




技术领域technical field
本申请涉及无线通信技术领域,具体涉及一种基于智能反射面的多小区无线通信方法。The present application relates to the technical field of wireless communication, and in particular, to a multi-cell wireless communication method based on an intelligent reflective surface.
背景技术Background technique
在新兴的物联网以及人工智能应用的爆炸式增长的推动下,第五代(5G)及以上的移动蜂窝网络需要满足各种严格的通信要求,从而能够服务于大量的无线设备。为此,基站被密集地部署来缩短与用户终端之间的距离,设备到设备(Device-to-Device,D2D)通信使传统蜂窝网络传输能够提供更多频谱复用机会。然而,多基站的出现以及5G及以上蜂窝网络中存在的D2D通信也会对系统用户终端引入严重的信号干扰,这是一个急需处理的问题。Driven by the emerging Internet of Things and the explosion of artificial intelligence applications, fifth-generation (5G) and beyond mobile cellular networks need to meet a variety of stringent communication requirements to be able to serve a large number of wireless devices. To this end, base stations are densely deployed to shorten the distance from user terminals, and Device-to-Device (D2D) communication enables traditional cellular network transmissions to provide more spectrum reuse opportunities. However, the emergence of multiple base stations and the D2D communication existing in 5G and above cellular networks will also introduce severe signal interference to system user terminals, which is an urgent problem that needs to be addressed.
传统的解决方案是利用多输入多输出以及小区间协作波束成形技术。多输入多输出是指在发射机和接收机处配置多根天线,在空间上形成多个并行传输信道,提高信道的容量,而不会降低频谱利用率。小区间协作波束成形是指多天线协作基站共享各自的信道状态信息,然后集中计算最优的波束成形,使信号在空间上相互分离,让不同小区间的用户终端避免相互干扰。然而,即使是利用上述技术的密集型网络也会存在诸多问题。第一,随着基站数以及发射天线数的增多,建设基站以及相应射频链路的成本也在提高。第二,由于基站与基站之间的距离缩小了,用户终端更加容易靠近小区的边缘,这使得干扰问题更加严重。第三,信号传输过程中不可避免地会有遮挡物的存在,这也导致了信号被遮挡,导致信号强度过小以及传输覆盖范围变窄等问题。The traditional solution is to utilize multiple-input multiple-output and inter-cell cooperative beamforming techniques. Multiple-input multiple-output refers to configuring multiple antennas at the transmitter and receiver to form multiple parallel transmission channels in space to increase the channel capacity without reducing spectrum utilization. Inter-cell cooperative beamforming means that multi-antenna cooperative base stations share their respective channel state information, and then centrally calculate the optimal beamforming, so that the signals are spatially separated from each other, so that user terminals in different cells can avoid mutual interference. However, even dense networks utilizing the techniques described above have problems. First, as the number of base stations and transmit antennas increases, the cost of building base stations and corresponding radio frequency links also increases. Second, as the distance between the base station and the base station is reduced, it is easier for the user terminal to approach the edge of the cell, which makes the interference problem more serious. Third, there will inevitably be obstructions in the signal transmission process, which also causes the signal to be blocked, resulting in problems such as too low signal strength and narrow transmission coverage.
发明内容SUMMARY OF THE INVENTION
本申请的目的是提供一种基于智能反射面的多小区无线通信方法,通过在多小区协作中设置智能反射面,联合优化基站处的发射波束成形以及智能反射面的反射波束成形,最大化多小区系统的最小用户终端信干噪比。The purpose of this application is to provide a multi-cell wireless communication method based on a smart reflector. By setting a smart reflector in multi-cell cooperation, and jointly optimizing the transmit beamforming at the base station and the reflected beamforming of the smart reflector, maximize the multi-cell wireless communication method. The minimum user terminal signal-to-interference-noise ratio of the cell system.
为了实现上述任务,本申请采用以下技术方案:In order to achieve the above tasks, the application adopts the following technical solutions:
一种基于智能反射面的多小区无线通信方法,该方法所针对的系统包括多个协作小区以及具有多个反射元件的智能反射面,每个所述协作小区中均具有配备多根发射天线的基站和单天线的用户终端;所述方法包括:A multi-cell wireless communication method based on an intelligent reflective surface, the system targeted by the method includes a plurality of cooperative cells and an intelligent reflective surface with a plurality of reflective elements, and each of the cooperative cells has a multi-transmitting antenna. A base station and a single-antenna user terminal; the method includes:
用户终端向各个协作小区中的基站发射导频信号,各基站通过导频信号估计信道状态信息并与智能反射面及其他基站共享;The user terminal transmits a pilot signal to the base stations in each cooperative cell, and each base station estimates the channel state information through the pilot signal and shares it with the smart reflector and other base stations;
各基站根据共享的信道状态信息获取全局信道状态信息,并制定发射波束成形模型;智能反射面根据全局信道状态信息制定反射波束成形模型,通过建模求解得到发射波束成形的系数、反射波束成形的系数,基站、智能反射面根据所述发射波束成形的系数、反射波束成形的系数,发射相应的发射波束成形和反射波束成形;Each base station obtains the global channel state information according to the shared channel state information, and formulates the transmit beamforming model; the smart reflector formulates the reflection beamforming model according to the global channel state information, and obtains the transmit beamforming coefficients and the reflection beamforming coefficients through modeling and solving. coefficient, the base station and the smart reflective surface transmit the corresponding transmit beamforming and reflected beamforming according to the transmit beamforming coefficient and the reflected beamforming coefficient;
用户终端接收发射波束成形和反射波束成形的叠加信号。The user terminal receives the transmitted beamformed and reflected beamformed superimposed signals.
进一步地,所述各基站通过导频信号估计信道状态信息,包括:Further, each base station estimates channel state information through pilot signals, including:
各基站根据接收到的导频信号,利用信道互易性来估计下行直接链路和反射链路到用户终端的信道状态信息;令表示从基站i到智能反射面的信道矩阵,和分别表示从智能反射面到用户终端i、从基站k到用户终端i的信道矢量,其中表示空间大小为M×N的复矩阵;M为基站的天线数量,N为智能反射面上的反射元件数量;Each base station uses the channel reciprocity to estimate the channel state information of the downlink direct link and the reflected link to the user terminal according to the received pilot signal; let represents the channel matrix from base station i to the smart reflector, and represent the channel vectors from the smart reflector to user terminal i and from base station k to user terminal i, respectively, where Represents a complex matrix with a space size of M×N; M is the number of antennas of the base station, and N is the number of reflective elements on the smart reflective surface;
则信道状态信息表示为fi、hi,k和Gi。Then the channel state information is denoted as fi , hi,k and Gi .
进一步地,所述各基站进行发射波束成形模型的制定过程包括:Further, the process of formulating a transmit beamforming model by each base station includes:
各基站i根据全局信道状态信息的发射波束成形设定发射信号si是服从正态分布的均值为0方差为1的随机变量,则每个基站的发射信号为表示基站的集合。Each base station i transmits beamforming according to the global channel state information Assuming that the transmitted signalsi is a random variable with a mean value of 0 and a variance of 1 obeying a normal distribution, the transmitted signal of each base station is Represents a set of base stations.
进一步地,所述反射波束成形模型的制定过程包括:Further, the formulation process of the reflected beamforming model includes:
令表示智能反射面制定的反射波束成形,其中0≤βn≤1和分别表示智能反射面上的反射元件n的反射幅度和反射相移,j表示虚数单位,ex表示以e为底的指数函数,且v中第n个元素必须满足其中|vn|表示对vn取模值。make represents the reflection beamforming formulated by the smart reflector, where0≤βn≤1 and respectively represent the reflection amplitude and reflection phase shift of the reflective element n on the smart reflective surface, j represents the imaginary unit, ex represents the exponential function with the base e, and the nth element in v must meet where |vn | represents the modulo value of vn .
进一步地,所述建模求解得到发射波束成形的系数、反射波束成形的系数,包括:Further, the modeling solution obtains the coefficient of transmit beamforming and the coefficient of reflection beamforming, including:
建立用户终端处的接收信号模型,通过把干扰当作噪声,建立用户终端的信干噪比模型,并由此建立数学优化问题,以最小信干噪比为目的,求解发射波束成形的系数和反射波束成形的系数。The received signal model at the user terminal is established, and the signal-to-interference-to-noise ratio model of the user terminal is established by considering the interference as noise, and a mathematical optimization problem is established from this. Coefficient of reflection beamforming.
进一步地,所述用户终端处的接收信号模型表示为:Further, the received signal model at the user terminal is expressed as:
其中,v表示反射波束成形,Φi,k=diag(fiH)Gk,Φi,i=diag(fiH)Gi,Gk、Gi分别表示从基站k、基站i到智能反射面的信道矩阵,fi表示从智能反射面到用户终端i的信道矢量,hi,i、hi,k分别表示从基站i到用户终端i的信道矢量、从基站k到用户终端i的信道矢量;wi、wk分别表示基站i、基站k的发射波束成形,si、sk分别表示基站i、基站k的发射信号,ni表示用户i接收到的均值为0方差为的高斯白噪声。Among them, v represents reflected beamforming, Φi,k =diag(fiH )Gk , Φi,i =diag(fiH )Gi , Gk and Girepresent the distance from base station k, base station i to The channel matrix of the smart reflector, fi represents the channel vector from the smart reflector to the user terminal i, hi,i and hi,k represent the channel vector from the base station i to the user terminal i, and from the base station k to the user terminal, respectively The channel vector of i; wi and wk represent the transmit beamforming of base station i and base station k respectively, si and sk represent the transmit signal of base station i and base station k respectively,ni means the mean value of 0 variance received by user i for Gaussian white noise.
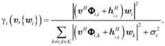
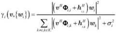
进一步地,所述用户终端的信干噪比模型,表示为:Further, the signal-to-interference-to-noise ratio model of the user terminal is expressed as:
进一步地,所述建立数学优化问题,表示为:Further, the establishment of the mathematical optimization problem is expressed as:
其中,αi表示对用户终端i的权重参数,Pi表示基站i的最大发射功率,v表示反射波束成形,vn为v中的第n个元素,wi表示基站i的发射波束成形,N为智能反射面上的反射元件数量。Among them, αi represents the weight parameter for user terminal i, Pi represents the maximum transmit power of base station i, v represents reflected beamforming, vn is the nth element in v, wi represents the transmit beamforming of base station i, N is the number of reflective elements on the smart reflective surface.
进一步地,所述数学优化问题的求解方法采用基于半定松弛的交替优化算法或基于连续凸逼近的交替优化算法。Further, the method for solving the mathematical optimization problem adopts an alternating optimization algorithm based on semidefinite relaxation or an alternating optimization algorithm based on continuous convex approximation.
进一步地,所述基站包括第一通信模块、决策模型以及波束成形模块,其中所述第一通信模块用于进行信道估计,获取来自各用户终端、其他基站和智能反射面的信道状态信息或导频信号;所述决策模块根据目前的全局信道状态信息计算发射波束成形的系数;所述波束成形控制模块根据计算的发射波束成形的系数,将发射能量集中在对应的方向,形成波束并进行发射;Further, the base station includes a first communication module, a decision model, and a beamforming module, wherein the first communication module is used to perform channel estimation, and obtain channel state information or guidance from each user terminal, other base stations, and smart reflectors. frequency signal; the decision-making module calculates the transmit beamforming coefficient according to the current global channel state information; the beamforming control module concentrates the transmit energy in the corresponding direction according to the calculated transmit beamforming coefficient, forms a beam and transmits ;
所述用户终端包括第二通信模块和处理模块,其中第二通信模块用于进行信号的接收以及发射用作信道估计的导频信号;所述处理模块用于对接收到的信号进行解码,以及获取基站发送的信息;The user terminal includes a second communication module and a processing module, wherein the second communication module is used for receiving signals and transmitting pilot signals used for channel estimation; the processing module is used for decoding the received signals, and Obtain the information sent by the base station;
所述智能反射面包括反射阵列以及控制器,其中控制器包括控制模块和第三通信模块,其中反射阵列通过在每个反射元件的微带贴片上加载电子控制电容器,从而改变每个反射元件的谐振频率,从而控制反射信号的相移与幅度;所述第三通信模块用于接收基站发送来的全局信道状态信息以及发送智能反射面当前反射系数的信息给基站;所述控制模块根据全局信道状态信息,调整每个微带贴片的电子控制电容器的电容值大小,进而控制反射波束成形的相移与幅度。The intelligent reflective surface includes a reflective array and a controller, wherein the controller includes a control module and a third communication module, wherein the reflective array changes each reflective element by loading electronically controlled capacitors on the microstrip patch of each reflective element The resonant frequency of the smart reflector can be controlled to control the phase shift and amplitude of the reflected signal; the third communication module is used to receive the global channel state information sent by the base station and send the information of the current reflection coefficient of the smart reflector to the base station; the control module according to the global Channel state information, adjust the capacitance value of the electronic control capacitor of each microstrip patch, and then control the phase shift and amplitude of reflected beamforming.
本申请具有以下技术特点:This application has the following technical features:
1.本申请在原有的多小区协作中加入了智能反射面,通过自适应调整智能反射面上的反射相移与幅度等参数,产生反射波束成形,配合基站的发射波束成形,在干扰严重的用户终端处实现干扰抑制以及信号增强。1. This application adds a smart reflective surface to the original multi-cell cooperation. By adaptively adjusting parameters such as the phase shift and amplitude of the reflection on the smart reflective surface, reflected beamforming is generated, and the transmission beamforming of the base station is coordinated. Interference suppression and signal enhancement are implemented at the user terminal.
2.利用本申请的技术方案,即使小区基站与其对应用户终端的距离较远且有遮挡物,也能获得比没有智能反射面时更高的信号增益,同时考虑了用户终端之间的公平性,通过联合优化基站的波束成形和智能反射面的反射波束成形,可以有效地降低用户终端间的相互干扰,提高无线通信传输的传输效率。2. Using the technical solution of the present application, even if the distance between the cell base station and its corresponding user terminal is long and there are obstacles, a higher signal gain can be obtained than when there is no intelligent reflective surface, and the fairness between user terminals is also considered. , By jointly optimizing the beamforming of the base station and the reflection beamforming of the intelligent reflecting surface, the mutual interference between user terminals can be effectively reduced, and the transmission efficiency of wireless communication transmission can be improved.
附图说明Description of drawings
图1为本申请的流程示意图;Fig. 1 is the schematic flow chart of this application;
图2为本申请的用户终端、基站、智能反射面所构成的系统概念图;2 is a conceptual diagram of a system formed by a user terminal, a base station, and an intelligent reflective surface of the present application;
图3为用户终端、基站、智能反射面的结构示意图;3 is a schematic structural diagram of a user terminal, a base station, and an intelligent reflective surface;
图4为用户终端对称分布时的最小信干噪比与基站的最大发射功率的关系曲线;Fig. 4 is the relation curve between the minimum signal-to-interference noise ratio and the maximum transmit power of the base station when the user terminals are symmetrically distributed;
图5为用户终端随机分布时的最小信干噪比与基站的最大发射功率的关系曲线。FIG. 5 is a relationship curve between the minimum signal-to-interference-noise ratio and the maximum transmit power of the base station when the user terminals are randomly distributed.
具体实施方式Detailed ways
在多小区系统的无线通信传输过程中,当用户终端与基站存在过多的障碍物时,信号强度衰落过大,造成低效的无线通信传输,且存在覆盖范围小,干扰严重等问题。为此,本申请提供了一种基于智能反射面的无线通信方法,该方法在用户终端附近加入一个由超材料构成的智能反射面,智能反射面是一种由大量低廉超材料反射元件构成的反射阵列,它可以在入射信号上叠加一定的相移与幅度等参数,使反射信号在用户终端接收端与直接信号进行相干叠加或抑制,具有易部署、低廉以及轻量等优点。本申请通过设置智能反射面,联合优化多天线基站的波束成形以及智能反射面的反射相移、幅度等参数,从而提高系统的用户终端信干噪比、抑制用户终端间干扰以及提高频谱效率等。In the wireless communication transmission process of the multi-cell system, when there are too many obstacles between the user terminal and the base station, the signal strength declines too much, resulting in inefficient wireless communication transmission, and there are problems such as small coverage and serious interference. To this end, the present application provides a wireless communication method based on a smart reflective surface. The method adds a smart reflective surface composed of metamaterials near the user terminal. The smart reflective surface is a kind of low-cost metamaterial reflective elements composed of Reflect array, which can superimpose certain parameters such as phase shift and amplitude on the incident signal, so that the reflected signal and the direct signal can be coherently superimposed or suppressed at the receiving end of the user terminal, which has the advantages of easy deployment, low cost and light weight. In this application, by setting up an intelligent reflector, the beamforming of the multi-antenna base station and the reflection phase shift, amplitude and other parameters of the intelligent reflector are jointly optimized, so as to improve the signal-to-interference-noise ratio of the user terminal of the system, suppress the interference between user terminals, and improve the spectral efficiency, etc. .
本申请提供了一种基于智能反射面的协作多小区无线通信方法,该方法所针对的系统包括K个协作小区以及一个有N个反射元件的智能反射面,如图1所示。定义协作小区的集合为智能反射面上反射元件的集合为其中每个协作小区都有一个配备有M根发射天线的基站和一个单天线用户终端,则基站和用户终端的集合也表示为每个基站只与本小区中对应的用户终端进行通信,智能反射面则部署在小区边缘,例如安装在距离基站较远且与用户终端有直视路径的大楼墙体上,较强的反射信号使处于遮挡物后面的用户终端也能接收到较强的信号,用来协助多小区之间基站与用户终端的通信。The present application provides a cooperative multi-cell wireless communication method based on an intelligent reflective surface. The system targeted by the method includes K cooperative cells and an intelligent reflective surface with N reflective elements, as shown in FIG. 1 . The set of cooperative cells is defined as The collection of reflective elements on the smart reflective surface is Each cooperative cell has a base station equipped with M transmit antennas and a single-antenna user terminal, then the set of base stations and user terminals is also expressed as Each base station only communicates with the corresponding user terminal in the cell, and the smart reflector is deployed at the edge of the cell, for example, on the wall of a building that is far away from the base station and has a direct line of sight with the user terminal. The user terminal behind the obstruction can also receive a strong signal, which is used to assist the communication between the base station and the user terminal between multiple cells.
参考图3,基站部分由三个模块组成,第一通信模块、决策模块以及波束成形模块。第一通信模块主要用来估计信道,获取来自各用户终端、其他基站和智能反射面的信道状态信息或导频信号。决策模块根据目前全局的信道状态信息计算发射波束成形系数;波束成形控制模块根据计算的波束成形的具体数值,将发射能量集中在对应的方向,形成波束并进行发射。Referring to FIG. 3 , the base station part consists of three modules, a first communication module, a decision module and a beamforming module. The first communication module is mainly used to estimate the channel, and obtain channel state information or pilot signals from each user terminal, other base stations and the smart reflector. The decision-making module calculates the transmit beamforming coefficient according to the current global channel state information; the beamforming control module concentrates the transmit energy in the corresponding direction according to the calculated specific value of the beamforming, forms a beam and transmits it.
用户终端部分则由第二通信模块以及处理模块组成。第二通信模块主要用于信号的接收以及发射用作信道估计的导频信号;处理模块对接收到的信号进行解码等后续操作,获取基站发送过来的信息。The user terminal part is composed of a second communication module and a processing module. The second communication module is mainly used for signal reception and transmission of pilot signals used for channel estimation; the processing module performs subsequent operations such as decoding the received signal to obtain the information sent by the base station.
智能反射面包括反射阵列以及控制器,其中控制器包括控制模块和第三通信模块。其中反射阵列由大量价格低廉的印刷偶极子、微带贴片或其它超材料反射元件和基底组成。反射阵列通过在每个反射元件的微带贴片上加载电子控制电容器,改变每个反射元件的谐振频率,从而控制反射信号的相移与幅度;第三通信模块用于接收基站发送过来的全局信道状态信息以及发送智能反射面当前反射系数的信息给基站;控制模块根据全局信道状态信息,调整每个微带贴片的电子控制电容器的电容值大小,进而控制反射波束成形的相移与幅度。The intelligent reflective surface includes a reflective array and a controller, wherein the controller includes a control module and a third communication module. The reflective arrays consist of a large number of inexpensive printed dipoles, microstrip patches or other metamaterial reflective elements and substrates. The reflective array controls the phase shift and amplitude of the reflected signal by loading electronically controlled capacitors on the microstrip patch of each reflective element to change the resonant frequency of each reflective element; the third communication module is used to receive the global signal sent by the base station. The channel state information and the information of the current reflection coefficient of the smart reflector are sent to the base station; the control module adjusts the capacitance value of the electronically controlled capacitor of each microstrip patch according to the global channel state information, and then controls the phase shift and amplitude of the reflected beamforming .
在上述系统的基础上,参考图1,本申请的一种基于智能反射面的多小区无线通信方法,步骤如下:On the basis of the above system, with reference to FIG. 1 , a multi-cell wireless communication method based on an intelligent reflective surface of the present application, the steps are as follows:
步骤1,用户终端向各协作小区中的基站发射导频信号Step 1, the user terminal transmits pilot signals to the base stations in each cooperating cell
所述导频信号用于基站进行信道估计,当用户终端需要与基站进行通信时,向各个协作小区中的基站发射导频信号。通过发射导频信号,使各基站能够事实获取信道状态信息,从而为后续的发射和反射波束成形的制定提供了必要的信道信息。The pilot signal is used for channel estimation by the base station, and when the user terminal needs to communicate with the base station, the pilot signal is transmitted to the base stations in each cooperative cell. By transmitting pilot signals, each base station can actually acquire channel state information, thereby providing necessary channel information for the formulation of subsequent transmit and reflected beamforming.
在本实施例中,给出了一个具体的应用示例,参见图1,在该示例中,包含3个小区,每个小区有一个基站和一个用户终端。如某一个用户终端需要从基站获取信息,则用户终端需要通过第二通信模块向各基站发射导频信号,然后等待对应基站估计完信道后,根据信道状态信息发射信息。In this embodiment, a specific application example is given, see FIG. 1 , in this example, three cells are included, and each cell has one base station and one user terminal. If a certain user terminal needs to obtain information from the base station, the user terminal needs to transmit pilot signals to each base station through the second communication module, and then wait for the corresponding base station to estimate the channel, and then transmit information according to the channel state information.
步骤2,各基站通过导频信号估计信道状态信息并与智能反射面及其他基站共享。
各基站根据接收到的导频信号,利用信道互易性来估计下行直接链路和反射链路到用户终端的信道状态信息,这里假设各基站能完美估计出实际的信道。Each base station uses the channel reciprocity to estimate the channel state information of the downlink direct link and the reflected link to the user terminal according to the received pilot signal. Here, it is assumed that each base station can perfectly estimate the actual channel.
令表示从基站i到智能反射面的信道矩阵,和分别表示从智能反射面到用户终端i、从基站k到用户终端i的信道矢量,其中表示空间大小为M×N的复矩阵;为了便于说明,在同一个协作小区中,该协作小区内的基站、用户终端,以及该协作小区均用同一个参数表示,例如i或者k,即用户终端i、基站i是位于协作小区i内的用户终端和基站,make represents the channel matrix from base station i to the smart reflector, and represent the channel vectors from the smart reflector to user terminal i and from base station k to user terminal i, respectively, where Represents a complex matrix with a spatial size of M×N; for the convenience of description, in the same cooperative cell, the base station, user terminal in the cooperative cell, and the cooperative cell are all represented by the same parameter, such as i or k, that is, the user Terminal i and base station i are user terminals and base stations located in cooperative cell i,
各基站得到信道状态信息后,将自身信道状态信息以及当前的发射波束成形的系数信息通过第一通信模块与智能反射面以及其他基站进行共享。具体方法是基站的第一通信模块与智能反射面的第三通信模块、其他基站的第一通信模块进行无线通信,实现信道状态信息的交换。在本申请给出的示例中,信道状态信息表示为fi、hi,k和Gi,After each base station obtains the channel state information, it shares its own channel state information and current transmit beamforming coefficient information with the smart reflector and other base stations through the first communication module. The specific method is that the first communication module of the base station performs wireless communication with the third communication module of the intelligent reflective surface and the first communication modules of other base stations to realize the exchange of channel state information. In the example given in this application, the channel state information is denoted as fi , hi,k and Gi ,
步骤3,各基站根据共享的信道状态信息获取全局信道状态信息,并制定发射波束成形模型。Step 3, each base station acquires global channel state information according to the shared channel state information, and formulates a transmit beamforming model.
各基站进行信道状态信息的共享之后,获得全局信道状态信息。随后,各基站i的决策模块根据全局信道状态信息的发射波束成形并假设发射信号si是服从正态分布的均值为0方差为1的随机变量,则每个基站的发射信号为这里设定每个基站都存在最大的发射功率Pi,即其中表示统计期望;各基站发射制定的波束成形,而不同的波束成形将使不同用户终端收到的信号强度不同。After each base station shares the channel state information, the global channel state information is obtained. Subsequently, the decision module of each base station i transmits beamforming according to the global channel state information And assuming that the transmitted signalsi is a random variable with a mean value of 0 and a variance of 1 obeying a normal distribution, the transmitted signal of each base station is Here, it is assumed that each base station has the maximum transmit power Pi , that is, in Represents statistical expectations; each base station transmits the specified beamforming, and different beamforming will cause different signal strengths received by different user terminals.
步骤4,智能反射面根据全局信道状态信息制定反射波束成形模型。Step 4, the smart reflector formulates a reflected beamforming model according to the global channel state information.
智能反射面通过第三通信模块接收获得基站发送的全局信道状态信息以及各基站的发射波束成形的矢量信息后,自适应调整反射元件上的反射相移、幅度等参数,从而制定不同的反射波束成形模型,具体如下:After the intelligent reflector receives the global channel state information sent by the base station and the vector information of the transmit beamforming of each base station through the third communication module, it adaptively adjusts the reflection phase shift, amplitude and other parameters on the reflecting element, so as to formulate different reflected beams The forming model is as follows:
令表示智能反射面的控制模块制定的反射波束成形,其中0≤βn≤1和分别表示反射元件n的反射幅度和反射相移,j表示虚数单位,ex表示以e为底的指数函数,且v中第n个元素必须满足其中|vn|表示对vn取模值。这里上标H表示矢量或矩阵的共轭转置。make Represents the reflection beamforming formulated by the control module of the smart reflector, where0≤βn≤1 and represent the reflection amplitude and reflection phase shift of the reflective element n, respectively, j represents the imaginary unit, ex represents the exponential function with base e, and the nth element in v must meet where |vn | represents the modulo value of vn . Here the superscript H denotes the conjugate transpose of a vector or matrix.
因此,从基站k到用户终端i的反射信道为vHdiag(fiH)Gk=vHΦi,k,这里Φi,k=diag(fiH)Gk,Gk表示从基站k到智能反射面的信道矩阵;diag(x)表示对角元素为x的对应元素的对角矩阵。Therefore, the reflection channel from the base station k to the user terminal i is vH diag(fiH )Gk =vH Φi,k , where Φi,k =diag(fiH )Gk , Gk represents from The channel matrix from the base station k to the smart reflector; diag(x) represents the diagonal matrix whose diagonal element is the corresponding element of x.
下文中,参数的不同下标表示该参数对应不同的用户终端或基站,例如hi,k表示从基站k到用户终端i的信道矢量,那么hi,i则表示从基站i到用户终端i的信道矢量;Gk表示从基站k到智能反射面的信道矩阵,则Gi表示从基站i到智能反射面的信道矩阵等,下文对更换下标的参数不再重复解释。In the following, different subscripts of the parameters indicate that the parameters correspond to different user terminals or base stations. For example, hi,k indicates the channel vector from base station k to user terminal i, then hi,i indicates from base station i to user terminal i. The channel vector; Gk represents the channel matrix from base station k to the smart reflector, then Gi represents the channel matrix from base station i to the smart reflector, etc. The parameters for changing subscripts will not be explained again below.
步骤5,建模求解得到发射波束成形的系数、反射波束成形的系数,基站、智能反射面根据所述发射波束成形的系数、反射波束成形的系数,发射相应的发射波束成形和反射波束成形。Step 5: Model and solve to obtain transmit beamforming coefficients and reflection beamforming coefficients. The base station and the smart reflector transmit corresponding transmit beamforming and reflected beamforming according to the transmit beamforming coefficients and reflected beamforming coefficients.
该步骤中,通过结合步骤3和步骤4建立的发射波束成形模型和反射波束成形模型,在基站的决策模块以及智能反射面的控制模块将以最大化系统中所有用户终端的最小信干噪比为目的,求解相应的发射波束成形的系数和反射波束成形的系数。In this step, by combining the transmit beamforming model and the reflection beamforming model established in step 3 and step 4, the decision-making module of the base station and the control module of the smart reflector will maximize the minimum signal-to-interference-noise ratio of all user terminals in the system. For this purpose, the corresponding transmit beamforming coefficients and reflection beamforming coefficients are solved.
首先,建立用户终端i处的接收信号模型:First, establish the received signal model at user terminal i:
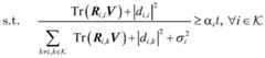
其中ni表示用户i接收到的均值为0方差为的高斯白噪声。上式第二项为来自其他协作小区的干扰,通过把干扰当作噪声,用户终端i接收的信干噪比模型为:where ni indicates that the mean value received by user i is 0 and the variance is Gaussian white noise. The second term of the above equation is the interference from other cooperative cells. By treating the interference as noise, the signal-to-interference-noise ratio model received by the user terminal i is:
因此所刻画出的数学优化问题为:Therefore, the mathematical optimization problem described is:
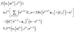
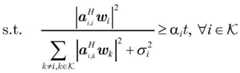
其中αi表示对用户终端i的权重参数,表征了K个用户终端之间的公平性。为了便于优化求解,首先引入一个辅助变量t,将问题(P1)重新表述为如下等价问题:where αi represents the weight parameter for user terminal i, which represents the fairness among K user terminals. In order to facilitate the optimization solution, an auxiliary variable t is first introduced to reformulate the problem (P1) as the following equivalent problem:
由于优化变量发射波束成形与反射波束成形在信干噪比处相互耦合在一起,因此问题(P1)或(P1.1)不是凸优化问题从而难以求解。接下来,给出交替优化方法来解决该问题。具体来说,发射波束成形与反射波束成形分别在另一个固定时进行优化。为了方便,令和v(l)表示在第l次迭代的波束成形。具体求解过程如下:The problem (P1) or (P1.1) is not a convex optimization problem and is difficult to solve because the optimal variable transmit beamforming and reflected beamforming are coupled together at the signal-to-interference-noise ratio. Next, an alternating optimization method is given to solve this problem. Specifically, transmit beamforming and reflect beamforming are optimized when the other is fixed, respectively. For convenience, let and v(l) denote the beamforming at the lth iteration. The specific solution process is as follows:
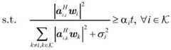
(一)在固定反射波束成形v下,设基站k到用户终端i的组合信道矢量为则问题(P1.1)等价为:(1) Under fixed reflection beamforming v, set the combined channel vector from base station k to user terminal i as Then the problem (P1.1) is equivalent to:
显然,问题(P2)仍然不是凸问题。为求解(P2),固定t,得到以下可行性问题(P2.1)Obviously, the problem (P2) is still not convex. To solve (P2), fixing t yields the following feasibility problem (P2.1)
(P2.1):find{wi}(P2.1): find{wi }
设t*为问题(P2)的最优解。如果问题(P2.1)在给定t下可行,则t≤t*,否则t>t*。因此问题(P2)可对t进行二分法求解。特别地,令矩阵的第i行第j列元素为表示只有第i个元素为1,其它全为0的矢量。Let t* be the optimal solution to problem (P2). If the problem (P2.1) is feasible given t, then t≤t* , otherwise t>t* . Therefore, problem (P2) can be solved by dichotomizing t. In particular, let the matrix The element in row i and column j of is Indicates that only the i-th element is a 1, and the others are all 0s.
(P2.1)可等效变换变成以下二阶锥规划问题:(P2.1) can be equivalently transformed into the following second-order cone programming problem:
(P2.2):find{wi}(P2.2): find{wi }
问题(P2.2)可以用专业的软件工具CVX求解。The problem (P2.2) can be solved with the professional software tool CVX.
(二)然后固定求得的发射波束成形{wi},来优化反射波束成形v。令ci.k=Φi,kwk,和有:(2) Then fix the obtained transmit beamforming {wi } to optimize the reflected beamforming v. Let cik =Φi,k wk , and Have:
相应地,问题(P1.1)可表示为Correspondingly, the problem (P1.1) can be expressed as
接下来,分别利用半定松弛和连续凸逼近方法求解(P3),并给出交替优化算法的具体步骤。Next, (P3) is solved by semidefinite relaxation and continuous convex approximation method, and the specific steps of the alternating optimization algorithm are given.
(1)基于半定松弛的交替优化算法:(1) Alternate optimization algorithm based on semidefinite relaxation:
令和并且设则有约束和rank(V)≤1,其中表示矩阵V为半正定矩阵,rank(V)表示矩阵V的秩。通过运用半定松弛,把非凸约束rank(V)≤1去掉,然后使(P3)成为以下问题:make and and set there are constraints and rank(V)≤1, where Indicates that the matrix V is a positive semi-definite matrix, and rank(V) represents the rank of the matrix V. By applying semidefinite relaxation, the non-convex constraint rank(V)≤1 is removed, and (P3) becomes the following problem:
VN+1,N+1=1VN+1,N+1 =1
问题(P3.1)与问题(P2)的解法一样。特别地,在对t进行二分法求解时,可求以下可行性问题:Problem (P3.1) has the same solution as problem (P2). In particular, when solving the dichotomy of t, the following feasibility problems can be solved:
(P3.2):find V(P3.2): find V
VN+1,N+1=1VN+1,N+1 =1
问题(P3.2)可用专业软件工具CVX来求解。求解(P3)后,若求得rank(V)>1,则需要对V进行高斯随机化处理,即:先对V作特征值分解V=U∑UH,其中U为酉矩阵,∑为对角阵。取其中r是服从均值为0,协方差矩阵为单位阵的循环对称复高斯随机向量。然后,取其中[x](1:N)为取矢量x的前N项元素。多次高斯随机化,取能使最小信干噪比最大的v作为问题(P3)的解。The problem (P3.2) can be solved with the professional software tool CVX. After solving (P3), if rank(V) > 1 is obtained, Gaussian randomization is required for V, that is, V=U∑UH is firstly decomposed by eigenvalue, where U is a unitary matrix, and ∑ is Diagonal array. Pick where r is a cyclic symmetric complex Gaussian random vector with a mean of 0 and a covariance matrix of identity. Then, take Where [x](1:N) is the first N elements of the vector x. After multiple Gaussian randomization, take v that maximizes the minimum signal-to-interference-to-noise ratio as the solution to the problem (P3).
因此,问题(P1)可由基于半定松弛的交替优化算法求解,具体步骤由算法1所示:Therefore, problem (P1) can be solved by an alternate optimization algorithm based on semidefinite relaxation, and the specific steps are shown in Algorithm 1:
(2)基于连续凸逼近的交替优化算法:(2) Alternate optimization algorithm based on continuous convex approximation:
通过对用户终端定义一个辅助函数:through the user terminal Define a helper function:
相应地,在第次l迭代中,可以通过以下问题更新反射波束成形v:Correspondingly, in the lth iteration, the reflected beamforming v can be updated by the following problem:
然而,问题(P4)不是凸的。通过利用一阶泰勒展开,有:However, problem (P4) is not convex. By utilizing the first-order Taylor expansion, we have:
问题(P4)因此可以近似为以下问题:Problem (P4) can thus be approximated as the following problem:
问题(P4.1)是凸问题,因此可用专业软件工具CVX来求解。通过求解(P4.1),可以得到(P4)的可行解。下面给出基于连续凸逼近的交替优化算法的具体步骤,由算法2所示:The problem (P4.1) is convex, so it can be solved by the professional software tool CVX. By solving (P4.1), the feasible solution of (P4) can be obtained. The specific steps of the alternating optimization algorithm based on continuous convex approximation are given below, as shown in Algorithm 2:
最终,步骤3和步骤4中的发射波束成形的系数以及反射波束成形的系数(即具体数值)可根据算法1或算法2以交替迭代的方法得出,并由基站的波束成形模块和智能反射面的控制模块发出相应的波束成形。Finally, the transmit beamforming coefficients and the reflection beamforming coefficients (that is, specific values) in steps 3 and 4 can be obtained in an alternate iterative method according to Algorithm 1 or
步骤6,用户终端接收来自于基站的发射波束成形和来自于智能反射面的反射波束成形的叠加信号。Step 6, the user terminal receives the superimposed signal of the transmit beamforming from the base station and the reflected beamforming from the smart reflective surface.
待基站和智能反射面发送发射波束成形以及反射波束成形后,用户终端的第二通信模块可以接收发射波束成形和反射波束成形的叠加信号,该信号即为已经抑制了干扰的信号。After the base station and the smart reflective surface send the transmit beamforming and the reflected beamforming, the second communication module of the user terminal can receive the superimposed signal of the transmit beamforming and the reflected beamforming, which is the signal whose interference has been suppressed.
随着5G和物联网的发展,基站将会大量增加,来提供越来越多的用户终端接入需求,多小区基站之间的协作能一定程度上降低越来越严重的干扰问题,而在这基础上增加的智能反射面可以协助基站来完成提高信号的强度以及抑制干扰,提高通信质量。With the development of 5G and the Internet of Things, base stations will increase in large numbers to provide more and more user terminal access requirements. The cooperation between multi-cell base stations can reduce the more and more serious interference problems to a certain extent. The intelligent reflective surface added on this basis can assist the base station to improve the signal strength, suppress interference, and improve communication quality.
针对于本申请提出的方法,发明人进行了相应的性能仿真以及对照试验。For the method proposed in the present application, the inventors have conducted corresponding performance simulations and control experiments.
图4展示了本申请设计的系统结构中,用户终端坐标分别为(-5m,0)、(5m,0)和(-0,5m),基站坐标分别为(-100m,0)、(100m,0)和(-0,100m),以及智能反射面坐标为(0,-10m)时,用户终端的最小信干噪比与基站的最大发射功率的关系曲线。参数设计如下:基站发射天线M=2,智能反射面上反射元件数为20,每个用户的噪声功率都为-80dBm,路径衰落模型d表示用户终端与基站间的距离,参考距离d0=1m,C0=-30dB,基站到用户终端、基站到智能反射面以及智能反射面到用户终端的路径衰落指数α分别为3.6,2和2.5。设基站到用户终端以及智能反射面到用户终端的信道为瑞利衰落信道,基站到智能反射面的信道为直视径信道。由图4可以看出,加入智能反射面后,用户终端的最小信干噪比相比没有智能反射面的时候会更大。Figure 4 shows that in the system structure designed in this application, the coordinates of the user terminal are (-5m,0), (5m,0) and (-0,5m) respectively, and the coordinates of the base station are (-100m,0), (100m respectively ,0) and (-0,100m), and when the coordinates of the smart reflector are (0,-10m), the relationship curve between the minimum signal-to-interference noise ratio of the user terminal and the maximum transmit power of the base station. The parameters are designed as follows: the base station transmit antenna M=2, the number of reflective elements on the smart reflector is 20, the noise power of each user is -80dBm, and the path fading model d represents the distance between the user terminal and the base station, the reference distance d0 =1m, C0 =-30dB, the path fading exponents α from the base station to the user terminal, the base station to the intelligent reflector, and the intelligent reflector to the user terminal are 3.6, 2 and 2.5. Let the channel from the base station to the user terminal and the smart reflector to the user terminal be the Rayleigh fading channel, and the channel from the base station to the smart reflector is the direct line of sight channel. It can be seen from Figure 4 that after adding the smart reflector, the minimum signal-to-interference-to-noise ratio of the user terminal is larger than that without the smart reflector.
图5是用户终端在三角形顶点为(-100m,0)、(100m,0)和(-0,100m)的区域内随机分布的时候,最小信干噪比与基站的最大发射功率的关系曲线。其它参数与图4的相同。由图5可以看出,本方案所提出的联合发射和反射波束成形的优化性能相对没有智能反射面时有很大的提升。Figure 5 shows the relationship between the minimum signal-to-interference and noise ratio and the maximum transmit power of the base station when the user terminals are randomly distributed in the area where the vertices of the triangle are (-100m, 0), (100m, 0) and (-0, 100m). Other parameters are the same as those of Fig. 4. It can be seen from Figure 5 that the optimal performance of the joint transmission and reflection beamforming proposed in this solution is greatly improved compared to the case without the intelligent reflection surface.
| Application Number | Priority Date | Filing Date | Title |
|---|---|---|---|
| CN201911206324.XACN111181615B (en) | 2019-11-29 | 2019-11-29 | A multi-cell wireless communication method based on intelligent reflector |
| Application Number | Priority Date | Filing Date | Title |
|---|---|---|---|
| CN201911206324.XACN111181615B (en) | 2019-11-29 | 2019-11-29 | A multi-cell wireless communication method based on intelligent reflector |
| Publication Number | Publication Date |
|---|---|
| CN111181615A CN111181615A (en) | 2020-05-19 |
| CN111181615Btrue CN111181615B (en) | 2022-08-12 |
| Application Number | Title | Priority Date | Filing Date |
|---|---|---|---|
| CN201911206324.XAExpired - Fee RelatedCN111181615B (en) | 2019-11-29 | 2019-11-29 | A multi-cell wireless communication method based on intelligent reflector |
| Country | Link |
|---|---|
| CN (1) | CN111181615B (en) |
| Publication number | Priority date | Publication date | Assignee | Title |
|---|---|---|---|---|
| CN111817768B (en)* | 2020-06-03 | 2021-06-15 | 北京交通大学 | Channel estimation method for intelligent reflecting surface wireless communication |
| CN111818533B (en)* | 2020-06-04 | 2021-08-17 | 浙江大学 | A Design Method of Wireless Communication System Based on Smart Reflector |
| CN111698010A (en)* | 2020-06-11 | 2020-09-22 | 电子科技大学 | Resource allocation method based on intelligent reflection curved surface auxiliary communication |
| CN111698046A (en)* | 2020-06-11 | 2020-09-22 | 电子科技大学 | Green communication method based on reconfigurable intelligent reflecting surface |
| CN113810083B (en)* | 2020-06-16 | 2022-08-09 | 华为技术有限公司 | Information transmission method and device, terminal equipment and storage medium |
| CN113938969B (en)* | 2020-06-29 | 2023-04-07 | 华为技术有限公司 | Communication method, device and computer-readable storage medium |
| CN111866726B (en)* | 2020-06-30 | 2025-07-08 | 中兴通讯股份有限公司 | Positioning method and device of receiving device, system, storage medium and electronic device |
| EP4082263A4 (en) | 2020-07-02 | 2023-08-30 | ZTE Corporation | SURFACE ELEMENT SEGMENTATION AND NODE GROUPING FOR INTELLIGENT REFLECTIVE DEVICES |
| CN112039567B (en)* | 2020-07-17 | 2021-10-08 | 浙江大学 | A beamforming design method for a multi-intelligent reflector system |
| CN111901812B (en)* | 2020-07-22 | 2023-10-27 | 上海师范大学 | Full-duplex cellular communication network base station and intelligent reflecting surface joint control method |
| CN111865387A (en)* | 2020-08-04 | 2020-10-30 | 同济大学 | Design method of beamforming for smart reflector-assisted wireless communication system |
| CN111954190B (en)* | 2020-08-20 | 2024-01-30 | 深圳恩步通信技术有限公司 | Method and device for maximizing D2D communication throughput based on intelligent reflecting surface |
| CN112073107A (en)* | 2020-09-17 | 2020-12-11 | 南通大学 | Multi-group and multicast combined beam forming algorithm design based on intelligent reflecting surface |
| CN112134816B (en)* | 2020-09-27 | 2022-06-10 | 杭州电子科技大学 | An ELM-LS Joint Channel Estimation Method Based on Smart Reflective Surfaces |
| CN112235026B (en)* | 2020-11-06 | 2021-08-27 | 郑州大学 | Mixed beam design method of MIMO-OFDMA terahertz communication system |
| CN114554520B (en)* | 2020-11-26 | 2024-10-25 | 维沃移动通信有限公司 | Interference measurement method, device, terminal and network side equipment |
| CN112735111B (en)* | 2020-12-16 | 2022-04-08 | 中兴通讯股份有限公司 | Intelligent panel regulation and control method, device and system, intelligent panel and storage medium |
| CN112601242B (en)* | 2020-12-17 | 2023-10-13 | 南京邮电大学 | A two-cell NOMA uplink low-power transmission method assisted by intelligent reflectors |
| MX2023007598A (en)* | 2020-12-24 | 2023-07-10 | Huawei Tech Co Ltd | Systems and methods for use of reflective intelligent surfaces in communication systems. |
| WO2022133957A1 (en)* | 2020-12-24 | 2022-06-30 | Huawei Technologies Co., Ltd. | Systems and methods for reflective intelligent surfaces in mimo systems |
| CN112929302B (en)* | 2021-01-12 | 2022-03-15 | 浙江大学 | Semi-passive reflector assisted channel estimation method for intelligent reflector system |
| CN112954690B (en)* | 2021-01-22 | 2022-11-22 | 西北工业大学 | Anti-interference method and system based on space-based reconfigurable intelligent surface |
| CN113068182B (en)* | 2021-02-02 | 2023-02-10 | 上海大学 | Information protection method for urban rail transit wireless communication based on passive reconstruction surface |
| CN112994765B (en)* | 2021-03-04 | 2022-02-08 | 电子科技大学 | Wave beam alignment method of intelligent reflecting surface auxiliary millimeter wave communication system |
| CN113037349B (en)* | 2021-03-12 | 2022-06-10 | 重庆邮电大学 | Physical layer security design method based on alternate iteration in IRS (inter-Range instrumentation Standard) auxiliary MISO (Single input Single output) system |
| CN113133014B (en)* | 2021-03-23 | 2022-06-03 | 清华大学 | Generalized electromagnetic wave orbital angular momentum transmission system based on intelligent reflecting surface |
| KR20230169111A (en)* | 2021-04-12 | 2023-12-15 | 퀄컴 인코포레이티드 | Beamforming techniques using random-based parameter selection on reconfigurable intelligent surfaces |
| CN112994869B (en)* | 2021-04-25 | 2021-09-24 | 香港中文大学(深圳) | A communication system, method, device and storage medium |
| CN115314089B (en)* | 2021-05-07 | 2025-01-10 | 维沃移动通信有限公司 | Beam control method, device and electronic device for smart surface device |
| CN113225119B (en)* | 2021-05-11 | 2023-03-24 | 中国人民解放军国防科技大学 | Wave beam domain anti-interference and anti-interception communication method based on information super-surface |
| CN113225118B (en)* | 2021-05-11 | 2022-09-02 | 中国人民解放军国防科技大学 | Information super-surface anti-interference method based on robust beam forming |
| CN113286292B (en)* | 2021-05-18 | 2022-11-22 | 广东工业大学 | Combined optimization method and system for hidden rate of reconfigurable intelligent surface auxiliary communication |
| CN113489521B (en)* | 2021-05-26 | 2023-05-09 | 电子科技大学 | Reflective surface assisted cell-free large-scale MIMO network combined beam forming method |
| CN115412991A (en)* | 2021-05-27 | 2022-11-29 | 中兴通讯股份有限公司 | Information transmission method, reflection device, base station, system, electronic device, and medium |
| CN113315547A (en)* | 2021-05-28 | 2021-08-27 | 北京邮电大学 | Robust joint transmission beam optimization method for intelligent reflecting surface assisted multiple cells |
| CN115459823A (en)* | 2021-06-09 | 2022-12-09 | 中国电信股份有限公司 | Communication method and system based on intelligent surface assistance, base station and intelligent surface |
| WO2023286884A1 (en)* | 2021-07-13 | 2023-01-19 | 엘지전자 주식회사 | Method and device for transmitting and receiving signal in wireless communication system |
| CN113612508B (en)* | 2021-08-09 | 2024-06-18 | 郑州海威光电科技有限公司 | IRS auxiliary millimeter wave communication beam forming design method based on machine learning |
| CN113691295B (en)* | 2021-08-18 | 2023-02-24 | 北京理工大学 | An IRS-based Interference Suppression Method in Heterogeneous Networks |
| CN113726391B (en)* | 2021-08-31 | 2024-10-22 | 杭州腓腓科技有限公司 | Multi-cell indoor interference elimination method and system based on reconfigurable omni-directional super surface |
| CN113825236B (en)* | 2021-09-03 | 2023-08-01 | 浙江大学 | A Fusion Method of Perception, Computing and Communication in Wireless Networks |
| CN113839694B (en)* | 2021-09-30 | 2022-06-21 | 深圳市大数据研究院 | Intelligent reflecting surface phase shift control method, system, equipment and storage medium |
| CN113992254B (en)* | 2021-11-19 | 2024-02-02 | 东南大学 | Intelligent reflective surface-assisted beamforming method for wireless communication system |
| CN114338299B (en)* | 2021-12-01 | 2022-12-20 | 同济大学 | A method for channel estimation based on location information for communication systems assisted by intelligent reflectors |
| CN114221724B (en)* | 2021-12-07 | 2023-07-11 | 广东工业大学 | Intelligent reflector-assisted cognitive wireless energy-carrying communication network performance optimization method |
| EP4457938A4 (en)* | 2022-01-29 | 2025-02-26 | ZTE Corporation | SYSTEMS AND METHODS USING REFLECTION-BASED COMMUNICATION ELEMENTS |
| CN114726414B (en)* | 2022-03-04 | 2024-07-19 | 西安电子科技大学 | Method, system, medium, equipment and terminal for optimizing joint transmission beam |
| CN114665925B (en)* | 2022-03-28 | 2025-09-02 | 西北工业大学 | A coordinated multi-point transmission method and system with intelligent reflective surface backscattering empowerment |
| CN115022906A (en)* | 2022-06-02 | 2022-09-06 | 深圳市芯中芯科技有限公司 | Multi-input single-output transmission link wireless communication method based on intelligent reflecting surface |
| US12381600B2 (en)* | 2022-06-24 | 2025-08-05 | Apple Inc. | Resource allocation for communication via reflective surfaces |
| CN116705047B (en)* | 2023-07-31 | 2023-11-14 | 北京小米移动软件有限公司 | Audio collection method, device and storage medium |
| CN119094978B (en)* | 2024-10-23 | 2025-04-11 | 苏州大学 | Differential privacy method and system based on randomly configured reconfigurable intelligent metasurface |
| Publication number | Priority date | Publication date | Assignee | Title |
|---|---|---|---|---|
| CN110225538A (en)* | 2019-06-21 | 2019-09-10 | 电子科技大学 | The non-orthogonal multiple access communications design method of reflecting surface auxiliary |
| CN110266352A (en)* | 2019-05-27 | 2019-09-20 | 东南大学 | An Adaptive Design Method for Phase Shift Matrix of Intelligent Reflector in Massive MIMO System |
| CN110278017A (en)* | 2019-06-27 | 2019-09-24 | 广东工业大学 | A multi-antenna wireless energy transmission system and method based on an intelligent reflector |
| Publication number | Priority date | Publication date | Assignee | Title |
|---|---|---|---|---|
| CN110266352A (en)* | 2019-05-27 | 2019-09-20 | 东南大学 | An Adaptive Design Method for Phase Shift Matrix of Intelligent Reflector in Massive MIMO System |
| CN110225538A (en)* | 2019-06-21 | 2019-09-10 | 电子科技大学 | The non-orthogonal multiple access communications design method of reflecting surface auxiliary |
| CN110278017A (en)* | 2019-06-27 | 2019-09-24 | 广东工业大学 | A multi-antenna wireless energy transmission system and method based on an intelligent reflector |
| Title |
|---|
| Intelligent Reflecting Surface Enhanced Wireless Network via Joint Active and Passive Beamforming;Qingqing Wu等,;《IEEE Transactions on Wireless Communications》;20190823;第18卷(第11期);第5394-5409页* |
| Intelligent Reflecting Surface for Multicell MIMO Communications;Cunhua Pan等,;《https://arxiv.org/abs/1907.10864》;20190726;第1-30页* |
| MISO Wireless Communication Systems via Intelligent Reflecting Surfaces;Xianghao Yu等,;《2019 IEEE/CIC International Conference on Communications in China (ICCC)》;20190813;第735-740页* |
| Publication number | Publication date |
|---|---|
| CN111181615A (en) | 2020-05-19 |
| Publication | Publication Date | Title |
|---|---|---|
| CN111181615B (en) | A multi-cell wireless communication method based on intelligent reflector | |
| CN113225108B (en) | Robust beam forming method for intelligent reflector-assisted multi-cell coordinated multi-point transmission | |
| CN111010223B (en) | Millimeter wave full-duplex unmanned aerial vehicle communication relay transmission method | |
| CN113285897B (en) | Positioning information assistance-based channel estimation method and system in RIS system under Internet of vehicles environment | |
| CN111131096B (en) | A Programmable Metasurface-Based Wireless Relay System and Its Channel Estimation Method | |
| CN111245485B (en) | Beamforming and location deployment method for airborne millimeter wave communication | |
| CN111698010A (en) | Resource allocation method based on intelligent reflection curved surface auxiliary communication | |
| CN112383332A (en) | Honeycomb base station communication system based on intelligent reflection surface | |
| CN114070365B (en) | Intelligent reflection surface assisted low-radio-frequency-complexity multi-user MIMO uplink spectrum efficiency optimization method | |
| Li et al. | Beamforming design and power allocation for transmissive RMS-based transmitter architectures | |
| CN114286312A (en) | Method for enhancing unmanned aerial vehicle communication based on reconfigurable intelligent surface | |
| CN113556164A (en) | A beamforming optimization method based on energy efficiency priority in IRS-assisted SWIPT system | |
| CN114710186A (en) | A low-cost and wide-coverage mmWave precoding method | |
| CN113890578A (en) | Cellular-free system power design method based on RIS and related channels | |
| CN108123741A (en) | Based on overlapping subarrays(OSA)Beam form-endowing method and equipment | |
| CN114584994A (en) | Beam forming and power distribution method and device for satellite-ground integrated communication network | |
| Meng et al. | Wireless power transfer via intelligent reflecting surface-assisted millimeter wave power beacons | |
| Shen et al. | AI-enabled unmanned vehicle-assisted reconfigurable intelligent surfaces: Deployment, prototyping, experiments, and opportunities | |
| CN117295084A (en) | Combined optimization scheme design based on alternate optimization in millimeter wave MISO system assisted by double intelligent reflecting surfaces | |
| Yildirim et al. | Spider RIS: Mobilizing intelligent surfaces for enhanced wireless communications | |
| CN116886144A (en) | Safe wireless power supply communication network based on double IRS under friendly interference assistance | |
| CN116827394A (en) | A secure transmission method for intelligent reflective surface-assisted MIMO communication system | |
| CN116567860A (en) | D2D equipment selection method in RIS auxiliary communication system | |
| Jiang et al. | Active sensing for two-sided beam alignment using ping-pong pilots | |
| Tavana et al. | Amplitude-based sequential optimization of energy harvesting with reconfigurable intelligent surfaces |
| Date | Code | Title | Description |
|---|---|---|---|
| PB01 | Publication | ||
| PB01 | Publication | ||
| SE01 | Entry into force of request for substantive examination | ||
| SE01 | Entry into force of request for substantive examination | ||
| GR01 | Patent grant | ||
| GR01 | Patent grant | ||
| CF01 | Termination of patent right due to non-payment of annual fee | Granted publication date:20220812 | |
| CF01 | Termination of patent right due to non-payment of annual fee |