


技术领域technical field
本发明属于自动驾驶技术领域,尤其涉及一种基于博弈论的周围车辆交互行为预测方法。The invention belongs to the technical field of automatic driving, and in particular relates to a method for predicting the interaction behavior of surrounding vehicles based on game theory.
背景技术Background technique
自动驾驶技术具有显著提高交通安全性,减少交通拥堵等优点,使得其受到了越来越多的关注。自动驾驶技术通常主要包括环境感知、决策规划和控制执行三个部分,其中车辆的决策规划是衡量车辆智能水平的关键技术之一,智能决策技术的发展能够提高车辆应对复杂交通场景的能力。Autonomous driving technology has the advantages of significantly improving traffic safety and reducing traffic congestion, which has attracted more and more attention. Autonomous driving technology usually mainly includes three parts: environmental perception, decision planning and control execution. The decision planning of the vehicle is one of the key technologies to measure the intelligence level of the vehicle. The development of intelligent decision-making technology can improve the ability of the vehicle to deal with complex traffic scenarios.
车辆的决策规划主要包括两个部分:一方面自动驾驶车辆在做出决策前需要对周围环境的车辆的运动进行预测,另一方面自动驾驶车辆根据对周围环境的感知与对周围车辆未来运动的预测,决策与规划出自车的最优行驶路径。由此可见,对周围车辆的运动预测是否可靠直接决定自动驾驶车辆决策规划出的轨迹是否最优。The decision-making planning of the vehicle mainly includes two parts: on the one hand, the autonomous driving vehicle needs to predict the motion of the vehicles in the surrounding environment before making a decision; Predict, decide and plan the optimal driving path for the vehicle. It can be seen that whether the motion prediction of surrounding vehicles is reliable or not directly determines whether the trajectory planned by the autonomous driving vehicle is optimal.
现有对周围车辆运动预测主要集中于基于物理和基于行为两种方法;基于物理的方法是最简单的运动预测模型。这种方法认为未来交通工具的运动只取决于物理定律,但是驾驶员的意图完全被忽略了。基于行为的模型很好的克服了这一局限,基于行为的运动预测方法通常可以分为直接通过原型轨迹来进行预测和先识别驾驶意图再进行预测两种方式。但是在这些方法中仍然假设车辆的行为是独立于其他车辆执行的,这也可能导致预测的结果不准确。Existing motion prediction of surrounding vehicles mainly focuses on physics-based and behavior-based methods; physics-based methods are the simplest motion prediction models. This approach assumes that the movement of future vehicles depends only on the laws of physics, but the driver's intentions are completely ignored. Behavior-based models overcome this limitation very well. Behavior-based motion prediction methods can usually be divided into two ways: direct prediction through prototype trajectories and first recognition of driving intentions and then prediction. But these methods still assume that the behavior of the vehicle is performed independently of other vehicles, which may also lead to inaccurate predictions.
发明内容SUMMARY OF THE INVENTION
针对于上述现有技术的不足,本发明的目的在于提供一种基于博弈论的周围车辆交互行为预测方法,以解决现有技术中关于周围车辆驾驶行为预测方法中鲜有对周围车辆的交互反应进行预测的问题。In view of the above-mentioned deficiencies of the prior art, the purpose of the present invention is to provide a method for predicting the interactive behavior of surrounding vehicles based on game theory, so as to solve the problem that the interactive reaction to surrounding vehicles is rarely encountered in the methods for predicting the driving behavior of surrounding vehicles in the prior art. The problem of making predictions.
为达到上述目的,本发明采用的技术方案如下:For achieving the above object, the technical scheme adopted in the present invention is as follows:
本发明的一种基于博弈论的周围车辆交互行为预测方法,包括步骤如下:A method for predicting the interactive behavior of surrounding vehicles based on game theory of the present invention includes the following steps:
1)实时采集自动驾驶车辆和周围车辆的状态信息;1) Real-time collection of status information of autonomous vehicles and surrounding vehicles;
2)通过上述采集到的状态信息,对自动驾驶车辆和周围车辆的未来运动轨迹进行预测;2) Predict the future motion trajectories of the autonomous vehicle and surrounding vehicles through the state information collected above;
3)建立行驶收益评估函数,评估自动驾驶车辆和周围车辆的行驶收益;3) Establish a driving benefit evaluation function to evaluate the driving benefits of autonomous vehicles and surrounding vehicles;
4)对车辆的不同运动行为建立驾驶行为集M={LCL,LK,LCR},其中,LCL表示车辆向左换道行驶,LK表示车辆保持车道行驶,LCR表示车辆向右换道行驶;4) Establish a driving behavior set M={LCL, LK, LCR} for the different motion behaviors of the vehicle, where LCL means that the vehicle changes lanes to the left, LK means that the vehicle keeps driving in the lane, and LCR means that the vehicle changes lanes to the right;
5)根据期望效益理论,求解博弈矩阵中自动驾驶车辆不同运动行为下周围车辆下一时刻每种交互行为的期望收益,并将每种交互行为的期望收益归一化处理,得到周围车辆未来产生每种交互行为的概率。5) According to the expected benefit theory, solve the expected benefit of each interaction behavior of surrounding vehicles at the next moment under different motion behaviors of autonomous vehicles in the game matrix, and normalize the expected benefit of each interaction behavior to obtain the future production of surrounding vehicles. The probability of each interaction.
优选地,所述步骤1)中所有车辆的状态信息包括:当前时刻的车辆位置信息、车辆速度信息和车辆的横摆角信息。Preferably, the state information of all vehicles in the step 1) includes: vehicle position information at the current moment, vehicle speed information and vehicle yaw angle information.
优选地,所述步骤2)中具体包括:Preferably, the step 2) specifically includes:
21)得到当前时刻t的自动驾驶车辆和周围车辆的状态信息其中,Xe表示自动驾驶车辆的状态信息,(X1,X2,X3)表示周围车辆的状态信息;21) Obtain the status information of the autonomous vehicle and surrounding vehicles at the current time t Among them, Xe represents the state information of the autonomous vehicle, and (X1 , X2 , X3 ) represents the state information of the surrounding vehicles;
22)根据所有车辆的状态信息以及预测的未来目标位置点,结合运动方程以及利用五次多项式拟合出车辆的未来运动轨迹,具体如下:22) According to the state information of all vehicles and the predicted future target position point, the future motion trajectory of the vehicle is fitted by combining the motion equation and the fifth-order polynomial, as follows:
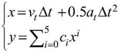
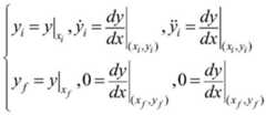
其中:(x,y)表示车辆的位置信息;vt和at表示在t时刻时车辆的速度和加速度;Δt表示采样周期;ci表示多项式轨迹的待定参数,具体约束条件如下:Among them: (x, y) represents the position information of the vehicle; vt and at represent the speed and acceleration of the vehicle at time t; Δt represents the sampling period; ci represents the undetermined parameters of the polynomial trajectory, and the specific constraints are as follows:
其中:(xi,yi)为t时刻时车辆的位置信息;(xf,yf)为经过若干周期后到达的目标位置信息;Among them: (xi , yi ) is the position information of the vehicle at time t; (xf , yf ) is the target position information reached after several cycles;
23)将自动驾驶车辆和周围车辆的运动轨迹离散化得未来每个采样时刻的车辆状态信息,具体如下:23) Discretize the motion trajectories of the autonomous vehicle and surrounding vehicles to obtain the vehicle state information at each sampling moment in the future, as follows:
优选地,所述步骤3)中建立行驶收益评估函数,具体包括:Preferably, in the step 3), a driving benefit evaluation function is established, which specifically includes:
行驶收益评估函数包括安全性收益和可行空间收益两个收益指标;The driving benefit evaluation function includes two benefit indicators: safety benefit and feasible space benefit;
31)安全性收益函数:31) Security benefit function:
其中,τ表示反应时间,包括车辆驾驶系统反应时间τ1和驾驶员的反应时间τ2;和分别表示自动驾驶车辆和周围车辆在t时刻的行驶速度;TH表示车头时距;TTC表示距离碰撞时间;d*表示制动加速度;Among them, τ represents the reaction time, including the vehicle driving system reaction time τ1 and the driver's reaction time τ2 ; and Respectively represent the driving speed of the autonomous vehicle and surrounding vehicles at time t; TH represents the headway; TTC represents the time to collision; d* represents the braking acceleration;
32)可行空间收益函数:32) Feasible space benefit function:
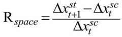
其中,表示车辆与当前车道前车在t时刻的相对位置;表示车辆与目标车道前车在t+1时刻的相对位置;in, Represents the relative position of the vehicle and the preceding vehicle in the current lane at time t; Represents the relative position of the vehicle and the preceding vehicle in the target lane at time t+1;
33)行驶收益评估函数:33) Driving benefit evaluation function:
U=ω1Rsafe+ω2RspaceU=ω1 Rsafe +ω2 Rspace
其中,ω1和ω2分别表示安全性收益与可行空间收益的权重指标。Among them, ω1 and ω2 represent the weight indicators of the security benefit and the feasible space benefit, respectively.
优选地,所述步骤4)中LCL具体分为加速向左换道LCL+、匀速向左换道LCL*和减速向左换道LCL-;LK具体分为保持车道加速行驶LK+、保持车道匀速行驶LK*和保持车道减速行驶LK-;LCR具体分为加速向右换道LCR+、匀速向右换道LCR*和减速向右换道LCR-。Preferably, in the step 4), LCL is specifically divided into acceleration to the left lane LCL+ , constant speed left lane change LCL* and deceleration left lane changeLCL- ; LK is specifically divided into lane keeping acceleration LK+ , lane keeping Driving at a constant speed LK* and driving at a reduced speed LK- while keeping the lane; LCR is divided into acceleration and right lane change LCR+ , constant speed right lane change LCR* and deceleration right lane change LCR- .
优选地,所述步骤5)中具体包括:Preferably, the step 5) specifically includes:
在正常的交通环境中,自动驾驶车辆与周围车辆的交互行为定义如下:In a normal traffic environment, the interaction between an autonomous vehicle and surrounding vehicles is defined as follows:
其中,ai和bj分别代表自动驾驶车辆和周围车辆的交互驾驶行为;Among them, ai and bj represent the interactive driving behavior of the autonomous vehicle and surrounding vehicles, respectively;
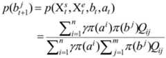
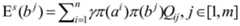
周围车辆的下一时刻每种交互行为的期望收益定义如下:The expected benefit of each interaction behavior of surrounding vehicles at the next moment is defined as follows:
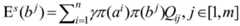
其中,Qij表示考虑到自动驾驶车辆的行为下周围车辆对应行为的行驶收益;γ表示周围车辆每种交互行为下的驾驶风格权重因子。Among them, Qij represents the driving benefit of the corresponding behavior of the surrounding vehicles considering the behavior of the autonomous vehicle; γ represents the driving style weight factor under each interaction behavior of the surrounding vehicles.
本发明的有益效果:Beneficial effects of the present invention:
1、本发明综合考虑到车辆行驶的安全性和可行空间,能够有效评估车辆的行驶收益。1. The present invention comprehensively considers the safety and feasible space of vehicle driving, and can effectively evaluate the driving income of the vehicle.
2、本发明对自动驾驶车辆和周围车辆的运动轨迹进行了预测,充分考虑到了自动驾驶车辆与周围车辆之间的交互行为所带来的运动轨迹的不确定性。2. The present invention predicts the motion trajectories of the self-driving vehicle and surrounding vehicles, and fully considers the uncertainty of the motion trajectories caused by the interaction between the self-driving vehicle and the surrounding vehicles.
3、本发明通过周围车辆未来的期望收益对其未来与自动驾驶车辆产生的交互行为进行预测,使得自动驾驶车辆在做决策规划时,更加安全可靠。3. The present invention predicts the future interaction behavior of the surrounding vehicles with the automatic driving vehicle through the expected income in the future, so that the automatic driving vehicle is safer and more reliable when making a decision and planning.
附图说明Description of drawings
图1为本发明方法的原理框图。FIG. 1 is a schematic block diagram of the method of the present invention.
图2为自动驾驶车辆与周围车辆的运动轨迹预测及其离散化示意图。Figure 2 is a schematic diagram of the motion trajectory prediction and discretization of the autonomous vehicle and surrounding vehicles.
图3为自动驾驶车辆与周围车辆的交互行为分析与预测示意图。Figure 3 is a schematic diagram of the analysis and prediction of the interaction between the autonomous vehicle and the surrounding vehicles.
具体实施方式Detailed ways
为了便于本领域技术人员的理解,下面结合实施例与附图对本发明作进一步的说明,实施方式提及的内容并非对本发明的限定。In order to facilitate the understanding of those skilled in the art, the present invention will be further described below with reference to the embodiments and the accompanying drawings, and the contents mentioned in the embodiments are not intended to limit the present invention.
参照图1所示,本发明的一种基于博弈论的周围车辆交互行为预测方法,包括步骤如下:Referring to FIG. 1 , a method for predicting the interaction behavior of surrounding vehicles based on game theory of the present invention includes the following steps:
1)实时采集自动驾驶车辆和周围车辆的状态信息;所有车辆的状态信息包括:当前时刻的车辆位置信息、车辆速度信息和车辆的横摆角信息。1) Real-time collection of status information of autonomous vehicles and surrounding vehicles; the status information of all vehicles includes: vehicle position information at the current moment, vehicle speed information and vehicle yaw angle information.
2)通过上述采集到的状态信息,对自动驾驶车辆和周围车辆的未来运动轨迹进行预测;2) Predict the future motion trajectories of the autonomous vehicle and surrounding vehicles through the state information collected above;
21)得到当前时刻t的自动驾驶车辆和周围车辆的状态信息其中,Xe表示自动驾驶车辆的状态信息,(X1,X2,X3)表示周围车辆的状态信息;21) Obtain the status information of the autonomous vehicle and surrounding vehicles at the current time t Among them, Xe represents the state information of the autonomous vehicle, and (X1 , X2 , X3 ) represents the state information of the surrounding vehicles;
22)根据所有车辆的状态信息以及预测的未来目标位置点,结合运动方程以及利用五次多项式拟合出车辆的未来运动轨迹,具体如下:22) According to the state information of all vehicles and the predicted future target position point, the future motion trajectory of the vehicle is fitted by combining the motion equation and the fifth-order polynomial, as follows:
其中:(x,y)表示车辆的位置信息;vt和at表示在t时刻时车辆的速度和加速度;Δt表示采样周期;ci表示多项式轨迹的待定参数,具体约束条件如下:Among them: (x, y) represents the position information of the vehicle; vt and at represent the speed and acceleration of the vehicle at time t; Δt represents the sampling period; ci represents the undetermined parameters of the polynomial trajectory, and the specific constraints are as follows:
其中:(xi,yi)为t时刻时车辆的位置信息;(xf,yf)为经过若干周期后到达的目标位置信息;Among them: (xi , yi ) is the position information of the vehicle at time t; (xf , yf ) is the target position information reached after several cycles;
23)将自动驾驶车辆和周围车辆的运动轨迹离散化得未来每个采样时刻的车辆状态信息,参照图2所示,具体如下:23) Discretize the motion trajectories of the autonomous vehicle and surrounding vehicles to obtain the vehicle state information at each sampling moment in the future, as shown in Figure 2, as follows:
3)建立行驶收益评估函数,评估自动驾驶车辆和周围车辆的行驶收益;3) Establish a driving benefit evaluation function to evaluate the driving benefits of autonomous vehicles and surrounding vehicles;
行驶收益评估函数包括安全性收益和可行空间收益两个收益指标;The driving benefit evaluation function includes two benefit indicators: safety benefit and feasible space benefit;
31)安全性收益函数:31) Security benefit function:
其中,τ表示反应时间,包括车辆驾驶系统反应时间τ1和驾驶员的反应时间τ2;和分别表示自动驾驶车辆和周围车辆在t时刻的行驶速度;TH表示车头时距;TTC表示距离碰撞时间;d*表示制动加速度;Among them, τ represents the reaction time, including the vehicle driving system reaction time τ1 and the driver's reaction time τ2 ; and Respectively represent the driving speed of the autonomous vehicle and surrounding vehicles at time t; TH represents the headway; TTC represents the time to collision; d* represents the braking acceleration;
32)可行空间收益函数:32) Feasible space benefit function:
其中,表示车辆与当前车道前车在t时刻的相对位置;表示车辆与目标车道前车在t+1时刻的相对位置;in, Represents the relative position of the vehicle and the preceding vehicle in the current lane at time t; Represents the relative position of the vehicle and the preceding vehicle in the target lane at
33)行驶收益评估函数:33) Driving benefit evaluation function:
U=ω1Rsafe+ω2RspaceU=ω1 Rsafe +ω2 Rspace
其中,ω1和ω2分别表示安全性收益与可行空间收益的权重指标。Among them, ω1 and ω2 represent the weight indicators of the security benefit and the feasible space benefit, respectively.
4)对车辆的不同运动行为建立驾驶行为集M={LCL,LK,LCR},其中,LCL表示车辆向左换道行驶,LK表示车辆保持车道行驶,LCR表示车辆向右换道行驶;其中,LCL表示车辆向左换道行驶,LK表示车辆保持车道行驶,LCR表示车辆向右换道行驶;LCL可具体分为加速向左换道LCL+、匀速向左换道LCL*和减速向左换道LCL-;LK可具体分为保持车道加速行驶LK+、保持车道匀速行驶LK*和保持车道减速行驶LK-;LCR可具体分为加速向右换道LCR+、匀速向右换道LCR*和减速向右换道LCR-。4) Establish a driving behavior set M={LCL, LK, LCR} for the different motion behaviors of the vehicle, where LCL means that the vehicle changes lanes to the left, LK means that the vehicle keeps driving in the lane, and LCR means that the vehicle changes lanes to the right; where , LCL means that the vehicle changes lanes to the left, LK means that the vehicle keeps driving in the lane, LCR means that the vehicle changes lanes to the right; LCL can be specifically divided into acceleration to the left lane LCL+ , uniform left lane change LCL* and deceleration to the left Lane change LCL- ; LK can be divided into lane keeping acceleration LK+ , lane keeping constant speed LK* and lane keeping deceleration LK- ; LCR can be divided into acceleration right lane change LCR+ , constant speed right lane change LCR* and slow down to change lanes to the right LCR- .
5)根据期望效益理论,求解博弈矩阵中自动驾驶车辆不同运动行为下周围车辆下一时刻每种交互行为的期望收益,并将每种交互行为的期望收益归一化处理,得到周围车辆未来产生每种交互行为的概率。5) According to the expected benefit theory, solve the expected benefit of each interaction behavior of surrounding vehicles at the next moment under different motion behaviors of autonomous vehicles in the game matrix, and normalize the expected benefit of each interaction behavior to obtain the future production of surrounding vehicles. The probability of each interaction.
车辆在道路行驶时,根据所采取的策略π不同,其未来的行为往往存在不确定性,其中策略π表示执行某行为的概率;在正常的交通环境中,自动驾驶车辆与周围车辆的交互行为集可定义如下:When a vehicle is driving on the road, depending on the strategy π it adopts, its future behavior is often uncertain, where the strategy π represents the probability of executing a certain behavior; in a normal traffic environment, the interactive behavior of an autonomous vehicle and surrounding vehicles Sets can be defined as follows:
其中,ai和bj分别代表自动驾驶车辆和周围车辆的交互驾驶行为。Among them, ai and bj represent the interactive driving behavior of the autonomous vehicle and surrounding vehicles, respectively.
参照如图3所示,当自动驾驶车辆准备向左换道时,此时周围车辆的交互行为可以看作为保持车道中的加速,匀速和减速、向左换道和向右换道。其中当周围车辆选择车道保持时加速行驶和向右换道都可能导致自动驾驶车辆换道不成功,此时自动驾驶车辆的交互行为主要有向左换道和保持车道行驶。Referring to Figure 3, when the autonomous vehicle is ready to change lanes to the left, the interaction behavior of surrounding vehicles at this time can be seen as acceleration, constant speed and deceleration, lane change left and lane change right in the lane. Among them, when the surrounding vehicles choose to keep the lane, both accelerating and changing lanes to the right may cause the autonomous vehicle to change lanes unsuccessfully.
根据自动驾驶车辆和周围车辆的交互行为的建立期望收益博弈表1,如下:According to the interactive behavior of the autonomous vehicle and the surrounding vehicles, the expected return game table 1 is established, as follows:
表1Table 1
其中,Rij和Qij分别表示自动驾驶车辆与周围车辆对应行为下的行驶收益;Among them, Rij and Qiij represent the driving benefits under the corresponding behaviors of the autonomous vehicle and surrounding vehicles, respectively;
周围车辆的下一时刻每种交互行为的期望收益定义如下:The expected benefit of each interaction behavior of surrounding vehicles at the next moment is defined as follows:
其中,γ表示周围车辆每种交互行为下的驾驶风格权重因子;例如当周围车辆选择保持车道加速行驶时,说明周围车辆对于自动驾驶车辆的换道行为不想避让,这使得周围车辆更期望自动驾驶车辆选择保持车道时自车的期望收益;Among them, γ represents the driving style weight factor under each interaction behavior of the surrounding vehicles; for example, when the surrounding vehicles choose to keep the lane and accelerate, it means that the surrounding vehicles do not want to avoid the lane-changing behavior of the automatic driving vehicle, which makes the surrounding vehicles more expect automatic driving. The expected benefit of the ego vehicle when the vehicle chooses to keep the lane;
周围车辆每种交互行为下总的期望收益定义如下:The total expected benefit under each interaction behavior of surrounding vehicles is defined as follows:
将每种交互行为的期望收益归一化处理,得到周围车辆未来产生每种交互行为的意图概率分布如下:By normalizing the expected benefit of each interaction behavior, the probability distribution of the intention of the surrounding vehicles to produce each interaction behavior in the future is as follows:
其中,和分别表示周围车辆与自动驾驶车辆在t时刻的状态信息;bt和at分别表示周围车辆与自动驾驶车辆在t时刻采取的驾驶行为。in, and represent the state information of surrounding vehicles and autonomous vehicles at time t, respectively; bt and at represent the driving behaviors of surrounding vehicles and autonomous vehicles at time t, respectively.
本发明具体应用途径很多,以上所述仅是本发明的优选实施方式,应当指出,对于本技术领域的普通技术人员来说,在不脱离本发明原理的前提下,还可以作出若干改进,这些改进也应视为本发明的保护范围。There are many specific application ways of the present invention, and the above are only the preferred embodiments of the present invention. It should be pointed out that for those skilled in the art, without departing from the principle of the present invention, several improvements can be made. These Improvements should also be considered as the protection scope of the present invention.
| Application Number | Priority Date | Filing Date | Title |
|---|---|---|---|
| CN202010086201.3ACN111267846B (en) | 2020-02-11 | 2020-02-11 | A Game Theory-Based Method for Predicting the Interaction Behavior of Surrounding Vehicles |
| Application Number | Priority Date | Filing Date | Title |
|---|---|---|---|
| CN202010086201.3ACN111267846B (en) | 2020-02-11 | 2020-02-11 | A Game Theory-Based Method for Predicting the Interaction Behavior of Surrounding Vehicles |
| Publication Number | Publication Date |
|---|---|
| CN111267846A CN111267846A (en) | 2020-06-12 |
| CN111267846Btrue CN111267846B (en) | 2021-05-11 |
| Application Number | Title | Priority Date | Filing Date |
|---|---|---|---|
| CN202010086201.3AActiveCN111267846B (en) | 2020-02-11 | 2020-02-11 | A Game Theory-Based Method for Predicting the Interaction Behavior of Surrounding Vehicles |
| Country | Link |
|---|---|
| CN (1) | CN111267846B (en) |
| Publication number | Priority date | Publication date | Assignee | Title |
|---|---|---|---|---|
| CN111707258B (en)* | 2020-06-15 | 2022-05-31 | 中国第一汽车股份有限公司 | External vehicle monitoring method, device, equipment and storage medium |
| CN113077619B (en)* | 2020-07-08 | 2021-12-07 | 中移(上海)信息通信科技有限公司 | Method, device, equipment and storage medium for vehicle motion prediction |
| CN112116100B (en)* | 2020-09-08 | 2024-02-13 | 南京航空航天大学 | Game theory decision method considering driver type |
| JP7436335B2 (en)* | 2020-09-09 | 2024-02-21 | シャープ株式会社 | Automatic dispatch system and automatic dispatch method |
| CN112373485A (en)* | 2020-11-03 | 2021-02-19 | 南京航空航天大学 | Decision planning method for automatic driving vehicle considering interactive game |
| CN112590791B (en)* | 2020-12-16 | 2022-03-11 | 东南大学 | Intelligent vehicle lane change gap selection method and device based on game theory |
| CN112800939B (en)* | 2021-01-26 | 2024-10-29 | 南京航空航天大学 | Comprehensive motion prediction method for network-connected drive-by-wire chassis vehicle |
| CN114852099B (en)* | 2021-02-03 | 2024-08-02 | 宇通客车股份有限公司 | Method for predicting lane changing behavior of motor vehicle |
| WO2022246802A1 (en)* | 2021-05-28 | 2022-12-01 | 华为技术有限公司 | Driving strategy determination method and apparatus, device, and vehicle |
| CN113516846B (en)* | 2021-06-24 | 2022-12-13 | 长安大学 | Vehicle lane-changing behavior prediction model construction, prediction and early warning method and system |
| JP7707412B6 (en)* | 2021-07-29 | 2025-08-21 | 深▲ジェン▼引望智能技術有限公司 | Intelligent driving decision-making method, vehicle driving control method and device, and vehicle |
| CN114084155B (en)* | 2021-11-15 | 2023-10-20 | 清华大学 | Predictive intelligent automobile decision control method and device, automobile and storage medium |
| CN117500711A (en)* | 2021-11-16 | 2024-02-02 | 华为技术有限公司 | Intelligent driving method and vehicle applying the method |
| CN114162144B (en)* | 2022-01-06 | 2024-02-02 | 苏州挚途科技有限公司 | Automatic driving decision method and device and electronic equipment |
| CN114644018B (en)* | 2022-05-06 | 2024-07-30 | 重庆大学 | A game theory-based decision-making and planning method for human-vehicle interaction in autonomous driving vehicles |
| CN115285123A (en)* | 2022-07-29 | 2022-11-04 | 上海商汤临港智能科技有限公司 | A vehicle driving method, device, computer equipment and storage medium |
| CN115675518B (en)* | 2022-08-31 | 2025-09-09 | 北京百度网讯科技有限公司 | Track planning method and device and electronic equipment |
| CN115503756B (en)* | 2022-09-30 | 2025-01-21 | 华为技术有限公司 | Intelligent driving decision method, decision device and vehicle |
| Publication number | Priority date | Publication date | Assignee | Title |
|---|---|---|---|---|
| CN106874597A (en)* | 2017-02-16 | 2017-06-20 | 北理慧动(常熟)车辆科技有限公司 | A kind of highway passing behavior decision-making technique for being applied to automatic driving vehicle |
| CN108810846A (en)* | 2018-06-20 | 2018-11-13 | 北京邮电大学 | A kind of In-vehicle networking group's sensor coverage method based on urban public transport |
| CN110297494A (en)* | 2019-07-15 | 2019-10-01 | 吉林大学 | A kind of automatic driving vehicle lane-change decision-making technique and system based on rolling game |
| CN110298131A (en)* | 2019-07-05 | 2019-10-01 | 西南交通大学 | Automatic Pilot lane-change decision model method for building up under a kind of mixing driving environment |
| CN110363986A (en)* | 2019-06-28 | 2019-10-22 | 江苏大学 | A centralized vehicle speed optimization method in the merge area based on vehicle-vehicle game and driving potential force |
| Publication number | Priority date | Publication date | Assignee | Title |
|---|---|---|---|---|
| JP6398957B2 (en)* | 2015-12-02 | 2018-10-03 | 株式会社デンソー | Vehicle control device |
| EP4357869A3 (en)* | 2017-03-20 | 2024-06-12 | Mobileye Vision Technologies Ltd. | Trajectory selection for an autonomous vehicle |
| CN107521501B (en)* | 2017-07-11 | 2020-06-30 | 上海蔚来汽车有限公司 | Game theory-based driver assistance system decision method, system and others |
| CN108595823B (en)* | 2018-04-20 | 2021-10-12 | 大连理工大学 | Autonomous main vehicle lane changing strategy calculation method combining driving style and game theory |
| WO2020000192A1 (en)* | 2018-06-26 | 2020-01-02 | Psa Automobiles Sa | Method for providing vehicle trajectory prediction |
| CN109345020B (en)* | 2018-10-02 | 2022-04-01 | 北京航空航天大学 | Non-signalized intersection vehicle driving behavior prediction method under complete information |
| CN109669461B (en)* | 2019-01-08 | 2020-07-28 | 南京航空航天大学 | A decision-making system and its trajectory planning method for autonomous vehicles under complex working conditions |
| CN110362910B (en)* | 2019-07-05 | 2021-07-16 | 西南交通大学 | Game theory-based method for establishing lane-changing conflict coordination model for autonomous vehicles |
| CN110588633B (en)* | 2019-08-21 | 2021-07-20 | 江苏大学 | A path tracking and stability control method for intelligent vehicles under extreme conditions |
| CN110758382B (en)* | 2019-10-21 | 2021-04-20 | 南京航空航天大学 | A system and method for predicting the motion state of surrounding vehicles based on driving intent |
| Publication number | Priority date | Publication date | Assignee | Title |
|---|---|---|---|---|
| CN106874597A (en)* | 2017-02-16 | 2017-06-20 | 北理慧动(常熟)车辆科技有限公司 | A kind of highway passing behavior decision-making technique for being applied to automatic driving vehicle |
| CN108810846A (en)* | 2018-06-20 | 2018-11-13 | 北京邮电大学 | A kind of In-vehicle networking group's sensor coverage method based on urban public transport |
| CN110363986A (en)* | 2019-06-28 | 2019-10-22 | 江苏大学 | A centralized vehicle speed optimization method in the merge area based on vehicle-vehicle game and driving potential force |
| CN110298131A (en)* | 2019-07-05 | 2019-10-01 | 西南交通大学 | Automatic Pilot lane-change decision model method for building up under a kind of mixing driving environment |
| CN110297494A (en)* | 2019-07-15 | 2019-10-01 | 吉林大学 | A kind of automatic driving vehicle lane-change decision-making technique and system based on rolling game |
| Publication number | Publication date |
|---|---|
| CN111267846A (en) | 2020-06-12 |
| Publication | Publication Date | Title |
|---|---|---|
| CN111267846B (en) | A Game Theory-Based Method for Predicting the Interaction Behavior of Surrounding Vehicles | |
| CN111775949B (en) | Personalized driver steering behavior auxiliary method of man-machine co-driving control system | |
| CN110834644B (en) | Vehicle control method and device, vehicle to be controlled and storage medium | |
| WO2021077725A1 (en) | System and method for predicting motion state of surrounding vehicle based on driving intention | |
| CN109727469B (en) | Comprehensive risk degree evaluation method for automatically driven vehicles under multiple lanes | |
| CN106828493B (en) | A kind of automatic driving vehicle layer-stepping longitudinal direction planning control system and method | |
| Wang et al. | Longitudinal collision mitigation via coordinated braking of multiple vehicles using model predictive control | |
| Murphey et al. | Driver's style classification using jerk analysis | |
| CN113291308A (en) | Vehicle self-learning lane-changing decision-making system and method considering driving behavior characteristics | |
| CN111750887A (en) | Method and system for trajectory planning of unmanned vehicles to reduce accident severity | |
| CN108806252A (en) | A kind of Mixed Freeway Traffic Flows collaboration optimal control method | |
| CN112373485A (en) | Decision planning method for automatic driving vehicle considering interactive game | |
| CN116654017A (en) | A method and system for intelligent vehicle collision avoidance decision-making and path planning based on surrounding vehicle trajectory prediction under emergency working conditions | |
| Xu et al. | A nash Q-learning based motion decision algorithm with considering interaction to traffic participants | |
| Fan et al. | Ubiquitous control over heterogeneous vehicles: A digital twin empowered edge AI approach | |
| CN110843789A (en) | Vehicle lane change intention prediction method based on time sequence convolution network | |
| CN113722835B (en) | Personification random lane change driving behavior modeling method | |
| Kim et al. | A modeling framework for connectivity and automation co-simulation | |
| CN115140093B (en) | Real-time track planning method | |
| Qi et al. | Connected cooperative ecodriving system considering human driver error | |
| Barmpounakis et al. | Identifying predictable patterns in the unconventional overtaking decisions of PTW for cooperative ITS | |
| CN116259185B (en) | Vehicle behavior decision method and device fusing prediction algorithm in parking lot scene | |
| CN115140094A (en) | Real-time lane change decision-making method based on longitudinal safety interval model | |
| Liang et al. | Shared steering control with predictive risk field enabled by digital twin | |
| CN116977361A (en) | Method and system for predicting track of automatic driving vehicle |
| Date | Code | Title | Description |
|---|---|---|---|
| PB01 | Publication | ||
| PB01 | Publication | ||
| SE01 | Entry into force of request for substantive examination | ||
| SE01 | Entry into force of request for substantive examination | ||
| GR01 | Patent grant | ||
| GR01 | Patent grant |