



技术领域technical field
本发明属于移动物联网技术领域,特别涉及一种基于业务时延的终端非连续接收(Discontinuous Reception,DRX)方法。The invention belongs to the technical field of mobile Internet of things, and particularly relates to a terminal discontinuous reception (Discontinuous Reception, DRX) method based on service delay.
背景技术Background technique
随着海量数据的爆发式增长和日益加剧的产业化需求,移动通信正逐步从人与人连接扩展到人与物连接、物与物连接。为了满足“万物互联”的需求,第五代移动通信系统(5th Generation Mobile Communication System,5G)应运而生。大规模机器类通信(massive Machine Type of Communication,mMTC)是5G的重要应用场景,主要面向传感器采集的大规模物联网业务。mMTC场景下终端的主要特征包括超高密度(百万/平方公里连接),传输数量极低(几个或十几个字节)且固定,电池驱动(低成本,输出功率受限),超长待机(至少10年)等。With the explosive growth of massive data and the increasing demand for industrialization, mobile communication is gradually expanding from human-to-human connection to human-to-thing connection and thing-to-thing connection. In order to meet the needs of "Internet of Everything", the 5th Generation Mobile Communication System (5G) came into being. Massive Machine Type of Communication (mMTC) is an important application scenario of 5G, mainly for large-scale IoT services collected by sensors. The main characteristics of terminals in the mMTC scenario include ultra-high density (millions/km2 of connections), extremely low number of transmissions (several or more than a dozen bytes) and fixed, battery-driven (low cost, limited output power), ultra-high Long standby time (at least 10 years), etc.
为了降低终端功耗,3GPP标准中引入了DRX候选技术。DRX是终端仅在必要的时间打开接收机进入激活态,以接收下行数据和信令,而在其他时间关闭接收机进入休眠态,停止接收下行数据和信令的一种节省终端电力消耗的工作模式。终端省电可以用有效睡眠时间占DRX周期的比例来衡量,有效睡眠时间越大,节能效果越好,但睡眠时间过大或过小都不满足业务需求。但是在现有的技术框架下,标准DRX参数配置固定,而mMTC业务又应用广泛,涉及业务类型繁多,统一而固定的参数无法满足所有业务场景的需求,为mMTC的海量部署带来限制。因此,业界亟需一种灵活的DRX参数配置,以改善现有技术中的不足。In order to reduce the power consumption of the terminal, the DRX candidate technology is introduced in the 3GPP standard. DRX is a kind of work that saves the power consumption of the terminal in which the terminal only turns on the receiver and enters the active state at necessary times to receive downlink data and signaling, and turns off the receiver and enters the dormant state at other times to stop receiving downlink data and signaling. model. The power saving of the terminal can be measured by the ratio of the effective sleep time to the DRX cycle. The longer the effective sleep time is, the better the energy saving effect will be. However, if the sleep time is too large or too small, it will not meet the business needs. However, under the existing technical framework, the standard DRX parameter configuration is fixed, and the mMTC business is widely used, involving a wide variety of business types, and the unified and fixed parameters cannot meet the needs of all business scenarios, which limits the mass deployment of mMTC. Therefore, the industry urgently needs a flexible DRX parameter configuration to improve the deficiencies in the prior art.
非专利文献Non-patent literature
非专利文献1:余翔,宋瑶.LTE系统中DRX机制的分析与优化设计[J].重庆邮电大学学报(自然科学版),2014,026(003):299-304.Non-patent literature 1: Yu Xiang, Song Yao. Analysis and optimization design of DRX mechanism in LTE system [J]. Journal of Chongqing University of Posts and Telecommunications (Natural Science Edition), 2014, 026(003): 299-304.
发明内容SUMMARY OF THE INVENTION
有鉴于此,本发明的目的在于提出一种基于业务时延的物联网终端非连续接收方法,尤其涉及一种DRX长周期动态配置与调度的方法,从而有效降低终端功耗,适应mMTC业务的多样性需求。In view of this, the purpose of the present invention is to propose a discontinuous reception method for IoT terminals based on service delay, and in particular, to a method for DRX long-period dynamic configuration and scheduling, so as to effectively reduce terminal power consumption and adapt to mMTC services. Diversity needs.
为达到上述目的,本发明提供如下技术方案:To achieve the above object, the present invention provides the following technical solutions:
一种基于业务时延的物联网终端非连续接收(DRX)方法,其特征在于,包括:基站接收与目的终端业务特征有关的信息,从所述信息中获取目的终端业务的最长容忍时延D5QI;基站估计数据发送至目的终端的平均等待时延DDRX;判断D5QI与DDRX的大小,并根据所述判断结果,调整DRX周期参数;将调整后的DRX周期参数发送至目的终端。A service delay-based discontinuous reception (DRX) method for IoT terminals, comprising: a base station receiving information related to service characteristics of a destination terminal, and obtaining the longest tolerable delay of the service of the destination terminal from the information D5QI ; The base station estimates the average waiting time delay DDRX that the data is sent to the destination terminal; Judges the size of D5QI and DDRX , and adjusts the DRX cycle parameter according to the judgment result; The adjusted DRX cycle parameter is sent to the destination terminal .
优选地,所述基站接收与目的终端业务特征有关信息包括基站接收发送至目的终端的数据业务。Preferably, the receiving by the base station of the information related to the service characteristics of the destination terminal includes the base station receiving the data service sent to the destination terminal.
优选地,所述基站接收与目的终端业务特征有关信息还包括基站接收与目的终端业务特征有关的信令。Preferably, the receiving, by the base station, the information related to the service characteristics of the destination terminal further includes the base station receiving signaling related to the service characteristics of the destination terminal.
优选地,所述目的终端业务的最长容忍时延D5QI是根据业务5QI特征所提取的信息。Preferably, the longest tolerable delay D5QI of the destination terminal service is information extracted according to the characteristics of the service 5QI.
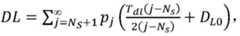
优选地,所述基站估计数据发送至目的终端的平均等待时延DDRX包括DDRX=Ds+DL,其中,DS表示DRX短周期时延,DL表示DRX长周期时延。Preferably, the average waiting delay DDRX for the base station to estimate that data is sent to the destination terminal includes DDRX =Ds +DL , whereD Srepresents the DRX short-cycle delay, andDL represents the DRX long-cycle delay.
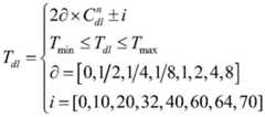
优选地,所述DRX短周期时延包括其中,pj表示数据在Ns个DRX短周期中的第j个周期到达目的终端的概率,Tds表示DRX短周期时长;所述DRX长周期时延包括其中,pj表示数据在Ns个短周期之后任一DRX长周期中的第j个周期到达的概率,Tdl表示DRX长周期时长,DL0表示初始化DRX长周期。Preferably, the DRX short cycle delay includes Among them, pj represents the probability that the data reaches the destination terminal in the jth cycle of the Ns DRX short cycles, and Tds represents the duration of the DRX short cycle; the DRX long cycle delay includes Among them, pj represents the probability of data arriving at the jth cycle in any DRX long cycle after Ns short cycles, Tdl represents the duration of the DRX long cycle, and DL0 represents the initialization DRX long cycle.
优选地,所述数据在第j个短周期或长周期到达目的终端的概率为:Preferably, the probability that the data arrives at the destination terminal in the jth short cycle or long cycle is:
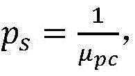
其中,λipc是数据包到达时间间隔内的服务强度,TI是drx-InactivetyTimer定时器长度,Tds是短周期时长,Ns是短周期个数,λis为会话间隙强度,DL0为初始化DRX长周期,μpc表示当前会话中分组呼叫数目的均值,Ppc是新分组呼叫在当前会话的概率Ps是新分组呼叫在下一次会话开始时达到的概率为缩放系数,为初始化配置第n个DRX长周期的时长,为第j-Ns个DRX长周期的时长,i为微调整参数。Among them, λipc is the service intensity within the packet arrival time interval, TI is the length of the drx-InactivetyTimer timer,Tds is the short cycle duration, Ns is the number of short cycles, λis the session gap strength, and DL0 is Initialize the DRX long cycle, μpc represents the mean value of the number of group calls in the current session, Ppc is the probability of a new group call in the current sessionPs is the probability that a new group call will be reached at the start of the next session is the scaling factor, Configure the duration of the nth DRX long cycle for initialization, is the duration of the jNs -th DRX long cycle, and i is a fine adjustment parameter.
优选地,所述判断D5QI与DDRX的大小,并根据所述判断结果,调整DRX周期参数包括,若D5QI>DDRX,则利用缩放系数拉长目的终端的长周期时长Tdl;若D5QI<DDRX,则利用缩放系数缩短目的终端的长周期时长Tdl;若D5QI=DDRX,则不操作;具体为:Tmin<Tdl<Tmax,其中,为缩放系数,为初始化配置第n个DRX长周期的时长,i为微调整参数;其中,所述缩放系数在D5QI>DDRX时,在D5QI<DDRX时,Preferably, the judging the size of D5QI and DDRX , and adjusting the DRX cycle parameter according to the judging result includes, if D5QI > DDRX , using a scaling factor Extend the long-cycle duration Tdl of the destination terminal; if D5QI < DDRX , use the scaling factor Shorten the long-cycle duration Tdl of the destination terminal; if D5QI =DDRX , no operation; specifically: Tmin <Tdl <Tmax , where, is the scaling factor, Configure the duration of the nth DRX long cycle for initialization, i is a fine adjustment parameter; wherein, the scaling factor When D5QI > DDRX , When D5QI < DDRX ,
本公开中的方法利用3GPP TS23.501标准中的5QI业务允许最大时延和DRX长周期动态配置来对DRX长周期睡眠时间进行合理地扩展,圆满地解决了当前标准DRX配置不满足于多样化业务的技术问题。The method in the present disclosure utilizes the 5QI service allowable maximum delay and the DRX long-cycle dynamic configuration in the 3GPP TS23.501 standard to reasonably extend the DRX long-cycle sleep time, and satisfactorily solves the problem that the current standard DRX configuration is not satisfied with diversification Business technical issues.
应当理解的是,以上的一般描述和后文的细节描述仅是示例性和解释性的,并不能限制本公开。It is to be understood that the foregoing general description and the following detailed description are exemplary and explanatory only and are not restrictive of the present disclosure.
附图说明Description of drawings
为了使本发明的目的、技术方案和有益效果更加清楚,本发明提供如下附图进行说明:In order to make the purpose, technical solutions and beneficial effects of the present invention clearer, the present invention provides the following drawings for description:
图1是3GPP标准中示出的DRX cycle示意图;1 is a schematic diagram of the DRX cycle shown in the 3GPP standard;
图2是依照3GPP标准示出的short DRX cycle和long DRX cycle示意图;2 is a schematic diagram of a short DRX cycle and a long DRX cycle shown in accordance with the 3GPP standard;
图3是本发明的系统示意图;Fig. 3 is the system schematic diagram of the present invention;
图4是本发明的流程图。Figure 4 is a flow chart of the present invention.
具体实施方式Detailed ways
下面结合说明书附图对本发明进行进一步的说明。The present invention will be further described below with reference to the accompanying drawings.
如图1所示为3GPP标准中DRX周期的示意图,其中,DRX cycle是终端进入DRX模式后,会在on duration和opportunity for DRX之间来回重复切换,于是将一个on duration和一个opportunity for DRX组成的时间段成为DRX cycle。在on duration内,终端试图监听来自基站发送的PDCCH,同时drx-onDurationTimer计时器被启动。在drx-onDurationTimer计时器超时之前,UE会持续监听PDCCH,若一直到该计时器超时,都未能监听到发给自己的PDCCH,则终端进入第一个opportunity for DRX;若在该计时器超时前监听到了发给自己的PDCCH,则停止该计时器,启动drx-InactivityTimer计时器,开始接收PDCCH调度的数据;在drx-InactivityTimer超时时,若尚未接收完毕,则重启或延长该计时器;若已经接收完毕,则终端进入第一个opportunity for DRX。Figure 1 is a schematic diagram of the DRX cycle in the 3GPP standard, where the DRX cycle means that after the terminal enters the DRX mode, it will repeatedly switch back and forth between on duration and opportunity for DRX, so an on duration and an opportunity for DRX are composed The time period becomes the DRX cycle. During the on duration, the terminal attempts to monitor the PDCCH sent from the base station, and the drx-onDurationTimer timer is started. Before the drx-onDurationTimer timer expires, the UE will continue to monitor the PDCCH. If it fails to monitor the PDCCH sent to itself until the timer expires, the terminal enters the first opportunity for DRX; if the timer expires Before monitoring the PDCCH sent to itself, stop the timer, start the drx-InactivityTimer timer, and start receiving the data scheduled by the PDCCH; when the drx-InactivityTimer times out, if the reception has not been completed, restart or extend the timer; if After the reception has been completed, the terminal enters the first opportunity for DRX.
终端进入第一个opportunity for DRX之后,会保持一定的周期启动drx-onDurationTimer,使得终端可以周期地尝试监听PDCCH。但经过一定时间或者一定循环周期次数之后,若仍然没有数据发送给终端,那么终端可以进入一个DRX cycle相较此前的周期更长的DRX cycle中,周期时长稍短的称为short DRX cycle或者浅休眠期,此时终端处于浅休眠态;周期时长稍长的称为long DRX cycle或者深休眠期,此时终端处于深休眠态。一般地,on duration的时间段长度无论在short DRX cycle还是long DRX cycle中是一样的,可变的是opportunity for DRX的长度。也就是说,long DRX cycle相比short DRXcycle,是在opportunity for DRX段的时间更长,如图2所示short DRX cycle和long DRXcycle。After the terminal enters the first opportunity for DRX, it will start the drx-onDurationTimer for a certain period, so that the terminal can periodically try to monitor the PDCCH. However, after a certain period of time or a certain number of cycles, if there is still no data to be sent to the terminal, the terminal can enter a DRX cycle with a longer DRX cycle than the previous cycle. The shorter cycle is called short DRX cycle or shallow DRX cycle. In the dormancy period, the terminal is in a shallow dormancy state; a cycle with a slightly longer duration is called a long DRX cycle or a deep dormancy period, and the terminal is in a deep dormancy state at this time. Generally, the length of the time period of on duration is the same whether in the short DRX cycle or the long DRX cycle, and the variable is the length of the opportunity for DRX. That is to say, the long DRX cycle is longer in the opportunity for DRX segment than the short DRX cycle, as shown in Figure 2, the short DRX cycle and the long DRX cycle.
参考图3,在系统300中,包含基站302,以及多个物联网终端304a,304b,304c和304d。多个物联网终端各自具有不同QoS需求的数据业务,基站302经由无线链路306与多个物联网终端通信,包括发送和接收各个终端相关的数据业务,以及信令信息。Referring to FIG. 3, a
参考图4,基站获取与业务特征有关的信息包括,基站接收需要发送至各个终端的业务数据和与终端QoS特性相关的信令,这些数据和信令可以来自发送端发来的数据,也可以是接收目的终端上报的信息。需要注意,在不同的移动通信系统中,QoS相关信令可以有不同的表达方式,比如在LTE/LTE-A系统中的QoS等级标识符(QoS Class Identifier,QCI)和5G NR系统的5G QoS标识符(5G QoS Identifier,5QI),但它们实际的含义相同,本发明中的5QI与QCI并不严格区分。5QI用于索引一个5G QoS特性,具体可参考3GPP标准TS23.501中有关的内容。Referring to Figure 4, the information related to the service characteristics obtained by the base station includes: the base station receives service data that needs to be sent to each terminal and signaling related to the QoS characteristics of the terminal. These data and signaling can come from the data sent by the sender, or It is the information reported by the receiving destination terminal. It should be noted that in different mobile communication systems, QoS related signaling can have different expressions, such as QoS Class Identifier (QCI) in LTE/LTE-A system and 5G QoS in 5G NR system Identifier (5G QoS Identifier, 5QI), but their actual meanings are the same, and 5QI and QCI in the present invention are not strictly distinguished. The 5QI is used to index a 5G QoS feature. For details, please refer to the relevant content in the 3GPP standard TS23.501.
基站在接收到业务数据流与QoS相关信令后,可以识别出数据的类型、优先级水平、包时延预算等等特性。数据的类型至少可以区分为时延容忍型数据和非时延容忍型数据。对于时延容忍型数据,基站可以不必立即将其转发至目的终端。因为一旦基站向终端发送PDCCH,则终端会在检测到该PDCCH之后立即结束DRX周期,而进入持续的接收数据阶段。After receiving the service data flow and QoS related signaling, the base station can identify the data type, priority level, packet delay budget and other characteristics. The types of data can be at least divided into delay-tolerant data and non-delay-tolerant data. For delay-tolerant data, the base station may not need to forward it to the destination terminal immediately. Because once the base station sends the PDCCH to the terminal, the terminal will end the DRX cycle immediately after detecting the PDCCH, and enter the continuous data receiving phase.
进一步的,基站侧可以配置目的终端的DRX参数,并且发送数据的时间尽量与业务目的终端接收数据的时间保持同步,或者,基站侧与业务目的终端还可以为参数的设定进行协商。配置的DRX参数在本发明所述更新方法之前,一般本成为初始化DRX参数,即基站按照3GPP标准为终端配置的固定的DRX参数。Further, the base station side can configure the DRX parameters of the destination terminal, and try to keep the time of sending data synchronized with the time when the service destination terminal receives data, or the base station side and the service destination terminal can also negotiate the setting of parameters. The configured DRX parameters are generally initialized DRX parameters before the updating method of the present invention, that is, the fixed DRX parameters configured by the base station for the terminal according to the 3GPP standard.
依据3GPP协议中规定的内容,基站可对终端配置如下DRX参数,至少包括去激活定时器(drx-InactivetyTimer)、DRX短周期(drx-ShortCycle)、DRX短周期定时器(drx-ShortCycleTimer)、持续时间定时器(drx-onDurationTimer)和DRX长周期(drx-LongCycle)等内容。According to the content specified in the 3GPP protocol, the base station can configure the following DRX parameters for the terminal, at least including the deactivation timer (drx-InactivetyTimer), DRX short cycle (drx-ShortCycle), DRX short cycle timer (drx-ShortCycleTimer), continuous Time timer (drx-onDurationTimer) and DRX long cycle (drx-LongCycle) and so on.
在本发明中,尝试在此基础上引入迁移因子和调整系数,进一步调整DRX长周期的时间长度。如下列所示:In the present invention, an attempt is made to introduce a migration factor and an adjustment coefficient on this basis to further adjust the time length of the DRX long cycle. As shown below:
式中:为缩放系数;i是为调整参数;Tmin和Tmax分别表示drx-LongCycle的最小值和最大值;Tdl是调整后的drx-LongCycle。where: is the scaling factor; i is the adjustment parameter; Tmin and Tmax represent the minimum and maximum values of drx-LongCycle respectively; Tdl is the adjusted drx-LongCycle.
基站侧首先根据初始配置的DRX参数,计算数据发送至目的终端的等待时延,也就是DRX带来的时延。对于DRX带来的时延,可能包括短周期时延和长周期时延,则具体计算方法为:The base station side first calculates the waiting delay for data to be sent to the destination terminal, that is, the delay caused by DRX, according to the initially configured DRX parameters. For the delay caused by DRX, it may include short-cycle delay and long-cycle delay. The specific calculation method is as follows:
(1)计算基站侧分组在前j-1个DRX周期不到达而在第j个周期到达接收终端的概率。根据mMTC业务数据流的突发性和自相似性,采纳欧洲电信组织发布的ETSI突发数据流量模型。在drx-InactivetyTimer定时器内,接收终端在当前会话没有连续监听PDCCH的概率为否则没有连续监听的PDCCH在下一次会话概率为则分组在前j-1个DRX周期不到达而在第j个周期到达的概率,如下:(1) Calculate the probability that the base station side packet does not arrive in the first j-1 DRX cycles but arrives at the receiving terminal in the jth cycle. According to the burstiness and self-similarity of mMTC service data flow, the ETSI burst data flow model issued by the European Telecommunications Organization is adopted. In the drx-InactivetyTimer timer, the probability that the receiving terminal does not continuously monitor the PDCCH in the current session is Otherwise, the probability of the PDCCH without continuous monitoring in the next session is Then the probability that the packet does not arrive in the first j-1 DRX cycles but arrives in the jth cycle is as follows:
式中,λipc是数据包到达时间间隔内的服务强度,TI是drx-InactivetyTimer定时器长度,Tds是drx-ShortCycleTimer定时器长度,Ns是drx-ShortCycle数目,λis为会话间隙强度,DL0为初始化DRX长周期,μpc表示当前会话中分组呼叫数目的均值,Ppc是新分组呼叫在当前会话的概率ps是新分组呼叫在下一次会话开始时达到的概率为缩放系数,为第n个DRX长周期的时长,表示第j-Ns个DRX长周期的时长,i为微调整参数,并且其中,和按照非专利文献1的方法计算,In the formula, λipc is the service intensity within the packet arrival time interval, TI is the length of the drx-InactivetyTimer timer, Tds is the length of the drx-ShortCycleTimer timer, Ns is the number of drx-ShortCycle, and λis the session gap strength , DL0 is the initialized DRX long period, μpc is the mean value of the number of group calls in the current session, Ppc is the probability of a new group call in the current session ps is the probability that a new group call will be reached at the start of the next session is the scaling factor, is the duration of the nth DRX long cycle, represents the duration of the jNs -th DRX long cycle, i is a fine adjustment parameter, and among them, and Calculated according to the method of Non-Patent Document 1,
(2)计算DRX短周期内的时延。如下:(2) Calculate the time delay in a short period of DRX. as follows:
(3)计算DRX长周期内的时延。包括更新后的DRX长周期和初始化DRX长周期,如下:(3) Calculate the time delay in the long period of DRX. Including the updated DRX long cycle and the initialized DRX long cycle, as follows:
(4)计算DRX时延:DDRX=Ds+DL(4) Calculate the DRX delay: DDRX =Ds +DL
从接收到的5QI中,获取数据允许的业务时延上限阈值,对DRX长周期进行合理地扩展或缩小。扩展DRX长周期的本质是延长周期内的睡眠时间,以达到最大化节省接收端终端电池电量。缩小DRX长周期是针对DRX时延超过5QI最大允许时延而影响用户体验的业务。假定5QI标识中允许的业务时延上限阈值为D5QI。判断,如果DDRX<D5QI,按照对DRX周期进行正向迁移至下一个更长的DRX周期,逐一循环,直至满足DRX时延略小于D5QI;如果DDRX>D5QI,根据对DRX周期进行反向迁移到相邻的更小的DRX长周期,直到满足DRX时延略小于D5QI;当DDRX=D5QI,DRX长周期不调整。利用迁移后的DDRX数值可能与D5QI仍存在一定差值空间,可根据i进一步扩展,直到DRX时延更就近且略小于D5QI,从而达到业务时延与节能最大化的平衡。From the received 5QI, the upper threshold of the service delay allowed by the data is obtained, and the DRX long cycle is reasonably extended or reduced. The essence of extending the DRX long cycle is to extend the sleep time in the cycle, so as to maximize the saving of the battery power of the receiving end terminal. Reducing the DRX long cycle is for services in which the DRX delay exceeds the maximum allowable delay of 5QI and affects user experience. It is assumed that the upper threshold of the service delay allowed in the 5QI identifier is D5QI . Judging, if DDRX < D5QI , according to Migrate the DRX cycle forward to the next longer DRX cycle, and cycle one by one until the DRX delay is slightly less than D5QI ; if DDRX >D5QI , according to The DRX cycle is reversely migrated to an adjacent smaller DRX long cycle until the DRX delay is slightly less than D5QI ; when DDRX =D5QI , the DRX long cycle is not adjusted. use There may still be a certain gap between the migrated DDRX value and D5QI , which can be further expanded according to i until the DRX delay is closer and slightly smaller than D5QI , so as to achieve a balance between service delay and energy saving maximization.
本领域普通技术人员可以理解上述实施例的各种方法中的全部或部分步骤是可以通过程序来指令相关的硬件来完成,该程序可以存储于一计算机可读存储介质中,存储介质可以包括:ROM、RAM、磁盘或光盘等。Those of ordinary skill in the art can understand that all or part of the steps in the various methods of the above embodiments can be completed by instructing relevant hardware through a program, and the program can be stored in a computer-readable storage medium, and the storage medium can include: ROM, RAM, magnetic disk or optical disk, etc.
以上所举实施例,对本发明的目的、技术方案和优点进行了进一步的详细说明,所应理解的是,以上所举实施例仅为本发明的优选实施方式而已,并不用以限制本发明,凡在本发明的精神和原则之内对本发明所作的任何修改、等同替换、改进等,均应包含在本发明的保护范围之内。The above-mentioned embodiments further describe the purpose, technical solutions and advantages of the present invention in detail. It should be understood that the above-mentioned embodiments are only preferred embodiments of the present invention, and are not intended to limit the present invention. Any modification, equivalent replacement, improvement, etc. made to the present invention within the spirit and principle of the present invention shall be included within the protection scope of the present invention.
| Application Number | Priority Date | Filing Date | Title |
|---|---|---|---|
| CN202010160813.2ACN111263337B (en) | 2020-03-10 | 2020-03-10 | A discontinuous reception method for IoT terminals based on service delay |
| Application Number | Priority Date | Filing Date | Title |
|---|---|---|---|
| CN202010160813.2ACN111263337B (en) | 2020-03-10 | 2020-03-10 | A discontinuous reception method for IoT terminals based on service delay |
| Publication Number | Publication Date |
|---|---|
| CN111263337Atrue CN111263337A (en) | 2020-06-09 |
| CN111263337B CN111263337B (en) | 2022-06-03 |
| Application Number | Title | Priority Date | Filing Date |
|---|---|---|---|
| CN202010160813.2AActiveCN111263337B (en) | 2020-03-10 | 2020-03-10 | A discontinuous reception method for IoT terminals based on service delay |
| Country | Link |
|---|---|
| CN (1) | CN111263337B (en) |
| Publication number | Priority date | Publication date | Assignee | Title |
|---|---|---|---|---|
| CN114125750A (en)* | 2021-11-03 | 2022-03-01 | 中盈优创资讯科技有限公司 | A LoRa-based DRX automatic configuration method and device |
| WO2024199239A1 (en)* | 2023-03-30 | 2024-10-03 | 华为技术有限公司 | Communication method, apparatus, and system |
| Publication number | Priority date | Publication date | Assignee | Title |
|---|---|---|---|---|
| CN102196540A (en)* | 2011-06-08 | 2011-09-21 | 北京邮电大学 | Discontinuous reception control method |
| CN102316560A (en)* | 2010-07-06 | 2012-01-11 | 中兴通讯股份有限公司 | Device and method for dynamically configuring discontinuous reception |
| CN103532684A (en)* | 2013-10-24 | 2014-01-22 | 重庆邮电大学 | 3GPP (the 3rd generation partnership project)-based MTC (machine type communication) terminal energy-saving method through self-adaptive mixed DRX (discontinuous reception) mechanism |
| CN103582087A (en)* | 2012-07-20 | 2014-02-12 | 华为终端有限公司 | Discontinuously-received parameter configuration method and data transmitting method and device |
| CN103686955A (en)* | 2012-09-24 | 2014-03-26 | 中兴通讯股份有限公司 | Electric energy optimization method and system |
| US20150131504A1 (en)* | 2013-11-14 | 2015-05-14 | National Chiao Tung University | Power-saving data scheduling system in lte and method thereof |
| CN108076447A (en)* | 2016-11-08 | 2018-05-25 | 中兴通讯股份有限公司 | A kind of MTC device dynamic access control method and apparatus of service-oriented |
| CN108093495A (en)* | 2018-02-13 | 2018-05-29 | 广东欧珀移动通信有限公司 | DRX cycle collocation method, terminal, access network equipment and storage medium |
| Publication number | Priority date | Publication date | Assignee | Title |
|---|---|---|---|---|
| CN102316560A (en)* | 2010-07-06 | 2012-01-11 | 中兴通讯股份有限公司 | Device and method for dynamically configuring discontinuous reception |
| CN102196540A (en)* | 2011-06-08 | 2011-09-21 | 北京邮电大学 | Discontinuous reception control method |
| CN103582087A (en)* | 2012-07-20 | 2014-02-12 | 华为终端有限公司 | Discontinuously-received parameter configuration method and data transmitting method and device |
| CN103686955A (en)* | 2012-09-24 | 2014-03-26 | 中兴通讯股份有限公司 | Electric energy optimization method and system |
| CN103532684A (en)* | 2013-10-24 | 2014-01-22 | 重庆邮电大学 | 3GPP (the 3rd generation partnership project)-based MTC (machine type communication) terminal energy-saving method through self-adaptive mixed DRX (discontinuous reception) mechanism |
| US20150131504A1 (en)* | 2013-11-14 | 2015-05-14 | National Chiao Tung University | Power-saving data scheduling system in lte and method thereof |
| CN108076447A (en)* | 2016-11-08 | 2018-05-25 | 中兴通讯股份有限公司 | A kind of MTC device dynamic access control method and apparatus of service-oriented |
| CN108093495A (en)* | 2018-02-13 | 2018-05-29 | 广东欧珀移动通信有限公司 | DRX cycle collocation method, terminal, access network equipment and storage medium |
| Title |
|---|
| VIVO: "R2-1905959 "Multiple DRX configurations for power saving"", 《3GPP TSG-RAN WG2 MEETING #106 R2-1905959》, 3 May 2019 (2019-05-03)* |
| Z. ZHANG, Z. ZHAO, H. GUAN, L. DU AND Z. TAN: "Performance analysis of an adaptive DRX mechanism with flexible short/long cycle switching in LTE networkPerformance analysis of an adaptive DRX mechanism with flexible short/long cycle switching in LTE network", 《2013 5TH IEEE INTERNATIONAL SYMPOSIUM ON MICROWAVE, ANTENNA, PROPAGATION AND EMC TECHNOLOGIES FOR WIRELESS COMMUNICATIONS》, 23 December 2013 (2013-12-23)* |
| ZTE CORPORATION: "R2-121257 "DRX Enhancements for Power Saving"", 《3GPP TSG-RAN WG2 #77BIS R2-121257》, 19 March 2012 (2012-03-19)* |
| ZTE CORPORATION: "R2-131749 "Additional solutions for UE power consumption optimization"", 《3GPP TSG RAN WG2 #81BIS R2-131749》, 11 May 2013 (2013-05-11)* |
| 余 翔,宋 瑶: "LTE 系统中 DRX 机制的分析与优化设计", 《重庆邮电大学学报(自然科学版)》, 30 June 2014 (2014-06-30)* |
| Publication number | Priority date | Publication date | Assignee | Title |
|---|---|---|---|---|
| CN114125750A (en)* | 2021-11-03 | 2022-03-01 | 中盈优创资讯科技有限公司 | A LoRa-based DRX automatic configuration method and device |
| WO2024199239A1 (en)* | 2023-03-30 | 2024-10-03 | 华为技术有限公司 | Communication method, apparatus, and system |
| Publication number | Publication date |
|---|---|
| CN111263337B (en) | 2022-06-03 |
| Publication | Publication Date | Title |
|---|---|---|
| Sultania et al. | Energy Modeling and Evaluation of NB-IoT with PSM and eDRX | |
| JP6279551B2 (en) | Improved user equipment for diverse data usage | |
| CN103109570B (en) | Parameter configuration method and base station, user equipment | |
| Tirronen et al. | Reducing energy consumption of LTE devices for machine-to-machine communication | |
| CN101583178B (en) | Method and device for dynamically controlling discontinuous reception of UE | |
| US7965651B2 (en) | Method and apparatus for setting active period starting point for user equipment | |
| CN101361280B (en) | Method and device for reducing power consumption in a mobile communication network | |
| CN105122930B (en) | Method and apparatus in communication system for radio resource control connection to be set up/discharged between evolution node B and user equipment | |
| CN101656978B (en) | Method and device for dynamically instructing user equipment to change discontinuous reception state | |
| Fowler | Study on power saving based on radio frame in LTE wireless communication system using DRX | |
| CN103532684B (en) | 3GPP (the 3rd generation partnership project)-based MTC (machine type communication) terminal energy-saving method through self-adaptive mixed DRX (discontinuous reception) mechanism | |
| US20100278065A1 (en) | Traffic Load Estimation for Access Point Functionality Enabled Mobile Devices | |
| WO2008005689A2 (en) | Sleep mode optimization for increasing battery life in broadband wireless communication devices | |
| CN107197508A (en) | A kind of device sleeps method based on CSM mechanism DRX | |
| CN105933964B (en) | Method for parameter configuration and base station, user equipment | |
| CN111263337B (en) | A discontinuous reception method for IoT terminals based on service delay | |
| CN102164417B (en) | A kind of method determining scheduling priority of terminal and device | |
| Liu et al. | Performance analysis of adjustable discontinuous reception (DRX) mechanism in LTE network | |
| CN106358310B (en) | Uplink dynamic scheduling optimization method for VoLTE service based on DRX cycle | |
| CN111405645B (en) | Downlink discontinuous receiving method based on adjustable service time delay and mixing period | |
| CN109041081B (en) | Method for improving energy utilization efficiency of NB-IoT terminal equipment | |
| Aghdam et al. | Traffic-based adjustable discontinuous reception mechanism with bounded delay | |
| Liu et al. | Optimization of discontinuous reception (DRX) operation during intra-LTE handover | |
| Li et al. | Enhanced discontinuous reception mechanism for power saving in TD-LTE | |
| Rahmani | Energy Efficient Discontinuous Reception Strategy in LTE and Beyond Using an Adaptive Packet Queuing Technique |
| Date | Code | Title | Description |
|---|---|---|---|
| PB01 | Publication | ||
| PB01 | Publication | ||
| SE01 | Entry into force of request for substantive examination | ||
| SE01 | Entry into force of request for substantive examination | ||
| GR01 | Patent grant | ||
| GR01 | Patent grant | ||
| TR01 | Transfer of patent right | Effective date of registration:20230303 Address after:401336 Yuen Road, Nanan District, Chongqing City, No. 8 Patentee after:CHINA MOBILE IOT Co.,Ltd. Address before:400065 Chongwen Road, Nanshan Street, Nanan District, Chongqing Patentee before:CHONGQING University OF POSTS AND TELECOMMUNICATIONS | |
| TR01 | Transfer of patent right |