




技术领域technical field
本申请涉及电网故障检测技术领域,尤其涉及一种配电网线路故障定位方法及系统。The present application relates to the technical field of power grid fault detection, and in particular, to a method and system for locating line faults in a power distribution network.
背景技术Background technique
配电网作为连接输电网和电力用户的供需纽带,具有线路结构变化多、故障情况复杂的特点,线路故障会严重影响电网的安全稳定运行,配电线路最常见的故障是单相接地故障和潜伏性故障,精确定位故障是减少停电时间和加速供电恢复的关键技术,如何提高故障定位速度、减小故障定位难度是本领域人员亟待解决的问题。As a supply and demand link connecting the transmission network and power users, the distribution network has the characteristics of many changes in line structure and complex fault conditions. Line faults will seriously affect the safe and stable operation of the power grid. The most common faults in distribution lines are single-phase ground faults and Latent faults and accurate fault location are the key technologies to reduce power outage time and accelerate power supply recovery. How to improve the speed of fault location and reduce the difficulty of fault location is an urgent problem for those skilled in the art.
目前常用的故障定位方法有:第一种方法:利用监测故障指示器发出的录波信号及故障简报信息,根据故障简报信息从终端获取相应的录波文件目录,对录波文件目录进行拓扑分析,查找录波文件对应的电网线路所属的母线区域,计算母线区域中每条线路的故障特征量,将单位差流最大的线路视为故障线路;第二种方法:各故障定位终端对配电网进行区段划分,获取各故障定位终端数据,根据录波数据,对各个终端所采集的电流、电压数据进行处理,根据各终端数据处理结果对比,判断配电网是否发生接地故障。At present, the commonly used fault location methods are as follows: The first method: use the wave recording signal and fault briefing information sent by the monitoring fault indicator, obtain the corresponding wave recording file directory from the terminal according to the fault briefing information, and perform topology analysis on the wave recording file directory. , find the bus area to which the grid line corresponding to the wave recording file belongs, calculate the fault characteristic quantity of each line in the bus area, and regard the line with the largest unit differential current as the fault line; The network is divided into sections, the data of each fault location terminal is obtained, the current and voltage data collected by each terminal are processed according to the wave recording data, and whether the ground fault occurs in the distribution network is judged according to the comparison of the data processing results of each terminal.
但是,第一种方法只能确定发生故障的线路,不能确定发生故障的位置;第二种方法中只能确定发生故障的区段,如果要求故障定位获得区段范围较小,则需要建设多个故障定位终端,并且不能精确确定发生故障的位置。However, the first method can only determine the faulted line, not the location of the fault; in the second method, only the faulted section can be determined. If the fault location is required to obtain a small range of sections, it is necessary to build more a fault locating terminal, and cannot precisely determine the location of the fault.
发明内容SUMMARY OF THE INVENTION
本申请提供了一种配电网线路故障定位方法及系统,以解决精确确定配电网中发生故障的位置的技术问题。The present application provides a method and system for locating a line fault in a distribution network to solve the technical problem of accurately determining the location of a fault in the distribution network.
为了解决上述技术问题,本申请实施例公开了如下技术方案:In order to solve the above technical problems, the embodiments of the present application disclose the following technical solutions:
第一方面,本申请提供了一种配电网线路故障定位方法,所述方法包括:In a first aspect, the present application provides a method for locating a line fault in a distribution network, the method comprising:
利用脉冲信号发生装置向线路中注入脉冲电压信号;Use the pulse signal generating device to inject the pulse voltage signal into the line;
在各待测位置处设有局部放电检测传感器;A partial discharge detection sensor is provided at each position to be measured;
根据所述局部放电检测传感器检测到的所述脉冲电压信号获取并保存任意两待测位置间的距离及脉冲电压信号在任意两待测位置间传播的时间;Acquire and save the distance between any two positions to be measured and the propagation time of the pulse voltage signal between any two positions to be measured according to the pulse voltage signal detected by the partial discharge detection sensor;
当配电网发生故障时,局部放电检测传感器将采集的故障时产生的脉冲电压信号传输至控制中心;When the distribution network fails, the partial discharge detection sensor transmits the collected pulse voltage signal generated during the fault to the control center;
获取最先采集到故障时产生脉冲电压信号相对于工频电压信号的时刻tx及局部放电检测传感器对应的位置x;Obtain the time tx when the pulse voltage signal is first collected relative to the power frequency voltage signal and the position x corresponding to the partial discharge detection sensor;
分别获取位于所述位置x一侧的位置y及位置y处检测到第一脉冲电压信号相对于工频电压信号的时刻ty、位于所述位置x另一侧的位置z及位置y处检测到第一脉冲电压信号相对于工频电压信号的时刻tz;Obtain the position y on one side of the position x and the time ty when the first pulse voltage signal is detected relative to the power frequency voltage signal at the position y and the positiony , and the position z and the position y on the other side of the position x. to the time tz when the first pulse voltage signal is relative to the power frequency voltage signal;
根据tx、ty、tz及预先保存的脉冲电压信号在位置x与位置y间、位置x与位置z间传播所需要的时间判断故障点o位于位置x与位置y间或位置x与位置z间;According to tx ,ty , tz and the time required for the pre-stored pulse voltage signal to propagate between position x and position y, between position x and position z, it is judged that the fault point o is located between position x and position y or between position x and position z;
根据预先保存的位置x与位置y间距离及位置x与位置z间距离计算故障点o至位置x的距离。Calculate the distance from the fault point o to the position x according to the distance between the position x and the position y saved in advance and the distance between the position x and the position z.
可选的,所述在各待测位置处设有局部放电检测传感器,包括:Optionally, the partial discharge detection sensor is provided at each position to be measured, including:
在待测位置k处和k+1处分别设有局部放电检测传感器,所述局部放电检测传感器沿三相线路设置。Partial discharge detection sensors are respectively provided at positions k and k+1 to be measured, and the partial discharge detection sensors are arranged along the three-phase line.
可选的,所述根据所述局部放电检测传感器检测到的所述脉冲电压信号获取并保存任意两待测位置间的距离及脉冲电压信号在任意两待测位置间传播的时间,包括:Optionally, obtaining and saving the distance between any two positions to be measured and the time that the pulse voltage signal propagates between any two positions to be measured according to the pulse voltage signal detected by the partial discharge detection sensor, including:
所述局部放电检测传感器将采集到的脉冲电压信号传输至控制中心;The partial discharge detection sensor transmits the collected pulse voltage signal to the control center;
所述控制中心获取所述第一脉冲电压信号相对于系统工频电压的相位其中所述第一脉冲电压信号为局部放电检测传感器最先采集到的脉冲电压信号;The control center obtains the phase of the first pulse voltage signal relative to the system power frequency voltage The first pulse voltage signal is the pulse voltage signal first collected by the partial discharge detection sensor;
根据获取脉冲电压信号在位置k处和k+1间传播的时间;according to Obtain the time that the pulse voltage signal propagates between the position k and k+1;
根据获取位置k处和k+1处间的距离Lk(k+1),其中V为脉冲信号在线路中传播的速度,V=3*108m/s。according to Obtain the distance Lk(k+1) between the positions k and k+1, where V is the speed of the pulse signal propagating in the line, V=3*108 m/s.
可选的,所述当配电网发生故障时,局部放电检测传感器将采集的故障时产生的脉冲电压信号传输至控制中心,包括:Optionally, when a fault occurs in the distribution network, the partial discharge detection sensor transmits the collected pulse voltage signal generated when the fault occurs to the control center, including:
当配电网发生单相接地故障或潜伏性故障时,局部放电检测传感器检测到故障时产生的脉冲电压信号;When a single-phase ground fault or latent fault occurs in the distribution network, the partial discharge detection sensor detects the pulse voltage signal generated when the fault occurs;
通过GPS同步各局部放电检测传感器的时钟;Synchronize the clock of each partial discharge detection sensor through GPS;
记录局部放电检测传感器检测到故障时产生的脉冲电压信号及时刻;Record the pulse voltage signal and time generated when the partial discharge detection sensor detects the fault;
脉冲电压信号最大所在的相即为故障相。The phase with the largest pulse voltage signal is the faulty phase.
可选的,所述获取最先采集到故障时产生脉冲电压信号的时刻tx及局部放电检测传感器对应的位置x,包括:Optionally, the acquisition of the time tx when the pulse voltage signal is first collected and the position x corresponding to the partial discharge detection sensor when the fault is first collected, includes:
距离故障点o最近的局部放电检测传感器最先采集到脉冲电压信号;The partial discharge detection sensor closest to the fault point o first collects the pulse voltage signal;
位置x为距离故障点o最近的位置。The position x is the closest position to the fault point o.
可选的,所述根据tx、ty、tz及预先保存的脉冲电压信号在位置x与位置y间、位置x与位置z间传播所需要的时间判断故障点o位于位置x与位置y间或位置x与位置z间,包括:Optionally, according to tx ,ty , tz and the time required for the propagation of the pre-stored pulse voltage signal between the position x and the position y, and between the position x and the position z, it is judged that the fault point o is located at the position x and the position. Between y or between position x and position z, including:
根据计算出位置x与位置y检测到脉冲信号的时间差Δty、位置x与位置z检测到脉冲信号的时间差Δtz;according to Calculate the time difference Δty between the detected pulse signal at position x and position y, and the time difference Δt z between the detected pulse signal at position x and positionz ;
根据Δty、Δtz、脉冲信号在位置x与位置y之间传播时间Txy、脉冲信号在位置x与位置z之间传播时间Txz判断故障点o位于位置x与位置y间或位置x与位置z间;According to Δty , Δtz , the propagation time Txy of the pulse signal between the position x and the position y, and the propagation time Txz of the pulse signal between the position x and the position z, it is judged that the fault point o is located between the position x and the position y or the position x and the position x and position z;
若Δtz=Txz,Δty≠Txy,则故障点o位于位置x与位置y间;If Δtz =Txz , Δty ≠Txy , the fault point o is located between the position x and the position y;
若Δty=Txy,Δtz≠Txz,则故障点o位于位置位置x与位置z间。If Δty =Txy , Δtz ≠Txz , then the fault point o is located between position x and position z.
可选的,根据获取脉冲电压信号在位置x与位置y间传播时间Txy;optional, according to Obtain the propagation time Txy of the pulse voltage signal between the position x and the position y;
根据获取脉冲信号在位置x与位置z间传播时间Txz。according to Obtain the propagation time Txz of the pulse signal between position x and position z.
可选的,所述根据预先保存的位置x与位置y间距离及位置x与位置z间距离计算故障点o至位置x的距离,包括:Optionally, calculating the distance from the fault point o to the position x according to the pre-saved distance between the position x and the position y and the distance between the position x and the position z, including:
当故障点o位于位置x与位置y区间时,根据得到故障点o至位置x距离为其中Lxy为位置x与位置y间的距离;When the fault point o is located in the interval between position x and position y, according to The distance from the fault point o to the position x is obtained as where Lxy is the distance between position x and position y;
当故障点o位于位置x与位置z区间时,根据得到故障点o至位置x距离为其中Lxz为位置x与位置z之间的距离。When the fault point o is located in the interval between position x and position z, according to The distance from the fault point o to the position x is obtained as where Lxz is the distance between position x and position z.
可选的,根据获取位置x与位置y间的距离,其中V为脉冲信号在线路中传播的速度,V=3*108m/s;optional, according to Obtain the distance between the position x and the position y, where V is the speed of the pulse signal propagating in the line, V=3*108 m/s;
根据获取位置x与位置z间的距离,其中V为脉冲信号在线路中传播的速度,V=3*108m/s。according to Obtain the distance between the position x and the position z, where V is the speed of the pulse signal propagating in the line, V=3*108 m/s.
第二方面,基于上述的配电网线路故障定位方法,本申请还提供了一种配电网线路故障定位系统,所述系统包括:In the second aspect, based on the above distribution network line fault location method, the present application further provides a distribution network line fault location system, the system comprising:
脉冲信号发生装置,用于向线路中注入脉冲电压信号;A pulse signal generating device for injecting a pulse voltage signal into the line;
局部放电检测传感器,用于检测线路中的脉冲电压信号,并将所述脉冲电压信号传输至控制中心;The partial discharge detection sensor is used to detect the pulse voltage signal in the line, and transmit the pulse voltage signal to the control center;
用于当配电网发生故障时,局部放电检测传感器将采集的故障时产生的脉冲电压信号传输至控制中心;When the distribution network fails, the partial discharge detection sensor transmits the collected pulse voltage signal generated during the fault to the control center;
控制中心,用于根据所述局部放电检测传感器检测到的所述脉冲电压信号获取并保存任意两待测位置间的距离及脉冲电压信号在任意两待测位置间传播的时间;a control center, configured to acquire and save the distance between any two positions to be measured and the time that the pulse voltage signal propagates between any two positions to be measured according to the pulse voltage signal detected by the partial discharge detection sensor;
用于获取最先采集到故障时产生脉冲电压信号的时刻tx及局部放电检测传感器对应的位置x;It is used to obtain the time tx when the pulse voltage signal is first collected when the fault is generated and the position x corresponding to the partial discharge detection sensor;
用于分别获取位于所述位置x一侧的位置y及位置y处检测到第一脉冲电压信号的时刻ty、位于所述位置x另一侧的位置z及位置y处检测到第一脉冲电压信号的时刻tz;It is used to obtain the position y on one side of the position x and the time ty when the first pulse voltage signal is detected at the positiony , the position z on the other side of the position x and the first pulse detected at the position y. the time tz of the voltage signal;
用于根据tx、ty、tz及预先保存的脉冲电压信号在位置x与位置y间、位置x与位置z间传播所需要的时间判断故障点o位于位置x与位置y间或位置x与位置z间;It is used to judge whether the fault point o is located between the position x and the position y or the position x according to the time required for the propagation of the pulse voltage signal between the position x and the position y, between the position x and the position z according to tx ,ty , tz and the pre-stored pulse voltage signal and position z;
用于根据预先保存的位置x与位置y间距离及位置x与位置z间距离计算故障点o至位置x的距离。It is used to calculate the distance from the fault point o to the position x according to the pre-saved distance between the position x and the position y and the distance between the position x and the position z.
与现有技术相比,本申请的有益效果为:Compared with the prior art, the beneficial effects of the present application are:
由上述技术方案可见,本申请提供的配电网线路故障定位方法及系统中,It can be seen from the above technical solutions that in the distribution network line fault location method and system provided by the present application,
(1)利用脉冲信号发生装置向线路注入脉冲电压信号,安装在配电线路上的局部放电检测传感器检测系统电压信号,并将信号传输给控制中心,控制中心对信号分析,根据每个传感器接收到的第一个脉冲信号相对于系统工频电压的相位进行在线测量并保存任意两个局部放电检测传感器安装位置之间的距离及脉冲信号在任意两个局部放电检测传感器间传播所需要的时间。(1) The pulse signal generator is used to inject the pulse voltage signal into the line. The partial discharge detection sensor installed on the distribution line detects the system voltage signal, and transmits the signal to the control center. The control center analyzes the signal and receives the signal received by each sensor. The phase of the first pulse signal received is measured online relative to the phase of the system power frequency voltage, and the distance between any two partial discharge detection sensor installation positions and the time required for the pulse signal to propagate between any two partial discharge detection sensors are saved. .
(2)当配电网发生单相接地故障及潜伏性故障时会产生脉冲电压信号,距离故障点o最近的局部放电检测传感器最先检测到该脉冲电压信号,然后分析出最先检测到脉冲信号相对于工频电压信号的时刻tx及相应的位置x,找出位置x两侧检测位置y、z,以及位置y处检测到第一脉冲电压信号相对于工频电压信号的时刻ty、位置z处检测到第一脉冲电压信号相对于工频电压信号的时刻tz,然后根据tx、ty、tz及预先保存的脉冲电压信号在位置x与位置y间、位置x与位置z间传播所需要的时间判断故障点o位于位置x与位置y间或位置x与位置z间,最后预先保存的位置x与位置y间距离及位置x与位置z间距离计算故障点o至位置x的距离,此时即完成对故障的定位。(2) When a single-phase ground fault and a latent fault occur in the distribution network, a pulse voltage signal will be generated. The partial discharge detection sensor closest to the fault point o detects the pulse voltage signal first, and then analyzes that the pulse voltage signal is detected first. The time tx of the signal relative to the power frequency voltage signal and the corresponding position x, find out the detection positions y and z on both sides of the position x, and the time ty when the first pulse voltage signal is detected relative to the power frequency voltage signal at the positiony . , The time tz of the first pulse voltage signal relative to the power frequency voltage signal is detected at position z, and then according to tx ,ty , tz and the pre-stored pulse voltage signal between position x and position y, position x and position x The time required for propagation between positions z to determine the fault point o is located between position x and position y or between position x and position z, the last pre-saved distance between position x and position y and the distance between position x and position z Calculate the fault point o to The distance from the position x, the fault location is completed at this time.
本技术方案能够快速、准确地实现在线测距和故障定位,极大地减轻了运维人员的运维负担,缩短了故障排查时间,有效提升了电网供电可靠性和智能化水平。The technical solution can quickly and accurately realize online ranging and fault location, greatly reducing the operation and maintenance burden of operation and maintenance personnel, shortening the troubleshooting time, and effectively improving the reliability and intelligence of power supply of the power grid.
应当理解的是,以上的一般描述和后文的细节描述仅是示例性和解释性的,并不能限制本申请。It is to be understood that both the foregoing general description and the following detailed description are exemplary and explanatory only and are not limiting of the present application.
附图说明Description of drawings
为了更清楚地说明本申请的技术方案,下面将对实施例中所需要使用的附图作简单地介绍,显而易见地,对于本领域普通技术人员而言,在不付出创造性劳动的前提下,还可以根据这些附图获得其他的附图。In order to illustrate the technical solutions of the present application more clearly, the accompanying drawings required in the embodiments will be briefly introduced below. Obviously, for those of ordinary skill in the art, without creative work, the Additional drawings can be obtained from these drawings.
图1为本申请实施例提供的一种配电网线路故障定位方法的流程示意图;1 is a schematic flowchart of a method for locating a line fault in a distribution network provided by an embodiment of the present application;
图2为本申请实施例中局部放电检测传感器检测到脉冲信号时对应的系统相位示意图;2 is a schematic diagram of a system phase corresponding to when a partial discharge detection sensor detects a pulse signal in an embodiment of the present application;
图3为本申请实施例中提供的配电网线路故障定位方法的应用原理示意图;FIG. 3 is a schematic diagram of an application principle of the method for locating faults in a distribution network line provided in an embodiment of the present application;
图4为本申请实施例中提供的配电网线路故障定位方法的另一种应用原理示意图;FIG. 4 is a schematic diagram of another application principle of the method for locating a line fault in a distribution network provided in an embodiment of the application;
图5为本申请实施例提供的一种配电网线路故障定位系统的结构示意图;5 is a schematic structural diagram of a distribution network line fault location system provided by an embodiment of the present application;
其中,1-配电网线路,2-耦合电容器,3-局部放电检测传感器,4-脉冲信号发生装置,5-控制中心。Among them, 1- distribution network line, 2- coupling capacitor, 3- partial discharge detection sensor, 4- pulse signal generating device, 5- control center.
具体实施方式Detailed ways
为了使本技术领域的人员更好地理解本申请中的技术方案,下面将结合本申请实施例中的附图,对本申请实施例中的技术方案进行清楚、完整地描述,显然,所描述的实施例仅仅是本申请一部分实施例,而不是全部实施例。基于本申请中的实施例,本领域普通技术人员在没有做出创造性劳动前提下所获得的所有其他实施例,都应当属于本申请保护的范围。In order to make those skilled in the art better understand the technical solutions in the present application, the technical solutions in the embodiments of the present application will be described clearly and completely below with reference to the accompanying drawings in the embodiments of the present application. Obviously, the described The embodiments are only a part of the embodiments of the present application, but not all of the embodiments. Based on the embodiments in the present application, all other embodiments obtained by those of ordinary skill in the art without creative work shall fall within the scope of protection of the present application.
参见附图1,图1示出了本发明实施例提供的一种配电网线路故障定位方法的流程示意图。下面结合附图1对本申请实施例提供的配电网线路故障定位方法进行说明。Referring to FIG. 1 , FIG. 1 shows a schematic flowchart of a method for locating a line fault in a distribution network provided by an embodiment of the present invention. The following describes the method for locating the fault of the distribution network line provided by the embodiment of the present application with reference to FIG. 1 .
如图1所示,本申请提供的一种配电网线路故障定位方法,所述方法包括:As shown in FIG. 1 , a method for locating faults in a distribution network line provided by the present application includes:
S110:利用脉冲信号发生装置向线路中注入脉冲电压信号。S110: Use the pulse signal generating device to inject a pulse voltage signal into the line.
S120:在各待测位置处设有局部放电检测传感器。S120: A partial discharge detection sensor is provided at each position to be measured.
在线路上选取需要测量的位置,该位置处安装有局部放电检测传感器,该位置编号为k,用位置k表示,利用脉冲信号发生装置向线路上注入脉冲信号;Select the position to be measured on the line, where a partial discharge detection sensor is installed, the position number is k, which is represented by position k, and a pulse signal generator is used to inject a pulse signal into the line;
位置k、位置k+1处的局部放电检测传感器对系统电压信号进行采集,并将采集到的数据传输给控制中心。The partial discharge detection sensors at position k and position k+1 collect the system voltage signal, and transmit the collected data to the control center.
S130:根据所述局部放电检测传感器检测到的所述脉冲电压信号获取并保存任意两待测位置间的距离及脉冲电压信号在任意两待测位置间传播的时间。S130: Acquire and save the distance between any two positions to be measured and the propagation time of the pulse voltage signal between any two positions to be measured according to the pulse voltage signal detected by the partial discharge detection sensor.
所述局部放电检测传感器将采集到的脉冲电压信号传输至控制中心;The partial discharge detection sensor transmits the collected pulse voltage signal to the control center;
所述控制中心获取所述第一脉冲电压信号相对于系统工频电压的相位其中所述第一脉冲电压信号为局部放电检测传感器最先采集到的脉冲电压信号;The control center obtains the phase of the first pulse voltage signal relative to the system power frequency voltage The first pulse voltage signal is the pulse voltage signal first collected by the partial discharge detection sensor;
根据公式一:获取脉冲电压信号在位置k处和k+1间传播的时间;According to formula one: Obtain the time that the pulse voltage signal propagates between the position k and k+1;
根据公式二:获取位置k处和k+1处间的距离Lk(k+1),其中V为脉冲信号在线路中传播的速度,V=3*108m/s。According to formula two: Obtain the distance Lk(k+1) between the positions k and k+1, where V is the speed of the pulse signal propagating in the line, V=3*108 m/s.
重复上述步骤,可以计算并保存线路上所有区段的长度和脉冲信号在区段上传播时间。Repeat the above steps to calculate and save the length of all sections on the line and the propagation time of the pulse signal on the section.
S140:当配电网发生故障时,局部放电检测传感器将采集的故障时产生的脉冲电压信号传输至控制中心。S140: When a fault occurs in the distribution network, the partial discharge detection sensor transmits the collected pulse voltage signal generated when the fault occurs to the control center.
当配电网发生单相接地故障、潜伏性故障时,会产生脉冲信号,局部放电检测传感器检测到脉冲信号时,通过GPS完成各检测终端的时钟同步,记录各局部放电检测传感器检测到脉冲信号的时刻,并将检测到的信号与记录的时刻发送给控制中心,控制中心根据接收到的数据,判断出三相电网中故障相,脉冲信号最大的所在相即为故障相。When a single-phase ground fault or latent fault occurs in the distribution network, a pulse signal will be generated. When the partial discharge detection sensor detects the pulse signal, the clock synchronization of each detection terminal is completed through GPS, and the pulse signal detected by each partial discharge detection sensor is recorded. The detected signal and recorded time are sent to the control center. The control center judges the faulty phase in the three-phase power grid according to the received data, and the phase with the largest pulse signal is the faulty phase.
S150:获取最先采集到故障时产生脉冲电压信号相对于工频电压信号的时刻tx及局部放电检测传感器对应的位置x。S150: Acquire the time tx when the pulse voltage signal is first collected relative to the power frequency voltage signal and the position x corresponding to the partial discharge detection sensor.
距离故障点o最近的所述局部放电检测传感器最先检测故障信号,控制中心的数据分析模块对信号进行分析,分析出最先检测到脉冲信号相对于工频电压信号的时刻tx及相应的位置x,找出位置x两侧检测位置y、z,以及位置y处检测到脉冲信号的时刻ty、位置z处检测到脉冲信号的时刻tz。The partial discharge detection sensor closest to the fault point o first detects the fault signal, and the data analysis module of the control center analyzes the signal, and analyzes the time tx when the pulse signal is first detected relative to the power frequency voltage signal and the corresponding Position x, find out the detection positions y and z on both sides of position x, as well as the time ty when the pulse signal is detected at the positiony , and the time tz when the pulse signal is detected at the position z .
S160:分别获取位于所述位置x一侧的位置y及位置y处检测到第一脉冲电压信号相对于工频电压信号的时刻ty、位于所述位置x另一侧的位置z及位置y处检测到第一脉冲电压信号相对于工频电压信号的时刻tz。S160: Obtain the position y on one side of the position x and the time ty at which the first pulse voltage signal relative to the power frequency voltage signal is detected at the positiony , and the position z and the position y on the other side of the position x, respectively. Time tz when the first pulse voltage signal is detected relative to the power frequency voltage signal.
上述步骤中可与判断出故障点o发生在位置x的附近,故障点o位于位置x的左侧或右侧,因此在S160中分别获取位于所述位置x一侧的位置y及位置y处检测到第一脉冲电压信号相对于工频电压信号的时刻ty、位于所述位置x另一侧的位置z及位置y处检测到第一脉冲电压信号相对于工频电压信号的时刻tz。In the above steps, it can be determined that the fault point o occurs near the position x, and the fault point o is located on the left or right side of the position x, so in S160, the position y and the position y on the side of the position x are obtained respectively. The time ty when the first pulse voltage signal is detected relative to the power frequency voltage signal, the position z on the other side of the position x and the time tz when the first pulse voltage signal relative to the power frequency voltage signal is detected at the positiony .
S170:根据tx、ty、tz及预先保存的脉冲电压信号在位置x与位置y间、位置x与位置z间传播所需要的时间判断故障点o位于位置x与位置y间或位置x与位置z间。S170: Determine whether the fault point o is located between the position x and the position y or the position x according to the time required for the propagation of the pulse voltage signal between the position x and the position y, between the position x and the positionz according to tx , ty , tz and the pre-stored pulse voltage signal and position z.
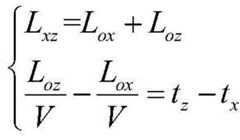
根据步骤S130中的公式一可以计算出脉冲信号在位置x与位置y之间传播时间Txy、脉冲信号在位置x与位置z之间传播时间Txz,具体为:According to the
根据获取脉冲电压信号在位置x与位置y间传播时间Txy;according to Obtain the propagation time Txy of the pulse voltage signal between the position x and the position y;
根据获取脉冲信号在位置x与位置z间传播时间Txz。according to Obtain the propagation time Txz of the pulse signal between position x and position z.
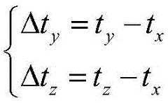
然后,根据计算出位置x与位置y检测到脉冲信号的时间差Δty、位置x与位置z检测到脉冲信号的时间差Δtz;Then, according to Calculate the time difference Δty between the detected pulse signal at position x and position y, and the time difference Δt z between the detected pulse signal at position x and positionz ;
若Δtz=Txz,Δty≠Txy,则故障点o位于位置x与位置y间;If Δtz =Txz , Δty ≠Txy , the fault point o is located between the position x and the position y;
若Δty=Txy,Δtz≠Txz,则故障点o位于位置位置x与位置z间。If Δty =Txy , Δtz ≠Txz , then the fault point o is located between position x and position z.
此时已经确定出故障点o所在的区段,即故障点o位于位置x与位置y间或者故障点o位于位置位置x与位置z间。At this time, the section where the fault point o is located has been determined, that is, the fault point o is located between the position x and the position y or the fault point o is located between the position position x and the position z.
S180:根据预先保存的位置x与位置y间距离及位置x与位置z间距离计算故障点o至位置x的距离。S180: Calculate the distance from the fault point o to the position x according to the pre-saved distance between the position x and the position y and the distance between the position x and the position z.
根据故障点o所在的区段分为如下两种情况:According to the section where the fault point o is located, it is divided into the following two situations:
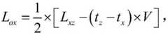
第一种:当故障点o位于位置x与位置y区间时,具体参考图3,图3示出了当故障点o位于位置x与位置y区间时的故障定位原理示意图,具体包括:根据得到故障点o至位置x距离为其中Lxy为位置x与位置y间的距离。The first type: when the fault point o is located between the position x and the position y, please refer to Fig. 3 for details. Fig. 3 shows a schematic diagram of the fault location principle when the fault point o is located between the position x and the position y, including: The distance from the fault point o to the position x is obtained as where Lxy is the distance between position x and position y.
其中Lxy根据步骤S130中的公式二计算,具体为:根据获取位置x与位置y间的距离,其中V为脉冲信号在线路中传播的速度,V=3*108m/s。Wherein Lxy is calculated according to
此时已经得到故障点o至位置x的具体距离,即已经完成当故障点o位于位置x与位置y区间时对故障点o的定位。At this time, the specific distance from the fault point o to the position x has been obtained, that is, the positioning of the fault point o has been completed when the fault point o is located between the position x and the position y.
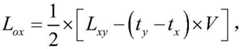
第二种:当故障点o位于位置x与位置z区间时,具体参考图4,图4示出了当故障点o位于位置x与位置z区间时的故障定位原理示意图,具体包括:根据得到故障点o至位置x距离为其中Lxz为位置x与位置z之间的距离。The second type: when the fault point o is located between the position x and the position z, please refer to Fig. 4 for details. Fig. 4 shows a schematic diagram of the fault location principle when the fault point o is located between the position x and the position z, including: The distance from the fault point o to the position x is obtained as where Lxz is the distance between position x and position z.
其中Lxz根据步骤S130中的公式二计算,具体为:根据获取位置x与位置z间的距离,其中V为脉冲信号在线路中传播的速度,V=3*108m/s。Wherein Lxz is calculated according to
此时已经得到故障点o至位置x的具体距离,即已经完成当故障点o位于位置x与位置z区间时对故障点o的定位。At this time, the specific distance from the fault point o to the position x has been obtained, that is, the positioning of the fault point o has been completed when the fault point o is located between the position x and the position z.
由上述技术方案可见,本申请提供的配电网线路故障定位方法中,It can be seen from the above technical solutions that in the distribution network line fault location method provided by the present application,
首先,利用脉冲信号发生装置向线路注入脉冲电压信号,安装在配电线路上的局部放电检测传感器检测系统电压信号,并将信号传输给控制中心,控制中心对信号分析,根据每个传感器接收到的第一个脉冲信号相对于系统工频电压的相位进行在线测量并保存任意两个局部放电检测传感器安装位置之间的距离及脉冲信号在任意两个局部放电检测传感器间传播所需要的时间。First, the pulse signal generator is used to inject pulse voltage signal into the line, the partial discharge detection sensor installed on the distribution line detects the system voltage signal, and transmits the signal to the control center. The first pulse signal of the system is measured online relative to the phase of the power frequency voltage of the system, and the distance between the installation positions of any two partial discharge detection sensors and the time required for the pulse signal to propagate between any two partial discharge detection sensors are saved.
当配电网发生单相接地故障及潜伏性故障时会产生脉冲电压信号,距离故障点o最近的局部放电检测传感器最先检测到该脉冲电压信号,然后分析出最先检测到脉冲信号相对于工频电压信号的时刻tx及相应的位置x,找出位置x两侧检测位置y、z,以及位置y处检测到第一脉冲电压信号相对于工频电压信号的时刻ty、位置z处检测到第一脉冲电压信号相对于工频电压信号的时刻tz,然后根据tx、ty、tz及预先保存的脉冲电压信号在位置x与位置y间、位置x与位置z间传播所需要的时间判断故障点o位于位置x与位置y间或位置x与位置z间,最后预先保存的位置x与位置y间距离及位置x与位置z间距离计算故障点o至位置x的距离,此时即完成对故障的定位。When a single-phase ground fault and a latent fault occur in the distribution network, a pulse voltage signal will be generated. The partial discharge detection sensor closest to the fault point o first detects the pulse voltage signal, and then analyzes that the pulse signal detected first is relative to the The time tx of the power frequency voltage signal and the corresponding position x, find out the detection positionsy and z on both sides of the position x, and the time ty and position z when the first pulse voltage signal is detected relative to the power frequency voltage signal at the position y. At the time tz when the first pulse voltage signal is detected relative to the power frequency voltage signal, and then according to tx ,ty , tz and the pre-stored pulse voltage signal between position x and position y, between position x and position z The time required for propagation to determine the fault point o is located between position x and position y or between position x and position z, and finally the pre-saved distance between position x and position y and the distance between position x and position z Calculate the distance from fault point o to position x distance, the fault location is completed at this time.
本技术方案能够快速、准确地实现在线测距和故障定位,极大地减轻了运维人员的运维负担,缩短了故障排查时间,有效提升了电网供电可靠性和智能化水平。The technical solution can quickly and accurately realize online ranging and fault location, greatly reducing the operation and maintenance burden of operation and maintenance personnel, shortening the troubleshooting time, and effectively improving the reliability and intelligence of power supply of the power grid.
第二方面,本申请基于上述的配电网线路故障定位方法,本申请还提供了一种配电网线路故障定位系统,如图5所示,所述系统包括:In the second aspect, the present application is based on the above distribution network line fault location method, and the present application also provides a distribution network line fault location system, as shown in FIG. 5 , the system includes:
脉冲信号发生装置4,用于向配电网线路1中注入脉冲电压信号;The pulse
配电网线路1上依次设置有耦合电容器2、脉冲信号发生装置4及局部放电检测传感器3。A
局部放电检测传感器3,用于检测配电网线路1中的脉冲电压信号,并将所述脉冲电压信号传输至控制中心5;The partial
用于当配电网发生故障时,局部放电检测传感器3将采集的故障时产生的脉冲电压信号传输至控制中心5;When the power distribution network fails, the partial
控制中心5,用于根据所述局部放电检测传感器3检测到的所述脉冲电压信号获取并保存任意两待测位置间的距离及脉冲电压信号在任意两待测位置间传播的时间;The
用于获取最先采集到故障时产生脉冲电压信号的时刻tx及局部放电检测传感器3对应的位置x;It is used to obtain the time tx when the pulse voltage signal is first collected when the fault is generated and the position x corresponding to the partial
用于分别获取位于所述位置x一侧的位置y及位置y处检测到第一脉冲电压信号的时刻ty、位于所述位置x另一侧的位置z及位置y处检测到第一脉冲电压信号的时刻tz;It is used to obtain the position y on one side of the position x and the time ty when the first pulse voltage signal is detected at the positiony , the position z on the other side of the position x and the first pulse detected at the position y. the time tz of the voltage signal;
用于根据tx、ty、tz及预先保存的脉冲电压信号在位置x与位置y间、位置x与位置z间传播所需要的时间判断故障点o位于位置x与位置y间或位置x与位置z间;It is used to judge whether the fault point o is located between the position x and the position y or the position x according to the time required for the propagation of the pulse voltage signal between the position x and the position y, between the position x and the position z according to tx ,ty , tz and the pre-stored pulse voltage signal and position z;
用于根据预先保存的位置x与位置y间距离及位置x与位置z间距离计算故障点o至位置x的距离。It is used to calculate the distance from the fault point o to the position x according to the pre-saved distance between the position x and the position y and the distance between the position x and the position z.
由于以上实施方式均是在其他方式之上引用结合进行说明,不同实施例之间均具有相同的部分,本说明书中各个实施例之间相同、相似的部分互相参见即可。在此不再详细阐述。Since the above embodiments are all cited and combined with other modes for description, different embodiments all have the same parts, and the same and similar parts among the various embodiments in this specification can be referred to each other. It will not be elaborated here.
本领域技术人员在考虑说明书及实践这里发明的公开后,将容易想到本申请的其他实施方案。本申请旨在涵盖本发明的任何变型、用途或者适应性变化,这些变型、用途或者适应性变化遵循本申请的一般性原理并包括本申请未公开的本技术领域中的公知常识或惯用技术手段。说明书和实施例仅被视为示例性的,本申请的真正范围和精神由权利要求的内容指出。Other embodiments of the present application will readily suggest themselves to those skilled in the art upon consideration of the specification and practice of the disclosure disclosed herein. This application is intended to cover any variations, uses or adaptations of the present invention that follow the general principles of this application and include common knowledge or common technical means in the technical field not disclosed in this application . The specification and examples are to be regarded as exemplary only, with the true scope and spirit of the application being indicated by the content of the claims.
以上所述的本申请实施方式并不构成对本申请保护范围的限定。The above-described embodiments of the present application do not limit the protection scope of the present application.
| Application Number | Priority Date | Filing Date | Title |
|---|---|---|---|
| CN202010081955.XACN111175609B (en) | 2020-02-06 | 2020-02-06 | Distribution network line fault location method and system |
| Application Number | Priority Date | Filing Date | Title |
|---|---|---|---|
| CN202010081955.XACN111175609B (en) | 2020-02-06 | 2020-02-06 | Distribution network line fault location method and system |
| Publication Number | Publication Date |
|---|---|
| CN111175609A CN111175609A (en) | 2020-05-19 |
| CN111175609Btrue CN111175609B (en) | 2022-04-12 |
| Application Number | Title | Priority Date | Filing Date |
|---|---|---|---|
| CN202010081955.XAActiveCN111175609B (en) | 2020-02-06 | 2020-02-06 | Distribution network line fault location method and system |
| Country | Link |
|---|---|
| CN (1) | CN111175609B (en) |
| Publication number | Priority date | Publication date | Assignee | Title |
|---|---|---|---|---|
| CN113917296A (en)* | 2021-09-30 | 2022-01-11 | 海南电网有限责任公司电力科学研究院 | Diagnosis method for circuit multi-point hidden danger discharge |
| CN114814464B (en)* | 2022-05-17 | 2024-06-14 | 云南电网有限责任公司临沧供电局 | Three-phase circuit fault finding system and method |
| CN119959689A (en)* | 2025-04-09 | 2025-05-09 | 广东电网有限责任公司中山供电局 | Distributed fault location method, device, equipment and medium for closed-loop distribution network |
| Publication number | Priority date | Publication date | Assignee | Title |
|---|---|---|---|---|
| EP0696830A1 (en)* | 1994-08-09 | 1996-02-14 | Licentia Patent-Verwaltungs-GmbH | Locating earth faults in electric networks with grounding coil |
| CN101231323A (en)* | 2008-01-31 | 2008-07-30 | 钱冠军 | Distributed high-precision transmission line travelling wave positioning system |
| JP2009186266A (en)* | 2008-02-05 | 2009-08-20 | Jfe Steel Corp | Micro ground fault detector |
| CN102221660A (en)* | 2011-03-18 | 2011-10-19 | 华北电力大学 | On-line positioner of small current earth fault |
| CN102495336A (en)* | 2011-12-29 | 2012-06-13 | 上海交通大学 | Distributed single-phase earth fault ranging system and ranging method thereof |
| CN103760467A (en)* | 2014-01-27 | 2014-04-30 | 西安兴汇电力科技有限公司 | Method for inspecting single-phase earth fault point of power distribution network |
| CN106855603A (en)* | 2016-12-19 | 2017-06-16 | 李庆忠 | Feeder line fault independent positioning method, detecting terminal, main website, alignment system |
| CN106959401A (en)* | 2017-03-24 | 2017-07-18 | 国网山东省电力公司 | A kind of distributed travelling wave ranging method |
| CN109901024A (en)* | 2019-04-22 | 2019-06-18 | 国网河南省电力公司三门峡供电公司 | A fault location method for overhead-cable hybrid lines |
| Publication number | Priority date | Publication date | Assignee | Title |
|---|---|---|---|---|
| EP0696830A1 (en)* | 1994-08-09 | 1996-02-14 | Licentia Patent-Verwaltungs-GmbH | Locating earth faults in electric networks with grounding coil |
| CN101231323A (en)* | 2008-01-31 | 2008-07-30 | 钱冠军 | Distributed high-precision transmission line travelling wave positioning system |
| JP2009186266A (en)* | 2008-02-05 | 2009-08-20 | Jfe Steel Corp | Micro ground fault detector |
| CN102221660A (en)* | 2011-03-18 | 2011-10-19 | 华北电力大学 | On-line positioner of small current earth fault |
| CN102495336A (en)* | 2011-12-29 | 2012-06-13 | 上海交通大学 | Distributed single-phase earth fault ranging system and ranging method thereof |
| CN103760467A (en)* | 2014-01-27 | 2014-04-30 | 西安兴汇电力科技有限公司 | Method for inspecting single-phase earth fault point of power distribution network |
| CN106855603A (en)* | 2016-12-19 | 2017-06-16 | 李庆忠 | Feeder line fault independent positioning method, detecting terminal, main website, alignment system |
| CN106959401A (en)* | 2017-03-24 | 2017-07-18 | 国网山东省电力公司 | A kind of distributed travelling wave ranging method |
| CN109901024A (en)* | 2019-04-22 | 2019-06-18 | 国网河南省电力公司三门峡供电公司 | A fault location method for overhead-cable hybrid lines |
| Title |
|---|
| 含多微网的主动配电网故障区段定位算法;马腾飞等;《电力系统保护与控制》;20170430;第45卷(第07期);全文* |
| 基于分布式行波检测的配电网单相接地故障定位方法;杨毅等;《电测与仪表》;20150310;第52卷(第5期);全文* |
| 高压输电网行波故障定位方法初探与比较;张永政;《电气开关》;20150815;第53卷(第04期);全文* |
| Publication number | Publication date |
|---|---|
| CN111175609A (en) | 2020-05-19 |
| Publication | Publication Date | Title |
|---|---|---|
| CN111175609B (en) | Distribution network line fault location method and system | |
| CN111175611B (en) | Distribution network line fault location method and system | |
| CN114689990B (en) | A ring power network fault location method and related equipment | |
| CN106505533B (en) | A kind of distance protection system and its control method suitable for half-wave power transmission route | |
| CN108627740B (en) | Half-wavelength power transmission line fault location method considering traveling wave speed change and arrival time compensation | |
| CN111175610B (en) | Fault positioning system and method for distribution line | |
| CN102435912A (en) | Method for positioning fault disturbance point in power grid | |
| CN101271141A (en) | A Fault Traveling Wave Network Locating Method Based on Traveling Wave Time Difference | |
| CN106291230A (en) | A kind of Multifunctional power cable fault location on-line monitoring system | |
| CN101762775A (en) | Method for positioning travelling wave fault of A type overhead line-cable joint line | |
| JP5373260B2 (en) | Accident point location method and system for transmission and distribution systems | |
| CN111512168B (en) | System and method for analyzing fault data of a power transmission network | |
| CN110187234A (en) | Fault location method for hybrid power transmission line | |
| CN102183709B (en) | Method of determining fault point of power grid and severity of fault | |
| CN110426606B (en) | Method and device for locating ground fault in distribution network based on wide-area synchronization | |
| EP4488694A1 (en) | Annular power network fault location method and related equipment | |
| CN117538682A (en) | Line fault positioning system for 10kV power distribution network | |
| CN117890728A (en) | Cable fault on-line monitoring system and positioning method thereof | |
| CN109756189B (en) | A photovoltaic array communication fault detection and location method | |
| CN111999598A (en) | A fault location method for hybrid lines | |
| CN107359599A (en) | A kind of difference current time difference modification method, device and differential protecting method, device | |
| CN111190075A (en) | A fault location method for distribution lines based on pulse signal injection | |
| CN119803625A (en) | Method and system for detecting and compensating wave jumps in ultrasonic flow metering devices | |
| CN108369254B (en) | Method of locating a fault in a power transmission medium | |
| CN113241853A (en) | Intelligent diagnosis and early warning method and system for capacitance current of transformer substation |
| Date | Code | Title | Description |
|---|---|---|---|
| PB01 | Publication | ||
| PB01 | Publication | ||
| SE01 | Entry into force of request for substantive examination | ||
| SE01 | Entry into force of request for substantive examination | ||
| GR01 | Patent grant | ||
| GR01 | Patent grant |