



技术领域technical field
本发明涉及激光诱导击穿光谱分析技术领域,尤其涉及一种远距离变焦距激光诱导击穿光谱的检测方法及装置。The invention relates to the technical field of laser-induced breakdown spectroscopy, in particular to a detection method and device for long-distance zoom laser-induced breakdown spectroscopy.
背景技术Background technique
激光诱导击穿光谱技术(Laser Induced Breakdown Spectroscopy,LIBS)是基于激光和材料相互作用产生的发射光谱的一种物质成分检测技术,与传统检测技术相比,LIBS最大的优势在于可以实现非接触式的远距离物质成分分析。因此LIBS在冶金、爆炸物分析、有毒有害物质分析、海洋勘探、外星勘探等领域具有重大价值。但是在这些LIBS大有前景的领域,定距离检测往往是不现实的,譬如野外勘探中利用LIBS对矿石进行分析,有些矿石在自然环境中所处的位置比较险峻,并无条件将LIBS设备放置在与其相距特定距离的位置上。这些情况下,就需要对一定距离范围内的待测样品进行成分分析。当一套LIBS系统面对处于一定距离范围内的一类待检测物质的任务需求时,首先需要调整望远镜系统的焦距,将激光聚焦于待测物质的适当位置,因此该类LIBS检测也可以称为变焦距LIBS检测。Laser Induced Breakdown Spectroscopy (LIBS) is a material component detection technology based on the emission spectrum generated by the interaction between laser and material. Compared with traditional detection technology, the biggest advantage of LIBS is that it can realize non-contact detection. long-range material composition analysis. Therefore, LIBS has great value in metallurgy, explosives analysis, toxic and hazardous material analysis, ocean exploration, alien exploration and other fields. However, in these promising fields of LIBS, fixed-distance detection is often unrealistic. For example, LIBS is used to analyze ores in field exploration. Some ores are located in a dangerous location in the natural environment, and LIBS equipment is unconditionally placed in the at a specific distance from it. In these cases, it is necessary to perform compositional analysis on the sample to be tested within a certain distance. When a LIBS system faces the task requirements of a class of substances to be detected within a certain distance, it is first necessary to adjust the focal length of the telescope system to focus the laser on the appropriate position of the substance to be detected. Therefore, this type of LIBS detection can also be called Detected for zoom LIBS.
一般LIBS系统的设计只针对一个或多个特定的检测距离,这是因为:精确的LIBS分析使用的标定模型往往由一组标准样品构建,这些标准样品均在同一测试条件下形成建模数据,该标定模型所能分析的待测物质的光谱也应在同一检测条件下获得,即一个标定模型对应于一个特定的LIBS系统参数矩阵下的一类待测物质分析。面对变焦距检测任务,调整望远镜系统实现聚焦后,对于不同的检测距离,激光的聚焦光斑大小、能量密度、等离子体光谱的收集视场角度、系统的光学效率等会发生变化,进而导致变焦距成分检测会收集到不同强度、特征的等离子体光谱,无法直接带入标定模型中获得所需的分析结果,而现有技术中并没有相应的解决方案。Generally, LIBS systems are designed only for one or more specific detection distances. This is because: the calibration models used in accurate LIBS analysis are often constructed from a set of standard samples, which all form modeling data under the same test conditions. The spectrum of the substance to be tested that can be analyzed by the calibration model should also be obtained under the same detection conditions, that is, a calibration model corresponds to the analysis of a type of substance to be tested under a specific LIBS system parameter matrix. Faced with the zoom detection task, after adjusting the telescope system to achieve focusing, for different detection distances, the focused spot size of the laser, the energy density, the angle of the collection field of view of the plasma spectrum, and the optical efficiency of the system will change, which will lead to changes. The detection of focal length components will collect plasma spectra of different intensities and characteristics, which cannot be directly brought into the calibration model to obtain the required analysis results, and there is no corresponding solution in the prior art.
发明内容SUMMARY OF THE INVENTION
本发明的目的是提供一种远距离变焦距激光诱导击穿光谱的检测方法及装置,该方法及装置实现了不同检测距离下的激光诱导击穿光谱的修正与分析,大大提升了激光诱导击穿光谱技术的应用空间。The purpose of the present invention is to provide a detection method and device for long-distance zoom laser-induced breakdown spectrum, which realizes the correction and analysis of laser-induced breakdown spectrum at different detection distances, and greatly improves the laser-induced breakdown spectrum. Through the application space of spectral technology.
本发明的目的是通过以下技术方案实现的:The purpose of this invention is to realize through the following technical solutions:
一种远距离变焦距激光诱导击穿光谱的检测装置,所述装置包括测距单元、等离子体激发单元、聚焦与等离子体信号收集单元、分光与光电转换单元、光谱信息处理单元、等离子体诊断单元和时序控制单元,其中:A detection device for long-distance zoom laser-induced breakdown spectroscopy, the device includes a ranging unit, a plasma excitation unit, a focusing and plasma signal collection unit, a spectroscopic and photoelectric conversion unit, a spectral information processing unit, and a plasma diagnosis unit. unit and timing control unit, where:
所述测距单元,用于测定被测样品和所述聚焦与等离子体信号收集单元间对应的检测距离;The distance measuring unit is used to measure the detection distance corresponding to the measured sample and the focusing and plasma signal collecting unit;
等离子体激发单元,用于输出激光诱导击穿光谱LIBS的激光,所述激光经所述聚焦与等离子体信号收集单元传输后聚焦于不同位置的被测样品表面或表面以下适当位置,对所述被测样品进行LIBS激发,产生等离子体信号;The plasma excitation unit is used to output the laser of the laser-induced breakdown spectroscopy LIBS. The laser is transmitted through the focusing and plasma signal collection unit and focused on the surface of the sample to be tested at different positions or at appropriate positions below the surface. The sample to be tested is excited by LIBS to generate a plasma signal;
产生的等离子体信号再经所述聚焦与等离子体信号收集单元接收后,由所述聚焦与等离子体信号收集单元将接收的等离子体信号传递给所述分光与光电转换单元;After the generated plasma signal is received by the focusing and plasma signal collecting unit, the focusing and plasma signal collecting unit transmits the received plasma signal to the spectroscopic and photoelectric conversion unit;
所述分光与光电转换单元将传递来的等离子体信号按照不同波长分光,并转换为数字信号的光谱信息;The spectroscopic and photoelectric conversion unit splits the transmitted plasma signal according to different wavelengths, and converts it into spectral information of a digital signal;
所述光谱信息处理单元对所述光谱信息进行数据处理,得到所述被测样品元素成分的分析结果;The spectral information processing unit performs data processing on the spectral information to obtain an analysis result of the elemental composition of the tested sample;
所述等离子体诊断单元与所述等离子体激发单元电连接,用于测定或计算所述被测样品产生的等离子体信号的关键物理参数,对产生的等离子体信号进行特征诊断,并由此反馈调节所述等离子体激发单元的激光能量,对不同检测距离下收集到的等离子体光谱信息进行修正,使其满足当前标定模型的适用条件;The plasma diagnosis unit is electrically connected to the plasma excitation unit, and is used to measure or calculate the key physical parameters of the plasma signal generated by the tested sample, perform characteristic diagnosis on the generated plasma signal, and feed back accordingly adjusting the laser energy of the plasma excitation unit, and correcting the plasma spectrum information collected at different detection distances so that it meets the applicable conditions of the current calibration model;
所述时序控制单元分别与所述测距单元、等离子体激发单元、聚焦与等离子体信号收集单元、分光与光电转换单元、光谱信息处理单元、等离子体诊断单元电连接,用于产生时序控制信号,控制所述测距单元、等离子体激发单元、聚焦与等离子体信号收集单元、分光与光电转换单元、光谱信息处理单元、等离子体诊断单元。The timing control unit is electrically connected to the ranging unit, the plasma excitation unit, the focusing and plasma signal collection unit, the spectroscopic and photoelectric conversion unit, the spectral information processing unit, and the plasma diagnosis unit, respectively, for generating timing control signals , to control the ranging unit, plasma excitation unit, focusing and plasma signal collection unit, spectroscopic and photoelectric conversion unit, spectral information processing unit, and plasma diagnosis unit.
由上述本发明提供的技术方案可以看出,方法及装置实现了不同检测距离下的激光诱导击穿光谱的修正与分析,大大提升了激光诱导击穿光谱技术的应用空间,拓宽了LIBS的应用领域。It can be seen from the technical solutions provided by the present invention that the method and the device realize the correction and analysis of the laser-induced breakdown spectroscopy at different detection distances, greatly improve the application space of the laser-induced breakdown spectroscopy technology, and broaden the application of LIBS. field.
附图说明Description of drawings
为了更清楚地说明本发明实施例的技术方案,下面将对实施例描述中所需要使用的附图作简单地介绍,显而易见地,下面描述中的附图仅仅是本发明的一些实施例,对于本领域的普通技术人员来讲,在不付出创造性劳动的前提下,还可以根据这些附图获得其他附图。In order to illustrate the technical solutions of the embodiments of the present invention more clearly, the following briefly introduces the accompanying drawings used in the description of the embodiments. Obviously, the drawings in the following description are only some embodiments of the present invention. For those of ordinary skill in the art, other drawings can also be obtained from these drawings without any creative effort.
图1为本发明实施例提供的远距离变焦距激光诱导击穿光谱的检测装置的结构示意图;1 is a schematic structural diagram of a detection device for long-distance zoom laser-induced breakdown spectroscopy provided by an embodiment of the present invention;
图2为本发明实施例所述聚焦与等离子体信号收集单元的光路示意图;2 is a schematic diagram of the optical path of the focusing and plasma signal collection unit according to the embodiment of the present invention;
图3为本发明实施例所述可调孔径光阑进行调整的示意图;3 is a schematic diagram of adjusting the adjustable aperture diaphragm according to the embodiment of the present invention;
图4为本发明实施例提供的远距离变焦距激光诱导击穿光谱的检测方法的流程示意图。FIG. 4 is a schematic flowchart of a method for detecting long-distance zoom laser-induced breakdown spectroscopy provided by an embodiment of the present invention.
具体实施方式Detailed ways
下面结合本发明实施例中的附图,对本发明实施例中的技术方案进行清楚、完整地描述,显然,所描述的实施例仅仅是本发明一部分实施例,而不是全部的实施例。基于本发明的实施例,本领域普通技术人员在没有做出创造性劳动前提下所获得的所有其他实施例,都属于本发明的保护范围。The technical solutions in the embodiments of the present invention will be clearly and completely described below with reference to the drawings in the embodiments of the present invention. Obviously, the described embodiments are only a part of the embodiments of the present invention, rather than all the embodiments. Based on the embodiments of the present invention, all other embodiments obtained by those of ordinary skill in the art without creative work fall within the protection scope of the present invention.
下面将结合附图对本发明实施例作进一步地详细描述,如图1所示为本发明实施例提供的远距离变焦距激光诱导击穿光谱的检测装置的结构示意图,所述装置主要包括测距单元、等离子体激发单元、聚焦与等离子体信号收集单元、分光与光电转换单元、光谱信息处理单元、等离子体诊断单元和时序控制单元,其中:The embodiments of the present invention will be described in further detail below with reference to the accompanying drawings. FIG. 1 is a schematic structural diagram of a detection device for long-distance zoom laser-induced breakdown spectroscopy provided by an embodiment of the present invention, and the device mainly includes ranging unit, plasma excitation unit, focusing and plasma signal collection unit, spectroscopic and photoelectric conversion unit, spectral information processing unit, plasma diagnosis unit and timing control unit, wherein:
所述测距单元,用于测定被测样品和所述聚焦与等离子体信号收集单元间对应的检测距离;The distance measuring unit is used to measure the detection distance corresponding to the measured sample and the focusing and plasma signal collecting unit;
等离子体激发单元,用于输出激光诱导击穿光谱LIBS的激光,所述激光经所述聚焦与等离子体信号收集单元传输后聚焦于不同位置的被测样品表面或表面以下适当位置,对所述被测样品进行LIBS激发,产生等离子体信号;The plasma excitation unit is used to output the laser of the laser-induced breakdown spectroscopy LIBS. The laser is transmitted through the focusing and plasma signal collection unit and focused on the surface of the sample to be tested at different positions or at appropriate positions below the surface. The sample to be tested is excited by LIBS to generate a plasma signal;
产生的等离子体信号再经所述聚焦与等离子体信号收集单元接收后,由所述聚焦与等离子体信号收集单元将接收的等离子体信号传递给所述分光与光电转换单元;After the generated plasma signal is received by the focusing and plasma signal collecting unit, the focusing and plasma signal collecting unit transmits the received plasma signal to the spectroscopic and photoelectric conversion unit;
所述分光与光电转换单元将传递来的等离子体信号按照不同波长分光,并转换为数字信号的光谱信息;The spectroscopic and photoelectric conversion unit splits the transmitted plasma signal according to different wavelengths, and converts it into spectral information of a digital signal;
所述光谱信息处理单元对所述光谱信息进行数据处理,得到所述被测样品元素成分的分析结果;The spectral information processing unit performs data processing on the spectral information to obtain an analysis result of the elemental composition of the tested sample;
所述等离子体诊断单元与所述等离子体激发单元电连接,用于测定或计算所述被测样品产生的等离子体信号的关键物理参数,对产生的等离子体信号进行特征诊断,并由此反馈调节所述等离子体激发单元的激光能量,对不同检测距离下收集到的等离子体光谱信息进行修正,使其满足当前标定模型的适用条件;The plasma diagnosis unit is electrically connected to the plasma excitation unit, and is used to measure or calculate the key physical parameters of the plasma signal generated by the tested sample, perform characteristic diagnosis on the generated plasma signal, and feed back accordingly adjusting the laser energy of the plasma excitation unit, and correcting the plasma spectrum information collected at different detection distances so that it meets the applicable conditions of the current calibration model;
所述时序控制单元分别与所述测距单元、等离子体激发单元、聚焦与等离子体信号收集单元、分光与光电转换单元、光谱信息处理单元、等离子体诊断单元电连接,用于产生时序控制信号,控制所述测距单元、等离子体激发单元、聚焦与等离子体信号收集单元、分光与光电转换单元、光谱信息处理单元、等离子体诊断单元。The timing control unit is electrically connected to the ranging unit, the plasma excitation unit, the focusing and plasma signal collection unit, the spectroscopic and photoelectric conversion unit, the spectral information processing unit, and the plasma diagnosis unit, respectively, for generating timing control signals , to control the ranging unit, plasma excitation unit, focusing and plasma signal collection unit, spectroscopic and photoelectric conversion unit, spectral information processing unit, and plasma diagnosis unit.
具体实现中,如图1所示,上述聚焦与等离子体信号收集单元采用激发光路与收集光路同轴的望远镜系统构成,所述望远镜系统用于对不同检测距离的待测物进行变焦距检测(实现聚焦和采集),且能对信号采集时的入射量、入射角度进行控制,本实施例中采用可调节孔径光阑来实现。In specific implementation, as shown in Figure 1, the above-mentioned focusing and plasma signal collection unit is formed by a telescope system whose excitation optical path is coaxial with the collection optical path, and the telescope system is used to perform zoom detection on objects to be tested at different detection distances ( Focusing and acquisition), and can control the incident amount and incident angle during signal acquisition, which is realized by using an adjustable aperture diaphragm in this embodiment.
举例来说,如图2所示为本发明实施例所述聚焦与等离子体信号收集单元的光路示意图,所述望远镜系统包括二向色镜、凹全反射镜、凸全反射镜和可调孔径光阑,参考图2:For example, FIG. 2 is a schematic diagram of the optical path of the focusing and plasma signal collection unit according to an embodiment of the present invention, and the telescope system includes a dichroic mirror, a concave total reflection mirror, a convex total reflection mirror and an adjustable aperture Aperture, refer to Figure 2:
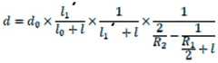
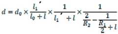
所述凹全反射镜、凸全反射镜同轴放置,球心连线为望远镜系统主轴,其中l0为激光光源点与凹全反射镜之间的等效距离,R1为凸全反射镜反射半径,R2为凹全反射镜反射半径,l1′为凸全反射镜的虚焦点位置,对于平行入射光,l1′=R1/2;凹全反射镜、凸全反射镜的定点间距为l,凹全反射镜定点与焦点的距离为望远镜系统的焦距f,则对于直径为d0的激光束,聚焦后的光斑直径d为:The concave total reflection mirror and the convex total reflection mirror are placed coaxially, and the line connecting the center of the sphere is the main axisof the telescope system, wherein10 is the equivalent distance between the laser light source point and the concave total reflection mirror, and R1 is the convex total reflection mirror. Reflection radius, R2 is the reflection radius of the concave total reflection mirror, l1 ′ is the virtual focus position of the convex total reflection mirror, for parallel incident light, l1 ′=R1 /2; The distance between the fixed points is l, and the distance between the fixed point and the focal point of the concave total reflection mirror is the focal length f of the telescope system, then for a laser beam with a diameter of d0 , the focused spot diameter d is:
通过调整凸全反射镜与凹全反射镜之间的距离l,实现一定距离范围内的聚焦,并在聚焦完成后,由上述公式获得光斑直径d,继而得到光斑面积Aspot。By adjusting the distance l between the convex total reflection mirror and the concave total reflection mirror, focusing within a certain distance range is achieved, and after the focusing is completed, the spot diameter d is obtained from the above formula, and then the spot area Aspot is obtained.
上述测距单元可以采用但不限于激光测距、微波测距、超声波测距或红外测距的方式辅助所述聚焦与等离子体信号收集单元实现快速聚焦。对于绝大多数远距离激光诱导击穿光谱应用场景,检测距离在几十厘米至几十米之间,检测精度应满足在95%置信区间内在小于激光焦深的三分之一左右,根据实际使用环境、检测距离和精度需求、设备的集成性、成本考虑等选择合适的测距方式即可。The above-mentioned ranging unit may assist the focusing and plasma signal collecting unit to achieve fast focusing by means of, but not limited to, laser ranging, microwave ranging, ultrasonic ranging or infrared ranging. For most long-distance laser-induced breakdown spectroscopy application scenarios, the detection distance is between tens of centimeters and tens of meters, and the detection accuracy should be less than about one-third of the laser focal depth within the 95% confidence interval. The use environment, detection distance and accuracy requirements, equipment integration, cost considerations, etc., can select an appropriate ranging method.
具体实现中,上述等离子体诊断单元测定或计算得到的关键物理参数包括等离子体温度、电子密度、电子温度、形貌特征,其中:In a specific implementation, the key physical parameters measured or calculated by the above-mentioned plasma diagnostic unit include plasma temperature, electron density, electron temperature, and topographic features, wherein:
所述等离子体温度采用玻尔兹曼平面法(Boltzmann Plot)、双线法、Saha-Boltzmann法或者外部设备辅助手段(例如汤姆逊散射法)获得;The plasma temperature is obtained by using Boltzmann Plot, double-line method, Saha-Boltzmann method or external equipment aids (such as Thomson scattering method);
所述电子密度采用谱线展宽法或激光反射率计算法获得;The electron density is obtained by a spectral line broadening method or a laser reflectance calculation method;
所述电子温度采用汤姆逊散射法、连续背底计算法或saha方程来获得;The electron temperature is obtained by using Thomson scattering method, continuous background calculation method or saha equation;
所述形貌特征采用飞秒激光探针法获得。The topographic features were obtained by a femtosecond laser probe method.
当上述关键物理参数满足当前标定模型界定的范围内时,认为当前的等离子体状态满足要求;否则反馈调节等离子体激发单元的激光能量,得到符合检测条件的等离子体。When the above key physical parameters meet the range defined by the current calibration model, it is considered that the current plasma state meets the requirements; otherwise, the laser energy of the plasma excitation unit is adjusted by feedback to obtain plasma that meets the detection conditions.
进一步的,通过对上述可调孔径光阑的孔径调整,使当前检测距离下的入射等离子体光视场角与当前标定模型建立时的等离子体光视场角一致,以避免等离子体空间分布不均匀带来的收集光强与检测距离之间难以精准表述的非线性关系,如图3所示为本发明实施例所述可调孔径光阑进行调整的示意图,参考图3:Further, by adjusting the aperture of the above-mentioned adjustable aperture diaphragm, the field angle of the incident plasma light at the current detection distance is consistent with the field angle of the plasma light when the current calibration model is established, so as to avoid the spatial distribution of the plasma from being inconsistent. The non-linear relationship between the collected light intensity and the detection distance caused by the uniformity is difficult to accurately describe. Figure 3 is a schematic diagram of the adjustment of the adjustable aperture diaphragm according to the embodiment of the present invention. Referring to Figure 3:
随着等离子体光源位置从最近距离1移动到最远距离2,调整光阑孔径从1变化到2,这样保证位置1、2之间的收集角度完全一致。需要说明的是,图中可调孔径光阑的光阑位置并未发生变化,仅有孔径发生变化,图中将不同的孔径在不同位置画出仅为表述清楚光阑孔径变化。As the position of the plasma light source moves from the closest distance 1 to the
基于上述的装置,本发明实施例还提供了一种远距离变焦距激光诱导击穿光谱的检测方法,如图4所示为本发明实施例所述检测方法的流程示意图,所述方法包括:Based on the above device, an embodiment of the present invention also provides a method for detecting long-distance zoom laser-induced breakdown spectroscopy. FIG. 4 is a schematic flowchart of the detecting method according to the embodiment of the present invention, and the method includes:
步骤1、将激光聚焦于不同位置的被测样品表面或表面以下适当位置,对所述被测样品进行LIBS激发,产生等离子体信号,并获得检测距离;Step 1. Focus the laser on the surface of the sample to be tested at different positions or an appropriate position below the surface, perform LIBS excitation on the sample to be tested, generate a plasma signal, and obtain the detection distance;
步骤2、将产生的等离子体信号按照不同波长分光,并转换为数字信号的初始检测光谱信息;
步骤3、对不同检测距离下收集到的初始检测光谱信息进行修正,使其满足当前标定模型的适用条件,获得修正后的检测光谱信息;
在该步骤中,具体可以采用如下两种手段来实现:In this step, the following two means can be used to achieve:
1)第一种手段:1) The first means:
首先通过辅助设备检测或根据检测距离计算获得当前检测距离下的激光光斑面积,进而得到该检测距离下的激光能量密度;具体实现中,当前检测的激光能量Elaser已知,激光光斑面积为Aspot,可以得到此时的激光能量密度Flaser=Elaser/Aspot。First, the laser spot area at the current detection distance is obtained through auxiliary equipment detection or calculation based on the detection distance, and then the laser energy density at the detection distance is obtained; in the specific implementation, the currently detected laser energy Elaser is known, and the laser spot area is Aspot , the laser energy density Flaser =Elaser /Aspot at this time can be obtained.
然后调整激光能量,使当前激光能量密度与当前标定模型建立时相同;具体来说,对于未知的被测样品,为了保证检测结果的可靠性,检测仪器的各种参数应尽量保持一致,在激光波长、形状、脉冲时间等参数不变的前提下,被测样品受到激光激发后产生的等离子体的温度与电子密度受到激光能量密度的直接影响。被测样品与激光相互作用的过程非常复杂,随着激光能量密度的增加,对激发产生的等离子体的物理参数影响是非线性的,进而导致等离子体逐渐衰落的过程中发出的LIBS光谱强度也与激光的能量密度之间是复杂的非线性关系。因此通过调整激光器能量,保证检测被测样品的过程中与实际标定模型建立时的采用的激光能量密度一致非常重要。Then adjust the laser energy so that the current laser energy density is the same as when the current calibration model was established; specifically, for unknown tested samples, in order to ensure the reliability of the test results, the various parameters of the testing instrument should be as consistent as possible. Under the premise of constant wavelength, shape, pulse time and other parameters, the temperature and electron density of the plasma generated after the sample is excited by the laser are directly affected by the laser energy density. The process of interaction between the tested sample and the laser is very complicated. With the increase of laser energy density, the influence on the physical parameters of the plasma generated by the excitation is nonlinear, and the LIBS spectral intensity emitted in the process of the gradual fading of the plasma is also different from that of the plasma. There is a complex nonlinear relationship between the energy densities of lasers. Therefore, by adjusting the laser energy, it is very important to ensure that the process of detecting the sample to be tested is consistent with the laser energy density used when the actual calibration model is established.
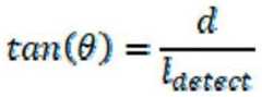
再通过对可调孔径光阑的孔径调整,使当前检测距离下的入射等离子体光视场角与当前标定模型建立时的等离子体光视场角一致;具体实现中,等离子体的空间分布是进行精准定量分析时不得不考虑的一个因素。随着待检测物体与望远镜收集端距离的增加,收集端的视场角越来越小,如果不考虑等离子体的空间分布,收集到的总光强I与检测距离ldetect之间的关系如下式:Then, by adjusting the aperture of the adjustable aperture diaphragm, the field angle of the incident plasma light at the current detection distance is consistent with the field angle of the plasma light when the current calibration model is established; in the specific implementation, the spatial distribution of the plasma is A factor that has to be considered when performing accurate quantitative analysis. As the distance between the object to be detected and the collecting end of the telescope increases, the field of view of the collecting end becomes smaller and smaller. If the spatial distribution of the plasma is not considered, the relationship between the total collected light intensity I and the detection distance ldetect is as follows :
其中,Iall是等离子体发出的全部光强。如上式所示,距离变化带来的收集总光强的变化是平方倒数的关系。但是在等离子体中,各个波长的光子并非均匀的分布在整个等离子体半球形的发射面中,不同收集角度对谱线的影响极大,经实验验证,等离子体发射的光子大多数集中在以被测样品法线为中心的圆锥顶面内,这也就使得随着检测距离的增加,收集到的光强并非与其呈现二倍平方倒数的关系。对于不同的元素,甚至不同元素的不同谱线,他们强度随着距离的变化规律并不相同。对于等离子体发射光的不均匀分布,本实施例采用在收集透镜前增加一个可以控制入瞳角度的可调孔径光阑的方式,通过对上述可调孔径光阑的孔径调整,使当前检测距离下的入射等离子体光视场角与当前标定模型建立时的等离子体光视场角一致,以避免等离子体空间分布不均匀带来的收集光强与检测距离之间难以精准表述的非线性关系,具体如上述装置实施例所述。where Iall is the total light intensity emitted by the plasma. As shown in the above formula, the change of the total collected light intensity caused by the change of distance is the relationship of the reciprocal square. However, in the plasma, the photons of each wavelength are not uniformly distributed in the entire hemispherical emission surface of the plasma, and different collection angles have a great influence on the spectral lines. It has been verified by experiments that most of the photons emitted by the plasma are concentrated in the hemispherical emission surface of the plasma. The normal line of the sample to be tested is in the top surface of the cone, which also makes the collected light intensity not related to the reciprocal of the square of two times with the increase of the detection distance. For different elements, or even different spectral lines of different elements, their intensity varies with distance differently. For the uneven distribution of the plasma emitted light, this embodiment adopts the method of adding an adjustable aperture diaphragm that can control the entrance pupil angle before the collecting lens, and adjusts the aperture of the above adjustable aperture diaphragm to make the current detection distance The angle of the incident plasma light field of view is consistent with the field angle of the plasma light when the current calibration model is established, so as to avoid the nonlinear relationship between the collected light intensity and the detection distance caused by the uneven spatial distribution of the plasma, which is difficult to accurately describe. , as described in the above-mentioned apparatus embodiment.
最终获得修正后的检测光谱信息。Finally, the corrected detection spectrum information is obtained.
另外,在实施过程中,还可以修正光斑大小带来的总烧蚀量带来的差异。由于总烧蚀量的变化与光谱的总强度、各个谱线的强度均为线性关系,因此可以通过包括但不限于光谱面积归一化、内标归一化、连续辐射背底归一化等方法进行修正;也可以通过得到的光斑面积进行归一化处理,但是对于一些标定模型,它们只关心输入光谱中各个谱线的相对强度,故该步骤是可以省略的。In addition, in the implementation process, the difference caused by the total ablation amount caused by the spot size can also be corrected. Since the change of the total ablation amount has a linear relationship with the total intensity of the spectrum and the intensity of each spectral line, it can be achieved by including but not limited to spectral area normalization, internal standard normalization, continuous radiation background normalization, etc. It can also be normalized by the obtained spot area, but for some calibration models, they only care about the relative intensity of each spectral line in the input spectrum, so this step can be omitted.
2)第二种手段:2) The second method:
建立描述光谱信息与不同检测距离之间关系的物理模型;Establish a physical model describing the relationship between spectral information and different detection distances;
对该物理模型中涉及的相关物理参数、函数进行采集或计算;Collect or calculate the relevant physical parameters and functions involved in the physical model;
将被测样品的初始检测光谱信息S与需要的相关信息带入所述物理模型,计算获得修正后的检测光谱信息S*。The initial detection spectrum information S and required related information of the sample to be tested are brought into the physical model, and the corrected detection spectrum information S* is obtained by calculation.
具体实现过程中,所建立的物理模型为:In the specific implementation process, the established physical model is:
Ii,j=F1(λ,ldetect)*F2(λ,ldetect)Ii,j =F1 (λ, ldetect )*F2 (λ, ldetect )
*F3(λ,T)*F4(Elaser,ldetect)+Off*F3 (λ, T)*F4 (Elaser , ldetect )+Off
其中,函数F1、F2、F3、F4分别是LIBS系统传递效率函数、等离子体光场空间分布函数、等离子体状态函数、烧蚀量函数;Off为常数补偿量;Among them, the functions F1 , F2 , F3 , and F4 are the transfer efficiency function of the LIBS system, the spatial distribution function of the plasma light field, the plasma state function, and the ablation amount function, respectively;Off is the constant compensation amount;
具体实现中,可以采用如下物理模型:In the specific implementation, the following physical models can be used:
其中,p(λ)为望远镜系统的光学传递效率函数;T(λ)光电转换效率函数;I(λ)为单位时间内等离子体发出的波长为λ的光强;ldetect为检测距离;d为望远镜系统收集窗口的半径;Off为光电转换效率补偿常量;Int为光谱采集积分时间;S(θ,λ)为等离子体中不同波长的谱线投影在望远镜系统收集窗口的区域分布函数;Among them, p(λ) is the optical transfer efficiency function of the telescope system; T(λ) is the photoelectric conversion efficiency function; I(λ) is the light intensity of the wavelength λ emitted by the plasma in unit time; ldetect is the detection distance; d is the radius of the collection window of the telescope system;Off is the compensation constant of the photoelectric conversion efficiency; Int is the integration time of the spectrum acquisition; S(θ, λ) is the regional distribution function of the spectral lines of different wavelengths in the plasma projected on the collection window of the telescope system;
θ为收集视场角的1/2,定义为:θ is 1/2 of the collection field of view, defined as:
进一步的,further,
其中,h为普朗克常数,c为光速,λ为辐射波长,Amn为跃迁几率,U(T)为当前温度下该离子对应的配分函数,代表当前温度下原子内部不同电子能级状态的总和;gi为高能级简并度;Kb为玻尔兹曼常数,T为等离子体温度;Em为高能级能量,N为Imn对应激光烧蚀的原子或离子的粒子数;对于不同的检测距离,除了参数N、T之外,其余参数保持不变;Among them, h is Planck's constant, c is the speed of light, λ is the radiation wavelength, Amn is the transition probability, and U(T) is the partition function corresponding to the ion at the current temperature, representing the different electron energy levels inside the atom at the current temperature.gi is the high energy level degeneracy; Kb is the Boltzmann constant, T is the plasma temperature; Em is the high energy level energy, and N is the number of atoms or ions that Imn corresponds to laser ablation; For different detection distances, except for parameters N and T, the other parameters remain unchanged;
随着检测距离的增加,望远镜系统汇聚的激光光斑会相对变大,导致激光的能量密度下降,进而影响激光烧蚀的总粒子数。As the detection distance increases, the laser spot collected by the telescope system will become relatively larger, resulting in a decrease in the energy density of the laser, which in turn affects the total number of particles ablated by the laser.
N与激光能量密度的关系如下式:The relationship between N and laser energy density is as follows:
其中,Elaser表示单个激光脉冲的能量(或单位时间内连续激光器的输出能量);A(ldetect)表示光斑面积;Tlaser表示单位能量密度的激光穿过等离子体最终到达被测样品表面并被物质吸收的的比例;Ethre表示单位面积内的被测样品完成相变需要的能量阈值;Etrans表示单位体积的被测样品最终形成等离子体所吸收激光能量。Among them, Elaser represents the energy of a single laser pulse (or the output energy of a continuous laser per unit time); A(ldetect ) represents the spot area; Tlaser represents the laser per unit energy density passing through the plasma and finally reaching the surface of the sample to be measured and The proportion absorbed by the substance; Ethre represents the energy threshold required for the tested sample to complete the phase transition in a unit area; Etrans represents the laser energy absorbed by the measured sample per unit volume to finally form a plasma.
具体实现中,光学传递效率函数p(λ)可以通过标准光源进行测量得到其与检测距离的相应关系,对于某些系统,随着检测距离的变化,p(λ)为常数;光电转换效率函数T(λ)、光电转换效率补偿常量Off、望远镜收集窗口的半径d与距离改变无关,为常数,由仪器制造商提供;光谱采集积分时间Int可直接获得;等离子体中不同波长的谱线投影在望远镜收集窗口的区域分布函数S(θ,λ)的测量可通过光谱仪配合光阑,改变光阑口径多次测试后得到其环状区域分布结果,或结合ICCD与飞秒激光探针,进行更准确的空间分布采样,最终得到。In the specific implementation, the optical transfer efficiency function p(λ) can be measured by a standard light source to obtain its corresponding relationship with the detection distance. For some systems, with the change of the detection distance, p(λ) is a constant; the photoelectric conversion efficiency function T(λ), the compensation constant of the photoelectric conversion efficiencyOff , the radius d of the collection window of the telescope has nothing to do with the change of the distance, it is a constant and is provided by the instrument manufacturer; the integration time Int of the spectrum acquisition can be directly obtained; the spectral lines of different wavelengths in the plasma The measurement of the regional distribution function S(θ, λ) projected on the collection window of the telescope can be obtained by combining the spectrometer with the aperture, changing the aperture diameter and testing the annular area distribution result for many times, or combining the ICCD and the femtosecond laser probe, Perform a more accurate sampling of the spatial distribution, and finally get .
普朗克常数h、光速c、玻尔兹曼常数Kb为常数,可直接获得;跃迁几率Amn、当前温度下该离子对应的配分函数U(T)、高能级简并度gi、高能级能量Em可以通过美国国家标准与技术研究院(National Institute of Standards and Technology,NIST)等标准数据网站查询得到。等离子体的温度T可以采用包括但不限于玻尔兹曼平面法(Boltzmann Plot)、双线法、Saha-Boltzmann法或者外部设备辅助手段(例如汤姆逊散射法)获得。Planck's constant h, speed of light c, Boltzmann constant Kb are constants and can be obtained directly; transition probability Amn , partition function U(T) corresponding to the ion at the current temperature, high-level degeneracy gi , The high-level energyEm can be obtained by querying standard data websites such as the National Institute of Standards and Technology (NIST). The temperature T of the plasma can be obtained using methods including, but not limited to, Boltzmann Plot, two-line method, Saha-Boltzmann method, or external device aids (eg, Thomson scattering method).
上述Imn对应激光烧蚀的原子或离子的粒子数N可以通过如下方式获得:将N分为两部分的乘积,第一部分为单位能量密度对应的激光烧蚀的物质的量,可以通过保持其设备其他参数不变,改变激光能量密度对对应标定模型样品结构矩阵范围内的样品进行多次测试形成经验曲线,由插值法得到特定激光能量密度对应的烧蚀量N;第二部分为激光光斑随检测距离变化的函数A(ldetect),可以通过实测或者望远镜设计参数计算得到。The above Imn corresponds to the number N of atoms or ions ablated by laser, which can be obtained by the following method: dividing N into the product of two parts, the first part is the amount of material ablated by laser corresponding to the unit energy density, which can be obtained by maintaining its The other parameters of the equipment remain unchanged, and the laser energy density is changed to perform multiple tests on the samples within the range of the sample structure matrix corresponding to the calibration model to form an empirical curve, and the ablation amount N corresponding to the specific laser energy density is obtained by the interpolation method; the second part is the laser spot. The function A(ldetect ), which varies with the detection distance, can be obtained through actual measurement or calculation of telescope design parameters.
步骤4、对该修正后的检测光谱信息进行数据处理,得到所述被测样品元素成分的分析结果。Step 4: Perform data processing on the corrected detection spectrum information to obtain an analysis result of the elemental composition of the detected sample.
具体可以是将修正后的检测光谱信息S*带入当前标定模型,从而得到各个待测元素的含量。Specifically, the corrected detection spectral information S* can be brought into the current calibration model, so as to obtain the content of each element to be detected.
需要说明的是,上述装置实施例采用了Schwarzchild望远镜结构,仅为更加清晰明朗的描述系统特性,具体实现中可以采用任何满足使用需求的望远镜系统。It should be noted that the above-mentioned apparatus embodiment adopts the Schwarzchild telescope structure, which is only to describe the system characteristics more clearly and clearly, and any telescope system that meets the usage requirements can be used in the specific implementation.
另外,当前标定模型包括但不限于绝对强度法、内标法、无标样标定法、偏最小二乘模型、神经网络模型、支持向量机模型等。需要说明的是,为了更加尽量减小烧蚀量修正时可能会出现的一些误差(比如非平顶激光光束带来的非均匀热传导引起的一些烧蚀量时光斑面积之间的非线性关系),采用归一化的光谱信息作为自变量,元素浓度作为因变量的标定模型更加准确。In addition, current calibration models include, but are not limited to, absolute intensity method, internal standard method, standard-free calibration method, partial least squares model, neural network model, support vector machine model, and the like. It should be noted that, in order to minimize some errors that may occur in the correction of the ablation amount (such as the nonlinear relationship between some ablation amounts caused by the non-uniform heat conduction caused by the non-flat-top laser beam) , the calibration model using the normalized spectral information as the independent variable and the element concentration as the dependent variable is more accurate.
值得注意的是,本发明实施例中未作详细描述的内容属于本领域专业技术人员公知的现有技术。It should be noted that the content not described in detail in the embodiments of the present invention belongs to the prior art known to those skilled in the art.
综上所述,本发明实施例所述装置及方法能够实现远距离变焦距情况下的光谱数据修正与定量分析,为激光诱导击穿光谱在远距离非接触成分检测领域提供了一种切实可行的解决方案,具有广泛、重大的推广意义。To sum up, the device and method described in the embodiments of the present invention can realize the correction and quantitative analysis of spectral data in the case of long-distance zoom, and provide a practical method for laser-induced breakdown spectroscopy in the field of long-distance non-contact component detection. The solution has extensive and significant promotion significance.
以上所述,仅为本发明较佳的具体实施方式,但本发明的保护范围并不局限于此,任何熟悉本技术领域的技术人员在本发明披露的技术范围内,可轻易想到的变化或替换,都应涵盖在本发明的保护范围之内。因此,本发明的保护范围应该以权利要求书的保护范围为准。The above description is only a preferred embodiment of the present invention, but the protection scope of the present invention is not limited to this. Substitutions should be covered within the protection scope of the present invention. Therefore, the protection scope of the present invention should be based on the protection scope of the claims.
| Application Number | Priority Date | Filing Date | Title |
|---|---|---|---|
| CN202010225360.7ACN111289496B (en) | 2020-03-26 | 2020-03-26 | A detection method and device for long-distance zoom laser-induced breakdown spectroscopy |
| Application Number | Priority Date | Filing Date | Title |
|---|---|---|---|
| CN202010225360.7ACN111289496B (en) | 2020-03-26 | 2020-03-26 | A detection method and device for long-distance zoom laser-induced breakdown spectroscopy |
| Publication Number | Publication Date |
|---|---|
| CN111289496Atrue CN111289496A (en) | 2020-06-16 |
| CN111289496B CN111289496B (en) | 2023-05-19 |
| Application Number | Title | Priority Date | Filing Date |
|---|---|---|---|
| CN202010225360.7AExpired - Fee RelatedCN111289496B (en) | 2020-03-26 | 2020-03-26 | A detection method and device for long-distance zoom laser-induced breakdown spectroscopy |
| Country | Link |
|---|---|
| CN (1) | CN111289496B (en) |
| Publication number | Priority date | Publication date | Assignee | Title |
|---|---|---|---|---|
| CN112611744A (en)* | 2020-12-11 | 2021-04-06 | 中国海洋大学 | Underwater LIBS spectrum correction method based on sound wave signals |
| CN113740318A (en)* | 2021-08-24 | 2021-12-03 | 苏州热工研究院有限公司 | Laser-induced breakdown spectroscopy detection system and detection method |
| CN114509425A (en)* | 2022-01-28 | 2022-05-17 | 山东大学 | Material composition surface analysis method based on variable defocus amount laser-induced breakdown spectroscopy |
| CN115753615A (en)* | 2022-11-29 | 2023-03-07 | 大连理工大学 | Real-time in-situ diagnosis system for laser-induced breakdown spectroscopy elements in the inner wall of tokamak |
| CN115901729A (en)* | 2022-09-07 | 2023-04-04 | 广东电网有限责任公司 | A method and device for online detection of wind turbine blade coating aging |
| CN116519669A (en)* | 2023-04-24 | 2023-08-01 | 国能山西河曲发电有限公司 | Coal quality online C model detection method based on laser induction technology |
| WO2023221282A1 (en)* | 2022-05-18 | 2023-11-23 | 合肥金星智控科技股份有限公司 | Model correction method, spectroscopy device, computer device, and storage medium |
| WO2024217363A1 (en)* | 2023-04-17 | 2024-10-24 | 中煤科工集团上海有限公司 | Libs spectrum intelligent acquisition subsystem |
| Publication number | Priority date | Publication date | Assignee | Title |
|---|---|---|---|---|
| WO2011064806A2 (en)* | 2009-11-25 | 2011-06-03 | Consiglio Nazionale Delle Ricerche | Method and apparatus for measurements of luminous isotropic radiation as obtained by means of laser spectroscopy techniques, in particular for sub- micrometric particulate measurements |
| CN103411932A (en)* | 2013-07-30 | 2013-11-27 | 中国科学院上海技术物理研究所 | LIBS testing system and method based on remote zoom optical multiplexing |
| CN103983619A (en)* | 2014-05-16 | 2014-08-13 | 四川大学 | Spatial resolution laser-induced breakdown spectroscopy analysis system and spatial resolution laser-induced breakdown spectroscopy analysis method |
| CN104297218A (en)* | 2013-07-15 | 2015-01-21 | 中国科学院沈阳自动化研究所 | In situ on-line detection device and method for remote metallurgy liquid metal component |
| CN107817239A (en)* | 2016-09-13 | 2018-03-20 | 中国科学院沈阳自动化研究所 | A kind of LIBS spectral correction methods based on plasma position information |
| CN108680592A (en)* | 2018-06-11 | 2018-10-19 | 南京航空航天大学 | A kind of sylvite ingredient online test method |
| Publication number | Priority date | Publication date | Assignee | Title |
|---|---|---|---|---|
| WO2011064806A2 (en)* | 2009-11-25 | 2011-06-03 | Consiglio Nazionale Delle Ricerche | Method and apparatus for measurements of luminous isotropic radiation as obtained by means of laser spectroscopy techniques, in particular for sub- micrometric particulate measurements |
| CN104297218A (en)* | 2013-07-15 | 2015-01-21 | 中国科学院沈阳自动化研究所 | In situ on-line detection device and method for remote metallurgy liquid metal component |
| CN103411932A (en)* | 2013-07-30 | 2013-11-27 | 中国科学院上海技术物理研究所 | LIBS testing system and method based on remote zoom optical multiplexing |
| CN103983619A (en)* | 2014-05-16 | 2014-08-13 | 四川大学 | Spatial resolution laser-induced breakdown spectroscopy analysis system and spatial resolution laser-induced breakdown spectroscopy analysis method |
| CN107817239A (en)* | 2016-09-13 | 2018-03-20 | 中国科学院沈阳自动化研究所 | A kind of LIBS spectral correction methods based on plasma position information |
| CN108680592A (en)* | 2018-06-11 | 2018-10-19 | 南京航空航天大学 | A kind of sylvite ingredient online test method |
| Title |
|---|
| 杨明清等: "纳秒激光诱导击穿光谱技术在岩屑样品元素分析中的应用", 《中国石油勘探》* |
| Publication number | Priority date | Publication date | Assignee | Title |
|---|---|---|---|---|
| CN112611744A (en)* | 2020-12-11 | 2021-04-06 | 中国海洋大学 | Underwater LIBS spectrum correction method based on sound wave signals |
| CN112611744B (en)* | 2020-12-11 | 2021-12-10 | 中国海洋大学 | A Spectral Correction Method for Underwater LIBS Based on Acoustic Signals |
| CN113740318A (en)* | 2021-08-24 | 2021-12-03 | 苏州热工研究院有限公司 | Laser-induced breakdown spectroscopy detection system and detection method |
| CN113740318B (en)* | 2021-08-24 | 2023-05-30 | 苏州热工研究院有限公司 | Laser-induced breakdown spectroscopy detection system and detection method |
| CN114509425A (en)* | 2022-01-28 | 2022-05-17 | 山东大学 | Material composition surface analysis method based on variable defocus amount laser-induced breakdown spectroscopy |
| WO2023221282A1 (en)* | 2022-05-18 | 2023-11-23 | 合肥金星智控科技股份有限公司 | Model correction method, spectroscopy device, computer device, and storage medium |
| CN115901729A (en)* | 2022-09-07 | 2023-04-04 | 广东电网有限责任公司 | A method and device for online detection of wind turbine blade coating aging |
| CN115753615A (en)* | 2022-11-29 | 2023-03-07 | 大连理工大学 | Real-time in-situ diagnosis system for laser-induced breakdown spectroscopy elements in the inner wall of tokamak |
| CN115753615B (en)* | 2022-11-29 | 2024-05-28 | 大连理工大学 | Real-time in-situ diagnosis system for laser-induced breakdown spectroscopy element of inner wall of tokamak |
| WO2024217363A1 (en)* | 2023-04-17 | 2024-10-24 | 中煤科工集团上海有限公司 | Libs spectrum intelligent acquisition subsystem |
| CN116519669A (en)* | 2023-04-24 | 2023-08-01 | 国能山西河曲发电有限公司 | Coal quality online C model detection method based on laser induction technology |
| Publication number | Publication date |
|---|---|
| CN111289496B (en) | 2023-05-19 |
| Publication | Publication Date | Title |
|---|---|---|
| CN111289496B (en) | A detection method and device for long-distance zoom laser-induced breakdown spectroscopy | |
| CN104897607B (en) | Portable near infrared spectrum food modeling and quick detection integral method and system | |
| CN103175808B (en) | Laser-induced breakdown spectroscopy analysis system and method | |
| CN103499392B (en) | TeraHertz-wave far-field detection super-diffraction resolution imaging instrument | |
| CN101782432B (en) | Universal photoelectric test system for tera-hertz spectra | |
| US9164031B2 (en) | Measurement apparatus and method, tomography apparatus and method | |
| CN102590157B (en) | Element spectrum analysis method and laser element exploration equipment adopting same | |
| CN102507511A (en) | An infrared and ultraviolet double pulse laser-induced breakdown spectroscopy online in-situ detection device | |
| CN105784334A (en) | Fiber laser beam quality measurement method base on photoelectric detector and CCD camera | |
| CN102262075A (en) | Method for measuring elemental concentration through laser-induced breakdown spectroscopy based on spectrophotometry | |
| CN108267420A (en) | Seed aqueous amount detection systems and method | |
| CN108957426A (en) | A kind of laser radar photoelectric detecting system detection performance test method and device | |
| US20130077084A1 (en) | Object characteristic measuring system | |
| CN102410993A (en) | Elemental Measurement Method Based on Standardization of Laser-Induced Plasma Emission Spectra | |
| CN103913439A (en) | Two-dimensional resolution scanning imaging and infrared modulation photoluminescence spectrum test device and method | |
| CN116297319A (en) | Lily heavy metal accurate detection method and system based on LIBS and NIR data fusion | |
| RU2752809C1 (en) | Spectrothermometry method | |
| CN105258802A (en) | Unstable environment transient-state temperature measuring device based on coarse and fine two-stage light splitting structure | |
| CN106404189B (en) | The method for measuring thz beam parameter | |
| CN203489968U (en) | Terahertz wave far field detection super diffraction resolution imager | |
| CN108195823B (en) | A laser-induced breakdown spectroscopy detection system | |
| CN107561008A (en) | A kind of device for VUV diffusing reflection plate BRDF feature measurements | |
| CN111272735B (en) | A detection method of laser-induced breakdown spectroscopy | |
| CN203929098U (en) | The photodetector absolute spectral response calibrating installation that a kind of illumination is adjustable | |
| CN107036712A (en) | A kind of spectrum channel calibration data acquisition method and system |
| Date | Code | Title | Description |
|---|---|---|---|
| PB01 | Publication | ||
| PB01 | Publication | ||
| SE01 | Entry into force of request for substantive examination | ||
| SE01 | Entry into force of request for substantive examination | ||
| GR01 | Patent grant | ||
| GR01 | Patent grant | ||
| CF01 | Termination of patent right due to non-payment of annual fee | Granted publication date:20230519 | |
| CF01 | Termination of patent right due to non-payment of annual fee |