine a composite score of the any disease of which the any undetermined symptom corresponds to the any department based on the relevancy score and the divergence score of the any disease of which the any undetermined symptom corresponds to the any department;
and the disease determining subunit is used for determining the relationship between the undetermined symptom and the disease corresponding to the maximum value of the comprehensive score based on the comprehensive score of each undetermined symptom corresponding to each disease of any department.
Based on any of the above embodiments, the association degree determining subunit is specifically configured to:
determining an associated disease score for any disease for any subject corresponding to any pending symptom based on the preset knowledge graph;
determining a relevancy score for the any disease for which the any pending symptom corresponds to the any department based on the relevancy disease score and the symptom coefficient for the any pending symptom;
wherein the symptom coefficient for any one of the pending symptoms is determined based on the negativity and positivity of the any one of the pending symptoms.
Based on any of the above embodiments, the dispersity-determining subunit is specifically configured to:
determining a number of positive symptoms disease for any department when said any pending symptom corresponds to said any disease based on each determined symptom corresponding to a disease of said any department and said any pending symptom corresponding to any disease of said any department;
determining a divergence score for said any disease for which said any pending symptom corresponds to said any department based on said number of positive symptom diseases.
Based on any embodiment, the engagement degree calculating unit includes:
a first fit degree operator unit for determining a first fit degree of the symptom information with the any department based on the number of positive determined symptoms in the symptom information;
and/or a second engagement degree operator unit, configured to determine a second engagement degree of the symptom information with the any department based on the preset knowledge graph and the disease of the any department corresponding to each determined symptom in the symptom information;
and the fitting degree integration subunit is used for determining the fitting degree of the symptom information and any department based on the first fitting degree and/or the second fitting degree.
Based on any of the above embodiments, the second conformity operator unit is specifically configured to:
determining a disease weight of any determined symptom corresponding to any department based on the preset knowledge graph and the disease of any determined symptom corresponding to any department in the symptom information;
performing weighted summation on each determined symptom based on the disease weight corresponding to each determined symptom and the symptom coefficient of each determined symptom to obtain a second degree of engagement of the symptom information with any department; wherein a symptom coefficient for any determined symptom is determined based on the negativity or positivity of said any determined symptom.
Fig. 11 is a schematic structural diagram of an electronic device according to an embodiment of the present invention, and as shown in fig. 11, the electronic device may include: a processor (processor) 1110, a communication Interface (Communications Interface) 1120, a memory (memory) 1130, and acommunication bus 1140, wherein theprocessor 1110, thecommunication Interface 1120, and thememory 1130 communicate with each other via thecommunication bus 1140.Processor 1110 may call logical commands inmemory 1130 to perform the following method: determining symptom information for the patient; determining the fitting degree of the symptom information and any department based on a preset knowledge graph; the preset knowledge graph comprises diseases corresponding to each department and symptoms corresponding to each disease; the degree of engagement of the symptom information with any department is determined based on the degree of association of the symptom information with the symptoms of any department and the degree of dispersion of diseases; and determining the triage result based on the fitting degree of the symptom information and each department.
In addition, the logic commands in thememory 1130 may be implemented in the form of software functional units and may be stored in a computer readable storage medium when sold or used as a stand-alone product. Based on such understanding, the technical solution of the present invention may be embodied in the form of a software product, which is stored in a storage medium and includes a plurality of commands for enabling a computer device (which may be a personal computer, a server, or a network device) to execute all or part of the steps of the method according to the embodiments of the present invention. And the aforementioned storage medium includes: a U-disk, a removable hard disk, a Read-Only Memory (ROM), a Random Access Memory (RAM), a magnetic disk or an optical disk, and other various media capable of storing program codes.
Embodiments of the present invention further provide a non-transitory computer-readable storage medium, on which a computer program is stored, where the computer program is implemented to perform the method provided in the foregoing embodiments when executed by a processor, and the method includes: determining symptom information for the patient; determining the fitting degree of the symptom information and any department based on a preset knowledge graph; the preset knowledge graph comprises diseases corresponding to each department and symptoms corresponding to each disease; the degree of engagement of the symptom information with any department is determined based on the degree of association of the symptom information with the symptoms of any department and the degree of dispersion of diseases; and determining the triage result based on the fitting degree of the symptom information and each department.
The above-described embodiments of the apparatus are merely illustrative, and the units described as separate parts may or may not be physically separate, and parts displayed as units may or may not be physical units, may be located in one place, or may be distributed on a plurality of network units. Some or all of the modules may be selected according to actual needs to achieve the purpose of the solution of the present embodiment. One of ordinary skill in the art can understand and implement it without inventive effort.
Through the above description of the embodiments, those skilled in the art will clearly understand that each embodiment can be implemented by software plus a necessary general hardware platform, and certainly can also be implemented by hardware. With this understanding in mind, the above technical solutions may be embodied in the form of a software product, which can be stored in a computer-readable storage medium, such as ROM/RAM, magnetic disk, optical disk, etc., and includes commands for causing a computer device (which may be a personal computer, a server, or a network device, etc.) to execute the method according to the embodiments or some parts of the embodiments.
Finally, it should be noted that: the above examples are only intended to illustrate the technical solution of the present invention, but not to limit it; although the present invention has been described in detail with reference to the foregoing embodiments, it will be understood by those of ordinary skill in the art that: the technical solutions described in the foregoing embodiments may still be modified, or some technical features may be equivalently replaced; and such modifications or substitutions do not depart from the spirit and scope of the corresponding technical solutions of the embodiments of the present invention.

Claims (9)

1. A triage recommendation method, comprising:
determining symptom information for the patient;
determining the fitting degree of the symptom information and any department based on a preset knowledge graph; the preset knowledge graph comprises diseases corresponding to each department and symptoms corresponding to each disease; the degree of engagement of the symptom information with any department is determined based on the degree of association of the symptom information with the symptoms of any department and the degree of dispersion of diseases;
determining triage results based on the degree of fit of the symptom information and each department;
the step of determining the disease dispersion degree comprises the following steps:
determining a number of positive symptom diseases for any department when any pending symptom corresponds to any disease based on each determined symptom in the symptom information corresponding to a disease of the any department and any pending symptom in the symptom information corresponding to any disease of the any department;
determining a divergence score for the any disease for which the any pending symptom corresponds to the any department based on the number of positive symptom diseases, the divergence score being used to characterize the divergence of diseases.
2. The triage recommendation method according to claim 1, wherein the determining the degree of engagement of the symptom information with any department based on a preset knowledge graph specifically comprises:
based on the preset knowledge graph and the disease of any department corresponding to each determined symptom in the symptom information, determining that any undetermined symptom in the symptom information corresponds to the disease of any department, and updating the any undetermined symptom into a determined symptom;
determining a degree of engagement of the symptom information with the any department based on each determined symptom in the symptom information corresponding to a disease of the any department.
3. The triage recommendation method according to claim 2, wherein the determining that any undetermined symptom in the symptom information corresponds to a disease of any department based on the preset knowledge map and each determined symptom in the symptom information corresponds to a disease of the any department specifically comprises:
determining a relevancy score of any disease corresponding to any department for any pending symptom based on the preset knowledge graph;
determining a divergence score for any of the diseases for which any of the pending symptoms corresponds to the any department based on each determined symptom corresponding to a disease for the any department;
determining a composite score for any disease for which any pending symptom corresponds to the any department based on the relevancy score and the divergence score for the any disease for which the any pending symptom corresponds to the any department;
determining a relationship between the undetermined symptom corresponding to the maximum value of the composite score and the disease based on the composite score of each undetermined symptom corresponding to each disease of the any department.
4. The triage recommendation method according to claim 3, wherein the determining a relevancy score of any pending symptom corresponding to any disease of any department based on the preset knowledge graph specifically comprises:
determining an associated disease score of any pending symptom corresponding to any disease of any department based on the preset knowledge graph;
determining a relevancy score for the any disease for which the any pending symptom corresponds to the any department based on the relevancy disease score and the symptom coefficient for the any pending symptom;
wherein the symptom coefficient for any one of the pending symptoms is determined based on the negativity and positivity of the any one of the pending symptoms.
5. The triage recommendation method according to claim 2, wherein the determining of the degree of engagement of the symptom information with the any department based on each determined symptom in the symptom information corresponding to a disease of the any department comprises:
determining a first degree of engagement of the symptom information with the any department based on a number of determined symptoms that are positive in the symptom information;
and/or determining a second degree of engagement of the symptom information with any department based on the preset knowledge graph and the disease of the department corresponding to each determined symptom in the symptom information;
determining a degree of engagement of the symptom information with the any department based on the first degree of engagement and/or the second degree of engagement.
6. The triage recommendation method according to claim 5, wherein the determining a second degree of engagement of the symptom information with the any department based on the preset knowledge map and the disease of the any department corresponding to each determined symptom in the symptom information specifically comprises:
determining a disease weight of any determined symptom corresponding to any department based on the preset knowledge graph and the disease of any determined symptom corresponding to any department in the symptom information;
performing weighted summation on each determined symptom based on the disease weight corresponding to each determined symptom and the symptom coefficient of each determined symptom to obtain a second degree of engagement of the symptom information with any department; wherein the symptom coefficient for any one of the determined symptoms is determined based on the negativity or positivity of said any one of the determined symptoms.
7. A triage recommendation device, comprising:
a symptom determination unit for determining symptom information of the patient;
the engagement degree determining unit is used for determining the engagement degree of the symptom information and any department based on a preset knowledge graph; the preset knowledge graph comprises diseases corresponding to each department and symptoms corresponding to each disease; the degree of engagement of the symptom information with any department is determined based on the degree of association of the symptom information with the symptoms of any department and the degree of dispersion of diseases;
the triage unit is used for determining a triage result based on the fitting degree of the symptom information and each department;
the degree of engagement determination unit is further configured to:
determining a number of positive symptom diseases for any department when any pending symptom corresponds to any disease based on each determined symptom in the symptom information corresponding to a disease of the any department and any pending symptom in the symptom information corresponding to any disease of the any department;
determining a divergence score for the any disease for which the any pending symptom corresponds to the any department based on the number of positive symptom diseases, the divergence score being used to characterize the divergence of diseases.
8. An electronic device comprising a memory, a processor and a computer program stored on the memory and executable on the processor, characterized in that the processor implements the steps of the triage recommendation method according to any one of claims 1 to 6 when executing the program.
9. A non-transitory computer readable storage medium, having stored thereon a computer program, characterized in that the computer program, when being executed by a processor, is adapted to carry out the steps of the triage recommendation method according to any one of claims 1 to 6.
CN202010080731.7A2020-02-052020-02-05Triage recommendation method and device, electronic equipment and storage mediumActiveCN111326243B (en)

Priority Applications (1)

Application NumberPriority DateFiling DateTitle
CN202010080731.7ACN111326243B (en)2020-02-052020-02-05Triage recommendation method and device, electronic equipment and storage medium

Applications Claiming Priority (1)

Application NumberPriority DateFiling DateTitle
CN202010080731.7ACN111326243B (en)2020-02-052020-02-05Triage recommendation method and device, electronic equipment and storage medium

Publications (2)

Publication NumberPublication Date
CN111326243A CN111326243A (en)2020-06-23
CN111326243Btrue CN111326243B (en)2023-04-07

Family

ID=71172565

Family Applications (1)

Application NumberTitlePriority DateFiling Date
CN202010080731.7AActiveCN111326243B (en)2020-02-052020-02-05Triage recommendation method and device, electronic equipment and storage medium

Country Status (1)

CountryLink
CN (1)CN111326243B (en)

Families Citing this family (4)

* Cited by examiner, † Cited by third party
Publication numberPriority datePublication dateAssigneeTitle
CN111785386B (en)*2020-06-302024-04-05讯飞医疗科技股份有限公司Time interval division method, related device and readable storage medium
CN111968740B (en)*2020-09-032021-04-27卫宁健康科技集团股份有限公司Diagnostic label recommendation method and device, storage medium and electronic equipment
CN113707304B (en)*2021-08-302023-08-01深圳平安智慧医健科技有限公司Triage data processing method, triage data processing device, triage data processing equipment and storage medium
CN114496213B (en)*2021-12-242025-04-18沈阳东软智能医疗科技研究院有限公司 Medical information recommendation method, device, medium and equipment

Citations (6)

* Cited by examiner, † Cited by third party
Publication numberPriority datePublication dateAssigneeTitle
JP2003122845A (en)*2001-10-092003-04-25Shinkichi HimenoRetrieval system for medical information, and program for carrying out the system
CN102156812A (en)*2011-04-022011-08-17中国医学科学院医学信息研究所Hospital decision-making aiding method based on symptom similarity analysis
CN102184315A (en)*2011-04-022011-09-14中国医学科学院医学信息研究所Department triage system based on diagnostic element analysis
CN108962383A (en)*2018-06-052018-12-07南京麦睿智能科技有限公司Hospital's intelligence hospital guide's method and apparatus
EP3454341A1 (en)*2017-09-122019-03-13Siemens Healthcare GmbHAutomated processing of patient data for health care
CN110085307A (en)*2019-04-042019-08-02华东理工大学A kind of intelligent hospital guide's method and system based on the fusion of multi-source knowledge mapping

Family Cites Families (2)

* Cited by examiner, † Cited by third party
Publication numberPriority datePublication dateAssigneeTitle
US10950353B2 (en)*2013-09-202021-03-16Georgia Tech Research CorporationSystems and methods for disease progression modeling
US20150112607A1 (en)*2014-12-082015-04-23Bioneur LlcSystems and methods for rare disease prediction and treatment

Patent Citations (6)

* Cited by examiner, † Cited by third party
Publication numberPriority datePublication dateAssigneeTitle
JP2003122845A (en)*2001-10-092003-04-25Shinkichi HimenoRetrieval system for medical information, and program for carrying out the system
CN102156812A (en)*2011-04-022011-08-17中国医学科学院医学信息研究所Hospital decision-making aiding method based on symptom similarity analysis
CN102184315A (en)*2011-04-022011-09-14中国医学科学院医学信息研究所Department triage system based on diagnostic element analysis
EP3454341A1 (en)*2017-09-122019-03-13Siemens Healthcare GmbHAutomated processing of patient data for health care
CN108962383A (en)*2018-06-052018-12-07南京麦睿智能科技有限公司Hospital's intelligence hospital guide's method and apparatus
CN110085307A (en)*2019-04-042019-08-02华东理工大学A kind of intelligent hospital guide's method and system based on the fusion of multi-source knowledge mapping

Also Published As

Publication numberPublication date
CN111326243A (en)2020-06-23

Similar Documents

PublicationPublication DateTitle
CN111326243B (en)Triage recommendation method and device, electronic equipment and storage medium
CN112256828B (en)Medical entity relation extraction method, device, computer equipment and readable storage medium
CN107016438B (en)System based on traditional Chinese medicine syndrome differentiation artificial neural network algorithm model
CN111292848A (en)Bayesian estimation-based medical knowledge map assisted reasoning method
CN111657888A (en)Severe acute respiratory distress syndrome early warning method and system
CN117392470B (en)Fundus image multi-label classification model generation method and system based on knowledge graph
CN109741826A (en) Anesthesia assessment decision tree construction method and equipment
CN118315024B (en)Special medical food recommendation system and method based on artificial intelligence
CN111612278A (en) Life state prediction method, device, electronic device and storage medium
CN112786192A (en)Intelligent cognitive system, equipment and storage medium for hand-foot-and-mouth disease
CN115497616A (en)Method, system, equipment and storage medium for aid decision making of infectious diseases
CN115631823A (en)Similar case recommendation method and system
CN109871866B (en)Model training method, device, equipment and medium for hospital infection prediction
CN114360677B (en) CT image report information extraction method, device, computer equipment and storage medium based on multi-round question and answer
CN111582366B (en) Image processing methods, devices and equipment
CN117116483A (en)Sepsis respiratory failure probability prediction method, system, equipment and medium
CN116469534A (en)Hospital number calling management system and method thereof
CN111428477B (en)Diagnostic name standardization method, device, electronic equipment and storage medium
CN117009538A (en)Alignment method, related device, equipment and storage medium of knowledge graph
CN111209407B (en)Data processing method, device, electronic equipment and computer readable storage medium
CN114831604A (en)Respiratory event detection method and device
CN114343610A (en) Lung detection method and related device
CN111462895A (en)Auxiliary diagnosis method and system
CN111369547A (en) Method and apparatus for evaluating the performance of medical machine learning models based on risk weights
CN117174285A (en)Second diagnosis and treatment opinion generation system and method based on evidence-based medicine

Legal Events

DateCodeTitleDescription
PB01Publication
PB01Publication
SE01Entry into force of request for substantive examination
SE01Entry into force of request for substantive examination
CB02Change of applicant information

Address after:230088 floor 23-24, building A5, No. 666, Wangjiang West Road, high tech Zone, Hefei, Anhui Province

Applicant after:Anhui Xunfei Medical Co.,Ltd.

Address before:230088 room 288, building H2, phase II, innovation industrial park, 2800 innovation Avenue, high tech Zone, Hefei City, Anhui Province

Applicant before:ANHUI IFLYTEK MEDICAL INFORMATION TECHNOLOGY CO.,LTD.

CB02Change of applicant information
CB02Change of applicant information

Address after:230088 floor 23-24, building A5, No. 666, Wangjiang West Road, high tech Zone, Hefei, Anhui Province

Applicant after:IFLYTEK Medical Technology Co.,Ltd.

Address before:230088 floor 23-24, building A5, No. 666, Wangjiang West Road, high tech Zone, Hefei, Anhui Province

Applicant before:Anhui Xunfei Medical Co.,Ltd.

CB02Change of applicant information
GR01Patent grant
GR01Patent grant

[8]ページ先頭

©2009-2025 Movatter.jp