
技术领域technical field
本发明一种微弱信号噪声剥离方法属于数字信号处理技术领域,具体涉及一种微弱信号检测方法。The invention relates to a weak signal noise stripping method, belonging to the technical field of digital signal processing, in particular to a weak signal detection method.
背景技术Background technique
微弱信号检测技术在自动化、电子工程、物理、化学、生物医学工程、核技术、测试技术与仪器等领域具有广泛应用,是电子噪声、低噪声设计、电磁兼容性、微弱信号检测工程技术人员必备的专业知识。Weak signal detection technology has a wide range of applications in automation, electronic engineering, physics, chemistry, biomedical engineering, nuclear technology, testing technology and instruments, etc. Prepared professional knowledge.
由于噪声的强度远远大于有用信号,有用信号完全被噪声所淹没,因此微弱信号检测的难度大于普通信号检测。Since the intensity of the noise is much greater than the useful signal, the useful signal is completely submerged by the noise, so the detection of weak signals is more difficult than the detection of ordinary signals.
随着数字信号处理技术的发展,微弱信号检测也出现了非常丰富的算法,应用较多的是各类自适应噪声抵消,包括最陡下降法、最小均方算法、归一化最小均方算法、卡尔曼滤波算法等等。目前,仍然有各类算法不断出现。With the development of digital signal processing technology, very rich algorithms have emerged for weak signal detection, and various adaptive noise cancellation are widely used, including the steepest descent method, the least mean square algorithm, and the normalized least mean square algorithm. , Kalman filter algorithm, etc. At present, various algorithms are still emerging.
发明内容SUMMARY OF THE INVENTION
为了将有用信号从干扰信号中剥离,本发明公开了一种微弱信号噪声剥离方法,通过建立评价函数,并从有用信号的预测值、干扰信号和噪声信号中选择两个或三个进行运算,利用评价函数的极值确定有用信号,该方法在有用信号与噪声信号相关性越低的情况下,具有越好的效果。In order to strip the useful signal from the interference signal, the present invention discloses a method for stripping the noise of the weak signal. Using the extreme value of the evaluation function to determine the useful signal, this method has a better effect when the correlation between the useful signal and the noise signal is lower.
本发明的目的是这样实现的:The object of the present invention is achieved in this way:
一种微弱信号噪声剥离方法,包括以下步骤:A weak signal noise stripping method, comprising the following steps:
步骤a、确定有用信号的范围,其中,幅值上限为xmax,幅值下限为xmin;Step a. Determine the range of the useful signal, wherein the upper limit of the amplitude is xmax , and the lower limit of the amplitude is xmin ;
步骤b、确定有用信号的细分数N;Step b, determine the number of subdivisions N of the useful signal;
步骤c、根据干扰信号或噪声信号或有用信号的位数n,确定循环数n;Step c. Determine the cycle number n according to the number of bits n of the interference signal or the noise signal or the useful signal;
步骤d、用干扰信号yn-1…y2y1减去有用信号估计值xnxn-1…x2x1,得到噪声信号估计值znzn-1…z2z1,其中,xi=xmin+(ki-1)·(xmax-xmin)/N,i=1,2,...,n,ki=1,...,N+1Step d. Subtract the useful signal estimation value xn xn-1. . . x 2 x 1fromtheinterference signal yn-1. where xi =xmin +(ki -1)·(xmax -xmin )/N, i=1,2,...,n, ki =1,...,N+1
步骤e、按照如下公式计算Step e, calculate according to the following formula
步骤f、确定R1(kn,kn-1,…,k1)最大时所对应的xn(kn)xn-1(kn-1)…x2(k2)x1(k1),即为剥离噪声后的微弱信号。Step f. Determine the corresponding xn (kn )xn-1 (kn-1 )...x2 (k2 )x1 when R1 (kn ,kn-1 ,...,k1 ) is the largest (k1 ), which is the weak signal after stripping the noise.
一种微弱信号噪声剥离方法,包括以下步骤:A weak signal noise stripping method, comprising the following steps:
步骤a、确定有用信号的范围,其中,幅值上限为xmax,幅值下限为xmin;Step a. Determine the range of the useful signal, wherein the upper limit of the amplitude is xmax , and the lower limit of the amplitude is xmin ;
步骤b、确定有用信号的细分数N;Step b, determine the number of subdivisions N of the useful signal;
步骤c、根据干扰信号或噪声信号或有用信号的位数n,确定循环数n;Step c. Determine the cycle number n according to the number of bits n of the interference signal or the noise signal or the useful signal;
步骤d、用干扰信号yn-1…y2y1减去有用信号估计值xnxn-1…x2x1,得到噪声信号估计值znzn-1…z2z1,其中,xi=xmin+(ki-1)·(xmax-xmin)/N,i=1,2,...,n,ki=1,...,N+1Step d. Subtract the useful signal estimation value xn xn-1. . . x 2 x 1fromtheinterference signal yn-1. where xi =xmin +(ki -1)·(xmax -xmin )/N, i=1,2,...,n, ki =1,...,N+1
步骤e、按照如下公式计算Step e, calculate according to the following formula
步骤f、确定R2(kn,kn-1,…,k1)最小时所对应的xn(kn)xn-1(kn-1)…x2(k2)x1(k1),即为剥离噪声后的微弱信号。Step f. Determine the corresponding xn (kn )xn-1 (kn-1 )...x2 (k2 )x1 when R2 (kn ,kn-1 ,...,k1 ) is the smallest (k1 ), which is the weak signal after stripping the noise.
一种微弱信号噪声剥离方法,包括以下步骤:A weak signal noise stripping method, comprising the following steps:
步骤a、确定有用信号的范围,其中,幅值上限为xmax,幅值下限为xmin;Step a. Determine the range of the useful signal, wherein the upper limit of the amplitude is xmax , and the lower limit of the amplitude is xmin ;
步骤b、确定有用信号的细分数N;Step b, determine the number of subdivisions N of the useful signal;
步骤c、根据干扰信号或噪声信号或有用信号的位数n,确定循环数n;Step c. Determine the cycle number n according to the number of bits n of the interference signal or the noise signal or the useful signal;
步骤d、用干扰信号yn-1…y2y1减去有用信号估计值xnxn-1…x2x1,得到噪声信号估计值znzn-1…z2z1,其中,xi=xmin+(ki-1)·(xmax-xmin)/N,i=1,2,...,n,ki=1,...,N+1Step d. Subtract the useful signal estimation value xn xn-1. . . x 2 x 1fromtheinterference signal yn-1. where xi =xmin +(ki -1)·(xmax -xmin )/N, i=1,2,...,n, ki =1,...,N+1
步骤e、按照如下公式计算Step e, calculate according to the following formula
步骤f、确定R3(kn,kn-1,…,k1)最大时所对应的xn(kn)xn-1(kn-1)…x2(k2)x1(k1),即为剥离噪声后的微弱信号。Step f. Determine the corresponding xn (kn )xn-1 (kn-1 )...x2 (k2 )x1 when R3 (kn ,kn-1 ,...,k1 ) is the largest (k1 ), which is the weak signal after stripping the noise.
一种微弱信号噪声剥离方法,包括以下步骤:A weak signal noise stripping method, comprising the following steps:
步骤a、确定有用信号的范围,其中,幅值上限为xmax,幅值下限为xmin;Step a. Determine the range of the useful signal, wherein the upper limit of the amplitude is xmax , and the lower limit of the amplitude is xmin ;
步骤b、确定有用信号的细分数N;Step b, determine the number of subdivisions N of the useful signal;
步骤c、根据干扰信号或噪声信号或有用信号的位数n,确定循环数n;Step c. Determine the cycle number n according to the number of bits n of the interference signal or the noise signal or the useful signal;
步骤d、用干扰信号yn-1…y2y1减去有用信号估计值xnxn-1…x2x1,得到噪声信号估计值znzn-1…z2z1,其中,xi=xmin+(ki-1)·(xmax-xmin)/N,i=1,2,...,n,ki=1,...,N+1Step d. Subtract the useful signal estimation value xn xn-1. . . x 2 x 1fromtheinterference signal yn-1. where xi =xmin +(ki -1)·(xmax -xmin )/N, i=1,2,...,n, ki =1,...,N+1
步骤e、按照如下公式计算Step e, calculate according to the following formula
步骤f、确定R4(kn,kn-1,…,k1)最小时所对应的xn(kn)xn-1(kn-1)…x2(k2)x1(k1),即为剥离噪声后的微弱信号。Step f. Determine the corresponding xn (kn )xn-1 (kn-1 )...x2 (k2 )x1 when R4 (kn ,kn-1 ,...,k1 ) is the smallest (k1 ), which is the weak signal after stripping the noise.
一种微弱信号噪声剥离方法,包括以下步骤:A weak signal noise stripping method, comprising the following steps:
步骤a、确定有用信号的范围,其中,幅值上限为xmax,幅值下限为xmin;Step a. Determine the range of the useful signal, wherein the upper limit of the amplitude is xmax , and the lower limit of the amplitude is xmin ;
步骤b、确定有用信号的细分数N;Step b, determine the number of subdivisions N of the useful signal;
步骤c、根据干扰信号或噪声信号或有用信号的位数n,确定循环数n;Step c. Determine the cycle number n according to the number of bits n of the interference signal or the noise signal or the useful signal;
步骤d、用干扰信号yn-1…y2y1减去有用信号估计值xnxn-1…x2x1,得到噪声信号估计值znzn-1…z2z1,其中,xi=xmin+(ki-1)·(xmax-xmin)/N,i=1,2,...,n,ki=1,...,N+1Step d. Subtract the useful signal estimation value xn xn-1. . . x 2 x 1fromtheinterference signal yn-1. where xi =xmin +(ki -1)·(xmax -xmin )/N, i=1,2,...,n, ki =1,...,N+1
步骤e、按照如下公式计算Step e, calculate according to the following formula
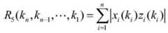
步骤f、确定R5(kn,kn-1,…,k1)最小时所对应的xn(kn)xn-1(kn-1)…x2(k2)x1(k1),即为剥离噪声后的微弱信号。Step f. Determine the corresponding xn (kn )xn-1 (kn-1 )...x2 (k2 )x1 when R5 (kn ,kn-1 ,...,k1 ) is the smallest (k1 ), which is the weak signal after stripping the noise.
有益效果:Beneficial effects:
本发明一共提供了五种不同的微弱信号噪声剥离方法,这五种方法,都是在有用信号幅值范围内对有用信号的每一位进行预测,并将预测结果都带入评估算法中进行评估,其中:The present invention provides a total of five different weak signal noise stripping methods, all of which are to predict each bit of the useful signal within the range of the useful signal amplitude, and bring the prediction results into the evaluation algorithm for assessment, which:
算法一、构建一种全新的评价函数,该评价函数能够评价有用信号的自相关性,在有用信号估计值越准的情况下,自相关运算结果越大,利用这个原理,通过选择最大评价函数所对应的有用信号估计值,即可将有用信号从干扰信号中剥离。Algorithm 1. Construct a brand-new evaluation function, which can evaluate the autocorrelation of the useful signal. The more accurate the estimated value of the useful signal, the greater the result of the autocorrelation operation. Using this principle, by selecting the maximum evaluation function The corresponding estimated value of the useful signal, the useful signal can be stripped from the interference signal.
算法二、构建一种全新的评价函数,该评价函数能够评价有用信号和干扰信号的互相关性,由于本申请所针对的是微弱信号,干扰信号大部分是噪声信号,因此干扰信号和噪声信号相关性很大,利用这个原理,通过选择最大评价函数所对应的有用信号估计值,即可将有用信号从干扰信号中剥离。Algorithm 2. Construct a brand-new evaluation function, which can evaluate the cross-correlation between the useful signal and the interference signal. Since this application is aimed at weak signals, most of the interference signals are noise signals, so the interference signal and the noise signal The correlation is very large. Using this principle, the useful signal can be stripped from the interference signal by selecting the useful signal estimated value corresponding to the maximum evaluation function.
算法三、构建一种全新的评价函数,该评价函数能够评价干扰信号与噪声信号的互相关性,由于本申请所针对的是微弱信号,干扰信号大部分是噪声信号,因此干扰信号和噪声信号相关性很大,利用这个原理,通过选择最大评价函数所对应的有用信号估计值,即可将有用信号从干扰信号中剥离。Algorithm 3. Construct a brand-new evaluation function, which can evaluate the cross-correlation between the interference signal and the noise signal. Since this application is aimed at weak signals, most of the interference signals are noise signals, so the interference signal and the noise signal The correlation is very large. Using this principle, the useful signal can be stripped from the interference signal by selecting the useful signal estimated value corresponding to the maximum evaluation function.
算法四、构建一种全新的评价函数,该评价函数能够评价干扰信号与有用信号的互相关性,由于本申请所针对的是微弱信号,因此干扰信号大部分是噪声信号,而由于原理上噪声音号与有用信号不相关,因此有用信号估计值越准,评价函数计算结果越小,利用这个原理,通过选择最小评价函数所对应的有用信号估计值,即可将有用信号从干扰信号中剥离。Algorithm 4. Construct a brand-new evaluation function, which can evaluate the cross-correlation between the interference signal and the useful signal. Since this application is aimed at weak signals, most of the interference signals are noise signals. The sound signature is not related to the useful signal, so the more accurate the estimated value of the useful signal, the smaller the calculation result of the evaluation function. Using this principle, the useful signal can be separated from the interference signal by selecting the estimated value of the useful signal corresponding to the minimum evaluation function. .
算法五、构建一种全新的评价函数,该评价函数能够评价噪声信号与有用信号的互相关性,由于原理上噪声音号与有用信号不相关,因此有用信号估计值越准,评价函数计算结果越小,利用这个原理,通过选择最小评价函数所对应的有用信号估计值,即可将有用信号从干扰信号中剥离。Algorithm 5. Construct a brand-new evaluation function, which can evaluate the cross-correlation between the noise signal and the useful signal. Since the noise signature is not correlated with the useful signal in principle, the more accurate the useful signal estimation value is, the better the evaluation function is. The smaller the value is, the useful signal can be stripped from the interference signal by selecting the useful signal estimated value corresponding to the minimum evaluation function by using this principle.
附图说明Description of drawings
图1是执行本申请算法时的软件界面截图。FIG. 1 is a screenshot of the software interface when the algorithm of the present application is executed.
具体实施方式Detailed ways
下面结合附图对本申请具体实施方式作进一步详细描述。The specific embodiments of the present application will be further described in detail below with reference to the accompanying drawings.
以下五个实施方式,均选择一段只有8位的信号,其中,有用信号的幅值不超过噪声信号幅值的二十分之一,确保有用信号相对于噪声信号为微弱信号,有用信号叠加在噪声信号中为干扰信号;这里,有用信号为[2,3,5,4,6,8,4,2],噪声信号为[24,33,51,24,36,48,24,27],那么干扰信号为[26,37,56,28,42,56,28,29],并用Matlab R2014a软件对算法进行仿真,截图如图1所示。In the following five embodiments, a segment of only 8-bit signal is selected, wherein the amplitude of the useful signal does not exceed one-twentieth of the amplitude of the noise signal, so as to ensure that the useful signal is a weak signal relative to the noise signal, and the useful signal is superimposed on the The noise signal is the interference signal; here, the useful signal is [2, 3, 5, 4, 6, 8, 4, 2], and the noise signal is [24, 33, 51, 24, 36, 48, 24, 27] , then the interference signal is [26, 37, 56, 28, 42, 56, 28, 29], and the algorithm is simulated with Matlab R2014a software, as shown in Figure 1.
具体实施方式一Specific implementation one
本实施方式下的微弱信号噪声剥离方法,包括以下步骤:The weak signal noise stripping method in this embodiment includes the following steps:
步骤a、确定有用信号的范围,其中,幅值上限为8,幅值下限为2;Step a. Determine the range of the useful signal, wherein the upper limit of the amplitude is 8, and the lower limit of the amplitude is 2;
步骤b、确定有用信号的细分数6;Step b, determine the subdivision number 6 of the useful signal;
步骤c、根据信号的位数8,确定循环数8;Step c, determine the cycle number 8 according to the number of digits of the signal 8;
步骤d、此时,微弱信号的估计值从22222222到88888888逐个去计算,用干扰信号[26,37,56,28,42,56,28,29]减去有用信号估计值xnxn-1…x2x1,得到噪声信号估计值znzn-1…z2z1,其中,xi=xmin+(ki-1)·(xmax-xmin)/N,i=1,2,...,n,ki=1,...,N+1Step d. At this time, the estimated value of the weak signal is calculated one by one from 22222222 to 88888888, and the estimated value of the useful signal xn xn- 1 ... x2 x1 , the noise signal estimation value zn zn-1 ... z2 z1 is obtained, where xi =xmin +(ki -1)·(xmax -xmin )/N, i =1,2,...,n,ki =1,...,N+1
步骤e、按照如下公式计算Step e, calculate according to the following formula
步骤f、确定R1(kn,kn-1,…,k1)最大时所对应的xn(kn)xn-1(kn-1)…x2(k2)x1(k1),即为剥离噪声后的微弱信号,最后得到有用信号为[4,3,4,4,6,7,3,2]。Step f. Determine the corresponding xn (kn )xn-1 (kn-1 )...x2 (k2 )x1 when R1 (kn ,kn-1 ,...,k1 ) is the largest (k1 ), which is the weak signal after stripping the noise, and finally the useful signal is [4, 3, 4, 4, 6, 7, 3, 2].
所执行的程序如下:The procedure performed is as follows:
具体实施方式二Specific embodiment two
本实施方式下的微弱信号噪声剥离方法,包括以下步骤:The weak signal noise stripping method in this embodiment includes the following steps:
步骤a、确定有用信号的范围,其中,幅值上限为8,幅值下限为2;Step a. Determine the range of the useful signal, wherein the upper limit of the amplitude is 8, and the lower limit of the amplitude is 2;
步骤b、确定有用信号的细分数6;Step b, determine the subdivision number 6 of the useful signal;
步骤c、根据信号的位数8,确定循环数8;Step c, determine the cycle number 8 according to the number of digits of the signal 8;
步骤d、此时,微弱信号的估计值从22222222到88888888逐个去计算,用干扰信号[26,37,56,28,42,56,28,29]减去有用信号估计值xnxn-1…x2x1,得到噪声信号估计值znzn-1…z2z1,其中,xi=xmin+(ki-1)·(xmax-xmin)/N,i=1,2,...,n,ki=1,...,N+1Step d. At this time, the estimated value of the weak signal is calculated one by one from 22222222 to 88888888, and the estimated value of the useful signal xn xn- 1 ... x2 x1 , the noise signal estimation value zn zn-1 ... z2 z1 is obtained, where xi =xmin +(ki -1)·(xmax -xmin )/N, i =1,2,...,n,ki =1,...,N+1
步骤e、按照如下公式计算Step e, calculate according to the following formula
步骤f、确定R2(kn,kn-1,…,k1)最小时所对应的xn(kn)xn-1(kn-1)…x2(k2)x1(k1),即为剥离噪声后的微弱信号,最后得到有用信号为[3,2,5,5,6,7,4,4]。Step f. Determine the corresponding xn (kn )xn-1 (kn-1 )...x2 (k2 )x1 when R2 (kn ,kn-1 ,...,k1 ) is the smallest (k1 ), which is the weak signal after stripping the noise, and finally the useful signal is [3, 2, 5, 5, 6, 7, 4, 4].
所执行的程序如下:The procedure performed is as follows:
具体实施方式三Specific embodiment three
本实施方式下的微弱信号噪声剥离方法,包括以下步骤:The weak signal noise stripping method in this embodiment includes the following steps:
步骤a、确定有用信号的范围,其中,幅值上限为8,幅值下限为2;Step a. Determine the range of the useful signal, wherein the upper limit of the amplitude is 8, and the lower limit of the amplitude is 2;
步骤b、确定有用信号的细分数6;Step b, determine the subdivision number 6 of the useful signal;
步骤c、根据信号的位数8,确定循环数8;Step c, determine the cycle number 8 according to the number of digits of the signal 8;
步骤d、此时,微弱信号的估计值从22222222到88888888逐个去计算,用干扰信号[26,37,56,28,42,56,28,29]减去有用信号估计值xnxn-1…x2x1,得到噪声信号估计值znzn-1…z2z1,其中,xi=xmin+(ki-1)·(xmax-xmin)/N,i=1,2,...,n,ki=1,...,N+1Step d. At this time, the estimated value of the weak signal is calculated one by one from 22222222 to 88888888, and the estimated value of the useful signal xn xn- 1 ... x2 x1 , the noise signal estimation value zn zn-1 ... z2 z1 is obtained, where xi =xmin +(ki -1)·(xmax -xmin )/N, i =1,2,...,n,ki =1,...,N+1
步骤e、按照如下公式计算Step e, calculate according to the following formula
步骤f、确定R3(kn,kn-1,…,k1)最大时所对应的xn(kn)xn-1(kn-1)…x2(k2)x1(k1),即为剥离噪声后的微弱信号,最后得到有用信号为[2,5,5,5,6,7,3,3]。Step f. Determine the corresponding xn (kn )xn-1 (kn-1 )...x2 (k2 )x1 when R3 (kn ,kn-1 ,...,k1 ) is the largest (k1 ) is the weak signal after stripping the noise, and finally the useful signal is obtained as [2,5,5,5,6,7,3,3].
所执行的程序如下:The procedure performed is as follows:
具体实施方式四Specific embodiment four
本实施方式下的微弱信号噪声剥离方法,包括以下步骤:The weak signal noise stripping method in this embodiment includes the following steps:
步骤a、确定有用信号的范围,其中,幅值上限为8,幅值下限为2;Step a. Determine the range of the useful signal, wherein the upper limit of the amplitude is 8, and the lower limit of the amplitude is 2;
步骤b、确定有用信号的细分数6;Step b, determine the subdivision number 6 of the useful signal;
步骤c、根据信号的位数8,确定循环数8;Step c, determine the cycle number 8 according to the number of digits of the signal 8;
步骤d、此时,微弱信号的估计值从22222222到88888888逐个去计算,用干扰信号[26,37,56,28,42,56,28,29]减去有用信号估计值xnxn-1…x2x1,得到噪声信号估计值znzn-1…z2z1,其中,xi=xmin+(ki-1)·(xmax-xmin)/N,i=1,2,...,n,ki=1,...,N+1Step d. At this time, the estimated value of the weak signal is calculated one by one from 22222222 to 88888888, and the estimated value of the useful signal xn xn- 1 ... x2 x1 , the noise signal estimation value zn zn-1 ... z2 z1 is obtained, where xi =xmin +(ki -1)·(xmax -xmin )/N, i =1,2,...,n,ki =1,...,N+1
步骤e、按照如下公式计算Step e, calculate according to the following formula
步骤f、确定R4(kn,kn-1,…,k1)最小时所对应的xn(kn)xn-1(kn-1)…x2(k2)x1(k1),即为剥离噪声后的微弱信号,最后得到有用信号为[2,4,6,4,5,8,5,2]。Step f. Determine the corresponding xn (kn )xn-1 (kn-1 )...x2 (k2 )x1 when R4 (kn ,kn-1 ,...,k1 ) is the smallest (k1 ) is the weak signal after stripping the noise, and finally the useful signal is [2,4,6,4,5,8,5,2].
所执行的程序如下:The procedure performed is as follows:
具体实施方式五Specific implementation five
本实施方式下的微弱信号噪声剥离方法,包括以下步骤:The weak signal noise stripping method in this embodiment includes the following steps:
步骤a、确定有用信号的范围,其中,幅值上限为8,幅值下限为2;Step a. Determine the range of the useful signal, wherein the upper limit of the amplitude is 8, and the lower limit of the amplitude is 2;
步骤b、确定有用信号的细分数6;Step b, determine the subdivision number 6 of the useful signal;
步骤c、根据信号的位数8,确定循环数8;Step c, determine the cycle number 8 according to the number of digits of the signal 8;
步骤d、此时,微弱信号的估计值从22222222到88888888逐个去计算,用干扰信号[26,37,56,28,42,56,28,29]减去有用信号估计值xnxn-1…x2x1,得到噪声信号估计值znzn-1…z2z1,其中,xi=xmin+(ki-1)·(xmax-xmin)/N,i=1,2,...,n,ki=1,...,N+1Step d. At this time, the estimated value of the weak signal is calculated one by one from 22222222 to 88888888, and the estimated value of the useful signal xn xn- 1 ... x2 x1 , the noise signal estimation value zn zn-1 ... z2 z1 is obtained, where xi =xmin +(ki -1)·(xmax -xmin )/N, i =1,2,...,n,ki =1,...,N+1
步骤e、按照如下公式计算Step e, calculate according to the following formula
步骤f、确定R5(kn,kn-1,…,k1)最小时所对应的xn(kn)xn-1(kn-1)…x2(k2)x1(k1),即为剥离噪声后的微弱信号,最后得到有用信号为[2,4,5,5,6,7,4,2]。Step f. Determine the corresponding xn (kn )xn-1 (kn-1 )...x2 (k2 )x1 when R5 (kn ,kn-1 ,...,k1 ) is the smallest (k1 ), which is the weak signal after stripping the noise, and finally the useful signal is [2, 4, 5, 5, 6, 7, 4, 2].
所执行的程序如下:The procedure performed is as follows:
从仿真结果来看,剥离后得到的有用信号与真实结果均有一定差距,但是差距不大,这说明,本申请提出的方法具有一定的效果,但是效果还有待提高,同时,效果不够理想的原因与噪声信号与有用信号之间仍然具有一定相关性有关,如果二者一点不相关,则效果会比较理想。From the simulation results, there is a certain gap between the useful signals obtained after stripping and the real results, but the gap is not large, which shows that the method proposed in this application has a certain effect, but the effect needs to be improved, and the effect is not ideal. The reason is that there is still a certain correlation between the noise signal and the useful signal. If the two are not correlated at all, the effect will be ideal.
| Application Number | Priority Date | Filing Date | Title |
|---|---|---|---|
| CN202010159454.9ACN111275019B (en) | 2020-03-09 | 2020-03-09 | Weak signal noise stripping method |
| Application Number | Priority Date | Filing Date | Title |
|---|---|---|---|
| CN202010159454.9ACN111275019B (en) | 2020-03-09 | 2020-03-09 | Weak signal noise stripping method |
| Publication Number | Publication Date |
|---|---|
| CN111275019Atrue CN111275019A (en) | 2020-06-12 |
| CN111275019B CN111275019B (en) | 2022-02-08 |
| Application Number | Title | Priority Date | Filing Date |
|---|---|---|---|
| CN202010159454.9AActiveCN111275019B (en) | 2020-03-09 | 2020-03-09 | Weak signal noise stripping method |
| Country | Link |
|---|---|
| CN (1) | CN111275019B (en) |
| Publication number | Priority date | Publication date | Assignee | Title |
|---|---|---|---|---|
| US4727504A (en)* | 1984-07-05 | 1988-02-23 | The Charles Stark Draper Laboratory, Inc. | Interference canceller and signal quantizer |
| CN103136443A (en)* | 2013-01-27 | 2013-06-05 | 长春理工大学 | Method for estimating weak signal amplitude under alpha noise background |
| CN104268630A (en)* | 2014-09-28 | 2015-01-07 | 石家庄铁道大学 | Weak signal detection method based on Lu system |
| CN105447318A (en)* | 2015-12-01 | 2016-03-30 | 北京科技大学 | Weak signal denoising method and apparatus |
| Publication number | Priority date | Publication date | Assignee | Title |
|---|---|---|---|---|
| US4727504A (en)* | 1984-07-05 | 1988-02-23 | The Charles Stark Draper Laboratory, Inc. | Interference canceller and signal quantizer |
| CN103136443A (en)* | 2013-01-27 | 2013-06-05 | 长春理工大学 | Method for estimating weak signal amplitude under alpha noise background |
| CN104268630A (en)* | 2014-09-28 | 2015-01-07 | 石家庄铁道大学 | Weak signal detection method based on Lu system |
| CN105447318A (en)* | 2015-12-01 | 2016-03-30 | 北京科技大学 | Weak signal denoising method and apparatus |
| Title |
|---|
| CHONG YU WEI ET AL: "Weak Signal De-noising Method Based on Accumulation in Frequency Domain and Wavelet Transform", 《2010 THIRD INTERNATIONAL SYMPOSIUM ON INFORMATION PROCESSING》* |
| 李妙珍 等: "强噪声下的微弱信号检测技术", 《电子技术与软件工程》* |
| Publication number | Publication date |
|---|---|
| CN111275019B (en) | 2022-02-08 |
| Publication | Publication Date | Title |
|---|---|---|
| CN110927543A (en) | Power equipment partial discharge ultrasonic signal time difference estimation method | |
| CN112183407B (en) | Tunnel seismic wave data denoising method and system based on time-frequency domain spectral subtraction | |
| CN113642417A (en) | A Denoising Method for Partial Discharge Signal of Insulated Overhead Conductor Based on Improved Wavelet Algorithm | |
| CN109946085A (en) | A method for noise reduction of vibration signal of solid rocket motor | |
| Wan et al. | Optimal tonal detectors based on the power spectrum | |
| CN109973251A (en) | A Blind Source Separation Method for Noise Reduction of Solid Rocket Motor Vibration Signals | |
| CN110428848B (en) | A Speech Enhancement Method Based on Public Space Speech Model Prediction | |
| CN109632071B (en) | Method and device for generating underwater acoustic environment noise data based on time-frequency characteristics | |
| CN115017445A (en) | A propeller state identification method based on CEEMDAN combined with approximate entropy | |
| CN119865263A (en) | Method, device, equipment, storage medium and product for processing interference component | |
| CN111275019A (en) | A Method for Stripping Weak Signal Noise | |
| CN113823317A (en) | Transformer substation noise separation method, device and medium based on frequency spectrum structured recognition | |
| CN111368778B (en) | A Noise Stripping Method for Weak Signals Based on Intelligent Optimization Algorithm | |
| CN106598910A (en) | EMD (Empirical Mode Decomposition) end effect inhibiting method and system | |
| Sun | The study and test of ICA algorithms | |
| CN114927141B (en) | Method and system for detecting abnormal underwater acoustic signals | |
| CN117409799A (en) | Audio signal processing system and method | |
| CN115932808A (en) | A passive sonar intelligent detection method based on multi-feature fusion | |
| CN116027411B (en) | A data-driven surface roll prediction method, device, electronic device, and system | |
| CN112305380A (en) | A method for partial discharge white noise suppression based on S-transform and spectral kurtosis | |
| JP4198690B2 (en) | Noise measurement method, noise measurement program, and noise measurement device | |
| Miao et al. | A Novel Tracker of Adaptive Directional Ridge Separation and Prediction for Detecting Whistles | |
| CN112149291B (en) | Weak harmonic signal detection system and method | |
| CN119688051B (en) | Underwater blast sound analysis method and device | |
| CN120316582A (en) | Wireless composite interference signal recognition method based on artificial intelligence |
| Date | Code | Title | Description |
|---|---|---|---|
| PB01 | Publication | ||
| PB01 | Publication | ||
| SE01 | Entry into force of request for substantive examination | ||
| SE01 | Entry into force of request for substantive examination | ||
| GR01 | Patent grant | ||
| GR01 | Patent grant | ||
| TR01 | Transfer of patent right | Effective date of registration:20231124 Address after:Room 204, Building 7, University of Science and Technology, No. 52 Xuefu Road, Nangang District, Harbin City, Heilongjiang Province, 150080 Patentee after:Harbin Bo Heng Han Technology Development Co.,Ltd. Address before:150080 Harbin University of Science and Technology, Harbin Road, Nangang District, Heilongjiang, 52 Patentee before:HARBIN University OF SCIENCE AND TECHNOLOGY | |
| TR01 | Transfer of patent right |