Movatterモバイル変換


[0]ホーム

URL:


CN111208653A - Novel sclera lens - Google Patents

Novel sclera lens
Download PDF

Info

Publication number
CN111208653A
CN111208653ACN202010107415.4ACN202010107415ACN111208653ACN 111208653 ACN111208653 ACN 111208653ACN 202010107415 ACN202010107415 ACN 202010107415ACN 111208653 ACN111208653 ACN 111208653A
Authority
CN
China
Prior art keywords
curvature
area
zone
landing
optical
Prior art date
Legal status (The legal status is an assumption and is not a legal conclusion. Google has not performed a legal analysis and makes no representation as to the accuracy of the status listed.)
Granted
Application number
CN202010107415.4A
Other languages
Chinese (zh)
Other versions
CN111208653B (en
Inventor
李柏承
郑轶伦
Current Assignee (The listed assignees may be inaccurate. Google has not performed a legal analysis and makes no representation or warranty as to the accuracy of the list.)
Hangzhou Juming Medical Equipment Co Ltd
Original Assignee
Hangzhou Juming Medical Equipment Co Ltd
Priority date (The priority date is an assumption and is not a legal conclusion. Google has not performed a legal analysis and makes no representation as to the accuracy of the date listed.)
Filing date
Publication date
Application filed by Hangzhou Juming Medical Equipment Co LtdfiledCriticalHangzhou Juming Medical Equipment Co Ltd
Priority to CN202010107415.4ApriorityCriticalpatent/CN111208653B/en
Publication of CN111208653ApublicationCriticalpatent/CN111208653A/en
Application grantedgrantedCritical
Publication of CN111208653BpublicationCriticalpatent/CN111208653B/en
Activelegal-statusCriticalCurrent
Anticipated expirationlegal-statusCritical

Links

Images

Classifications

Landscapes

Abstract

The invention discloses a novel scleral mirror, which comprises an outer surface and an inner surface, and is sequentially divided into an optical area, a transition area and a landing area, wherein the outer surface is a continuous free-form surface, the inner surface is divided into an optical area inner surface, a transition area inner surface and a landing area inner surface, the transition area inner surface and the landing area inner surface are formed by connecting a single section or a plurality of sections of circular arcs with different curvature radiuses, the invention adopts the design of the free-form surface, can correct high-order aberration, improve the imaging quality of the scleral mirror, fit the inner surface of the scleral mirror in a continuous derivation mode, the surface shape of the utility model is fit with the surface shape of human eyes, the reserved tear storage space can store tears, the eyes can keep moist without foreign body sensation, the landing area forms a raised edge, can effectively improve the stability of the scleral lens, is comfortable to wear, is suitable for the vision correction of irregular cornea, and is favorable for the use and the popularization of the scleral lens.

Description

Novel sclera lens
Technical Field
The invention relates to the technical field of eye vision optics, in particular to a novel scleral mirror.
Background
The first scleral mirror appeared in the late 19 th century, and was made by glass blowing. Over a hundred years, as the design level, material development, and processing level have increased, the scleral lens has developed into a high-end product formed by interdigitation and integration of new designs, new processes, high oxygen permeability materials, and diagnostic fitting technologies.
The scleral mirror consists of 3 parts: optical zone, transition zone and landing zone. The optical zone stretches across the cornea and is not contacted with the cornea, so that the safety of the cornea is ensured, and good vision correction can be obtained; the transition zone is positioned in the corneoscleral edge area and is used for connecting the optical zone with the landing zone; the landing zone is a bearing area of the scleral lens, so the radian of the landing zone is consistent with the surface shape of the sclera as much as possible, and the eye injury caused by the overlarge local pressure of the sclera is avoided.
Scleral lenses are commonly used for vision correction of corneal astigmatism caused by primitive irregular corneas, such as keratoconus, corneal dystrophy, keratoconus peripheral hyalinity, spherical cornea, and the like; can also be used for vision correction caused by secondary refractive surgery such as LASIK, corneal transplantation, corneal infection, corneal trauma, etc.
Compared with a Rigid cornea Contact Lens (RGP), the scleroscope does not Contact the cornea, the cornea has no foreign body sensation, larger diameter, good stability and more comfortable wearing. In addition, the sclera lens can store more tears, and is beneficial to relieving 'dry eye' caused by various reasons.
In the prior art, the design and research of the scleral mirror have many defects, and many of the scleral mirror are modified in structure. For example, patent (CN 105259672A) describes a new scleral lens, which modifies the full contact structure of the scleral lens into a three-point stable wing contact structure. Such modifications involve only the weight of the scleral lens and the improvement of the existing wearing methods, and do not substantially improve the performance of the scleral lens.
With the development of corneal and ocular surface topography and the advancement of techniques and devices, there is an increasing interest in designing the suitability of the surface topography of a scleral lens for ocular surface topography. The surface type suitability design of the scleral mirror not only improves the performance of the scleral mirror, but also greatly improves the experimental preparation power of the scleral mirror.
Disclosure of Invention
The present invention has been made keeping in mind the above problems occurring in the prior art, and an object of the present invention is to improve image quality and wearing comfort by rationally designing the outer and inner surfaces of a scleral lens using a corneal and ocular surface topography technique.
The specific technical scheme is as follows:
the novel scleral mirror is characterized by comprising an outer surface and an inner surface, wherein the outer surface and the inner surface are outwards arranged along the center and are sequentially divided into an optical area, a transition area and a landing area, the outer surface is a continuous free-form surface, the areas of the outer surface are divided into the optical area outer surface, the transition area outer surface and the landing area outer surface according to the optical area, the transition area and the landing area, and the inner surface is divided into the optical area inner surface, the transition area inner surface and the landing area inner surface according to the optical area, the transition area and the landing area;
the inner surface of the optical zone and the outer surface of the optical zone are same in surface type and are both free-form surfaces, tear storage intervals are reserved between the inner surface of the optical zone and a cornea and used for storing tears, the inner surface of the transition zone is aspheric and is positioned between the inner surface of the optical zone and the inner surface of the landing zone, the surface type section of the transition zone is formed by connecting single-section or multiple-section circular arcs with different curvature radiuses, the inner surface of the landing zone is aspheric, the surface type section of the landing zone is formed by connecting single-section or multiple-section circular arcs with different curvature radiuses, the inner surface of the landing zone and the surface of a sclera form an inclination angle in a tangential direction, and the inclination angle.
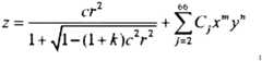
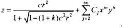
The novel scleral mirror is characterized in that the optical area has a thickness D of 0.25-0.4 mm and a diameter D0,D0The optical zone is 8-12 mm, the curvature radius is 7.55-9.91 mm, and the free-form surface expressions of the outer surface of the optical zone and the inner surface of the optical zone are as follows:
Figure BDA0002388849570000031
in the formula, z represents the rise difference in the z-axis direction, c represents the curvature, k represents the conic surface coefficient, Cj is xm, the coefficient of yn term, and m and n represent the orders of x and y, respectively.
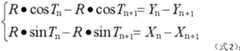
The novel scleral lens, wherein the diameter of the transition area is d, d is 4mm, the single or multiple sections of the circular arcs with different curvature radii forming the inner surface of the transition area are defined as Pn, and the two side ends of the Pn are PnnAnd Pn+1Establishing a two-dimensional coordinate system XY in which the center of curvature of the cornea is the originThe coordinates of the two side end points of the clamping plane n are Pn(Xn,Yn) And Pn+1(Xn+1,Yn+1) End point PnAnd Pn+1The angles with the curvature center of the cornea are respectively TnAnd Tn+1The end point P of the power n can be obtained by measuring the corneal topography and correctly calculating the eyeball modelnAnd Pn+1Information P ofn(Xn,Yn,Tn),Pn+1(Xn+1,Yn+1,Tn+1) Based on this, a single or multiple segments of circular arcs of different radii of curvature may be obtained, e.g. a preference n +1, a preference n +2, a preference n +3 …, with an end point Pn+1,Pn+2、Pn+2,Pn+3、Pn+3,Pn+4… with endpoint coordinate Pn+1(Xn+1,Yn+1),Pn+2(Xn+2,Yn+2)、Pn+2(Xn+2,Yn+2),Pn+3(Xn+3,Yn+3)、 Pn+3(Xn+3,Yn+3),Pn+4(Xn+4,Yn+4) … and the angle of the end points to the center of curvature of the cornea is Tn+1,Tn+2、Tn+2,Tn+3、Tn+3,Tn+4…, the radii of curvature of the cutting rules, e, n +1, n +2, n +3, 3 … may satisfy the following relations:
Figure BDA0002388849570000041
based on the above formula, the end point of the preference n is substituted into the formula to obtain Rn' and Rn", take Rn' and Rn"to obtain a value R of the radius of curvature of the cutting elementnThe same may be obtained, e.g. the value R of the curvature radius of the cutting preference n +1, n +2, n +3 …n+1、Rn+2、Rn+3…。
The novel scleral mirror is aspheric, the surface section of the inner surface of the transition area consists of three sections of circular arcs with different curvature radiuses, and the thickness between the inner surface of the transition area and the outer surface of the transition area is 0.3-0.5 mm.
The new scleral mirror as described above, wherein three segments of arcs of different radii of curvature constituting the inner surface of the transition region may be defined as the preference 1, thepreference 2 and thepreference 3, the two side ends of the preference 1, thepreference 2 and thepreference 3 being respectively P1, P2, P2, P3 and P3, P4; establishing a two-dimensional coordinate system XY with the center of curvature of the cornea as the origin, in which two-sided end point coordinates of the cutting tool 1 are P1(X1, Y1) and P2(X2, Y2), two-sided end point coordinates of thecutting tool 2 are P2(X2, Y2) and P3(X3, Y3), two-sided end point coordinates of thecutting tool 3 are P3(X3, Y3) and P4(X4, Y4), and angles of the end points P1, P2, P3 and P4 with the center of curvature of the cornea are T respectively1、T2、T3And T4The information P of the end points P1, P2, P2, P3, P3 and P4 of thecutting preference 1, 2 and 3 can be obtained by measuring the topography of the cornea and correctly estimating the eyeball model1(X1,Y1,T1),P2(X2,Y2,T2)、P2(X2,Y2,T2),P3(X3,Y3,T3) And P3(X3,Y3,T3),P4(X4,Y4,T4) The radii of curvature for the cutting edges, e.g. 1, 2 and 3, satisfy the following relations:
Figure BDA0002388849570000051
based on the above formula, the end points of the preference 1 are substituted into the formula to obtain R1' and R1", take R1' and R1"to obtain a value R of the curvature radius of the cutting insert 11The values of the curvature radius R for thecutting rules 2 and 32And R3
The novel scleral mirror described above is characterized in that the section of the inner surface of the landing zone is aspheric and is composed of three arcs with different curvature radii, the angle of inclination α is 3-5 °, the diameter of the landing zone is w, w is 8mm, the thickness of the landing zone is 0.25-0.35 mm, and the three arcs with different curvature radii for composing the inner surface of the landing zone can be defined as [ i ], [ ii ] and [ iii ], based on the formula:
Figure BDA0002388849570000052
obtaining values of curvature radius R for the preference i, ii and iiii、RiiAnd Riii
The novel scleral mirror is characterized in that the thickness range of the tear storage interval is 0-300 um.
The novel scleral mirror is characterized in that the diameter of the novel scleral mirror is D, the D is 20-24 mm, and the novel scleral mirror is made of a high oxygen permeability material with a Dk value larger than 120.
The invention has the beneficial effects that:
the invention discloses a novel scleral mirror, which comprises an outer surface and an inner surface, and is sequentially divided into an optical area, a transition area and a landing area, wherein the outer surface is a continuous free-form surface, the inner surface is divided into an optical area inner surface, a transition area inner surface and a landing area inner surface, the transition area inner surface and the landing area inner surface are formed by connecting a single section or a plurality of sections of circular arcs with different curvature radiuses, the invention adopts the design of the free-form surface, can correct high-order aberration, improve the imaging quality of the scleral mirror, fit the inner surface of the scleral mirror in a continuous derivation mode, the surface shape of the utility model is fit with the surface shape of human eyes, the reserved tear storage space can store tears, the eyes can keep moist without foreign body sensation, the landing area forms a raised edge, can effectively improve the stability of the scleral lens, is comfortable to wear, is suitable for the vision correction of irregular cornea, and is favorable for the use and the popularization of the scleral lens.
Drawings
FIG. 1 is a cross-sectional view of the present invention.
Fig. 2 is a schematic diagram of the relationship between the inner surface end points of the scleral mirror in a two-dimensional coordinate system (the surface-shaped cross section of the inner surface of the transition region is a single arc).
The reference numbers illustrate: 1. an outer surface; 2. an outer surface of the optical zone; 3. an outer surface of the transition zone; 4. A landing zone outer surface; 5. an inner surface; 6. an inner surface of the optical zone; 7. an inner surface of the transition zone; 8. an inner landing zone surface; 9. an optical zone; 10. a transition zone; 11. a landing zone; 12. a cornea; 13. the radius of the corneal curvature; 14. the radius of the inner surface of the optical zone; 15. the radius of the comprehensive curved surface on the inner surface of the transition area; 16. the comprehensive curved surface radius of the inner surface of the landing zone; 17. tear storage intervals.
Detailed Description
In order to make the technical solution of the present invention clearer and clearer, the present invention is further described below with reference to embodiments, and any solution obtained by substituting technical features of the technical solution of the present invention with equivalents and performing conventional reasoning falls within the scope of the present invention.
Example one
The novel scleral mirror is characterized by comprising an outer surface and an inner surface, wherein the outer surface and the inner surface are outwards arranged along the center and are sequentially divided into an optical area, a transition area and a landing area, the outer surface is a continuous free-form surface, the areas of the outer surface are divided into the optical area outer surface, the transition area outer surface and the landing area outer surface according to the optical area, the transition area and the landing area, and the inner surface is divided into the optical area inner surface, the transition area inner surface and the landing area inner surface according to the optical area, the transition area and the landing area;
the inner surface of the optical zone and the outer surface of the optical zone are the same in surface type and are both free-form surfaces, tear storage intervals are reserved between the inner surface of the optical zone and a cornea and used for storing tears, the inner surface of the transition zone is aspheric and is positioned between the inner surface of the optical zone and the inner surface of the landing zone, the surface type section of the transition zone is formed by connecting single-segment or multiple-segment circular arcs with different curvature radiuses, the inner surface of the landing zone is aspheric, the surface type section of the landing zone is formed by connecting single-segment or multiple-segment circular arcs with different curvature radiuses, the inner surface of the landing zone and the surface of a sclera form an inclination angle in a tangential direction, and the inclination;
in this embodiment, surface and optics district surface adopt the free-form surface design, can effectively rectify the high order aberration, improve the imaging quality, and the tear interval of storing up of reservation can store the tear, and the cornea does not have the foreign-body sensation, and the comfort level is high, and landing zone forms the stick up limit, can effectively improve the stability of scleral mirror, wears more comfortablely.
Example two
The novel scleral mirror of the present embodiment, wherein the optical area has a thickness D, a diameter D of 0.25-0.4 mm, and a thickness D0,D0The optical zone is 8-12 mm, the curvature radius is 7.55-9.91 mm, and the free-form surface expressions of the outer surface of the optical zone and the inner surface of the optical zone are as follows:
Figure BDA0002388849570000081
in the formula, z represents the rise difference of the vector in the z-axis direction, c represents the curvature, k represents the coefficient of a conical surface, Cj is xm, the coefficient of yn terms, and m and n represent the orders of x and y respectively;
the free-form surface type of the present embodiment is established based on the above-mentioned free-form surface expression, and mathematical modeling is performed according to data of a cornea measured by a corneal topography, so that the cornea can be used as an optical surface with an aspheric surface, the outer surface of the novel scleral mirror is used as a first surface, the inner surface optical zone is used as a second surface, the cornea is used as a third surface, and the retina of a human eye is used as an imaging surface, and the relative position relationship, the refractive index and the like of the cornea and the cornea are input, and the simulated parameters of the cornea and the cornea are input into optical design software code.v to design an optical system and perform item-by-item optimization, and the obtained free-form surface type of the scleral mirror is non-.
EXAMPLE III
The new scleral mirror of this embodiment, wherein the diameter of the transition area is d, d is 4mm, the single or multiple sections of the circular arcs with different curvature radius forming the inner surface of the transition area are defined as the cutting power n, the two side ends of the cutting power n are PnAnd Pn+1Establishing a two-dimensional coordinate system XY with the curvature center of the cornea as the origin, in which the end point coordinates on both sides of the cutting edge are Pn(Xn,Yn) And Pn+1(Xn+1,Yn+1) End point PnAnd Pn+1The angles with the curvature center of the cornea are respectively TnAnd Tn+1The end point of the power n can be obtained by measuring the corneal topography and correctly calculating the eyeball modelPnAnd Pn+1Information P ofn(Xn,Yn,Tn),Pn+1(Xn+1,Yn+1,Tn+1) Based on this, a single or multiple segments of circular arcs of different radii of curvature may be obtained, e.g. a preference n +1, a preference n +2, a preference n +3 …, with an end point Pn+1,Pn+2、Pn+2,Pn+3、Pn+3,Pn+4… with endpoint coordinate Pn+1(Xn+1,Yn+1),Pn+2(Xn+2,Yn+2)、Pn+2(Xn+2,Yn+2),Pn+3(Xn+3,Yn+3)、Pn+3(Xn+3,Yn+3),Pn+4(Xn+4,Yn+4) … and the angle of the end points to the center of curvature of the cornea is Tn+1,Tn+2、Tn+2,Tn+3、Tn+3,Tn+4…, the radii of curvature of the cutting rules, e, n +1, n +2, n +3, 3 … may satisfy the following relations:
Figure BDA0002388849570000091
based on the above formula, the end point of the preference n is substituted into the formula to obtain Rn' and Rn", take Rn' and Rn"to obtain a value R of the radius of curvature of the cutting elementnThe same may be obtained, e.g. the value R of the curvature radius of the cutting preference n +1, n +2, n +3 …n+1、Rn+2、Rn+3…;
As shown in fig. 1, wherein the radius of the comprehensive curved surface of the inner surface of the transition area is Rn、Rn+1、Rn+2、 Rn+3…;
as shown in fig. 2, the relationship diagram of the inner surface end point of the scleral mirror in the two-dimensional coordinate system, at this time, the surface cross section of the inner surface of the transition region is a single segment of circular arc, i.e. there is only a cutting plane 1, if it is necessary to perform multiple segments of circular arc extension on the inner surface of the transition region, it is able to perform continuous derivation based on theformula 2 to obtain cuttingplanes 2 to n;
based on the scheme, the surface shape characteristic of the transition region can be rapidly and accurately calculated, and the method is applicable to vision correction of irregular cornea.
Example four
The novel scleral mirror is characterized in that the surface section of the inner surface of the transition area, which is aspheric, is composed of three sections of arcs with different curvature radiuses, and the thickness between the inner surface of the transition area and the outer surface of the transition area is 0.3-0.5 mm;
based on the third embodiment, defining three different arcs of curvature radius forming the inner surface of the transition region as the preference 1, the preference 2 and the preference 3, wherein the two side ends of the preference 1, the preference 2 and the preference 3 are P1, P2, P2, P3 and P3, P4, respectively; establishing a two-dimensional coordinate system XY with the center of curvature of the cornea as the origin, in which two-sided end point coordinates of the cutting tool 1 are P1(X1, Y1) and P2(X2, Y2), two-sided end point coordinates of the cutting tool 2 are P2(X2, Y2) and P3(X3, Y3), two-sided end point coordinates of the cutting tool 3 are P3(X3, Y3) and P4(X4, Y4), and angles of the end points P1, P2, P3 and P4 with the center of curvature of the cornea are T respectively1、T2、T3And T4The information P of the end points P1, P2, P2, P3, P3 and P4 of the cutting preference 1, 2 and 3 can be obtained by measuring the topography of the cornea and correctly estimating the eyeball model1(X1,Y1,T1),P2(X2,Y2, T2)、P2(X2,Y2,T2),P3(X3,Y3,T3) And P3(X3,Y3,T3),P4(X4,Y4,T4) The radii of curvature for the cutting edges, e.g. 1, 2 and 3, satisfy the following relations:
Figure BDA0002388849570000101
based on the above formula, the end points of the preference 1 are substituted into the formula to obtain R1' and R1", take R1' and R1"to obtain a value R of the curvature radius of the cutting insert 11The values of the curvature radius R for the cuttingrules 2 and 32And R3I.e. the general curvature of the inner surface of the transition zoneRadius R1、R2And R3A collection of (a).
EXAMPLE five
The novel scleral mirror of this embodiment, wherein, it is aspheric that the surface type cross section of the inner surface of the landing zone is composed of three circular arcs with different curvature radii, the inclination angle α is 3 to 5 °, the diameter of the landing zone is w, w is 8mm, the thickness thereof is 0.25 to 0.35mm, the three circular arcs with different curvature radii composing the inner surface of the landing zone can be defined as [ i ], [ ii ], and [ iii ], based on the formula:
Figure BDA0002388849570000111
obtaining values of curvature radius R for the preference i, ii and iiii、RiiAnd RiiiI.e. the radius of the comprehensive curved surface of the inner surface of the landing zone is Ri、RiiAnd RiiiA set of (a);
wherein, store up the thickness range at tear interval and be 0 ~ 300 um.
EXAMPLE five
The novel scleral mirror of the embodiment comprises a diameter D of 20-24 mm, and is made of a high oxygen permeability material with a Dk value greater than 120;
the scleral lens is suitable in size, and the used material has high oxygen permeability, so that the wearing comfort can be effectively improved.
In conclusion, the invention adopts the free-form surface design, can correct high-order aberration, improves the imaging quality of the scleral lens, fits the inner surface of the scleral lens in a continuous derivation mode, ensures that the surface shape of the scleral lens is attached to the surface appearance of human eyes, reserves the tear storage interval, stores tears, ensures that the eyes keep moist without foreign body sensation, forms raised edges in the landing area, can effectively improve the stability of the scleral lens, is comfortable to wear, can be suitable for the vision correction of irregular cornea, and is favorable for the use and popularization of the scleral lens.
The above description is only for the preferred embodiment of the present invention, but the scope of the present invention is not limited thereto, and any changes or substitutions that can be easily conceived by those skilled in the art within the technical scope of the present invention are also included in the scope of the present invention. Therefore, the protection scope of the present invention shall be subject to the protection scope of the claims.

Claims (8)

1. The novel scleral mirror is characterized by comprising an outer surface and an inner surface, wherein the outer surface and the inner surface are outwards arranged along the center and are sequentially divided into an optical area, a transition area and a landing area, the outer surface is a continuous free-form surface, the areas of the outer surface are divided into the optical area outer surface, the transition area outer surface and the landing area outer surface according to the optical area, the transition area and the landing area, and the inner surface is divided into the optical area inner surface, the transition area inner surface and the landing area inner surface according to the optical area, the transition area and the landing area;
the inner surface of the optical zone and the outer surface of the optical zone are same in surface type and are both free-form surfaces, tear storage intervals are reserved between the inner surface of the optical zone and a cornea and used for storing tears, the inner surface of the transition zone is aspheric and is positioned between the inner surface of the optical zone and the inner surface of the landing zone, the surface type section of the transition zone is formed by connecting single-section or multiple-section circular arcs with different curvature radiuses, the inner surface of the landing zone is aspheric, the surface type section of the landing zone is formed by connecting single-section or multiple-section circular arcs with different curvature radiuses, the inner surface of the landing zone and the surface of a sclera form an inclination angle in a tangential direction, and the inclination angle.
2. The novel scleral mirror as claimed in claim 1, wherein the optical zone has a thickness D of 0.25-0.4 mm and a diameter D0,D0The optical zone is 8-12 mm, the curvature radius is 7.55-9.91 mm, and the free-form surface expressions of the outer surface of the optical zone and the inner surface of the optical zone are as follows:
Figure FDA0002388849560000011
in the formula, z represents the rise difference in the z-axis direction, c represents the curvature, k represents the conic surface coefficient, Cj is xm, the coefficient of yn term, and m and n represent the orders of x and y, respectively.
3. A novel scleral lens as claimed in claim 2, wherein the diameter of the transition area is d, d is 4mm, the single or multiple sections of the circular arcs with different curvature radius forming the inner surface of the transition area are defined as Pn, the two side ends of Pn are Pn respectivelynAnd Pn+1Establishing a two-dimensional coordinate system XY with the curvature center of the cornea as the origin, in which the end point coordinates on both sides of the cutting edge are Pn(Xn,Yn) And Pn+1(Xn+1,Yn+1) End point PnAnd Pn+1The angles with the curvature center of the cornea are respectively TnAnd Tn+1The end point P of the power n can be obtained by measuring the corneal topography and correctly calculating the eyeball modelnAnd Pn+1Information P ofn(Xn,Yn,Tn),Pn+1(Xn+1,Yn+1,Tn+1) Based on this, a single or multiple segments of circular arcs of different radii of curvature may be obtained, e.g. a preference n +1, a preference n +2, a preference n +3 …, with an end point Pn+1,Pn+2、Pn+2,Pn+3、Pn+3,Pn+4… with endpoint coordinate Pn+1(Xn+1,Yn+1),Pn+2(Xn+2,Yn+2)、Pn+2(Xn+2,Yn+2),Pn+3(Xn+3,Yn+3)、Pn+3(Xn+3,Yn+3),Pn+4(Xn+4,Yn+4) … and the angle of the end points to the center of curvature of the cornea is Tn+1,Tn+2、Tn+2,Tn+3、Tn+3,Tn+4…, the radii of curvature of the cutting rules, e, n +1, n +2, n +3, 3 … may satisfy the following relations:
Figure FDA0002388849560000021
based on the above formula, the end point of the preference n is substituted into the formula to obtain Rn' and Rn", take Rn' and Rn"to obtain a value R of the radius of curvature of the cutting elementnThe same may be obtained, e.g. the value R of the curvature radius of the cutting preference n +1, n +2, n +3 …n+1、Rn+2、Rn+3…。
4. The novel scleral mirror as claimed in claim 3, wherein the aspheric inner surface of the transition region has a cross section of three circular arcs with different radii of curvature, and the thickness between the inner surface of the transition region and the outer surface of the transition region is 0.3-0.5 mm.
5. A novel scleral mirror as claimed in claim 4, wherein three segments of arcs of different radii of curvature constituting the inner surface of the transition region are defined as, for example, 1, 2 and 3, the two side ends of the said cutting edges being, for example, P1, P2, P2, P3 and P3, P4; establishing a two-dimensional coordinate system XY with the center of curvature of the cornea as the origin, in which two-sided end point coordinates of the cutting tool 1 are P1(X1, Y1) and P2(X2, Y2), two-sided end point coordinates of the cutting tool 2 are P2(X2, Y2) and P3(X3, Y3), two-sided end point coordinates of the cutting tool 3 are P3(X3, Y3) and P4(X4, Y4), and angles of the end points P1, P2, P3 and P4 with the center of curvature of the cornea are T respectively1、T2、T3And T4The information P of the end points P1, P2, P2, P3, P3 and P4 of the cutting preference 1, 2 and 3 can be obtained by measuring the topography of the cornea and correctly estimating the eyeball model1(X1,Y1,T1),P2(X2,Y2,T2)、P2(X2,Y2,T2),P3(X3,Y3,T3) And P3(X3,Y3,T3),P4(X4,Y4,T4) The radii of curvature for the cutting edges, e.g. 1, 2 and 3, satisfy the following relations:
Figure FDA0002388849560000031
based on the above formulaBy substituting the end points of the preference 1 into the formula, R can be obtained1' and R1", take R1' and R1"to obtain a value R of the curvature radius of the cutting insert 11The values of the curvature radius R for the cutting rules 2 and 32And R3
6. A novel scleral mirror as claimed in claim 5, wherein the aspheric surface of the inner surface of the landing zone has a cross section of three circular arcs with different radii of curvature, the angle of inclination α is 3-5 °, the diameter of the landing zone is w, w is 8mm, and the thickness is 0.25-0.35 mm, the three circular arcs with different radii of curvature forming the inner surface of the landing zone can be defined as [ ii ], [ ii ] and [ iii ], based on the following formula:
Figure FDA0002388849560000041
obtaining values of curvature radius R for the preference i, ii and iiii、RiiAnd Riii
7. The novel scleroscope of claim 6, wherein the tear storage compartment has a thickness in the range of 0-300 um.
8. A novel scleral lens as claimed in claim 6 or 7, wherein the diameter of the novel scleral lens is D, said D is 20-24 mm, and the material is high oxygen permeability material with Dk value greater than 120.
CN202010107415.4A2020-02-212020-02-21Sclera lensActiveCN111208653B (en)

Priority Applications (1)

Application NumberPriority DateFiling DateTitle
CN202010107415.4ACN111208653B (en)2020-02-212020-02-21Sclera lens

Applications Claiming Priority (1)

Application NumberPriority DateFiling DateTitle
CN202010107415.4ACN111208653B (en)2020-02-212020-02-21Sclera lens

Publications (2)

Publication NumberPublication Date
CN111208653Atrue CN111208653A (en)2020-05-29
CN111208653B CN111208653B (en)2021-11-12

Family

ID=70789987

Family Applications (1)

Application NumberTitlePriority DateFiling Date
CN202010107415.4AActiveCN111208653B (en)2020-02-212020-02-21Sclera lens

Country Status (1)

CountryLink
CN (1)CN111208653B (en)

Cited By (8)

* Cited by examiner, † Cited by third party
Publication numberPriority datePublication dateAssigneeTitle
CN112394539A (en)*2020-07-222021-02-23上海艾康特医疗科技有限公司Scleral lens and lens matching method thereof
CN114047643A (en)*2021-11-262022-02-15上海艾康特医疗科技有限公司 Preparation method of rigid contact lens
CN115016144A (en)*2022-06-212022-09-06杭州聚明医疗器械有限责任公司 A progressive multifocal scleral contact lens
CN115167004A (en)*2022-07-172022-10-11珠海菲特兰医疗科技有限公司 Low Clearance Scleral Contact Lenses
CN115542575A (en)*2022-10-262022-12-30上海艾康特医疗科技有限公司Cornea shaping mirror and design method thereof
CN115615334A (en)*2020-07-012023-01-17上海艾康特医疗科技有限公司 Method for measuring parameters of contact lenses
CN116819798A (en)*2023-08-162023-09-29湖南朗星医疗科技有限公司Scleral lens test method based on cornice and scleral different areas of sagittal depth
CN117055241A (en)*2022-05-062023-11-14上海艾康特医疗科技有限公司Scleral contact lens and lens matching method thereof

Citations (4)

* Cited by examiner, † Cited by third party
Publication numberPriority datePublication dateAssigneeTitle
US5963297A (en)*1997-06-271999-10-05Reim; Thomas RussellOrthokeratology contact lens and method therefor
CN102047172A (en)*2008-06-062011-05-04全球美好视觉公司 Soft contact lenses for treating non-emmetropia
CN204964916U (en)*2015-07-242016-01-13爱博诺德(北京)医疗科技有限公司Orthokeratology
CN208270872U (en)*2017-04-302018-12-21欧普康视科技股份有限公司Correct the hard corneal contact lens of irregular cornea eyesight

Patent Citations (4)

* Cited by examiner, † Cited by third party
Publication numberPriority datePublication dateAssigneeTitle
US5963297A (en)*1997-06-271999-10-05Reim; Thomas RussellOrthokeratology contact lens and method therefor
CN102047172A (en)*2008-06-062011-05-04全球美好视觉公司 Soft contact lenses for treating non-emmetropia
CN204964916U (en)*2015-07-242016-01-13爱博诺德(北京)医疗科技有限公司Orthokeratology
CN208270872U (en)*2017-04-302018-12-21欧普康视科技股份有限公司Correct the hard corneal contact lens of irregular cornea eyesight

Cited By (17)

* Cited by examiner, † Cited by third party
Publication numberPriority datePublication dateAssigneeTitle
CN115615334A (en)*2020-07-012023-01-17上海艾康特医疗科技有限公司 Method for measuring parameters of contact lenses
CN113341591A (en)*2020-07-222021-09-03上海艾康特医疗科技有限公司Scleral contact lens
CN113031306B (en)*2020-07-222023-06-13上海艾康特医疗科技有限公司Lens matching method of scleral contact lens
CN113625471B (en)*2020-07-222024-08-27上海艾康特医疗科技有限公司Scleral lens
CN113625471A (en)*2020-07-222021-11-09珠海维视艾康特医药科技有限公司Scleral mirror
CN113031307A (en)*2020-07-222021-06-25上海艾康特医疗科技有限公司Lens in contact with sclera
CN113341591B (en)*2020-07-222023-06-13上海艾康特医疗科技有限公司Scleral contact lens
CN113031306A (en)*2020-07-222021-06-25上海艾康特医疗科技有限公司Lens preparation method of scleral contact lens
CN112394539A (en)*2020-07-222021-02-23上海艾康特医疗科技有限公司Scleral lens and lens matching method thereof
CN114047643A (en)*2021-11-262022-02-15上海艾康特医疗科技有限公司 Preparation method of rigid contact lens
CN117055241B (en)*2022-05-062025-07-29上海艾康特医疗科技有限公司Scleral contact lens and lens matching method thereof
CN117055241A (en)*2022-05-062023-11-14上海艾康特医疗科技有限公司Scleral contact lens and lens matching method thereof
CN115016144A (en)*2022-06-212022-09-06杭州聚明医疗器械有限责任公司 A progressive multifocal scleral contact lens
CN115167004A (en)*2022-07-172022-10-11珠海菲特兰医疗科技有限公司 Low Clearance Scleral Contact Lenses
CN115167004B (en)*2022-07-172024-11-05珠海菲特兰医疗科技有限公司 Low clearance scleral contact lenses
CN115542575A (en)*2022-10-262022-12-30上海艾康特医疗科技有限公司Cornea shaping mirror and design method thereof
CN116819798A (en)*2023-08-162023-09-29湖南朗星医疗科技有限公司Scleral lens test method based on cornice and scleral different areas of sagittal depth

Also Published As

Publication numberPublication date
CN111208653B (en)2021-11-12

Similar Documents

PublicationPublication DateTitle
CN111208653B (en)Sclera lens
US8668331B2 (en)Method for designing non-round soft contact lenses
EP2574975B1 (en)Optical lens, method for manufacturing an optical lens, and apparatus for manufacturing optical lens
JP2018523171A (en) Vision correction lens and method of making vision correction lens
JP3080295B2 (en) Progressive multifocal spectacle lens
CN110346946B (en)Method for detecting spectacle lens based on individual characteristics of spectacle wearer
JPH1124012A (en)Multi focus contact lens
JP2019045883A (en)Contact lens with improved fitting characteristics
JP3609632B2 (en) Multifocal ophthalmic lens
JP2003121801A (en) Progressive power spectacle lens
CN114779497B (en) A scleral contact lens based on phase modulation technology
WO2024125016A1 (en)Orthokeratology lens
JP3860041B2 (en) Contact lens and contact lens design method
JPH11513139A (en) Progressive lenses for optometry
JP2008249828A (en) Eyeglass lens and design method thereof
CN212749433U (en)Cornea shaping mirror
TWM656468U (en)Non-orthogonal and non-axisymmetric contact lens structures
JPS5988718A (en)Progressive focusing spectacle lens considering vergence of eye
JP4931669B2 (en) Eyeglass lens ordering system
CN210155447U (en) A multifunctional rigid contact lens
JP2003518275A (en) Multifocal progressive spectacle lens pair
JP4806218B2 (en) Progressive power lens
TWI876633B (en) Non-orthogonal and non-axisymmetric contact lens and its optical zone power distribution design method
TWI812272B (en) The Optical Center of Orthokeratology and the Design Structure of Multi-arc Lens
TWI848651B (en) Stable structure of contact lens and design method thereof

Legal Events

DateCodeTitleDescription
PB01Publication
PB01Publication
SE01Entry into force of request for substantive examination
SE01Entry into force of request for substantive examination
GR01Patent grant
GR01Patent grant

[8]ページ先頭

©2009-2025 Movatter.jp