



技术领域technical field
本发明属于雷达遥感应用技术,具体涉及一种基于视频SAR的运动目标检测方法。The invention belongs to radar remote sensing application technology, in particular to a moving target detection method based on video SAR.
背景技术Background technique
现代战场对侦察、精确定位与打击的要求逐渐升高,对动目标检测、定位、跟踪的要求越来越高。SAR可以对动目标进行成像,将动目标的位置、运动方向、速度、甚至是目标的形态信息表示在高分辨率图像中。传统SAR的运动目标检测技术有一些缺陷:首先,由于SAR成像的频率与雷达的工作频率是正相关的,传统SAR的工作频率不高,成像帧率比较低,这可能会丢失合成孔径时间内的目标运动轨迹,无法实现实时跟踪运动目标;其次,最小可检测速度较大,慢速目标易被杂波干扰而检测不到;而且能实现高分辨同时有GMTI(GroundMoving Target Indication)能力的SAR系统复杂度高,对搭载平台有较大的限制。而视频SAR是一种能实现高帧率成像的SAR系统,它通过对地面目标区域的连续监测,连续成像,至少达到每秒成5帧图像,能实现对目标的实时监测。其高分辨率、高帧率的成像特性具有重大作用,而在视频SAR的基础上的动目标检测技术也成为雷达遥感领域一个新的研究热点。The requirements of modern battlefield for reconnaissance, precise positioning and strike are gradually increasing, and the requirements for moving target detection, positioning and tracking are getting higher and higher. SAR can image moving targets, and express the position, movement direction, speed, and even the morphological information of moving targets in high-resolution images. The traditional SAR moving target detection technology has some defects: First, since the frequency of SAR imaging is positively correlated with the operating frequency of the radar, the operating frequency of traditional SAR is not high, and the imaging frame rate is relatively low, which may lose the synthetic aperture time. The trajectory of the target cannot achieve real-time tracking of the moving target; secondly, the minimum detectable speed is large, and the slow target is easily interfered by clutter and cannot be detected; and it can realize a high-resolution SAR system with GMTI (GroundMoving Target Indication) capability. The complexity is high, and there are great restrictions on the carrying platform. Video SAR is a SAR system that can achieve high frame rate imaging. It can achieve real-time monitoring of the target through continuous monitoring and continuous imaging of the ground target area, at least 5 frames per second. Its high resolution and high frame rate imaging characteristics play a significant role, and moving target detection technology based on video SAR has also become a new research hotspot in the field of radar remote sensing.
针对传统SAR的动目标检测技术有单通道如:频谱过滤、时频分析、RDM、Keystone算法等,但单通道算法对目标的检测能力较差;还有多通道算法如:相位中心偏置技术(DPCA)、沿航迹干涉技术(ATI)、STAP等,但多通道算法系统复杂度较高。这些方法都是针对动目标的回波,然后计算后项散射系数(RCS)来检测动目标,而动目标产生的多普勒频移以及散焦导致直接检测动目标回波信号性能较差检、测速度范围小、而且动目标的位置定位产生误差。The moving target detection technologies for traditional SAR include single-channel such as spectrum filtering, time-frequency analysis, RDM, Keystone algorithm, etc., but the single-channel algorithm has poor target detection ability; there are also multi-channel algorithms such as phase center offset technology (DPCA), along-track interferometry (ATI), STAP, etc., but the multi-channel algorithm system complexity is high. These methods are all aimed at the echo of the moving target, and then calculate the post-term scattering coefficient (RCS) to detect the moving target. However, the Doppler frequency shift and defocus generated by the moving target lead to poor performance of the direct detection of the moving target echo signal. , The speed measurement range is small, and the position positioning of the moving target produces errors.
针对视频SAR的动目标检测方法研究还较少,上述动目标检测方法存在各种问题,应用在视频SAR模式下检测效果较差,而视频SAR成像结果中目标会因为发射信号被遮挡而产生阴影,这些阴影对应目标的真实位置,而通过视频SAR成像结果中的阴影进行检测有诸多优势,如:(1)慢速目标检测性能好(2)动目标准确定位(3)依据阴影可实现持续监测(4)检测流程实现简单等。There are still few researches on moving target detection methods for video SAR. The above moving target detection methods have various problems, and the detection effect is poor when applied in video SAR mode. In the video SAR imaging results, the target will be shadowed because the transmitted signal is blocked. , these shadows correspond to the real position of the target, and detection by shadows in the video SAR imaging results has many advantages, such as: (1) Good detection performance of slow targets (2) Accurate positioning of moving targets (3) According to shadows, continuous Monitoring (4) The detection process is simple to implement and so on.
通过阴影检测动目标能达到较好的检测效果,目前存在针对视频SAR成像结果中对阴影的检测来实现对动目标的检测,但处理流程较为复杂,而且阈值分割技术采用的是全局相同的阈值。因为检测动目标阴影是分析阴影与背景杂波的对比度,是局部区域特性的对比,如下式:Shadow detection of moving targets can achieve better detection results. At present, there are shadow detection in video SAR imaging results to achieve moving target detection, but the processing flow is more complicated, and the threshold segmentation technology uses the same global threshold. . Because the detection of moving target shadow is to analyze the contrast between shadow and background clutter, it is the contrast of local area characteristics, as follows:
其中DTCR为杂波与阴影强度的比值,σoH表示阴影周围环境杂波的强度,σoL表示阴影区域回波强度,σN为图像总噪声,阴影的检测效果取决于局部区域DTCR的值,而采用全局相同阈值的方式,对于相当部分的目标可以获得较好的结果,但可能导致阴影本身较亮的情况下产生漏检或虚警。where DTCR is the ratio of clutter to shadow intensity, σoH is the intensity of ambient clutter around the shadow, σoL is the echo intensity in the shadow area, σN is the total image noise, and the shadow detection effect depends on the value of DTCR in the local area, However, by using the same global threshold, better results can be obtained for a considerable part of the target, but it may lead to missed detections or false alarms when the shadow itself is brighter.
发明内容SUMMARY OF THE INVENTION
本发明的目的,就是针对上述存在的问题及不足,提出了一种基于视频SAR的动目标检测方法,在现有视频SAR模式的阴影检测技术的基础上,同样针对阴影进行检测实现对动目标的检测,从局部信息考虑阈值分割,同时简化处理流程,可以实现对动目标更准确的检测,减少虚警或漏检,提升动目标检测效果。The purpose of the present invention is to solve the above problems and deficiencies, and propose a moving target detection method based on video SAR. On the basis of the shadow detection technology of the existing video SAR mode, the shadow detection is also performed to realize the moving target. In the detection of the moving target, the threshold segmentation is considered from the local information, and the processing flow is simplified at the same time, which can achieve more accurate detection of moving targets, reduce false alarms or missed detections, and improve the detection effect of moving targets.
本发明的基于视频SAR的动目标检测方法由以下步骤来实现,其检测流程整体框图如附图1。流程整体介绍:本发明是针对视频SAR成像结果中运动目标的检测,视频SAR具有高帧率,若能实现动目标检测,有利于对监测场景中运动目标的实时观察。通过检测连续帧图像中阴影的变化检测运动目标。首先,配准可以将连续多帧图像特征点匹配,方便后续对阴影移动的检测。然后利用二值化区分出阴影与背景、杂波区域,后续利用二值化结果背景建模可得到背景图像,背景图像代表着连续几幅图像的背景。图像之间的相减可以得到前景图像。前景图像显示的即为变化的阴影,但存在部分杂波干扰导致虚警,利用相邻帧目标的规律性,杂波的随机性可最终获得移动阴影,进而检测出运动目标。The video SAR-based moving target detection method of the present invention is implemented by the following steps, and the overall block diagram of the detection process is shown in FIG. 1 . Overall introduction of the process: The present invention is aimed at the detection of moving targets in video SAR imaging results. Video SAR has a high frame rate. If moving target detection can be realized, it is conducive to real-time observation of moving targets in the monitoring scene. Detects moving objects by detecting changes in shadows in successive frames of images. First, the registration can match the feature points of consecutive images to facilitate the subsequent detection of shadow movement. Then use binarization to distinguish shadows from background and clutter areas, and then use the background modeling of the binarization results to obtain a background image, which represents the background of several consecutive images. The subtraction between the images can get the foreground image. The foreground image shows changing shadows, but some clutter interference leads to false alarms. Using the regularity of adjacent frame targets, the randomness of clutter can finally obtain moving shadows, and then detect moving targets.
本发明的技术方案为:一种基于视频SAR的运动目标检测方法,其特征在于,包括以下步骤:The technical scheme of the present invention is: a moving target detection method based on video SAR, characterized in that it comprises the following steps:
S1、获取视频SAR连续多帧成像结果,在任意连续的9帧图像Ii-4,Ii-3,Ii-2,Ii-1,Ii,Ii+1,Ii+2,Ii+3,Ii+4中选取7帧选取的:Ii-4,Ii-2,Ii-1,Ii,Ii+1,Ii+2,Ii+4其中Ii为连续图像序列中的第i帧图像,然后采用SIFT算法进行图像配准,配准以7帧中的第4帧Ii作为基准图像;S1. Acquire video SAR continuous multi-frame imaging results, in any continuous 9 frames of images Ii-4 , Ii-3 , Ii-2 , Ii-1 , Ii , Ii+1 , Ii+2 , Ii+3 , Ii+4 are selected from 7 frames: Ii-4 , Ii-2 , Ii-1 , Ii , Ii+1 , Ii+2 , Ii+4 where Ii is the ith frame image in the continuous image sequence, then adopts the SIFT algorithm to carry out image registration, and the registration takes the 4th frame Ii in the 7 frames as the reference image;
S2、对图像进行阈值分割:将图像的m×n矩阵数据,在计算上表示为1行m×n列,分别考虑m×n矩阵中任意点相邻的横向、纵向方向上点的影响,综合这两个方向上邻近该点的一些点进行求和,其中横向方向上求和为:S2. Threshold segmentation of the image: The m×n matrix data of the image is represented as 1 row m×n column in calculation, and the influence of adjacent points in the horizontal and vertical directions of any point in the m×n matrix is considered respectively. Combine some points adjacent to the point in these two directions for summation, where the summation in the lateral direction is:
纵向方向上求和为:The summation in the vertical direction is:
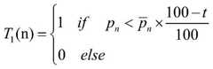
其中pn为图像灰度值矩阵中任意点的灰度值,s1、s2分别代表在横向、纵向上以pn为中心所取的相邻的点,fs1(n)代表横向上s1+1个点的灰度值的和,fs2(n)代表纵向上s2+1个点的灰度值的和,其中s1,s2取值分别为原图像横向、纵向长度的按照横向、纵向求和公式对整个单行矩阵进行计算分别得到两个单行矩阵Fs1(n)、Fs2(n),将单行矩阵反向恢复为两个m×n矩阵F1、F2,再对这两个矩阵求和获得同时考虑了横向、纵向影响的矩阵Fall,将Fall对每个坐标求和的个数s1+s2+2取平均得到平均值获得第一阈值分割结果T1(n):Among them, pn is the gray value of any point in the image gray value matrix, s1 and s2 represent the adjacent points in the horizontal and vertical directions with pn as the center, respectively, and fs1 (n) represents the horizontal The sum of the gray values of s1 +1 points, fs2 (n) represents the sum of the gray values of s2 +1 points in the vertical direction, where s1 , s2 are the horizontal and vertical lengths of the original image, respectively of Calculate the entire single-row matrix according to the horizontal and vertical summation formulas to obtain two single-row matrices Fs1 (n) and Fs2 (n) respectively, and reversely restore the single-row matrix to two m×n matrices F1 , F2 , Then sum these two matrices to obtain a matrix Fall that considers both horizontal and vertical influences, and average the number s1 +s2 +2 of Fall summed for each coordinate to obtain the average value Obtain the first threshold segmentation result T1 (n):
其中t为设定的普通变量,代表着该点相邻点的值对该点的影响,T1(n)表示点取值是0还是1,其中结果为1代表阴影,0代表非阴影,对应视频SAR图像的阈值分割结果;Among them, t is a set common variable, which represents the influence of the value of the adjacent point of the point on the point, T1 (n) indicates whether the value of the point is 0 or 1, where the result is 1 for shadow, 0 for non-shadow, The threshold segmentation result of the corresponding video SAR image;
利用整幅图像的灰度值分布中灰度值个数最多的值pmost,取该值的0.9作为预处理,获得第二阈值分割结果T2(n):Using the value pmost with the largest number of gray values in the gray value distribution of the entire image, and taking 0.9 of this value as preprocessing, the second threshold segmentation result T2 (n) is obtained:
将第一阈值分割结果T1(n)和第二阈值分割结果T2(n)做与操作:The AND operation of the first threshold segmentation result T1 (n) and the second threshold segmentation result T2 (n):
Tresult表示最终的阈值分割结果;Tresult represents the final threshold segmentation result;
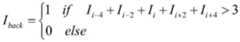
S3、获取当前图像的背景图像:根据步骤S2得到步骤S1配准好的7帧图像的阈值分割结果,在7帧图像中取5帧,取:Ii-4,Ii-2,Ii,Ii+2,Ii+4对这5帧图像以相同点之和大于3取为1的条件进行背景建模:S3, obtain the background image of the current image: obtain the threshold segmentation result of the 7-frame images registered in step S1 according to step S2, take 5 frames in the 7-frame images, and take: Ii-4 , Ii-2 , Ii , Ii+2 , Ii+4 perform background modeling for these 5 frames of images with the condition that the sum of the same points is greater than 3 as 1:
获取的背景图像Iback,代表了这5帧中阴影未发生变化的部分,也即静止目标,将基准图像Ii及其左右相邻图像Ii-1,Ii+1的阈值分割结果Ibinary减去背景图像获取对应前景图像Iprospect,前景图像Iprospect中显示的部分也即是对应阈值分割结果Ibinary中的运动目标阴影:The acquired background image Iback represents the part where the shadow does not change in these 5 frames, that is, the stationary target. The threshold segmentation result I of the reference image Ii and its left and right adjacent images Ii-1 and Ii+1 is The background image is subtracted frombinary to obtain the corresponding foreground image Iprospect , and the part displayed in the foreground image Iprospect is the shadow of the moving target in the corresponding threshold segmentation result Ibinary :
Iprospect=Ibinary-IbackIprospect =Ibinary -Iback
S4、过滤相邻帧之间的干扰:S4. Filter the interference between adjacent frames:
采用相邻帧相与的方式过滤相邻帧之间不同的干扰,设第i帧图像对应的前景图像为相邻的前一帧为相邻后一帧为Different interference between adjacent frames is filtered by the method of comparing adjacent frames, and the foreground image corresponding to the i-th frame image is set as The adjacent previous frame is The adjacent frame is
其中I1为相邻三帧前景中前两帧的与结果,用于过滤相邻帧中不同区域的随机杂波干扰,同时保留共同部分;进行腐蚀操作,将I1中阴影部分放大后再与做与操作:Among them, I1 is the AND result of the first two frames in the foreground of the adjacent three frames, which is used to filter the random clutter interference in different areas in the adjacent frames, while retaining the common part; perform the corrosion operation, and enlarge the shadow part in I1 and then and Do and operate:
进行相减操作过滤相邻帧间相同的干扰:Perform a subtraction operation to filter the same interference between adjacent frames:
I3为相邻帧间相减得到的结果,进行腐蚀操作后,与I2做与操作获取最终阴影检测结果:I3 is the result obtained by subtracting adjacent frames. After the corrosion operation is performed, an AND operation is performed with I2 to obtain the final shadow detection result:
其中I4为最终的阴影检测结果,进而检测出运动目标。Among them, I4 is the final shadow detection result, and then detects the moving target.
本发明的有益效果为,实现流程简单,阈值分割时采用自适应的方式能减少虚警和漏检,能准确的检测出运动目标。The beneficial effects of the present invention are that the realization process is simple, and the adaptive method can reduce false alarms and missed detections in the threshold segmentation, and can accurately detect moving objects.
附图说明Description of drawings
图1为本发明的整体实现流程图;Fig. 1 is the overall realization flow chart of the present invention;
图2为对每帧图像采用横向、纵向处理方案示意;Fig. 2 is the schematic diagram of adopting horizontal and vertical processing scheme for each frame of image;
图3为按照某方向图像矩阵转换后的单行矩阵;Fig. 3 is the single-row matrix after image matrix conversion according to a certain direction;
图4为实验处理流程结果,(a)视频SAR第4帧(b)阈值分割结果(c)背景图像(d)前景图像(e)干扰阴影过滤结果(f)阴影检测结果标记回原图。Figure 4 shows the results of the experimental processing flow, (a) the fourth frame of video SAR (b) the threshold segmentation result (c) the background image (d) the foreground image (e) the interference shadow filtering result (f) the shadow detection result marked back to the original image.
具体实施方式Detailed ways
下面结合附图对本发明进行详细的描述The present invention will be described in detail below in conjunction with the accompanying drawings
本发明包括以下步骤:The present invention includes the following steps:
步骤1:对视频SAR的成像视频结果处理,生成多帧图像,在连续的9帧图像中选取7帧采用SIFT算法进行图像配准,配准以7帧中的第4帧作为基准图像,选取方式举例如下:Ii-4、Ii-2、Ii-1、Ii、Ii+1、Ii+2、Ii+4其中Ii为图像序列中第i帧图像。Step 1: Process the imaging video results of the video SAR, generate multiple frames of images, select 7 frames from the consecutive 9 frames of images and use the SIFT algorithm for image registration, and use the fourth frame of the 7 frames as the reference image for registration. Examples are as follows: Ii-4 , Ii-2 , Ii-1 , Ii , Ii+1 , Ii+2 , Ii+4 where Ii is the i-th frame image in the image sequence.
步骤2:配准后需要对图像进行阈值分割,可以使得阴影与环境杂波之间的边缘更加清晰,阈值分割的方式基于Wellner的自适应阈值处理算法,在该算法的基础上又考虑了图像垂直方向上点的影响,并同时利用了整个图像灰度值分布中的众数过滤前述阈值分割方法产生的一些干扰。Step 2: After registration, the image needs to be thresholded, which can make the edge between the shadow and the environmental clutter clearer. The threshold segmentation method is based on Wellner's adaptive threshold processing algorithm, and the image is considered on the basis of this algorithm. At the same time, the mode in the gray value distribution of the whole image is used to filter some interference generated by the aforementioned threshold segmentation method.
(1)该阈值分割方法将图像的m×n数据在计算上表示为1行m×n列,可以得到附图3的数据形式。该算法对于图像中的每一点阈值分割所使用的阈值是不断变化的,每一点受到的影响并不是整个图像中所有的点,所以考虑该点相邻的横向、纵向方向点的值如附图2,其中红色表示横向变换,蓝色表示纵向变换,综合这两个方向的邻近该点的一些点进行求和,其中横向方向上求和如式:(1) The threshold segmentation method expresses the m×n data of the image as 1 row and m×n columns in calculation, and the data form of FIG. 3 can be obtained. The threshold value used by this algorithm for threshold segmentation of each point in the image is constantly changing, and each point is not affected by all points in the entire image, so consider the value of the adjacent horizontal and vertical points of the point as shown in the attached figure 2, where red represents horizontal transformation, blue represents vertical transformation, and some points adjacent to the point in these two directions are summed, and the summation in the horizontal direction is as follows:
纵向方向上求和如式:The summation in the longitudinal direction is as follows:
其中pn为图像灰度值矩阵中某点的灰度值,s1、s2分别代表在横向、纵向上以pn为中心一共取相邻的几个点,fs1(n)代表横向上s1+1个点的灰度值的和。fs2(n)代表纵向上s2+1个点的灰度值的和,其中s1,s2取值分别为原图像横向、纵向长度的按照横向、纵向求和公式对整个单行矩阵进行计算可以分别得到两个单行矩阵Fs1(n)、Fs2(n),其中由于单行矩阵的开始和结束的或处无法满足左右同时计算,可以直接选择图像矩阵对应的原始值而不进行求和计算,然后将单行矩阵反向恢复为两个m×n矩阵F1、F2,再对这两个矩阵求和获得同时考虑了横向、纵向影响的矩阵Fall,将Fall对的每个坐标求和的个数s1+s2+2取平均得到平均值判断该点pn最终取0或1按照下式:Among them, pn is the gray value of a certain point in the image gray value matrix, s1 and s2 represent a total of several adjacent points in the horizontal and vertical directions with pn as the center, and fs1 (n) represents the horizontal The sum of the grayscale values of the upper s1 +1 points. fs2 (n) represents the sum of the gray values of s2 +1 points in the vertical direction, where the values of s1 and s2 are the horizontal and vertical lengths of the original image, respectively. Two single-row matrices Fs1 (n) and Fs2 (n) can be obtained by calculating the entire single-row matrix according to the horizontal and vertical summation formulas. or can not satisfy the simultaneous calculation of left and right, you can directly select the original value corresponding to the image matrix without summing, and then reverse the single-row matrix to two m×n matrices F1 , F2 , and then calculate the two matrices. And obtain the matrix Fall that considers the horizontal and vertical influences at the same time, and average the number s1 +s2 +2 of the sum of each coordinate of the Fall pair to obtain the average value It is judged that the point pn finally takes 0 or 1 according to the following formula:
其中t为普通变量,代表着该点相邻点的值对该点的影响,T1(n)表示点最终取值是0还是1,其中结果为1代表阴影,0代表非阴影,对应视频SAR图像的阈值分割结果。Among them, t is a common variable, which represents the influence of the value of the adjacent point of the point on the point, and T1 (n) indicates whether the final value of the point is 0 or 1, where the result is 1 for shadow, 0 for non-shadow, corresponding to the video Threshold segmentation results of SAR images.
(2)通过以上的方法可以得到较好的阈值分割效果,但对于局部点周围灰度值很大,这样会导致即使当前点灰度值在整幅图像中也较大,最终也会被判定为1而形成虚假的阴影,造成对真正目标阴影的干扰。本方法是对阴影进行检测实现对运动目标的检测,利用整幅图像中灰度值分布中灰度值个数最多的值pmost,取该值的0.9作为预处理,如下式:(2) Through the above method, a better threshold segmentation effect can be obtained, but the gray value around the local point is very large, which will cause the gray value of the current point to be large even in the whole image, and it will eventually be judged. A value of 1 creates a false shadow that interferes with the true target shadow. This method is to detect shadows to realize the detection of moving targets, using the value pmost with the largest number of gray values in the gray value distribution in the entire image, and taking 0.9 of this value as preprocessing, as follows:
其中pn为视频SAR图像中某点的灰度值,按照该方式得到的阈值分割结果T2(n)与前述阈值分割结果T1(n)做与操作,可以对前述阈值分割方法的结果中虚假暗色区域进行过滤,减少对真正目标阴影的干扰。where pn is the gray value of a certain point in the video SAR image, and the threshold segmentation result T2 (n) obtained in this way is ANDed with the foregoing threshold segmentation result T1 (n), and the result of the foregoing threshold segmentation method can be compared The false dark areas in the middle are filtered to reduce the interference of the real target shadow.
步骤3:背景建模获取当前图像的背景图像。按照步骤2得到配准好的相邻7帧图像的二值化结果,由于视频SAR成像帧率高,相邻帧图像之间时间差小,动目标移动距离较小,在7帧图像中取5帧,这5帧图像是每隔1帧取1帧,如:Ii-4,Ii-2,Ii,Ii+2,Ii+4,对5帧图像相同点之和大于3取为1的条件进行背景建模:Step 3: Background Modeling Obtain the background image of the current image. According to step 2, the binarization results of the registered adjacent 7 frames of images are obtained. Due to the high frame rate of video SAR imaging, the time difference between adjacent frame images is small, and the moving distance of the moving target is small, take 5 out of the 7 frames of images. frame, these 5 frames of images are taken every other frame, such as: Ii-4 , Ii-2 , Ii , Ii+2 , Ii+4 , the sum of the same points for the 5 frames of images is greater than 3 Take the condition of 1 for background modeling:
获取背景图像Iback,代表了这5帧中阴影未发生变化的部分,也即静止目标,然后将第i-1,i,i+1帧图像的阈值分割结果图像Ibinary减去背景图像获取对应前景图像Iprospect,前景图像Iprospect中显示的部分也即是对应阈值分割结果Ibinary中的运动目标阴影,关系如式:Obtain the background image Iback , which represents the part of the 5 frames where the shadow has not changed, that is, the stationary target, and then subtract the background image from the threshold segmentation result image Ibinary of the i-1, i, i+1 frame images to obtain Corresponding to the foreground image Iprospect , the part displayed in the foreground image Iprospect is the shadow of the moving target in the corresponding threshold segmentation result Ibinary , and the relationship is as follows:
Iprospect=Ibinary-IbackIprospect =Ibinary -Iback
其中变量定义如前所述,然后采用连通域检测,过滤掉零散细微的杂波干扰。The variables are defined as described above, and then the connected domain detection is used to filter out scattered and subtle clutter interference.
步骤4:步骤3得到的前景图像经过连通域检测过滤掉零散细微的杂波,但仍余下较多杂波干扰造成虚警的可能,因为即使在相邻帧之间产生的杂波干扰也不尽相同,所以步骤3中的背景图像Iback并不是非常准确,而由此获得的前景图像中,不同帧可能存在不同的随机杂波干扰。针对该杂波,采用相邻帧相与的方式过滤随机杂波来减少虚警的可能,方式如下:Step 4: The foreground image obtained in Step 3 is detected by the connected domain to filter out scattered and subtle clutter, but there are still many clutter interference that may cause false alarms, because even the clutter interference generated between adjacent frames is not enough. Therefore, the background image Iback in step 3 is not very accurate, and in the foreground image obtained therefrom, different frames may have different random clutter interference. For this clutter, the random clutter is filtered by the phase-and-sum of adjacent frames to reduce the possibility of false alarms, as follows:
(1)按照前面的步骤得到第i-1,i,i+1帧图像对应的前景图像,这里设第i帧图像对应的前景图像为相邻的前一帧为相邻后一帧为针对这三帧图像首先,操作如式:(1) According to the previous steps, the foreground image corresponding to the i-1, i, i+1 frame image is obtained. Here, the foreground image corresponding to the i frame image is set as The adjacent previous frame is The adjacent frame is For these three frames of images, first, the operation is as follows:
式中I1为相邻三帧前景中前两帧的与结果,处理可以过滤相邻帧中不同区域的随机杂波干扰,同时保留共同部分;这些共同部分产生的原因有两种:一是由于视频SAR成像结果相邻帧间时间差很小,相同的运动目标在相邻帧之间变化不大,仍存在重叠部分;二是相邻帧之间存在随机杂波干扰,同时存在相同区域的干扰,但这些区域是固定的,只出现在相邻图像中,虽然是静止的,但在步骤3中背景建模时并没有判断为背景。In the formula, I1 is the AND result of the first two frames in the foreground of three adjacent frames, and the processing can filter the random clutter interference in different areas in the adjacent frames, while retaining the common parts; there are two reasons for these common parts: one is Due to the small time difference between adjacent frames in the video SAR imaging results, the same moving target does not change much between adjacent frames, and there are still overlapping parts; second, there is random clutter interference between adjacent frames, and there are interference, but these areas are fixed and only appear in adjacent images. Although they are static, they are not judged as backgrounds when modeling the background in step 3.
两帧图像取交集可以得到运动目标部分,同时过滤掉不同区域的随机杂波干扰,但经过与操作的处理,I1结果图像中的运动目标阴影变小了,直接取交集可能导致漏检,所以进行适当的腐蚀操作,将I1中阴影部分都放大后再与做与操作,处理如下式:Taking the intersection of two frames of images can get the moving target part, and at the same time filter out random clutter interference in different areas, but after the processing of the AND operation, the shadow of the moving target in the I1 result image becomes smaller, and taking the intersection directly may lead to missed detection, Therefore, perform a proper corrosion operation, enlarge the shaded parts in I1 , and then Do and operation, process the following formula:
I2为前两帧的与操作得到的结果适当腐蚀再与第三帧相与的结果,其结果中过滤了相邻帧之间的随机干扰部分。I2 is the result obtained by the AND operation of the first two frames, which is properly corroded and then added with the third frame, and the random interference part between adjacent frames is filtered in the result.
(2)相减操作可以过滤相邻帧间相同的干扰,如式:(2) The subtraction operation can filter the same interference between adjacent frames, such as:
其中I3为相邻帧间相减得到的结果,可以过滤相同的干扰。同样会导致目标阴影减小,需要进行腐蚀操作后,与I2做与操作获取最终阴影检测结果,如式:Wherein I3 is the result obtained by subtracting adjacent frames, which can filter the same interference. It will also lead to the reduction of the target shadow. After the corrosion operation is required, do an AND operation with I2 to obtain the final shadow detection result, as shown in the formula:
其中I4为最终的阴影检测结果。where I4 is the final shadow detection result.
下面结合仿真验证本发明的实用性:The practicability of the present invention is verified below in conjunction with simulation:
设定实验环境:Intel i3-4170处理器,Windows操作系统,Matlab R2017a;Set the experimental environment: Intel i3-4170 processor, Windows operating system, Matlab R2017a;
参数设置:在采用步骤2中的二值化算法时,横向、纵向s取值均为各方向上长度的t取值为15,连通域检测处理时采用8邻域,连通对象个数大于50保留。腐蚀操作采用的是Matlab中的strel('disk',4),半径为4的平坦圆盘结构。Parameter setting: When using the binarization algorithm in step 2, the horizontal and vertical s values are the lengths in each direction. The value of t is 15, 8 neighborhoods are used in the connected domain detection processing, and the number of connected objects is greater than 50 to be reserved. The erosion operation uses strel('disk',4) in Matlab, a flat disk structure with a radius of 4.
采用美国桑迪亚国家实验室(Sandia National Laboratories,SNL)公布的视频SAR成像视频结果。The video SAR imaging video results published by Sandia National Laboratories (SNL) in the United States were used.
根据本发明的技术方案检测出阴影,并将阴影标记回原图中,实验结果如附图4,观察实验结果发现本发明能准确的检测出视频SAR成像结果中的运动目标。According to the technical solution of the present invention, shadows are detected, and the shadows are marked back to the original image. The experimental results are shown in Fig. 4. Observing the experimental results, it is found that the present invention can accurately detect the moving targets in the video SAR imaging results.
| Application Number | Priority Date | Filing Date | Title |
|---|---|---|---|
| CN202010040411.9ACN111311644B (en) | 2020-01-15 | 2020-01-15 | Moving target detection method based on video SAR |
| Application Number | Priority Date | Filing Date | Title |
|---|---|---|---|
| CN202010040411.9ACN111311644B (en) | 2020-01-15 | 2020-01-15 | Moving target detection method based on video SAR |
| Publication Number | Publication Date |
|---|---|
| CN111311644Atrue CN111311644A (en) | 2020-06-19 |
| CN111311644B CN111311644B (en) | 2021-03-30 |
| Application Number | Title | Priority Date | Filing Date |
|---|---|---|---|
| CN202010040411.9AExpired - Fee RelatedCN111311644B (en) | 2020-01-15 | 2020-01-15 | Moving target detection method based on video SAR |
| Country | Link |
|---|---|
| CN (1) | CN111311644B (en) |
| Publication number | Priority date | Publication date | Assignee | Title |
|---|---|---|---|---|
| CN111784059A (en)* | 2020-07-06 | 2020-10-16 | 贵州工程应用技术学院 | Method for predicting dominant development azimuth of coal seam macroscopic crack |
| CN113313007A (en)* | 2021-05-26 | 2021-08-27 | 每日互动股份有限公司 | Pedestrian static state identification method based on video, electronic equipment and storage medium |
| CN114119627A (en)* | 2021-10-19 | 2022-03-01 | 北京科技大学 | Method and device for image segmentation of superalloy microstructure based on deep learning |
| CN114419069A (en)* | 2022-01-20 | 2022-04-29 | 中国电子科技集团公司第十四研究所 | SAR moving target shadow detection method adopting threshold segmentation and multi-frame association |
| CN114429462A (en)* | 2022-01-25 | 2022-05-03 | 中国电子科技集团公司第十四研究所 | Moving object shadow detection method using road information |
| CN114511504A (en)* | 2022-01-04 | 2022-05-17 | 电子科技大学 | A Video SAR Moving Target Shadow Detection Method |
| CN119540292A (en)* | 2024-11-23 | 2025-02-28 | 中国人民解放军国防科技大学 | High-precision video SAR moving target detection method based on information geometry theory |
| Publication number | Priority date | Publication date | Assignee | Title |
|---|---|---|---|---|
| CN103744068A (en)* | 2014-01-21 | 2014-04-23 | 西安电子科技大学 | Moving target detection imaging method of dual-channel frequency modulation continuous wave SAR system |
| CN104318589A (en)* | 2014-11-04 | 2015-01-28 | 中国电子科技集团公司第十四研究所 | ViSAR-based anomalous change detection and tracking method |
| US8994577B1 (en)* | 2012-07-05 | 2015-03-31 | Sandia Corporation | Synthetic aperture radar images with composite azimuth resolution |
| CN105261037A (en)* | 2015-10-08 | 2016-01-20 | 重庆理工大学 | Moving object detection method capable of automatically adapting to complex scenes |
| CN107230188A (en)* | 2017-04-19 | 2017-10-03 | 湖北工业大学 | A kind of method of video motion shadow removing |
| US20170372153A1 (en)* | 2014-01-09 | 2017-12-28 | Irvine Sensors Corp. | Methods and Devices for Cognitive-based Image Data Analytics in Real Time |
| CN109917378A (en)* | 2018-12-26 | 2019-06-21 | 西安电子科技大学 | VideoSAR moving target detection method using spatiotemporal correlation |
| CN110033455A (en)* | 2018-01-11 | 2019-07-19 | 上海交通大学 | A method of extracting information on target object from video |
| Publication number | Priority date | Publication date | Assignee | Title |
|---|---|---|---|---|
| US8994577B1 (en)* | 2012-07-05 | 2015-03-31 | Sandia Corporation | Synthetic aperture radar images with composite azimuth resolution |
| US20170372153A1 (en)* | 2014-01-09 | 2017-12-28 | Irvine Sensors Corp. | Methods and Devices for Cognitive-based Image Data Analytics in Real Time |
| CN103744068A (en)* | 2014-01-21 | 2014-04-23 | 西安电子科技大学 | Moving target detection imaging method of dual-channel frequency modulation continuous wave SAR system |
| CN104318589A (en)* | 2014-11-04 | 2015-01-28 | 中国电子科技集团公司第十四研究所 | ViSAR-based anomalous change detection and tracking method |
| CN105261037A (en)* | 2015-10-08 | 2016-01-20 | 重庆理工大学 | Moving object detection method capable of automatically adapting to complex scenes |
| CN107230188A (en)* | 2017-04-19 | 2017-10-03 | 湖北工业大学 | A kind of method of video motion shadow removing |
| CN110033455A (en)* | 2018-01-11 | 2019-07-19 | 上海交通大学 | A method of extracting information on target object from video |
| CN109917378A (en)* | 2018-12-26 | 2019-06-21 | 西安电子科技大学 | VideoSAR moving target detection method using spatiotemporal correlation |
| Publication number | Priority date | Publication date | Assignee | Title |
|---|---|---|---|---|
| CN111784059A (en)* | 2020-07-06 | 2020-10-16 | 贵州工程应用技术学院 | Method for predicting dominant development azimuth of coal seam macroscopic crack |
| CN111784059B (en)* | 2020-07-06 | 2022-04-29 | 贵州工程应用技术学院 | Method for predicting dominant development azimuth of coal seam macroscopic crack |
| CN113313007A (en)* | 2021-05-26 | 2021-08-27 | 每日互动股份有限公司 | Pedestrian static state identification method based on video, electronic equipment and storage medium |
| CN113313007B (en)* | 2021-05-26 | 2022-10-14 | 每日互动股份有限公司 | Pedestrian static state identification method based on video, electronic equipment and storage medium |
| CN114119627A (en)* | 2021-10-19 | 2022-03-01 | 北京科技大学 | Method and device for image segmentation of superalloy microstructure based on deep learning |
| CN114511504A (en)* | 2022-01-04 | 2022-05-17 | 电子科技大学 | A Video SAR Moving Target Shadow Detection Method |
| CN114511504B (en)* | 2022-01-04 | 2023-11-10 | 电子科技大学 | Video SAR moving target shadow detection method |
| CN114419069A (en)* | 2022-01-20 | 2022-04-29 | 中国电子科技集团公司第十四研究所 | SAR moving target shadow detection method adopting threshold segmentation and multi-frame association |
| CN114429462A (en)* | 2022-01-25 | 2022-05-03 | 中国电子科技集团公司第十四研究所 | Moving object shadow detection method using road information |
| CN119540292A (en)* | 2024-11-23 | 2025-02-28 | 中国人民解放军国防科技大学 | High-precision video SAR moving target detection method based on information geometry theory |
| Publication number | Publication date |
|---|---|
| CN111311644B (en) | 2021-03-30 |
| Publication | Publication Date | Title |
|---|---|---|
| CN111311644B (en) | Moving target detection method based on video SAR | |
| Ding et al. | Video SAR moving target indication using deep neural network | |
| CN103745203B (en) | View-based access control model notes the object detecting and tracking method with average drifting | |
| Ji et al. | Effective vehicle detection technique for traffic surveillance systems | |
| CN109917378B (en) | Video SAR moving object detection method using space-time correlation | |
| CN109740445B (en) | Method for detecting infrared dim target with variable size | |
| CN113362293A (en) | SAR image ship target rapid detection method based on significance | |
| CA2780595A1 (en) | Method and multi-scale attention system for spatiotemporal change determination and object detection | |
| CN112215146B (en) | Weak and small target joint detection and tracking system and method based on random finite set | |
| CN111208479B (en) | Method for reducing false alarm probability in deep network detection | |
| CN110400294B (en) | Infrared target detection system and detection method | |
| CN108038856B (en) | Infrared small target detection method based on improved multi-scale fractal enhancement | |
| CN111881837B (en) | Video SAR moving target detection method based on shadow extraction | |
| CN109461127B (en) | SAR image sparse regularization feature enhancement method with interpretation as purpose | |
| CN114549642B (en) | Low-contrast infrared dim target detection method | |
| CN111161308A (en) | Dual-band fusion target extraction method based on key point matching | |
| CN114373130A (en) | Space-based infrared dark and weak moving target detection method | |
| Liu et al. | Space target extraction and detection for wide-field surveillance | |
| Wu et al. | Moving target shadow detection method based on improved ViBe in VideoSAR images | |
| Chen et al. | A novel AMS-DAT algorithm for moving vehicle detection in a satellite video | |
| CN110095774B (en) | A Circular Video SAR Moving Target Detection Method | |
| CN107369163B (en) | Rapid SAR image target detection method based on optimal entropy dual-threshold segmentation | |
| CN112435249A (en) | Dynamic small target detection method based on periodic scanning infrared search system | |
| ZHU et al. | Dim small targets detection based on horizontal-vertical multi-scale grayscale difference weighted bilateral filtering | |
| CN115205227A (en) | A shadow region detection method for SAR images based on change detection |
| Date | Code | Title | Description |
|---|---|---|---|
| PB01 | Publication | ||
| PB01 | Publication | ||
| SE01 | Entry into force of request for substantive examination | ||
| SE01 | Entry into force of request for substantive examination | ||
| GR01 | Patent grant | ||
| GR01 | Patent grant | ||
| CF01 | Termination of patent right due to non-payment of annual fee | ||
| CF01 | Termination of patent right due to non-payment of annual fee | Granted publication date:20210330 Termination date:20220115 |