Movatterモバイル変換


[0]ホーム

URL:


CN111292085A - Transaction risk assessment method, device, equipment and computer-readable storage medium - Google Patents

Transaction risk assessment method, device, equipment and computer-readable storage medium
Download PDF

Info

Publication number
CN111292085A
CN111292085ACN201811505109.5ACN201811505109ACN111292085ACN 111292085 ACN111292085 ACN 111292085ACN 201811505109 ACN201811505109 ACN 201811505109ACN 111292085 ACN111292085 ACN 111292085A
Authority
CN
China
Prior art keywords
transaction
network order
risk score
user
related data
Prior art date
Legal status (The legal status is an assumption and is not a legal conclusion. Google has not performed a legal analysis and makes no representation as to the accuracy of the status listed.)
Granted
Application number
CN201811505109.5A
Other languages
Chinese (zh)
Other versions
CN111292085B (en
Inventor
黄泽香
Current Assignee (The listed assignees may be inaccurate. Google has not performed a legal analysis and makes no representation or warranty as to the accuracy of the list.)
Beijing Didi Infinity Technology and Development Co Ltd
Original Assignee
Beijing Didi Infinity Technology and Development Co Ltd
Priority date (The priority date is an assumption and is not a legal conclusion. Google has not performed a legal analysis and makes no representation as to the accuracy of the date listed.)
Filing date
Publication date
Application filed by Beijing Didi Infinity Technology and Development Co LtdfiledCriticalBeijing Didi Infinity Technology and Development Co Ltd
Priority to CN201811505109.5ApriorityCriticalpatent/CN111292085B/en
Publication of CN111292085ApublicationCriticalpatent/CN111292085A/en
Application grantedgrantedCritical
Publication of CN111292085BpublicationCriticalpatent/CN111292085B/en
Activelegal-statusCriticalCurrent
Anticipated expirationlegal-statusCritical

Links

Images

Classifications

Landscapes

Abstract

The invention provides a method, a device, equipment and a computer-readable storage medium for transaction risk assessment, wherein the method comprises the following steps: if it is monitored that the user equipment submits the current network order, acquiring transaction safety related data of the user before payment of the current network order and transaction safety related data of the user during payment of the previous network order; the method comprises the steps of calculating transaction risk scores during current network order payment according to transaction safety related data before the current network order payment of a user, transaction safety related data during the previous network order payment of the user and a preset transaction risk score model, determining whether to carry out the payment of the current network order according to the transaction risk scores during the current network order payment, calculating the transaction risk scores when a user terminal submits the network order, carrying out transaction risk assessment in advance, realizing asynchronization of the network order payment and the transaction risk assessment, and greatly improving the efficiency of the transaction risk assessment.

Description

Transaction risk assessment method, device, equipment and computer-readable storage medium
Technical Field
The embodiment of the invention relates to the technical field of big data processing, in particular to a method, a device and equipment for transaction risk assessment and a computer-readable storage medium.
Background
With the continuous development of the internet and the continuous progress of the economy, the daily services provided for people have been shifted from off-line to on-line. People shop, get a car, wash a car, order food, hire an employee and the like through the network software. In doing these online activities, people need to submit network orders and make network payments before or after completing the corresponding services.
To maintain the interests of the consumer, the network software will perform the assessment and control of transaction risk before the consumer makes a network payment. The control of the transaction risk is to judge whether the account number of the network software of the consumer is stolen, and if so, the loss stopping action is carried out in time.
The existing transaction risk assessment method is to acquire data in real time and calculate the data in real time when a consumer carries out network payment, but because the hit network software generates PB-level mass data every day and simultaneously a large number of users concurrently access the network software every day, the existing transaction risk assessment method needs to access a large amount of data in real time and calculate a large amount of data in real time when each consumer carries out network payment, and further the efficiency of transaction risk assessment is low.
Disclosure of Invention
The embodiment of the invention provides a transaction risk assessment method, a transaction risk assessment device, transaction risk assessment equipment and a computer-readable storage medium, and the method solves the technical problem that the existing transaction risk assessment method needs to access a large amount of data in real time and calculate a large amount of data in real time when each consumer carries out network payment, so that the efficiency of transaction risk assessment is low.
In a first aspect, an embodiment of the present invention provides a method for transaction risk assessment, including:
if it is monitored that the user equipment submits the current network order, acquiring transaction safety related data of the user before payment of the current network order and transaction safety related data of the user during payment of the previous network order;
calculating a transaction risk score when the current network order is paid according to the transaction safety related data before the current network order of the user is paid, the transaction safety related data when the previous network order of the user is paid and a preset transaction risk score model;
and determining whether to pay the current network order according to the transaction risk score when the current network order is paid.
In a second aspect, an embodiment of the present invention provides an apparatus for transaction risk assessment, including:
the data acquisition unit is used for acquiring transaction safety related data before payment of a current network order of a user and transaction safety related data when payment of a previous network order of the user is monitored if the fact that the user equipment submits the current network order is monitored;
and the score calculating unit is used for calculating the transaction risk score when the current network order is paid according to the transaction safety related data before the current network order of the user is paid, the transaction safety related data when the previous network order of the user is paid and a preset transaction risk score model.
And the payment determining unit is used for determining whether to pay the current network order according to the transaction risk score when the current network order is paid.
In a third aspect, an embodiment of the present invention provides a network-side device, a memory, a processor, and a computer program;
wherein the computer program is stored in the memory and configured to be executed by the processor to implement the method as described in the first aspect above.
In a fourth aspect, an embodiment of the present invention provides a computer-readable storage medium, on which a computer program is stored, the computer program being executed by a processor to implement the method according to the first aspect.
The embodiment of the invention provides a method, a device, equipment and a computer readable storage medium for transaction risk assessment, wherein if it is monitored that user equipment submits a current network order, transaction safety related data before payment of the current network order of a user and transaction safety related data when payment of a previous network order of the user are obtained; and calculating the transaction risk score when the current network order is paid according to the transaction safety related data before the current network order of the user is paid, the transaction safety related data when the previous network order of the user is paid and a preset transaction risk score model, and determining whether to pay the current network order according to the transaction risk score when the current network order is paid. The transaction risk score can be calculated when the user terminal submits the network order, so that the transaction risk evaluation is carried out in advance, the asynchronization of the network order payment and the transaction risk evaluation is realized, and the transaction risk evaluation efficiency is greatly improved.
It should be understood that what is described in the summary above is not intended to limit key or critical features of embodiments of the invention, nor is it intended to limit the scope of the invention. Other features of the present invention will become apparent from the following description.
Drawings
In order to more clearly illustrate the embodiments of the present invention or the technical solutions in the prior art, the drawings needed to be used in the description of the embodiments or the prior art will be briefly introduced below, and it is obvious that the drawings in the following description are some embodiments of the present invention, and for those skilled in the art, other drawings can be obtained according to these drawings without creative efforts.
Fig. 1 is an application scenario diagram of a transaction risk assessment method according to an embodiment of the present invention;
FIG. 2 is a flowchart of a transaction risk assessment method according to an embodiment of the present invention;
FIG. 3 is a flowchart of a transaction risk assessment method according to a second embodiment of the present invention;
fig. 4 is a schematic structural diagram of a transaction risk assessment apparatus according to a third embodiment of the present invention;
fig. 5 is a schematic structural diagram of a transaction risk assessment apparatus according to a fourth embodiment of the present invention;
fig. 6 is a schematic structural diagram of a network-side device according to a fifth embodiment of the present invention.
Detailed Description
Embodiments of the present invention will be described in more detail below with reference to the accompanying drawings. While certain embodiments of the present invention are shown in the drawings, it should be understood that the present invention may be embodied in various forms and should not be construed as limited to the embodiments set forth herein, but rather are provided for a more thorough and complete understanding of the present invention. It should be understood that the drawings and the embodiments of the present invention are illustrative only and are not intended to limit the scope of the present invention.
The terms "first," "second," "third," "fourth," and the like in the description and in the claims, and in the above-described drawings, if any, are used for distinguishing between similar elements and not necessarily for describing a particular sequential or chronological order. It is to be understood that the data so used are interchangeable under appropriate circumstances such that the embodiments of the invention described herein are, for example, capable of operation in sequences other than those illustrated or otherwise described herein. Furthermore, the terms "comprises," "comprising," and "having," and any variations thereof, are intended to cover a non-exclusive inclusion, such that a process, method, system, article, or apparatus that comprises a list of steps or elements is not necessarily limited to those steps or elements expressly listed, but may include other steps or elements not expressly listed or inherent to such process, method, article, or apparatus.
In order to clearly understand the technical solution of the present application, terms referred to in the present application are explained below.
Network software: the network software related to the embodiment of the invention is the network software which can buy and sell the service or the goods on line and pay on line after consuming the service or receiving the goods. Such as shopping software, taxi taking software, car washing software, moving software, food ordering software, employment hour work software, etc.
Network order form: the network software is adopted to make orders of taking a car, washing a car, moving a house, ordering food, hiring an employee and the like. The information included in the order is: information on purchased services or goods, purchaser information, time of purchase, and the like.
Status events of network orders: the corresponding event when the order state changes from submission to payment of the network order. The status events of each type of network order are different according to the type of the network order. For taxi taking software, the status events of the corresponding network orders include: the passenger submits a car-taking order event, a passenger getting-on event, a passenger getting-off event, a driver finishes a passenger-carrying event and a passenger pays an event on line. For shopping software, the corresponding network order status event includes: the consumer submits a shopping order event, a delivery event, a receiving event and a goods online payment event.
Fig. 1 is an application scenario diagram of a transaction risk assessment method according to an embodiment of the present invention, and as shown in fig. 1, when a user performs operations such as shopping, taking a car, washing a car, ordering a meal, hiring an employee, and the like through network software, the transaction risk assessment method according to the embodiment submits a network order by clicking a button for submitting the network order. If it is monitored that the user equipment submits the current network order, the method for evaluating the transaction risk of the embodiment of the invention is carried out. Specifically, if it is monitored that the user equipment submits the current network order, the transaction safety related data before the payment of the current network order of the user and the transaction safety related data when the payment of the previous network order of the user are obtained; calculating a transaction risk score when the current network order is paid according to transaction safety related data before the current network order of the user is paid, transaction safety related data when the previous network order of the user is paid and a preset transaction risk score model; and determining whether to pay the current network order according to the transaction risk score when the current network order is paid. Namely, before or after completing the corresponding service, when the network payment is needed, the user opens a network payment interface, if the transaction risk score during the current network order payment determines that the payment of the current network order cannot be carried out, when the user clicks an 'immediate payment' button, the payment cannot be carried out, and a risk prompt is sent to the user. If the transaction risk score during the current network order payment determines that the current network order payment can be carried out, the payment can be carried out when the user clicks an 'immediate payment' key. The transaction risk assessment method provided by the embodiment of the invention can calculate the transaction risk score when the user terminal submits the network order, so that the assessment of the transaction risk is carried out in advance, the asynchronization of the network order payment and the transaction risk assessment is realized, and the efficiency of the transaction risk assessment is greatly improved.
The following describes a method, an apparatus, a network device and a computer-readable storage medium for transaction risk assessment according to embodiments of the present invention.
Example one
Fig. 2 is a flowchart of a transaction risk assessment method according to an embodiment of the present invention, and as shown in fig. 2, an execution subject of this embodiment is a transaction risk assessment device, the transaction risk assessment device may be integrated on a network-side device, and the network-side device may be a computer, a server, or other devices with independent computing and processing capabilities, and then the transaction risk assessment method according to this embodiment includes the following steps.
Step 101, if it is monitored that the user equipment submits the current network order, acquiring transaction safety related data of the user before payment of the current network order and transaction safety related data of the user during payment of the previous network order.
Specifically, in this embodiment, whether the user terminal submits the current network order is monitored in real time, and if it is monitored that the user terminal submits the current network order, the transaction safety related data of the user before payment of the current network order and the transaction safety related data of the user when payment of the previous network order are obtained.
The related data of transaction safety is data influencing the payment safety of the network order. The transaction security related data prior to payment of the current network order may include: user equipment network data, user region data and time data before payment of the current network order. Wherein the user equipment network data may include: user equipment code information, user equipment model information, user equipment communication number information, user equipment IP address information, user equipment Wi-Fi information and the like. The user zone data for the network order may include: POI information of the user, city information of the user and the like. Similarly, the transaction security related data at the time of payment of the previous network order may include: user equipment network data, user territory data and time data at the time of payment of the previous network order.
In this embodiment, since the submitting of the network order is submitted by the user through the user terminal, the method for acquiring the transaction security related data before payment of the current network order of the user may be: and collecting user equipment network data, user region data and time data in a user terminal where the network software is located.
In this embodiment, the method for obtaining the transaction security related data of the user during payment of the previous network order may be: and acquiring user equipment network data, user region data and time data in the user terminal when the user pays the previous network order. And finally, acquiring the related data of the transaction safety when the user pays the previous network order according to the identification information.
It can be understood that, in this embodiment, the obtained transaction security related data before the payment of the current network order of the user may be the current network order transaction security related data when any one state event occurs before the occurrence of the network order payment state event. And if the taxi taking software is used, acquiring the related data of the transaction safety when the current network order is submitted, or acquiring the related data of the transaction safety when the current network order passenger gets on the taxi, or acquiring the related data of the transaction safety when the current network order passenger gets off the taxi.
102, calculating a transaction risk score when the current network order is paid according to the transaction safety related data before the current network order of the user is paid, the transaction safety related data when the previous network order of the user is paid and a preset transaction risk score model.
Specifically, in this embodiment, the calculating of the transaction risk score when the current network order is paid according to the transaction safety related data before the current network order of the user is paid, the transaction safety related data when the previous network order of the user is paid, and the preset transaction risk score model may be: comparing each transaction safety related data before the payment of the current network order of the user with the corresponding transaction safety related data when the previous network order is paid, determining the score corresponding to each transaction safety related data in the current network order according to the comparison result, and inputting the score into a preset transaction risk score model for weighted summation calculation to obtain the transaction risk score when the current network order is paid.
Or, in this embodiment, the calculating of the transaction risk score when the current network order is paid according to the transaction safety related data before the current network order of the user is paid, the transaction safety related data when the previous network order of the user is paid, and the preset transaction risk score model may further be: comparing each transaction safety related data of the user before the current network order payment with transaction safety related data corresponding to the historical network order of the user, determining a transaction risk score of each transaction safety related data of the user before the current network order payment according to a comparison result, and performing weighted summation calculation on the transaction risk score of each transaction safety related data of the user before the current network order payment to obtain a first transaction risk score; then, comparing each transaction safety related data when the previous network order of the user pays with the transaction safety related data corresponding to the historical network order of the user, determining the transaction risk score of each transaction safety related data when the previous network order of the user pays according to the comparison result, carrying out weighted summation calculation on the transaction risk score of each transaction safety related data when the previous network order of the user pays, obtaining a second transaction risk score, inputting the first transaction risk score and the second transaction risk score into a preset transaction risk score model, and calculating the transaction risk score when the current network order pays.
It can be understood that, in this embodiment, the method for calculating the transaction risk score during the current network order payment according to the transaction security related data before the current network order payment of the user, the transaction security related data during the previous network order payment of the user, and the preset transaction risk score model may also be other methods, which is not limited in this embodiment.
And 103, determining whether to pay the current network order according to the transaction risk score when the current network order is paid.
Specifically, in this embodiment, after the transaction risk score when the current network order is paid is calculated, the transaction risk level when the current network order is paid can be determined according to the score range of the preset risk level, and whether the current network order is paid or not can be determined according to the transaction risk level when the current network order is paid.
The preset risk level can be classified into a low risk level, a medium risk level and a high risk level.
In the method for evaluating transaction risk provided by this embodiment, if it is monitored that the user equipment submits the current network order, the transaction safety related data before payment of the current network order of the user and the transaction safety related data when payment of the previous network order of the user are obtained; and calculating the transaction risk score when the current network order is paid according to the transaction safety related data before the current network order of the user is paid, the transaction safety related data when the previous network order of the user is paid and a preset transaction risk score model, and determining whether to pay the current network order according to the transaction risk score when the current network order is paid. The transaction risk score can be calculated when the user terminal submits the network order, so that the transaction risk evaluation is carried out in advance, the asynchronization of the network order payment and the transaction risk evaluation is realized, and the transaction risk evaluation efficiency is greatly improved.
Example two
Fig. 3 is a flowchart of a transaction risk assessment method according to a second embodiment of the present invention, and as shown in fig. 3, the transaction risk assessment method according to the present embodiment is further detailed in steps 101 to 102 on the basis of the first transaction risk assessment method according to the first embodiment of the present invention, and an application scenario is taken as an internet taxi taking scenario in the present embodiment for description. The method for transaction risk assessment provided by the present embodiment includes the following steps.
Step 201, if it is monitored that the user equipment submits the current network order, acquiring the transaction safety related data of the user before payment of the current network order and the transaction safety related data of the user during payment of the previous network order.
Further, in this embodiment, the transaction safety related data of the network order at least includes: user equipment network data of the network order, user region data of the network order and time data of the network order.
Wherein, the user equipment network data of the network order at least comprises: the information of the user equipment code, the information of the user equipment model, the information of the user equipment communication number, the information of the IP address of the user equipment and the Wi-Fi information of the user equipment; the user territory data of the network order at least comprises: POI information of the user and city information of the user.
Further, in this embodiment, the obtained transaction safety related data of the user before payment of the current network order is the transaction safety related data when the current network order of the user is submitted.
Step 202, transaction safety related data of historical network orders of the user are obtained.
Further, in this embodiment, the historical network orders of the user are network orders within a latest preset time period when the user has completed the transaction before submitting the current network order. The transaction safety related data of the historical network orders of the user is the data which is placed in the historical network orders of the user and related to the transaction safety.
The last preset time period may be a last half year, a last year, or other suitable time period, which is not limited in this embodiment.
Specifically, in this embodiment, when the user's historical network order completes payment, the data related to the transaction security of the user's network order is collected by collecting the user device network data, the user region data, and the time data of the user terminal, and after the data related to the transaction security of the historical network order is collected, the data may be stored in the database, and the data related to the transaction security of the historical network order of the user may be obtained from the stored database as needed.
Step 203, calculating a first transaction risk score according to the transaction safety related data before the payment of the current network order of the user and the transaction safety related data of the historical network order of the user.
Further, in this embodiment, calculating the first transaction risk score according to the transaction safety related data of the current network order of the user before payment and the transaction safety related data of the historical network order of the user specifically includes:
firstly, comparing the transaction safety related data of each current network order of the user before payment with the transaction safety related data of the corresponding historical network order.
And secondly, determining the transaction risk score of the transaction safety related data of each item before the current network order of the user is paid according to the comparison result.
And thirdly, calculating a first transaction risk score according to the transaction risk score of each transaction safety related data before the current network order of the user is paid and a preset transaction risk score submodel.
Preferably, in this embodiment, the calculating a first transaction risk score according to the transaction risk score of each transaction security related data before payment of the current network order of the user and a preset transaction risk score submodel specifically includes:
and inputting the transaction risk score of each transaction safety related data before the current network order of the user is paid into a preset transaction risk score submodel for weighted summation calculation so as to obtain a first transaction risk score.
Specifically, in this embodiment, first, statistics is performed on each transaction safety related data of a historical network order of a user, a situation of each transaction safety related data of the user within a recent preset time period is counted, then each transaction safety related data before payment of a current network order of the user is compared with the transaction safety related data of a corresponding historical network order, whether each transaction safety related data before payment of the current network order meets a corresponding transaction risk condition is judged according to a comparison result, if a certain transaction safety related data meets the corresponding transaction risk condition, a transaction risk score of the transaction safety related data before payment of the current network order of the user is determined as a transaction risk hit score, and if a certain transaction safety related data does not meet the corresponding transaction risk condition, a transaction risk score of the transaction safety related data before payment of the current network order of the user is determined as a transaction risk non-hit score And (4) scoring the hits. And inputting the score corresponding to each item of transaction safety related data of the user before the payment of the current network order into a preset transaction risk score submodel for weighted summation calculation so as to obtain a first transaction risk score.
The transaction risk condition, hit score, non-hit score, weight and other information corresponding to each transaction safety-related data may be represented as shown in table 1.
Wherein, in the risk condition of trading, the historical number of IP addresses commonly used, the historical number of Wi-Fi commonly used can be 4, the historical number of equipment codes commonly used, the historical number of equipment models commonly used, the historical number of communication numbers commonly used can be 3, the historical POI commonly used can be 6, the time interval can be in the morning: 0: 00-5: 00. The number and the time period of the historical common transaction safety related data may also be other values, which is not limited in this embodiment. The score and weight of each transaction safety-related data hit are determined after statistical learning of a large amount of data, and may be other numerical values, which is not limited in this embodiment.
The preset transaction risk score submodel can be expressed as shown in formula (1).
Figure BDA0001899237990000091
Wherein the value of k is 1 to n, n is the total number of items of the transaction safety related data for judgment, and in table 1, the value of n is 11. WkWeight corresponding to the k-th transaction safety-related data, XkAnd scoring corresponding to the k-th transaction safety related data.
In the embodiment, when the first transaction risk score is calculated according to the transaction safety related data before the payment of the current network order of the user and the transaction safety related data of the historical network order of the user, each transaction safety related data before the payment of the current network order of the user is respectively compared with the transaction safety related data of the corresponding historical network order; determining the transaction risk score of the transaction safety related data of each item before the current network order of the user is paid according to the comparison result; and calculating a first transaction risk score according to the transaction risk score of each transaction safety related data before the current network order of the user is paid and a preset transaction risk score submodel, so that the calculated first transaction risk score is more accurate.
Table 1: transaction risk condition, score and weight corresponding to each transaction safety related data
Figure BDA0001899237990000101
And step 204, calculating a second transaction risk score according to the transaction safety related data when the previous network order of the user pays and the transaction safety related data of the historical network order of the user.
Further, in this embodiment, calculating the second transaction risk score according to the transaction safety related data of the previous network order paid by the user and the transaction safety related data of the historical network order of the user specifically includes:
firstly, comparing each item of transaction safety related data of the previous network order of the user when the user pays with the transaction safety related data of the corresponding historical network order.
And secondly, determining the transaction risk score of the transaction safety related data of each item when the previous network order of the user pays according to the comparison result.
And finally, calculating a second transaction risk score according to the transaction risk score of each transaction safety related data when the previous network order of the user is paid and a preset transaction risk score submodel.
Preferably, in this embodiment, the calculating a second transaction risk score according to the transaction risk score of each transaction security related data when the user pays the previous network order and a preset transaction risk score submodel specifically includes:
and inputting the transaction risk score of each transaction safety related data when the previous network order of the user is paid into a preset transaction risk score submodel for weighted summation calculation so as to obtain a second transaction risk score.
Similarly, in this embodiment, first, each transaction safety related data of the historical network order is counted, a situation of each transaction safety related data of the user in a recent preset time period is counted, then, each transaction safety related data when the previous network order of the user pays is compared with the transaction safety related data of the corresponding historical network order, whether each transaction safety related data when the previous network order pays satisfies a corresponding transaction risk condition is judged according to a comparison result, if a certain transaction safety related data satisfies the corresponding transaction risk condition, a transaction risk score of the transaction safety related data when the previous network order of the user pays is determined as a transaction risk hit score, and if a certain transaction safety related data does not satisfy the corresponding transaction risk condition, a transaction risk score of the transaction safety related data when the previous network order of the user pays is determined as a transaction risk non-hit score . And inputting the score corresponding to each transaction safety related data when the previous network order of the user is paid into a preset transaction risk score submodel for weighted summation calculation so as to obtain a second transaction risk score.
The transaction risk condition, hit score, non-hit score, weight and other information corresponding to each transaction safety-related data may be represented as shown in table 1. The preset transaction risk score submodel is represented by formula (1), and is not described in detail herein.
In this embodiment, when the second transaction risk score is calculated according to the transaction safety related data of the previous network order of the user when the user pays and the transaction safety related data of the historical network order of the user, each transaction safety related data of the previous network order of the user when paying is compared with the transaction safety related data of the corresponding historical network order; determining the transaction risk score of each transaction safety related data when the previous network order of the user pays according to the comparison result; and calculating a second transaction risk score according to the transaction risk score of each transaction safety related data when the previous network order of the user is paid and a preset transaction risk score submodel, so that the calculated second transaction risk score is more accurate.
Step 205, calculating the transaction risk score when the current network order is paid according to the first transaction risk score, the second transaction risk score and a preset transaction risk score model.
Preferably, in this embodiment, calculating the transaction risk score when the current network order is paid according to the first transaction risk score, the second transaction risk score and a preset transaction risk score model specifically includes:
and inputting the first transaction risk score and the second transaction risk score into a preset transaction risk score model for weighted summation calculation so as to obtain the transaction risk score when the current network order is paid.
The preset transaction risk score model can be expressed as shown in formula (2).
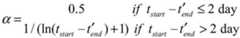
G(X′end,Xstart)=F(X′end)×α+F(Xstart)×(1-α) (2)
Wherein,
Figure BDA0001899237990000121
wherein, F (X'end) Is the second transaction risk score, α is the weight corresponding to the second transaction risk score, F (X)start) Is the first transaction risk score, (1- α) is the weight corresponding to the first transaction risk score tstartTime of submission for current network order, XstartSubmitting a score, t ', of corresponding transaction security-related data for a current network order'endTime at which Payment for the previous network order, X'endScoring of transaction security related data when paying for a previous network order.
And step 206, determining whether to pay the current network order according to the transaction risk score when the current network order is paid.
Specifically, in this embodiment, after the transaction risk score when the current network order is paid is calculated, the risk level may be divided according to the transaction risk score when the current network order is paid, and whether to pay the current network order is determined according to the divided risk level.
The method for dividing the risk level according to the transaction risk score during the current network order payment can be used for setting a score range of each risk level, comparing the transaction risk score during the current network order payment with each score range, and determining the level information corresponding to the score range into which the transaction risk score during the current network order payment falls.
Determining whether to pay the current network order according to the risk level when the current network order is paid can be: and if the risk level of the current network order during payment is a low risk level, performing payment of the current network order. And if the risk level of the current network order during payment is a medium level or a high level, determining not to pay the current network order, namely rejecting the payment operation of the user equipment, and sending a prompt message or performing telephone confirmation to the user equipment.
Step 207, when each order state event before the current network order payment occurs, judging whether the safety related data of each transaction before the current network order payment of the user is updated, if so, executing step 208, otherwise, ending.
In the network taxi taking scene, each order state event before the current network order payment is respectively as follows: the event that the passenger gets on the bus, the event that the passenger gets off the bus and the event that the driver finishes carrying passengers. In this embodiment, when the passenger getting-on event, the passenger getting-off event, and the driver finish the passenger loading event, each transaction safety related data before the payment of the current network order is obtained again, each transaction safety related data before the payment of the current network order obtained again is compared with each transaction safety related data before the payment of the current network order obtained before, whether one or more transaction safety related data are updated is determined, and if yes, step 207 is executed.
Step 208, determining whether the first transaction risk score changes, if so, performing step 209, otherwise, ending.
Further, in this embodiment, if one or more transaction safety related data before the current network order is paid is updated, whether the hit result is the same as the original hit result is determined according to the corresponding transaction risk condition, and then whether the first transaction risk score is changed is determined according to the preset transaction risk score sub-model.
Step 209, update the transaction risk score at the time of payment of the current network order.
Further, in this embodiment, if the first transaction risk score changes, the transaction risk score when the current network order is paid is updated.
In the method for evaluating transaction risk provided by this embodiment, if it is monitored that the user equipment submits the current network order, the transaction security related data before payment of the current network order of the user and the transaction security related data when the previous network order of the user is paid are obtained, the transaction security related data of the historical network order of the user are obtained, the first transaction risk score is calculated according to the transaction security related data before payment of the current network order of the user and the transaction security related data of the historical network order of the user, the second transaction risk score is calculated according to the transaction security related data when payment of the previous network order of the user and the transaction security related data of the historical network order of the user, the transaction risk score when payment of the current network order is calculated according to the first transaction risk score, the second transaction risk score and a preset transaction risk score model, whether the payment of the current network order is carried out or not is determined according to the transaction risk score when the current network order is paid, so that the efficiency of transaction risk assessment can be greatly improved, and the accuracy of the transaction risk assessment can be improved because the transaction safety related data before the payment of the current network order of the user and the transaction safety related data when the payment of the previous network order of the user are respectively compared with the transaction safety related data of the historical network order of the user, and the transaction risk score when the payment of the current network order is carried out is calculated through a more optimized preset transaction risk score model.
In the transaction risk evaluation method provided by this embodiment, after the transaction risk score during the current network order payment is calculated according to the first transaction risk score, the second transaction risk score and the preset transaction risk score model, whether each transaction safety related data of the user before the current network order payment is updated when each order state event before the current network order payment occurs is judged, if yes, whether the first transaction risk score changes is judged, and if yes, the transaction risk score during the current network order payment is updated. The final transaction risk score can be more accurate as the transaction risk score is continuously updated.
EXAMPLE III
Fig. 4 is a schematic structural diagram of a transaction risk assessment device according to a third embodiment of the present invention, and as shown in fig. 4, the transactionrisk assessment device 30 according to the present embodiment includes: adata acquisition unit 31, ascore calculation unit 32, and apayment determination unit 33.
Thedata obtaining unit 31 is configured to, if it is monitored that the user equipment submits the current network order, obtain transaction safety related data of the user before payment of the current network order and transaction safety related data of the user when payment of a previous network order is performed. And thescore calculating unit 32 is configured to calculate a transaction risk score when the current network order is paid according to the transaction security related data before the current network order of the user is paid, the transaction security related data when the previous network order of the user is paid, and a preset transaction risk score model. And apayment determining unit 33, configured to determine whether to perform payment for the current network order according to the transaction risk score when the current network order is paid.
The device for transaction risk assessment provided in this embodiment may implement the technical solution of the method embodiment shown in fig. 1, and the implementation principle and technical effect are similar, which are not described herein again.
Example four
Fig. 5 is a schematic structural diagram of a transaction risk assessment apparatus according to a fourth embodiment of the present invention, and as shown in fig. 5, the transactionrisk assessment apparatus 40 according to the present embodiment further includes, on the basis of the first embodiment of the transaction risk assessment apparatus according to the present invention: a data update judging unit 41, a first scorechange judging unit 42, and a totalscore updating unit 43.
In this embodiment, the transaction security related data of the network order at least includes: user equipment network data of the network order, user region data of the network order and time data of the network order. Wherein, the user equipment network data of the network order at least comprises: the information of the user equipment code, the information of the user equipment model, the information of the user equipment communication number, the information of the IP address of the user equipment and the Wi-Fi information of the user equipment; the user territory data of the network order at least comprises: POI information of the user and city information of the user.
Further, thedata obtaining unit 31 is further configured to obtain transaction security related data of the historical network orders of the user.
Further, the score calculating unit specifically includes: a firstscore calculating module 321, a secondscore calculating module 322, and a totalscore calculating module 323.
The firstscore calculating module 321 is configured to calculate a first transaction risk score according to transaction security related data of a current network order of the user before payment and transaction security related data of a historical network order of the user. The secondscore calculating module 322 is configured to calculate a second transaction risk score according to the transaction security related data of the previous network order paid by the user and the transaction security related data of the historical network order of the user. And the totalscore calculating module 323 is used for calculating the transaction risk score when the current network order is paid according to the first transaction risk score, the second transaction risk score and a preset transaction risk score model.
Further, in this embodiment, the firstscore calculating module 321 specifically includes: afirst comparison sub-module 3211, afirst determination sub-module 3212, and a firstscore calculation sub-module 3213.
Thefirst comparison sub-module 3211 is configured to compare each item of transaction security related data of the current network order of the user before payment with transaction security related data of a corresponding historical network order. The first determiningsubmodule 3212 is configured to determine, according to the comparison result, a transaction risk score of each item of transaction safety-related data before payment of the current network order of the user. The firstscore calculating submodule 3213 is configured to calculate a first transaction risk score according to the transaction risk score of each item of transaction security related data before payment of the current network order of the user and a preset transaction risk score submodel.
Further, in this embodiment, the first score calculating sub-module 3213 is specifically configured to: and inputting the transaction risk score of each transaction safety related data before the current network order of the user is paid into a preset transaction risk score submodel for weighted summation calculation so as to obtain a first transaction risk score.
Further, in this embodiment, the second score calculating module specifically includes: asecond comparison sub-module 3221, asecond determination sub-module 3222, and a secondscore calculation sub-module 3223.
The second comparing sub-module 3221 is configured to compare the transaction security related data of each previous network order paid by the user with the transaction security related data of the corresponding historical network order. The second determining sub-module 3222 is configured to determine, according to the comparison result, a transaction risk score of each item of transaction safety-related data when the previous network order of the user is paid. The second score calculating sub-module 3223 is configured to calculate a second transaction risk score according to the transaction risk score of each item of transaction safety related data when the previous network order of the user pays and a preset transaction risk score sub-model.
Further, the second score calculating sub-module 3223 is specifically configured to: and inputting the transaction risk score of each transaction safety related data when the previous network order of the user is paid into a preset transaction risk score submodel for weighted summation calculation so as to obtain a second transaction risk score.
Further, in this embodiment, the totalscore calculating module 323 is specifically configured to: and inputting the first transaction risk score and the second transaction risk score into a preset transaction risk score model for weighted summation calculation so as to obtain the transaction risk score when the current network order is paid.
Further, the data updating and determining unit 41 is configured to determine whether each item of transaction security related data of the user before the current network order is paid is updated when each order status event before the current network order is paid occurs. The first scorechange determining unit 42 is configured to determine whether the first transaction risk score changes if one or more transaction security related data are updated before the current network order is paid. And a totalscore updating unit 43, configured to update the transaction risk score when the current network order is paid if the first transaction risk score changes.
The device for transaction risk assessment provided in this embodiment may implement the technical solution of the method embodiment shown in fig. 2, and the implementation principle and technical effect are similar, which are not described herein again.
EXAMPLE five
Fig. 6 is a schematic structural diagram of a network-side device according to a fifth embodiment of the present invention, and as shown in fig. 6, a network-side device 50 according to this embodiment includes: a memory 51, aprocessor 52 and a computer program.
Wherein the computer program is stored in the memory 51 and configured to be executed by theprocessor 52 to implement the method for transaction risk assessment provided by the first embodiment of the present invention or the method for transaction risk assessment provided by the second embodiment of the present invention.
The relevant description may be understood by referring to the relevant description and effect corresponding to the steps in fig. 1 to fig. 2, and redundant description is not repeated here.
EXAMPLE six
A sixth embodiment of the present invention provides a computer-readable storage medium, on which a computer program is stored, where the computer program is executed by a processor to implement the method for transaction risk assessment provided in the first embodiment of the present invention or the method for transaction risk assessment provided in the second embodiment of the present invention.
In the embodiments provided in the present invention, it should be understood that the disclosed apparatus and method may be implemented in other ways. For example, the above-described apparatus embodiments are merely illustrative, and for example, a division of a unit and a module is merely a logical division, and an actual implementation may have another division, for example, a plurality of units and modules or components may be combined or integrated into another system, or some features may be omitted, or not executed. In addition, the shown or discussed mutual coupling or direct coupling or communication connection may be an indirect coupling or communication connection through some interfaces, devices or units and modules, and may be in an electrical, mechanical or other form.
The units and modules described as separate parts may or may not be physically separate, and parts displayed as the units and modules may or may not be physical units and modules, may be located in one place, or may be distributed on a plurality of network units and modules. Some or all of the units and modules may be selected according to actual needs to achieve the purpose of the solution of the embodiment.
In addition, functional units and modules in the embodiments of the present invention may be integrated into one processing unit and module, or each unit and module may exist alone physically, or two or more units and modules may be integrated into one unit and module. The integrated units and modules can be realized in a hardware form, or in a form of hardware plus software functional units and modules.
Program code for implementing the methods of the present invention may be written in any combination of one or more programming languages. These program codes may be provided to a processor or controller of a general purpose computer, special purpose computer, or other programmable data processing apparatus, such that the program codes, when executed by the processor or controller, cause the functions/operations specified in the flowchart and/or block diagram to be performed. The program code may execute entirely on the machine, partly on the machine, as a stand-alone software package partly on the machine and partly on a remote machine or entirely on the remote machine or server.
In the context of the present invention, a machine-readable medium may be a tangible medium that can contain, or store a program for use by or in connection with an instruction execution system, apparatus, or device. The machine-readable medium may be a machine-readable signal medium or a machine-readable storage medium. A machine-readable medium may include, but is not limited to, an electronic, magnetic, optical, electromagnetic, infrared, or semiconductor system, apparatus, or device, or any suitable combination of the foregoing. More specific examples of a machine-readable storage medium would include an electrical connection based on one or more wires, a portable computer diskette, a hard disk, a Random Access Memory (RAM), a read-only memory (ROM), an erasable programmable read-only memory (EPROM or flash memory), an optical fiber, a portable compact disc read-only memory (CD-ROM), an optical storage device, a magnetic storage device, or any suitable combination of the foregoing.
Further, while operations are depicted in a particular order, this should be understood as requiring that such operations be performed in the particular order shown or in sequential order, or that all illustrated operations be performed, to achieve desirable results. Under certain circumstances, multitasking and parallel processing may be advantageous. Likewise, while several specific implementation details are included in the above discussion, these should not be construed as limitations on the scope of the disclosure. Certain features that are described in the context of separate embodiments can also be implemented in combination in a single implementation. Conversely, various features that are described in the context of a single implementation can also be implemented in multiple implementations separately or in any suitable subcombination.
Although the subject matter has been described in language specific to structural features and/or methodological acts, it is to be understood that the subject matter defined in the appended claims is not necessarily limited to the specific features or acts described above. Rather, the specific features and acts described above are disclosed as example forms of implementing the claims.

Claims (22)

1. A method of transaction risk assessment, comprising:
if it is monitored that the user equipment submits the current network order, acquiring transaction safety related data of the user before payment of the current network order and transaction safety related data of the user during payment of the previous network order;
calculating a transaction risk score when the current network order is paid according to the transaction safety related data before the current network order of the user is paid, the transaction safety related data when the previous network order of the user is paid and a preset transaction risk score model;
and determining whether to pay the current network order according to the transaction risk score when the current network order is paid.
2. The method of claim 1, wherein before the calculating the transaction risk score at the time of payment of the current network order according to the transaction safety related data before payment of the current network order of the user, the transaction safety related data at the time of payment of the previous network order of the user and a preset transaction risk score model, the method further comprises:
and acquiring related transaction safety data of the historical network orders of the user.
3. The method according to claim 2, wherein the calculating the transaction risk score when the current network order is paid according to the transaction safety related data before the current network order of the user is paid, the transaction safety related data when the previous network order of the user is paid and a preset transaction risk score model specifically comprises:
calculating a first transaction risk score according to the transaction safety related data before the current network order of the user is paid and the transaction safety related data of the historical network order of the user;
calculating a second transaction risk score according to the transaction safety related data of the user when the previous network order is paid and the transaction safety related data of the historical network order of the user;
and calculating the transaction risk score when the current network order is paid according to the first transaction risk score, the second transaction risk score and a preset transaction risk score model.
4. The method according to claim 3, wherein the transaction security related data of the network order comprises at least: user equipment network data of the network order, user region data of the network order and time data of the network order;
wherein the user equipment network data of the network order at least comprises: the information of the user equipment code, the information of the user equipment model, the information of the user equipment communication number, the information of the IP address of the user equipment and the Wi-Fi information of the user equipment; the user territory data of the network order at least comprises: POI information of the user and city information of the user.
5. The method according to claim 4, wherein calculating a first transaction risk score according to the transaction safety related data of the current network order of the user before payment and the transaction safety related data of the historical network order of the user specifically comprises:
comparing each item of transaction safety related data of the current network order of the user before payment with transaction safety related data of a corresponding historical network order;
determining the transaction risk score of each transaction safety related data of the user before the current network order payment according to the comparison result;
and calculating a first transaction risk score according to the transaction risk score of each transaction safety related data before the current network order of the user is paid and a preset transaction risk score submodel.
6. The method according to claim 5, wherein the calculating a first transaction risk score according to the transaction risk score of each transaction safety-related data before payment of the current network order of the user and a preset transaction risk score submodel specifically comprises:
and inputting the transaction risk score of each transaction safety related data before the current network order of the user is paid into the preset transaction risk score submodel for weighted summation calculation so as to obtain the first transaction risk score.
7. The method according to claim 4, wherein calculating a second transaction risk score according to the transaction safety-related data of the user when the previous network order was paid and the transaction safety-related data of the historical network order of the user comprises:
comparing each item of transaction safety related data of the user when the previous network order is paid with the transaction safety related data of the corresponding historical network order;
determining the transaction risk score of each transaction safety related data when the previous network order of the user pays according to the comparison result;
and calculating a second transaction risk score according to the transaction risk score of each transaction safety related data when the previous network order of the user is paid and a preset transaction risk score submodel.
8. The method according to claim 7, wherein the calculating a second transaction risk score according to the transaction risk score of each transaction safety-related data when the user pays the previous network order and a preset transaction risk score submodel specifically comprises:
and inputting the transaction risk score of each transaction safety related data when the previous network order of the user is paid into the preset transaction risk score submodel for weighted summation calculation so as to obtain the second transaction risk score.
9. The method according to claim 6 or 8, wherein the calculating the transaction risk score when the current network order is paid according to the first transaction risk score, the second transaction risk score and a preset transaction risk score model specifically comprises:
and inputting the first transaction risk score and the second transaction risk score into the preset transaction risk score model for weighted summation calculation so as to obtain the transaction risk score when the current network order is paid.
10. The method of claim 9, wherein after calculating the transaction risk score for the current network order payment according to the first transaction risk score, the second transaction risk score and a preset transaction risk score model, further comprising:
judging whether the related data of each transaction safety before the current network order payment of the user is updated when each order state event before the current network order payment occurs;
if one or more transaction safety related data before the current network order is paid is updated, judging whether the first transaction risk score is changed;
and if the first transaction risk score changes, updating the transaction risk score when the current network order is paid.
11. An apparatus for transaction risk assessment, comprising:
the data acquisition unit is used for acquiring transaction safety related data before payment of a current network order of a user and transaction safety related data when payment of a previous network order of the user is monitored if the fact that the user equipment submits the current network order is monitored;
the score calculating unit is used for calculating a transaction risk score when the current network order is paid according to transaction safety related data before the current network order of the user is paid, transaction safety related data when the previous network order of the user is paid and a preset transaction risk score model;
and the payment determining unit is used for determining whether to pay the current network order according to the transaction risk score when the current network order is paid.
12. The apparatus of claim 11, wherein the data obtaining unit is further configured to obtain transaction security related data of the historical network orders of the user.
13. The apparatus according to claim 12, wherein the score calculating unit specifically includes:
the first score calculating module is used for calculating a first transaction risk score according to the transaction safety related data before the payment of the current network order of the user and the transaction safety related data of the historical network order of the user;
the second score calculating module is used for calculating a second transaction risk score according to the transaction safety related data of the user when the previous network order is paid and the transaction safety related data of the historical network order of the user;
and the total score calculating module is used for calculating the transaction risk score when the current network order is paid according to the first transaction risk score, the second transaction risk score and a preset transaction risk score model.
14. The apparatus of claim 13, wherein the transaction security related data of the network order comprises at least: user equipment network data of the network order, user region data of the network order and time data of the network order;
wherein the user equipment network data of the network order at least comprises: the information of the user equipment code, the information of the user equipment model, the information of the user equipment communication number, the information of the IP address of the user equipment and the Wi-Fi information of the user equipment; the user territory data of the network order at least comprises: POI information of the user and city information of the user.
15. The apparatus according to claim 14, wherein the first score calculating module specifically includes:
the first comparison sub-module is used for comparing each item of transaction safety related data of the current network order of the user before payment with the transaction safety related data of the corresponding historical network order;
the first determining submodule is used for determining the transaction risk score of the transaction safety related data of each item before the current network order of the user is paid according to the comparison result;
and the first score calculating submodule is used for calculating a first transaction risk score according to the transaction risk score of each transaction safety related data before the current network order of the user pays and a preset transaction risk score submodel.
16. The apparatus according to claim 15, wherein the first score computation submodule is configured to:
and inputting the transaction risk score of each transaction safety related data before the current network order of the user is paid into the preset transaction risk score submodel for weighted summation calculation so as to obtain the first transaction risk score.
17. The apparatus according to claim 14, wherein the second score calculating module specifically includes:
the second comparison sub-module is used for comparing the transaction safety related data of the previous network order of the user during payment with the transaction safety related data of the corresponding historical network order;
the second determining submodule is used for determining the transaction risk score of the transaction safety related data of each item when the previous network order of the user is paid according to the comparison result;
and the second score calculating submodule is used for calculating a second transaction risk score according to the transaction risk score of each transaction safety related data when the previous network order of the user pays and a preset transaction risk score submodel.
18. The apparatus according to claim 17, wherein the second score computation sub-module is specifically configured to:
and inputting the transaction risk score of each transaction safety related data when the previous network order of the user is paid into the preset transaction risk score submodel for weighted summation calculation so as to obtain the second transaction risk score.
19. The apparatus according to claim 16 or 18, wherein the total score calculating module is specifically configured to:
and inputting the first transaction risk score and the second transaction risk score into the preset transaction risk score model for weighted summation calculation so as to obtain the transaction risk score when the current network order is paid.
20. The apparatus of claim 19, further comprising:
the data updating and judging unit is used for judging whether the related data of each transaction safety before the current network order payment of the user is updated when each order state event before the current network order payment occurs;
the first score change judging unit is used for judging whether the first transaction risk score changes or not if one or more transaction safety related data before the current network order is paid are updated;
and the total score updating unit is used for updating the transaction risk score when the current network order is paid if the first transaction risk score is changed.
21. A network-side device, comprising:
a memory, a processor, and a computer program;
wherein the computer program is stored in the memory and configured to be executed by the processor to implement the method of any one of claims 1-10.
22. A computer-readable storage medium, on which a computer program is stored, which computer program is executable by a processor to implement the method according to any one of claims 1-10.
CN201811505109.5A2018-12-102018-12-10Method, device, equipment and computer readable storage medium for evaluating transaction riskActiveCN111292085B (en)

Priority Applications (1)

Application NumberPriority DateFiling DateTitle
CN201811505109.5ACN111292085B (en)2018-12-102018-12-10Method, device, equipment and computer readable storage medium for evaluating transaction risk

Applications Claiming Priority (1)

Application NumberPriority DateFiling DateTitle
CN201811505109.5ACN111292085B (en)2018-12-102018-12-10Method, device, equipment and computer readable storage medium for evaluating transaction risk

Publications (2)

Publication NumberPublication Date
CN111292085Atrue CN111292085A (en)2020-06-16
CN111292085B CN111292085B (en)2023-06-30

Family

ID=71020052

Family Applications (1)

Application NumberTitlePriority DateFiling Date
CN201811505109.5AActiveCN111292085B (en)2018-12-102018-12-10Method, device, equipment and computer readable storage medium for evaluating transaction risk

Country Status (1)

CountryLink
CN (1)CN111292085B (en)

Cited By (5)

* Cited by examiner, † Cited by third party
Publication numberPriority datePublication dateAssigneeTitle
CN112749973A (en)*2021-01-122021-05-04腾讯科技(深圳)有限公司Authority management method and device and computer readable storage medium
CN112801670A (en)*2021-04-072021-05-14支付宝(杭州)信息技术有限公司Risk assessment method and device for payment operation
CN116362756A (en)*2023-05-302023-06-30万联易达物流科技有限公司Automatic payment wind control method and system
CN116912001A (en)*2023-09-122023-10-20天津市津能工程管理有限公司Engineering material transaction management and control method and system based on Internet block chain
CN118333626A (en)*2024-04-232024-07-12深圳市识创智能科技有限公司 Mobile terminal secure payment management method and system

Citations (7)

* Cited by examiner, † Cited by third party
Publication numberPriority datePublication dateAssigneeTitle
US20080140576A1 (en)*1997-07-282008-06-12Michael LewisMethod and apparatus for evaluating fraud risk in an electronic commerce transaction
CN105809502A (en)*2014-12-302016-07-27阿里巴巴集团控股有限公司Transaction risk detection method and apparatus
US20160371693A1 (en)*2009-05-152016-12-22Idm Global, Inc.Transaction assessment and/or authentication
CN106295349A (en)*2015-05-292017-01-04阿里巴巴集团控股有限公司Risk Identification Method, identification device and the anti-Ore-controlling Role that account is stolen
CN106940868A (en)*2016-01-052017-07-11阿里巴巴集团控股有限公司In real time with the transaction risk recognition methods being combined offline and device
US20170289188A1 (en)*2016-03-292017-10-05Paypal, Inc.Device identification systems
US20180276541A1 (en)*2017-03-232018-09-27Chicago Mercantile Exchange Inc.Deep learning for credit controls

Patent Citations (7)

* Cited by examiner, † Cited by third party
Publication numberPriority datePublication dateAssigneeTitle
US20080140576A1 (en)*1997-07-282008-06-12Michael LewisMethod and apparatus for evaluating fraud risk in an electronic commerce transaction
US20160371693A1 (en)*2009-05-152016-12-22Idm Global, Inc.Transaction assessment and/or authentication
CN105809502A (en)*2014-12-302016-07-27阿里巴巴集团控股有限公司Transaction risk detection method and apparatus
CN106295349A (en)*2015-05-292017-01-04阿里巴巴集团控股有限公司Risk Identification Method, identification device and the anti-Ore-controlling Role that account is stolen
CN106940868A (en)*2016-01-052017-07-11阿里巴巴集团控股有限公司In real time with the transaction risk recognition methods being combined offline and device
US20170289188A1 (en)*2016-03-292017-10-05Paypal, Inc.Device identification systems
US20180276541A1 (en)*2017-03-232018-09-27Chicago Mercantile Exchange Inc.Deep learning for credit controls

Cited By (7)

* Cited by examiner, † Cited by third party
Publication numberPriority datePublication dateAssigneeTitle
CN112749973A (en)*2021-01-122021-05-04腾讯科技(深圳)有限公司Authority management method and device and computer readable storage medium
CN112801670A (en)*2021-04-072021-05-14支付宝(杭州)信息技术有限公司Risk assessment method and device for payment operation
CN116362756A (en)*2023-05-302023-06-30万联易达物流科技有限公司Automatic payment wind control method and system
CN116362756B (en)*2023-05-302023-08-01万联易达物流科技有限公司Automatic payment wind control method and system
CN116912001A (en)*2023-09-122023-10-20天津市津能工程管理有限公司Engineering material transaction management and control method and system based on Internet block chain
CN116912001B (en)*2023-09-122024-01-09天津市津能工程管理有限公司Engineering material transaction management and control method and system based on Internet block chain
CN118333626A (en)*2024-04-232024-07-12深圳市识创智能科技有限公司 Mobile terminal secure payment management method and system

Also Published As

Publication numberPublication date
CN111292085B (en)2023-06-30

Similar Documents

PublicationPublication DateTitle
CN111292085B (en)Method, device, equipment and computer readable storage medium for evaluating transaction risk
US10121037B1 (en)System controlled by data bearing records
KR101061094B1 (en) Used car information provision and sale system using network
WO2018175544A1 (en)Method and system for facilitating purchase of vehicles by buyers and/or sale of vehicles by sellers
HK1218015A1 (en) Analyze auction assets and/or participants to predict auction results
US20160350830A1 (en)Network-based user-to-user trading
US20150348142A1 (en)System and Method of Vehicle Value Assessment
CA2875435C (en)System and method for identifying vehicles for a purchaser
JP7451862B2 (en) Vehicle purchase system
TW201642200A (en)System for shopping guide and method of using the system thereof
CN111105244B (en)Refund-based service scheme determination method and refund-based service scheme determination device
KR101443048B1 (en)System offering an estimate and method thereof
KR102272282B1 (en)Used car selling management system
JP6871893B2 (en) Information processing equipment, information processing methods, and information processing programs
CN111222985A (en)Financial product transaction method and device
KR20140109560A (en)Bid consulting system for using distribution chart of expert's successful bid prediction and method thereof
HK1215981A1 (en)System and method for determining valuation of items using price elasticity information
CN105122291A (en)Seller dashboard and reserve price lowering
CN111695919A (en)Evaluation data processing method, evaluation data processing device, electronic device, and storage medium
KR20230096809A (en)System for selling real assets
JP5170893B2 (en) Online repurchase system
KR20150047141A (en)System and method for providing service the cheapest price intermediate
CN106779632B (en)Method and device for selecting payment gateway according to control category information
KR20160131374A (en)Method and system of managing on-line shopping mall for members only
CN111507808A (en)Commodity pre-selling system based on mobile internet

Legal Events

DateCodeTitleDescription
PB01Publication
PB01Publication
SE01Entry into force of request for substantive examination
SE01Entry into force of request for substantive examination
GR01Patent grant
GR01Patent grant

[8]ページ先頭

©2009-2025 Movatter.jp