






技术领域Technical Field
本申请属于穿戴式智能设备技术领域,具体涉及一种足底压力采集系统。The present application belongs to the technical field of wearable intelligent devices, and specifically relates to a plantar pressure collection system.
背景技术Background Art
人在行走的过程中,足底的压力分布情况是时变的,研究足底的压力分布对于行走步态分析有重要意义,特别是对患有腿脚运动功能障碍(如跛脚、肢体残疾)的患者有重要的指导作用,通过统计分析这些患者的足底的压力分布变化,一方面可以帮助医生了解患者的病情、及康复过程,另一方面可以应用于医疗器械(如假肢)的控制当中。When people walk, the pressure distribution on the soles of the feet is time-varying. Studying the pressure distribution on the soles of the feet is of great significance for walking gait analysis, especially for patients with leg and foot motor dysfunction (such as lameness, limb disability). By statistically analyzing the changes in the pressure distribution on the soles of these patients, on the one hand, it can help doctors understand the patients' condition and rehabilitation process, and on the other hand, it can be applied to the control of medical devices (such as prostheses).
相关技术中包括采用新型导电橡胶为传感器材料研制的点阵接触力传感型人体足底压力分布的测量系统和多个微型压力传感器构成的传感器阵列等,但相关技术中的一般存在产品体积较大、穿戴不便或造价昂贵的问题。Related technologies include a dot matrix contact force sensing type human foot pressure distribution measurement system developed using a new type of conductive rubber as the sensor material and a sensor array composed of multiple miniature pressure sensors. However, related technologies generally have the problem of large product size, inconvenience in wearing or high cost.
发明内容Summary of the invention
为至少在一定程度上克服相关技术中存在产品体积较大、穿戴不便或造价昂贵的问题,本申请提供一种足底压力采集系统。In order to at least to some extent overcome the problems in the related art that products are large in size, inconvenient to wear or expensive to manufacture, the present application provides a plantar pressure collection system.
根据本申请实施例的第一方面,提供一种足底压力采集系统,所述系统包括:According to a first aspect of an embodiment of the present application, a plantar pressure acquisition system is provided, the system comprising:
薄膜压力传感器,用于采集当前足底压力信号;Thin film pressure sensor, used to collect current plantar pressure signal;
信号处理单元,用于将所述当前足底压力信号转换成当前足底电压信号;A signal processing unit, used for converting the current plantar pressure signal into a current plantar voltage signal;
控制器,用于根据所述当前足底电压信号获取当前足底压力值。The controller is used to obtain a current plantar pressure value according to the current plantar voltage signal.
优选的,所述信号处理单元,包括:若干个参考电阻和若干个模数转换模块;Preferably, the signal processing unit comprises: a plurality of reference resistors and a plurality of analog-to-digital conversion modules;
所述若干个模数转换模块,用于将所述当前足底压力信号转换成当前足底电压信号。The plurality of analog-to-digital conversion modules are used to convert the current plantar pressure signal into a current plantar voltage signal.
进一步的,所述参考电阻的数量与所述模数转换模块的数量相同;Furthermore, the number of the reference resistors is the same as the number of the analog-to-digital conversion modules;
所有的所述参考电阻的阻值均相同。The resistance values of all the reference resistors are the same.
进一步的,Furthermore,
每个所述参考电阻的一端均与薄膜压力传感器的一个输出端连接,另一端与控制器连接;One end of each of the reference resistors is connected to an output end of the thin film pressure sensor, and the other end is connected to the controller;
每个所述参考电阻与薄膜压力传感器的输出端之间的连接点均与一个模数转换模块的输入端连接;Each connection point between the reference resistor and the output end of the thin film pressure sensor is connected to the input end of an analog-to-digital conversion module;
所述模数转换模块的输出端与控制器连接;The output end of the analog-to-digital conversion module is connected to the controller;
未与参考电阻连接的薄膜压力传感器的输出端与控制器连接。The output end of the thin film pressure sensor which is not connected to the reference resistor is connected to the controller.
优选的,所述控制器,包括:Preferably, the controller comprises:
第一获取模块,用于根据所述当前足底电压信号,利用轮询法获取当前薄膜压力传感器中压力敏感区域的阻值;A first acquisition module, configured to acquire the resistance value of the pressure sensitive area in the current thin film pressure sensor by using a polling method according to the current sole voltage signal;
第二获取模块,用于将所述当前薄膜压力传感器中压力敏感区域的阻值为预设函数的输入,获取当前薄膜压力传感器中压力敏感区域对应的当前足底压力值。The second acquisition module is used to use the resistance value of the pressure sensitive area in the current thin film pressure sensor as the input of a preset function to acquire the current plantar pressure value corresponding to the pressure sensitive area in the current thin film pressure sensor.
进一步的,所述第一获取模块,包括:Furthermore, the first acquisition module includes:
第一确定子模块,用于令所述参考电阻与所述控制器之间的连接点为Pa;A first determining submodule, configured to set a connection point between the reference resistor and the controller to bePa ;
令所述薄膜压力传感器的输出端与所述控制器之间的连接点为Pb;Let the connection point between the output end of the thin film pressure sensor and the controller be Pb ;
其中,a∈[1,A],A为所述参考电阻与所述控制器之间的连接点的总数量;b∈[1,B],B为所述参考电阻与所述控制器之间的连接点的总数量;Wherein, a∈[1,A], A is the total number of connection points between the reference resistor and the controller; b∈[1,B], B is the total number of connection points between the reference resistor and the controller;
第一选择子模块,用于选取一个所述薄膜压力传感器的输出端与所述控制器之间的连接点Pd为输出口,输入高电平;A first selection submodule is used to select a connection pointPd between the output end of the thin film pressure sensor and the controller as an output port and input a high level;
选取一个所述参考电阻与所述控制器之间的连接点Pc为输出口,输入低电平;Select a connection point Pc between the reference resistor and the controller as an output port and input a low level;
其中,d∈[1,B]且d≠b,c∈[1,A]且c≠a;Among them, d∈[1,B] and d≠b, c∈[1,A] and c≠a;
第二选择子模块,用于选取其它所述参考电阻与所述控制器之间的连接点Pa为高阻态;A second selection submodule, used for selecting a connection pointPa between the other reference resistor and the controller as a high impedance state;
选取其它所述薄膜压力传感器的输出端与所述控制器之间的连接点Pb为高阻态;Selecting the connection point Pb between the output end of the other thin film pressure sensor and the controller to be in high impedance state;
第一获取子模块,用于获取薄膜压力传感器中与模数转换模块连接的有效压力敏感区域的阻值,令所述薄膜压力传感器中与模数转换模块连接的有效压力敏感区域的阻值为当前薄膜压力传感器中压力敏感区域的阻值;A first acquisition submodule is used to acquire the resistance value of the effective pressure sensitive area connected to the analog-to-digital conversion module in the thin film pressure sensor, so that the resistance value of the effective pressure sensitive area connected to the analog-to-digital conversion module in the thin film pressure sensor is the resistance value of the pressure sensitive area in the current thin film pressure sensor;
判断子模块,用于判断当前薄膜压力传感器中所有压力敏感区域的阻值是否全部获取,若是,则输出当前薄膜压力传感器中所有压力敏感区域的阻值;A judgment submodule, used to judge whether the resistance values of all pressure-sensitive areas in the current thin-film pressure sensor are all obtained, and if so, output the resistance values of all pressure-sensitive areas in the current thin-film pressure sensor;
若否,则重新选取一个所述薄膜压力传感器的输出端与所述控制器之间的连接点Pd为输出口,输入高电平;重新选取一个所述参考电阻与所述控制器之间的连接点Pc为输出口,输入低电平;直至当前薄膜压力传感器中所有压力敏感区域的阻值全部获取。If not, then reselect a connection pointPd between the output end of the thin film pressure sensor and the controller as the output port, and input a high level; reselect a connection pointPc between the reference resistor and the controller as the output port, and input a low level; until the resistance values of all pressure sensitive areas in the current thin film pressure sensor are fully obtained.
进一步的,所述第一获取子模块,具体用于按下式确定薄膜压力传感器中与模数转换模块连接的第j个有效压力敏感区域的阻值Rj:Furthermore, the first acquisition submodule is specifically used to determine the resistance value Rj of the j-th effective pressure sensitive area connected to the analog-to-digital conversion module in the thin film pressure sensor according to the following formula:
上式中,i∈[1,N],N为模数转换模块的总数量;j∈[1,M],M为薄膜压力传感器中压力敏感区域的总数量;UV为所述高电平的电压值,Ui为第i 个模数转换模块与薄膜压力传感器之间的阻值;Ug为所述连接点Pd与薄膜压力传感器之间的电阻值;Rk为连接点Pc对应的参考电阻的阻值。In the above formula, i∈[1,N], N is the total number of analog-to-digital conversion modules; j∈[1,M], M is the total number of pressure-sensitive areas in the thin film pressure sensor;UV is the voltage value of the high level,Ui is the resistance between the i-th analog-to-digital conversion module and the thin film pressure sensor;Ug is the resistance between the connection pointPd and the thin film pressure sensor;Rk is the resistance of the reference resistor corresponding to the connection pointPc .
进一步的,所述第二获取模块,包括:Furthermore, the second acquisition module includes:
第二获取子模块,用于根据历史的薄膜压力传感器中压力敏感区域的阻值和历史的薄膜压力传感器中压力敏感区域的对应的足底压力值,利用数据拟合法获取预设函数;A second acquisition submodule is used to acquire a preset function by using a data fitting method according to the historical resistance value of the pressure sensitive area in the thin film pressure sensor and the corresponding plantar pressure value of the pressure sensitive area in the thin film pressure sensor;
第三获取子模块,用于将所述当前薄膜压力传感器中压力敏感区域的阻值为预设函数的输入,获取当前薄膜压力传感器中压力敏感区域对应的当前足底压力值。The third acquisition submodule is used to use the resistance value of the pressure sensitive area in the current thin film pressure sensor as the input of a preset function to acquire the current plantar pressure value corresponding to the pressure sensitive area in the current thin film pressure sensor.
优选的,所述系统还包括:电源单元,用于为所述足底压力采集系统供电。Preferably, the system further comprises: a power supply unit for supplying power to the plantar pressure acquisition system.
优选的,所述系统还包括:通信单元,用于将所述控制器获取的当前足底压力值传送至接收终端。Preferably, the system further comprises: a communication unit, configured to transmit the current plantar pressure value acquired by the controller to a receiving terminal.
本申请的实施例提供的技术方案可以包括以下有益效果:The technical solution provided by the embodiments of the present application may have the following beneficial effects:
通过薄膜压力传感器、信号处理单元和控制器构建的足底压力采集系统,不仅能够准确的获取足底压力值,而且体积小穿戴方便,造价成本低,有助于医疗事业的发展。The plantar pressure collection system constructed by thin film pressure sensor, signal processing unit and controller can not only accurately obtain the plantar pressure value, but also has small size, easy to wear, low cost, and is conducive to the development of medical industry.
应当理解的是,以上的一般描述和后文的细节描述仅是示例性和解释性的,并不能限制本申请。It should be understood that the foregoing general description and the following detailed description are exemplary and explanatory only and are not restrictive of the present application.
附图说明BRIEF DESCRIPTION OF THE DRAWINGS
此处的附图被并入说明书中并构成本说明书的一部分,示出了符合本申请的实施例,并与说明书一起用于解释本申请的原理。The accompanying drawings, which are incorporated in and constitute a part of this specification, illustrate embodiments consistent with the present application and, together with the description, serve to explain the principles of the present application.
图1是根据一示例性实施例示出的一种足底压力采集系统的结构示意图;FIG1 is a schematic structural diagram of a plantar pressure acquisition system according to an exemplary embodiment;
图2是根据一示例性实施例示出的另一种足底压力采集系统的结构示意图;FIG2 is a schematic structural diagram of another plantar pressure acquisition system according to an exemplary embodiment;
图3是根据一示例性实施例示出的另一种足底压力采集系统的结构示意图;FIG3 is a schematic structural diagram of another plantar pressure collection system according to an exemplary embodiment;
图4是根据一示例性实施例示出的另一种足底压力采集系统中薄膜压力传感器中压力敏感区域的分布示意图;FIG4 is a schematic diagram showing the distribution of pressure sensitive areas in a thin film pressure sensor in another plantar pressure collection system according to an exemplary embodiment;
图5是根据一示例性实施例示出的另一种足底压力采集系统的薄膜压力传感器的结构示意图;FIG5 is a schematic diagram of the structure of a thin film pressure sensor of another plantar pressure collection system according to an exemplary embodiment;
图6是根据一示例性实施例示出的另一种足底压力采集系统中的等效电阻网络的示意图;FIG6 is a schematic diagram of an equivalent resistor network in another plantar pressure acquisition system according to an exemplary embodiment;
图7是根据一示例性实施例示出的另一种足底压力采集系统的结构示意图。Fig. 7 is a schematic structural diagram of another plantar pressure acquisition system according to an exemplary embodiment.
具体实施方式DETAILED DESCRIPTION
这里将详细地对示例性实施例进行说明,其示例表示在附图中。下面的描述涉及附图时,除非另有表示,不同附图中的相同数字表示相同或相似的要素。以下示例性实施例中所描述的实施方式并不代表与本申请相一致的所有实施方式。相反,它们仅是与如所附权利要求书中所详述的、本申请的一些方面相一致的装置和方法的例子。Exemplary embodiments will be described in detail herein, examples of which are shown in the accompanying drawings. When the following description refers to the drawings, unless otherwise indicated, the same numbers in different drawings represent the same or similar elements. The implementations described in the following exemplary embodiments do not represent all implementations consistent with the present application. Instead, they are merely examples of devices and methods consistent with some aspects of the present application as detailed in the appended claims.
图1是根据一示例性实施例示出的一种足底压力采集系统的结构示意图,如图1所示,该系统包括:FIG. 1 is a schematic structural diagram of a plantar pressure acquisition system according to an exemplary embodiment. As shown in FIG. 1 , the system includes:
薄膜压力传感器,用于采集当前足底压力信号;Thin film pressure sensor, used to collect current plantar pressure signal;
信号处理单元,用于将当前足底压力信号转换成当前足底电压信号;A signal processing unit, used for converting a current plantar pressure signal into a current plantar voltage signal;
控制器,用于根据当前足底电压信号获取当前足底压力值。The controller is used to obtain the current plantar pressure value according to the current plantar voltage signal.
本实施例提供的一种足底压力采集系统,不仅能够准确的足底压力值,而且体积小穿戴方便,造价成本低,有助于医疗事业的发展。The plantar pressure collection system provided in this embodiment can not only accurately measure the plantar pressure value, but also has a small size, is easy to wear, and has a low cost, which is conducive to the development of the medical industry.
作为上述实施例的一种改进,本发明实施例提供另一种足底压力采集系统的结构示意图,如图2所示,包括:As an improvement of the above embodiment, the present invention provides another structural schematic diagram of a plantar pressure collection system, as shown in FIG2 , including:
薄膜压力传感器,用于采集当前足底压力信号;Thin film pressure sensor, used to collect current plantar pressure signal;
信号处理单元,用于将当前足底压力信号转换成当前足底电压信号;A signal processing unit, used for converting a current plantar pressure signal into a current plantar voltage signal;
控制器,用于根据当前足底电压信号获取当前足底压力值。The controller is used to obtain the current plantar pressure value according to the current plantar voltage signal.
容易理解的是,薄膜压力传感器包括若干个压力敏感区域,每一个压敏区域等效为一个可变电阻。It is easy to understand that the thin film pressure sensor includes several pressure sensitive areas, and each pressure sensitive area is equivalent to a variable resistor.
需要说明的是,本领域技术人员可根据经验或工程需要等设置薄膜压力传感器中压力敏感区域的数量。It should be noted that those skilled in the art may set the number of pressure sensitive areas in the thin film pressure sensor according to experience or engineering needs.
容易理解的是,本申请提供的足底压力采集系统设置于鞋内,可设置于鞋垫下方、鞋垫上方或鞋垫内。It is easy to understand that the plantar pressure collection system provided in the present application is arranged in the shoe, and can be arranged below the insole, above the insole or inside the insole.
进一步可选的,信号处理单元,包括:若干个参考电阻和若干个模数转换模块;Further optionally, the signal processing unit includes: a plurality of reference resistors and a plurality of analog-to-digital conversion modules;
若干个模数转换模块,用于将当前足底压力信号转换成当前足底电压信号。A plurality of analog-to-digital conversion modules are used to convert the current plantar pressure signal into the current plantar voltage signal.
容易理解的是,模数转换模块是将当前足底压力信号从模拟量转换成数字量,以便于控制器识别当前足底压力信号。It is easy to understand that the analog-to-digital conversion module converts the current plantar pressure signal from an analog quantity to a digital quantity so that the controller can identify the current plantar pressure signal.
需要说明的是,测量足底压力值的时候需要一个基准,参考电阻是作为比较量;本领域技术人员可根据工程需要或实验数据设置参考电阻的阻值。It should be noted that a reference is required when measuring the plantar pressure value, and the reference resistor is used as a comparison value; those skilled in the art can set the resistance value of the reference resistor according to engineering needs or experimental data.
需要说明的是,本实施例中涉及的“模数转换模块”,是本领域技术人员所熟知的,因此,其具体实现方式不做过多描述。It should be noted that the “analog-to-digital conversion module” involved in this embodiment is well known to those skilled in the art, and therefore, its specific implementation will not be described in detail.
进一步可选的,参考电阻的数量与模数转换模块的数量相同;Further optionally, the number of reference resistors is the same as the number of analog-to-digital conversion modules;
所有的参考电阻的阻值均相同。All reference resistors have the same resistance value.
例如,参考电阻的阻值为300KΩ。For example, the resistance of the reference resistor is 300KΩ.
进一步可选的,每个参考电阻的一端均与薄膜压力传感器的一个输出端连接,另一端与控制器连接;Further optionally, one end of each reference resistor is connected to an output end of the thin film pressure sensor, and the other end is connected to the controller;
每个参考电阻与薄膜压力传感器的输出端之间的连接点均与一个模数转换模块的输入端连接;The connection point between each reference resistor and the output end of the thin film pressure sensor is connected to the input end of an analog-to-digital conversion module;
模数转换模块的输出端与控制器连接;The output end of the analog-to-digital conversion module is connected to the controller;
未与参考电阻连接的薄膜压力传感器的输出端与控制器连接。The output end of the thin film pressure sensor which is not connected to the reference resistor is connected to the controller.
进一步可选的,控制器,包括:Further optionally, the controller comprises:
第一获取模块,用于根据当前足底电压信号,利用轮询法获取当前薄膜压力传感器中压力敏感区域的阻值;A first acquisition module is used to obtain the resistance value of the pressure sensitive area in the current thin film pressure sensor by using a polling method according to the current plantar voltage signal;
第二获取模块,用于将当前薄膜压力传感器中压力敏感区域的阻值为预设函数的输入,获取当前薄膜压力传感器中压力敏感区域对应的当前足底压力值;A second acquisition module is used to use the resistance value of the pressure sensitive area in the current thin film pressure sensor as an input of a preset function to acquire the current plantar pressure value corresponding to the pressure sensitive area in the current thin film pressure sensor;
需要说明的是,本实施例中涉及的“轮询法”,是本领域技术人员所熟知的,因此,其具体实现方式不做过多描述。It should be noted that the “polling method” involved in this embodiment is well known to those skilled in the art, and therefore, its specific implementation will not be described in detail.
进一步可选的,第一获取模块,包括:Further optionally, the first acquisition module includes:
第一确定子模块,用于令参考电阻与控制器之间的连接点为Pa;A first determining submodule, used to set the connection point between the reference resistor and the controller to bePa ;
令薄膜压力传感器的输出端与控制器之间的连接点为Pb;Let the connection point between the output end of the thin film pressure sensor and the controller be Pb ;
其中,a∈[1,A],A为参考电阻与控制器之间的连接点的总数量;b∈[1,B], B为参考电阻与控制器之间的连接点的总数量;Wherein, a∈[1,A], A is the total number of connection points between the reference resistor and the controller; b∈[1,B], B is the total number of connection points between the reference resistor and the controller;
第一选择子模块,用于选取一个薄膜压力传感器的输出端与控制器之间的连接点Pd为输出口,输入高电平;The first selection submodule is used to select a connection pointPd between the output end of a thin film pressure sensor and the controller as an output port and input a high level;
选取一个参考电阻与控制器之间的连接点Pc为输出口,输入低电平;Select a connection point Pc between a reference resistor and the controller as the output port and input a low level;
其中,d∈[1,B]且d≠b,c∈[1,A]且c≠a;Among them, d∈[1,B] and d≠b, c∈[1,A] and c≠a;
第二选择子模块,用于选取其它参考电阻与控制器之间的连接点Pa为高阻态;The second selection submodule is used to select the connection point Pa between other reference resistors and the controller as a high impedance state;
选取其它薄膜压力传感器的输出端与控制器之间的连接点Pb为高阻态;Select the connection point Pb between the output end of other thin film pressure sensors and the controller as high impedance state;
第一获取子模块,用于获取薄膜压力传感器中与模数转换模块连接的有效压力敏感区域的阻值,令薄膜压力传感器中与模数转换模块连接的有效压力敏感区域的阻值为当前薄膜压力传感器中压力敏感区域的阻值;The first acquisition submodule is used to acquire the resistance value of the effective pressure sensitive area connected to the analog-to-digital conversion module in the thin film pressure sensor, so that the resistance value of the effective pressure sensitive area connected to the analog-to-digital conversion module in the thin film pressure sensor is the resistance value of the pressure sensitive area in the current thin film pressure sensor;
判断子模块,用于判断当前薄膜压力传感器中所有压力敏感区域的阻值是否全部获取,若是,则输出当前薄膜压力传感器中所有压力敏感区域的阻值;A judgment submodule, used to judge whether the resistance values of all pressure-sensitive areas in the current thin-film pressure sensor are all obtained, and if so, output the resistance values of all pressure-sensitive areas in the current thin-film pressure sensor;
若否,则重新选取一个薄膜压力传感器的输出端与控制器之间的连接点Pd为输出口,输入高电平;重新选取一个参考电阻与控制器之间的连接点Pc为输出口,输入低电平;直至当前薄膜压力传感器中所有压力敏感区域的阻值全部获取。If not, then reselect a connection pointPd between the output end of the thin film pressure sensor and the controller as the output port, and input a high level; reselect a connection pointPc between the reference resistor and the controller as the output port, and input a low level; until the resistance values of all pressure sensitive areas in the current thin film pressure sensor are obtained.
进一步可选的,第一获取子模块,具体用于按下式确定薄膜压力传感器中与模数转换模块连接的第j个有效压力敏感区域的阻值Rj:Further optionally, the first acquisition submodule is specifically used to determine the resistance value Rj of the j-th effective pressure sensitive area connected to the analog-to-digital conversion module in the thin film pressure sensor according to the following formula:
上式中,i∈[1,N],N为模数转换模块的总数量;j∈[1,M],M为薄膜压力传感器中压力敏感区域的总数量;UV为高电平的电压值,Ui为第i个模数转换模块与薄膜压力传感器之间的阻值;Ug为连接点Pd与薄膜压力传感器之间的电阻值;Rk为连接点Pc对应的参考电阻的阻值。In the above formula, i∈[1,N], N is the total number of analog-to-digital conversion modules; j∈[1,M], M is the total number of pressure-sensitive areas in the thin film pressure sensor;UV is the voltage value of the high level,Ui is the resistance value between the i-th analog-to-digital conversion module and the thin film pressure sensor;Ug is the resistance value between the connection pointPd and the thin film pressure sensor;Rk is the resistance value of the reference resistor corresponding to the connection pointPc .
进一步可选的,第二获取模块,包括:Further optionally, the second acquisition module includes:
第二获取子模块,用于根据历史的薄膜压力传感器中压力敏感区域的阻值和历史的薄膜压力传感器中压力敏感区域的对应的足底压力值,利用数据拟合法获取预设函数;A second acquisition submodule is used to acquire a preset function by using a data fitting method according to the historical resistance value of the pressure sensitive area in the thin film pressure sensor and the corresponding plantar pressure value of the pressure sensitive area in the thin film pressure sensor;
第三获取子模块,用于将当前薄膜压力传感器中压力敏感区域的阻值为预设函数的输入,获取当前薄膜压力传感器中压力敏感区域对应的当前足底压力值。The third acquisition submodule is used to use the resistance value of the pressure sensitive area in the current thin film pressure sensor as the input of a preset function to acquire the current plantar pressure value corresponding to the pressure sensitive area in the current thin film pressure sensor.
进一步可选的,该系统还包括:电源单元,用于为足底压力采集系统供电。Further optionally, the system also includes: a power supply unit for supplying power to the plantar pressure acquisition system.
需要说明的是,本领域技术人员可根据工程需要或实际需要设置电源单元的类型,例如,可以选择1S的锂电池供电(3.7V),容量300mAH。It should be noted that those skilled in the art can set the type of power supply unit according to engineering needs or actual needs. For example, a 1S lithium battery (3.7V) with a capacity of 300mAH can be selected.
进一步可选的,该系统还包括:通信单元,用于将控制器获取的当前足底压力值传送至接收终端;Further optionally, the system further includes: a communication unit, configured to transmit the current plantar pressure value acquired by the controller to a receiving terminal;
控制器,还用于将获取的当前足底压力值发送至通信单元。The controller is also used to send the acquired current plantar pressure value to the communication unit.
一些实施例中,通信单元可以但不限于通过ZigBee通信技术将控制器获取的当前足底压力值传送至接收终端。In some embodiments, the communication unit may transmit the current plantar pressure value acquired by the controller to the receiving terminal through, but not limited to, ZigBee communication technology.
本实施例提供的足底压力采集系统,可以实时检测足底压力,有效地提高了压力检测的准确性;成本低,功耗低,适用性广,且体积小穿戴方便。The plantar pressure collection system provided in this embodiment can detect plantar pressure in real time, effectively improving the accuracy of pressure detection; it has low cost, low power consumption, wide applicability, and is small in size and easy to wear.
为了进一步说明上述足底压力采集系统,本申请提供一具体的足底压力采集系统,参见图3,包括:薄膜压力传感器、4个参考电阻和CC2530处理器;In order to further illustrate the above-mentioned plantar pressure collection system, the present application provides a specific plantar pressure collection system, see FIG3 , comprising: a thin film pressure sensor, 4 reference resistors and a CC2530 processor;
进一步的,薄膜压力传感器为压阻式薄膜压力传感器。Furthermore, the thin film pressure sensor is a piezoresistive thin film pressure sensor.
需要说明的是,该薄膜压力传感器设置成鞋垫的外形,以便于放置于鞋内。It should be noted that the thin film pressure sensor is configured to be in the shape of an insole so as to be easily placed in a shoe.
进一步的,如图4和图5所示,该薄膜压力传感器包括16个压力敏感区域;薄膜压力传感器中从上到下依次包括:第一导电层、压敏材料和第二导电层。Furthermore, as shown in FIG. 4 and FIG. 5 , the thin film pressure sensor includes 16 pressure sensitive areas; the thin film pressure sensor includes, from top to bottom, a first conductive layer, a pressure sensitive material and a second conductive layer.
需要说明的,每个压力敏感区域相当于一个可变电阻,在作用在每个区域上的压力变化时,对应的阻值也会发生改变。It should be noted that each pressure sensitive area is equivalent to a variable resistor, and when the pressure acting on each area changes, the corresponding resistance value will also change.
进一步的,如图3所示,薄膜压力传感器中的16个压力敏感区域与4个参考电阻组成电阻网络,该电阻网络包括有10个IO接口,分别是P1.0~P1.7、 P2.1和P2.2,该10个IO接口均与CC2530处理器的GPIO连接;Further, as shown in FIG3 , 16 pressure sensitive areas in the thin film pressure sensor and 4 reference resistors form a resistor network, and the resistor network includes 10 IO interfaces, namely P1.0 to P1.7, P2.1 and P2.2, and the 10 IO interfaces are all connected to the GPIO of the CC2530 processor;
令每个参考电阻与薄膜压力传感器之间的连接点为ADC节点,每个ADC 节点分别与CC2530处理器的ADC通道连接;其中,该4个ADC节点为 N1~N4;该4个CC2530处理器的ADC通道为P0.4~P0.7。The connection point between each reference resistor and the thin film pressure sensor is an ADC node, and each ADC node is respectively connected to an ADC channel of the CC2530 processor; wherein the four ADC nodes are N1 to N4; and the four ADC channels of the CC2530 processor are P0.4 to P0.7.
具体的,每个参考电阻的阻值为300KΩ,该4个参考电阻为Ref1~Ref4。Specifically, the resistance of each reference resistor is 300KΩ, and the four reference resistors are Ref1 to Ref4.
进一步的,CC2530处理器的4个ADC通道,用于分别获取4个ADC节点出的电压值。Furthermore, the four ADC channels of the CC2530 processor are used to obtain the voltage values of the four ADC nodes respectively.
进一步的,CC2530处理器,用于利用轮询法和基尔霍夫电流定律对电路网络分析,获取每个压力敏感区域(可变电阻)的阻值;Further, the CC2530 processor is used to analyze the circuit network using the polling method and Kirchhoff's current law to obtain the resistance value of each pressure sensitive area (variable resistor);
利用每个压力敏感区域(可变电阻)的阻值和预设函数,获取每个压力敏感区域(可变电阻)的对应的足底压力值。The corresponding plantar pressure value of each pressure sensitive area (variable resistor) is obtained by using the resistance value of each pressure sensitive area (variable resistor) and a preset function.
需要说明的是,本实施例中涉及的“轮询法和基尔霍夫电流定律”,是本领域技术人员所熟知的,因此,其具体实现方式不做过多描述。It should be noted that the “polling method and Kirchhoff's current law” involved in this embodiment are well known to those skilled in the art, and therefore, their specific implementation methods are not described in detail.
进一步的,利用轮询法和基尔霍夫电流定律对电路网络分析,获取每个压力敏感区域(可变电阻)的阻值,包括:Furthermore, the circuit network is analyzed using the polling method and Kirchhoff's current law to obtain the resistance value of each pressure sensitive area (variable resistor), including:
步骤1:选取IO接口P1.0~P1.3、P2.1和P2.2中的P1.0为输出口,输入高电平;选取IO接口P1.4~P1.7中的P1.4设置为输出口,输出低电平,其它都IO接口均设置为高阻态;这样一来,电阻网络等效为如图6所示的电阻网络;Step 1: Select P1.0 among IO interfaces P1.0~P1.3, P2.1 and P2.2 as the output port, and input a high level; select P1.4 among IO interfaces P1.4~P1.7 as the output port, and output a low level, and set the other IO interfaces to high impedance; in this way, the resistor network is equivalent to the resistor network shown in Figure 6;
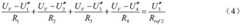
图6中虚线框中的电阻网络的流入电流等于流出电流,即:The inflow current of the resistor network in the dotted box in Figure 6 is equal to the outflow current, that is:
iin1+iin2+iin3+iin4=io1+io2+io3+io4 (1)iin1 +iin2 +iin3 +iin4 =io1 +io2 +io3 +io4 (1)
且由于io2=io3=io4=0,则式(1)可以转换成下式:And since io2 =io3 =io4 =0, equation (1) can be converted into the following equation:
上式中,U1~U4为CC2530处理器中ADC通道获取4个ADC节点出的电压值,UV为IO接口P1.0处的高电平电压;In the above formula,U1 ~U4 are the voltage values of the four ADC nodes obtained by the ADC channel in the CC2530 processor, andUV is the high-level voltage at the IO interface P1.0;
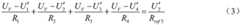
步骤2:选取IO接口P1.0~P1.3、P2.1和P2.2中的P1.0为输出口,输入高电平;选取IO接口P1.4~P1.7中的P1.5设置为输出口,输出低电平,其它都IO接口均设置为高阻态;Step 2: Select P1.0 among IO interfaces P1.0~P1.3, P2.1 and P2.2 as the output port, and input a high level; select P1.5 among IO interfaces P1.4~P1.7 as the output port, and output a low level. Set the other IO interfaces to high impedance state;
同理,根据步骤1中的原理,得到下式:Similarly, according to the principle in
上式中,U′t(t=1,2,3,4)为CC2530处理器中ADC通道重新获取4个ADC 节点出的电压值;In the above formula, U′t (t=1,2,3,4) is the voltage value of the 4 ADC nodes re-acquired by the ADC channel in the CC2530 processor;
步骤3:选取IO接口P1.0~P1.3、P2.1和P2.2中的P1.0为输出口,输入高电平;选取IO接口P1.4~P1.7中的P1.6为输出口,输出低电平;其它都IO 接口均设置为高阻态;Step 3: Select P1.0 among IO interfaces P1.0~P1.3, P2.1 and P2.2 as the output port, and input high level; select P1.6 among IO interfaces P1.4~P1.7 as the output port, and output low level; set other IO interfaces to high impedance state;
同理,根据步骤1中的原理,得到下式:Similarly, according to the principle in
上式中,U″t(t=1,2,3,4)为CC2530处理器中ADC通道重新获取4个ADC 节点出的电压值;In the above formula, U″t (t=1,2,3,4) is the voltage value of the 4 ADC nodes re-acquired by the ADC channel in the CC2530 processor;
步骤4:选取IO接口P1.0~P1.3、P2.1和P2.2中的P1.0为输出口,输入高电平;选取IO接口P1.4~P1.7中的P1.7为输出口,输出低电平;其它都IO 接口均设置为高阻态;Step 4: Select P1.0 among IO interfaces P1.0~P1.3, P2.1 and P2.2 as the output port, and input high level; select P1.7 among IO interfaces P1.4~P1.7 as the output port, and output low level; set other IO interfaces to high impedance state;
同理,根据步骤1中的原理,得到下式:Similarly, according to the principle in
上式中,U″′t(t=1,2,3,4)为CC2530处理器中ADC通道重新获取4个ADC 节点出的电压值;In the above formula, U″′t (t=1,2,3,4) is the voltage value of the 4 ADC nodes re-acquired by the ADC channel in the CC2530 processor;
步骤5:根据公式(2)~(5)可获取下式:Step 5: According to formulas (2) to (5), the following formula can be obtained:
上式中,C为4×4的矩阵,D为列向量,求解公式(5)获取可变电阻 R1~R4的倒数值;In the above formula, C is a 4×4 matrix, D is a column vector, and solving formula (5) obtains the reciprocal values of the variable resistors R1 to R4;
步骤6:重新选取IO接口P1.0~P1.3、P2.1和P2.2中的一个IO接口为输出口,输入高电平;选取IO接口P1.4~P1.7中的一个IO接口为输出口,输出低电平;同理按照步骤(1)到(5)中原理,获取所有可变电阻的倒数值。Step 6: Reselect one of the IO interfaces P1.0 to P1.3, P2.1 and P2.2 as the output port, and input a high level; select one of the IO interfaces P1.4 to P1.7 as the output port, and output a low level; similarly, according to the principles in steps (1) to (5), obtain the inverse values of all variable resistors.
进一步的,利用每个压力敏感区域(可变电阻)的阻值和预设函数,获取每个压力敏感区域(可变电阻)的对应的足底压力值,包括:Furthermore, using the resistance value of each pressure sensitive area (variable resistor) and a preset function, the corresponding plantar pressure value of each pressure sensitive area (variable resistor) is obtained, including:
根据历史的薄膜压力传感器中压力敏感区域的阻值和历史的薄膜压力传感器中压力敏感区域的对应的足底压力值,利用数据拟合法获取预设函数:According to the historical resistance value of the pressure sensitive area in the thin film pressure sensor and the corresponding plantar pressure value of the pressure sensitive area in the thin film pressure sensor, the preset function is obtained by using the data fitting method:
y=0.0058x+0.0022y=0.0058x+0.0022
上式中,x为可变电阻的倒数,单位为KΩ;y为压力值,单位为N。In the above formula, x is the reciprocal of the variable resistance, the unit is KΩ; y is the pressure value, the unit is N.
进一步的,该CC2530处理器还包括:ZigBee无线通信单元,用于将 CC2530处理器获取的足底压力值传送至接收端;Furthermore, the CC2530 processor also includes: a ZigBee wireless communication unit, which is used to transmit the plantar pressure value obtained by the CC2530 processor to a receiving end;
接收端可以但不限于包括:电脑或手机;The receiving end may include but is not limited to: a computer or a mobile phone;
例如,如图7所示的接收端的界面。For example, the interface of the receiving end is shown in FIG7 .
进一步的,该系统还包括:电源单元,用于将为足底压力采集系统供电。Furthermore, the system also includes: a power supply unit, which is used to supply power to the plantar pressure collection system.
该电源单元可以但不限于为锂电池(3.7V),容量300mAH。The power supply unit may be, but is not limited to, a lithium battery (3.7V) with a capacity of 300mAH.
本实施例提供的足底压力采集系统,可以实时检测足底压力;采用 CC2530处理器,利用其内置的8路14位AD通道以及无线通信功能,有效地提高了压力检测的准确性;采用了比较廉价的薄膜压力传感器,其外形与足部结构吻合,材质相对柔软,易于安放到不同的鞋子中;本实施例的提供的足底压力采集系统,成本低,功耗低,适用性广,且体积小(30*30mm) 穿戴方便;同时,也可以为医疗事业做出贡献。The plantar pressure collection system provided in this embodiment can detect plantar pressure in real time; it adopts the CC2530 processor, and utilizes its built-in 8-way 14-bit AD channels and wireless communication functions to effectively improve the accuracy of pressure detection; it adopts a relatively cheap thin film pressure sensor, whose shape matches the structure of the foot, and the material is relatively soft, and easy to be placed in different shoes; the plantar pressure collection system provided in this embodiment has low cost, low power consumption, wide applicability, and small size (30*30mm) and is easy to wear; at the same time, it can also contribute to the medical industry.
可以理解的是,上述各实施例中相同或相似部分可以相互参考,在一些实施例中未详细说明的内容可以参见其他实施例中相同或相似的内容。It can be understood that the same or similar parts of the above embodiments can be referenced to each other, and the contents not described in detail in some embodiments can refer to the same or similar contents in other embodiments.
需要说明的是,在本申请的描述中,术语“第一”、“第二”等仅用于描述目的,而不能理解为指示或暗示相对重要性。此外,在本申请的描述中,除非另有说明,“多个”的含义是指至少两个。It should be noted that, in the description of this application, the terms "first", "second", etc. are only used for descriptive purposes and cannot be understood as indicating or implying relative importance. In addition, in the description of this application, unless otherwise specified, the meaning of "plurality" refers to at least two.
流程图中或在此以其他方式描述的任何过程或方法描述可以被理解为,表示包括一个或更多个用于实现特定逻辑功能或过程的步骤的可执行指令的代码的模块、片段或部分,并且本申请的优选实施方式的范围包括另外的实现,其中可以不按所示出或讨论的顺序,包括根据所涉及的功能按基本同时的方式或按相反的顺序,来执行功能,这应被本申请的实施例所属技术领域的技术人员所理解。Any process or method description in a flowchart or otherwise described herein may be understood to represent a module, segment or portion of code that includes one or more executable instructions for implementing the steps of a specific logical function or process, and the scope of the preferred embodiments of the present application includes alternative implementations in which functions may not be performed in the order shown or discussed, including performing functions in a substantially simultaneous manner or in the reverse order depending on the functions involved, which should be understood by technicians in the technical field to which the embodiments of the present application belong.
应当理解,本申请的各部分可以用硬件、软件、固件或它们的组合来实现。在上述实施方式中,多个步骤或方法可以用存储在存储器中且由合适的指令执行系统执行的软件或固件来实现。例如,如果用硬件来实现,和在另一实施方式中一样,可用本领域公知的下列技术中的任一项或他们的组合来实现:具有用于对数据信号实现逻辑功能的逻辑门电路的离散逻辑电路,具有合适的组合逻辑门电路的专用集成电路,可编程门阵列(PGA),现场可编程门阵列(FPGA)等。It should be understood that the various parts of the present application can be implemented by hardware, software, firmware or a combination thereof. In the above-mentioned embodiments, multiple steps or methods can be implemented by software or firmware stored in a memory and executed by a suitable instruction execution system. For example, if implemented by hardware, as in another embodiment, it can be implemented by any one of the following technologies known in the art or their combination: a discrete logic circuit having a logic gate circuit for implementing a logic function for a data signal, a dedicated integrated circuit having a suitable combination of logic gate circuits, a programmable gate array (PGA), a field programmable gate array (FPGA), etc.
本技术领域的普通技术人员可以理解实现上述实施例方法携带的全部或部分步骤是可以通过程序来指令相关的硬件完成,所述的程序可以存储于一种计算机可读存储介质中,该程序在执行时,包括方法实施例的步骤之一或其组合。A person skilled in the art may understand that all or part of the steps in the method for implementing the above-mentioned embodiment may be completed by instructing related hardware through a program, and the program may be stored in a computer-readable storage medium, which, when executed, includes one or a combination of the steps of the method embodiment.
此外,在本申请各个实施例中的各功能单元可以集成在一个处理模块中,也可以是各个单元单独物理存在,也可以两个或两个以上单元集成在一个模块中。上述集成的模块既可以采用硬件的形式实现,也可以采用软件功能模块的形式实现。所述集成的模块如果以软件功能模块的形式实现并作为独立的产品销售或使用时,也可以存储在一个计算机可读取存储介质中。In addition, each functional unit in each embodiment of the present application may be integrated into a processing module, or each unit may exist physically separately, or two or more units may be integrated into one module. The above-mentioned integrated module may be implemented in the form of hardware or in the form of a software functional module. If the integrated module is implemented in the form of a software functional module and sold or used as an independent product, it may also be stored in a computer-readable storage medium.
上述提到的存储介质可以是只读存储器,磁盘或光盘等。The storage medium mentioned above can be a read-only memory, a magnetic disk or an optical disk, etc.
在本说明书的描述中,参考术语“一个实施例”、“一些实施例”、“示例”、“具体示例”、或“一些示例”等的描述意指结合该实施例或示例描述的具体特征、结构、材料或者特点包含于本申请的至少一个实施例或示例中。在本说明书中,对上述术语的示意性表述不一定指的是相同的实施例或示例。而且,描述的具体特征、结构、材料或者特点可以在任何的一个或多个实施例或示例中以合适的方式结合。In the description of this specification, the description with reference to the terms "one embodiment", "some embodiments", "example", "specific example", or "some examples" means that the specific features, structures, materials or characteristics described in conjunction with the embodiment or example are included in at least one embodiment or example of the present application. In this specification, the schematic representation of the above terms does not necessarily refer to the same embodiment or example. Moreover, the specific features, structures, materials or characteristics described may be combined in any one or more embodiments or examples in a suitable manner.
尽管上面已经示出和描述了本申请的实施例,可以理解的是,上述实施例是示例性的,不能理解为对本申请的限制,本领域的普通技术人员在本申请的范围内可以对上述实施例进行变化、修改、替换和变型。Although the embodiments of the present application have been shown and described above, it can be understood that the above embodiments are exemplary and cannot be understood as limitations on the present application. Ordinary technicians in the field can change, modify, replace and modify the above embodiments within the scope of the present application.
| Application Number | Priority Date | Filing Date | Title |
|---|---|---|---|
| CN202010058559.5ACN111248914B (en) | 2020-01-19 | 2020-01-19 | Plantar pressure acquisition system |
| Application Number | Priority Date | Filing Date | Title |
|---|---|---|---|
| CN202010058559.5ACN111248914B (en) | 2020-01-19 | 2020-01-19 | Plantar pressure acquisition system |
| Publication Number | Publication Date |
|---|---|
| CN111248914A CN111248914A (en) | 2020-06-09 |
| CN111248914Btrue CN111248914B (en) | 2023-03-24 |
| Application Number | Title | Priority Date | Filing Date |
|---|---|---|---|
| CN202010058559.5AActiveCN111248914B (en) | 2020-01-19 | 2020-01-19 | Plantar pressure acquisition system |
| Country | Link |
|---|---|
| CN (1) | CN111248914B (en) |
| Publication number | Priority date | Publication date | Assignee | Title |
|---|---|---|---|---|
| CN112914189A (en)* | 2021-01-26 | 2021-06-08 | 上海海事大学 | Sole sensing insole, tumble detection system and tumble detection method |
| CN116858405B (en)* | 2023-07-19 | 2024-04-02 | 杭州创乐电子科技有限公司 | Pressure measuring method of piezoresistor matrix |
| Publication number | Priority date | Publication date | Assignee | Title |
|---|---|---|---|---|
| US7612654B2 (en)* | 2004-09-10 | 2009-11-03 | Cooper Technologies Company | System and method for circuit protector monitoring and management |
| US9632060B2 (en)* | 2012-06-08 | 2017-04-25 | Medtronic Minimed, Inc. | Application of electrochemical impedance spectroscopy in sensor systems, devices, and related methods |
| CN105249973A (en)* | 2015-08-29 | 2016-01-20 | 广东铭凯医疗机器人有限公司 | Shoe pad-based gait detection system |
| CN205107687U (en)* | 2015-11-05 | 2016-03-30 | 深圳市前海安测信息技术有限公司 | A pressure sensor , wearable equipment and system for gait information acquisition |
| CN105806371B (en)* | 2016-04-29 | 2018-03-09 | 国网上海市电力公司 | The temperature and pressure dynamic compensation method of sensor |
| Publication number | Publication date |
|---|---|
| CN111248914A (en) | 2020-06-09 |
| Publication | Publication Date | Title |
|---|---|---|
| CN205107687U (en) | A pressure sensor , wearable equipment and system for gait information acquisition | |
| CN111248914B (en) | Plantar pressure acquisition system | |
| CN206836390U (en) | A kind of Intelligent insole monitoring system | |
| Guo et al. | A shoe-integrated sensor system for long-term center of pressure evaluation | |
| CN105662419A (en) | Plantar pressure measuring device and method for exoskeleton control | |
| CN105748078A (en) | Sole pressure measuring device based on pressure sensing insole and system | |
| CN109924981A (en) | A kind of talipes cavus detection system and method | |
| CN112294294A (en) | A Synchronous Acquisition System of Human Sports Performance Evaluation Data | |
| CN203953961U (en) | A kind of Intelligent urine wetting alarm device | |
| CN111938642A (en) | Plantar pressure surface parameter measurement system and method based on electrical impedance imaging technology | |
| KR101923676B1 (en) | Posture correction apparatus based on sandle structure | |
| CN105054486A (en) | Health monitoring shoes | |
| CN109907427A (en) | A big data-based rehabilitation process detection insole and detection method | |
| CN209547980U (en) | A plantar pressure testing system | |
| CN113951871A (en) | A plantar pressure detection system | |
| Shayan et al. | ShrewdShoe, a smart pressure sensitive wearable platform | |
| CN114305390A (en) | Device and method for detecting plantar pressure and calibrating slippage | |
| KR20200102162A (en) | Wearable gait analysis device | |
| Dai et al. | Smart Insoles for Gait Analysis Based on Meshless Conductive Rubber Sensors and Neural Networks | |
| Huang et al. | A Facile Low-Cost Wireless Self-Powered Footwear System for Monitoring Plantar Pressure | |
| CN211633032U (en) | Intelligent toilet lid device with health data monitoring function | |
| CN210697635U (en) | A foot pressure sensing detection system, a pressure detection insole and a pressure detection shoe | |
| Talib et al. | Implementation of piezoelectric sensor in gait measurement system | |
| Wang et al. | Design and research of a high spatial resolution insole plantar pressure acquisition system | |
| CN108936946A (en) | Foot pressure detection insole, system and method |
| Date | Code | Title | Description |
|---|---|---|---|
| PB01 | Publication | ||
| PB01 | Publication | ||
| SE01 | Entry into force of request for substantive examination | ||
| SE01 | Entry into force of request for substantive examination | ||
| GR01 | Patent grant | ||
| GR01 | Patent grant |