




技术领域technical field
本发明涉及一种非均匀噪声背景下基于MDL准则的目标个数和目标角度估计方法,属于阵列信号处理技术领域。The invention relates to a method for estimating the number of targets and the target angle based on the MDL criterion under the background of non-uniform noise, and belongs to the technical field of array signal processing.
背景技术Background technique
目标个数估计和目标角度估计给出了目标的主要信息,是阵列信号处理中的主要内容.Target number estimation and target angle estimation give the main information of the target, which is the main content in array signal processing.
R.O.Schmidt在文献“Multiple emitter location and signal parameterestimation[J].IEEER.O.Schmidt in the literature "Multiple emitter location and signal parameter estimation [J].IEEE
Trans.Antennas Propag.,1988,vol.36,no.4,pp.532-544”提出经典的MUSIC高分辨目标角度估计方法,但MUSIC方法需要假设已知目标个数。H.Akaike在文献“A newlook at the statistical model identification[J].IEEE Trans.Autom.Control,1974,vol.19,no.6,pp.716-723”中提出基于AIC(AIC,Akaike Information Criterion)准则的目标个数估计方法,但基于AIC准则的方法不是一致估计。J.Rissanne在文献“Modeling by shortest data description[J].Automatica,1978,vol.14,no.5,pp.465-471”中提出最小化描述长度(MDL,Minimum Description Length)准则,基于MDL准则的方法在均匀噪声(不同阵元的噪声功率相等)情况下是一致估计。但在非均匀噪声(阵元之间噪声功率不相等)情况下,基于MDL准则的方法失效,存在过估计现象。基于对角加载(DL,Diagonal Loading)的MDL准则方法(DLMDL)可以在一定程度上解决非均匀噪声情况下的目标个数估计问题。张杰等在文献“对角加载对信号源数检测性能的改善[J].电子学报,vol.32,no.12,2004,pp.2094-2097”中提出利用接收信号协方差矩阵的最小特征值乘以常数做为DLMDL方法的加载量。谢纪岭等在文献“基于协方差矩阵对角加载的信源数估计方法[J].系统工程与电子技术,2008,vol.30,no.1,pp.46-49”中提出利用接收信号协方差矩阵所有特征值之和的平方根,做为DLMDL方法的加载量。DLMDL方法中最优对角加载量的选取难以确定;另外,DLMDL方法牺牲了信噪比。陈明建等人在文献“非均匀噪声背景下信源数估计算法[J].信号处理,vol.34,no.2,2018,pp.135-138”提出修正的SORTE方法,可以解决非均匀噪声和不相关信源情况下的目标个数估计问题。但在相关信源情况下,修正的SORTE方法性能下降严重。Trans.Antennas Propag., 1988, vol.36, no.4, pp.532-544" proposed a classic MUSIC high-resolution target angle estimation method, but the MUSIC method needs to assume that the number of known targets. H.Akaike in the literature " A newlook at the statistical model identification[J].IEEE Trans.Autom.Control,1974,vol.19,no.6,pp.716-723" proposes the number of targets based on the AIC (AIC, Akaike Information Criterion) criterion Estimation method, but the method based on the AIC criterion is not a consistent estimate. J.Rissanne proposed to minimize the Describe the length (MDL, Minimum Description Length) criterion, the method based on the MDL criterion is a consistent estimate in the case of uniform noise (the noise power of different array elements is equal). But in the case of non-uniform noise (noise power between array elements is not equal) Under the condition, the method based on the MDL criterion fails, and there is an overestimation phenomenon. The MDL criterion method (DLMDL) based on diagonal loading (DL, Diagonal Loading) can solve the problem of target number estimation in the case of non-uniform noise to a certain extent. Zhang Jie et al. proposed to use the minimum eigenvalue of the received signal covariance matrix Multiplied by a constant as the loading amount of the DLMDL method. Xie Jiling et al. in the literature "A method for estimating the number of sources based on the diagonal loading of the covariance matrix [J]. Systems Engineering and Electronic Technology, 2008, vol.30, no.1, pp .46-49" proposed to use the square root of the sum of all eigenvalues of the received signal covariance matrix as the loading amount of the DLMDL method. It is difficult to determine the optimal diagonal loading amount in the DLMDL method; in addition, the DLMDL method sacrifices the signal Noise ratio. Chen Mingjian and others proposed a modified SORTE method in the literature "Source Number Estimation Algorithm under Non-uniform Noise Background [J]. Signal Processing, vol.34, no.2, 2018, pp.135-138", which can solve Estimation of the number of targets in the case of non-uniform noise and uncorrelated sources. But in the case of correlated sources, the performance of the modified SORTE method degrades seriously.
在目标角度估计方面,MUSIC方法是在均匀噪声背景下推导出来的。因此,即使目标个数能准确已知,在非均匀噪声背景下,MUSIC方法也不能准确估计目标角度,无法发挥其高分辨和高精度性能。In terms of target angle estimation, the MUSIC method is derived in the background of uniform noise. Therefore, even if the number of targets can be accurately known, the MUSIC method cannot accurately estimate the target angle under the background of non-uniform noise, and cannot exert its high-resolution and high-precision performance.
发明内容Contents of the invention
本发明的目的在于针对非均匀噪声条件下已有方法不能准确估计目标个数和目标角度的问题,提出一种基于最小长度描述(MDL)准则的目标个数和目标角度估计方法,实现了非均匀噪声背景下目标个数和目标角度的准确估计。The purpose of the present invention is to solve the problem that the existing methods cannot accurately estimate the number of targets and the target angle under the condition of non-uniform noise, and propose a method for estimating the number of targets and the target angle based on the minimum length description (MDL) criterion, which realizes non-uniform Accurate estimation of target number and target angle in uniform noise background.
本发明的目的是这样实现的:步骤如下:The object of the present invention is achieved like this: step is as follows:
步骤(1):M个传感器组成的阵列获得N次采样数据,第n次采样得到一个M×1维的信号向量r(n),n=1,2,…,N;Step (1): An array composed of M sensors obtains N sampling data, and the nth sampling obtains an M×1-dimensional signal vector r(n), n=1,2,...,N;
步骤(2):根据N个采样数据r(n),n=1,2,…,N,估计协方差矩阵Step (2): According to N sampling data r(n), n=1,2,...,N, estimate the covariance matrix
步骤(3):定义w和k分别为搜索白化向量和搜索目标个数,w中的每个元素都为正实数,k属于{0,1,2,…,M-1};确定目标函数为:Step (3): Define w and k as the search whitening vector and the number of search targets respectively, each element in w is a positive real number, k belongs to {0,1,2,...,M-1}; determine the objective function for:
其中,表示函数取最小值时的(w,k)值,即MDL(w,k)为以(w,k)为待估参数的MDL函数,表达式为:in, Indicates the (w,k) value when the function takes the minimum value, that is MDL(w,k) is an MDL function with (w,k) as the parameter to be estimated, and the expression is:
其中,λi(w)为矩阵diag(w)的从大到小排列的第i个特征值,diag(w)表示一个对角矩阵,对角元素为向量w;Among them, λi (w) is the matrix diag(w) The i-th eigenvalue arranged from large to small, diag(w) represents a diagonal matrix, and the diagonal elements are vector w;
步骤(4):利用遗传算法求解步骤(3)中的目标函数,得到白化向量估计值和目标个数估计值Step (4): Use the genetic algorithm to solve the objective function in step (3) to obtain the estimated value of the whitening vector and the estimated number of targets
步骤(5):根据白化向量估计值对协方差矩阵进行白化得到Step (5): Estimate the value according to the whitening vector pair covariance matrix Whiten to get
步骤(6):根据白化处理后的协方差矩阵白化向量与目标个数估计值估计得到目标角度Step (6): According to the whitened covariance matrix whitening vector and target number estimates Estimated target angle
本发明还包括这样一些结构特征:The present invention also includes such structural features:
1.步骤(2)中的协方差矩阵其表达式为:1. Covariance matrix in step (2) Its expression is:
其中,(·)H表示共轭转置操作;Among them, ( )H represents the conjugate transpose operation;
当采样数趋于无穷时,协方差矩阵估计值趋近于期望值R,表达式为:As the number of samples tends to infinity, the covariance matrix estimate Approaching to the expected value R, the expression is:
R=ARsAH+Rn,R=ARs AH +Rn ,
其中,A=[a(θ1),…,a(θk)],a(θk)为第k个目标的导向向量,θk为第k个目标的来波方向,Rs=E[s(t)sH(t)],s(t)=[s1(t),…,sk(t)],sk(t)为第k个信源的波形,Rn的表达式如下:Among them, A=[a(θ1 ),…,a(θk )], a(θk ) is the steering vector of the kth target, θk is the incoming wave direction of the kth target, Rs =E [s(t)sH (t)], s(t)=[s1 (t),…,sk (t)], sk (t) is the waveform of the kth source, Rn The expression is as follows:
其中,为第m个阵元的噪声功率,m=1,2,…,M,不完全相等,此时阵列噪声为非均匀噪声。in, is the noise power of the mth array element, m=1,2,...,M, are not exactly equal, at this time the array noise is non-uniform noise.
2.步骤(5)的具体实现步骤包括:2. The specific implementation steps of step (5) include:
(5.1)根据白化向量估计值得到白化矩阵为W,表达式为:(5.1) According to the estimated value of the whitening vector The whitening matrix is obtained as W, and the expression is:
其中,表示一个对角矩阵,对角元素为向量in, Represents a diagonal matrix whose diagonal elements are vectors
(5.2)利用白化矩阵W对协方差矩阵进行白化得到表达式为:(5.2) Using the whitening matrix W to the covariance matrix Whiten to get The expression is:
3.步骤(6)的具体实现步骤包括:3. The specific implementation steps of step (6) include:
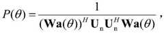
(6.1)对进行特征分解,得到从大到小排列的特征值λi(w),和其对应的特征向量ui,i=1,2,…,M;(6.1) Yes Perform eigendecomposition to obtain the eigenvalues λi (w) arranged from large to small, and their corresponding eigenvectors ui , i=1,2,...,M;
(6.2)根据目标个数估计值和特征向量ui,得到噪声特征矩阵Un,表达式为:(6.2) Estimated value based on the number of targets and the feature vector ui to get the noise feature matrix Un , the expression is:
(6.3)根据白化矩阵W和噪声特征矩阵Un,构造空间谱P(θ):(6.3) Construct the spatial spectrum P(θ) according to the whitening matrix W and the noise characteristic matrix Un :
其中,θ为搜索角度,a(θ)为角度θ对应的导向向量;Among them, θ is the search angle, a(θ) is the steering vector corresponding to the angle θ;
(6.4)搜索空间谱P(θ)的峰值,峰值位置即为目标角度估计值,即:(6.4) Search for the peak of the spatial spectrum P(θ), and the peak position is the estimated value of the target angle, namely:
其中,为第j个目标角度的估计值,表示函数取最大值时的θ值。in, is the estimated value of the jth target angle, Indicates the value of θ when the function takes the maximum value.
与现有技术相比,本发明的有益效果是:本发明的优点是在非均匀噪声情况下,能实现目标个数和目标角度的正确估计。实现了针对非均匀噪声条件下目标个数和目标角度的准确估计。本发明的方法在相关信源、低信噪比条件下仍能实现目标个数和目标角度的准确估计,与已有方法相比,目标个数估计性能提高10dB,目标角度估计性能提高5dB。Compared with the prior art, the beneficial effect of the present invention is that: the present invention has the advantage that it can realize correct estimation of the number of targets and the target angle under the condition of non-uniform noise. Accurate estimation of target number and target angle under the condition of non-uniform noise is realized. The method of the invention can still accurately estimate the number of targets and the target angle under the conditions of related information sources and low signal-to-noise ratio. Compared with the existing method, the estimation performance of the target number is improved by 10dB, and the estimation performance of the target angle is improved by 5dB.
附图说明Description of drawings
图1是本发明的实现流程图。Fig. 1 is the realization flowchart of the present invention.
图2是本发明方法、MDL方法、修正的SORTE方法、DLMDL方法在非均匀噪声、不相关信源情况下目标个数估计成功率随信噪比的变化。Fig. 2 is the change of the target number estimation success rate with the signal-to-noise ratio of the method of the present invention, the MDL method, the modified SORTE method, and the DLMDL method under the conditions of non-uniform noise and uncorrelated information sources.
图3是本发明方法、SORTE MUSIC方法在非均匀噪声、不相关信源情况下目标角度估计的均方根误差(Root Mean Square Error,以下简称RMSE)随信噪比的变化。Fig. 3 is the change of the root mean square error (Root Mean Square Error, hereinafter referred to as RMSE) of the target angle estimation with the SNR of the method of the present invention and the SORTE MUSIC method in the case of non-uniform noise and uncorrelated information sources.
图4是本发明方法、MDL方法、修正的SORTE方法、DLMDL方法在非均匀噪声、相关信源情况下目标个数估计成功率随信噪比的变化。Fig. 4 is the variation of the target number estimation success rate with the signal-to-noise ratio in the method of the present invention, the MDL method, the modified SORTE method, and the DLMDL method in the case of non-uniform noise and related information sources.
图5是本发明方法、DLMDL MUSIC方法在非均匀噪声、相关信源情况下目标角度估计的均方根误差(RMSE)随信噪比的变化。Fig. 5 is the change of the root mean square error (RMSE) of the target angle estimation with the signal-to-noise ratio in the case of non-uniform noise and related sources in the method of the present invention and the DLMDL MUSIC method.
具体实施方式detailed description
下面结合附图与具体实施方式对本发明作进一步详细描述。The present invention will be further described in detail below in conjunction with the accompanying drawings and specific embodiments.
本发明的技术思路是:以白化向量w和目标个数k为未知参数,建立最小长度描述准则目标函数MDL(w,k),利用遗传算法求解目标函数MDL(w,k)的最小值,得到白化向量估计值和目标个数估计值使用白化向量估计值对接收信号协方差矩阵进行白化处理,得到根据白化处理后的协方差矩阵白化向量估计值和目标个数估计值计算得到目标角度估计值The technical thought of the present invention is: take the whitening vector w and the target number k as unknown parameters, establish the minimum length description criterion objective function MDL(w,k), and use the genetic algorithm to solve the minimum value of the objective function MDL(w,k), get the whitening vector estimate and the estimated number of targets Use whitened vector estimates For the received signal covariance matrix Perform whitening treatment to get According to the whitened covariance matrix Whiten vector estimates and the estimated number of targets Calculate the target angle estimate
参照图1,本发明的实现步骤如下:With reference to Fig. 1, the realization steps of the present invention are as follows:
步骤(1):M个传感器组成的阵列获得N次采样数据,第n次采样得到一个M×1维的信号向量r(n),n=1,2,…,N;Step (1): An array composed of M sensors obtains N sampling data, and the nth sampling obtains an M×1-dimensional signal vector r(n), n=1,2,...,N;
步骤(2):根据N个采样数据r(n),n=1,2,…,N,估计协方差矩阵其表达式为:Step (2): According to N sampling data r(n), n=1,2,...,N, estimate the covariance matrix Its expression is:
其中,(·)H表示共轭转置操作;Among them, ( )H represents the conjugate transpose operation;
当采样数趋于无穷时,协方差矩阵估计值趋近于期望值R,表达式为:As the number of samples tends to infinity, the covariance matrix estimate Approaching to the expected value R, the expression is:
R=ARsAH+Rn,R=ARs AH +Rn ,
其中,A=[a(θ1),…,a(θk)],a(θk)为第k个目标的导向向量,θk为第k个目标的来波方向,Rs=E[s(t)sH(t)],s(t)=[s1(t),…sk(t)],sk(t)为第k个信源的波形,Rn的表达式如下:Among them, A=[a(θ1 ),…,a(θk )], a(θk ) is the steering vector of the kth target, θk is the incoming wave direction of the kth target, Rs =E [s(t)sH (t)], s(t)=[s1 (t),…sk (t)], sk (t) is the waveform of the kth source, the expression of Rn The formula is as follows:
其中,为第m个阵元的噪声功率,m=1,2,…,M,不完全相等,此时阵列噪声为非均匀噪声。in, is the noise power of the mth array element, m=1,2,...,M, are not exactly equal, at this time the array noise is non-uniform noise.
步骤(3):定义w和k分别为搜索白化向量和搜索目标个数,w中的每个元素都为正实数,k属于{0,1,2,…,M-1};确定目标函数为:Step (3): Define w and k as the search whitening vector and the number of search targets respectively, each element in w is a positive real number, and k belongs to {0,1,2,...,M-1}; determine the objective function for:
其中,表示函数取最小值时的(w,k)值,即MDL(w,k)是以(w,k)为待估参数的MDL函数,表达式为:in, Indicates the (w,k) value when the function takes the minimum value, that is MDL(w,k) is an MDL function with (w,k) as the parameter to be estimated, and the expression is:
其中,λi(w)为矩阵diag(w)的从大到小排列的第i个特征值,diag(w)表示一个对角矩阵,对角元素为向量w;Among them, λi (w) is the matrix diag(w) The i-th eigenvalue arranged from large to small, diag(w) represents a diagonal matrix, and the diagonal elements are vector w;
步骤(4):利用遗传算法求解步骤(3)中的目标函数,得到白化向量估计值和目标个数估计值Step (4): Use the genetic algorithm to solve the objective function in step (3) to obtain the estimated value of the whitening vector and the estimated number of targets
步骤(5):根据白化向量估计值对协方差矩阵进行白化得到具体实现步骤包括:Step (5): Estimate the value according to the whitening vector pair covariance matrix Whiten to get The specific implementation steps include:
(5.1)根据得到白化矩阵为W,表达式为:(5.1) According to The whitening matrix is obtained as W, and the expression is:
其中,表示一个对角矩阵,对角元素为向量in, Represents a diagonal matrix whose diagonal elements are vectors
(5.2)利用白化矩阵W对协方差矩阵进行白化得到表达式为:(5.2) Using the whitening matrix W to the covariance matrix Whiten to get The expression is:
步骤(6):根据白化处理后的协方差矩阵白化向量估计值与目标个数估计值估计得到目标角度具体实现步骤包括:Step (6): According to the whitened covariance matrix Whiten vector estimates and target number estimates Estimated target angle The specific implementation steps include:
(6.1)对进行特征值分解,得到从大到小排列的特征值λi(w)和其对应的特征向量ui,i=1,2,…,M;(6.1) Yes Perform eigenvalue decomposition to obtain eigenvalues λi (w) and their corresponding eigenvectors ui , i=1,2,...,M arranged from large to small;
(6.2)根据目标个数估计值和特征向量ui,得到噪声特征矩阵Un,表达式为:(6.2) Estimated value based on the number of targets and the feature vector ui to get the noise feature matrix Un , the expression is:
(6.3)根据白化矩阵W和噪声特征矩阵Un,构造空间谱P(θ):(6.3) Construct the spatial spectrum P(θ) according to the whitening matrix W and the noise characteristic matrix Un :
其中,θ为搜索角度,a(θ)为角度θ对应的导向向量;Among them, θ is the search angle, a(θ) is the steering vector corresponding to the angle θ;
(6.4)搜索空间谱P(θ)的峰值,峰值位置即为目标角度估计值,即:(6.4) Search for the peak of the spatial spectrum P(θ), and the peak position is the estimated value of the target angle, namely:
其中,为第j个目标角度的估计值,表示函数取最大值时的θ值。in, is the estimated value of the jth target angle, Indicates the value of θ when the function takes the maximum value.
以下结合仿真实验,对本发明做进一步说明。The present invention will be further described below in combination with simulation experiments.
(一)仿真条件(1) Simulation conditions
本发明仿真实验中软件仿真平台为MATLAB R2014a,使用MATLAB R2014a自带的遗传算法,遗传算法的参数设置为默认值,每次实验中使用5次遗传算法得到5个估计值,对其取平均做为输出,用以提高白化向量和目标个数的估计精度。阵列是由5个阵元组成的均匀直线阵,阵元间距为半波长;目标信号为远场窄带信号,来波方向分别为30°和50°;噪声是高斯白噪声,目标信号与噪声不相关;5个阵元的噪声功率分别为不同目标信号的功率相等,信噪比定义为其中,为目标信号功率,为噪声平均功率,表达式为为第m个阵元的噪声功率;采样数为1000;Monte-Carlo次数为100;基于对角加载的MDL算法(DLMDL)的对角加载量取为其中,λm为协方差矩阵的第m个特征值。Software emulation platform is MATLAB R2014a in the emulation experiment of the present invention, uses the genetic algorithm that MATLAB R2014a carries, and the parameter of genetic algorithm is set as default value, uses
(二)仿真内容及结果(2) Simulation content and results
仿真一,本实验用于比较不相关信源和非均匀噪声条件下,本发明方法、DLMDL、修正的SORTE、MDL方法的目标个数估计成功率随SNR的变化,如图2所示。Simulation 1, this experiment is used to compare the change of the target number estimation success rate with the SNR of the method of the present invention, DLMDL, modified SORTE, and MDL method under the conditions of uncorrelated sources and non-uniform noise, as shown in Figure 2.
参照图2,在-5dB时,本发明方法的估计成功率仍然为1,能正确估计目标个数;而DLMDL方法在信噪比小于5dB时,性能就急剧下降,无法成功估计目标个数。可见,与DLMDL相比,本发明方法性能提升10dB。与修正的SORTE方法相比,本发明方法在信噪比为-10dB时候估计成功率略低。最后,无论信噪比多高,MDL方法仍旧失效。Referring to Fig. 2, when -5dB, the estimation success rate of the method of the present invention is still 1, can correctly estimate the number of targets; and when the signal-to-noise ratio of the DLMDL method is less than 5dB, the performance drops sharply, and the number of targets cannot be successfully estimated. It can be seen that compared with DLMDL, the performance of the method of the present invention is improved by 10dB. Compared with the modified SORTE method, the method of the present invention estimates a slightly lower success rate when the signal-to-noise ratio is -10dB. Finally, no matter how high the signal-to-noise ratio is, the MDL method still fails.
仿真二,先用修正的SORTE方法进行目标个数的估计,然后根据此估计值用MUSIC方法进行目标方位估计,此方法记为SORTE MUSIC方法。本实验用于比较不相关目标信号和非均匀噪声条件下,本发明方法与SORTE MUSIC方法的目标角度估计均方根误差(RMSE)随SNR的变化,如图3所示。In the second simulation, the modified SORTE method is used to estimate the number of targets, and then the target orientation is estimated by the MUSIC method based on the estimated value. This method is denoted as the SORTE MUSIC method. This experiment is used to compare uncorrelated target signals and non-uniform noise conditions, the target angle estimation root mean square error (RMSE) of the inventive method and the SORTE MUSIC method varies with the SNR, as shown in Figure 3.
参照图3,本发明方法在信噪比小于-5dB时,无法估计目标角度,而SORTE MUSIC在信噪比低于0dB时候,就无法估计目标角度;因此,本发明方法与SORTE MUSIC方法相比,性能提升5dB。With reference to Fig. 3, the inventive method can't estimate target angle when SNR is less than-5dB, and SORTE MUSIC just can't estimate target angle when SNR is lower than 0dB; Therefore, the inventive method is compared with SORTE MUSIC method , the performance is improved by 5dB.
仿真三,本实验用于比较两个信源相关系数为0.6和非均匀噪声条件下,本发明方法、DLMDL、修正的SORTE、MDL方法的目标个数估计成功率随SNR的变化,如图4所示。Simulation three, this experiment is used to compare two source correlation coefficients under the condition of 0.6 and non-uniform noise, the target number estimation success rate of the method of the present invention, DLMDL, revised SORTE, MDL method varies with SNR, as shown in Figure 4 shown.
参照图4,此时,修正的SORTE方法和MDL方法都无法估计目标个数。与DLMDL相比,本发明方法性能仍提升10dB。Referring to Fig. 4, at this time, neither the modified SORTE method nor the MDL method can estimate the number of targets. Compared with DLMDL, the performance of the method of the present invention is still improved by 10dB.
仿真四,先用DLMDL方法进行目标个数的估计,根据此估计值用MUSIC方法进行目标方位估计,此方法记为DLMDL MUSIC方法。本实验用于比较两个信源相关系数为0.6和非均匀条件下,本发明方法与DLMDL MUSIC方法的目标角度估计均方根误差(RMSE)随SNR的变化曲线,如图5所示。In the fourth simulation, the DLMDL method is used to estimate the number of targets, and based on the estimated value, the MUSIC method is used to estimate the target orientation. This method is denoted as the DLMDL MUSIC method. This experiment is used to compare the variation curves of the root mean square error (RMSE) of the target angle estimation of the method of the present invention and the DLMDL MUSIC method with the SNR under the two source correlation coefficients of 0.6 and non-uniform conditions, as shown in FIG. 5 .
参照图5,本发明方法在信噪比小于0dB时,无法估计目标角度,而DLMDL MUSIC在信噪比低于5dB时候,就无法估计目标角度;因此,本发明方法与DLMDL MUSIC方法相比,性能提升5dB。With reference to Fig. 5, the inventive method can't estimate target angle when signal-to-noise ratio is less than 0dB, and DLMDL MUSIC just can't estimate target angle when signal-to-noise ratio is lower than 5dB; Therefore, the inventive method compares with DLMDL MUSIC method, Performance improved by 5dB.
从图2-图5,可以看出,本发明方法可以在非均匀噪声情况下实现准确的目标个数估计和目标角度估计。另外,本发明方法在相关信源、低信噪比条件下仍能实现目标个数和目标角度的准确估计,与已有方法相比,目标个数估计性能提高10dB,目标角度估计性能提高5dB。From FIG. 2 to FIG. 5 , it can be seen that the method of the present invention can realize accurate target number estimation and target angle estimation under the condition of non-uniform noise. In addition, the method of the present invention can still accurately estimate the number of targets and the target angle under the conditions of related information sources and low signal-to-noise ratio. Compared with the existing method, the estimation performance of the target number is improved by 10dB, and the estimation performance of the target angle is improved by 5dB. .
综上,本发明公开了一种非均匀噪声背景下基于MDL准则的目标个数和目标角度估计方法,属于阵列信号处理领域。本发明的优点是在非均匀噪声情况下,能实现目标个数和目标角度的正确估计。本发明的主要步骤为:首先以目标个数和白化向量为未知参数,建立以最小化描述长度(MDL)为准则的目标函数;利用遗传算法求解MDL目标函数的最小值,从而得到目标个数的估计值和白化向量的估计值;然后利用白化向量的估计值白化接收信号协方差矩阵;最后,根据白化后的协方差矩阵、白化向量的估计值以及目标个数的估计值,实现目标角度的准确估计。To sum up, the present invention discloses a method for estimating the number of targets and target angles based on the MDL criterion under the background of non-uniform noise, which belongs to the field of array signal processing. The advantage of the invention is that it can realize correct estimation of target number and target angle under the condition of non-uniform noise. The main steps of the present invention are as follows: first, using the target number and the whitening vector as unknown parameters, an objective function based on the minimum description length (MDL) is established; the genetic algorithm is used to solve the minimum value of the MDL objective function, thereby obtaining the target number and the estimated value of the whitening vector; then use the estimated value of the whitening vector to whiten the covariance matrix of the received signal; finally, according to the whitened covariance matrix, the estimated value of the whitening vector and the estimated value of the number of targets, the target angle an accurate estimate of .
| Application Number | Priority Date | Filing Date | Title |
|---|---|---|---|
| CN202010198101.XACN111323744B (en) | 2020-03-19 | 2020-03-19 | Target number and target angle estimation method based on MDL (minimization drive language) criterion |
| Application Number | Priority Date | Filing Date | Title |
|---|---|---|---|
| CN202010198101.XACN111323744B (en) | 2020-03-19 | 2020-03-19 | Target number and target angle estimation method based on MDL (minimization drive language) criterion |
| Publication Number | Publication Date |
|---|---|
| CN111323744A CN111323744A (en) | 2020-06-23 |
| CN111323744Btrue CN111323744B (en) | 2022-12-13 |
| Application Number | Title | Priority Date | Filing Date |
|---|---|---|---|
| CN202010198101.XAActiveCN111323744B (en) | 2020-03-19 | 2020-03-19 | Target number and target angle estimation method based on MDL (minimization drive language) criterion |
| Country | Link |
|---|---|
| CN (1) | CN111323744B (en) |
| Publication number | Priority date | Publication date | Assignee | Title |
|---|---|---|---|---|
| CN113655435B (en)* | 2021-07-22 | 2024-05-07 | 深圳云里物里科技股份有限公司 | Method, device, signal receiving equipment, system and medium for determining arrival angle |
| CN115656918B (en)* | 2022-09-27 | 2025-07-29 | 西安电子科技大学 | Far-field target azimuth angle estimation method suitable for small samples |
| Publication number | Priority date | Publication date | Assignee | Title |
|---|---|---|---|---|
| CN1384368A (en)* | 2001-04-27 | 2002-12-11 | 三菱电机株式会社 | Arrival bearing estimating method |
| CN101644760A (en)* | 2009-08-27 | 2010-02-10 | 北京理工大学 | Rapid and robust method for detecting information source number suitable for high-resolution array |
| CN103235294A (en)* | 2013-03-29 | 2013-08-07 | 电子科技大学 | Method for estimating weak signal separation on basis of positioning for external radiation sources |
| CN103424735A (en)* | 2013-07-30 | 2013-12-04 | 北京邮电大学 | Near field source locating method, device and system based on minimum description length |
| CN103902822A (en)* | 2014-03-28 | 2014-07-02 | 西安交通大学苏州研究院 | Signal number detection method applied on condition of incoherent signal and coherent signal mixing |
| CN109683151A (en)* | 2019-02-01 | 2019-04-26 | 哈尔滨工程大学 | Tenth of the twelve Earthly Branches rooting MUSIC angle estimating method under non-uniform noise environment based on matrix completion |
| CN110488239A (en)* | 2019-09-27 | 2019-11-22 | 西北工业大学 | Object detection method based on frequency modulated continuous wave radar |
| Publication number | Priority date | Publication date | Assignee | Title |
|---|---|---|---|---|
| DE60104091T2 (en)* | 2001-04-27 | 2005-08-25 | CSEM Centre Suisse d`Electronique et de Microtechnique S.A. - Recherche et Développement | Method and device for improving speech in a noisy environment |
| Publication number | Priority date | Publication date | Assignee | Title |
|---|---|---|---|---|
| CN1384368A (en)* | 2001-04-27 | 2002-12-11 | 三菱电机株式会社 | Arrival bearing estimating method |
| CN101644760A (en)* | 2009-08-27 | 2010-02-10 | 北京理工大学 | Rapid and robust method for detecting information source number suitable for high-resolution array |
| CN103235294A (en)* | 2013-03-29 | 2013-08-07 | 电子科技大学 | Method for estimating weak signal separation on basis of positioning for external radiation sources |
| CN103424735A (en)* | 2013-07-30 | 2013-12-04 | 北京邮电大学 | Near field source locating method, device and system based on minimum description length |
| CN103902822A (en)* | 2014-03-28 | 2014-07-02 | 西安交通大学苏州研究院 | Signal number detection method applied on condition of incoherent signal and coherent signal mixing |
| CN109683151A (en)* | 2019-02-01 | 2019-04-26 | 哈尔滨工程大学 | Tenth of the twelve Earthly Branches rooting MUSIC angle estimating method under non-uniform noise environment based on matrix completion |
| CN110488239A (en)* | 2019-09-27 | 2019-11-22 | 西北工业大学 | Object detection method based on frequency modulated continuous wave radar |
| Title |
|---|
| Lei Huang,et al."Source Enumeration Via MDL Criterion Based on Linear Shrinkage Estimation of Noise Subspace Covariance Matrix".《IEEE Transactions on Signal Processing》.2013,第4806-4821页.* |
| 许佳奇 等."盖尔圆定理和最小描述长度准则相结合的信源数目估计方法研究".《信号处理》.2017,第53-57页.* |
| 陈明建 等."非均匀噪声背景下信源数估计算法".《信号处理》.2018,第134-139页.* |
| Publication number | Publication date |
|---|---|
| CN111323744A (en) | 2020-06-23 |
| Publication | Publication Date | Title |
|---|---|---|
| CN110208735B (en) | A DOA Estimation Method for Coherent Signals Based on Sparse Bayesian Learning | |
| US20230160991A1 (en) | Method for jointly estimating gain-phase error and direction of arrival (doa) based on unmanned aerial vehicle (uav) array | |
| CN112881972B (en) | Direction-of-arrival estimation method based on neural network under array model error | |
| CN111123192B (en) | A two-dimensional DOA localization method based on circular array and virtual expansion | |
| CN108375763B (en) | A frequency division localization method applied to multi-sound source environment | |
| CN108872926B (en) | An Amplitude and Phase Error Correction and DOA Estimation Method Based on Convex Optimization | |
| CN110221241A (en) | A kind of low elevation angle DOA estimation method based on RBF neural | |
| CN111337873B (en) | A DOA Estimation Method Based on Sparse Matrix | |
| CN110703249B (en) | Robust and efficient synthetic aperture radar multi-feature enhanced imaging method | |
| CN109298383A (en) | A Method for Estimating Direction of Arrival Angle of Coprime Array Based on Variational Bayesian Inference | |
| CN111323744B (en) | Target number and target angle estimation method based on MDL (minimization drive language) criterion | |
| CN103902826A (en) | Method for tracking multiple moving targets under impact noise environment | |
| CN111257845B (en) | Approximate message transfer-based non-grid target angle estimation method | |
| CN111273269B (en) | A Radar Target Location Method Based on Frequency Diversity Array Based on IPSO-BP | |
| CN106772221B (en) | Conformal array amplitude and phase error correction method based on wing deformation fitting | |
| CN113702899B (en) | Propagation algorithm of covariance difference based on phase fraction low-order moment | |
| CN109683128B (en) | Single-shot direction finding method in shock noise environment | |
| CN112327244B (en) | L-shaped array-based two-dimensional incoherent distributed target parameter estimation method | |
| CN113376568A (en) | Circular array DOA estimation method based on subspace orthogonal compensation | |
| CN112327245A (en) | DOA estimation method based on high-resolution feature space | |
| CN114487988B (en) | Angle of Arrival Estimation System Based on Deep Learning | |
| CN103778288B (en) | Ant colony optimization-based near field sound source localization method under non-uniform array noise condition | |
| CN109696651B (en) | A Direction of Arrival Estimation Method for Low Snapshots Based on M Estimation | |
| Chung et al. | Tracking of multiple moving sources using recursive EM algorithm | |
| CN119025793A (en) | A method to improve the accuracy of direction of arrival estimation based on signal time-frequency distribution mutual coupling calibration |
| Date | Code | Title | Description |
|---|---|---|---|
| PB01 | Publication | ||
| PB01 | Publication | ||
| SE01 | Entry into force of request for substantive examination | ||
| SE01 | Entry into force of request for substantive examination | ||
| GR01 | Patent grant | ||
| GR01 | Patent grant |