









技术领域Technical Field
本发明属于信息检索及其数据库结构技术领域,尤其涉及一种基于博弈论的专利侵权检测方法及系统。The present invention belongs to the technical field of information retrieval and its database structure, and in particular, to a patent infringement detection method and system based on game theory.
背景技术Background Art
目前,业内常用的现有技术是这样的:随着时代的进步,人们对于知识产权的保护愈加重视,专利作为知识产权保护的重要手段申请数量急剧增加。而专利在授予之后一旦发现存在侵权行为会给公司及个人带来巨大损失。但是专利的手工审核不仅速度慢且因专利审核人员领域知识的限制导致专利审核过程可能存在误判的情况,因此在专利申请之前进行自动化侵权检测可以大大减少专利申请人的损失。因此实现专利侵权检测的自动化,既可以使专利申请人在申请专利之前进行预检测,也可以在专利审核过程中检索可能侵权专利,以此缩短专利审查周期。专利审查主要审查三个特性:有用性、新颖性和创造性。有用性是指专利所述的技术方案是可实施的,是从专利自身描述进行判断的。而侵权检测是检测专利是否侵权了其他专利,是根据专利之间的关系进行判断的,因此专利侵权检测只考虑新颖性和创造性不考虑对有用性的检测。目前常见的专利侵权检测主要是通过改进相似度检测的结构及方法,这些方法以专利文本为研究对象对专利进行侵权检测。At present, the commonly used existing technologies in the industry are as follows: With the progress of the times, people pay more and more attention to the protection of intellectual property rights, and the number of patent applications as an important means of intellectual property protection has increased dramatically. Once the patent is granted, it will bring huge losses to the company and individuals once infringement is found. However, the manual review of patents is not only slow, but also due to the limitation of the patent reviewer's field knowledge, there may be misjudgments in the patent review process. Therefore, automated infringement detection before patent application can greatly reduce the losses of patent applicants. Therefore, the automation of patent infringement detection can not only enable patent applicants to conduct pre-detection before applying for patents, but also search for possible infringing patents during the patent review process, thereby shortening the patent review cycle. Patent review mainly examines three characteristics: usefulness, novelty and creativity. Usefulness means that the technical solution described in the patent is feasible, which is judged from the description of the patent itself. Infringement detection is to detect whether the patent infringes other patents, which is judged based on the relationship between patents. Therefore, patent infringement detection only considers novelty and creativity, but not usefulness. At present, common patent infringement detection is mainly through improving the structure and method of similarity detection. These methods use patent texts as research objects to detect patent infringement.
目前常见的专利侵权检测主要是通过改进相似度检测的结构及方法,这些方法以专利文本为研究对象对专利进行侵权检测。Currently, the most common patent infringement detection is mainly through improving the structure and methods of similarity detection. These methods use patent texts as research objects to detect patent infringement.
目前方法的不足之处在于:The shortcomings of the current method are:
(1)自专利法改革之后,增加了对专利内容进行的实质审查,实质审查主要审查专利的三个特性:有用性、新颖性和非显而易见性,而侵权检测是针对该专利与其他专利的关系,可以暂时不考虑有用性,过去方法忽视了对非显而易见性的检测。(1) Since the reform of the Patent Law, substantive examination of patent content has been added. Substantive examination mainly examines three characteristics of patents: usefulness, novelty and non-obviousness, while infringement detection is based on the relationship between the patent and other patents. Usefulness can be temporarily ignored. Past methods have ignored the detection of non-obviousness.
(2)过去方法没有将专利文本与其他普通文本区别开来,对比过程中只考虑了文本本身,没有考虑专利申请人的理性决策。申请专利无效判决的过程是一个双向的过程,疑似被侵权方可以控告疑似侵权方侵权,而疑似侵权方也有权对法院判决产生异议,可以对国家知识产权局专利复审委员会提起诉讼。在这个过程中双方都会结合对方的选择做出对自己最有利的选择。(2) The previous method did not distinguish the patent text from other ordinary texts. The comparison process only considered the text itself, without considering the rational decision of the patent applicant. The process of applying for a patent invalidation judgment is a two-way process. The suspected infringed party can sue the suspected infringer for infringement, and the suspected infringer also has the right to object to the court's judgment and file a lawsuit against the Patent Reexamination Board of the State Intellectual Property Office. In this process, both parties will make the most favorable choice based on the other party's choice.
(3)过去方法的对比方法没有考虑到确定专利的新颖性的过程是一个双向的过程,不仅要考虑该专利比之前专利多的技术特征,还要考虑该专利比之前专利少的那些技术特征。(3) The comparative method of the past method did not take into account that the process of determining the novelty of a patent is a two-way process, which requires not only considering the technical features that the patent has more than the previous patent, but also considering those technical features that the patent has less than the previous patent.
(4)忽略了层次性,降低了对侵权对象表征的精确性。过去的方法只考虑到专利中最重要部分是由权利要求构成的权利要求书,事实上对于专利而言,专利主要由权利要求构成,权利要求主要由技术特征构成,这种对于专利文本层次性的忽略,导致对侵权对象即专利表征的精确性降低。(4) Ignoring the hierarchy, reducing the accuracy of the representation of the infringing object. The previous method only considered the most important part of the patent, which is the claims. In fact, for a patent, the patent is mainly composed of claims, and the claims are mainly composed of technical features. This neglect of the hierarchy of the patent text leads to a reduction in the accuracy of the representation of the infringing object, that is, the patent.
(5)忽略了针对性,这种信息损失降低了实验结果的准确性。过去方法以权利要求书整体相似结果作为专利侵权判定依据,事实上专利侵权检测是针对单个权利要求的,只要专利中有一个权利要求侵权其他专利,该专利就会被判定为侵权,这种对判定对象针对性的缺失导致实验结果的准确性降低。(5) Targetedness is ignored. This information loss reduces the accuracy of experimental results. In the past, the method used the overall similarity results of the claims as the basis for determining patent infringement. In fact, patent infringement detection is targeted at a single claim. As long as one claim in a patent infringes other patents, the patent will be judged as infringing. This lack of targetedness of the judgment object leads to a decrease in the accuracy of experimental results.
综上所述,现有技术存在的问题是:In summary, the problems existing in the prior art are:
(1)过去专利侵权检测的自动化方法对非显而易见性的检测效果差。(1) In the past, automated methods for patent infringement detection were ineffective in detecting non-obviousness.
(2)过去方法没有将专利文本与其他普通文本区别开来,对比过程中只考虑了文本本身,没有考虑专利申请人的理性决策。(2) Previous methods did not distinguish patent texts from other ordinary texts. The comparison process only considered the text itself and did not consider the rational decision of the patent applicant.
(3)过去方法的对比方法没有考虑到确定专利的新颖性的过程是一个双向的过程,没有涉及到该专利比之前专利少的技术特征。以上问题导致专利侵权检测的结果并不准确。(3) The comparative method of the past method did not take into account that the process of determining the novelty of a patent is a two-way process and did not involve the technical features that the patent lacks compared to the previous patent. The above problems lead to inaccurate results of patent infringement detection.
(4)现有技术的检测方法中对侵权对象表征信息的不精确导致实验结果准确性不高。(4) The inaccurate characterization information of the infringing object in the detection methods of the prior art leads to low accuracy of the experimental results.
(5)现有技术的检测方法中对真实侵权场景信息的不准确表达导致实验结果可靠性不高。(5) The inaccurate expression of the actual infringement scenario information in the detection methods of the prior art leads to low reliability of the experimental results.
(6)现有技术的检测方法中针对性信息的丢失导致实验结果精确性不高。(6) The loss of targeted information in the detection methods of the prior art leads to low accuracy of experimental results.
解决上述技术问题的难度:传统的对比方法对于非显而易见性的检测难以进行;只考虑对比的方法无法体现申请人的决策过程。传统的对比方法难以表示专利构成的层次性;对于侵权真实场景难以体现;对于专利侵权判定的针对性的表达存在困难。Difficulty in solving the above technical problems: Traditional comparison methods are difficult to detect non-obviousness; methods that only consider comparison cannot reflect the applicant's decision-making process. Traditional comparison methods are difficult to express the hierarchy of patent composition; difficult to reflect the real infringement scenario; and difficult to express the targeted determination of patent infringement.
解决上述技术问题的意义:结合法律知识以及专利审核的实际过程,更加准确的对专利侵权进行检测,可以提高结果准确度,降低专利申请人的损失。结合法律知识、专利文本结构以及专利审核的实际过程,更加准确的对专利侵权进行检测,可以提高结果准确度,降低专利申请人的损失,缩短专利审查周期。The significance of solving the above technical problems: Combining legal knowledge and the actual process of patent review, more accurate detection of patent infringement can improve the accuracy of results and reduce the losses of patent applicants. Combining legal knowledge, patent text structure and the actual process of patent review, more accurate detection of patent infringement can improve the accuracy of results, reduce the losses of patent applicants and shorten the patent review cycle.
发明内容Summary of the invention
针对现有技术存在的问题,本发明提供了一种基于博弈论的专利侵权检测方法及系统。本发明根据自然语言处理的步骤首先需要对数据进行预处理,然后需要计算博弈过程中用到的数值,最后通过博弈得到最终结果。本发明根据自然语言处理的步骤首先通过计算机技术对采集到的专利数据进行搜索和预处理,然后使用word2vec得到的相似性作为技术特征之间的相似关系,基于专利结构和相似关系构建博弈树,通过计算期望支付选定专利中的技术特征和权利要求,得到侵权风险。重复上述过程,汇总侵权风险以生成侵权风险检测报告。In view of the problems existing in the prior art, the present invention provides a patent infringement detection method and system based on game theory. According to the steps of natural language processing, the present invention first needs to pre-process the data, then needs to calculate the numerical values used in the game process, and finally obtains the final result through the game. According to the steps of natural language processing, the present invention first searches and pre-processes the collected patent data through computer technology, and then uses the similarity obtained by word2vec as the similarity relationship between technical features, constructs a game tree based on the patent structure and similarity relationship, and obtains the infringement risk by calculating the expected payment of the selected patent's technical features and claims. Repeat the above process, summarize the infringement risk to generate an infringement risk detection report.
本发明是这样实现的,一种基于博弈论的专利侵权检测方法及系统,所述基于博弈论的专利侵权检测方法具体包括:The present invention is implemented as follows: a patent infringement detection method and system based on game theory, wherein the patent infringement detection method based on game theory specifically includes:
步骤一,进行数据采集,由于采集到的数据不符合实验数据的结构,需要对采集的数据进行预处理。Step 1: Data collection. Since the collected data does not conform to the structure of experimental data, the collected data needs to be preprocessed.
步骤二,通过分析专利文本发现,专利的技术特征一般由名词表示,因此将名词作为专利的技术特征,通过计算技术特征的新颖性、非显而易见性以及权利要求之间、专利之间的博弈进行侵权风险计算。Step 2: By analyzing the patent text, it is found that the technical features of a patent are generally represented by nouns. Therefore, nouns are used as the technical features of the patent, and the infringement risk is calculated by calculating the novelty and non-obviousness of the technical features as well as the game between claims and patents.
步骤三,博弈结果得到的支付即为专利侵权风险。Step three: The payment obtained as a result of the game is the risk of patent infringement.
进一步,步骤一中,提供了实验所需数据,所述数据采集包括:Furthermore, in
(1)美国专利商标局(USPTO)包含了最为全面、完整的专利申请以及专利授予信息,因此选用专利商标局(USPTO)的专利本文作为数据源。(1) The United States Patent and Trademark Office (USPTO) contains the most comprehensive and complete patent application and patent grant information, so the patent information of the United States Patent and Trademark Office (USPTO) is selected as the data source.
(2)基于网络爬虫的方法批量获取专利商标局(USPTO)的专利数据。(2) Batch obtain patent data from the United States Patent and Trademark Office (USPTO) based on web crawler methods.
进一步,所述数据预处理包括:Further, the data preprocessing includes:
(1)专利的核心技术都写在专利文本的权利要求部分,因此抽取专利数据中的权利要求书。(1) The core technologies of patents are written in the claims section of the patent text, so the claims in the patent data are extracted.
(2)实验所需数据就是权利要求部分的名词,因此对抽取出的文本数据进行停用词、分词、提取名词处理。(2) The data required for the experiment are the nouns in the claims, so the extracted text data is processed by stop words, word segmentation, and noun extraction.
(3)为后续计算新颖性和非显而易见性,使用word2vec对词进行向量化。(3) To calculate novelty and non-obviousness later, use word2vec to vectorize the words.
进一步,步骤二中,为后续博弈过程提供数据支持,所述技术特征的新颖性以及非显而易见性计算方法具体包括:Furthermore, in
(1)通过使用词向量计算距离,选取权利要求中的某个词,因为只要两个词是相近的则它们的新颖性就低,因此计算这个词到其他权利要求中词的最短距离(也即1-最大相似度)作为这个词所对应的技术特征支付的新颖性。(1) By using word vectors to calculate the distance, a word in the claim is selected. Since two words are similar, their novelty is low. Therefore, the shortest distance from this word to the words in other claims (i.e., 1-maximum similarity) is calculated as the novelty of the technical feature corresponding to this word.
(2)通过使用词向量计算距离,选取权利要求中的某个词,因为只要两个词是相近的则它们的非显而易见性就低,因此计算这个词到它所在权利要求中其他词的最短距离(也即1-最大相似度)作为这个词所对应的技术特征的非显而易见性,并将技术特征的非显而易见性归一化之后作为技术特征的选择概率。(2) By using word vectors to calculate the distance, a word in the claim is selected. Since two words are similar, their non-obviousness is low. Therefore, the shortest distance from this word to other words in the claim (i.e., 1-maximum similarity) is calculated as the non-obviousness of the technical feature corresponding to this word, and the non-obviousness of the technical feature is normalized as the selection probability of the technical feature.
(3)对于权利要求的支付,将技术特征博弈结果得出的技术特征的支付作为该权利要求的支付。(3) For the payment of a claim, the payment of the technical features obtained from the technical feature game will be used as the payment of the claim.
(4)对于权利要求的选择概率,根据对专利文本的分析发现,权利要求的重要性除了和它是否为独立权利要求有关,还与它所含技术特征数成反比,因此综合权利要求所含技术特征数以及其是否为独立权利要求计算,归一化之后得到该权利要求选择概率。(4) Regarding the selection probability of a claim, based on the analysis of the patent text, it is found that the importance of a claim is not only related to whether it is an independent claim, but also inversely proportional to the number of technical features it contains. Therefore, the selection probability of a claim is calculated by comprehensively considering the number of technical features contained in the claim and whether it is an independent claim, and then normalized to obtain the selection probability of the claim.
进一步,步骤二中,所述权利要求之间、专利之间的博弈具体包括:Furthermore, in
(1)利用节点A、B表示博弈参与人即博弈的权利要求或是博弈的专利。节点上的分支表示参与人的策略,对于每一个策略都有一个选择概率,叶子节点处表示的是参与人的支付。(1) Nodes A and B are used to represent the game participants, that is, the game claims or game patents. The branches on the nodes represent the strategies of the participants. Each strategy has a selection probability, and the leaf nodes represent the payment of the participants.
(2)基于对专利文本的分析,将技术的组成元素作为技术特征。(2) Based on the analysis of the patent text, the constituent elements of the technology are regarded as technical features.
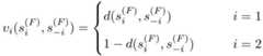
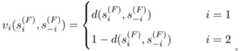
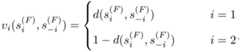
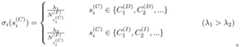
1)当t为技术特征F时,支付函数的计算如下所示:1) When t is the technical feature F, the calculation of the payment function is as follows:
其中,σi表示参与人i的混合策略;-i表示除参与人i之外的参与人;表示在混合策略σi和下参与人i的支付;表示参与人-i 选择混合策略σ-i时参与人i选择策略的支付;表示和之间的距离,使用word2vec将词表示为词向量,使用词向量的距离作为计算结果;Among them, σi represents the mixed strategy of participant i; -i represents the participants other than participant i; In the mixed strategy σi and The payment of participant i; Denotes that when participant-i chooses mixed strategy σ-i, participant i chooses strategy Payment of express and The distance between them, using word2vec to represent the words as word vectors, and using the distance between word vectors as the calculation result;
2)当t为权利要求C时,支付函数的计算如下所示:2) When t is claim C, the calculation of the payment function is as follows:
其他计算方法与上述t为技术特征F时相同;表示权利要求包含的技术特征数;表示独立权利要求;表示从属权利要求。Other calculation methods are the same as above when t is technical feature F; Claims The number of technical features included; represents an independent claim; Indicates a dependent claim.
进一步,所述基于博弈论的专利侵权检测系统具体包括:Furthermore, the patent infringement detection system based on game theory specifically includes:
数据采集与预处理模块、风险计算模块、结果输出模块。Data collection and preprocessing module, risk calculation module, and result output module.
数据采集与预处理模块:与风险计算模块连接,用于选择数据源、爬取数据并对爬取数据进行处理。Data collection and preprocessing module: connected to the risk calculation module, used to select data sources, crawl data and process crawled data.
风险计算模块:与数据采集与预处理模块、结果输出模块连接;用于计算技术特征的新颖性和非显而易见性,进行权利要求之间、专利之间的博弈。Risk calculation module: connected with the data collection and preprocessing module and the result output module; used to calculate the novelty and non-obviousness of technical features, and conduct bargaining between claims and patents.
结果输出模块:与风险计算模块连接,用于将博弈结果得到的支付作为专利侵权风险输出。Result output module: connected to the risk calculation module, used to output the payment obtained from the game results as the patent infringement risk.
本发明的另一目的在于提供一种终端,所述终端实现所述基于博弈论的专利侵权检测方法的处理器。Another object of the present invention is to provide a terminal, wherein the terminal implements a processor of the patent infringement detection method based on game theory.
本发明的另一目的在于提供一种计算机可读存储介质,包括指令,当其在计算机上运行时,使得计算机执行所述的基于博弈论的专利侵权检测方法。Another object of the present invention is to provide a computer-readable storage medium, comprising instructions, which, when executed on a computer, enable the computer to execute the game theory-based patent infringement detection method.
本发明的另一目的在于提供一种实现所述基于博弈论的专利侵权检测方法的专利检索设备。Another object of the present invention is to provide a patent search device for implementing the patent infringement detection method based on game theory.
本发明的另一目的在于提供一种基于博弈论的专利侵权检测方法还包括:通过计算机技术对采集到的专利数据进行搜索和预处理;Another object of the present invention is to provide a patent infringement detection method based on game theory, which further includes: searching and preprocessing the collected patent data by computer technology;
对搜索和预处理后的专利数据使用word2vec得到的相似性作为技术特征之间的相似关系,基于专利结构和相似关系构建博弈树,并通过计算期望支付选定专利中的技术特征和权利要求,得到侵权风险数据;The similarity obtained by using word2vec on the searched and preprocessed patent data is used as the similarity relationship between technical features. A game tree is constructed based on the patent structure and similarity relationship. The technical features and claims in the selected patents are calculated by calculating the expected payment to obtain the infringement risk data.
汇总得到的所述侵权风险数据生成侵权风险检测报告。The infringement risk data obtained by aggregation is used to generate an infringement risk detection report.
所述基于博弈论的专利侵权检测方法进一步包括:The patent infringement detection method based on game theory further includes:
步骤一,进行专利数据采集,对上传的专利进行检索,对检索到的专利数据中的权利要求数据进行预处理;Step 1: Collect patent data, search the uploaded patents, and pre-process the claim data in the retrieved patent data;
步骤二,调用外部词向量数据库计算技术特征之间的相似关系作为技术特征的新颖性和创造性;Step 2: Calling an external word vector database to calculate the similarity between technical features as the novelty and creativity of the technical features;
步骤三,构建以权利要求为节点,以技术特征为边的博弈树,权利要求之间进行博弈,博弈结果选中的技术特征间的支付作为权利要求侵权风险;Step 3: construct a game tree with claims as nodes and technical features as edges, conduct game between claims, and the payment between technical features selected in the game results is used as the infringement risk of the claims;
步骤四,构建以专利为节点,以权利要求为边的博弈树,专利之间进行博弈,博弈结果选中的权利要求间的支付作为专利侵权风险;Step 4: construct a game tree with patents as nodes and claims as edges, conduct game between patents, and use the payment between claims selected in the game results as the patent infringement risk;
步骤五,汇总结果,生成侵权风险报告。Step 5: Summarize the results and generate an infringement risk report.
进一步,步骤一中,进行专利数据采集的方法包括:对下载的专利文本全文专利数据以XML格式保存为专利数据库;Furthermore, in
解析上传的专利文本,根据XML格式文本中的标签提取专利的CPC分类号,根据提取到的CPC分类号在专利数据库中搜索潜在对手方专利;Parse the uploaded patent text, extract the CPC classification number of the patent according to the tags in the XML format text, and search for potential counterparty patents in the patent database according to the extracted CPC classification number;
通过对XML格式的上传专利和潜在对手方专利的文本数据进行提取得到专利文本中的权利要求书,然后对提取得到的权利要求书进行预处理操作,预处理后得到的文本以文档形式存储在计算机存储设备中;The claims in the patent text are obtained by extracting the text data of the uploaded patent and the potential counterparty's patent in XML format, and then the extracted claims are preprocessed. The text obtained after preprocessing is stored in a computer storage device in the form of a document;
对检索到的专利数据中的权利要求数据进行预处理方法包括:利用计算机文本处理技术对权利要求书中的单词进行分词、词性标注、去停用词,选取词性为名词的单词保存到计算机存储设备中。The method for preprocessing the claim data in the retrieved patent data includes: using computer text processing technology to segment the words in the claims, tag the parts of speech, remove stop words, and select words with the part of speech being nouns and save them in a computer storage device.
进一步,在步骤二中,所述的外部词向量数据库包括:使用Word2Vec训练 wiki英文语料库得到的词向量数据库,词向量数据库中的单词采用向量形式表示;选取的名词由从词向量数据库中查找到的词向量表示;Further, in
所述计算技术特征的新颖性和创造性的方法具体包括:(1)通过调用词向量数据库训练得到的模块和gensim库表示单词间的相似性,首先依次选取每个专利权利要求中的技术特征,技术特征为选取的名词,然后选取选定的技术特征和所述名词所在的权利要求中其他技术特征相似性最大的值,最后该值到1 的距离为该技术特征的创造性;The method for calculating the novelty and inventiveness of a technical feature specifically includes: (1) calling a module trained by a word vector database and a gensim library to represent the similarity between words, first selecting the technical features in each patent claim in turn, where the technical features are the selected nouns, then selecting the value with the greatest similarity between the selected technical features and other technical features in the claim where the nouns are located, and finally the distance between the value and 1 is the inventiveness of the technical feature;
(2)通过调用词向量数据库训练得到的模块和gensim库表示单词间的相似性,依次选取两个专利中权利要求中的技术特征,每次选中的两个技术特征的相似性到1的距离为对应的技术特征的新颖性;(2) The module trained by calling the word vector database and the gensim library represent the similarity between words, and select the technical features in the claims of the two patents in turn. The distance between the similarity of the two technical features selected each time and 1 is the novelty of the corresponding technical features;
(3)将计算得到的创造性和新颖性以文档形式存储到计算机存储设备中。(3) The calculated creativity and novelty are stored in a computer storage device in the form of a document.
进一步,在步骤三中,以边所表示的技术特征的创造性作为博弈树中对应边的权值,以边所表示的技术特征之间的新颖性作为对应的前者技术特征的支付,新颖性的值到1的距离作为后者技术特征的支付;将计算得到的支付以文档形式存储到计算机存储设备中;Further, in step three, the inventiveness of the technical feature represented by the edge is used as the weight of the corresponding edge in the game tree, the novelty between the technical features represented by the edge is used as the payment of the corresponding former technical feature, and the distance from the value of the novelty to 1 is used as the payment of the latter technical feature; the calculated payment is stored in a computer storage device in the form of a document;
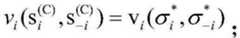
专利1表示上传专利,专利2表示潜在对手方专利中的一个专利,专利1 中权利要求1和专利2中权利要求2进行博弈,根据博弈结果专利1权利要求1 选中的技术特征通过以下过程得到:
v(s)表示专利1中权利要求的某个技术特征s的期望支付,其中σ(s)表示技术特征s对应边上的权值;v(s,s’)表示专利1申请人选择技术特征s,专利2申请人选择技术特征s’时的专利申请人的支付;S’表示专利2中权利要求2中的全部技术特征;v(s) represents the expected payment for a certain technical feature s in the claim of
通过计算机运行得到专利1中权利要求1的每个技术特征的期望支付,选取该权利要求中期望支付最大的技术特征为该权利要求中的对专利申请人最有利的技术特征1;选取专利2中权利要求2的最有利技术特征2,技术特征1和技术特征2为专利1权利要求1和专利2权利要求2通过博弈选中的两个技术特征,并将结果以文档形式存储到计算机存储设备中。The expected payment for each technical feature of
进一步,在步骤四中,以边所表示的权利要求的权重作为边的权值,以边所表示的权利要求之间的博弈结果作为对应的权利要求的支付;权利要求之间的博弈结果为选定的最有利的技术特征1、最有利的技术特征2两个技术特征;Further, in
结合权利要求的类型以及权利要求所包含的技术特征个数作为权利要求的权重:The weight of the claim is determined by combining the type of claim and the number of technical features contained in the claim:
式中表示权利要求包含的技术特征数;表示独立权利要求;表示从属权利要求;并将权重以文档形式存储到计算机存储设备中。In the formula Claims The number of technical features included; represents an independent claim; Dependent claims are represented; and the weights are stored in a computer storage device in the form of a document.
进一步,在步骤四中,进行专利1和专利2之间的博弈,根据博弈结果专利1和专利2选中的权利要求通过以下过程得到:Furthermore, in
v(c)表示专利1中某个权利要求的期望支付,其中σ(c)表示权利要求c对应边上的权值;v(c,c’)表示专利1申请人选择权利要求c,专利2申请人选择权利要求c’时的专利申请人1的支付;C’表示专利2中全部的权利要求。v(c) represents the expected payment of a certain claim in
计算出专利1中每个权利要求的期望支付,选取该专利中期望支付最大的权利要求为该专利中的对专利1申请人最有利的权利要求1,选取专利2中的最有利权利要求2,权利要求1和权利要求2即为专利1和专利2通过博弈选中的两个权利要求,两个权利要求对应的专利1的支付即为专利的侵权风险。计算过程通过计算机运行得到,结果将专利的侵权概率以百分比形式存储在计算机存储设备上;Calculate the expected payment of each claim in
在步骤五中,依次检测潜在对手方专利与用户上传专利的侵权风险,将所有结果以文档的形式保存到计算机存储设备中,并将文档作为检测报告返回,通过打印设备将检测报告打印出来。In step five, the infringement risks of the potential opponent's patents and the patents uploaded by the user are detected in turn, all the results are saved in the form of documents to the computer storage device, and the documents are returned as test reports, and the test reports are printed out through the printing device.
本发明的另一目的在于提供一种基于博弈论的专利侵权检测方法的基于博弈论的专利侵权检测系统,所述基于博弈论的专利侵权检测系统包括:Another object of the present invention is to provide a patent infringement detection method based on game theory and a patent infringement detection system based on game theory, wherein the patent infringement detection system based on game theory comprises:
数据采集与预处理模块,用于进行专利数据采集,对上传的专利进行检索,对检索到的专利数据中的权利要求数据进行预处理;The data collection and preprocessing module is used to collect patent data, search uploaded patents, and preprocess the claim data in the retrieved patent data;
技术特征间的相似关系获取模块,与数据采集与预处理模块连接,用于调用外部词向量数据库计算技术特征之间的相似关系作为技术特征的新颖性和创造性;A module for acquiring similarity relationships between technical features, connected to the data collection and preprocessing module, is used to call an external word vector database to calculate similarity relationships between technical features as the novelty and creativity of the technical features;
权利要求侵权风险分析模块,与技术特征间的相似关系获取模块连接,用于构建以权利要求为节点,以技术特征为边的博弈树,权利要求之间进行博弈,博弈结果选中的技术特征间的支付作为权利要求侵权风险;The claim infringement risk analysis module is connected to the similarity relationship acquisition module between technical features, and is used to construct a game tree with claims as nodes and technical features as edges. The game is played between claims, and the payment between the technical features selected in the game results is used as the claim infringement risk;
专利侵权风险分析模块,与权利要求侵权风险分析模块连接,用于构建以专利为节点,以权利要求为边的博弈树,专利之间进行博弈,博弈结果选中的权利要求间的支付作为专利侵权风险;The patent infringement risk analysis module is connected to the claim infringement risk analysis module and is used to construct a game tree with patents as nodes and claims as edges. Patents are gamed with each other, and the payment between the claims selected in the game results is used as the patent infringement risk;
侵权风险报告生成模块,用于汇总结果,生成侵权风险报告。The infringement risk report generation module is used to summarize the results and generate an infringement risk report.
综上所述,本发明的优点及积极效果为:本发明提供一种检测专利权利要求侵权风险的方法,步骤1)利用计算机技术对专利数据进行采集并存储为专利数据库,用户上传专利,根据用户上传专利查找潜在对手方,并对专利文本数据的权利要求进行预处理操作;步骤2)通过计算机对专利的权利要求进行自动信息处理得到关键词即专利的技术特征,通过调用外部词向量数据库计算技术特征之间的相似关系作为技术特征的新颖性和创造性;步骤3)使用计算机构建以权利要求为节点,以技术特征为边,以技术特征的创造性为边的权重,以技术特征之间的新颖性作为支付的博弈树,在此结构下,权利要求节点之间进行博弈,采用纳什均衡原理检测出专利权利要求的侵权概率;步骤4)使用计算机构建以专利为节点,以权利要求为边,以权利要求所占权重作为边的权重,以权利要求之间的侵权概率作为支付的博弈树,在此结构下,专利节点之间进行博弈,采用纳什均衡原理检测出专利是否侵权。步骤5)汇总上传专利与所有潜在对手方专利的侵权风险,生成侵权风险报告。本发明以专利文本数据库和外部词向量数据库作为数据支撑,以数据挖掘技术作为手段,以计算机和存储介质作为平台,将专利最重要部分权利要求书作为主要研究对象,同时考虑专利的新颖性和创造性,通过对专利权利要求的加工构建博弈树,通过计算机实现权利要求节点、专利节点之间进行博弈,最终根据纳什均衡原理判断专利是否侵权。实现了专利侵权检测的自动化,提高了侵权检测效率和结果准确率,可以有效的运用到专利申请人预检测和专利审查的实际中。In summary, the advantages and positive effects of the present invention are as follows: the present invention provides a method for detecting the infringement risk of patent claims, step 1) using computer technology to collect and store patent data as a patent database, users upload patents, find potential opponents based on the patents uploaded by users, and pre-process the claims of patent text data; step 2) using a computer to automatically process the information of the patent claims to obtain keywords, i.e., the technical features of the patent, and by calling an external word vector database to calculate the similarity between the technical features as the novelty and creativity of the technical features; step 3) using a computer to construct a game tree with claims as nodes, technical features as edges, the creativity of the technical features as the weight of the edges, and the novelty between the technical features as the payment. Under this structure, a game is played between the claim nodes, and the Nash equilibrium principle is used to detect the infringement probability of the patent claims; step 4) using a computer to construct a game tree with patents as nodes, claims as edges, the weight of the claims as the weight of the edges, and the infringement probability between the claims as the payment. Under this structure, a game is played between the patent nodes, and the Nash equilibrium principle is used to detect whether the patent is infringed. Step 5) Summarize the infringement risks of the uploaded patent and all potential counterparty patents, and generate an infringement risk report. The present invention uses patent text database and external word vector database as data support, data mining technology as a means, computers and storage media as platforms, and the most important part of the patent, the claims, as the main research object. At the same time, the novelty and creativity of the patent are considered. By processing the patent claims, a game tree is constructed, and the game between the claim nodes and the patent nodes is realized by computer. Finally, it is judged whether the patent is infringed according to the Nash equilibrium principle. The automation of patent infringement detection is realized, the efficiency of infringement detection and the accuracy of the results are improved, and it can be effectively applied to the actual pre-detection and patent review of patent applicants.
本发明在侵权检测过程中将专利的最重要部分权利要求书作为主要分析对象,通过对专利的层次表示提高了侵权对象表征的精确性;考虑到真实的侵权场景,使用博弈方法体现出真实场景的双向性;仔细研究侵权判定依据,补充了侵权判定针对权利要求这一信息。本发明全方位的考虑了各种因素对于结果精确性和可靠性的影响,有效提高了专利侵权检测的效率和准确率,可以很好的运用在专利申请人专利侵权预检测和专利审核过程中。The present invention takes the most important part of the patent, the claims, as the main analysis object in the infringement detection process, and improves the accuracy of the representation of the infringement object by representing the level of the patent; considering the real infringement scenario, the game method is used to reflect the bidirectionality of the real scenario; carefully studying the basis for infringement judgment, the infringement judgment is supplemented with the information on the claims. The present invention comprehensively considers the influence of various factors on the accuracy and reliability of the results, effectively improves the efficiency and accuracy of patent infringement detection, and can be well used in the patent infringement pre-detection and patent review process of patent applicants.
本发明在侵权检测过程中同时对新颖性和非显而易见性进行检测,克服了技术偏见,结合精深的法律和专利的相关专业知识取得了很好的实验结果;本发明在侵权风险计算过程中考虑了专利申请人的理性决策过程,解决了人们一直渴望解决、但始终未能获得成功的,关于实际检测过程的技术难题。本发明综合考虑了专利新颖性的双向过程,既考虑了该专利比之前专利多的技术特征,还考虑了该专利比之前专利少的那些技术特征,全方位的考虑了各种因素对于结果准确性的影响;填补了国内外空白,对于专利文本比较提出了新的策略。The present invention detects novelty and non-obviousness simultaneously during the infringement detection process, overcomes technical bias, and combines profound legal and patent-related professional knowledge to achieve good experimental results; the present invention considers the rational decision-making process of patent applicants during the infringement risk calculation process, and solves the technical problems of the actual detection process that people have always been eager to solve but have never succeeded in solving. The present invention comprehensively considers the two-way process of patent novelty, considering both the technical features that the patent has more than the previous patents and the technical features that the patent has less than the previous patents, and comprehensively considers the impact of various factors on the accuracy of the results; it fills the gaps at home and abroad and proposes a new strategy for patent text comparison.
本发明通过计算机技术对采集到的专利数据进行搜索和预处理;对搜索和预处理后的专利数据使用word2vec得到的相似性作为技术特征之间的相似关系,基于专利结构和相似关系构建博弈树,并通过计算期望支付选定专利中的技术特征和权利要求,得到侵权风险数据;汇总得到的所述侵权风险数据生成侵权风险检测报告。本发明通过计算机实现权利要求节点、专利节点之间进行博弈,最终根据纳什均衡原理判断专利是否侵权;实现了专利侵权检测的自动化,提高了侵权检测效率和结果准确率,可以有效的运用到专利申请人预检测和专利审查的实际中。The present invention searches and preprocesses the collected patent data through computer technology; uses the similarity obtained by word2vec for the searched and preprocessed patent data as the similarity relationship between technical features, constructs a game tree based on the patent structure and similarity relationship, and selects the technical features and claims in the patent by calculating the expected payment to obtain infringement risk data; summarizes the obtained infringement risk data to generate an infringement risk detection report. The present invention uses a computer to implement a game between claim nodes and patent nodes, and finally determines whether the patent is infringing based on the Nash equilibrium principle; realizes the automation of patent infringement detection, improves the efficiency of infringement detection and the accuracy of the results, and can be effectively applied to the actual pre-detection and patent review of patent applicants.
附图说明BRIEF DESCRIPTION OF THE DRAWINGS
图1是本发明实施例提供的基于博弈论的专利侵权检测方法流程图。FIG1 is a flow chart of a patent infringement detection method based on game theory provided in an embodiment of the present invention.
图2是本发明实施例提供的基于博弈论的专利侵权检测原理图。FIG2 is a schematic diagram of a patent infringement detection method based on game theory according to an embodiment of the present invention.
图3是本发明实施例提供的博弈过程示意图。FIG. 3 is a schematic diagram of a game process provided by an embodiment of the present invention.
图4是本发明实施例提供的基于博弈论的专利侵权检测系统结构示意图。FIG4 is a schematic diagram of the structure of a patent infringement detection system based on game theory provided in an embodiment of the present invention.
图5是本发明实施例提供的检测专利权利要求侵权风险的方法流程图。FIG5 is a flow chart of a method for detecting patent claim infringement risks provided by an embodiment of the present invention.
图6是本发明实施例提供的技术特征博弈树示意图。FIG6 is a schematic diagram of a technical feature game tree provided in an embodiment of the present invention.
图7是本发明实施例提供的权利要求博弈树示意图。FIG. 7 is a schematic diagram of a claim game tree provided in an embodiment of the present invention.
图8本发明实施例提供的检测专利权利要求侵权风险的方法侵权检测报告样例图。FIG8 is a diagram showing a sample infringement detection report of a method for detecting infringement risks of patent claims provided in an embodiment of the present invention.
图9是本发明实施例提供的技术方案图。FIG. 9 is a diagram of a technical solution provided by an embodiment of the present invention.
图10是本发明实施例提供的基于博弈论的专利侵权检测系统示意图。FIG10 is a schematic diagram of a patent infringement detection system based on game theory provided in an embodiment of the present invention.
图中:1、数据采集与预处理模块;2、风险计算模块;3、结果输出模块; 4、技术特征间的相似关系获取模块;5、权利要求侵权风险分析模块;6、专利侵权风险分析模块;7、侵权风险报告生成模块。In the figure: 1. Data collection and preprocessing module; 2. Risk calculation module; 3. Result output module; 4. Similarity relationship acquisition module between technical features; 5. Claim infringement risk analysis module; 6. Patent infringement risk analysis module; 7. Infringement risk report generation module.
具体实施方式DETAILED DESCRIPTION
为了使本发明的目的、技术方案及优点更加清楚明白,以下结合实施例,对本发明进行进一步详细说明。应当理解,此处所描述的具体实施例仅仅用以解释本发明,并不用于限定本发明。In order to make the purpose, technical solution and advantages of the present invention more clearly understood, the present invention is further described in detail below in conjunction with the embodiments. It should be understood that the specific embodiments described herein are only used to explain the present invention and are not used to limit the present invention.
过去专利侵权检测的自动化方法对非显而易见性的检测效果差。过去方法没有将专利文本与其他普通文本区别开来,对比过程中只考虑了文本本身,没有考虑专利申请人的理性决策。过去方法的对比方法没有考虑到确定专利的新颖性的过程是一个双向的过程,没有涉及到该专利比之前专利少的技术特征。以上问题导致专利侵权检测的结果并不准确。In the past, automated methods for patent infringement detection had poor results for detecting non-obviousness. Past methods did not distinguish patent text from other ordinary texts, and only considered the text itself during the comparison process, without considering the rational decision of the patent applicant. Past methods did not consider that the process of determining the novelty of a patent is a two-way process, and did not involve the technical features that the patent lacked compared to previous patents. The above problems lead to inaccurate results of patent infringement detection.
针对现有技术存在的问题,本发明提供了一种基于博弈论的专利侵权检测方法,下面结合附图对本发明作详细的描述。In view of the problems existing in the prior art, the present invention provides a patent infringement detection method based on game theory. The present invention is described in detail below in conjunction with the accompanying drawings.
如图1所示,本发明实施例提供的基于博弈论的专利侵权检测方法具体包括:As shown in FIG1 , the patent infringement detection method based on game theory provided in the embodiment of the present invention specifically includes:
S101:进行数据采集,并对采集的数据进行预处理。S101: Collect data and pre-process the collected data.
S102:通过计算技术特征的新颖性、非显而易见性以及权利要求之间、专利之间的博弈进行侵权风险计算。S102: Calculate infringement risk by calculating the novelty and non-obviousness of technical features as well as the game between claims and patents.
S103:博弈结果得到的支付即为专利侵权风险。S103: The payment obtained as a result of the game is the risk of patent infringement.
步骤S101中,本发明实施例提供的数据采集以及数据预处理具体包括:In step S101, the data collection and data preprocessing provided by the embodiment of the present invention specifically include:
数据采:(1)选用专利商标局(USPTO)的专利本文作为数据源。(2)基于网络爬虫的方法批量获取专利商标局(USPTO)的专利数据。Data collection: (1) The patent data of the United States Patent and Trademark Office (USPTO) are selected as the data source. (2) The patent data of the United States Patent and Trademark Office (USPTO) are obtained in batches based on the web crawler method.
数据预处理:(1)抽取专利数据中的权利要求书。(2)对抽取出的文本数据进行停用词、分词处理。(3)使用word2vec对词进行向量化。Data preprocessing: (1) Extract the claims from the patent data. (2) Perform stop word and word segmentation processing on the extracted text data. (3) Use word2vec to vectorize the words.
步骤S102中,本发明实施例提供的技术特征的新颖性以及非显而易见性计算方法具体包括:In step S102, the method for calculating the novelty and non-obviousness of the technical features provided by the embodiment of the present invention specifically includes:
(1)通过使用词向量计算距离,选取该技术特征到其他权利要求的技术特征的最短距离作为该技术特征的新颖性也即技术特征的支付。(1) By using word vectors to calculate the distance, the shortest distance from the technical feature to the technical features of other claims is selected as the novelty of the technical feature, that is, the payment of the technical feature.
(2)通过使用词向量计算距离,选取该技术特征到本权利要求的其他技术特征的最短距离作为该技术特征的非显而易见性也即技术特征的选择概率。(2) By using word vectors to calculate the distance, the shortest distance from the technical feature to other technical features of the claim is selected as the non-obviousness of the technical feature, that is, the selection probability of the technical feature.
(3)对于权利要求的支付,将技术特征博弈结果得出的技术特征的支付作为该权利要求的支付。(3) For the payment of a claim, the payment of the technical features obtained from the technical feature game will be used as the payment of the claim.
(4)对于权利要求的选择概率,综合权利要求所含技术特征数以及其是否为独立权利要求计算得到该权利要求选择概率。(4) The selection probability of a claim is calculated by comprehensively considering the number of technical features contained in the claim and whether it is an independent claim.
在本发明实施例中,图2是提供的基于博弈论的专利侵权检测原理。In an embodiment of the present invention, FIG. 2 provides a patent infringement detection principle based on game theory.
如图3所示,步骤S102中,本发明实施例提供的权利要求之间、专利之间的博弈具体包括:As shown in FIG. 3 , in step S102 , the game between claims and patents provided in the embodiment of the present invention specifically includes:
(1)将博弈参与人即进行博弈的权利要求或是专利分别视为节点A、B。节点上的分支表示参与人的策略,对于每一个策略都有一个选择概率,叶子节点处表示的是参与人的支付。(1) The game participants, i.e., the claims or patents involved in the game, are regarded as nodes A and B respectively. The branches on the nodes represent the strategies of the participants. Each strategy has a selection probability, and the leaf nodes represent the payment of the participants.
(2)基于对专利文本的分析,将技术的组成元素作为技术特征。(2) Based on the analysis of the patent text, the constituent elements of the technology are regarded as technical features.
1)当t为技术特征F时,支付函数的计算如下所示:1) When t is the technical feature F, the calculation of the payment function is as follows:
其中,σi表示参与人i的混合策略。-i表示除参与人i之外的参与人。表示在混合策略σi和下参与人i的支付。表示参与人-i 选择混合策略σ-i时参与人i选择策略的支付。表示和之间的距离,使用word2vec将词表示为词向量,使用词向量的距离作为计算结果。Where σi represents the mixed strategy of participant i, and -i represents the participants other than participant i. In the mixed strategy σi and The payment of participant i. Denotes that when participant-i chooses mixed strategy σ-i, participant i chooses strategy Payment. express and The distance between them is calculated by using word2vec to represent the words as word vectors and using the distance between the word vectors as the calculation result.
2)当t为权利要求C时,支付函数的计算如下所示:2) When t is claim C, the calculation of the payment function is as follows:
其他计算方法与上述t为技术特征F时相同。表示权利要求包含的技术特征数。表示独立权利要求。表示从属权利要求。The other calculation methods are the same as when t is the technical feature F. Claims The number of technical features included. Indicates an independent claim. Indicates a dependent claim.
如图4所示,本发明实施例提供的基于博弈论的专利侵权检测系统具体包括:As shown in FIG4 , the game theory-based patent infringement detection system provided by the embodiment of the present invention specifically includes:
数据采集与预处理模块1、风险计算模块2、结果输出模块3。Data collection and
数据采集与预处理模块1:与风险计算模块2连接,用于选择数据源、爬取数据并对爬取数据进行处理。Data collection and preprocessing module 1: connected to risk
风险计算模块2:与数据采集与预处理模块1、结果输出模块3连接。用于计算技术特征的新颖性和非显而易见性,进行权利要求之间、专利之间的博弈。Risk calculation module 2: connected with data collection and
结果输出模块3:与风险计算模块2连接,用于将博弈结果得到的支付作为专利侵权风险输出。Result output module 3: connected to risk
下面结合附图对本发明的技术方案作进一步的描述。The technical solution of the present invention is further described below in conjunction with the accompanying drawings.
如图5所示,本发明实施例提供的基于博弈论的专利侵权检测方法具体包括:As shown in FIG5 , the patent infringement detection method based on game theory provided in the embodiment of the present invention specifically includes:
S501:进行专利数据采集,用户上传专利并进行检索,对检索到的专利数据中的权利要求数据进行预处理。S501: Collect patent data. Users upload patents and perform searches. The claim data in the retrieved patent data is preprocessed.
S502:调用外部词向量数据库计算技术特征之间的相似关系作为技术特征的新颖性和创造性。S502: Call an external word vector database to calculate the similarity relationship between technical features as the novelty and creativity of the technical features.
S503:构建以权利要求为节点,以技术特征为边的博弈树,权利要求之间进行博弈,博弈结果选中的技术特征间的支付作为权利要求侵权风险。S503: Construct a game tree with claims as nodes and technical features as edges, conduct a game between claims, and use the payment between the technical features selected as a result of the game as the infringement risk of the claims.
S504:构建以专利为节点,以权利要求为边的博弈树,专利之间进行博弈,博弈结果选中的权利要求间的支付作为专利侵权风险。S504: Construct a game tree with patents as nodes and claims as edges, conduct games between patents, and use the payments between claims selected in the game results as patent infringement risks.
S105:汇总结果,生成侵权风险报告。S105: Summarize the results and generate an infringement risk report.
步骤S501中,所述数据采集包括:从美国专利商标局(USPTO)下载的美国专利数据,数据包含专利文本全文且以XML格式保存为专利数据库,由于XML 格式对专利文本的各个部分都有标签,本发明通过提取特定标签内容就可以得到所需的专利对应部分,根据用户上传专利从专利数据库中检索符合条件的专利作为潜在对手方,然后对搜索到的专利和上传专利提取得到权利要求书并进行预处理操作。检索操作包括:对美国专利而言,CPC分类号是依据专利的应用领域确定的,因此根据XML中标签提取上传专利的CPC分类号可确定该专利的应用领域,使用提取到的CPC分类号在专利数据库中检索同CPC分类号的专利,即搜素到同领域下的专利。预处理操作包括:利用计算机文本处理技术对权利要求书中的单词进行分词、词性标注、去停用词,权利要求书中最多的,最能体现专利技术特征的是名词,因此选取词性为名词的单词保存。In step S501, the data collection includes: downloading US patent data from the United States Patent and Trademark Office (USPTO), the data includes the full text of the patent text and is saved in XML format as a patent database. Since the XML format has tags for each part of the patent text, the present invention can obtain the required corresponding part of the patent by extracting the specific tag content, searching the patent database for qualified patents as potential counterparties according to the patents uploaded by the user, and then extracting the claims from the searched patents and the uploaded patents and performing preprocessing operations. The search operation includes: for US patents, the CPC classification number is determined according to the application field of the patent, so the application field of the patent can be determined by extracting the CPC classification number of the uploaded patent according to the tag in XML, and using the extracted CPC classification number to search the patent database for patents with the same CPC classification number, that is, searching for patents in the same field. The preprocessing operation includes: using computer text processing technology to segment the words in the claims, tag the part of speech, and remove stop words. The most common words in the claims that best reflect the technical characteristics of the patent are nouns, so the words with the part of speech of nouns are selected for storage.
步骤S502中,wiki英文语料库是目前最为全面、数据量最大的数据库, Word2Vec词向量表示能很好的表现出词语之间的语义关系,基于以上考虑本发明使用Word2Vec训练wiki英文语料库得到的词向量数据库,数据库中的单词表示为向量形式。将预处理后得到的名词则由从词向量数据库中查找到的词向量表示。In step S502, the Wiki English corpus is currently the most comprehensive database with the largest amount of data. The Word2Vec word vector representation can well express the semantic relationship between words. Based on the above considerations, the present invention uses Word2Vec to train the word vector database obtained by the Wiki English corpus, and the words in the database are represented in vector form. The nouns obtained after preprocessing are represented by the word vectors found in the word vector database.
通过对词向量的计算可以体现出单词之间的远近关系,通过计算机计算得到的相似性表示的是单词之间的相似程度,另外本发明使用词之间的距离表示词的远近程度,使用计算得到的相似性到1的距离表示。基于此可得到技术特征(即预处理后得到的名词,后文中使用技术特征表示对应的名词)的新颖性和创造性。具体方法包括:The distance between words can be reflected by calculating the word vectors. The similarity calculated by the computer represents the similarity between words. In addition, the present invention uses the distance between words to represent the distance between words, and uses the distance from the calculated similarity to 1 to represent it. Based on this, the novelty and creativity of the technical features (i.e. the nouns obtained after preprocessing, and the technical features are used in the following text to represent the corresponding nouns) can be obtained. The specific method includes:
(1)通过调用词向量数据库训练得到的模块和gensim库表示单词间的相似性。技术特征的创造性是指在该领域下该技术有明显先进性。本发明使用权利要求的技术特征表示技术领域,使用技术特征到其所在权利要求中技术特征的最小距离作为该技术特征的创造性。首先选取一个技术特征,然后选取该技术特征和他所在的权利要求中其他技术特征距离最小值作为该技术特征的创造性;(1) The module obtained by calling the word vector database training and the gensim library represent the similarity between words. The creativity of a technical feature means that the technology is obviously advanced in this field. The present invention uses the technical features of the claims to represent the technical field, and uses the minimum distance from the technical feature to the technical feature in the claim to which it belongs as the creativity of the technical feature. First, select a technical feature, and then select the minimum distance between the technical feature and other technical features in the claim to which it belongs as the creativity of the technical feature;
(2)技术特征的新颖性是指技术不属于现有技术。本发明使用其他专利的权利要求表示现有技术,使用技术特征和其他专利中的技术特征的距离作为他们之间的相对新颖性。首先选取一个技术特征,另选一个其他专利中的技术特征,两个技术特征的距离即为该技术特征的新颖性。(2) The novelty of a technical feature means that the technology does not belong to the prior art. The present invention uses the claims of other patents to represent the prior art, and uses the distance between the technical feature and the technical features in other patents as their relative novelty. First, select a technical feature and another technical feature in another patent. The distance between the two technical features is the novelty of the technical feature.
步骤S503中,专利申请人在申诉过程中会选择专利权利要求中最具创造性的技术特征作为申述证据,故以边所表示的技术特征的创造性作为博弈树中对应边的权值,边上权值体现专利申请人选择该技术特征的概率。专利的技术特征在与其他专利技术特征比较时,新颖性体现了该技术特征相对于其他专利技术特征赢的可能性,故以边所表示的技术特征之间的新颖性作为对应的前者技术特征的支付,两个专利的比较结果是此消彼长的状态,故技术特征之间的相似性作为后者技术特征的支付,构建的技术特征博弈树如图6所示。In step S503, the patent applicant will select the most creative technical feature in the patent claim as the evidence for the appeal process, so the creativity of the technical feature represented by the edge is used as the weight of the corresponding edge in the game tree, and the edge weight reflects the probability of the patent applicant selecting the technical feature. When the technical feature of a patent is compared with other patent technical features, the novelty reflects the possibility of the technical feature winning relative to other patent technical features, so the novelty between the technical features represented by the edge is used as the payment of the corresponding former technical feature. The comparison result of the two patents is a state of one gaining and the other losing, so the similarity between the technical features is used as the payment of the latter technical feature, and the constructed technical feature game tree is shown in Figure 6.
假设专利1表示用户上传专利,专利2表示潜在对手方专利中的一个专利,在此使用专利1中权利要求1和专利2中权利要求2进行博弈,根据博弈结果专利1权利要求1选中的技术特征通过以下过程得到:Assume that
v(s)表示专利1中权利要求的某个技术特征s的期望支付,其中σ(s)表示技术特征s对应边上的权值;v(s,s’)表示专利1申请人选择技术特征s,专利2申请人选择技术特征s’时的专利申请人的支付;S’表示专利2中权利要求2中的全部技术特征。v(s) represents the expected payment for a certain technical feature s in the claim of
计算出专利1中权利要求1的每个技术特征的期望支付,选取该权利要求中期望支付最大的技术特征为该权利要求中的对专利申请人最有利的技术特征 1,同样,选取专利2中权利要求2的最有利技术特征2,技术特征1和技术特征2即为专利1权利要求1和专利2权利要求2通过博弈选中的两个技术特征。Calculate the expected payment of each technical feature of
步骤S504中,构建以专利为节点,以权利要求为边的博弈树,专利之间进行博弈,博弈结果选中的权利要求间的支付作为专利侵权风险。In step S504, a game tree is constructed with patents as nodes and claims as edges, and a game is conducted between patents. The payment between the claims selected in the game results is used as the patent infringement risk.
专利文本的构成具有层次性,专利中包含权利要求,权利要求包含技术特征,故在建立了以权利要求为节点,以技术特征为边的博弈树之后,需要建立以专利为节点,以权利要求为边的博弈树。边所表示的权利要求的权重作为边的权值,以边所表示的权利要求之间的博弈结果作为对应的权利要求的支付,构建的权利要求博弈树如图7所示。The structure of patent text is hierarchical. Patents contain claims, and claims contain technical features. Therefore, after establishing a game tree with claims as nodes and technical features as edges, it is necessary to establish a game tree with patents as nodes and claims as edges. The weight of the claim represented by the edge is used as the edge weight, and the game result between the claims represented by the edge is used as the payment of the corresponding claim. The constructed claim game tree is shown in Figure 7.
权利要求分为独立权利要求和从属权利要求,从属权利要求是对独立权利要求的细化,权利要求书中,对于独立权利要求的保护更为重视。且相对于技术特征较多的权利要求,技术特征较少的权利要求更为重要一些。因此本发明结合权利要求的类型以及权利要求所包含的技术特征个数作为权利要求的权重:Claims are divided into independent claims and dependent claims. Dependent claims are refinements of independent claims. In the claims, the protection of independent claims is more important. And compared with claims with more technical features, claims with fewer technical features are more important. Therefore, the present invention combines the type of claim and the number of technical features contained in the claim as the weight of the claim:
式中表示权利要求包含的技术特征数;表示独立权利要求;表示从属权利要求。In the formula Claims The number of technical features included; represents an independent claim; Indicates a dependent claim.
权利要求之间的博弈结果即为权利要求7选定的两个技术特征。The result of the negotiation between the claims is the two technical features selected in
例如专利1和专利2之间进行博弈,根据博弈结果专利1和专利2选中的权利要求通过以下过程得到:For example, a game is played between
v(c)表示专利1中某个权利要求的期望支付,其中σ(c)表示权利要求c对应边上的权值;v(c,c’)表示专利1申请人选择权利要求c,专利2申请人选择权利要求c’时的专利申请人1的支付;C’表示专利2中全部的权利要求。v(c) represents the expected payment of a certain claim in
计算出专利1中每个权利要求的期望支付,选取该专利中期望支付最大的权利要求为该专利中的对专利1申请人最有利的权利要求1,同样,选取专利2 中的最有利权利要求2,权利要求1和权利要求2即为专利1和专利2通过博弈选中的两个权利要求,两个权利要求对应的专利1的支付即为专利的侵权风险。最终的博弈结果是每个专利申请人都选择对自己最有利的权利要求中的最有利的技术特征,技术特征之间的距离作为专利申请人侵权风险。Calculate the expected payment of each claim in
步骤S505中,对于根据CPC分类号搜索到的专利依次通过计算机运行得到与用户上传专利的侵权风险,将所有的结果以文档的形式保存到计算机存储设备中,以文档形式作为检测报告返回给用户,用户可通过打印设备将检测报告打印出来。如图8为侵权风险检测报告样例。In step S505, the patents searched according to the CPC classification number are run in turn by the computer to obtain the infringement risk of the patent uploaded by the user, and all the results are saved in the form of documents to the computer storage device, and returned to the user in the form of documents as a detection report. The user can print out the detection report through the printing device. Figure 8 is an example of an infringement risk detection report.
本发明的总体技术方案流程如图9所示。The overall technical solution process of the present invention is shown in FIG9 .
如图10所示,本发明实施例提供一种基于博弈论的专利侵权检测系统包括:As shown in FIG10 , an embodiment of the present invention provides a patent infringement detection system based on game theory, including:
数据采集与预处理模块1,用于进行专利数据采集,对上传的专利进行检索,对检索到的专利数据中的权利要求数据进行预处理。The data collection and
技术特征间的相似关系获取模块4,与数据采集与预处理模块1连接,用于调用外部词向量数据库计算技术特征之间的相似关系作为技术特征的新颖性和创造性。The similarity
权利要求侵权风险分析模块5,与技术特征间的相似关系获取模块连接,用于构建以权利要求为节点,以技术特征为边的博弈树,权利要求之间进行博弈,博弈结果选中的技术特征间的支付作为权利要求侵权风险。The claim infringement
专利侵权风险分析模块6,与权利要求侵权风险分析模块5连接,用于构建以专利为节点,以权利要求为边的博弈树,专利之间进行博弈,博弈结果选中的权利要求间的支付作为专利侵权风险。The patent infringement
侵权风险报告生成模块7,用于汇总结果,生成侵权风险报告。The infringement risk
本发明和现有技术的方法对比如表1。Table 1 compares the methods of the present invention and the prior art.
表1Table 1
下面结合实验对本发明的技术效果作详细的描述。The technical effects of the present invention are described in detail below in conjunction with experiments.
本发明的实验数据是从USPTO下载的专利,其中专利US7645279和专利 US6652523均为有效专利,即不涉及侵权问题,专利US6736759因专利 US6002982被判定为无效专利,即涉及侵权问题。为了验证本发明提出方法的有效性,实验与现有技术中较先进的方法(公开了该方法的参考文献:Changyong Lee,Bomi Song,Yongtae Park.How to assesspatent infringement risks:a semantic patent claim analysis using dependencyrelationships.Techn.Analysis&Strat. Manag.25(1):23-38(2013).)进行比较。The experimental data of the present invention are patents downloaded from USPTO, among which patent US7645279 and patent US6652523 are both valid patents, that is, they do not involve infringement issues. Patent US6736759 was determined to be an invalid patent due to patent US6002982, that is, it involves infringement issues. In order to verify the effectiveness of the method proposed in the present invention, the experiment is compared with the more advanced method in the prior art (the reference document disclosing the method: Changyong Lee, Bomi Song, Yongtae Park. How to assess patent infringement risks: a semantic patent claim analysis using dependency relationships. Techn. Analysis & Strat. Manag. 25 (1): 23-38 (2013).).
表2为本发明方法与现有技术方法关于专利US7645279和专利US6652523 的对比实验结果。Table 2 shows the comparative experimental results of the method of the present invention and the prior art method with respect to patent US7645279 and patent US6652523.
表2Table 2
表3为本发明方法与现有技术方法关于专利US6002982和专利US6736759 的对比实验结果。Table 3 shows the comparative experimental results of the method of the present invention and the prior art method with respect to patent US6002982 and patent US6736759.
表3Table 3
其中M1表示本发明提出的方法,M2表示上述现有技术中的方法,通过表格可以看出,M2的最终结果是两篇专利的整体相似性,M1的最终结果是根据方法选出的权利要求和技术特征计算侵权风险,对于专利US7645279和专利 US6652523的实验结果,M1的侵权风险低于M2,结合两篇专利不侵权的事实, M1的结果优于M2。对于专利US6002982和专利US6736759的实验结果,M1的侵权风险高于M2,结合两篇专利侵权的事实,M1的结果优于M2。表格进一步分析了两个方法的实验过程,M2方法根据总体相似度计算技术特征、权利要求和专利的侵权风险,M1选择两个专利各自的最有利技术特征、权利要求作为专利侵权风险。由于M1考虑到专利审核过程中以权利要求为单位,即只要有一个权利要求侵权专利就侵权,且专利申请人双方都会选择对自己最有利进行申诉,所以M1较M2准确性更高。Among them,M1 represents the method proposed by the present invention, andM2 represents the method in the above-mentioned prior art. It can be seen from the table that the final result ofM2 is the overall similarity of the two patents, and the final result ofM1 is to calculate the infringement risk based on the claims and technical features selected by the method. For the experimental results of patent US7645279 and patent US6652523, the infringement risk ofM1 is lower than that ofM2 . Combined with the fact that the two patents are not infringing, the result ofM1 is better than that ofM2 . For the experimental results of patent US6002982 and patent US6736759, the infringement risk ofM1 is higher than that ofM2 . Combined with the fact that the two patents are infringing, the result ofM1 is better than that ofM2 . The table further analyzes the experimental process of the two methods. TheM2 method calculates the infringement risk of technical features, claims and patents based on the overall similarity, andM1 selects the most favorable technical features and claims of the two patents as the patent infringement risk. Since M1 takes into account the patent review process in units of claims, that is, as long as one claim infringes the patent, the patent is infringed, and both patent applicants will choose to appeal in the most favorable way for themselves, M1 is more accurate than M2 .
综上所述,M1对侵权对象表征更为精确,对真实侵权场景信息的表达更为准确,且没有丢失对权利要求的针对性信息,基于以上优势,M1的实验结果较M2可靠性和准确性更高。In summary,M1 represents the infringing object more accurately, expresses the real infringement scenario information more accurately, and does not lose the targeted information of the claims. Based on the above advantages, the experimental results ofM1 are more reliable and accurate than those ofM2 .
在上述实施例中,可以全部或部分地通过软件、硬件、固件或者其任意组合来实现。当使用全部或部分地以计算机程序产品的形式实现,所述计算机程序产品包括一个或多个计算机指令。在计算机上加载或执行所述计算机程序指令时,全部或部分地产生按照本发明实施例所述的流程或功能。所述计算机可以是通用计算机、专用计算机、计算机网络、或者其他可编程装置。所述计算机指令可以存储在计算机可读存储介质中,或者从一个计算机可读存储介质向另一个计算机可读存储介质传输,例如,所述计算机指令可以从一个网站站点、计算机、服务器或数据中心通过有线(例如同轴电缆、光纤、数字用户线(DSL)或无线(例如红外、无线、微波等)方式向另一个网站站点、计算机、服务器或数据中心进行传输)。所述计算机可读取存储介质可以是计算机能够存取的任何可用介质或者是包含一个或多个可用介质集成的服务器、数据中心等数据存储设备。所述可用介质可以是磁性介质,(例如,软盘、硬盘、磁带)、光介质(例如,DVD)、或者半导体介质(例如固态硬盘SolidState Disk(SSD))等。In the above embodiments, it can be implemented in whole or in part by software, hardware, firmware or any combination thereof. When the use is implemented in whole or in part in the form of a computer program product, the computer program product includes one or more computer instructions. When the computer program instructions are loaded or executed on a computer, the process or function described in the embodiment of the present invention is generated in whole or in part. The computer may be a general-purpose computer, a special-purpose computer, a computer network, or other programmable device. The computer instructions may be stored in a computer-readable storage medium, or transmitted from one computer-readable storage medium to another computer-readable storage medium. For example, the computer instructions may be transmitted from one website site, computer, server or data center by wired (e.g., coaxial cable, optical fiber, digital subscriber line (DSL) or wireless (e.g., infrared, wireless, microwave, etc.) mode) to another website site, computer, server or data center. The computer-readable storage medium may be any available medium that a computer can access or a data storage device such as a server or data center that includes one or more available media integrated. The available medium may be a magnetic medium (e.g., a floppy disk, a hard disk, a tape), an optical medium (e.g., a DVD), or a semiconductor medium (e.g., a solid-state hard disk SolidState Disk (SSD)), etc.
以上所述仅为本发明的较佳实施例而已,并不用以限制本发明,凡在本发明的精神和原则之内所作的任何修改、等同替换和改进等,均应包含在本发明的保护范围之内。The above description is only a preferred embodiment of the present invention and is not intended to limit the present invention. Any modifications, equivalent substitutions and improvements made within the spirit and principles of the present invention should be included in the protection scope of the present invention.
| Application Number | Priority Date | Filing Date | Title |
|---|---|---|---|
| CN201910510958 | 2019-06-13 | ||
| CN2019105109588 | 2019-06-13 |
| Publication Number | Publication Date |
|---|---|
| CN111242494A CN111242494A (en) | 2020-06-05 |
| CN111242494Btrue CN111242494B (en) | 2023-04-07 |
| Application Number | Title | Priority Date | Filing Date |
|---|---|---|---|
| CN202010053358.6AActiveCN111242494B (en) | 2019-06-13 | 2020-01-17 | Patent infringement detection method and system based on game theory |
| Country | Link |
|---|---|
| CN (1) | CN111242494B (en) |
| Publication number | Priority date | Publication date | Assignee | Title |
|---|---|---|---|---|
| CN115879441B (en)* | 2022-11-10 | 2024-04-12 | 中国科学技术信息研究所 | Text novelty detection method and device, electronic equipment and readable storage medium |
| Publication number | Priority date | Publication date | Assignee | Title |
|---|---|---|---|---|
| CN101296359A (en)* | 2007-04-24 | 2008-10-29 | 宋亚民 | Video program digital copyright management method based on advertisement paying |
| CN103502969A (en)* | 2009-06-13 | 2014-01-08 | 罗莱斯塔尔有限公司 | System for sequential juxtaposition of separately recorded scenes |
| CN104199809A (en)* | 2014-04-24 | 2014-12-10 | 江苏大学 | Semantic representation method for patent text vectors |
| CN106294639A (en)* | 2016-08-01 | 2017-01-04 | 金陵科技学院 | Method is analyzed across the newly property the created anticipation of language patent based on semantic |
| CN107521501A (en)* | 2017-07-11 | 2017-12-29 | 上海蔚来汽车有限公司 | Driver assistance system decision-making technique, system based on game theory and other |
| CN109165190A (en)* | 2018-07-11 | 2019-01-08 | 南京邮电大学 | A kind of electronic data based on block chain intelligence contract deposits card method |
| CN109670989A (en)* | 2017-10-13 | 2019-04-23 | 南京畅远信息科技有限公司 | A kind of patent infringement system for prompting |
| Publication number | Priority date | Publication date | Assignee | Title |
|---|---|---|---|---|
| US20030233278A1 (en)* | 2000-11-27 | 2003-12-18 | Marshall T. Thaddeus | Method and system for tracking and providing incentives for tasks and activities and other behavioral influences related to money, individuals, technology and other assets |
| US7792832B2 (en)* | 2002-10-17 | 2010-09-07 | Poltorak Alexander I | Apparatus and method for identifying potential patent infringement |
| Publication number | Priority date | Publication date | Assignee | Title |
|---|---|---|---|---|
| CN101296359A (en)* | 2007-04-24 | 2008-10-29 | 宋亚民 | Video program digital copyright management method based on advertisement paying |
| CN103502969A (en)* | 2009-06-13 | 2014-01-08 | 罗莱斯塔尔有限公司 | System for sequential juxtaposition of separately recorded scenes |
| CN104199809A (en)* | 2014-04-24 | 2014-12-10 | 江苏大学 | Semantic representation method for patent text vectors |
| CN106294639A (en)* | 2016-08-01 | 2017-01-04 | 金陵科技学院 | Method is analyzed across the newly property the created anticipation of language patent based on semantic |
| CN107521501A (en)* | 2017-07-11 | 2017-12-29 | 上海蔚来汽车有限公司 | Driver assistance system decision-making technique, system based on game theory and other |
| CN109670989A (en)* | 2017-10-13 | 2019-04-23 | 南京畅远信息科技有限公司 | A kind of patent infringement system for prompting |
| CN109165190A (en)* | 2018-07-11 | 2019-01-08 | 南京邮电大学 | A kind of electronic data based on block chain intelligence contract deposits card method |
| Title |
|---|
| Analysis of intellectual property cooperation behavior and its simulation under two types of scenarios using evolutionary game theory;Zaoli Yang 等;《Computers & Industrial Engineering》;20180308;第739-750页* |
| Identifying patent infringement using SAO based semantic technological similarities;Hyunseok Park 等;《Scientometrics》;20110923;第515-529页* |
| 专利权保护的博弈分析;赵联宁 等;《电子知识产权》;20070615;第28-31页* |
| 专利等同侵权判定研究——兼评澳诺(中国)制药有限公司V.湖北午时药业股份有限公司、王军社案;王真;《中国优秀硕士学位论文全文数据库 社会科学Ⅰ辑》;20130915(第09期);第G117-4页* |
| Publication number | Publication date |
|---|---|
| CN111242494A (en) | 2020-06-05 |
| Publication | Publication Date | Title |
|---|---|---|
| CN112257422B (en) | Named entity normalization processing method and device, electronic equipment and storage medium | |
| CN112749281B (en) | Restful type Web service clustering method fusing service cooperation relationship | |
| TWI654530B (en) | Method and device for screening and promoting keywords | |
| CN103246687B (en) | Automatic Blog abstracting method based on characteristic information | |
| CN108595425A (en) | Based on theme and semantic dialogue language material keyword abstraction method | |
| US20140032207A1 (en) | Information Classification Based on Product Recognition | |
| CN112562736B (en) | Voice data set quality assessment method and device | |
| CN113158672B (en) | Relationship analysis method and device based on news events | |
| CN110929525A (en) | An online loan risk behavior analysis and detection method, device, equipment and storage medium | |
| WO2022089227A1 (en) | Address parameter processing method, and related device | |
| CN114138936A (en) | Text abstract generation method and device, electronic equipment and storage medium | |
| CN111382385B (en) | Web page industry classification method and device | |
| CN115269780A (en) | A method and device for constructing and reasoning event graph based on sentence similarity | |
| CN116166806A (en) | A False Movie Review Detection Method Based on Graph Attention Neural Network | |
| CN118038983A (en) | Training method for circulating nucleic acid sequence analysis model and circulating nucleic acid sequence analysis method | |
| CN111242494B (en) | Patent infringement detection method and system based on game theory | |
| CN116738979A (en) | Power grid data search method, system and electronic equipment based on core data identification | |
| CN112328735A (en) | Hot topic determination method and device and terminal equipment | |
| CN107515928A (en) | A kind of method, apparatus, server, storage medium for judging assets price tendency | |
| CN118657370A (en) | Trademark infringement risk analysis methods, devices, equipment and media | |
| CN118862843A (en) | A method and system for checking duplicates and automatically annotating scientific and technological project documents | |
| CN118551748A (en) | Template-based bidding document generation method, system and storage medium | |
| CN118013956A (en) | A topic association analysis method for power marketing audit based on text semantics | |
| CN118535722A (en) | Data mining method, device, equipment and medium based on LDA topic model | |
| CN103186573B (en) | A kind of method, demand of definite search need intensity are known method for distinguishing and device thereof |
| Date | Code | Title | Description |
|---|---|---|---|
| PB01 | Publication | ||
| PB01 | Publication | ||
| SE01 | Entry into force of request for substantive examination | ||
| SE01 | Entry into force of request for substantive examination | ||
| GR01 | Patent grant | ||
| GR01 | Patent grant |