Movatterモバイル変換


[0]ホーム

URL:


CN111203877B - Climbing building waste sorting robot system, control method, device and medium - Google Patents

Climbing building waste sorting robot system, control method, device and medium
Download PDF

Info

Publication number
CN111203877B
CN111203877BCN202010029832.1ACN202010029832ACN111203877BCN 111203877 BCN111203877 BCN 111203877BCN 202010029832 ACN202010029832 ACN 202010029832ACN 111203877 BCN111203877 BCN 111203877B
Authority
CN
China
Prior art keywords
construction waste
climbing
sorting robot
robot
image data
Prior art date
Legal status (The legal status is an assumption and is not a legal conclusion. Google has not performed a legal analysis and makes no representation as to the accuracy of the status listed.)
Active
Application number
CN202010029832.1A
Other languages
Chinese (zh)
Other versions
CN111203877A (en
Inventor
刘景矿
陈旖旋
王东
王学通
朱健
Current Assignee (The listed assignees may be inaccurate. Google has not performed a legal analysis and makes no representation or warranty as to the accuracy of the list.)
Guangzhou University
Original Assignee
Guangzhou University
Priority date (The priority date is an assumption and is not a legal conclusion. Google has not performed a legal analysis and makes no representation as to the accuracy of the date listed.)
Filing date
Publication date
Application filed by Guangzhou UniversityfiledCriticalGuangzhou University
Priority to CN202010029832.1ApriorityCriticalpatent/CN111203877B/en
Publication of CN111203877ApublicationCriticalpatent/CN111203877A/en
Application grantedgrantedCritical
Publication of CN111203877BpublicationCriticalpatent/CN111203877B/en
Activelegal-statusCriticalCurrent
Anticipated expirationlegal-statusCritical

Links

Images

Classifications

Landscapes

Abstract

Translated fromChinese

本发明公开了一种爬坡建筑废弃物分拣机器人系统及控制方法、装置、介质。该系统包括滚轮式移动模块、四自由度爪型机械手臂、图像检测模块、分类存储箱和控制模块。该方法采集建筑废弃物的图像数据,确定建筑废弃物的位置信息和爬坡建筑废弃物分拣机器人的运动信息;根据所述位置信息规划机器人到建筑废弃物的路径;根据运动信息确定变速信号;最终控制所述爬坡建筑废弃物分拣机器人根据所述路径信息和变速信号运行。通过使用本发明中的方法,能够提高建筑资源的回收利用率,减少建筑废弃物对环境造成的污染,且爬坡建筑废弃物分拣机器人运行可适应不同的地形,提高了灵活性与实用性。本发明可广泛应用于机器人目标检测技术领域内。

Figure 202010029832

The invention discloses a sorting robot system for climbing construction waste, a control method, a device and a medium. The system includes a roller-type moving module, a four-degree-of-freedom claw-type robotic arm, an image detection module, a sorting storage box and a control module. The method collects image data of construction waste, determines the location information of the construction waste and the motion information of the climbing construction waste sorting robot; plans the path of the robot to the construction waste according to the position information; determines the speed change signal according to the movement information and finally control the climbing construction waste sorting robot to operate according to the path information and the variable speed signal. By using the method of the present invention, the recycling rate of construction resources can be improved, the pollution caused by construction waste to the environment can be reduced, and the operation of the climbing construction waste sorting robot can adapt to different terrains, thereby improving flexibility and practicability . The invention can be widely used in the technical field of robot target detection.

Figure 202010029832

Description

Climbing building waste sorting robot system, control method, device and medium
Technical Field
The invention relates to the technical field of robot target detection, in particular to a climbing building waste sorting robot system, a control method, a control device and a medium.
Background
At present, the mode of treating the construction waste in China is mainly landfill, and the treatment mode not only causes great waste of land resources, but also causes emission of a great amount of greenhouse gases. Therefore, when faced with the difficulty of reducing construction waste from the source, attention should be directed to waste recycling. The classification of the construction waste is an important link for recycling, and although the automation technology is widely applied to the construction industry, most of the on-site construction waste cleaning and recycling work still adopts manual treatment. Some construction wastes such as nails and screws are small in volume and difficult to find during manual sorting; some construction wastes such as asphalt have irritation to skin and great harm to human body; some construction wastes such as broken bricks and tiles, waste metals and the like are easy to scratch sorting workers, so that tetanus and the like are seriously infected, and extra medical cost is brought. Therefore, the efficiency of manual treatment of construction waste is low, the cost is high, and the safety risk is large.
In the prior art, a construction sorting robot is used for identifying construction wastes of a construction site and automatically planning an action path to pick up the construction wastes, but the robot cannot be well adapted to the complex working environment of the construction site, generally only can walk on a flat road surface, and the problem of unsmooth running can occur when the robot meets a non-planar ground such as a ramp; meanwhile, the existing construction waste sorting robot faces the problems of overlong recognition process time and large calculation amount during image recognition. Therefore, it is necessary to improve it to solve the above problems.
Disclosure of Invention
The present invention aims to solve at least to some extent one of the technical problems existing in the prior art.
Therefore, an object of an embodiment of the present invention is to provide a climbing construction waste sorting robot system, which can improve the recycling rate of construction resources and reduce the environmental pollution caused by construction waste; and the applied image recognition function reduces the calculated amount and the memory space of data processing, and the robot can adapt to different terrains in operation, thereby improving the flexibility and the practicability.
Another object of the embodiments of the present invention is to provide a method for controlling a climbing construction waste sorting robot.
In order to achieve the technical purpose, the technical scheme adopted by the embodiment of the invention comprises the following steps:
in a first aspect, an embodiment of the present invention provides a climbing building waste sorting robot system, including:
the roller type moving module is used for driving the climbing construction waste sorting robot to move on the flat ground and the ramp;
the four-degree-of-freedom claw-type mechanical arm is used for picking up construction waste and putting the construction waste into a classification storage box;
the image detection module is used for acquiring image data of the construction waste, and detecting the position information of the construction waste, the category information of the construction waste and the motion information of the climbing construction waste sorting robot based on the image data;
the classified storage box is used for storing and containing the picked construction wastes;
and the control module is used for controlling the roller type moving module according to the position information of the construction waste and the motion information of the climbing construction waste sorting robot, and controlling the four-degree-of-freedom claw type mechanical arm according to the category information of the construction waste.
The embodiment of the invention provides a climbing construction waste sorting robot system, wherein a climbing construction waste sorting robot body acquires image data of construction waste on a construction site, analyzes and processes the image data through an image detection module, and further identifies the position and the category of the construction waste, so that a four-degree-of-freedom claw-shaped mechanical arm is controlled to pick up and classify the construction waste. Therefore, the climbing construction waste sorting robot system can improve the recycling rate of construction resources, reduce the pollution of construction waste to the environment and has good ecological benefit. Meanwhile, the embodiment of the invention also obtains the motion information of the climbing construction waste sorting robot through the image detection module, and controls the rotating speed of the motor in the roller type moving module based on the motion state of the climbing construction waste sorting robot, so that the climbing construction waste sorting robot can not only travel on the flat ground, but also climb, and the flexibility and the practicability of the climbing construction waste sorting robot for sorting the construction waste are improved.
In addition, the climbing construction waste sorting robot system according to the above embodiment of the present invention may further have the following additional technical features:
further, in one embodiment of the present invention, the roller type moving module includes:
the chassis support is used for bearing the four-degree-of-freedom claw-shaped mechanical arm, the image detection module, the classification storage box and the control module;
the omnidirectional wheel is arranged below the chassis support and used for realizing the movement of the climbing construction waste sorting robot on the flat ground and the ramp;
and the motor is used for receiving a control instruction of the control module and driving the omnidirectional wheel to move.
In a second aspect, an embodiment of the present invention provides a method for controlling a climbing building waste sorting robot, including the following steps:
collecting image data of construction waste;
determining position information of the construction waste and motion information of a climbing construction waste sorting robot based on the image data;
planning a path from the climbing construction waste sorting robot to the construction waste according to the position information of the construction waste to obtain path information;
determining a speed change signal according to the motion information of the climbing construction waste sorting robot;
and controlling the climbing construction waste sorting robot to operate according to the path information and the speed change signal.
By adopting the technical scheme, the climbing construction waste sorting robot can automatically plan moving path data based on the position of construction waste, reduce the repetition rate of the moving path of the climbing construction waste sorting robot, enlarge the path coverage rate in the process of picking up construction waste and improve the working efficiency of the climbing construction waste sorting robot; the speed change signal is determined through the motion information of the climbing construction waste sorting robot, so that the climbing construction waste sorting robot can correspondingly adjust the running speed of the motor according to different terrain conditions, and the climbing construction waste sorting robot is better suitable for flat ground and slopes of a construction site.
In addition, the climbing construction waste sorting robot system according to the above embodiment of the present invention may further have the following additional technical features:
further, in an embodiment of the present invention, the step of determining the motion information of the climbing construction waste sorting robot specifically includes:
extracting characteristic points in the image data by a principal component analysis method;
and determining the displacement of the characteristic points in the two adjacent frames of image data, and taking the displacement as the motion information of the climbing construction waste sorting robot.
Further, in an embodiment of the present invention, the step of determining a speed change signal according to the movement information of the climbing construction waste sorting robot specifically includes:
based on the motion information, a PWM control signal is generated as a speed change signal by a PID regulator.
Further, in one embodiment of the present invention, the method further comprises the steps of:
determining category information of the construction waste based on the image data;
and controlling the climbing construction waste sorting robot to classify and place the construction waste according to the category information.
By adopting the technical scheme, the climbing construction waste sorting robot acquires the image data of the construction waste on the construction site, and identifies the category of the construction waste based on the image data, so that the mechanical arm is controlled to classify the construction waste, and the efficiency of resource recycling is improved.
Further, in an embodiment of the present invention, the step of determining the category information of the construction waste based on the image data specifically includes:
acquiring a pre-established matching template set, wherein each matching template in the matching template set carries a category label;
determining a difference index value of each matching template and the image data gray value;
and taking the category label carried by the matching template with the minimum difference index value as the category information of the construction waste.
Further, in one embodiment of the present invention, the method further comprises the steps of:
and optimizing and updating each matching template in the matching template set through a genetic algorithm.
In a third aspect, an embodiment of the present invention provides a control device for a climbing construction waste sorting robot, including:
at least one processor;
at least one memory for storing at least one program;
when the at least one program is executed by the at least one processor, the at least one program causes the at least one processor to implement the climbing construction waste sorting robot control method.
In a fourth aspect, the embodiment of the present invention further provides a storage medium, in which processor-executable instructions are stored, and when the processor-executable instructions are executed by a processor, the processor-executable instructions are used for implementing the climbing construction waste sorting robot control method.
Advantages and benefits of the present invention will be set forth in part in the description which follows and, in part, will be obvious from the description, or may be learned by practice of the invention:
the embodiment of the invention comprises a climbing construction waste sorting robot system and a control method thereof, and the climbing construction waste sorting robot can improve the recovery utilization rate of construction resources, reduce the pollution of construction waste to the environment and has strong practical significance; moreover, the image recognition function of the climbing construction waste sorting robot is optimized and improved, the calculated amount and the storage amount of image data processing are reduced, and an accurate image recognition result can be obtained; can guarantee that the robot can not only go on the level land, can also climb, improve the flexibility and the practicality of robot letter sorting building discarded object.
Drawings
In order to more clearly illustrate the embodiments of the present invention or the technical solutions in the prior art, the following description is made on the drawings of the embodiments of the present invention or the related technical solutions in the prior art, and it should be understood that the drawings in the following description are only for convenience and clarity of describing some embodiments in the technical solutions of the present invention, and it is obvious for those skilled in the art that other drawings can be obtained according to these drawings without creative efforts.
FIG. 1 is a block diagram of an embodiment of a climbing construction waste sorting robot system according to the present invention;
FIG. 2 is a schematic flow chart of a method for controlling a climbing construction waste sorting robot according to an embodiment of the present invention;
fig. 3 is a schematic structural diagram of a control device of a climbing construction waste sorting robot according to an embodiment of the present invention.
Detailed Description
Reference will now be made in detail to embodiments of the present invention, examples of which are illustrated in the accompanying drawings, wherein like or similar reference numerals refer to the same or similar elements or elements having the same or similar function throughout. The embodiments described below with reference to the accompanying drawings are illustrative only for the purpose of explaining the present invention, and are not to be construed as limiting the present invention. The step numbers in the following embodiments are provided only for convenience of illustration, the order between the steps is not limited at all, and the execution order of each step in the embodiments can be adapted according to the understanding of those skilled in the art.
Hereinafter, a climbing construction waste sorting robot system and a control method thereof according to an embodiment of the present invention will be described in detail with reference to the accompanying drawings, and first, a climbing construction waste sorting robot system according to an embodiment of the present invention will be described with reference to the accompanying drawings.
Referring to fig. 1, the climbing construction waste sorting robot system according to the embodiment of the present invention mainly includes:
the rollertype moving module 101 is used for driving the climbing construction waste sorting robot to move on the flat ground and the ramp;
the four-degree-of-freedom claw-typemechanical arm 102 is used for picking up construction waste and throwing the construction waste into theclassification storage box 104;
theimage detection module 103 is used for acquiring image data of the construction waste, and detecting and obtaining position information of the construction waste, category information of the construction waste and motion information of the climbing construction waste sorting robot based on the image data;
a sortingstorage box 104 for storing the picked construction waste;
and thecontrol module 105 is used for controlling the rollertype moving module 101 according to the position information of the construction waste and the motion information of the climbing construction waste sorting robot, and controlling the four-degree-of-freedom claw typemechanical arm 102 according to the type information of the construction waste.
Further as a preferred embodiment, the rollertype moving module 101 includes:
a chassis support 1011 for carrying the four-degree-of-freedom claw robot 102, theimage detection module 103, theclassification storage box 104 and thecontrol module 105;
the omnidirectional wheel 1012 is arranged below the chassis support 1011 and used for realizing the movement of the climbing construction waste sorting robot on the flat ground and the ramp;
and the motor 1013 is configured to receive a control instruction from thecontrol module 105 and drive the omnidirectional wheel 1012 to move.
In the embodiment of the invention, the climbing construction waste sorting robot system comprises a rollertype moving module 101, a four-degree-of-freedom claw-shapedmechanical arm 102, animage detection module 103, aclassification storage box 104 and acontrol module 105. The roller-type moving module 101 mainly includes a plurality of chassis brackets 1011, and the number of the chassis brackets 1011 may be plural. At least one omnidirectional wheel 1012, a four-degree-of-freedom claw-typemechanical arm 102, animage detection module 103, aclassification storage box 104 and acontrol module 105 are fixed on each chassis support 1011, and the omnidirectional wheels 1012 are connected with a motor 1013 for driving, so that the movement on the flat ground and the slope can be realized and obstacles can be avoided. The four-degree-of-freedom claw-shapedmechanical arm 102 is used for picking up construction waste on a construction site; theimage detection module 103 may include an industrial camera or a near infrared hyperspectral camera, and may acquire original image data of a construction site, identify image data of construction waste therein, perform noise reduction preprocessing on the image data, and then analyze the image data to obtain position information of the construction waste, category information of the construction waste, and motion information of the climbing construction waste sorting robot. Thesorting bin 104 is used for storing construction waste picked up by the four-degree-of-freedom claw robot 102. Thecontrol module 105 is configured to plan a motion path of the robot according to the position information of the construction waste, control the rollertype moving module 101 to perform a function of walking on a flat ground or climbing on a slope based on the motion information of the climbing construction waste sorting robot, and control the four-degree-of-freedom claw typemechanical arm 102 to place the construction waste into a corresponding position in the sortingstorage box 104 according to the category information of the construction waste. It should be understood that the construction waste in the embodiment of the present invention refers to waste generated at the construction site of a new or demolished construction project, and includes, but is not limited to, any one or more recyclable resources such as slag, concrete blocks, crushed stone, brick and tile fragments, waste mortar, slurry, asphalt blocks, waste plastics, waste metals, waste bamboo and wood. In the embodiment of the present invention, the category information of the construction waste refers to the category of each construction waste, and may be classified according to the material or the actual action thereof, for example, into different categories such as foam, brick, plastic, concrete, wood, and the like.
The following describes in detail a climbing construction waste sorting robot control method according to an embodiment of the present invention with reference to the accompanying drawings.
Referring to fig. 2, the method for controlling a climbing construction waste sorting robot in the embodiment of the present invention mainly includes the following steps:
s1: collecting image data of construction waste;
s2: determining position information of the construction waste and motion information of a climbing construction waste sorting robot based on the image data;
s3: planning a path from the climbing construction waste sorting robot to the construction waste according to the position information of the construction waste to obtain path information;
in the embodiment of the invention, based on the path information, the climbing construction waste sorting robot can move to the dumping area of the construction waste, and a four-degree-of-freedom claw-shaped mechanical arm is used for performing operations such as rotation, clamping, picking and the like, so as to pick up the construction waste on site. The embodiment of the invention can effectively improve the efficiency and safety of the construction waste recovery, is beneficial to resource recovery and environmental protection, simultaneously reduces the possible safety risk of manually sorting the construction waste in a construction site, and saves the cost.
S4: determining a speed change signal according to the motion information of the climbing construction waste sorting robot;
further, as a preferred embodiment, the step of determining the motion information of the climbing construction waste sorting robot specifically includes:
s21: extracting characteristic points in the image data by a principal component analysis method;
s22: and determining the displacement of the characteristic points in the two adjacent frames of image data, and taking the displacement as the motion information of the climbing construction waste sorting robot.
Further, in a preferred embodiment, the step of determining a speed change signal according to the motion information of the climbing construction waste sorting robot includes:
based on the motion information, a PWM control signal is generated as a speed change signal by a PID regulator.
In an embodiment of the present invention, the step of extracting feature points in the image data by a principal component analysis method specifically includes:
s211: the image data D (x, y) (image pixel quantity W × H, 1 ≦ x ≦ W, 1 ≦ y ≦ H) is expressed as n column vectors of p dimensions, i.e., D ═ χ ≦ H1,χ2,…,χn}p×n
S212: the image data D is then centered using the formula
Figure BDA0002363866660000061
Obtaining centralized image data, and marking the image data as X;
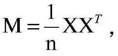
s213: determining a covariance matrix
Figure BDA0002363866660000071
X is the image data after decentralization, and M is a symmetric matrix with dimension p multiplied by p;
s214: performing eigenvalue decomposition on the covariance matrix M to obtain an eigenvalue lambda1≥λ2≥…≥λpSelecting the eigenvectors corresponding to the first k eigenvalues to form a projection matrix beta12,…βk],βiIs a p-dimensional vector;
s215: projecting the original sample image data D to a new feature space to obtain a new dimension-reduced sample, X ═ ATX and X' are p multiplied by n dimensional matrixes.
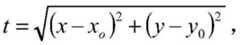
In the embodiment of the present invention, Principal Component Analysis (PCA) is used as a technique for simplifying a data set. The method is linear transformation, and the transformation transforms data into a new coordinate system, so that the speed of feature extraction can be effectively accelerated. Extracting representative characteristic points Z (x, y) based on the transformed image data, and determining the specific positions of the characteristic points Z (x, y) in the current frame image data; acquiring the last frame image data D0(x0,y0) Characteristic point Z of0(x0,y0) And its specific location; comparison of Z (x, y), Z0(x0,y0) To obtain the position change information of the feature point Z relative to Z0Amount of displacement of
Figure BDA0002363866660000072
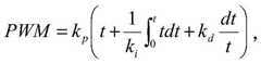
The motion information of the climbing construction waste sorting robot can be obtained, if the displacement is very small, the climbing construction waste sorting robot is in a climbing state, the power is insufficient, and the rotating speed of the motor is required to be adjusted to possibly reach a normal level. In particular, based on the motion information, i.e. feature point Z relativeAt Z0The displacement of the motor is adjusted by a PID adjusting method, the duty ratio of a PWM control signal of the motor is adjusted, and then a speed change signal is sent out to correspondingly adjust the rotating speed of the motor. The logical relationship can be expressed as:
Figure BDA0002363866660000073
wherein PWM refers to the duty ratio of the PWM control signal, kpIs a proportionality coefficient, kiIs an integral coefficient, kdThe proportional coefficient, the integral coefficient and the differential coefficient in the PID regulator can be obtained by experience and can be flexibly adjusted according to requirements.
S5: and controlling the climbing construction waste sorting robot to operate according to the path information and the speed change signal.
In the embodiment of the invention, the climbing construction waste sorting robot can automatically plan moving path data based on the position of the construction waste, reduce the repetition rate of the moving path of the climbing construction waste sorting robot, enlarge the path coverage rate in the process of picking up the construction waste and improve the working efficiency of the climbing construction waste sorting robot; the speed change signal is determined through the motion information of the climbing construction waste sorting robot, so that the climbing construction waste sorting robot can correspondingly adjust the running speed of the motor according to different terrain conditions, and the climbing construction waste sorting robot is better suitable for flat ground and slopes of a construction site.
Further as a preferred embodiment, the method further comprises the steps of:
s6: determining category information of the construction waste based on the image data;
s7: and controlling the climbing construction waste sorting robot to classify and place the construction waste according to the category information.
In the embodiment of the invention, the climbing construction waste sorting robot acquires the image data of the construction waste on the construction site, and identifies the category of the construction waste based on the image data, so that the mechanical arm is controlled to classify the construction waste, and the resource recycling efficiency is improved.
Further preferably, the step of determining the category information of the construction waste based on the image data includes:
s61: acquiring a pre-established matching template set, wherein each matching template in the matching template set carries a category label;
s62: determining a difference index value of each matching template and the image data gray value;
s63: and taking the category label carried by the matching template with the minimum difference index value as the category information of the construction waste.
In the embodiment of the invention, a plurality of matching templates are preset, the matching templates comprise image data of various types of construction wastes, and each matching template carries a category label of the construction wastes contained in the matching template.
Specifically, let the image data size of the matching template be a × b (width × height), the actually acquired image data size of the construction waste be Α × beta (width × height), the coordinates of a certain pixel point on the matching template be (x, y), and its gray value be G (x, y); the coordinates of the pixel points in the construction waste image data superposed with the coordinates are (P-x, Q-y), and the gray value of the pixel points is F (P-x, Q-y); and then continuously determining the difference index value of each point gray value between the matching template and the image data, wherein the difference index value can be obtained through a formula
Figure BDA0002363866660000081
To measure. And matching the image data of the construction waste with all the matching templates, and selecting the category label carried by the matching template with the minimum difference index value as the category information of the construction waste.
Further as a preferred embodiment, the method further comprises the steps of:
s8: and optimizing and updating each matching template in the matching template set through a genetic algorithm.
In the embodiment of the present invention, the method for performing optimization update on each matching template in the matching template set by using a genetic algorithm specifically comprises:first, an initial matching template feature point Z is giveniStarting a genetic algorithm loop; program i ← 1, with ZiConstructing an initial population for an initial parent; programming j ← 1, for j generation initial population SjGenerating a new j +1 th generation population S by using a crossover operator, a mutation operator and a selection operatorj+1(ii) a Calculating adaptation values of all individuals in the population through a fitness function, searching the individual with the minimum adaptation value from all the individuals in the current population, recording the individual as R, and enabling an initial template Z to beiIf R, Z is satisfiedi-Zi-1If [ l ] is less than [ delta ] (where [ delta ] is a predetermined, relatively small positive number), then use ZiAnd (4) exiting the genetic algorithm for the optimal solution, and otherwise, returning to the cycle again. The crossover operator, the mutation operator, the selection operator and the fitness function in the embodiment of the invention can adopt any one of the conventional modes.
Referring to fig. 3, an embodiment of the present invention provides a control device for a climbing construction waste sorting robot, including:
at least oneprocessor 201;
at least onememory 202 for storing at least one program;
when the at least one program is executed by the at least oneprocessor 201, the at least oneprocessor 201 is caused to implement the climbing construction waste sorting robot control method.
Similarly, the contents of the method embodiments are all applicable to the apparatus embodiments, the functions specifically implemented by the apparatus embodiments are the same as the method embodiments, and the beneficial effects achieved by the apparatus embodiments are also the same as the beneficial effects achieved by the method embodiments.
The embodiment of the present invention also provides a storage medium, in which instructions executable by theprocessor 201 are stored, and the instructions executable by theprocessor 201 are used for executing the climbing construction waste sorting robot control method when executed by theprocessor 201.
Similarly, the contents in the foregoing method embodiments are all applicable to this storage medium embodiment, the functions specifically implemented by this storage medium embodiment are the same as those in the foregoing method embodiments, and the advantageous effects achieved by this storage medium embodiment are also the same as those achieved by the foregoing method embodiments.
In alternative embodiments, the functions/acts noted in the block diagrams may occur out of the order noted in the operational illustrations. For example, two blocks shown in succession may, in fact, be executed substantially concurrently, or the blocks may sometimes be executed in the reverse order, depending upon the functionality/acts involved. Furthermore, the embodiments presented and described in the flow charts of the present invention are provided by way of example in order to provide a more thorough understanding of the technology. The disclosed methods are not limited to the operations and logic flows presented herein. Alternative embodiments are contemplated in which the order of various operations is changed and in which sub-operations described as part of larger operations are performed independently.
Furthermore, although the present invention is described in the context of functional modules, it should be understood that, unless otherwise stated to the contrary, one or more of the described functions and/or features may be integrated in a single physical device and/or software module, or one or more functions and/or features may be implemented in a separate physical device or software module. It will also be appreciated that a detailed discussion of the actual implementation of each module is not necessary for an understanding of the present invention. Rather, the actual implementation of the various functional modules in the apparatus disclosed herein will be understood within the ordinary skill of an engineer, given the nature, function, and internal relationship of the modules. Accordingly, those skilled in the art can, using ordinary skill, practice the invention as set forth in the claims without undue experimentation. It is also to be understood that the specific concepts disclosed are merely illustrative of and not intended to limit the scope of the invention, which is defined by the appended claims and their full scope of equivalents.
The functions, if implemented in the form of software functional units and sold or used as a stand-alone product, may be stored in a computer readable storage medium. Based on such understanding, the technical solution of the present invention may be embodied in the form of a software product, which is stored in a storage medium and includes instructions for causing a computer device (which may be a personal computer, a server, or a network device) to execute all or part of the steps of the method according to the embodiments of the present invention. And the aforementioned storage medium includes: a U-disk, a removable hard disk, a Read-Only Memory (ROM), a Random Access Memory (RAM), a magnetic disk or an optical disk, and other various media capable of storing program codes.
The logic and/or steps represented in the flowcharts or otherwise described herein, e.g., an ordered listing of executable instructions that can be considered to implement logical functions, can be embodied in any computer-readable medium for use by or in connection with an instruction execution system, apparatus, or device, such as a computer-based system, processor-containing system, or other system that can fetch the instructions from the instruction execution system, apparatus, or device and execute the instructions. For the purposes of this description, a "computer-readable medium" can be any means that can contain, store, communicate, propagate, or transport the program for use by or in connection with the instruction execution system, apparatus, or device.
More specific examples (a non-exhaustive list) of the computer-readable medium would include the following: an electrical connection (electronic device) having one or more wires, a portable computer diskette (magnetic device), a Random Access Memory (RAM), a read-only memory (ROM), an erasable programmable read-only memory (EPROM or flash memory), an optical fiber device, and a portable compact disc read-only memory (CDROM). Additionally, the computer-readable medium could even be paper or another suitable medium upon which the program is printed, as the program can be electronically captured, via for instance optical scanning of the paper or other medium, then compiled, interpreted or otherwise processed in a suitable manner if necessary, and then stored in a computer memory.
It should be understood that portions of the present invention may be implemented in hardware, software, firmware, or a combination thereof. In the above embodiments, the various steps or methods may be implemented in software or firmware stored in memory and executed by a suitable instruction execution system. For example, if implemented in hardware, as in another embodiment, any one or combination of the following techniques, which are known in the art, may be used: a discrete logic circuit having a logic gate circuit for implementing a logic function on a data signal, an application specific integrated circuit having an appropriate combinational logic gate circuit, a Programmable Gate Array (PGA), a Field Programmable Gate Array (FPGA), or the like.
In the foregoing description of the specification, reference to the description of "one embodiment/example," "another embodiment/example," or "certain embodiments/examples," etc., means that a particular feature, structure, material, or characteristic described in connection with the embodiment or example is included in at least one embodiment or example of the invention. In this specification, schematic representations of the above terms do not necessarily refer to the same embodiment or example. Furthermore, the particular features, structures, materials, or characteristics described may be combined in any suitable manner in any one or more embodiments or examples.
While embodiments of the present invention have been shown and described, it will be understood by those of ordinary skill in the art that: various changes, modifications, substitutions and alterations can be made to the embodiments without departing from the principles and spirit of the invention, the scope of which is defined by the claims and their equivalents.
While the preferred embodiments of the present invention have been illustrated and described, it will be understood by those skilled in the art that various changes in form and details may be made therein without departing from the spirit and scope of the invention as defined by the appended claims.

Claims (7)

Translated fromChinese
1.爬坡建筑废弃物分拣机器人控制方法,其特征在于,包括以下步骤:1. A method for controlling a robot for sorting construction waste on a slope, characterized in that it comprises the following steps:采集建筑废弃物的图像数据;Collect image data of construction waste;基于所述图像数据,确定所述建筑废弃物的位置信息和爬坡建筑废弃物分拣机器人的运动信息;Based on the image data, determine the location information of the construction waste and the motion information of the climbing construction waste sorting robot;根据建筑废弃物的所述位置信息,规划爬坡建筑废弃物分拣机器人到所述建筑废弃物的路径,得到路径信息;According to the location information of the construction waste, plan a path from the climbing construction waste sorting robot to the construction waste, and obtain the path information;根据爬坡建筑废弃物分拣机器人的所述运动信息,确定变速信号;Determine the speed change signal according to the motion information of the climbing construction waste sorting robot;控制所述爬坡建筑废弃物分拣机器人根据所述路径信息和变速信号运行;controlling the climbing construction waste sorting robot to operate according to the path information and the variable speed signal;其中,所述确定爬坡建筑废弃物分拣机器人的运动信息这一步骤,其具体包括:Wherein, the step of determining the motion information of the climbing construction waste sorting robot specifically includes:通过主成分分析法提取出所述图像数据中的特征点;Extract the feature points in the image data by principal component analysis;确定相邻的两帧图像数据中所述特征点的位移量,并以所述位移量作为爬坡建筑废弃物分拣机器人的运动信息。Determine the displacement of the feature points in the adjacent two frames of image data, and use the displacement as the motion information of the climbing construction waste sorting robot.2.根据权利要求1所述的爬坡建筑废弃物分拣机器人控制方法,其特征在于,所述根据爬坡建筑废弃物分拣机器人的所述运动信息,确定变速信号这一步骤,其具体包括:2 . The method for controlling a sorting robot for climbing construction wastes according to claim 1 , wherein the step of determining a variable speed signal according to the motion information of the sorting robot for construction wastes for climbing, the specific steps of which are: 2 . include:基于所述运动信息,通过PID调节器生成PWM控制信号作为变速信号。Based on the motion information, a PWM control signal is generated as a variable speed signal by a PID regulator.3.根据权利要求1-2中任一项所述的爬坡建筑废弃物分拣机器人控制方法,其特征在于,还包括以下步骤:3. The robot control method for sorting construction wastes on a slope according to any one of claims 1-2, characterized in that, further comprising the following steps:基于所述图像数据,确定所述建筑废弃物的类别信息;determining category information of the construction waste based on the image data;控制所述爬坡建筑废弃物分拣机器人将建筑废弃物按照所述类别信息进行分类放置。Controlling the climbing construction waste sorting robot to classify and place construction wastes according to the category information.4.根据权利要求3所述的爬坡建筑废弃物分拣机器人控制方法,其特征在于,所述基于所述图像数据,确定所述建筑废弃物的类别信息这一步骤,其具体包括:4 . The method for controlling a sorting robot for climbing construction waste according to claim 3 , wherein the step of determining the category information of the construction waste based on the image data specifically comprises: 5 .获取预先建立的匹配模板集,所述匹配模板集中的各个匹配模板携带有类别标签;obtaining a pre-established set of matching templates, where each matching template in the set of matching templates carries a category label;确定各个所述匹配模板与所述图像数据灰度值的差异指标值;Determine the difference index value between each of the matching templates and the gray value of the image data;将差异指标值最小的匹配模板所携带的类别标签作为所述建筑废弃物的类别信息。The category label carried by the matching template with the smallest difference index value is used as category information of the construction waste.5.根据权利要求4所述的爬坡建筑废弃物分拣机器人控制方法,其特征在于,还包括以下步骤:5. The control method for a sorting robot for climbing construction waste according to claim 4, further comprising the following steps:通过遗传算法对所述匹配模板集中的各个匹配模板进行优化更新。Each matching template in the matching template set is optimized and updated by genetic algorithm.6.爬坡建筑废弃物分拣机器人控制装置,其特征在于,包括:6. A robot control device for sorting construction wastes on a slope, characterized in that it includes:至少一个处理器;at least one processor;至少一个存储器,用于存储至少一个程序;at least one memory for storing at least one program;当所述至少一个程序被所述至少一个处理器执行,使得所述至少一个处理器实现如权利要求1-5任一项所述的爬坡建筑废弃物分拣机器人控制方法。When the at least one program is executed by the at least one processor, the at least one processor implements the control method for a robot for sorting construction wastes uphill according to any one of claims 1-5.7.一种介质,其中存储有处理器可执行的指令,其特征在于:所述处理器可执行的指令在由处理器执行时用于实现如权利要求1-5中任一项所述的爬坡建筑废弃物分拣机器人控制方法。7. A medium in which processor-executable instructions are stored, wherein the processor-executable instructions, when executed by the processor, are used to implement the method according to any one of claims 1-5. Control method of a climbing construction waste sorting robot.
CN202010029832.1A2020-01-132020-01-13Climbing building waste sorting robot system, control method, device and mediumActiveCN111203877B (en)

Priority Applications (1)

Application NumberPriority DateFiling DateTitle
CN202010029832.1ACN111203877B (en)2020-01-132020-01-13Climbing building waste sorting robot system, control method, device and medium

Applications Claiming Priority (1)

Application NumberPriority DateFiling DateTitle
CN202010029832.1ACN111203877B (en)2020-01-132020-01-13Climbing building waste sorting robot system, control method, device and medium

Publications (2)

Publication NumberPublication Date
CN111203877A CN111203877A (en)2020-05-29
CN111203877Btrue CN111203877B (en)2021-12-28

Family

ID=70784241

Family Applications (1)

Application NumberTitlePriority DateFiling Date
CN202010029832.1AActiveCN111203877B (en)2020-01-132020-01-13Climbing building waste sorting robot system, control method, device and medium

Country Status (1)

CountryLink
CN (1)CN111203877B (en)

Families Citing this family (3)

* Cited by examiner, † Cited by third party
Publication numberPriority datePublication dateAssigneeTitle
EP4016212A1 (en)*2020-12-172022-06-22Hilti AktiengesellschaftMachine tool system and method of controlling a mobile machine tool
CN113743408A (en)*2021-11-022021-12-03阿里巴巴达摩院(杭州)科技有限公司Waste treatment method, waste treatment device, storage medium, processor, and electronic apparatus
CN115049860B (en)*2022-06-142023-02-28广东天太机器人有限公司System based on feature point identification and capturing method

Family Cites Families (10)

* Cited by examiner, † Cited by third party
Publication numberPriority datePublication dateAssigneeTitle
US6949384B2 (en)*2001-12-212005-09-27Spectromedical Inc.Method for monitoring degradation of Hb-based blood substitutes
KR100966875B1 (en)*2006-09-262010-06-29삼성전자주식회사 Robot positioning using omnidirectional image
JP5035524B2 (en)*2007-04-262012-09-26花王株式会社 Facial image composition method and composition apparatus
CN102073848A (en)*2010-12-312011-05-25深圳市永达电子股份有限公司Intelligent optimization-based road recognition system and method
CN102169581A (en)*2011-04-182011-08-31北京航空航天大学Feature vector-based fast and high-precision robustness matching method
CN102610055B (en)*2011-12-192014-04-16大连海事大学Wireless intelligent alarming system for automatically monitoring multivariate information of tunnel
CN204056041U (en)*2014-07-102014-12-31西南交通大学Climbing robot omni-directional wheel chassis
CN109241985B (en)*2017-07-112021-05-25普天信息技术有限公司 An image recognition method and device
CN108791637A (en)*2018-06-252018-11-13桂林电子科技大学Intelligent trunk type electric vehicle
CN110497419A (en)*2019-07-152019-11-26广州大学 Construction waste sorting robot

Also Published As

Publication numberPublication date
CN111203877A (en)2020-05-29

Similar Documents

PublicationPublication DateTitle
CN111203877B (en)Climbing building waste sorting robot system, control method, device and medium
Wang et al.Construction waste recycling robot for nails and screws: Computer vision technology and neural network approach
CN107861508B (en) A method and device for local motion planning of a mobile robot
Wang et al.Intelligent spraying robot for building walls with mobility and perception
Pratihar et al.Optimal path and gait generations simultaneously of a six-legged robot using a GA-fuzzy approach
WO2016044263A1 (en)Method for developing machine operation classifier using machine learning
CN107741743A (en) Improved graph-optimized SLAM method
CN119036478A (en)Construction site waste management method and system
Gaudiano et al.An unsupervised neural network for low-level control of a wheeled mobile robot: noise resistance, stability, and hardware implementation
CN116753960B (en)Intelligent indoor actual measurement real quantity acquisition method and system based on BIM-mechanical dog
CN106327514A (en)Path-finding robot system and path-finding method based on genetic algorithm
Lu et al.Excavation learning for rigid objects in clutter
Austin et al.Navigation for legged mobility: dynamic climbing
Zhang et al.Analysis of robot traversability over unstructured terrain using information fusion
Xu et al.Research on garbage detection and classification based on YOLOv8
Tan et al.Rebar-tying Robot based on machine vision and coverage path planning
Yan et al.An improved robot path planning algorithm
Arulmozhi et al.Comparison of YOLO and Faster R‐CNN on Garbage Detection
CN118276572A (en)Logistics transfer robot path planning method and system based on ROS
CN111444838A (en)Robot ground environment sensing method
Sójka et al.Learning an efficient terrain representation for haptic localization of a legged robot
Dibachi et al.Teaching a robot to walk using reinforcement learning
Larson et al.Terrain classification through weakly-structured vehicle/terrain interaction
Zhang et al.Automatic regrouping of trajectories based on classification and regression tree
WangThe development and evaluation of an on-site construction and demolition waste recycling robot

Legal Events

DateCodeTitleDescription
PB01Publication
PB01Publication
SE01Entry into force of request for substantive examination
SE01Entry into force of request for substantive examination
GR01Patent grant
GR01Patent grant

[8]ページ先頭

©2009-2025 Movatter.jp