Movatterモバイル変換


[0]ホーム

URL:


CN111208345B - Bus current estimation method and system for electric drive system of electric vehicle - Google Patents

Bus current estimation method and system for electric drive system of electric vehicle
Download PDF

Info

Publication number
CN111208345B
CN111208345BCN202010057820.XACN202010057820ACN111208345BCN 111208345 BCN111208345 BCN 111208345BCN 202010057820 ACN202010057820 ACN 202010057820ACN 111208345 BCN111208345 BCN 111208345B
Authority
CN
China
Prior art keywords
bus current
values
fitness
drive system
electric drive
Prior art date
Legal status (The legal status is an assumption and is not a legal conclusion. Google has not performed a legal analysis and makes no representation as to the accuracy of the status listed.)
Active
Application number
CN202010057820.XA
Other languages
Chinese (zh)
Other versions
CN111208345A (en
Inventor
刘蕾
刘必超
程胜民
Current Assignee (The listed assignees may be inaccurate. Google has not performed a legal analysis and makes no representation or warranty as to the accuracy of the list.)
Hefei JEE Power System Co Ltd
Original Assignee
Hefei JEE Power System Co Ltd
Priority date (The priority date is an assumption and is not a legal conclusion. Google has not performed a legal analysis and makes no representation as to the accuracy of the date listed.)
Filing date
Publication date
Application filed by Hefei JEE Power System Co LtdfiledCriticalHefei JEE Power System Co Ltd
Priority to CN202010057820.XApriorityCriticalpatent/CN111208345B/en
Publication of CN111208345ApublicationCriticalpatent/CN111208345A/en
Application grantedgrantedCritical
Publication of CN111208345BpublicationCriticalpatent/CN111208345B/en
Activelegal-statusCriticalCurrent
Anticipated expirationlegal-statusCritical

Links

Images

Classifications

Landscapes

Abstract

The invention discloses a bus current estimation method of an electric automobile electric drive system, which comprises the following steps: acquiring the rotating speed n of a motor, the control torque M of the motor and the bus voltage U, and forming a data table and performing data segmentation; solving by using a least square method to obtain values a, b and c, and constructing a fitness function of the fitness function; calculating the fitness d by using the values a, b and c solved by a least square method; iterative solution of a, b and c values is carried out by adopting a genetic algorithm, the fitness q is calculated, and if the fitness q is smaller than d-k within the iteration times and k is a preset value, the a, b and c values solved by the genetic algorithm are selected to obtain a fitting function; otherwise, obtaining a fitting function by using the values a, b and c solved by the least square method; the bus current is estimated using a fitting function. The bus current is estimated by using an extreme value optimization algorithm combining a least square method and a genetic algorithm, the estimated bus current value is more accurate, the hardware cost is saved, the reliability of the product is improved, and the product development period is shortened.

Description

Bus current estimation method and system for electric drive system of electric vehicle
Technical Field
The invention belongs to the technical field of electric automobile electric drive system control, and particularly relates to a method and a system for estimating bus current of an electric automobile electric drive system.
Background
The electric drive system is an important component of an electric automobile and is the key for realizing mutual conversion of mechanical energy and electric energy. In a pure electric vehicle, bus current of a driving motor is an important parameter related to safe operation, efficiency calculation and the like of the vehicle, and needs to be monitored in real time and sent to a vehicle control unit.
The bus current estimation method of the electric drive system of the electric automobile comprises the following steps:
(1) the analog signal of the voltage value output by the bus current sensor is converted into a digital signal through the drive controller hardware through the amplifying circuit and the AD sampling circuit, the drive controller chip acquires the digital signal, and the drive controller software calculates the bus current according to the gain of the amplifying circuit and the digital signal acquired by the controller.
(2) The rack is according to the motor efficiency, the control efficiency, output torque, motor speed, the motor operating condition (electronic, the electricity generation) of test, according to the formula, electronic: m × n/(9550 × μ)1×μ2) And (3) power generation: m × n × μ1×μ2/9550 (in the formula, P is kW of input power of the controller, M is N.m of measured output torque of the motor on the rack, n is rpm/min of actual rotation speed of the motor, and μ1For motor efficiency, mu2For controller efficiency), calculate the controller input power P, and then use the formula P × 1000 ═ U × I (where: u is the bus voltage unit V and I is the bus current unit a) calculates the bus current I.
The method (1) collects the bus current by using a current sensor and a hardware circuit, and has the defects of increasing the weight and the volume of the controller, increasing the cost and increasing the fault occurrence probability of the controller.
The method (2) uses the bench actual measurement parameters to calculate the bus current, and has the defects that the bus current is different when the motor and the controller work at different voltages, torques and rotating speeds, so that the bench test period is long in order to ensure that the bus current precision is too many, and the bench test period is long, and the motor control chip needs to select a larger storage space for storing data required by bus current calculation when the bench wastes resources, so that the development cost of the product is increased, and the development period is long.
Chinese patent No. CN 109861610a discloses a method for estimating bus current of a permanent magnet synchronous motor in real time, which comprises: acquiring the rotating speed S, the torque T, the system input power P0 and the bus voltage U of the permanent magnet synchronous motor, and forming an offline data table; obtaining a coefficient vector k through third-order least square fitting calculation; acquiring input power P of an estimation system; and obtaining an estimated bus current I. According to the method, the bus current value obtained by estimation is inaccurate through three-order least square fitting calculation.
Disclosure of Invention
In order to solve the existing technical problems, the invention provides a bus current estimation method of an electric vehicle electric drive system, which estimates the bus current by using an extremum optimization algorithm combining a least square method and a genetic algorithm, so that the estimated bus current value is more accurate, the hardware cost is saved, the product reliability is improved, and the product development period is shortened.
The technical scheme of the invention is as follows:
a bus current estimation method of an electric drive system of an electric automobile comprises the following steps:
s01: acquiring the rotating speed n of a motor, the control torque M of the motor and the bus voltage U, and forming a data table and performing data segmentation;
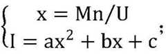
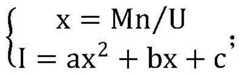
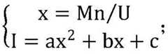
s02: establishing a fitting function of
Figure BDA0002373411780000021
Wherein I is the estimated bus current, and a, b and c are coefficients;
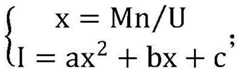
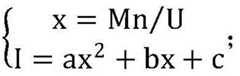
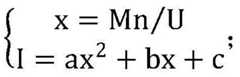
s03: using least square method to solve and obtain a, b and c values, and constructing a fitness function of
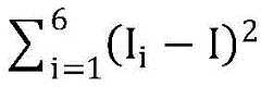
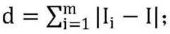
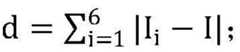
Figure BDA0002373411780000022
Wherein m is the segment number, IiIs the actual bus current; calculating the fitness d by using the values a, b and c solved by a least square method according to the constructed fitness function;
s04: iterative solution of a, b and c values is carried out by adopting a genetic algorithm, the fitness q is calculated, and if the fitness q is smaller than d-k within the iteration times and k is a preset value, the a, b and c values solved by the genetic algorithm are selected to obtain a fitting function; otherwise, obtaining a fitting function by using the values a, b and c solved by the least square method;
s05: using the obtained fitting function I ═ ax2+ bx + c estimates the bus current.
In a preferred embodiment, the data segmentation in step S01 is to segment the formed data table according to a certain motor control torque interval.
In a preferred technical solution, the iterative solution of the values a, b, and c by using a genetic algorithm in step S04 includes:
s41: coding the parameters to obtain an initialization group P (t);
s42: calculating the fitness of each individual in the population P (t) and evaluating;
s43: and acquiring a selection operator, acting the selection operator on the population and the mutation operator to perform genetic operation, and performing iterative operation.
The invention also discloses a bus current estimation system of the electric drive system of the electric automobile, which comprises the following components:
the data acquisition module is used for acquiring the rotating speed n of the motor, the motor control torque M and the bus voltage U, forming a data table and carrying out data segmentation;
a model building module for building a fitting function of
Figure BDA0002373411780000031
Wherein I is the estimated bus current, and a, b and c are coefficients;
the operation construction module obtains values a, b and c by using a least square method to solve, and constructs a fitness function of
Figure BDA0002373411780000032
Wherein m is the segment number, IiIs the actual bus current; calculating the fitness d by using the values a, b and c solved by a least square method according to the constructed fitness function;
the operation module adopts a genetic algorithm to carry out iterative solution on values a, b and c, calculates the fitness q, and selects the values a, b and c solved by the genetic algorithm to obtain a fitting function if the fitness q is smaller than d-k within the iteration times and k is a preset value; otherwise, obtaining a fitting function by using the values a, b and c solved by the least square method;
an estimation module using the obtained fitting function I ═ ax2+ bx + c estimates the bus current.
In a preferred technical scheme, the data segmentation of the data acquisition module is to segment a formed data table according to a certain motor control torque interval.
In a preferred technical scheme, the iterative solution of the values a, b and c by using a genetic algorithm in the operation module comprises:
s41: coding the parameters to obtain an initialization group P (t);
s42: calculating the fitness of each individual in the population P (t) and evaluating;
s43: and acquiring a selection operator, acting the selection operator on the population and the mutation operator to perform genetic operation, and performing iterative operation.
The invention also discloses a bus current estimation device of an electric automobile electric drive system, which comprises: the method comprises a memory for storing a bus current estimation program of an electric vehicle electric drive system and a processor for operating the bus current estimation program of the electric vehicle electric drive system, wherein the bus current estimation program of the electric vehicle electric drive system is configured to realize the steps of the bus current estimation method of the electric vehicle electric drive system.
Compared with the prior art, the invention has the advantages that:
a hardware sampling circuit is not used, the bus current is estimated by using an extreme value optimization algorithm combining a least square method and a genetic algorithm, the estimated bus current value is more accurate, the hardware cost is saved, the reliability of the product is improved, and the product development period is shortened.
Drawings
The invention is further described with reference to the following figures and examples:
FIG. 1 is a flow chart of a bus current estimation method of an electric drive system of an electric vehicle according to the present invention;
FIG. 2 is a flow chart of the genetic algorithm of the present invention.
Detailed Description
In order to make the objects, technical solutions and advantages of the present invention more apparent, the present invention will be described in further detail with reference to the accompanying drawings in conjunction with the following detailed description. It should be understood that the description is intended to be exemplary only, and is not intended to limit the scope of the present invention. Moreover, in the following description, descriptions of well-known structures and techniques are omitted so as to not unnecessarily obscure the concepts of the present invention.
Example (b):
the preferred embodiments of the present invention will be further described with reference to the accompanying drawings.
A bus current estimation method of an electric drive system of an electric automobile comprises the following steps:
s01: acquiring the rotating speed n of a motor, the control torque M of the motor and the bus voltage U, and forming a data table and performing data segmentation; the data segmentation is that the formed data table is segmented according to a certain motor control torque interval;
s02: establishing a fitting function of
Figure BDA0002373411780000041
Wherein I is the estimated bus current, and a, b and c are coefficients;
s03: using least square method to solve and obtain a, b and c values, and constructing a fitness function of
Figure BDA0002373411780000042
Wherein m is the segment number, IiIs the actual bus current; calculating the fitness d by using the values a, b and c solved by a least square method according to the constructed fitness function;
s04: iterative solution of a, b and c values is carried out by adopting a genetic algorithm, the fitness q is calculated, and if the fitness q is smaller than d-k within the iteration times and k is a preset value, the a, b and c values solved by the genetic algorithm are selected to obtain a fitting function; otherwise, obtaining a fitting function by using the values a, b and c solved by the least square method;
s05: using the obtained fitting function I ═ ax2+ bx + c estimates the bus current.
The genetic algorithm is an algorithm for simulating a natural biological evolution mechanism, namely, a principle of survival, superiority and inferiority of a suitable person is followed, namely, useful and useless reservation in the optimizing process is eliminated. In genetic algorithms, the initial population is composed by encoding. The task of genetic manipulation is to apply certain manipulation to individuals of the population according to the fitness (fitness evaluation) of the individuals to the environment, thereby realizing the evolution process of high-quality and low-quality. From an optimization search perspective, genetic operations can optimize the solution of the problem, one generation after another, and approach an optimal solution. As shown in fig. 2, iterative solution of values a, b, and c using a genetic algorithm includes:
s41: coding the parameters to obtain an initialization group P (t);
s42: calculating the fitness of each individual in the population P (t) and evaluating;
s43: and acquiring a selection operator, acting the selection operator on the population and the mutation operator to perform genetic operation, and performing iterative operation.
As shown in fig. 1, the concrete practical operation of the bus current estimation method includes the following steps:
1. selecting a proper rack for testing the driving motor, recording the motor speed n fed back by the bus voltage U, MCU fed back by an MCU (Motor controller) and collecting the bus current I by a rack current sensoriControlling the torque M by the motor to generate a data table;
firstly, rack hardware can collect direct current bus current input by a motor controller, and a rack upper computer can perform corresponding filtering on the collected bus current to ensure that the collected current is real and effective;
secondly, the rack and the MCU need to have a communication function, the rack acquires bus voltage and motor rotating speed fed back by the MCU in real time according to a certain communication rule, the MCU acquires motor control torque issued by the rack in real time, and the communication function comprises one or more of CAN, Lin, FlexRay and Ethernet;
2. segmenting data according to a data table generated by bench test;
3. establishing a mathematical model expression by using a bus voltage U unit V, a motor rotating speed n unit rpm/min, a bus current I unit A and a motor control torque M unit N.m
Figure BDA0002373411780000051
4. Using the least squares method (
Figure BDA0002373411780000052
Minimum, m is determined by segmentation, IiCollecting the bus current value through a rack current sensor for the actual bus current value) to respectively solve the values of a, b and c for each section of data torque;
5. since the actual use is solving
Figure BDA0002373411780000053
Minimization thereof, least squares solution
Figure BDA0002373411780000054
At a minimum, | I will be reducedi-a deviation of I < 1, amplifying Ii-a deviation of I > 1, for which the invention further uses genetic algorithms to optimize a, b, c, the calculation of values of a, b, c being solved using the least squares method
Figure BDA0002373411780000055
6. Solving the values of a, b and c by using a genetic algorithm, wherein the fitness function of the genetic algorithm is
Figure BDA0002373411780000056
When one of the following conditions occurs, completing data fitting and determining a, b and c;
if the calculated fitness q of a, b and c solved by the genetic algorithm is less than d-k (k is determined according to actual needs), the values of a, b and c are taken as solutions;
secondly, according to the iteration times specified by the genetic algorithm, if the fitness q is still not less than d-k, the values a, b and c calculated by the least square method are taken as solutions;
7. programming MCU software, writing the expression into the software, and uploading the MCU calculation bus current to a communication network through a communication protocol;
8. and the rack retest detection rack acquires the bus current and feeds back the bus current by the MCU, corrects the c value to the extent that the error is in a reasonable range aiming at the unqualified point software, and performs rack test again until the requirement is met.
The following examples are given for illustrative purposes:
1. the rack records the working bus voltage range of the motor, high (U)high) Middle (U)mid) Low (U)low) Motor speed n fed back by bus voltage U, MCU fed back by MCU (motor controller) with three bus voltages and bus current I collected by rack current sensoraMotor control torque M, data table (motor speed interval 5) is generated00rpm/min, control torque interval of 5N.m) at each rotation speed;
2. segmenting the control torque in each bus voltage and the motor rotating speed in a data table generated by the bench test according to 30N.m intervals;
for example: (U)midAt voltage, the motor speed is n1500rpm/min, Torque Point M1=5N.m,M2=10N.m,M3=15N.m,M4=20N.m,M5=25N.m,M630 n.m. is one segment;
②Umidunder voltage, the rotating speed of the motor is 500rpm/min, the torque points are 35N.m, 40N.m, 45N.m, 50N.m, 55N.m and 60N.m, and the section is a section;
③Umidunder voltage, the rotating speed of the motor is 1000rpm/min, the torque points are 65N.m, 70N.m, 75N.m, 80N.m, 85N.m and 90N.m, and the section is a section;
3. establishing a mathematical model expression by using a bus voltage U unit V, a motor rotating speed n unit rpm/min, an estimated bus current I unit A and a motor control torque M unit N.m:
①x=Mn/U
②I=ax2+bx+c
4. using the least squares method (
Figure BDA0002373411780000061
Minimum) separately solving a for each data torque1、b1、c1A value;
5. using a solved in step 41、b1、c1Computing
Figure BDA0002373411780000062
6. Using a genetic algorithm fitness function of
Figure BDA0002373411780000063
Solving the values a, b and c, finishing data fitting when one of the following conditions occurs, and determining a, b and c;
solving a if genetic algorithm2、b2、c2Calculating the fitness q to be less than d-1, and then a2、b2、c2The value is the solution;
② iterating 5000 times according to the genetic algorithm, if the fitness q is less than d-1, calculating a by least square method1、b1、c1The value is the solution;
7. programming MCU software, writing the expression into the software, and uploading the MCU calculation bus current to a communication network through a communication protocol;
8. and the rack retest detection rack acquires the bus current and feeds back the bus current by the MCU, corrects the c value to the extent that the error is in a reasonable range aiming at the unqualified point software, and performs rack test again until the requirement is met.
It is to be understood that the above-described embodiments of the present invention are merely illustrative of or explaining the principles of the invention and are not to be construed as limiting the invention. Therefore, any modification, equivalent replacement, improvement and the like made without departing from the spirit and scope of the present invention should be included in the protection scope of the present invention. Further, it is intended that the appended claims cover all such variations and modifications as fall within the scope and boundaries of the appended claims or the equivalents of such scope and boundaries.

Claims (7)

1. A bus current estimation method of an electric drive system of an electric automobile is characterized by comprising the following steps:
s01: acquiring the rotating speed n of a motor, the control torque M of the motor and the bus voltage U, and forming a data table and performing data segmentation;
s02: establishing a fitting function of
Figure FDA0002373411770000011
Wherein I is the estimated bus current, and a, b and c are coefficients;
s03: using least square method to solve and obtain a, b and c values, and constructing a fitness function of
Figure FDA0002373411770000012
Wherein m is the segment number, IiIs the actual bus current; calculating the fitness d by using the values a, b and c solved by a least square method according to the constructed fitness function;
s04: iterative solution of a, b and c values is carried out by adopting a genetic algorithm, the fitness q is calculated, and if the fitness q is smaller than d-k within the iteration times and k is a preset value, the a, b and c values solved by the genetic algorithm are selected to obtain a fitting function; otherwise, obtaining a fitting function by using the values a, b and c solved by the least square method;
s05: using the obtained fitting function I ═ ax2+ bx + c estimates the bus current.
2. The method for estimating bus current of an electric drive system of an electric vehicle according to claim 1, wherein the data in step S01 is segmented into data tables according to a certain motor control torque interval.
3. The method for estimating bus current of an electric drive system of an electric vehicle according to claim 1, wherein the iterative solution of values a, b and c by using a genetic algorithm in step S04 comprises:
s41: coding the parameters to obtain an initialization group P (t);
s42: calculating the fitness of each individual in the population P (t) and evaluating;
s43: and acquiring a selection operator, acting the selection operator on the population and the mutation operator to perform genetic operation, and performing iterative operation.
4. An electric drive system bus current estimation system of an electric vehicle, comprising:
the data acquisition module is used for acquiring the rotating speed n of the motor, the motor control torque M and the bus voltage U, forming a data table and carrying out data segmentation;
a model building module for building a fitting function of
Figure FDA0002373411770000013
Wherein I isEstimating bus current, wherein a, b and c are coefficients;
the operation construction module obtains values a, b and c by using a least square method to solve, and constructs a fitness function of
Figure FDA0002373411770000014
Wherein m is the segment number, IiIs the actual bus current; calculating the fitness d by using the values a, b and c solved by a least square method according to the constructed fitness function;
the operation module adopts a genetic algorithm to carry out iterative solution on values a, b and c, calculates the fitness q, and selects the values a, b and c solved by the genetic algorithm to obtain a fitting function if the fitness q is smaller than d-k within the iteration times and k is a preset value; otherwise, obtaining a fitting function by using the values a, b and c solved by the least square method;
an estimation module using the obtained fitting function I ═ ax2+ bx + c estimates the bus current.
5. The bus current estimation system of an electric drive system of an electric vehicle according to claim 4, wherein the data of the data acquisition module is segmented into the data table according to a certain motor control torque interval.
6. The bus current estimation system of the electric drive system of the electric vehicle as claimed in claim 4, wherein the calculation module iteratively solves the values a, b and c by using a genetic algorithm, and comprises:
s41: coding the parameters to obtain an initialization group P (t);
s42: calculating the fitness of each individual in the population P (t) and evaluating;
s43: and acquiring a selection operator, acting the selection operator on the population and the mutation operator to perform genetic operation, and performing iterative operation.
7. An electric drive system bus current estimation device of an electric vehicle, comprising: the method comprises a memory storing an electric vehicle electric drive system bus current estimation program and a processor for running the electric vehicle electric drive system bus current estimation program, wherein the electric vehicle electric drive system bus current estimation program is configured to realize the steps of the electric vehicle electric drive system bus current estimation method according to any one of claims 1 to 3.
CN202010057820.XA2020-01-192020-01-19Bus current estimation method and system for electric drive system of electric vehicleActiveCN111208345B (en)

Priority Applications (1)

Application NumberPriority DateFiling DateTitle
CN202010057820.XACN111208345B (en)2020-01-192020-01-19Bus current estimation method and system for electric drive system of electric vehicle

Applications Claiming Priority (1)

Application NumberPriority DateFiling DateTitle
CN202010057820.XACN111208345B (en)2020-01-192020-01-19Bus current estimation method and system for electric drive system of electric vehicle

Publications (2)

Publication NumberPublication Date
CN111208345A CN111208345A (en)2020-05-29
CN111208345Btrue CN111208345B (en)2021-12-21

Family

ID=70787374

Family Applications (1)

Application NumberTitlePriority DateFiling Date
CN202010057820.XAActiveCN111208345B (en)2020-01-192020-01-19Bus current estimation method and system for electric drive system of electric vehicle

Country Status (1)

CountryLink
CN (1)CN111208345B (en)

Families Citing this family (3)

* Cited by examiner, † Cited by third party
Publication numberPriority datePublication dateAssigneeTitle
CN111914467A (en)*2020-06-052020-11-10西安理工大学 A Method for Establishing Starlight Atmospheric Refraction Model Based on GA Algorithm
CN112193081A (en)*2020-09-292021-01-08奇瑞新能源汽车股份有限公司Motor controller bus current obtaining method
CN114465547B (en)*2022-02-232023-06-06重庆长安新能源汽车科技有限公司Method and system for estimating bus current of permanent magnet synchronous motor for vehicle

Citations (9)

* Cited by examiner, † Cited by third party
Publication numberPriority datePublication dateAssigneeTitle
CN102736094A (en)*2012-06-192012-10-17哈尔滨工程大学Adaptive genetic algorithm-based single-frequency GNSS (Global Navigation Satellite System) integer ambiguity acquisition method
CN104951834A (en)*2015-06-242015-09-30上海大学LSSVM (least squares support vector machine) wind speed forecasting method based on integration of GA (genetic algorithm) and PSO (particle swarm optimization)
CN106953577A (en)*2017-03-202017-07-14福州大学 A Parameter Identification Method of Asynchronous Motor Based on Improved Particle Swarm Optimization Algorithm
CN107065524A (en)*2017-01-202017-08-18东南大学A kind of servo-drive system frequency domain identification system and discrimination method
CN107733312A (en)*2017-10-232018-02-23北京新能源汽车股份有限公司Motor controller, direct current bus current detection method and device thereof and electric automobile
CN107719187A (en)*2017-09-302018-02-23合肥巨动力系统有限公司A kind of method that electric drive system for electric vehicles moment of torsion control improves torque precision
CN108627688A (en)*2018-08-032018-10-09长春七角星科技发展有限公司A kind of electric vehicle high voltage bus monitoring device and monitoring method
CN109167545A (en)*2018-09-142019-01-08新疆大学Magneto alternator magnetic linkage on-line identification method and system
CN110398219A (en)*2019-08-052019-11-01安徽工业大学 A Parameter Calibration Method for Articulated Arm Coordinate Measuring Machine Based on Hybrid Optimization Algorithm

Family Cites Families (1)

* Cited by examiner, † Cited by third party
Publication numberPriority datePublication dateAssigneeTitle
US10983514B2 (en)*2016-05-092021-04-20Strong Force Iot Portfolio 2016, LlcMethods and systems for equipment monitoring in an Internet of Things mining environment

Patent Citations (9)

* Cited by examiner, † Cited by third party
Publication numberPriority datePublication dateAssigneeTitle
CN102736094A (en)*2012-06-192012-10-17哈尔滨工程大学Adaptive genetic algorithm-based single-frequency GNSS (Global Navigation Satellite System) integer ambiguity acquisition method
CN104951834A (en)*2015-06-242015-09-30上海大学LSSVM (least squares support vector machine) wind speed forecasting method based on integration of GA (genetic algorithm) and PSO (particle swarm optimization)
CN107065524A (en)*2017-01-202017-08-18东南大学A kind of servo-drive system frequency domain identification system and discrimination method
CN106953577A (en)*2017-03-202017-07-14福州大学 A Parameter Identification Method of Asynchronous Motor Based on Improved Particle Swarm Optimization Algorithm
CN107719187A (en)*2017-09-302018-02-23合肥巨动力系统有限公司A kind of method that electric drive system for electric vehicles moment of torsion control improves torque precision
CN107733312A (en)*2017-10-232018-02-23北京新能源汽车股份有限公司Motor controller, direct current bus current detection method and device thereof and electric automobile
CN108627688A (en)*2018-08-032018-10-09长春七角星科技发展有限公司A kind of electric vehicle high voltage bus monitoring device and monitoring method
CN109167545A (en)*2018-09-142019-01-08新疆大学Magneto alternator magnetic linkage on-line identification method and system
CN110398219A (en)*2019-08-052019-11-01安徽工业大学 A Parameter Calibration Method for Articulated Arm Coordinate Measuring Machine Based on Hybrid Optimization Algorithm

Non-Patent Citations (1)

* Cited by examiner, † Cited by third party
Title
基于改进遗传算法的系统参数辨识;孙磊 等;《科学技术与工程》;20111130;第8199-8202页*

Also Published As

Publication numberPublication date
CN111208345A (en)2020-05-29

Similar Documents

PublicationPublication DateTitle
CN111208345B (en)Bus current estimation method and system for electric drive system of electric vehicle
Zerdali et al.The comparisons of optimized extended Kalman filters for speed-sensorless control of induction motors
Jafarzadeh et al.State estimation of induction motor drives using the unscented Kalman filter
JP5330438B2 (en) Abnormality diagnosis apparatus and method, and computer program
JP5490151B2 (en) Method, apparatus and computer program for determining position information of rotor axis of rotor of electric machine
US20040257452A1 (en)Recursive least squares approach to calculate motion parameters for a moving camera
Verma et al.Neural speed–torque estimator for induction motors in the presence of measurement noise
CN110383093A (en) Method for monitoring electromagnetic actuator type devices
CN111626000B (en)Bridge state evaluation method, device, equipment and storage medium
JP2016118419A (en)Vibration analysis device and program for rotary machine
CN106849801B (en) A Speed Estimation Method of Bearingless Asynchronous Motor
CN109270455B (en) Condition monitoring method of induction motor based on weakly sensitive ensemble Kalman filter
CN118567953B (en)Method, device, program product and medium for determining power consumption of device
CN118278278B (en) Synchronous motor piece-by-piece qualification system
CN118776550A (en) Method and device for processing three-dimensional point cloud data
CN111376793A (en)Method, apparatus and computer readable medium for managing battery
US10746631B2 (en)Method and apparatus for estimating parameters of a DC machine by least-squares method
CN117895529A (en) Frequency response analysis method based on equivalent inertia characterization model of wind turbine
JP2016023818A (en) Air conditioner operation detection method and system
CN114397573A (en)Electromechanical servo system detection method
CN106301107B (en) A method for estimating rotor position for static variable frequency starting of pumped-storage units
Janiszewski et al.Kalman filter sensor fusion for multi-head position encoder
CN115564839B (en) Visual positioning method, computer storage medium and computer program product
US12235615B2 (en)System and method for static auto-tuning electric motor
Wenqiang et al.A new algorithm for flux and speed estimation in induction machine

Legal Events

DateCodeTitleDescription
PB01Publication
PB01Publication
SE01Entry into force of request for substantive examination
SE01Entry into force of request for substantive examination
GR01Patent grant
GR01Patent grant
EE01Entry into force of recordation of patent licensing contract

Application publication date:20200529

Assignee:JEE AUTOMATION EQUIPMENT (SHANGHAI) Co.,Ltd.

Assignor:HEFEI JUYI POWER SYSTEM Co.,Ltd.

Contract record no.:X2023980032820

Denomination of invention:Bus current estimation method and system for electric drive system of electric vehicle

Granted publication date:20211221

License type:Common License

Record date:20230223

EE01Entry into force of recordation of patent licensing contract

[8]ページ先頭

©2009-2025 Movatter.jp