






技术领域technical field
本发明适用于遥感图像领域,尤其是一种多时相高分辨率遥感图像变化检测的方法和系统。The invention is suitable for the field of remote sensing images, especially a method and system for detecting changes in multi-temporal high-resolution remote sensing images.
背景技术Background technique
变化检测技术利用遥感影像进行地球表面特征的分析与处理,能够直观、快速、真实地获取地球表面特征的变化。变化检测在大量的应用中有着至关重要的作用,包括土地覆盖变化检测、建筑物变化检测、植被变化检测、湿地监测等。Change detection technology uses remote sensing images to analyze and process the features of the earth's surface, which can intuitively, quickly and truly acquire the changes of the earth's surface features. Change detection plays a vital role in a large number of applications, including land cover change detection, building change detection, vegetation change detection, wetland monitoring, etc.
现有的变化检测技术通常分为两类:基于传统方法的变化检测方法和基于深度学习的变化检测方法。根据研究对象的粒度不同,基于传统方法的变化检测方法可以分为两类:基于像素的变化检测方法和基于对象的变化检测方法。基于像素的变化检测方法通常孤立了进行单个像素点的分类,没有考虑到上下文信息,并且计算量较大不适用于高分图像。而基于对象的变化检测方法,通常需要对图像中的对象进行分割,然后进行前后图像对象的比较,这种方法依赖于对象的分割效果。基于传统方法的变化检测效果鲁棒性较差,对特定的遥感数据类型就需要特征的检测方法,并且检测精度相对较差。Existing change detection techniques are generally divided into two categories: change detection methods based on traditional methods and change detection methods based on deep learning. According to the different granularity of the research objects, the change detection methods based on traditional methods can be divided into two categories: pixel-based change detection methods and object-based change detection methods. The pixel-based change detection method usually isolates the classification of a single pixel, does not consider the context information, and is not suitable for high-scoring images due to the large amount of computation. The object-based change detection method usually needs to segment the objects in the image, and then compare the image objects before and after. This method depends on the segmentation effect of the objects. The change detection effect based on traditional methods is less robust, and a feature detection method is required for specific remote sensing data types, and the detection accuracy is relatively poor.
近几年,基于深度学习的变化检测方法开始得到发展。目前有基于分割网络的变化检测模型,但是这些算法模型都不能很好地处理小目标的变化区域,通常也忽略了遥感图像中变化区域与未变化区域的不平衡问题。In recent years, change detection methods based on deep learning have begun to develop. At present, there are change detection models based on segmentation networks, but these algorithm models can not handle the changing area of small objects well, and usually ignore the imbalance between the changed area and the unchanged area in the remote sensing image.
发明内容SUMMARY OF THE INVENTION
本发明针对现有技术的不足,提出一种高分辨率遥感图像变化检测方法,利用孪生神经网络对高分辨率遥感图像中的小目标进行变化检测,从而提高检测精度。Aiming at the shortcomings of the prior art, the invention proposes a high-resolution remote sensing image change detection method, which utilizes a twin neural network to perform change detection on small targets in the high-resolution remote sensing image, thereby improving the detection accuracy.
具体来说,本发明的高分辨率遥感图像变化检测方法,包括:构建孪生神经网络模型,以Dice损失函数和交叉熵损失函数构成的联合损失函数作为该孪生神经网络模型的损失函数;选取已知高分辨率遥感图像构建数据集,通过该数据集对该孪生神经网络模型进行训练及评估,得到图像变化检测模型;以该图像变化检测模型对目标高分辨率遥感图像进行变化检测,得到该目标高分辨率遥感图像的变化区域的分割结果。Specifically, the high-resolution remote sensing image change detection method of the present invention includes: constructing a twin neural network model, and using a joint loss function composed of a Dice loss function and a cross entropy loss function as the loss function of the twin neural network model; A dataset of high-resolution remote sensing images is constructed, and the twin neural network model is trained and evaluated through the dataset to obtain an image change detection model; the image change detection model is used to detect changes in the target high-resolution remote sensing images, and then the image change detection model is obtained. Segmentation results of changing regions of target high-resolution remote sensing images.
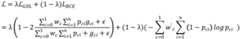
本发明所述的高分辨率遥感图像变化检测方法,该联合损失函数其中:In the high-resolution remote sensing image change detection method of the present invention, the joint loss function in:
为Dice损失函数,为交叉熵损失函数,gci为该孪生神经网络模型检测的高分辨率遥感图像的像素点的类别标签,pci为该孪生神经网络模型检测的高分辨率遥感图像的像素点属于类别的概率,∈为避免的分母为0的平滑项,wc为的类别权重项,w'c为的类别权重项,λ为调整和对贡献的平衡因子。 is the Dice loss function, is the cross entropy loss function, gci is the category label of the pixel point of the high-resolution remote sensing image detected by the twin neural network model, pci is the probability that the pixel point of the high-resolution remote sensing image detected by the twin neural network model belongs to the category , ∈ to avoid A smoothing term with a denominator of 0, wc is The category weight term of , w'c is The category weight term of , λ is the adjustment and right Contributing balance factor.
本发明所述的高分辨率遥感图像变化检测方法,其中该孪生神经网络模型包括编码器、解码器和分类器;该编码器包括第一编码子网络和第二编码子网络,该第一编码子网络具有N个分支,并根据相邻分支的特征图传递划分为N个阶段,其中,第n分支在第n阶段将特征图分别传递给第n+1阶段所有的n+1个分支;该第二编码子网络与该第一编码子网络具有相同结构且共享权重;该第一编码子网络以第一时间图像作为初始特征图输入,并输出N个对应分支的第一输出特征图,该第二编码子网络以第二时间图像作为初始特征图输入,并输出N个对应分支的第二输出特征图;其中N、n为正整数,N≥1,n∈[1,N];该解码器包括第一采样子网络、第二采样子网络和整合子网络,该第一采样子网络包括第一整合单元和第一采样单元,该第一整合单元用于对所有该第一输出特征图进行整合,该第一采样单元用于对该第一整合单元的整合结果进行上采样;该第二采样子网络与该第一采样子网络具有相同结构且共享权重,包括第二整合单元和第二采样单元,该第二整合单元用于对所有该第二输出特征图进行整合,该第二采样单元用于对该第二整合单元的整合结果进行上采样;该整合子网络用于对该第一采样单元的采样结果和该第二采样单元的采样结果进行整合得到该解码器的输出;该分类器通过sigmoid激活函数对该解码器的输出进行激活,并通过与分类阈值比较以获得该分割结果。In the high-resolution remote sensing image change detection method of the present invention, the twin neural network model includes an encoder, a decoder and a classifier; the encoder includes a first encoding sub-network and a second encoding sub-network, the first encoding The sub-network has N branches, and is divided into N stages according to the feature map transfer of adjacent branches, wherein the nth branch transfers the feature map to all n+1 branches in the n+1th stage respectively in the nth stage; The second encoding sub-network and the first encoding sub-network have the same structure and share weights; the first encoding sub-network takes the first time image as the initial feature map input, and outputs the first output feature maps of N corresponding branches, The second encoding sub-network takes the second time image as the initial feature map input, and outputs the second output feature maps of N corresponding branches; wherein N, n are positive integers, N≥1, n∈[1,N]; The decoder includes a first sampling sub-network, a second sampling sub-network and an integrating sub-network, the first sampling sub-network includes a first integrating unit and a first sampling unit, the first integrating unit is used for all the first outputs The feature map is integrated, and the first sampling unit is used for up-sampling the integration result of the first integration unit; the second sampling sub-network and the first sampling sub-network have the same structure and share weights, including the second integration unit and a second sampling unit, the second integration unit is used to integrate all the second output feature maps, and the second sampling unit is used to upsample the integration result of the second integration unit; the integration sub-network is used for The sampling result of the first sampling unit and the sampling result of the second sampling unit are integrated to obtain the output of the decoder; the classifier activates the output of the decoder through the sigmoid activation function, and compares with the classification threshold to obtain the output of the decoder Obtain the segmentation result.
本发明所述的高分辨率遥感图像变化检测方法,其中第n分支内传递的特征图分辨率保持不变,第n分支向第n+1,n+2,…,N分支传递的特征图分辨率则依次递减。In the high-resolution remote sensing image change detection method according to the present invention, the resolution of the feature map transmitted in the nth branch remains unchanged, and the feature map transmitted from the nth branch to the n+1, n+2,..., Nth branch The resolution is successively decreased.
本发明还提出一种高分辨率遥感图像变化检测系统,包括:模型构建模块,用于构建孪生神经网络模型,以Dice损失函数和交叉熵损失函数构成的联合损失函数作为该孪生神经网络模型的损失函数;模型训练模块,用于选取已知高分辨率遥感图像构建数据集,通过该数据集对该孪生神经网络模型进行训练及评估,得到图像变化检测模型;图像检测模块,用于以该图像变化检测模型对目标高分辨率遥感图像进行变化检测,得到该目标高分辨率遥感图像的变化区域的分割结果。The present invention also proposes a high-resolution remote sensing image change detection system, comprising: a model building module for building a twin neural network model, and a joint loss function composed of a Dice loss function and a cross entropy loss function is used as the twin neural network model. loss function; the model training module is used to select a known high-resolution remote sensing image to construct a data set, and the twin neural network model is trained and evaluated through the data set to obtain an image change detection model; an image detection module is used to use the The image change detection model performs change detection on the high-resolution remote sensing image of the target, and obtains the segmentation result of the change area of the high-resolution remote sensing image of the target.
本发明所述的高分辨率遥感图像变化检测系统,该联合损失函数其中:In the high-resolution remote sensing image change detection system according to the present invention, the joint loss function in:
为Dice损失函数,为交叉熵损失函数,gci为该孪生神经网络模型检测的高分辨率遥感图像的像素点的类别标签,pci为该孪生神经网络模型检测的高分辨率遥感图像的像素点属于类别的概率,∈为避免的分母为0的平滑项,wc为的类别权重项,w'c为的类别权重项,λ为调整和对贡献的平衡因子。 is the Dice loss function, is the cross entropy loss function, gci is the category label of the pixel point of the high-resolution remote sensing image detected by the twin neural network model, pci is the probability that the pixel point of the high-resolution remote sensing image detected by the twin neural network model belongs to the category , ∈ to avoid A smoothing term with a denominator of 0, wc is The category weight term of , w'c is The category weight term of , λ is the adjustment and right Contributing balance factor.
本发明所述的高分辨率遥感图像变化检测系统,其中该孪生神经网络模型包括编码器、解码器和分类器;该编码器包括第一编码子网络和第二编码子网络,该第一编码子网络具有N个分支,并根据相邻分支的特征图传递划分为N个阶段,其中,第n分支在第n阶段将特征图分别传递给第n+1阶段所有的n+1个分支;该第二编码子网络与该第一编码子网络具有相同结构且共享权重;该第一编码子网络以第一时间图像作为初始特征图输入,并输出N个对应分支的第一输出特征图,该第二编码子网络以第二时间图像作为初始特征图输入,并输出N个对应分支的第二输出特征图;其中N、n为正整数,N≥1,n∈[1,N];该解码器包括第一采样子网络、第二采样子网络和整合子网络,该第一采样子网络包括第一整合单元和第一采样单元,该第一整合单元用于对所有该第一输出特征图进行整合,该第一采样单元用于对该第一整合单元的整合结果进行上采样;该第二采样子网络与该第一采样子网络具有相同结构且共享权重,包括第二整合单元和第二采样单元,该第二整合单元用于对所有该第二输出特征图进行整合,该第二采样单元用于对该第二整合单元的整合结果进行上采样;该整合子网络用于对该第一采样单元的采样结果和该第二采样单元的采样结果进行整合得到该解码器的输出;该分类器通过sigmoid激活函数对该解码器的输出进行激活,并通过与分类阈值比较以获得该分割结果。In the high-resolution remote sensing image change detection system of the present invention, the twin neural network model includes an encoder, a decoder and a classifier; the encoder includes a first encoding sub-network and a second encoding sub-network, the first encoding The sub-network has N branches, and is divided into N stages according to the feature map transfer of adjacent branches, wherein the nth branch transfers the feature map to all n+1 branches in the n+1th stage respectively in the nth stage; The second encoding sub-network and the first encoding sub-network have the same structure and share weights; the first encoding sub-network takes the first time image as the initial feature map input, and outputs the first output feature maps of N corresponding branches, The second encoding sub-network takes the second time image as the initial feature map input, and outputs the second output feature maps of N corresponding branches; wherein N, n are positive integers, N≥1, n∈[1,N]; The decoder includes a first sampling sub-network, a second sampling sub-network and an integrating sub-network, the first sampling sub-network includes a first integrating unit and a first sampling unit, the first integrating unit is used for all the first outputs The feature map is integrated, and the first sampling unit is used for up-sampling the integration result of the first integration unit; the second sampling sub-network and the first sampling sub-network have the same structure and share weights, including the second integration unit and a second sampling unit, the second integration unit is used to integrate all the second output feature maps, and the second sampling unit is used to upsample the integration result of the second integration unit; the integration sub-network is used for The sampling result of the first sampling unit and the sampling result of the second sampling unit are integrated to obtain the output of the decoder; the classifier activates the output of the decoder through the sigmoid activation function, and compares with the classification threshold to obtain the output of the decoder Obtain the segmentation result.
本发明所述的高分辨率遥感图像变化检测系统,其中第n分支内传递的特征图分辨率保持不变,第n分支向第n+1,n+2,…,N分支传递的特征图分辨率则依次递减。In the high-resolution remote sensing image change detection system according to the present invention, the resolution of the feature map transferred in the nth branch remains unchanged, and the feature maps transferred from the nth branch to the n+1, n+2, ..., Nth branches The resolution is successively decreased.
本发明还提出一种计算机可读存储介质,存储有可执行指令,该可执行指令用于执行如前所述的高分辨率遥感图像变化检测方法。The present invention also provides a computer-readable storage medium storing executable instructions for executing the above-mentioned method for detecting changes in high-resolution remote sensing images.
本发明还提出一种数据处理装置,包括处理器和计算机可读存储介质,该处理器调取并执行该计算机可读存储介质中的可执行指令,以进行高分辨率遥感图像变化检测。The present invention also provides a data processing device, comprising a processor and a computer-readable storage medium, where the processor retrieves and executes executable instructions in the computer-readable storage medium to detect changes in high-resolution remote sensing images.
附图说明Description of drawings
图1是本发明的高分辨率遥感图像变化检测方法流程图。FIG. 1 is a flow chart of a method for detecting changes in high-resolution remote sensing images of the present invention.
图2是本发明的高分辨率遥感图像变化检测方法框图。FIG. 2 is a block diagram of a method for detecting changes in high-resolution remote sensing images of the present invention.
图3是本发明的孪生神经网络模型结构示意图。FIG. 3 is a schematic structural diagram of the twin neural network model of the present invention.
图4是本发明的第一类卷积单元结构示意图。FIG. 4 is a schematic structural diagram of the first type of convolution unit of the present invention.
图5是本发明的第二类卷积单元结构示意图。FIG. 5 is a schematic structural diagram of the second type of convolution unit of the present invention.
图6是本发明的多尺度融合单元结构示意图。FIG. 6 is a schematic diagram of the structure of the multi-scale fusion unit of the present invention.
图7是本发明的数据处理装置示意图。FIG. 7 is a schematic diagram of the data processing apparatus of the present invention.
具体实施方式Detailed ways
为了使本发明的目的、技术方案及优点更加清楚明白,以下结合附图,对本发明提出的基于卷积神经网络的高分辨率遥感图像变化检测方法与系统进一步详细说明。应当理解,此处所描述的具体实施方法仅仅用以解释本发明,并不用于限定本发明。In order to make the objectives, technical solutions and advantages of the present invention clearer, the method and system for detecting changes in high-resolution remote sensing images based on convolutional neural networks proposed by the present invention are further described in detail below with reference to the accompanying drawings. It should be understood that the specific implementation methods described herein are only used to explain the present invention, but not to limit the present invention.
发明人在对多时相遥感图像变化检测方法研究时,发现现有方法对于遥感图像中小物体的检测效果很差,并且通常没有考虑到变化检测中类别不平衡等问题,这些问题对变化检测的效果产生了很大的影响。统计分析发现,在常用的变化检测数据集中,超过60%的变化区域面积小于50个像素点,并且变化区域与未变化区域之间的面积差距悬殊。现有的方法通常对小目标的变化检测效果很差,因此影响了总体的变化检测效果。对于小目标的检测效果通常与分辨率和上下文信息密切相关,本发明尝试在保持高分辨率的同时,能够扩大感受野,获取更多的上下文信息,同时反复地进行不同分支间的特征融合,以使高分辨率特征图获取更多的上下文信息,低分辨率特征图获取更多空间细节信息,得到可靠的高分辨率特征图。另一方面,小目标在损失函数中贡献较小,因此本发明尝试提高小目标在损失函数中的占比。最终,本发明提出了一个混合损失函数,来提高小目标变化区域在损失函数中的占比,来解决遥感图像变化检测中变化区域较小,类别不平衡等问题,从而提高总体的变化检测精度。When the inventor was studying the change detection method of multi-temporal remote sensing images, he found that the existing methods have poor detection effect on small objects in remote sensing images, and usually do not take into account the problem of category imbalance in change detection, and the effect of these problems on change detection. had a big impact. Statistical analysis found that in the commonly used change detection datasets, more than 60% of the changed areas are smaller than 50 pixels, and the area gap between the changed and unchanged areas is huge. Existing methods usually have poor change detection performance for small objects, thus affecting the overall change detection effect. The detection effect of small targets is usually closely related to the resolution and context information. The present invention attempts to expand the receptive field and obtain more context information while maintaining the high resolution, and at the same time repeatedly perform feature fusion between different branches. In order to obtain more contextual information for high-resolution feature maps and more spatial details for low-resolution feature maps, reliable high-resolution feature maps are obtained. On the other hand, the small target contributes less in the loss function, so the present invention attempts to increase the proportion of the small target in the loss function. Finally, the present invention proposes a hybrid loss function to increase the proportion of small target change areas in the loss function, to solve the problems of small change areas and unbalanced categories in remote sensing image change detection, thereby improving the overall change detection accuracy .
为了解决变化检测任务中小目标区域多,类别严重不均衡导致的变化检测精度难以提升等问题,本发明提供了一种基于卷积神经网络的高分辨率遥感图像变化检测方法,利用孪生网络模型和联合损失函数实现遥感图像的高精度变化检测。孪生神经网络模型的编码器在全程保持高分辨率的特征表示,同时多个分支学习不同分辨率的特征表示,并增大卷积核的感受野,获取更多的上下文信息,从而改善小目标的变化检测效果。联合损失函数提高了小目标变化区域的权重并通过重要性抽样的方法处理类别不平衡等问题,从而提高总体的变化检测精度。In order to solve the problem that there are many small target areas in the change detection task, and the change detection accuracy is difficult to improve due to the serious imbalance of categories, the present invention provides a high-resolution remote sensing image change detection method based on convolutional neural network, which utilizes the twin network model and The joint loss function achieves high-precision change detection in remote sensing images. The encoder of the Siamese neural network model maintains high-resolution feature representations throughout the process, while multiple branches learn feature representations of different resolutions, and increase the receptive field of the convolution kernel to obtain more contextual information, thereby improving small targets. change detection effect. The joint loss function increases the weight of the small target change area and handles the problem of class imbalance through importance sampling, thereby improving the overall change detection accuracy.
本发明包括基于卷积神经网络的孪生神经网络模型的编码器。编码器包含两个子网,这两个子网结构相同,并且权重共享。两个不同时期的遥感图像分别作为两个子网的输入。每个子网分别由四个阶段和四个分支组成,即第一分支,第二分支,第三分支和第四分支。其中,每个分支的特征图的分辨率保持不变,但是,第一分支到第四分支特征图的分辨率依次减半。第一个阶段时只有第一个分支;第二分支,第三分支和第四分支分别在第二阶段,第三阶段和第四阶段加入网络模型中。为了充分融合不同分支的特征图,在相邻阶段之间,不同分支之间存在一个多尺度融合单元。该单元使得每个分支都有一个到其他所有分支的一条信息传递通路,反复地进行多尺度特征的融合,从而得到可信赖的高分辨率的特征表示。上下文信息和分辨率往往决定了小目标的检测效果。然而为了增加上下文信息则必须减小分辨率,分辨率减小则会导致空间细节信息的丢失。本发明通过其中一个分支全程保持高分辨率的特征图,同时其他分支依次减小特征图的分辨率,从而增大卷积核的感受野,以获取更多的上下文信息。为了能够使得不同分支的的特征图进行充分的融合,本发明提出了多尺度融合单元,能够反复地对不同分支的特征图进行融合,从而得到可信赖的高分辨率特征表示。The present invention includes an encoder based on a Siamese neural network model of a convolutional neural network. The encoder contains two subnets, which have the same structure and share weights. Remote sensing images from two different periods are used as the input of the two subnetworks respectively. Each subnet consists of four stages and four branches, namely the first branch, the second branch, the third branch and the fourth branch. Among them, the resolution of the feature maps of each branch remains unchanged, but the resolutions of the feature maps from the first branch to the fourth branch are sequentially halved. In the first stage, there is only the first branch; the second, third and fourth branches are added to the network model in the second, third and fourth stages respectively. In order to fully fuse the feature maps of different branches, between adjacent stages, there is a multi-scale fusion unit between different branches. This unit enables each branch to have an information transfer path to all other branches, and repeatedly fuses multi-scale features to obtain reliable high-resolution feature representations. Context information and resolution often determine the detection effect of small objects. However, in order to increase the context information, the resolution must be reduced, and the reduction of the resolution will lead to the loss of spatial detail information. The present invention maintains a high-resolution feature map through one of the branches, while the other branches sequentially reduce the resolution of the feature map, thereby increasing the receptive field of the convolution kernel to obtain more contextual information. In order to fully fuse the feature maps of different branches, the present invention proposes a multi-scale fusion unit, which can repeatedly fuse the feature maps of different branches to obtain reliable high-resolution feature representations.
本发明还包括基于卷积神经网络的孪生神经网络模型的解码器。在解码阶段,本发明对每个分支输出的特征图分别上采样,然后进行整合的策略。这策略能够融合解码过程中不同尺度的特征,减少插值过程造成的空间精度损失。这样能够更有效地增加小目标的检测效果The present invention also includes a decoder of the Siamese neural network model based on the convolutional neural network. In the decoding stage, the present invention separately upsamples the feature maps output by each branch, and then implements the strategy of integration. This strategy can fuse features of different scales in the decoding process and reduce the loss of spatial accuracy caused by the interpolation process. This can more effectively increase the detection effect of small targets
本发明的孪生神经网络模型采用混合损失函数。变化检测任务需要逐像素点的分类,这就导致了小目标对于损失函数的贡献较小。同时变化检测任务中,通常存在严重类别不均衡的现象。这些因素都导致了变化检测效果的进一步提升。针对该问题,本发明提出了一个联合损失函数训练本发明的卷积神经网络模型。联合损失函数可以表示为:The twin neural network model of the present invention adopts a mixed loss function. The change detection task requires pixel-by-pixel classification, which results in small objects contributing less to the loss function. At the same time, in the task of change detection, there is usually a serious class imbalance phenomenon. All these factors lead to further improvement of the change detection effect. In response to this problem, the present invention proposes a joint loss function to train the convolutional neural network model of the present invention. The joint loss function can be expressed as:
为Dice损失函数,为交叉熵损失函数,gci为该孪生神经网络模型检测的高分辨率遥感图像的像素点的类别标签,pci为该孪生神经网络模型检测的高分辨率遥感图像的像素点属于类别的概率,∈为避免的分母为0的平滑项,wc为的类别权重项,w'c为的类别权重项,λ为调整和对贡献的平衡因子。 is the Dice loss function, is the cross entropy loss function, gci is the category label of the pixel point of the high-resolution remote sensing image detected by the twin neural network model, pci is the probability that the pixel point of the high-resolution remote sensing image detected by the twin neural network model belongs to the category , ∈ to avoid A smoothing term with a denominator of 0, wc is The category weight term of , w'c is The category weight term of , λ is the adjustment and right Contributing balance factor.
下面结合具体的实施例来进行详细说明,图1是本发明的高分辨率遥感图像变化检测方法流程图,图2是本发明的高分辨率遥感图像变化检测方法框图。如图1、图2所示,基于卷积神经网络的遥感图像变化检测方法主要包括以下几个步骤:构建孪生神经网络模型、构建损失函数、构建数据集、模型训练和评估、模型推理。The following is a detailed description in conjunction with specific embodiments. FIG. 1 is a flowchart of a method for detecting changes in high-resolution remote sensing images of the present invention, and FIG. 2 is a block diagram of a method for detecting changes in high-resolution remote sensing images of the present invention. As shown in Figure 1 and Figure 2, the convolutional neural network-based remote sensing image change detection method mainly includes the following steps: building a twin neural network model, building a loss function, building a data set, model training and evaluation, and model inference.
步骤S1:构建孪生神经网络模型,本发明中孪生神经网络模型主要包括三部分:编码器、解码器和分类器。图3是本发明的孪生神经网络模型结构示意图。如图3所示,具体搭建步骤如下:Step S1: constructing a twin neural network model, the twin neural network model in the present invention mainly includes three parts: an encoder, a decoder and a classifier. FIG. 3 is a schematic structural diagram of the twin neural network model of the present invention. As shown in Figure 3, the specific construction steps are as follows:
步骤101:搭建第一种卷积单元;图4是本发明的第一类卷积单元结构示意图。如图4所示:依次由一个大小为3×3,步长为1,填充为1的卷积、批归一化、线性整流单元、大小为3×3,步长为1,填充为1的卷积、批归一化和残差连接构成。Step 101: Build the first type of convolution unit; FIG. 4 is a schematic structural diagram of the first type of convolution unit of the present invention. As shown in Figure 4: a convolution, batch normalization, and linear rectification unit with a size of 3 × 3, a stride of 1, and a padding of 1, with a size of 3 × 3, a stride of 1, and a padding of 1. Convolution, batch normalization, and residual connections.
步骤102:搭建第二种卷积单元;图5是本发明的第二类卷积单元结构示意图。如图5所示:依次由大小为1×1,步长为1的卷积、批归一化、大小为3×3,步长为1,填充为1的卷积、批归一化、大小为1×1,步长为1的卷积、批归一化、线性整流单元和残差连接构成。Step 102: Build a second type of convolution unit; FIG. 5 is a schematic structural diagram of the second type of convolution unit of the present invention. As shown in Figure 5: Convolution with size 1×1, stride 1, batch normalization, convolution with
步骤103:首先搭建编码器,编码器由四个阶段和四个分支构成。首先搭建第一阶段19,第一阶段19只包含第一分支6。第一个分支6的第一阶段部分由两个第二种卷积单元(图3)构成。Step 103: First, build an encoder, which consists of four stages and four branches. First build the first stage 19, which contains only the
搭建第一阶段19和第二阶段20之间的第一多尺度融合单元24。该单元由一个常规卷积单元23(位于第一分支6的第一阶段19与第二阶段20之间的连接)和一个下采样单元4(位于第一阶段19和第二阶段20之间的第一分支6到第二分支7的连接上),以及逐元素相加的融合方法构成。A first
搭建第二阶段20,第二阶段20包含第一分支6和第二分支7。第一分支6和第二分支7的第二阶段20部分分别由两个第一种卷积单元构成。The
搭建第二阶段20和第三阶段21之间的第二多尺度融合单元25。该单元包含4个下采样单元4(其中1个位于第二阶段20与第三阶段21之间的第二分支7到第三分支8的连接上,1个位于第二阶段20与第三阶段21之间的第一分支6到第二分支7的连接上,2个位于第二阶段20与第三阶段21之间的第一分支6到第三分支8的连接上)、一个上采样单元5(位于第二阶段20和第三阶段21之间的第二分支7到第一分支6的连接上)、两个常规卷积单元23(分别位于第一分支6的第二阶段20与第三阶段21之间的连接上和第二分支7的第二阶段20与第三阶段21之间的连接上)和逐元素相加的融合方法。A second multi-scale fusion unit 25 between the
搭建第三阶段21,第三阶段21包含第一分支6、第二分支7和第三分支8。第一分支6、第二分支7和第三分支8的第三阶段21部分分别由两个第一种卷积单元构成。The
搭建第三阶段21和第四阶段22之间的第三多尺度融合单元26。该单元包含A third
6个下采样单元4(其中1个位于第三阶段21与第四阶段22之间的第三分支8到第四分支9的连接上,1个位于第三阶段21与第四阶段22之间的第二分支7到第三分支8的连接上,其中1个位于第三阶段21与第四阶段22之间的第一分支6到第二分支7的连接上,2个位于第三阶段21与第四阶段22之间的第二分支7到第四分支9的连接上,2个位于第三阶段21与第四阶段22之间的第一分支6到第三分支8的连接上,3个位于第三阶段21与第四阶段22之间的第一分支6到第四分支9的连接上)、3个常规卷积单元(分别位于第一分支7、第二分支7和第三分支8的第三阶段21与第四阶段22之间的连接)、3个上采样单元(其中1个位于第三阶段21与第四阶段22之间的第二分支7到第一分支6的连接上,1个位于第三阶段21与第四阶段22之间的第三分支8到第二分支7的连接上,1个位于第三阶段21与第四阶段22之间的第三分支8到第一分支6的连接上).6 downsampling units 4 (one of which is located on the connection between the
搭建第四阶段22,第四阶段22包含第一分支6、第二分支7、第三分支8和第四分支9。第一分支6、第二分支7、第三分支8和第四分支9的第四阶段22部分分别由两个第一种卷积单元构成。The
步骤104:搭建解码器12,图6是本发明的多尺度融合单元结构示意图。如图6所示,解码器12包含4个双线性插值操作(分别将编码器的4个分支输出的特征图直接上采样到原图大小)、整合操作(将两子网的各四个分支的输出在通道维度进行整合)和1个第一种卷积单元。Step 104: Build the decoder 12. FIG. 6 is a schematic structural diagram of the multi-scale fusion unit of the present invention. As shown in FIG. 6 , the decoder 12 includes four bilinear interpolation operations (respectively upsampling the feature maps output by the four branches of the encoder to the original image size), integration operations (respectively four The outputs of the branches are integrated in the channel dimension) and a first-type convolution unit.
步骤105:搭建分类器11,分类器11包含一个sigmoid激活函数操作和一个阈值。通过sigmoid函数对解码器的输出进行激活。在推理阶段根据阈值将输出二值化得到变化区域分割结果。在训练阶段将输出输入损失函数,计算损失,计算梯度并反向传播。Step 105: Build a
步骤S2:构建联合损失函数,联合损失函数由Dice损失函数和两部分组成,联合损失函数其中:Step S2: Construct joint loss function, joint loss function Loss function by Dice and a two-part, joint loss function in:
其中,gci表示像素点属于类别的标签,1表示属于该类别,0表示不属于该类别。pci表示模型预测的像素点属于类别的概率,大于等于0,小于等于1。∈表示平滑项,防止分母等于0。wc表示Dice损失函数中的类别权重项,本发明令该项等于该类别的面积平方的倒数,这样小目标可以获得更大的权重,从而来改善小目标的变化检测效果。w′c表示交叉熵损失函数的类别权重项,本发明令该项等于该类别频率的倒数,这样能够使得类别较小的类获得更大的权重,从而来解决类别不平衡带来的问题。λ表示Dice损失函数和交叉熵损失函数之间的平衡因子,用于调整两者对损失函数的贡献,该项大于等于0,小于等于1。λ的值根据模型在验证集的评估来进行选择,即选择在验证集上性能最好的值Among them,gci indicates that the pixel belongs to the label of the category, 1 indicates that it belongs to this category, and 0 indicates that it does not belong to this category.pci represents the probability that the pixel predicted by the model belongs to the category, which is greater than or equal to 0 and less than or equal to 1. ∈ represents the smoothing term, preventing the denominator from being equal to 0. wc represents the category weight item in the Dice loss function, the present invention makes this item equal to the inverse of the square of the area of the category, so that the small target can obtain a larger weight, thereby improving the change detection effect of the small target. w′c represents the category weight term of the cross-entropy loss function. The present invention makes the term equal to the inverse of the category frequency, so that the class with a smaller category can obtain a larger weight, thereby solving the problem caused by category imbalance. λ represents the Dice loss function and the cross entropy loss function The balance factor between the two is used to adjust the contribution of the two to the loss function. This term is greater than or equal to 0 and less than or equal to 1. The value of λ is selected according to the evaluation of the model on the validation set, that is, the value with the best performance on the validation set is selected
步骤S3:构建数据集,本发明使用了一套公开数据集(WHU Building changedetection dataset)该数据集包含一张分辨率大小为32507 15354,RGB波段的遥感图像。为方便训练我将图片以步长为512×512,大小为512×512进行裁剪。然后将得到的图像块按6:2:2的比例进行划分,得到训练集,验证集和测试集。Step S3: constructing a dataset, the present invention uses a set of public datasets (WHU Building change detection dataset). The dataset includes a remote sensing image with a resolution of 32507-15354 and RGB bands. For the convenience of training, I crop the image with a step size of 512×512 and a size of 512×512. Then the obtained image blocks are divided in a ratio of 6:2:2 to obtain a training set, a validation set and a test set.
步骤S4:模型训练和评估,本发明利用上述构建的数据集进行模型的训练和评估。优化器使用带有Nesterov动量的随机梯度下降法,其中动量为0.9,权重衰减为0.0001。使用0.02的基础学习率以0.0001的权值衰减训练500轮。训练的停止采用早停法,即选取在验证集表现最好的那轮迭代的模型作为最终结果。Step S4: Model training and evaluation, the present invention uses the above constructed data set to train and evaluate the model. The optimizer uses stochastic gradient descent with Nesterov momentum, where momentum is 0.9 and weight decay is 0.0001. Train for 500 epochs with a weight decay of 0.0001 using a base learning rate of 0.02. The training is stopped by the early stopping method, that is, the model that performs the best iteration on the validation set is selected as the final result.
通过模型在验证集上的表现进行模型的评估。模型评价采用F1 score来衡量模型性能的指标。F1 score的计算公式如下The model is evaluated by its performance on the validation set. Model evaluation uses F1 score to measure the performance of the model. The formula for calculating the F1 score is as follows
其中TP、FP和FN分别表示真阳性、假阳性和假阴性的个数。P表示精确率,R表示召回率。where TP, FP and FN represent the number of true positives, false positives and false negatives, respectively. P stands for precision and R stands for recall.
步骤S5:模型推理,本发明利用上述步骤训练好的模型对测试集的数据进行推理,得到每个图片的变化区域的分割结果。Step S5: Model inference, the present invention uses the model trained in the above steps to infer the data of the test set, and obtains the segmentation result of the change area of each picture.
步骤S6:图像变化检测,通过步骤S5获得的模型,对不同时间的高分辨率遥感图像进行变化检测。Step S6: image change detection, by using the model obtained in step S5, change detection is performed on high-resolution remote sensing images at different times.
图7是本发明的数据处理装置示意图。如图7所示,本发明实施例还提供一种计算机可读存储介质,以及一种数据处理装置。本发明的计算机可读存储介质存储有计算机可执行指令,计算机可执行指令被数据处理装置的处理器执行时,实现上述基于卷积神经网络的高分辨率遥感图像变化检测方法。本领域普通技术人员可以理解上述方法中的全部或部分步骤可通过程序来指令相关硬件(例如处理器)完成,所述程序可以存储于可读存储介质中,如只读存储器、磁盘或光盘等。上述实施例的全部或部分步骤也可以使用一个或多个集成电路来实现。相应地,上述实施例中的各模块可以采用硬件的形式实现,例如通过集成电路来实现其相应功能,也可以采用软件功能模块的形式实现,例如通过处理器执行存储于存储器中的程序/指令来实现其相应功能。本发明实施例不限制于任何特定形式的硬件和软件的结合。FIG. 7 is a schematic diagram of the data processing apparatus of the present invention. As shown in FIG. 7 , an embodiment of the present invention further provides a computer-readable storage medium and a data processing apparatus. The computer-readable storage medium of the present invention stores computer-executable instructions, and when the computer-executable instructions are executed by the processor of the data processing device, the above-mentioned method for detecting changes in high-resolution remote sensing images based on a convolutional neural network is implemented. Those skilled in the art can understand that all or part of the steps in the above method can be completed by instructing relevant hardware (such as a processor) through a program, and the program can be stored in a readable storage medium, such as a read-only memory, a magnetic disk or an optical disk, etc. . All or part of the steps of the above-described embodiments may also be implemented using one or more integrated circuits. Correspondingly, each module in the above-mentioned embodiment can be implemented in the form of hardware, for example, an integrated circuit to implement its corresponding function, or it can be implemented in the form of a software function module, for example, a program/instruction stored in a memory is executed by a processor. to achieve its corresponding function. Embodiments of the present invention are not limited to any particular form of combination of hardware and software.
根据表1可知,本发明提出的方法相比现有的方法有较大的提升。According to Table 1, it can be seen that the method proposed by the present invention has a great improvement compared with the existing method.
表1:方法性能对比表Table 1: Method performance comparison table
与现有的基于深度学习的遥感图像变化检测方法相比,本发明具有以下有益效果:Compared with the existing deep learning-based remote sensing image change detection method, the present invention has the following beneficial effects:
1)通常小目标的检测效果与上下文信息与特征图的分辨率密切相关。本发明通过孪生神经网络分别处理两个时相的遥感图像从而得到各自的特征表示。每个子网中的多分辨率分支使得在保持高分辨率特征图的同时,也可以获得更多的上下文信息。同时相邻阶段间的多尺度融合单元反复对不同尺度的特征进行融合,使得低分辨率的特征图可以获取更多的空间细节信息,而高分辨率特征图可以获得更多的上下文信息。因此本发明能够在上下文信息和分辨率之间做一个很好的权衡,从而改善小目标的变化检测效果。1) Usually the detection effect of small objects is closely related to the resolution of the context information and feature map. In the present invention, the remote sensing images of two time phases are respectively processed by the twin neural network to obtain respective feature representations. The multi-resolution branches in each sub-network enable more contextual information to be obtained while maintaining high-resolution feature maps. At the same time, the multi-scale fusion unit between adjacent stages repeatedly fuses features of different scales, so that low-resolution feature maps can obtain more spatial detail information, and high-resolution feature maps can obtain more contextual information. Therefore, the present invention can make a good trade-off between context information and resolution, thereby improving the change detection effect of small targets.
2)在解码阶段,本发明对每个分支输出的特征图分别上采样,然后进行整合的策略。这策略能够融合解码过程中不同尺度的特征,减少插值过程造成的空间精度损失。这样能够更有效地增加小目标的检测效果。2) In the decoding stage, the present invention upsamples the feature maps output by each branch, and then implements the strategy of integration. This strategy can fuse features of different scales in the decoding process and reduce the loss of spatial accuracy caused by the interpolation process. This can more effectively increase the detection effect of small targets.
3)通过联合损失函数中的Dice损失函数项能够在训练过程中增加小目标的权重,从而改善小目标的检测效果。同时通过加权交叉熵损失函数,解决变化检测中类别不平衡的问题,提高总体的变化检测精度。3) Through the Dice loss function item in the joint loss function, the weight of the small target can be increased in the training process, thereby improving the detection effect of the small target. At the same time, through the weighted cross entropy loss function, the problem of class imbalance in change detection is solved, and the overall change detection accuracy is improved.
以上实施方式仅用于说明本发明,而并非对本发明的限制,有关技术领域的普通技术人员,在不脱离本发明的精神和范围的情况下,还可以做出各种变化和变形,因此所有等同的技术方案也属于本发明的范畴,本发明的专利保护范围应由权利要求限定。The above embodiments are only used to illustrate the present invention, but not to limit the present invention. Those of ordinary skill in the relevant technical field can also make various changes and modifications without departing from the spirit and scope of the present invention. Therefore, all Equivalent technical solutions also belong to the scope of the present invention, and the patent protection scope of the present invention should be defined by the claims.
| Application Number | Priority Date | Filing Date | Title |
|---|---|---|---|
| CN202010079647.3ACN111259853A (en) | 2020-02-04 | 2020-02-04 | High-resolution remote sensing image change detection method, system and device |
| Application Number | Priority Date | Filing Date | Title |
|---|---|---|---|
| CN202010079647.3ACN111259853A (en) | 2020-02-04 | 2020-02-04 | High-resolution remote sensing image change detection method, system and device |
| Publication Number | Publication Date |
|---|---|
| CN111259853Atrue CN111259853A (en) | 2020-06-09 |
| Application Number | Title | Priority Date | Filing Date |
|---|---|---|---|
| CN202010079647.3APendingCN111259853A (en) | 2020-02-04 | 2020-02-04 | High-resolution remote sensing image change detection method, system and device |
| Country | Link |
|---|---|
| CN (1) | CN111259853A (en) |
| Publication number | Priority date | Publication date | Assignee | Title |
|---|---|---|---|---|
| CN111723732A (en)* | 2020-06-18 | 2020-09-29 | 西安电子科技大学 | A kind of optical remote sensing image change detection method, storage medium and computing device |
| CN111754513A (en)* | 2020-08-07 | 2020-10-09 | 腾讯科技(深圳)有限公司 | Product surface defect segmentation method, defect segmentation model learning method and device |
| CN111768432A (en)* | 2020-06-30 | 2020-10-13 | 中国科学院自动化研究所 | Moving object segmentation method and system based on Siamese deep neural network |
| CN112150457A (en)* | 2020-10-09 | 2020-12-29 | 北京小米移动软件有限公司 | Video detection method, device and computer readable storage medium |
| CN112183224A (en)* | 2020-09-07 | 2021-01-05 | 北京达佳互联信息技术有限公司 | Model training method for image recognition, image recognition method and device |
| CN112215085A (en)* | 2020-09-17 | 2021-01-12 | 云南电网有限责任公司昆明供电局 | Power transmission corridor foreign matter detection method and system based on twin network |
| CN113033460A (en)* | 2021-04-09 | 2021-06-25 | 昆明理工大学 | Combined loss remote sensing image classification method based on twin network |
| CN113469074A (en)* | 2021-07-06 | 2021-10-01 | 西安电子科技大学 | Remote sensing image change detection method and system based on twin attention fusion network |
| CN113706482A (en)* | 2021-08-16 | 2021-11-26 | 武汉大学 | High-resolution remote sensing image change detection method |
| CN113807198A (en)* | 2021-08-24 | 2021-12-17 | 深圳市魔方卫星科技有限公司 | Road network change detection method, model training method, device, equipment and medium |
| CN114119532A (en)* | 2021-11-23 | 2022-03-01 | 云南电网有限责任公司电力科学研究院 | Building change detection method based on remote sensing image and twin neural network |
| CN115147760A (en)* | 2022-06-27 | 2022-10-04 | 武汉大学 | Change detection method for high-resolution remote sensing images based on video understanding and spatiotemporal decoupling |
| CN115272682A (en)* | 2022-07-29 | 2022-11-01 | 上海弘玑信息技术有限公司 | Target object detection method, target detection model training method and electronic equipment |
| CN116310776A (en)* | 2021-09-13 | 2023-06-23 | 广州市城市规划勘测设计研究院 | Remote sensing image building change detection method, device, equipment and storage medium |
| JP2023530304A (en)* | 2020-06-15 | 2023-07-14 | ライフ テクノロジーズ コーポレーション | Smart qPCR |
| Publication number | Priority date | Publication date | Assignee | Title |
|---|---|---|---|---|
| CN108573276A (en)* | 2018-03-12 | 2018-09-25 | 浙江大学 | A Change Detection Method Based on High Resolution Remote Sensing Image |
| CN108846835A (en)* | 2018-05-31 | 2018-11-20 | 西安电子科技大学 | The image change detection method of convolutional network is separated based on depth |
| CN109934166A (en)* | 2019-03-12 | 2019-06-25 | 中山大学 | A UAV Image Change Detection Method Based on Semantic Segmentation and Siamese Neural Network |
| CN110543911A (en)* | 2019-08-31 | 2019-12-06 | 华南理工大学 | A Weakly Supervised Object Segmentation Method Combining Classification Tasks |
| Publication number | Priority date | Publication date | Assignee | Title |
|---|---|---|---|---|
| CN108573276A (en)* | 2018-03-12 | 2018-09-25 | 浙江大学 | A Change Detection Method Based on High Resolution Remote Sensing Image |
| CN108846835A (en)* | 2018-05-31 | 2018-11-20 | 西安电子科技大学 | The image change detection method of convolutional network is separated based on depth |
| CN109934166A (en)* | 2019-03-12 | 2019-06-25 | 中山大学 | A UAV Image Change Detection Method Based on Semantic Segmentation and Siamese Neural Network |
| CN110543911A (en)* | 2019-08-31 | 2019-12-06 | 华南理工大学 | A Weakly Supervised Object Segmentation Method Combining Classification Tasks |
| Title |
|---|
| ADEL KERMI等: "Deep Convolutional Neural Networks Using U-Net for Automatic Brain Tumor Segmentation in Multimodal MRI Volumes"* |
| JINGDONG WANG等: "Deep High-Resolution Representation Learning for Visual Recognition"* |
| 王志有等: "基于深度学习算法的卫星影像变化监测"* |
| Publication number | Priority date | Publication date | Assignee | Title |
|---|---|---|---|---|
| JP2023530304A (en)* | 2020-06-15 | 2023-07-14 | ライフ テクノロジーズ コーポレーション | Smart qPCR |
| CN111723732A (en)* | 2020-06-18 | 2020-09-29 | 西安电子科技大学 | A kind of optical remote sensing image change detection method, storage medium and computing device |
| CN111723732B (en)* | 2020-06-18 | 2023-08-11 | 西安电子科技大学 | Optical remote sensing image change detection method, storage medium and computing equipment |
| CN111768432B (en)* | 2020-06-30 | 2022-06-10 | 中国科学院自动化研究所 | Moving object segmentation method and system based on Siamese deep neural network |
| CN111768432A (en)* | 2020-06-30 | 2020-10-13 | 中国科学院自动化研究所 | Moving object segmentation method and system based on Siamese deep neural network |
| CN111754513A (en)* | 2020-08-07 | 2020-10-09 | 腾讯科技(深圳)有限公司 | Product surface defect segmentation method, defect segmentation model learning method and device |
| CN111754513B (en)* | 2020-08-07 | 2024-03-22 | 腾讯科技(深圳)有限公司 | Product surface defect segmentation method, defect segmentation model learning method and device |
| CN112183224A (en)* | 2020-09-07 | 2021-01-05 | 北京达佳互联信息技术有限公司 | Model training method for image recognition, image recognition method and device |
| CN112215085A (en)* | 2020-09-17 | 2021-01-12 | 云南电网有限责任公司昆明供电局 | Power transmission corridor foreign matter detection method and system based on twin network |
| CN112150457A (en)* | 2020-10-09 | 2020-12-29 | 北京小米移动软件有限公司 | Video detection method, device and computer readable storage medium |
| CN113033460A (en)* | 2021-04-09 | 2021-06-25 | 昆明理工大学 | Combined loss remote sensing image classification method based on twin network |
| CN113469074A (en)* | 2021-07-06 | 2021-10-01 | 西安电子科技大学 | Remote sensing image change detection method and system based on twin attention fusion network |
| CN113469074B (en)* | 2021-07-06 | 2023-12-19 | 西安电子科技大学 | Remote sensing image change detection method and system based on twin attention fusion network |
| CN113706482B (en)* | 2021-08-16 | 2023-09-01 | 武汉大学 | A Change Detection Method for High Resolution Remote Sensing Imagery |
| CN113706482A (en)* | 2021-08-16 | 2021-11-26 | 武汉大学 | High-resolution remote sensing image change detection method |
| CN113807198B (en)* | 2021-08-24 | 2023-08-22 | 深圳市魔方卫星科技有限公司 | Road network change detection method, model training method, device, equipment and medium |
| CN113807198A (en)* | 2021-08-24 | 2021-12-17 | 深圳市魔方卫星科技有限公司 | Road network change detection method, model training method, device, equipment and medium |
| CN116310776A (en)* | 2021-09-13 | 2023-06-23 | 广州市城市规划勘测设计研究院 | Remote sensing image building change detection method, device, equipment and storage medium |
| CN114119532A (en)* | 2021-11-23 | 2022-03-01 | 云南电网有限责任公司电力科学研究院 | Building change detection method based on remote sensing image and twin neural network |
| CN114119532B (en)* | 2021-11-23 | 2024-11-05 | 云南电网有限责任公司电力科学研究院 | A building change detection method based on remote sensing image and twin neural network |
| CN115147760A (en)* | 2022-06-27 | 2022-10-04 | 武汉大学 | Change detection method for high-resolution remote sensing images based on video understanding and spatiotemporal decoupling |
| CN115147760B (en)* | 2022-06-27 | 2024-04-19 | 武汉大学 | A high-resolution remote sensing image change detection method based on video understanding and spatiotemporal decoupling |
| CN115272682A (en)* | 2022-07-29 | 2022-11-01 | 上海弘玑信息技术有限公司 | Target object detection method, target detection model training method and electronic equipment |
| Publication | Publication Date | Title |
|---|---|---|
| CN111259853A (en) | High-resolution remote sensing image change detection method, system and device | |
| CN111369440B (en) | Model training and image super-resolution processing method, device, terminal and storage medium | |
| CN111028146B (en) | Image super-resolution method for generating countermeasure network based on double discriminators | |
| US11551333B2 (en) | Image reconstruction method and device | |
| CN113901900B (en) | Unsupervised change detection method and system for remote sensing images of the same or different sources | |
| CN111950453B (en) | Random shape text recognition method based on selective attention mechanism | |
| CN113283444B (en) | Heterogeneous image migration method based on generation countermeasure network | |
| CN111985405B (en) | A face age synthesis method and system | |
| CN112287940A (en) | Semantic segmentation method of attention mechanism based on deep learning | |
| Chen et al. | Convolutional neural network based dem super resolution | |
| CN113807361B (en) | Neural network, target detection method, neural network training method and related products | |
| CN111476719A (en) | Image processing method, image processing device, computer equipment and storage medium | |
| CN117576567B (en) | Remote sensing image change detection method using multi-level difference characteristic self-adaptive fusion | |
| CN117935006A (en) | A salient object detection method based on infrared and visible light image fusion | |
| CN117576483B (en) | Multisource data fusion ground object classification method based on multiscale convolution self-encoder | |
| CN116051984B (en) | A Transformer-based Weak Target Detection Method | |
| JP2024018938A (en) | Night object detection, training method and device based on self-attention mechanism in frequency domain | |
| CN116030036A (en) | Image difference detection method, model training method, system, equipment and medium | |
| Xu et al. | CCFNet: Cross-complementary fusion network for RGB-D scene parsing of clothing images | |
| CN111539349A (en) | Training method and device for gesture recognition model, gesture recognition method and device | |
| CN117593187A (en) | Remote sensing image super-resolution reconstruction method based on meta-learning and transducer | |
| CN116580317A (en) | Remote sensing image change detection method and system based on neural network | |
| CN117036884A (en) | Remote sensing image space-time fusion method based on self-adaptive normalization and attention mechanism | |
| CN120088644B (en) | A method and system for detecting early wheat stripe rust | |
| CN114612300B (en) | Image network system and super-resolution algorithm based on unsupervised degradation feature learning |
| Date | Code | Title | Description |
|---|---|---|---|
| PB01 | Publication | ||
| PB01 | Publication | ||
| SE01 | Entry into force of request for substantive examination | ||
| SE01 | Entry into force of request for substantive examination | ||
| WD01 | Invention patent application deemed withdrawn after publication | ||
| WD01 | Invention patent application deemed withdrawn after publication | Application publication date:20200609 |