Movatterモバイル変換


[0]ホーム

URL:


CN111178740A - A data processing method and device - Google Patents

A data processing method and device
Download PDF

Info

Publication number
CN111178740A
CN111178740ACN201911351797.9ACN201911351797ACN111178740ACN 111178740 ACN111178740 ACN 111178740ACN 201911351797 ACN201911351797 ACN 201911351797ACN 111178740 ACN111178740 ACN 111178740A
Authority
CN
China
Prior art keywords
description information
development
index value
description
preset time
Prior art date
Legal status (The legal status is an assumption and is not a legal conclusion. Google has not performed a legal analysis and makes no representation as to the accuracy of the status listed.)
Granted
Application number
CN201911351797.9A
Other languages
Chinese (zh)
Other versions
CN111178740B (en
Inventor
何阳
冯橙
彭丹萍
Current Assignee (The listed assignees may be inaccurate. Google has not performed a legal analysis and makes no representation or warranty as to the accuracy of the list.)
China Academy of Information and Communications Technology CAICT
Original Assignee
China Academy of Information and Communications Technology CAICT
Priority date (The priority date is an assumption and is not a legal conclusion. Google has not performed a legal analysis and makes no representation as to the accuracy of the date listed.)
Filing date
Publication date
Application filed by China Academy of Information and Communications Technology CAICTfiledCriticalChina Academy of Information and Communications Technology CAICT
Priority to CN201911351797.9ApriorityCriticalpatent/CN111178740B/en
Publication of CN111178740ApublicationCriticalpatent/CN111178740A/en
Application grantedgrantedCritical
Publication of CN111178740BpublicationCriticalpatent/CN111178740B/en
Activelegal-statusCriticalCurrent
Anticipated expirationlegal-statusCritical

Links

Images

Classifications

Landscapes

Abstract

Translated fromChinese

本申请提供了一种数据处理方法和装置,所述方法包括:获取第一对象的描述信息和第二对象的描述信息之间的关联关系,并为所述关联关系分配描述标签;获取描述信息与所述描述标签匹配的主体,以及所述主体的属性信息对应的数据;统计所述数据获取多个指标值,对所述指标值进行指数化;对指数化的所述指标值加权求和获得第三对象的发展指数值;其中,第三对应为第一对象和第二对象关联后的对象;根据所述发展指数值确定所述第三对象的发展状况。该方法能够客观、全面衡量对象的发展状况。

Figure 201911351797

The present application provides a data processing method and device. The method includes: obtaining an association relationship between description information of a first object and description information of a second object, and assigning a description label to the association relationship; obtaining the description information The subject that matches the description tag, and the data corresponding to the attribute information of the subject; the data is counted to obtain multiple index values, and the index values are indexed; the weighted summation of the indexed index values The development index value of the third object is obtained; wherein, the third correspondence is an object after the first object and the second object are associated; the development status of the third object is determined according to the development index value. This method can objectively and comprehensively measure the development status of the object.

Figure 201911351797

Description

Data processing method and device
Technical Field
The present invention relates to the field of data processing technologies, and in particular, to a data processing method and apparatus.
Background
With the development of some information technologies, the relevance between various industries is getting bigger and bigger, different industries are integrated into a new industry, for example, the financial industry and the science and technology industry are integrated into a financial and technology industry, and how to measure the development condition of the new industry is a technical problem to be solved at present.
Disclosure of Invention
In view of this, the present application provides a data processing method and apparatus, which can objectively and comprehensively measure the development status of an object.
In order to solve the technical problem, the technical scheme of the application is realized as follows:
in one embodiment, there is provided a data processing method, the method comprising:
acquiring an association relation between description information of a first object and description information of a second object, and distributing a description label for the association relation;
acquiring a main body of which the description information is matched with the description label and data corresponding to the attribute information of the main body;
counting the data to obtain a plurality of index values, and indexing the index values;
weighted summation is carried out on the indexed index values to obtain a development index value of a third object; the third correspondence is an object after the first object and the second object are associated;
determining a development status of the third subject according to the development index value.
In another embodiment, there is provided a data processing apparatus, the apparatus comprising: the device comprises a first acquisition unit, a distribution unit, a second acquisition unit, a statistic unit, a calculation unit and a determination unit;
the first acquisition unit is used for acquiring the association relationship between the description information of the first object and the description information of the second object;
the distribution unit is configured to distribute a description tag to the association relation acquired by the first acquisition unit;
the second acquiring unit is used for acquiring a main body of which the description information is matched with the description label distributed by the distributing unit and data corresponding to the attribute information of the main body;
the statistical unit is used for performing statistics on the data acquired by the second acquisition unit to acquire a plurality of index values and performing indexing on the index values;
the calculation unit is used for weighting and summing the index values indexed by the statistical unit to obtain a development index value of a third object; the third correspondence is an object after the first object and the second object are associated;
the determining unit is used for determining the development condition of the third object according to the development index value acquired by the calculating unit.
In another embodiment, an electronic device is provided, comprising a memory, a processor and a computer program stored on the memory and executable on the processor, the processor implementing the steps of the data processing method as described when executing the program.
In another embodiment, a computer-readable storage medium is provided, on which a computer program is stored which, when being executed by a processor, carries out the steps of the data processing method.
According to the technical scheme, the description labels are distributed to the description information of the association relationship of the two objects which are associated together, the description labels are matched with the corresponding main bodies, the data information of the main bodies is counted, and the development index indexes of the objects after the two objects are associated are calculated to measure the development condition of the associated objects. The scheme can objectively and comprehensively measure the development condition of the object.
Drawings
In order to more clearly illustrate the technical solutions in the embodiments of the present application, the drawings needed to be used in the description of the embodiments are briefly introduced below, and it is obvious that the drawings in the following description are only some embodiments of the present application, and it is obvious for those skilled in the art to obtain other drawings based on these drawings without inventive labor.
FIG. 1 is a schematic diagram of a data processing flow in an embodiment of the present application;
FIG. 2 is a schematic diagram of an apparatus for implementing the above technique in an embodiment of the present application;
fig. 3 is a schematic physical structure diagram of an electronic device according to an embodiment of the present invention.
Detailed Description
The technical solutions in the embodiments of the present application will be clearly and completely described below with reference to the drawings in the embodiments of the present application, and it is obvious that the described embodiments are only a part of the embodiments of the present application, and not all of the embodiments. All other embodiments, which can be derived by a person skilled in the art from the embodiments given herein without making any creative effort, shall fall within the protection scope of the present application.
The terms "first," "second," "third," "fourth," and the like in the description and in the claims, as well as in the drawings, if any, are used for distinguishing between similar elements and not necessarily for describing a particular sequential or chronological order. It is to be understood that the data so used is interchangeable under appropriate circumstances such that the embodiments of the invention described herein are, for example, capable of operation in sequences other than those illustrated or otherwise described herein. Furthermore, the terms "comprising" and "having," as well as any variations thereof, are intended to cover non-exclusive inclusions. For example, a process, method, system, article, or apparatus that comprises a list of steps or elements is not necessarily limited to those steps or elements explicitly listed, but may include other steps or elements not explicitly listed or inherent to such process, method, article, or apparatus.
The technical solution of the present invention will be described in detail with specific examples. Several of the following embodiments may be combined with each other and some details of the same or similar concepts or processes may not be repeated in some embodiments.
The embodiment of the application provides a data processing method, which allocates description tags for description information of an association relationship between two associated objects, and counts data information of the bodies by matching the description tags with the corresponding bodies, so as to calculate a development index of the two associated objects to measure the development condition of the associated objects. The scheme can objectively and comprehensively measure the development condition of the object.
The data processing procedure is described in detail below with reference to the accompanying drawings.
Referring to fig. 1, fig. 1 is a schematic diagram of a data processing flow in the embodiment of the present application. The method comprises the following specific steps:
step 101, acquiring an association relationship between the description information of the first object and the description information of the second object, and assigning a description label to the association relationship.
In the embodiment of the present application, acquiring an association relationship between description information of a first object and description information of a second object includes:
acquiring all description information of a first object as a first description information set;
acquiring all description information of a second object as a second description information set;
respectively determining whether an association relationship exists between each piece of description information in the first description information set and each piece of description information in the second description information set;
and acquiring the description information in the first description information set and the description information in the second description information set which have the association relationship.
Assigning a description label to the association, comprising:
and determining the technical field according to the description information in the first description information set and the description information in the second description information set corresponding to the association relationship, acquiring related keywords in the corresponding technical field, and taking the keywords as description labels of the association relationship.
The object in the embodiment of the application can be an industry, an industry and the like;
if the first object is a financial industry and the second object is an emerging technology industry (technical field), the two objects can be associated with each other, for example, the emerging technology industry can be applied to the financial industry, and the two associated objects can be crossed to obtain a third object, for example, the financial technology industry.
Each object has its own description information, which can be classified, primary, secondary, tertiary, etc., and the classification and description information is determined according to the specific division condition.
The financial industry and emerging technology industries are still exemplified below:
the description information of the financial industry comprises the description information corresponding to the business chain and the industry chain, wherein the description information corresponding to the financial industry chain is shown in table 1, and table 1 is the content corresponding to the description information of the financial industry chain.
Figure BDA0002334828640000041
Figure BDA0002334828640000051
Figure BDA0002334828640000061
TABLE 1
The description of the industry chain of the financial industry in table 1 is divided into two levels, the first level includes 6 types of description information, and the description information corresponding to each first level includes a plurality of second levels of description information.
The description information corresponding to the business chain of the financial industry is shown in table 2, and table 2 is the content corresponding to the description information of the business chain of the financial industry.
Figure BDA0002334828640000062
Figure BDA0002334828640000071
Figure BDA0002334828640000081
Figure BDA0002334828640000091
Figure BDA0002334828640000101
TABLE 2
The description of the business chain of the financial industry in table 2 is divided into two levels, the first level includes 6 types of description information, and the description information corresponding to each first level includes a plurality of second levels of description information.
The description information corresponding to the scientific and technological industry chain is shown in table 3, and table 3 shows the content corresponding to the description information of the scientific and technological industry.
Figure BDA0002334828640000102
Figure BDA0002334828640000111
Figure BDA0002334828640000121
Figure BDA0002334828640000131
Figure BDA0002334828640000141
TABLE 3
The descriptions in table 3 for the science and technology industry chain are described in three levels.
As for the description information of the financial industry and the scientific and technological industry, the description information of the two industries is crossed to obtain a complete picture of the financial and technological industry, and if the complete picture can be obtained by using a coordinate system, each description information (primary and secondary description information) of the financial industry is taken as a horizontal axis or a vertical axis, each description information (primary, secondary and tertiary description information) of the emerging scientific and technological industry is taken as a vertical axis or a horizontal axis, a coordinate system is established, and the description information on the horizontal and vertical axes is checked in pairs to determine whether the description information is in a relation.
For example, artificial intelligence in the scientific and technological industry chain corresponding to the first level in table 3 is associated with bank customers in the financial industry chain corresponding to the third level in table 2, and labels can be assigned: artificial intelligence, bank customers and intelligent customer service. The artificial intelligence can be expanded into vocabularies such as robots, biological recognition, natural language processing, knowledge maps and the like; the bank customer service can be expanded into vocabularies such as bank customer service, bank machine customer service, bank electronic customer service and the like; the intelligent customer service can be expanded to a bank intelligent customer service robot, an AI customer service and the like.
For another example, the big data industry in the science and technology industry chain corresponding to the first level in table 3 and the commercial banking service in the financial industry chain corresponding to the second level in table 1 may be assigned with labels as big data and commercial banks. Big data can be expanded into big data analysis, big data marketing, big data wind control, big data credit investigation, big data platform, etc., and commercial banks can be expanded into services provided for commercial banks or businesses developed, such as deposit, loan, financing, etc. Big data service related to commercial banks can be expanded into bank big data marketing, bank big data wind control, bank big data middleboxes and the like.
As long as the enterprises that can satisfy the financial chain word expansion + science and technology word expansion or satisfy the financial science and technology word expansion simultaneously can all incorporate it into the financial science and technology industry chain ecology, this is not restricted in the embodiment of the present application.
And 102, acquiring a main body of which the description information is matched with the description label and data corresponding to the attribute information of the main body.
In the embodiment of the application, the main body can be an enterprise, a company, an e-commerce and the like.
There is a database, stored in the device or other servers, which can be obtained when the information is needed to be obtained from the database.
The database stores the subject identification and data corresponding to the attribute information of the subject.
If the main body is an enterprise, the attribute information of the main body may include industrial and commercial data, financial and newspaper data, recruitment data, patent data, news information of the enterprise, and policy and consultation information of the location of the enterprise.
As to how the database obtains the above information, the embodiment of the present application is not limited.
Each main body also corresponds to some description information, all description tags instep 101 are used for matching in the description information, and as long as the main body corresponding to the description information of the description tag exists, the main body is the main body which needs to be subjected to data statistics in the embodiment of the present application.
Step 103, counting the data to obtain a plurality of index values, and performing indexing on the index values.
Taking the financial technology industry as an example, the indexes to be statistically obtained include 17 values of three-level indexes (number of enterprises, number of enterprises on market, number of industrial parks, number of workers, revenue of enterprises on market, profits of enterprises on market, financing amount, number of financing strokes, financing maturity, number of financial institutions, number of policies, search index, news popularity, number of patents, patent quality average, technician demand, number of enterprises with software right).
Because the unit and the numerical value of each index are different in size, the index value is also indexed so as to index all the index values to values between 0 and 1.
The specific indexing in the embodiments of the present application is implemented as follows:
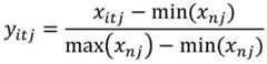
Figure BDA0002334828640000161
yitjand the normalized index number of the ith area/domain, the tth period and the jth three-level index is represented. Wherein x isitjThe concrete numerical value, min (x), of the ith area/field, the tth period and the jth tertiary indexnj) Minimum value, max (x) of all regions/domains in jth three-level index with n years as basenj) The maximum value of all regions/fields in the jth tertiary index with n years as the base number is shown, wherein the n years as the base number can be 2009, 2019 and the like, and the data of the corresponding year can be determined according to actual needs.
Step 104, carrying out weighted summation on the indexed index values to obtain a development index value of a third object; and the third correspondence is an object after the first object and the second object are associated.
In the embodiment of the application, after 17 values of the three-level index are obtained, weighting is performed according to a preset weight value to calculate 4 second-level index values, and the index values of the financial science and technology industry are calculated by weighting the 4 second-level index values.
The specific calculation formula is given below:
after the exponential value of the third-level index is obtained, calculating by a weighted average method to obtain a second-level index, wherein the calculation formula is as follows:
Figure BDA0002334828640000171
wherein, aiA weight representing an ith tertiary index; m is the number of the third-level indexes corresponding to the calculated second-level indexes;
after the second-level index is obtained, calculating to obtain a final financial technology industry development index FII through weighted average, wherein the calculation formula is as follows:
Figure BDA0002334828640000172
wherein A isIA weight representing the I second level index; k is the number of the secondary indexes.
A specific numerical example is given below, see Table 4, where Table 4 shows the composition and weight of specific indices of financial science and technology development index.
Figure BDA0002334828640000173
Figure BDA0002334828640000181
TABLE 4
In a specific implementation, the index value of the financial technology industry can be directly weighted and calculated by directly using 17 index values. This is not limited in the embodiments of the present application.
Step 105, determining the development status of the third subject according to the development index value.
The larger the development index value in the examples of the present application, the better the development status of the subject.
In the embodiment of the application, the development index value of the determined object can be used for comparing the development conditions of the object in different time periods, the development conditions of the same object in different regions and the like.
The first application example compares the development conditions of the same subject at different time periods:
acquiring an association relation between description information of a first object and description information of a second object, and distributing a description label for the association relation;
acquiring a main body of which the description information is matched with the description label and data corresponding to the attribute information of the main body;
counting the data within a first preset time to obtain a plurality of index values, and performing indexing on the index values; weighting and summing the indexed index values to obtain a development index value corresponding to the third object in first preset time;
counting the data within a second preset time to obtain a plurality of index values, and performing indexing on the index values; weighting and summing the indexed index values to obtain a development index value corresponding to the third object in second preset time;
comparing the development index value of the third object at a second preset time with the development index value at a first preset time;
when the development index value of the third subject corresponding to the second preset time is determined to be larger than the development index value corresponding to the first preset time, determining that the development condition of the third subject in the second preset time is better than the development condition of the third subject in the first preset time;
when the development index value of the third subject corresponding to the second preset time is determined to be smaller than the development index value corresponding to the first preset time, determining that the development condition of the third subject in the first preset time is better than the development condition of the third subject in the second preset time;
when the development index value of the third subject at the second preset time is determined to be equal to the development index value at the first preset time, determining that the development condition of the third subject at the first preset time is the same as the development condition of the third subject at the second preset time.
The second application example, compares the development status of the same object in different domains:
acquiring an association relation between description information of a first object and description information of a second object, and distributing a description label for the association relation;
acquiring a main body of which the description information is matched with the description label and data corresponding to the attribute information of the main body;
counting the data in a first preset region to obtain a plurality of index values, and performing indexing on the index values; weighting and summing the indexed index values to obtain a development index value corresponding to the third object in a first preset region;
counting the data in a second preset region to obtain a plurality of index values, and performing indexing on the index values; weighting and summing the indexed index values to obtain a development index value corresponding to the third object in a second preset region;
comparing the development index value of the third object corresponding to the second preset region with the development index value corresponding to the first preset region;
when the development index value of the third object in the second preset region is determined to be larger than the development index value in the first preset region, determining that the development condition of the third object in the second preset region is better than that in the first preset region;
when the development index value of the third object corresponding to the second preset region is determined to be smaller than the development index value corresponding to the first preset region, determining that the development condition of the third object in the first preset region is better than that in the second preset region;
when it is determined that the development index value of the third object corresponding to the second preset region is equal to the development index value corresponding to the first preset region, it is determined that the development condition of the third object in the first preset region is the same as the development condition in the second preset region.
To sum up, this application finds the data of the whole volume enterprise through the carding of the key link of the whole industrial chain of finance and technology. The platform positions the industrial label and the business label of the enterprise according to the description text of the enterprise by using the method of artificial intelligence and big data. The method comprises the steps of comprehensively adding enterprises of a traditional financial industry chain and enterprises of a high and new technology industry chain to obtain the financial technology industry chain, finding mass enterprises in the industry chain according to the financial technology industry chain, and obtaining and measuring development conditions of two fused industry objects through statistics of data of related enterprises.
Based on the same inventive concept, the embodiment of the application also provides a data processing device. Fig. 2 is a schematic structural diagram of an apparatus applied to the above-described technology in the embodiment of the present application. The device includes: afirst acquisition unit 201, adistribution unit 202, asecond acquisition unit 203, astatistic unit 204, acalculation unit 205, and adetermination unit 206;
afirst acquisition unit 201 configured to acquire an association relationship between description information of a first object and description information of a second object;
an allocatingunit 202, configured to allocate a description tag to the association relationship acquired by the first acquiringunit 201;
a second obtainingunit 203, configured to obtain a main body whose description information matches the description tag assigned by the assigningunit 202, and data corresponding to attribute information of the main body;
acounting unit 204, configured to count the data acquired by the second acquiringunit 203 to acquire a plurality of index values, and perform indexing on the index values;
a calculatingunit 205, configured to perform weighted summation on the index values indexed by thestatistical unit 204 to obtain a development index value of a third object; the third correspondence is an object after the first object and the second object are associated;
a determiningunit 206, configured to determine a development status of the third subject according to the development index value obtained by the calculatingunit 205.
Preferably, the first and second electrodes are formed of a metal,
the first obtainingunit 201, specifically configured to obtain an association relationship between description information of a first object and description information of a second object, includes: acquiring all description information of a first object as a first description information set; acquiring all description information of a second object as a second description information set; respectively determining whether an association relationship exists between each piece of description information in the first description information set and each piece of description information in the second description information set; and acquiring the description information in the first description information set and the description information in the second description information set which have the association relationship.
Preferably, the first and second electrodes are formed of a metal,
the allocatingunit 202 is specifically configured to, when allocating the description tag to the association relationship, include: and determining the technical field according to the description information in the first description information set and the description information in the second description information set corresponding to the association relationship, acquiring related keywords in the corresponding technical field, and taking the keywords as description labels of the association relationship.
The units of the above embodiments may be integrated into one body, or may be separately deployed; may be combined into one unit or further divided into a plurality of sub-units.
In another embodiment, an electronic device is also provided, comprising a memory, a processor and a computer program stored on the memory and executable on the processor, the processor implementing the steps of the data processing method when executing the program.
In another embodiment, a computer readable storage medium is also provided, having stored thereon computer instructions, which when executed by a processor, may implement the steps in the data processing method.
Fig. 3 is a schematic physical structure diagram of an electronic device according to an embodiment of the present invention. As shown in fig. 3, the electronic device may include: a processor (processor)310, a communication Interface (communication Interface)320, a memory (memory)330 and acommunication bus 340, wherein theprocessor 310, thecommunication Interface 320 and thememory 330 communicate with each other via thecommunication bus 340. Theprocessor 310 may call logic instructions in thememory 330 to perform the following method:
acquiring an association relation between description information of a first object and description information of a second object, and distributing a description label for the association relation;
acquiring a main body of which the description information is matched with the description label and data corresponding to the attribute information of the main body;
counting the data to obtain a plurality of index values, and indexing the index values;
weighted summation is carried out on the indexed index values to obtain a development index value of a third object; the third correspondence is an object after the first object and the second object are associated;
determining a development status of the third subject according to the development index value.
In addition, the logic instructions in thememory 330 may be implemented in the form of software functional units and stored in a computer readable storage medium when the software functional units are sold or used as independent products. Based on such understanding, the technical solution of the present invention may be embodied in the form of a software product, which is stored in a storage medium and includes instructions for causing a computer device (which may be a personal computer, a server, or a network device) to execute all or part of the steps of the method according to the embodiments of the present invention. And the aforementioned storage medium includes: a U-disk, a removable hard disk, a Read-Only Memory (ROM), a Random Access Memory (RAM), a magnetic disk or an optical disk, and other various media capable of storing program codes.
The above-described embodiments of the apparatus are merely illustrative, and the units described as separate parts may or may not be physically separate, and parts displayed as units may or may not be physical units, may be located in one place, or may be distributed on a plurality of network units. Some or all of the modules may be selected according to actual needs to achieve the purpose of the solution of the present embodiment. One of ordinary skill in the art can understand and implement it without inventive effort.
Through the above description of the embodiments, those skilled in the art will clearly understand that each embodiment can be implemented by software plus a necessary general hardware platform, and certainly can also be implemented by hardware. With this understanding in mind, the above-described technical solutions may be embodied in the form of a software product, which can be stored in a computer-readable storage medium such as ROM/RAM, magnetic disk, optical disk, etc., and includes instructions for causing a computer device (which may be a personal computer, a server, or a network device, etc.) to execute the methods described in the embodiments or some parts of the embodiments.
The above description is only for the purpose of illustrating the preferred embodiments of the present invention and is not to be construed as limiting the invention, and any modifications, equivalents, improvements and the like made within the spirit and principle of the present invention should be included in the scope of the present invention.

Claims (10)

1. A method of data processing, the method comprising:
acquiring an association relation between description information of a first object and description information of a second object, and distributing a description label for the association relation;
acquiring a main body of which the description information is matched with the description label and data corresponding to the attribute information of the main body;
counting the data to obtain a plurality of index values, and indexing the index values;
weighted summation is carried out on the indexed index values to obtain a development index value of a third object; the third correspondence is an object after the first object and the second object are associated;
determining a development status of the third subject according to the development index value.
2. The method according to claim 1, wherein the obtaining of the association relationship between the description information of the first object and the description information of the second object comprises:
acquiring all description information of a first object as a first description information set;
acquiring all description information of a second object as a second description information set;
respectively determining whether an association relationship exists between each piece of description information in the first description information set and each piece of description information in the second description information set;
and acquiring the description information in the first description information set and the description information in the second description information set which have the association relationship.
3. The method according to claim 1, wherein said assigning a description label to the association comprises:
and determining the technical field according to the description information in the first description information set and the description information in the second description information set corresponding to the association relationship, acquiring related keywords in the corresponding technical field, and taking the keywords as description labels of the association relationship.
4. The method according to any one of claims 1-3, wherein the method further comprises:
counting the data within a first preset time to obtain a plurality of index values, and performing indexing on the index values; weighting and summing the indexed index values to obtain a development index value corresponding to the third object in first preset time;
counting the data within a second preset time to obtain a plurality of index values, and performing indexing on the index values; weighting and summing the indexed index values to obtain a development index value corresponding to the third object in second preset time;
comparing the development index value of the third object at a second preset time with the development index value at a first preset time;
when the development index value of the third subject corresponding to the second preset time is determined to be larger than the development index value corresponding to the first preset time, determining that the development condition of the third subject in the second preset time is better than the development condition of the third subject in the first preset time;
when the development index value of the third subject corresponding to the second preset time is determined to be smaller than the development index value corresponding to the first preset time, determining that the development condition of the third subject in the first preset time is better than the development condition of the third subject in the second preset time;
when the development index value of the third subject at the second preset time is determined to be equal to the development index value at the first preset time, determining that the development condition of the third subject at the first preset time is the same as the development condition of the third subject at the second preset time.
5. The method according to any one of claims 1-3, wherein the method further comprises:
counting the data in a first preset region to obtain a plurality of index values, and performing indexing on the index values; weighting and summing the indexed index values to obtain a development index value corresponding to the third object in a first preset region;
counting the data in a second preset region to obtain a plurality of index values, and performing indexing on the index values; weighting and summing the indexed index values to obtain a development index value corresponding to the third object in a second preset region;
comparing the development index value of the third object corresponding to the second preset region with the development index value corresponding to the first preset region;
when the development index value of the third object in the second preset region is determined to be larger than the development index value in the first preset region, determining that the development condition of the third object in the second preset region is better than that in the first preset region;
when the development index value of the third object corresponding to the second preset region is determined to be smaller than the development index value corresponding to the first preset region, determining that the development condition of the third object in the first preset region is better than that in the second preset region;
when it is determined that the development index value of the third object corresponding to the second preset region is equal to the development index value corresponding to the first preset region, it is determined that the development condition of the third object in the first preset region is the same as the development condition in the second preset region.
6. A data processing apparatus, characterized in that the apparatus comprises: the device comprises a first acquisition unit, a distribution unit, a second acquisition unit, a statistic unit, a calculation unit and a determination unit;
the first acquisition unit is used for acquiring the association relationship between the description information of the first object and the description information of the second object;
the distribution unit is configured to distribute a description tag to the association relation acquired by the first acquisition unit;
the second acquiring unit is used for acquiring a main body of which the description information is matched with the description label distributed by the distributing unit and data corresponding to the attribute information of the main body;
the statistical unit is used for performing statistics on the data acquired by the second acquisition unit to acquire a plurality of index values and performing indexing on the index values;
the calculation unit is used for weighting and summing the index values indexed by the statistical unit to obtain a development index value of a third object; the third correspondence is an object after the first object and the second object are associated;
the determining unit is used for determining the development condition of the third object according to the development index value acquired by the calculating unit.
7. The apparatus of claim 6,
the first obtaining unit is specifically configured to, when obtaining an association relationship between description information of a first object and description information of a second object, include: acquiring all description information of a first object as a first description information set; acquiring all description information of a second object as a second description information set; respectively determining whether an association relationship exists between each piece of description information in the first description information set and each piece of description information in the second description information set; and acquiring the description information in the first description information set and the description information in the second description information set which have the association relationship.
8. The apparatus of claim 7,
the allocation unit, when specifically configured to allocate the description tag to the association relationship, includes: and determining the technical field according to the description information in the first description information set and the description information in the second description information set corresponding to the association relationship, acquiring related keywords in the corresponding technical field, and taking the keywords as description labels of the association relationship.
9. An electronic device comprising a memory, a processor and a computer program stored on the memory and executable on the processor, characterized in that the processor implements the method according to any of claims 1-5 when executing the program.
10. A computer-readable storage medium, on which a computer program is stored, which program, when being executed by a processor, is adapted to carry out the method of any one of claims 1 to 5.
CN201911351797.9A2019-12-252019-12-25Data processing method and deviceActiveCN111178740B (en)

Priority Applications (1)

Application NumberPriority DateFiling DateTitle
CN201911351797.9ACN111178740B (en)2019-12-252019-12-25Data processing method and device

Applications Claiming Priority (1)

Application NumberPriority DateFiling DateTitle
CN201911351797.9ACN111178740B (en)2019-12-252019-12-25Data processing method and device

Publications (2)

Publication NumberPublication Date
CN111178740Atrue CN111178740A (en)2020-05-19
CN111178740B CN111178740B (en)2023-02-03

Family

ID=70656561

Family Applications (1)

Application NumberTitlePriority DateFiling Date
CN201911351797.9AActiveCN111178740B (en)2019-12-252019-12-25Data processing method and device

Country Status (1)

CountryLink
CN (1)CN111178740B (en)

Citations (5)

* Cited by examiner, † Cited by third party
Publication numberPriority datePublication dateAssigneeTitle
US20100017378A1 (en)*2008-07-162010-01-21Oracle International CorporationEnhanced use of tags when storing relationship information of enterprise objects
CN102934140A (en)*2010-05-312013-02-13数据傅维盛有限公司 Economic Activity Indicator Alert System
CN106156116A (en)*2015-04-072016-11-23富士通株式会社Information issuing method and system
CN107423362A (en)*2017-06-202017-12-01阿里巴巴集团控股有限公司Industry determines method, Method of Get Remote Object and device, client, server
CN108416494A (en)*2018-01-292018-08-17广州越秀金融科技有限公司Corporate client portrait construction method and system based on big data are realized

Patent Citations (5)

* Cited by examiner, † Cited by third party
Publication numberPriority datePublication dateAssigneeTitle
US20100017378A1 (en)*2008-07-162010-01-21Oracle International CorporationEnhanced use of tags when storing relationship information of enterprise objects
CN102934140A (en)*2010-05-312013-02-13数据傅维盛有限公司 Economic Activity Indicator Alert System
CN106156116A (en)*2015-04-072016-11-23富士通株式会社Information issuing method and system
CN107423362A (en)*2017-06-202017-12-01阿里巴巴集团控股有限公司Industry determines method, Method of Get Remote Object and device, client, server
CN108416494A (en)*2018-01-292018-08-17广州越秀金融科技有限公司Corporate client portrait construction method and system based on big data are realized

Non-Patent Citations (1)

* Cited by examiner, † Cited by third party
Title
杨建明: "关系抽取方法研究", 《电子技术》*

Also Published As

Publication numberPublication date
CN111178740B (en)2023-02-03

Similar Documents

PublicationPublication DateTitle
US20200252423A1 (en)Systems and methods for vulnerability assessment and remedy identification
US10504120B2 (en)Determining a temporary transaction limit
CN112668859A (en)Big data based customer risk rating method, device, equipment and storage medium
CN111639077B (en)Data management method, device, electronic equipment and storage medium
CN113095408A (en)Risk determination method and device and server
CN113989019A (en)Method, device, equipment and storage medium for identifying risks
CN107622326A (en)User's classification, available resources Forecasting Methodology, device and equipment
CN104321794A (en)A system and method using multi-dimensional rating to determine an entity's future commercial viability
JP2016206878A (en) Salesperson training support system and salesperson training support method
CN112348321A (en)Risk user identification method and device and electronic equipment
CN111476653A (en)Risk information identification, determination and model training method and device
CN112950347B (en)Resource data processing optimization method and device, storage medium and terminal
CN110489691A (en)Page assembly display methods and terminal device
CN112990386A (en)User value clustering method and device, computer equipment and storage medium
CN116012152A (en)Method, device and equipment for identifying abnormal transaction entity and readable storage medium
CN113379534A (en)Risk assessment method, device, equipment and storage medium
CN112015909A (en)Knowledge graph construction method and device, electronic equipment and storage medium
CN116523301A (en)System for predicting risk rating based on big data of electronic commerce
CN110597984A (en)Method and device for determining abnormal behavior user information, storage medium and terminal
CN110019774B (en)Label distribution method, device, storage medium and electronic device
CN113723522B (en)Abnormal user identification method and device, electronic equipment and storage medium
CN115034654A (en)Asset assessment method, device, equipment and storage medium
KR101960863B1 (en)System of valuation of technology
CN119172476A (en) Method, system and device for intelligent sorting of outbound calls for non-performing assets based on machine learning
CN112016830A (en)Patent file evaluation task allocation method and device

Legal Events

DateCodeTitleDescription
PB01Publication
PB01Publication
SE01Entry into force of request for substantive examination
SE01Entry into force of request for substantive examination
GR01Patent grant
GR01Patent grant

[8]ページ先頭

©2009-2025 Movatter.jp