









技术领域technical field
本发明涉及一种自动泊车的技术,尤其是一种对泊车的路径进行规划的方法。The invention relates to an automatic parking technology, in particular to a method for planning a parking path.
背景技术Background technique
随着自动驾驶技术的发展,自动泊车技术的研究也得到了广泛重视,自动泊车的路径规划问题也受到了学术界和工业界的广泛重视。为了实现自主泊车功能,自主泊车路径规划任务是,当给定停车位位置以及类型信息时,本发明需要找到最佳的无碰撞轨迹,在车辆运动约束下操纵车辆运动到目标位置。按照泊车习惯,人们通常习惯采用倒车入库的方式进行泊车,倒车入库时,通常车辆需要向前行驶一段距离,然后向后倒车进入停车位,然而,对自主泊车来说这项任务涉及若干困难,在路径规划过程中,通常是将自动驾驶的路径规划与泊车路径规划分开进行,泊车过程也涉及到两段路径,前进段路径和倒车段路径结合问题,意味着这个过程比普通的自主驾驶路径规划任务更复杂。With the development of automatic driving technology, the research on automatic parking technology has also received extensive attention, and the path planning problem of automatic parking has also received extensive attention from academia and industry. In order to realize the autonomous parking function, the autonomous parking path planning task is to find the best collision-free trajectory when the parking space position and type information are given, and maneuver the vehicle to the target position under the vehicle motion constraint. According to the parking habits, people are usually accustomed to parking by reversing into the garage. When reversing into the garage, the vehicle usually needs to drive forward for a certain distance, and then reverse back into the parking space. However, for autonomous parking, this The task involves several difficulties. In the path planning process, the path planning of automatic driving is usually carried out separately from the parking path planning. The parking process also involves two paths, the forward path and the reversing path combination problem, which means this The process is more complex than ordinary autonomous driving path planning tasks.
传统的泊车路径规划方法通常采用间接法,前段轨迹车辆沿直线行驶搜索车位,倒车轨迹通常采用最小转弯半径法,粗略的跟踪轨迹,这种轨迹误差较大,导致车辆与周围车辆发生碰撞,会导致泊车失败。针对不同车位类型,间接法需要采用不同的轨迹规划方法。因为车辆需要沿直线行驶搜索车位,因此车辆存在微小误差时,对泊车过程会产生较大误差,通常会导致泊车失败。The traditional parking path planning method usually adopts the indirect method. The vehicle in the front track runs in a straight line to search for a parking space. The reversing trajectory usually adopts the minimum turning radius method to roughly track the trajectory. This trajectory has a large error and causes the vehicle to collide with the surrounding vehicles. will cause the parking to fail. For different types of parking spaces, the indirect method requires different trajectory planning methods. Because the vehicle needs to travel in a straight line to search for a parking space, when there is a small error in the vehicle, there will be a large error in the parking process, which usually results in a parking failure.
在专利CN102975715A中阐述了一种车辆在任意姿态下进行平行泊车路径规划的方法,在其文章中,需要建联拟合点阵,通过遍历连接车辆起点与终点的点阵拟合出的样条曲线,最后再结合车辆的运动学约束选取一条轨迹。这种方法仅针对一种停车位类型,并且路径生成过程需要拟合点阵,增加了路径生成的难度。In the patent CN102975715A, a method for parallel parking path planning for a vehicle in an arbitrary attitude is described. In its article, it is necessary to establish a joint fitting lattice, and the sample fitted by traversing the lattice connecting the starting point and the end point of the vehicle is A curve is selected, and finally a trajectory is selected in combination with the kinematic constraints of the vehicle. This method is only for one type of parking space, and the path generation process needs to fit a lattice, which increases the difficulty of path generation.
申请号为201810071201.9的专利中提供一种用于自动平行停泊的路径规划方法,该方法根据待泊车车辆车型的几何参数进行仿真得到平行泊车路径规划。这种方法只适用于固定起始位姿的泊车路径规划。The patent with the application number of 201810071201.9 provides a path planning method for automatic parallel parking. The method simulates the geometric parameters of the vehicle to be parked to obtain the parallel parking path planning. This method is only suitable for parking path planning with a fixed starting pose.
上述几种方法是从倒车段轨迹开始进行规划的,虽然有效解决了不同位姿对泊车轨迹的影响,但对于自动驾驶车辆来说,泊车时车辆需要自主行驶到倒车段的起始位置,上述方法中都没有对车辆如何行驶到倒车段起点进行说明,都没有提到自主泊车路径规划与自动驾驶路径规划相结合。The above methods are planned from the trajectory of the reversing section. Although the impact of different poses on the parking trajectory is effectively solved, for autonomous vehicles, the vehicle needs to autonomously drive to the starting position of the reversing section when parking. , the above methods do not describe how the vehicle travels to the starting point of the reversing section, and do not mention the combination of autonomous parking path planning and autonomous driving path planning.
发明内容SUMMARY OF THE INVENTION
本文提出了一种用于自主泊车的反向生成路径规划方法,这种方法适用于不同停车位类型,不同的起始泊车位姿的泊车路径规划,还可以与自动驾驶的路径规划相结合,用来解决现有泊车路径规划方法的不足。In this paper, a reverse generation path planning method for autonomous parking is proposed. This method is suitable for parking path planning for different parking space types and different starting parking poses, and can also be compared with path planning for autonomous driving. Combined, it is used to solve the shortcomings of the existing parking path planning methods.
本发明提出了一种自主泊车路径反向生成规划方法,包括如下步骤:The present invention proposes a reverse generation planning method for an autonomous parking path, which includes the following steps:
步骤1、目标停车位信息获取,包括车位类型及位置信息;
步骤2、根据目标停车位信息,确定泊车初始状态和目标状态;Step 2. Determine the initial state and target state of parking according to the target parking space information;
步骤3、根据停车位信息和目标状态,利用几何法,生成相应的目标路径树;Step 3. According to the parking space information and the target state, use the geometric method to generate the corresponding target path tree;
步骤4、根据车辆的初始状态,利用采样法生成连接目标路径树终点的多条路径;Step 4. According to the initial state of the vehicle, use the sampling method to generate multiple paths connecting the end points of the target path tree;
步骤5、根据代价函数从多条路径选取最优路径。Step 5. Select the optimal path from multiple paths according to the cost function.
进一步的,所述的步骤1具体包括:自主泊车车辆通过存储的或者通过基于V2X的通信方式获取停车位信息,包括停车位相对于车辆的横纵坐标信息,以及车辆停进停车位时的航向信息,及车辆停进停车位的最终位姿E(Xe,Ye,θe),其中Xe,Ye,θe分别为车辆最终位置横坐标、纵坐标、航向。Further, the
进一步的,所述的步骤2具体包括:当车辆行驶到停车位附近时,车辆通过传感器获取当前位姿S(Xs,Ys,θs),Xs、Ys、θs即车辆当前位置的横坐标、纵坐标,航向。Further, the step 2 specifically includes: when the vehicle travels near the parking space, the vehicle obtains the current pose S (Xs , Ys , θs ) through the sensor, and Xs , Ys , θs are the current position of the vehicle. The abscissa, ordinate, and heading of the position.
进一步的,所述的步骤3具体包括:车辆以当前位姿为起点,向终点状态G(Xg,Yg,θg)进行路径规划,基于反向行驶的方法,假设车辆已经停进停车位,车辆驶出停车位,先以终点状态为起点,生成目标树。Further, the step 3 specifically includes: the vehicle takes the current pose as the starting point, and performs path planning to the end state G (Xg , Yg , θg ), and based on the method of reverse driving, it is assumed that the vehicle has parked and stopped. When the vehicle exits the parking space, the target tree is generated with the end state as the starting point.
进一步的,所述的步骤4具体包括:从车辆当前的位置,即当前位姿,以目标树终点为路径生成的终点,通过生成的路径连接到目标树,生成多条泊车预测路径。Further, the step 4 specifically includes: from the current position of the vehicle, that is, the current pose, taking the end point of the target tree as the end point of the path generation, and connecting the generated path to the target tree to generate multiple parking prediction paths.
进一步的,包括生成路径时,以目标树的终点为采样点,使用具有最小曲率变化率的三次Hermite样条曲线生成法生成一簇连接从当前车辆位置到目标树终点的平滑曲线,得到多条从当前位姿S(Xs,Ys,θs)到最终位姿E(Xe,Ye,θe)的路径,每条路径表示车辆可能执行的一个状态,Further, when generating the path, taking the end point of the target tree as the sampling point, using the cubic Hermite spline curve generation method with the minimum curvature change rate to generate a cluster of smooth curves connecting from the current vehicle position to the end point of the target tree, and obtaining multiple The path from the current pose S (Xs , Ys , θs ) to the final pose E (Xe , Ye , θe ), each path represents a possible state of the vehicle,
进一步的,所述的步骤5具体包括:生成的泊车预测路径中,对于部分路径会因为路径的曲率过大,不满足车辆运动学模型约束,部分轨迹上存在障碍物,依据与障碍物距离,平滑程度,路径长度为评估依据,通过对这些评估依据进行加权计算,结合代价函数Cf选取最优路径,,即为最终的泊车路径。Further, the step 5 specifically includes: in the generated parking prediction path, for some paths, because the curvature of the path is too large and does not meet the constraints of the vehicle kinematics model, there are obstacles on some tracks, according to the distance from the obstacles. , the smoothness, and the path length are the evaluation criteria. By weighting these evaluation criteria, the optimal path is selected in combination with the cost function Cf , which is the final parking path.
进一步的,所述步骤3中相应的生成目标路径树的方法包括:平行停车位目标树生成方法、垂直停车位目标树生成方法、斜式停车位目标树生成方法。Further, the corresponding method for generating a target path tree in the step 3 includes: a method for generating a target tree for parallel parking spaces, a method for generating a target tree for vertical parking spaces, and a method for generating a target tree for inclined parking spaces.
进一步的,所述平行停车位目标树生成方法、垂直停车位目标树生成方法、斜式停车位目标树生成方法具体包括如下步骤:Further, the method for generating a target tree for a parallel parking space, a method for generating a target tree for a vertical parking space, and a method for generating a target tree for an inclined parking space specifically include the following steps:
假设一辆车已停在停车位中,用各种预先定义的路径将车开出停车位,E点为车辆驶出停车位的起始点,E1点为第一个转向点,G1-Gi为倒车点;以E1点起始点,以不同的转弯半径R进行计算,生成多条路径E1Gi,采用反向规划方法,即得到从G1到Gi的多条倒车路径,即车辆倒车进入停车位的不同条路径。Assuming that a car has been parked in a parking space, use various predefined paths to drive the car out of the parking space. Point E is the starting point for the vehicle to leave the parking space, point E1 is the first turning point, and G1-Gi is Reversing point: take the starting point of E1, calculate with different turning radius R, generate multiple paths E1Gi, and use the reverse planning method to obtain multiple reversing paths from G1 to Gi, that is, the difference between the vehicle reversing and entering the parking space path.
E1Gi[k].x=E1.x+(R*sin(θ))E1Gi[k].x=E1.x+(R*sin(θ))
E1Gi[k].y=E1.y+(R-R*cos(θ))E1Gi[k].y=E1.y+(R-R*cos(θ))
式中,R为不同方向盘转角对应的车辆转弯半径,θ表示路径点生成过程中路点与路径起点在圆弧路径上的夹角,k表示多条路径即目标树对应的第k条路径,x、y分别表示路径点相对于车辆位置的横纵坐标,利用上述公式生成多条路径,多条路径组成一组供车辆选取的行驶的预测路径,即为目标树,为一组半径不同的圆弧。In the formula, R is the turning radius of the vehicle corresponding to different steering wheel angles, θ is the angle between the waypoint and the starting point of the path on the arc path in the process of generating the waypoint, k is the kth path corresponding to multiple paths, that is, the target tree, x , y respectively represent the horizontal and vertical coordinates of the path point relative to the position of the vehicle. The above formula is used to generate multiple paths, and the multiple paths form a set of predicted paths for the vehicle to select, which is the target tree, which is a set of circles with different radii. arc.
进一步的,所述的最优路径包括两部分:前段路径和后段路径,前段路径来自采样法的一部分,后段路径来自目标树的一部分。Further, the optimal path includes two parts: a previous path and a back path, the front path comes from a part of the sampling method, and the back path comes from a part of the target tree.
有益效果:Beneficial effects:
本文提出的泊车方法利用先验的停车位信息,针对不同的停车位,不同的车辆起始位姿,都能从起始位置生成泊入停车位内的路径。采用逆向规划的方式,假设车辆已经停进停车位,车辆驶出停车位时,按照不同的驶出策略,车辆有很多种方法驶出停车位,不同的驶出策略代表有不同的路径可以使车辆驶出停车位,从停车位驶出的路径可以看成一组路径树,车辆驶出停车位的过程的反向,可以看成车辆驶进停车位的过程,采用采样法,从当前车辆位置,生成连接路径树的路径,通过代价函数进行筛选,即可得到最终的泊车路径。The parking method proposed in this paper uses the prior parking space information, and can generate a path into the parking space from the starting position for different parking spaces and different starting positions of the vehicle. The reverse planning method is used, assuming that the vehicle has already parked in the parking space. When the vehicle leaves the parking space, according to different exit strategies, the vehicle has many ways to exit the parking space. The vehicle drives out of the parking space, and the path from the parking space can be regarded as a set of path trees. The reverse of the process of the vehicle driving out of the parking space can be regarded as the process of the vehicle entering the parking space. Using the sampling method, from the current vehicle position , generate a path connecting the path tree, and filter through the cost function to get the final parking path.
附图说明Description of drawings
图1停车位类型;Figure 1 Types of parking spaces;
图2本发明平行停车位目标树;Fig. 2 parallel parking space target tree of the present invention;
图3本发明垂直停车位目标树;Fig. 3 vertical parking space target tree of the present invention;
图4本发明斜式停车位目标树;Fig. 4 inclined parking space target tree of the present invention;
图5本发明状态空间采样;Fig. 5 State space sampling of the present invention;
图6本发明平行停车位自主泊车路径规划过程示意图;6 is a schematic diagram of the process of planning an autonomous parking path for parallel parking spaces according to the present invention;
图7本发明的平行停车位自主泊车路径规划示意图;7 is a schematic diagram of the autonomous parking path planning of parallel parking spaces according to the present invention;
图8本发明的不同起始位姿平行泊车路径规划过程示意图;FIG. 8 is a schematic diagram of the parallel parking path planning process of different starting positions and postures of the present invention;
图9本发明的不同起始位姿垂直泊车路径规划过程示意图;9 is a schematic diagram of a vertical parking path planning process for different starting positions and postures of the present invention;
图10本发明的不同起始位姿斜式泊车路径规划过程示意图。FIG. 10 is a schematic diagram of the planning process of the inclined parking path in different starting positions of the present invention.
具体实施方式:Detailed ways:
下面将结合本发明实施例中的附图,对本发明实施例中的技术方案进行清楚、完整的描述,显然,所描述的实施例仅为本发明的一部分实施例,而不是全部的实施例,基于本发明中的实施例,本领域的普通技术人员在不付出创造性劳动的前提下所获得的所有其他实施例,都属于本发明的保护范围。The technical solutions in the embodiments of the present invention will be clearly and completely described below with reference to the accompanying drawings in the embodiments of the present invention. Obviously, the described embodiments are only a part of the embodiments of the present invention, rather than all the embodiments. Based on the embodiments of the present invention, all other embodiments obtained by persons of ordinary skill in the art without creative efforts shall fall within the protection scope of the present invention.
本文提出的泊车方法利用先验的停车位信息,针对不同的停车位,不同的车辆起始位姿,都能从起始位置生成泊入停车位内的路径。采用逆向规划的方式,假设车辆已经停进停车位,车辆驶出停车位时,按照不同的驶出策略,车辆有很多种方法驶出停车位,不同的驶出策略代表有不同的路径可以使车辆驶出停车位,从停车位驶出的路径可以看成一组路径树,车辆驶出停车位的过程的反向,可以看成车辆驶进停车位的过程,采用采样法,从当前车辆位置,生成连接路径树的路径,通过代价函数进行筛选,即可得到最终的泊车路径。The parking method proposed in this paper uses the prior parking space information, and can generate a path into the parking space from the starting position for different parking spaces and different starting positions of the vehicle. The reverse planning method is used, assuming that the vehicle has already parked in the parking space. When the vehicle leaves the parking space, according to different exit strategies, the vehicle has many ways to exit the parking space. The vehicle drives out of the parking space, and the path from the parking space can be regarded as a set of path trees. The reverse of the process of the vehicle driving out of the parking space can be regarded as the process of the vehicle entering the parking space. Using the sampling method, from the current vehicle position , generate a path connecting the path tree, and filter through the cost function to get the final parking path.
一种自主泊车路径反向生成规划方法,用于不同起始位姿不同停车位类型的车辆自主泊车路径规划,具体步骤如下:An autonomous parking path reverse generation planning method is used for autonomous parking path planning of vehicles with different starting poses and different parking space types. The specific steps are as follows:
步骤1、目标停车位信息获取,包括车位类型及位置信息;
步骤2、根据目标停车位信息,确定泊车初始状态和目标状态;Step 2. Determine the initial state and target state of parking according to the target parking space information;
步骤3、根据停车位信息和目标状态,利用几何法,生成相应的目标路径树;Step 3. According to the parking space information and the target state, use the geometric method to generate the corresponding target path tree;
步骤4、根据车辆的初始状态,利用采样法生成连接目标路径树终点的多条路径;Step 4. According to the initial state of the vehicle, use the sampling method to generate multiple paths connecting the end points of the target path tree;
步骤5、根据代价函数选取最优路径;Step 5. Select the optimal path according to the cost function;
该方法对泊车时车辆初始位姿无要求,路径生成以几何法为基础,车辆驶出停车位的路径通过几何法得到,几何法计算简单,车辆按照不同的转弯半径驶出停车位,生成路径树,不同的停车位生成不同的路径树,解决了几何法的泊车策略受限于停车位形状以及几何法对泊车起始位置要求严格,不适当的起始位置会导致泊车操作失败的问题。This method does not require the initial posture of the vehicle when parking. The path generation is based on the geometric method. The path of the vehicle exiting the parking space is obtained by the geometric method. The geometric method is simple to calculate. Path tree, different parking spaces generate different path trees, which solves the problem that the parking strategy of the geometric method is limited by the shape of the parking space and the geometric method has strict requirements on the starting position of parking. Inappropriate starting positions will lead to parking operations. Failed question.
所述的泊车路径规划还包括泊车路径生成步骤,如下:The parking path planning further includes a step of generating a parking path, as follows:
参见图1,停车位通常分为三种:垂直停车位,平行停车位和斜式停车位。本发明先假设,汽车已经停放在停车位,本发明根据不同的停车位生成了三种不同的目标树,它们应用于三种不同的停车位。每个目标树都有数十个路径。车辆停进停车位后的位姿为最终位姿E(Xe,Ye,θe)(即车辆位置横纵坐标,航向),从最终位姿E(Xe,Ye,θe)开始,以不同的转弯半径生成一组数十条路径的目标树,目标树的终点状态为G(Xg,Yg,θg)(即目标树终点位置的横纵坐标,方向)然后本发明采用采样法,从车辆的起始位姿S(Xs,Ys,θs)(即车辆当前位置的横纵坐标,航向)开始,将生成的目标树的终点G(Xg,Yg,θg)作为采样的目标点,最后结合运动学约束,障碍物约束以及轨迹长度等条件选出最优轨迹,这时就可以生成最终路径。该路径由两部分组成:前段路径和后段路径,前段路径来自采样法的一部分,后段路径来自目标树的一部分。Referring to Figure 1, parking spaces are generally classified into three types: vertical parking spaces, parallel parking spaces, and inclined parking spaces. The present invention first assumes that the car has been parked in a parking space, and the present invention generates three different target trees according to different parking spaces, and they are applied to three different parking spaces. Each target tree has dozens of paths. The pose after the vehicle parked in the parking space is the final pose E(Xe , Ye , θe ) (that is, the abscissa and vertical coordinates of the vehicle position, heading), from the final pose E (Xe , Ye , θe ) At the beginning, a set of target trees of dozens of paths are generated with different turning radii. The end state of the target tree is G(Xg , Yg , θg ) (that is, the horizontal and vertical coordinates of the end position of the target tree, the direction) and then this The invention adopts the sampling method, starting from the starting pose S (Xs , Ys , θs ) of the vehicle (that is, the horizontal and vertical coordinates of the current position of the vehicle, the heading), and the end point G (Xg , Y of the generated target tree)g , θg ) are used as the sampling target points, and finally the optimal trajectory is selected by combining the kinematic constraints, obstacle constraints and trajectory lengths, and then the final path can be generated. The path consists of two parts: the front path and the back path, the front path comes from a part of the sampling method, and the back path comes from a part of the target tree.
步骤1,自主泊车车辆通过存储的或者通过基于V2X的通信等获取停车位信息,包括停车位相对于车辆的横纵坐标信息,以及车辆停进停车位时的航向信息,及车辆停进停车位的最终位姿E(Xe,Ye,θe)。
步骤2,当车辆行驶到停车位附近时,车辆通过传感器获取当前的位姿S(Xs,Ys,θs),并以当前位姿为起点,向终点状态G(Xg,Yg,θg)进行路径规划。Step 2, when the vehicle travels near the parking space, the vehicle obtains the current pose S (Xs , Ys , θs ) through the sensor, and takes the current pose as the starting point to the end state G (Xg , Yg ) , θg ) for path planning.
所述步骤3中相应的生成目标路径树的方法包括:The corresponding method for generating the target path tree in the step 3 includes:
(1)平行停车位目标树生成方法(1) Parallel parking space target tree generation method
如图2所示,平行停车位目标树:一辆汽车驶出一个平行的停车位,它将保持最大转弯角度,向停车位外行驶,在图中,E点为车辆驶出停车位的起始点,E1点为第一个转向点,G1-Gi为倒车点。在E到E1点的方向盘转角使得车辆在最小半径下行驶,显而易见,这样对停车环境的要求最为宽松,更加地节约空间。同时,当车辆驶出到E1点时,车辆将有更多种方法驶出停车位,当车辆以固定的方向盘转角行驶时,会生成一条转弯半径固定的路径,当车辆的方向盘转角不同时,这时从G1到Gi,将生成多条路径。As shown in Figure 2, the parallel parking space target tree: a car drives out of a parallel parking space, it will maintain the maximum turning angle, and drive out of the parking space. In the figure, point E is the starting point when the vehicle leaves the parking space. The starting point, E1 point is the first turning point, and G1-Gi is the reversing point. The steering wheel angle from E to E1 makes the vehicle run under the smallest radius. Obviously, this has the most relaxed requirements for the parking environment and saves more space. At the same time, when the vehicle drives out to the E1 point, the vehicle will have more ways to exit the parking space. When the vehicle drives with a fixed steering wheel angle, a path with a fixed turning radius will be generated. When the steering wheel angle of the vehicle is different, At this time, from G1 to Gi, multiple paths will be generated.
E1Gi[k].x=E1.x+(R*sin(b))E1Gi[k].x=E1.x+(R*sin(b))
E1Gi[k].y=E1.y+(R-R*cos(b))E1Gi[k].y=E1.y+(R-R*cos(b))
其中R为不同方向盘转角对应的车辆转弯半径,b表示路径点生成过程中路点与路径起点在圆弧路径上的夹角,k表示多条路径即目标树对应的第k条路径,x、y分别表示路径点相对于车辆位置的横纵坐标,利用上述公式可以生成多条路径,多条路径组成一组车辆可选取的行驶的预测路径,即为目标树,目标树如图2所示,为一组半径不同的圆弧组成。where R is the turning radius of the vehicle corresponding to different steering wheel angles, b is the angle between the waypoint and the starting point of the path on the arc path during the generation of the waypoint, k is the kth path corresponding to multiple paths, that is, the target tree, x, y Represents the horizontal and vertical coordinates of the path point relative to the vehicle position. Using the above formula, multiple paths can be generated. Multiple paths form a set of predicted paths that the vehicle can choose to travel, which is the target tree. The target tree is shown in Figure 2. It consists of a set of arcs with different radii.
(2)垂直停车位目标树生成方法(2) Generation method of vertical parking space target tree
如图3所示,垂直停车位目标树:一辆汽车驶出一个垂直的停车位,它将先保持直线,向停车位外行驶,在图中,E点为车辆驶出停车位的起始点,E1点为第一个转向点,G1-Gi为目标树终点。在E到E1点车辆保持直线行驶状态,向前行驶一段距离,这时当车辆驶出到E1点时,车辆将有更多种方法驶出垂直停车位,这时从G1到Gi,以最小转弯半径为约束,生成其他固定转弯角度的路径,垂直停车位目标树生成方法同平行停车位目标树生成方法,为一组半径不同的圆弧组成的泊车预测路径。As shown in Figure 3, the vertical parking space target tree: a car drives out of a vertical parking space, it will keep a straight line and drive out of the parking space. In the figure, point E is the starting point of the vehicle leaving the parking space , E1 is the first turning point, and G1-Gi is the end point of the target tree. From point E to point E1, the vehicle keeps driving in a straight line and drives forward for a certain distance. At this time, when the vehicle exits to point E1, the vehicle will have more ways to exit the vertical parking space. At this time, from G1 to Gi, the minimum The turning radius is used as a constraint, and other paths with fixed turning angles are generated. The vertical parking space target tree generation method is the same as the parallel parking space target tree generation method, which is a parking prediction path composed of a group of arcs with different radii.
(3)斜式停车位目标树生成方法(3) Generation method of inclined parking space target tree
如图4所示,斜式停车位目标树:一辆汽车驶出一个斜式的停车位,它将先保持直线,向停车位外行驶,在图中,E点为车辆驶出停车位的起始点,E1点为第一个转向点,G1-Gi为目标树终点。在E到E1点车辆保持直线行驶状态,向前行驶一段距离,这时当车辆驶出到E1点时,车辆将有更多种方法驶出垂直停车位,这时从G1到Gi,以最小转弯半径为约束,生成其他固定转弯角度的路径,斜式停车位目标树生成方法同平行停车位目标树生成方法,为一组半径不同的圆弧组成的泊车预测路径。As shown in Figure 4, the inclined parking space target tree: a car drives out of an inclined parking space, it will keep a straight line and drive out of the parking space. In the figure, point E is the point where the vehicle leaves the parking space The starting point, E1 point is the first turning point, and G1-Gi is the end point of the target tree. From point E to point E1, the vehicle keeps driving in a straight line and drives forward for a certain distance. At this time, when the vehicle exits to point E1, the vehicle will have more ways to exit the vertical parking space. At this time, from G1 to Gi, the minimum The turning radius is used as a constraint to generate paths with other fixed turning angles. The generation method of the inclined parking space target tree is the same as the parallel parking space target tree generation method, which is a parking prediction path composed of a group of arcs with different radii.
前段路径生成方法Front-end path generation method
参考路径是引导无人驾驶车辆通过任务路段抵达终点的一条路径曲线,当存在参考路径时,采样法沿参考路径在状态空间采样,使用具有最小曲率变化率的三次Hermite样条曲线生成法生成一簇平滑曲线,表示方向盘变动最小的曲线,生成可行的路径集,使得运动控制器可以轻松跟踪,同时符合道路形状约束。The reference path is a path curve that guides the unmanned vehicle to reach the end point through the task section. When there is a reference path, the sampling method samples the state space along the reference path, and uses the cubic Hermite spline curve generation method with the minimum curvature change rate to generate a Cluster smooth curves, representing the curves with minimal steering wheel change, generate a feasible set of paths that can be easily tracked by the motion controller while complying with road shape constraints.
首先采用多分辨率采样根据道路几何特征对状态空间的一组终端状态进行采样,如图5所示。采样终端状态在预瞄距离ρ下沿参考路径均匀取点。预瞄距离ρ,即图中P0到Pg之间的距离,应大于最小碰撞距离dmin并小于最大感知距离dmax。First, multi-resolution sampling is used to sample a set of terminal states in the state space according to the road geometry, as shown in Figure 5. The sampling terminal state is uniformly taken along the reference path under the preview distance ρ. The preview distance ρ, that is, the distance between P0 and Pg in the figure, should be greater than the minimum collision distance dmin and less than the maximum perceived distance dmax .
选取轨迹的评估依据:与障碍物的距离;平滑程度;以及与历史轨迹数据的误差。最终根据这些评估选择最优轨迹。The evaluation basis of the selected trajectory: the distance to the obstacle; the degree of smoothness; and the error with the historical trajectory data. Finally, the optimal trajectory is selected based on these evaluations.
在本发明中,在泊车过程中当车辆处于泊车区域内时,从车辆的当前位姿S(Xs,Ys,θs)到目标树的终点,无参考路径,因此生成路径时,以目标树的终点为采样点,使用具有最小曲率变化率的三次Hermite样条曲线生成法生成一簇连接从当前车辆位置到目标树的平滑曲线,这样可以得到多条从当前位姿S(Xs,Ys,θs)到最终位姿E(Xe,Ye,θe)的路径,每条路径表示车辆可能执行的一个状态,最后依据与障碍物距离,平滑程度,路径长度为评估依据,通过对这些评估依据进行加权计算,选取最优路径。In the present invention, when the vehicle is in the parking area during the parking process, there is no reference path from the current pose S (Xs , Ys , θs ) of the vehicle to the end point of the target tree, so when the path is generated , take the end point of the target tree as the sampling point, and use the cubic Hermite spline curve generation method with the minimum curvature change rate to generate a cluster of smooth curves connecting from the current vehicle position to the target tree, so that a plurality of lines from the current pose S ( The path from Xs , Ys , θs ) to the final pose E (Xe , Ye , θe ), each path represents a possible state of the vehicle, and finally depends on the distance from the obstacle, the smoothness, and the path length. As the evaluation basis, the optimal path is selected by weighting the evaluation basis.
代价函数计算Cost function calculation
车辆与障碍物位置的距离:The distance between the vehicle and the obstacle position:
Cobdis=f((xs,ys),(xob,yob))Cobdis =f((xs ,ys ),(xob ,yob ))
(xs,ys)为当前时刻车身位置坐标,(xob,yob)为障碍物位置坐标;(xs , ys ) are the vehicle body position coordinates at the current moment, and (xob , yob ) are the obstacle position coordinates;
路径长度:Path length:
Cleng.h=f((xs,ys),(xg,yg))+f((xg,yg),(xe,ye))Cleng.h =f((xs ,ys ),(xg ,yg ))+f((xg ,yg ),(xe ,ye ))
对路径长度的评估分为两部分,主要包括车辆当前位置(xs,ys)到目标树终点的位置(xg,yg)以及目标树终点位置(xg,yg)到最终位置的距离(xe,ye);The evaluation of the path length is divided into two parts, mainly including the current position of the vehicle (xs , ys ) to the position of the end of the target tree (xg , yg ) and the end position of the target tree (xg , yg ) to the final position the distance (xe , ye );
轨迹的平滑性:Smoothness of the trajectory:
Csmooth=f(k)Csmooth = f(k)
ki表示规划路径中每一点的曲率:ki represents the curvature of each point in the planned path:
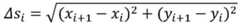
其中,in,
4θi=|θi+9-θi|4θi = |θi+9 -θi |
x,y表示路点横纵坐标,Δ6i为相邻两个路点之间的距离;x, y represent the horizontal and vertical coordinates of the waypoint, and Δ6i is the distance between two adjacent waypoints;
路径平滑度(Smoothness,f(k)):Path smoothness (Smoothness, f(k)):
n表示路点总数;n represents the total number of waypoints;
通过对上述公式进行加权计算得到最优路径:The optimal path is obtained by weighting the above formula:
Cf=αCobdis+βClength+γCsmoothCf =αCobdis +βClength +γCsmooth
α,β,γ分别对应Cobdis,Clength,Csmooth分配的权值可计算出轨迹的代价,择其最小值为最优路径,即最终的泊车路径。α, β, γ correspond to the weights assigned by Cobdis , Clength , and Csmooth respectively, the cost of the trajectory can be calculated, and the minimum value is selected as the optimal path, that is, the final parking path.
具体路径规划实施方式:The specific path planning implementation method:
在满足运动学模型和约束的前提下,如何在停车区域内规划出一条合理的泊车路径,是无人驾驶车辆自动泊车系统的关键。采用上述方法最终生成的泊车路径由两部分组成:前段路径来自采样法的一部分和后段路径来自目标树的一部分。Under the premise of satisfying the kinematic model and constraints, how to plan a reasonable parking path in the parking area is the key to the automatic parking system of unmanned vehicles. The parking path finally generated by the above method consists of two parts: a part of the front path from the sampling method and a part of the back path from the target tree.
如图6所示,假设车辆当前的起始位姿为S(Xs,Ys,θs),停车位类型已知为平行车位,位置已知为E(Xe,Ye,θe),这时可以生成目标树路径和连接目标树的终点位姿G1-Gi,共Gi条路径,在Gi条泊车预测路径中,有的路径会因为路径的曲率过大,不满足车辆运动学模型约束,有的轨迹上存在障碍物,因而结合代价函数Cf,可以选取最优的路径。As shown in Figure 6, it is assumed that the current starting pose of the vehicle is S(Xs , Ys , θs ), the type of parking space is known as a parallel parking space, and the position is known as E(Xe , Ye , θe ), at this time, the target tree path and the end pose G1-Gi connecting the target tree can be generated. There are Gi paths in total. Among the Gi parking prediction paths, some paths will not satisfy the vehicle motion because the curvature of the path is too large. Due to the constraints of the learning model, there are obstacles on some trajectories, so combined with the cost function Cf , the optimal path can be selected.
结合代价函数Cf选取的最终如图7所示,则该路径就是最终的泊车路径。车辆跟踪该条路径泊入停车位。The final path selected in combination with the cost function Cf is shown in Figure 7, and the path is the final parking path. The vehicle follows the path and parks into the parking space.
不同起始位姿自主泊车路径规划实施方式:The implementation of autonomous parking path planning with different starting poses:
如图8所示,水平泊车时,从停车位生成多条路径(本图仅选取具有代表性的三条路径,车辆行驶到路径树终点时,与车位垂直,平行和呈一定夹角的三条轨迹),形成路径树,车辆从任意位姿,以路径树终点为采样点,形成多条路径,最后结合运动学约束,轨迹平滑度,障碍物约束以及轨迹长度等条件选出最优路径,图中假设短线-点划线所代表路径为最优路径,则车辆跟踪短线-点划线路径,然后跟踪与短线-点划线轨迹相连接目标树路径,泊入停车位。As shown in Figure 8, when parking horizontally, multiple paths are generated from the parking space (only three representative paths are selected in this figure, when the vehicle reaches the end of the path tree, three paths perpendicular to the parking space, parallel to the parking space and at a certain angle are selected. trajectories) to form a path tree, the vehicle forms multiple paths from any pose, taking the end point of the path tree as the sampling point, and finally selects the optimal path based on kinematic constraints, trajectory smoothness, obstacle constraints, and trajectory length. Assuming that the path represented by the short-dotted line is the optimal path, the vehicle tracks the short-dotted-dotted line path, and then tracks the target tree path connected to the short-dotted-dotted line trajectory, and parks in the parking space.
如图9所示,垂直泊车时,从停车位生成多条路径,形成目标路径树,车辆从任意位姿,以路径树终点为采样点,形成多条路径,最后结合运动学约束,轨迹平滑度,障碍物约束以及路径长度等条件选出最优路径,图中假设短线-点划线所代表路径为最优路径,则车辆跟踪短线-点划线路径,然后跟踪与短线-点划线轨迹相连接目标树路径,泊入停车位。As shown in Figure 9, when parking vertically, multiple paths are generated from the parking space to form a target path tree. The vehicle can form multiple paths from any pose and take the end point of the path tree as the sampling point. Finally, combined with kinematic constraints, the trajectory The optimal path is selected based on the conditions of smoothness, obstacle constraints and path length. Assuming that the path represented by the short-dotted line in the figure is the optimal path, the vehicle tracks the short-dashed-dotted line path, and then tracks the short-line-dotted line path. The line trajectory is connected to the target tree path, and the parking space is parked.
如图10所示,斜式泊车时,从停车位生成多条路径,形成目标路径树,车辆从任意位姿,以路径树终点为采样点,形成多条路径,最后结合运动学约束,轨迹平滑度,障碍物约束以及路径长度等条件选出最优路径,图中假设短线-点划线所代表路径为最优路径,则车辆跟踪短线-点划线路径,然后跟踪与短线-点划线轨迹相连接目标树路径,泊入停车位内。As shown in Figure 10, when inclined parking, multiple paths are generated from the parking space to form a target path tree. The vehicle forms multiple paths from any pose and takes the end point of the path tree as the sampling point. Finally, combined with kinematic constraints, The optimal path is selected based on conditions such as trajectory smoothness, obstacle constraints, and path length. Assuming that the path represented by the short-dotted line in the figure is the optimal path, the vehicle tracks the short-dotted line path, and then tracks the short-line-dotted line path. The scribed trajectory is connected to the target tree path and parked in the parking space.
本发明适用于多种泊车场景,图8,9,10分别示意了车辆以不同泊车位姿在平行停车位,垂直停车位和斜式停车位情况下应用本发明所得到的泊车路径。应当注意的是,本发明并非限定停车位周围障碍物为其他车辆,也可以是其他障碍物,本发明也并未限定停车位周围障碍物数量为1,其他数量的障碍物也适用于本发明应用场景,本发明对存在障碍物的路径生成情况并非仅针对平行停车位,也适用于垂直停车位和斜式停车位。The present invention is suitable for a variety of parking scenarios. Figures 8, 9 and 10 respectively illustrate the parking paths obtained by applying the present invention in parallel parking spaces, vertical parking spaces and inclined parking spaces for vehicles with different parking postures. It should be noted that the present invention does not limit the obstacles around the parking space to other vehicles, but also other obstacles. The present invention also does not limit the number of obstacles around the parking space to 1, and other numbers of obstacles are also applicable to the present invention. In the application scenario, the present invention is not only for parallel parking spaces, but also applies to vertical parking spaces and inclined parking spaces for the path generation with obstacles.
尽管上面对本发明说明性的具体实施方式进行了描述,以便于本技术领域的技术人员理解本发明,且应该清楚,本发明不限于具体实施方式的范围,对本技术领域的普通技术人员来讲,只要各种变化在所附的权利要求限定和确定的本发明的精神和范围内,这些变化是显而易见的,一切利用本发明构思的发明创造均在保护之列。Although illustrative specific embodiments of the present invention have been described above to facilitate understanding of the present invention by those skilled in the art, it should be clear that the present invention is not limited in scope to the specific embodiments, to those skilled in the art, As long as various changes are within the spirit and scope of the present invention as defined and determined by the appended claims, these changes are obvious, and all inventions and creations utilizing the inventive concept are included in the protection list.
| Application Number | Priority Date | Filing Date | Title |
|---|---|---|---|
| CN202010098379.XACN111307152B (en) | 2020-02-18 | 2020-02-18 | A Planning Method for Reverse Generation of Autonomous Parking Paths |
| Application Number | Priority Date | Filing Date | Title |
|---|---|---|---|
| CN202010098379.XACN111307152B (en) | 2020-02-18 | 2020-02-18 | A Planning Method for Reverse Generation of Autonomous Parking Paths |
| Publication Number | Publication Date |
|---|---|
| CN111307152Atrue CN111307152A (en) | 2020-06-19 |
| CN111307152B CN111307152B (en) | 2022-02-11 |
| Application Number | Title | Priority Date | Filing Date |
|---|---|---|---|
| CN202010098379.XAActiveCN111307152B (en) | 2020-02-18 | 2020-02-18 | A Planning Method for Reverse Generation of Autonomous Parking Paths |
| Country | Link |
|---|---|
| CN (1) | CN111307152B (en) |
| Publication number | Priority date | Publication date | Assignee | Title |
|---|---|---|---|---|
| CN111923902A (en)* | 2020-08-10 | 2020-11-13 | 华人运通(上海)自动驾驶科技有限公司 | Parking control method and device, electronic equipment and storage medium |
| CN111959498A (en)* | 2020-07-14 | 2020-11-20 | 重庆智行者信息科技有限公司 | Vertical parking method and device for automatically driving vehicle and vehicle |
| CN112477850A (en)* | 2020-11-27 | 2021-03-12 | 北京罗克维尔斯科技有限公司 | Parking path planning method and device, vehicle-mounted equipment and storage medium |
| CN112509375A (en)* | 2020-10-20 | 2021-03-16 | 东风汽车集团有限公司 | Parking dynamic display method and system |
| CN112606830A (en)* | 2020-12-29 | 2021-04-06 | 吉林大学 | Two-section type autonomous parking path planning method based on mixed A-star algorithm |
| CN112677959A (en)* | 2020-12-23 | 2021-04-20 | 广州小鹏自动驾驶科技有限公司 | Parking method and device |
| CN113483775A (en)* | 2021-06-30 | 2021-10-08 | 上海商汤临港智能科技有限公司 | Path prediction method and device, electronic equipment and computer readable storage medium |
| WO2022007227A1 (en)* | 2020-07-10 | 2022-01-13 | 广东小鹏汽车科技有限公司 | Automatic parking method and vehicle |
| CN114255594A (en)* | 2021-12-28 | 2022-03-29 | 吉林大学 | Autonomous passenger-riding parking motion planning and motion control method |
| CN114312757A (en)* | 2021-12-22 | 2022-04-12 | 华人运通(上海)自动驾驶科技有限公司 | Parking planning method based on four-wheel steering and vehicle |
| WO2022142592A1 (en)* | 2020-12-31 | 2022-07-07 | 华为技术有限公司 | Front-first parking method, device and system |
| CN114802212A (en)* | 2022-05-12 | 2022-07-29 | 北京主线科技有限公司 | Split type vehicle parking path planning method, device, equipment and medium |
| WO2022222401A1 (en)* | 2021-04-21 | 2022-10-27 | 阿波罗智联(北京)科技有限公司 | Valet parking method and apparatus, and device and autonomous driving vehicle |
| CN115871649A (en)* | 2022-12-22 | 2023-03-31 | 北斗星通智联科技有限责任公司 | A secondary parking path planning method, device and vehicle |
| CN116605211A (en)* | 2023-07-19 | 2023-08-18 | 广汽埃安新能源汽车股份有限公司 | Parking path planning method and device, electronic equipment and storage medium |
| CN117734676A (en)* | 2024-02-19 | 2024-03-22 | 知行汽车科技(苏州)股份有限公司 | Automatic parking method, device, equipment and storage medium |
| CN118665454A (en)* | 2023-03-15 | 2024-09-20 | 广州汽车集团股份有限公司 | Parking control method, device, vehicle and storage medium |
| CN119146971A (en)* | 2024-11-11 | 2024-12-17 | 纽劢科技(上海)有限公司 | Method and device for planning tracks in multiple modes of parking APA (advanced personal area application) combination form |
| Publication number | Priority date | Publication date | Assignee | Title |
|---|---|---|---|---|
| CN105035075A (en)* | 2015-06-24 | 2015-11-11 | 合肥中科自动控制系统有限公司 | Path planning method for autonomous parallel parking |
| CN105857306A (en)* | 2016-04-14 | 2016-08-17 | 中国科学院合肥物质科学研究院 | Vehicle autonomous parking path programming method used for multiple parking scenes |
| CN106515722A (en)* | 2016-11-08 | 2017-03-22 | 西华大学 | Vertical parking track planning method |
| US20170220045A1 (en)* | 2012-09-28 | 2017-08-03 | Waymo Llc | Methods and Systems for Transportation to Destinations by a Self-Driving Vehicle |
| US20190001967A1 (en)* | 2017-06-30 | 2019-01-03 | MAGNETI MARELLI S.p.A. | Path planning method for computing optimal parking maneuvers for road vehicles and corresponding system |
| CN109927716A (en)* | 2019-03-11 | 2019-06-25 | 武汉环宇智行科技有限公司 | Autonomous method of vertically parking based on high-precision map |
| Publication number | Priority date | Publication date | Assignee | Title |
|---|---|---|---|---|
| US20170220045A1 (en)* | 2012-09-28 | 2017-08-03 | Waymo Llc | Methods and Systems for Transportation to Destinations by a Self-Driving Vehicle |
| CN105035075A (en)* | 2015-06-24 | 2015-11-11 | 合肥中科自动控制系统有限公司 | Path planning method for autonomous parallel parking |
| CN105857306A (en)* | 2016-04-14 | 2016-08-17 | 中国科学院合肥物质科学研究院 | Vehicle autonomous parking path programming method used for multiple parking scenes |
| CN106515722A (en)* | 2016-11-08 | 2017-03-22 | 西华大学 | Vertical parking track planning method |
| US20190001967A1 (en)* | 2017-06-30 | 2019-01-03 | MAGNETI MARELLI S.p.A. | Path planning method for computing optimal parking maneuvers for road vehicles and corresponding system |
| CN109927716A (en)* | 2019-03-11 | 2019-06-25 | 武汉环宇智行科技有限公司 | Autonomous method of vertically parking based on high-precision map |
| Title |
|---|
| MINGBO DU.ETC: "An Improved RRT-based Motion Planner for Autonomous Vehicle in", 《2014 IEEE INTERNATIONAL CONFERENCE ON ROBOTICS & AUTOMATION (ICRA)》* |
| 杨妮娜,等: "平行泊车的路径规划方法及其仿真研究", 《电子测量技术》* |
| 王道斌,等: "两种自主泊车路径规划方法的对比研究", 《电子测量技术》* |
| Publication number | Priority date | Publication date | Assignee | Title |
|---|---|---|---|---|
| WO2022007227A1 (en)* | 2020-07-10 | 2022-01-13 | 广东小鹏汽车科技有限公司 | Automatic parking method and vehicle |
| CN111959498A (en)* | 2020-07-14 | 2020-11-20 | 重庆智行者信息科技有限公司 | Vertical parking method and device for automatically driving vehicle and vehicle |
| CN111923902A (en)* | 2020-08-10 | 2020-11-13 | 华人运通(上海)自动驾驶科技有限公司 | Parking control method and device, electronic equipment and storage medium |
| CN111923902B (en)* | 2020-08-10 | 2022-03-01 | 华人运通(上海)自动驾驶科技有限公司 | Parking control method and device, electronic equipment and storage medium |
| CN112509375A (en)* | 2020-10-20 | 2021-03-16 | 东风汽车集团有限公司 | Parking dynamic display method and system |
| CN112509375B (en)* | 2020-10-20 | 2022-03-08 | 东风汽车集团有限公司 | Parking dynamic display method and system |
| CN112477850A (en)* | 2020-11-27 | 2021-03-12 | 北京罗克维尔斯科技有限公司 | Parking path planning method and device, vehicle-mounted equipment and storage medium |
| CN112677959A (en)* | 2020-12-23 | 2021-04-20 | 广州小鹏自动驾驶科技有限公司 | Parking method and device |
| CN112606830A (en)* | 2020-12-29 | 2021-04-06 | 吉林大学 | Two-section type autonomous parking path planning method based on mixed A-star algorithm |
| CN112606830B (en)* | 2020-12-29 | 2023-12-29 | 吉林大学 | Two-section type autonomous parking path planning method based on mixed A-algorithm |
| WO2022142592A1 (en)* | 2020-12-31 | 2022-07-07 | 华为技术有限公司 | Front-first parking method, device and system |
| WO2022222401A1 (en)* | 2021-04-21 | 2022-10-27 | 阿波罗智联(北京)科技有限公司 | Valet parking method and apparatus, and device and autonomous driving vehicle |
| CN113483775A (en)* | 2021-06-30 | 2021-10-08 | 上海商汤临港智能科技有限公司 | Path prediction method and device, electronic equipment and computer readable storage medium |
| CN114312757A (en)* | 2021-12-22 | 2022-04-12 | 华人运通(上海)自动驾驶科技有限公司 | Parking planning method based on four-wheel steering and vehicle |
| CN114255594B (en)* | 2021-12-28 | 2024-03-15 | 吉林大学 | Autonomous passenger parking motion planning and motion control method |
| CN114255594A (en)* | 2021-12-28 | 2022-03-29 | 吉林大学 | Autonomous passenger-riding parking motion planning and motion control method |
| CN114802212A (en)* | 2022-05-12 | 2022-07-29 | 北京主线科技有限公司 | Split type vehicle parking path planning method, device, equipment and medium |
| CN115871649A (en)* | 2022-12-22 | 2023-03-31 | 北斗星通智联科技有限责任公司 | A secondary parking path planning method, device and vehicle |
| CN118665454A (en)* | 2023-03-15 | 2024-09-20 | 广州汽车集团股份有限公司 | Parking control method, device, vehicle and storage medium |
| CN116605211B (en)* | 2023-07-19 | 2023-09-26 | 广汽埃安新能源汽车股份有限公司 | Parking path planning method and device, electronic equipment and storage medium |
| CN116605211A (en)* | 2023-07-19 | 2023-08-18 | 广汽埃安新能源汽车股份有限公司 | Parking path planning method and device, electronic equipment and storage medium |
| CN117734676A (en)* | 2024-02-19 | 2024-03-22 | 知行汽车科技(苏州)股份有限公司 | Automatic parking method, device, equipment and storage medium |
| CN117734676B (en)* | 2024-02-19 | 2024-05-03 | 知行汽车科技(苏州)股份有限公司 | Automatic parking method, device, equipment and storage medium |
| CN119146971A (en)* | 2024-11-11 | 2024-12-17 | 纽劢科技(上海)有限公司 | Method and device for planning tracks in multiple modes of parking APA (advanced personal area application) combination form |
| CN119146971B (en)* | 2024-11-11 | 2025-04-29 | 纽劢科技(上海)有限公司 | A trajectory planning method and device for combining multiple parking APA modes |
| Publication number | Publication date |
|---|---|
| CN111307152B (en) | 2022-02-11 |
| Publication | Publication Date | Title |
|---|---|---|
| CN111307152B (en) | A Planning Method for Reverse Generation of Autonomous Parking Paths | |
| CN107702716B (en) | Unmanned driving path planning method, system and device | |
| CN113204236B (en) | An agent path tracking control method | |
| CN113895463B (en) | A U-turn Path Planning Method for Autonomous Driving Vehicles | |
| Li et al. | Time-optimal maneuver planning in automatic parallel parking using a simultaneous dynamic optimization approach | |
| CN109927716B (en) | Autonomous vertical parking method based on high-precision map | |
| CN102591332B (en) | Device and method for local path planning of pilotless automobile | |
| CN111845774A (en) | A dynamic trajectory planning and tracking method for autonomous vehicles based on horizontal and vertical coordination | |
| CN106515722A (en) | Vertical parking track planning method | |
| CN112462760A (en) | Double-steering-wheel AGV path tracking method | |
| CN107264534A (en) | Intelligent driving control system and method, vehicle based on driver experience's model | |
| CN104503451A (en) | Obstacle-avoidance automatic guidance method and automatic guided vehicle based on vision and ultrasonic sensing | |
| CN112577506B (en) | Automatic driving local path planning method and system | |
| CN110509923B (en) | Automatic driving path planning method, system, computer readable storage medium and vehicle | |
| Yi et al. | Smooth path planning for autonomous parking system | |
| CN116337045A (en) | High-speed map building navigation method based on karto and teb | |
| CN107323457B (en) | A kind of shared rotating direction control method of man-machine coordination | |
| CN119984306A (en) | Path planning method integrating improved A* algorithm and DWA algorithm | |
| CN119901288A (en) | Path planning method based on improved Hybrid A* algorithm and DWA algorithm | |
| CN117539242A (en) | A local path dynamic planning method integrating global smooth planning | |
| CN119146971B (en) | A trajectory planning method and device for combining multiple parking APA modes | |
| Zai et al. | Path planning for wheeled robots based on the fusion of improved A* and TEB algorithms | |
| Huy et al. | A practical and optimal path planning for autonomous parking using fast marching algorithm and support vector machine | |
| Chen et al. | A trajectory planning method considering intention-aware uncertainty for autonomous vehicles | |
| Zhao | Automatic parking planning control method based on improved A* algorithm |
| Date | Code | Title | Description |
|---|---|---|---|
| PB01 | Publication | ||
| PB01 | Publication | ||
| SE01 | Entry into force of request for substantive examination | ||
| SE01 | Entry into force of request for substantive examination | ||
| GR01 | Patent grant | ||
| GR01 | Patent grant |