



技术领域technical field
本发明属于计算流体力学技术领域,尤其涉及一种适用于对称性多介质耦合问题的界面两侧状态的保物理特性获取方法。The invention belongs to the technical field of computational fluid dynamics, and in particular relates to a method for obtaining physical properties of the state on both sides of an interface suitable for a symmetric multi-medium coupling problem.
背景技术Background technique
在水下爆炸模拟等多介质耦合问题的数值模拟中,如何保持界面处速度压强平衡的真实物理特性是一个非常重要的技术难点,它表现为若在数值格式的设计过程中不满足界面处的压强与速度平衡关系,则对界面处的数值模拟结果会出现速度或压强错位的非物理现象。In the numerical simulation of multi-media coupling problems such as underwater explosion simulation, how to maintain the real physical characteristics of the velocity and pressure balance at the interface is a very important technical difficulty. If the relationship between pressure and velocity is balanced, the numerical simulation results at the interface will appear unphysical phenomena of velocity or pressure dislocation.
在多介质耦合问题中,通过求解界面处的多介质Riemann问题来模拟界面处的运动过程是一类重要的方法,比如修正虚拟介质方法(MGFM)。因此,通过数值解获取多介质界面处两侧流场状态在数值方法的设计中是必不可少的,也是多介质耦合问题中的一个研究难点。一般来说,目前对多介质界面两侧的流场状态值的赋值方法主要是利用网格点处流场状态值的差值近似方法或者直接用界面附近网格点值赋值的方法。这些方法在处理不带源项的双曲守恒律方程时表现出了比较好的效果。但将该类方法应用于高维水气爆炸问题时,由于控制方程中源项的影响,界面处速度和压强连续的物理特征在计算中不能够保持,因此数值模拟的结果会出现界面处速度与压强不能匹配的现象,从而导致在长时间数值模拟中界面处速度与压强的误差的不断累积。In the multi-media coupling problem, it is an important method to simulate the motion process at the interface by solving the multi-medium Riemann problem at the interface, such as the modified virtual medium method (MGFM). Therefore, it is necessary to obtain the flow field state on both sides of the multi-media interface by numerical solution in the design of numerical methods, and it is also a research difficulty in the multi-media coupling problem. Generally speaking, the current method of assigning the state values of the flow field on both sides of the multi-media interface mainly uses the difference approximation method of the state values of the flow field at the grid points or the method of directly assigning the value of the grid points near the interface. These methods show good results when dealing with hyperbolic conservation law equations without source terms. However, when this type of method is applied to the high-dimensional water-gas explosion problem, due to the influence of the source term in the governing equation, the continuous physical characteristics of velocity and pressure at the interface cannot be maintained in the calculation. Therefore, the numerical simulation results will show that the velocity and pressure at the interface will appear. The unmatched phenomenon leads to the accumulation of the errors of velocity and pressure at the interface in long-term numerical simulations.
针对以上问题,本发明旨在提出一个描述界面两侧状态的方程,并在该方程的基础上,通过选择合适的物理量进行差值近似以得到界面两侧的流场状态值及状态导数值。该技术能够保持界面处的速度与压强平衡的特征,符合真实的多介质耦合问题的物理特性,具有重要的实际应用价值。In view of the above problems, the present invention aims to propose an equation describing the state on both sides of the interface, and on the basis of the equation, select appropriate physical quantities for difference approximation to obtain the flow field state value and state derivative value on both sides of the interface. This technology can maintain the characteristics of velocity and pressure balance at the interface, which conforms to the physical characteristics of real multi-medium coupling problems, and has important practical application value.
发明内容SUMMARY OF THE INVENTION
为了解决上述已有技术存在的不足,本发明提出适用于对称性多介质耦合问题的界面两侧状态的保物理特性获取方法,主要体现在界面速度压强匹配方程的提出,以及基于该方程的无震荡界面两侧状态值及状态导数值获取方法。本发明的具体技术方案如下:In order to solve the above-mentioned shortcomings of the prior art, the present invention proposes a method for obtaining the physical properties of the state on both sides of the interface suitable for the symmetric multi-medium coupling problem, which is mainly embodied in the proposal of the interface velocity and pressure matching equation, and the no-nonsense method based on the equation. The method for obtaining the state value and state derivative value on both sides of the oscillating interface. The concrete technical scheme of the present invention is as follows:
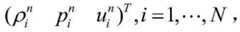
一种多介质耦合问题界面两侧状态的保物理特性获取方法,已知m维对称性多介质耦合问题在第n个时间步的各状态值:其中,m为所求解问题的维数,m=1,2,3;为第n个时间步时在第i个网格点上的密度、压强和速度构成的列向量,N为网格总数,界面位于网格j和网格j+1之间,获得第n个时间步界面左右两侧的线性分布,即界面两侧的状态值和状态的空间导数值,其特征在于,具体步骤如下:A method for obtaining the physical properties of the states on both sides of the interface for a multi-medium coupling problem. The state values of the m-dimensional symmetric multi-medium coupling problem at the nth time step are known: Among them, m is the dimension of the problem to be solved, m=1, 2, 3; is the column vector of the density, pressure and velocity at the i-th grid point at the n-th time step, N is the total number of grids, the interface is located between grid j and grid j+1, and the n-th grid is obtained. The linear distribution on the left and right sides of the time step interface, that is, the state value on both sides of the interface and the spatial derivative value of the state, is characterized in that the specific steps are as follows:
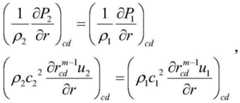
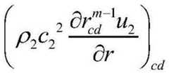
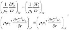
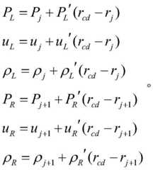
步骤S1:建立界面两侧的状态值及状态导数值满足压强平衡方程和速度平衡方程:Step S1: Establish the state value and state derivative value on both sides of the interface to satisfy the pressure balance equation and the velocity balance equation:
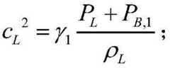
其中,ρ1,P1,u1,c1分别为界面左侧介质流场的密度、压强、速度和声速分布,ρ2,P2,u2,c2分别为界面右侧介质流场的密度、压强、速度和声速分布,r为空间坐标,rcd为界面的空间坐标,rcdm-1u1为界面左侧介质流场的速度积分量,rcdm-1u2为界面右侧介质流场的速度积分量,表示界面右侧速度随界面的变化率,表示界面左侧速度随界面的变化率,表示界面右侧压强随界面的变化率,表示界面左侧压强随界面的变化率,表示右侧压强的空间导数,表示左侧压强的空间导数,表示右侧速度积分量的空间导数,表示左侧速度积分量的空间导数;Among them, ρ1 , P1 , u1 , and c1 are the density, pressure, velocity and sound velocity distribution of the medium flow field on the left side of the interface, respectively, ρ2 , P2 , u2 , and c2 are the medium flow field on the right side of the interface, respectivelyThe density,pressure ,velocity andsoundvelocitydistributionsof The velocity integral of the medium flow field on the right side of the interface, represents the rate of change of the velocity on the right side of the interface with the interface, represents the rate of change of the velocity on the left side of the interface with the interface, represents the rate of change of the pressure on the right side of the interface with the interface, represents the rate of change of the pressure on the left side of the interface with the interface, represents the spatial derivative of the right-hand pressure, represents the spatial derivative of the pressure on the left side, represents the spatial derivative of the right-hand velocity integral, Represents the spatial derivative of the left velocity integral;
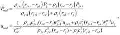
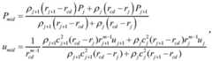
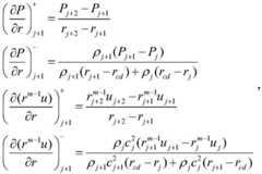
步骤S2:对步骤S1的方程进行离散,获取界面处的速度umid和压强Pmid,表达式为:Step S2: discretize the equation of step S1, and obtain the velocity umid and the pressure Pmid at the interface, and the expressions are:
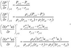
其中,umid,Pmid为界面处的速度与压强,ρj,Pj,uj,cj分分别为网格点j处的密度、速度、压强和声速,ρj+1,Pj+1,uj+1,cj+1分别为网格点j+1处的密度、速度、压强和声速,rj为网格点j的空间坐标,rj+1为网格点j+1的空间坐标;Among them, umid , Pmid are the velocity and pressure at the interface, ρj , Pj , uj , cj are the density, velocity, pressure and sound velocity at grid point j, respectively, ρj+1 , Pj +1 , uj+1 , cj+1 are the density, velocity, pressure and speed of sound at grid point j+1, respectively, rj is the spatial coordinate of grid point j, rj+1 is grid point j +1 for spatial coordinates;
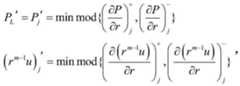
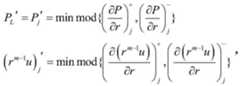
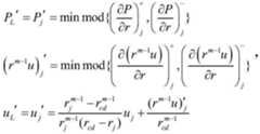
步骤S3:获取界面左侧压强空间导数值PL′和速度空间导数值uL′:Step S3: Obtain the pressure space derivative valuePL ′ and the velocity space derivative value uL ′ on the left side of the interface:
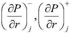
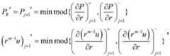
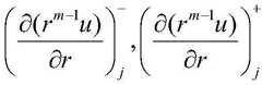
其中,sign(x)为符号函数,min(x,y)为最小值函数,PL′为界面左侧压强的空间导数值,uL′为界面左侧速度的空间导数值,P′j,(rm-1u)′j,uj′为网格j处P,rm-1u,u的空间导数值,分别为网格点j左侧和右侧的压强空间导数近似值,分别为网格点j左侧和右侧的速度积分量空间导数近似值;in, sign(x) is the sign function, min(x,y) is the minimum value function, PL ′ is the spatial derivative of the pressure on the left side of the interface, uL ′ is the spatial derivative of the velocity on the left side of the interface, P′j , ( rm-1 u)′j , uj ′ is the spatial derivative of P, rm-1 u, u at grid j, are the approximations of the pressure spatial derivatives to the left and right of grid point j, respectively, are the approximations of the spatial derivatives of the velocity integrals on the left and right sides of the grid point j, respectively;
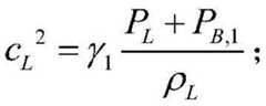
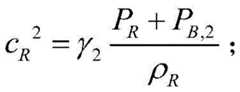
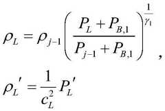
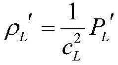
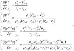
步骤S4:利用等熵关系获得界面左侧的密度值ρL和密度空间导数值ρL:Step S4: Use the isentropic relationship to obtain the density value ρL and the density spatial derivative value ρL on the left side of the interface:
其中,PB,1,γ1,是左侧介质的状态方程参数,Among them, PB,1 , γ1 , are the state equation parameters of the left medium,
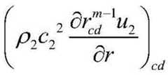
步骤S5:获取界面右侧压强空间导数值PR′和速度空间导数值uR′:Step S5: Obtain the pressure space derivative value PR ′ and the velocity space derivative value uR ′ on the right side of the interface:
其中,PR′为界面右侧压强的空间导数值,uR′为界面右侧速度的空间导数值,P′j+1,(rm-1u)′j+1,uj+1′为网格j+1处P,rm-1u,u的空间导数值;Among them, PR ′ is the spatial derivative of the pressure on the right side of the interface, uR ′ is the spatial derivative of the velocity on the right side of the interface, P′j+1 , (rm-1 u)′j+1 , uj+1 ′ is the spatial derivative value of P, rm-1 u, u at grid j+1;
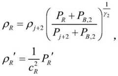
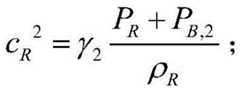
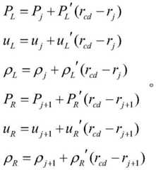
步骤S6:利用等熵关系获得界面右侧的密度值ρR和密度空间导数值ρR′:Step S6: Use the isentropic relationship to obtain the density value ρR and the density spatial derivative value ρR ′ on the right side of the interface:
其中,PB,2,γ2是右侧介质的状态方程参数,where PB,2 , γ2 are the state equation parameters of the right medium,
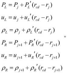
步骤S7:获得界面左右状态的线性分布为:Step S7: The linear distribution of the left and right states of the interface is obtained as:
本发明的有益效果在于:The beneficial effects of the present invention are:
1.提出描述界面处速度和压强始终平衡的物理特性的方程,包括速度平衡方程和压强平衡方程,该方程为获得界面两侧状态的真实导数信息提供了理论基础;1. Propose equations describing the physical properties of the constant equilibrium of velocity and pressure at the interface, including the velocity balance equation and the pressure balance equation, which provide a theoretical basis for obtaining the true derivative information of the states on both sides of the interface;
2.提出了获取界面两侧状态的数值方法,该方法与界面处的速度平衡方程和压力平衡方程是相容的,进一步通过该方法获取的界面两侧状态值,并利用极小化误差技术,以获得界面两侧的状态导数信息,通过数值实验可以看出,该方法有着比较好的鲁棒性;2. A numerical method for obtaining the state on both sides of the interface is proposed, which is compatible with the velocity balance equation and the pressure balance equation at the interface. Further, the state values on both sides of the interface are obtained by this method, and the minimization error technique is used. , to obtain the state derivative information on both sides of the interface. It can be seen from the numerical experiments that the method has good robustness;
3.本发明的方法可以应用于处理多介质耦合问题,其优势在于保持多介质界面处速度与压强平衡,通过选择合适的物理量进行差分求解并极小化变差来减少数值震荡,为长时间的数值模拟提供支持。3. The method of the present invention can be applied to deal with the problem of multi-media coupling, and its advantage lies in maintaining the balance of velocity and pressure at the multi-media interface, and reducing numerical oscillations by selecting appropriate physical quantities for differential solution and minimizing the variation, which is a long time. supported by numerical simulations.
附图说明Description of drawings
为了更清楚地说明本发明实施例或现有技术中的技术方案,下面将对实施例中所需要使用的附图作简单地介绍,通过参考附图会更加清楚的理解本发明的特征和优点,附图是示意性的而不应理解为对本发明进行任何限制,对于本领域普通技术人员来讲,在不付出创造性劳动的前提下,可以根据这些附图获得其他的附图。其中:In order to more clearly illustrate the embodiments of the present invention or the technical solutions in the prior art, the accompanying drawings required in the embodiments will be briefly introduced below, and the features and advantages of the present invention will be more clearly understood by referring to the drawings. , the accompanying drawings are schematic and should not be construed as any limitation to the present invention. For those of ordinary skill in the art, other drawings can be obtained from these drawings without creative effort. in:
图1为本发明界面两侧状态值及状态导数值获取技术的流程图;Fig. 1 is the flow chart of state value and state derivative value acquisition technology on both sides of the interface of the present invention;
图2为第n个时刻,界面附近区域状态分布示意图;Figure 2 is a schematic diagram of the state distribution of the area near the interface at the nth moment;
图3为利用本发明方法的一维球对称空泡爆炸算例;Fig. 3 is the one-dimensional spherical symmetry cavitation explosion calculation example utilizing the method of the present invention;
图4(a)为计算所得的t=0.01807072秒速度分布图;Figure 4(a) is the velocity distribution diagram of the calculated t=0.01807072 seconds;
图4(b)为计算所得的t=0.01807072秒压强分布图。Fig. 4(b) is a pressure distribution diagram obtained by calculation for t=0.01807072 seconds.
具体实施方式Detailed ways
为了能够更清楚地理解本发明的上述目的、特征和优点,下面结合附图和具体实施方式对本发明进行进一步的详细描述。需要说明的是,在不冲突的情况下,本发明的实施例及实施例中的特征可以相互组合。In order to understand the above objects, features and advantages of the present invention more clearly, the present invention will be further described in detail below with reference to the accompanying drawings and specific embodiments. It should be noted that the embodiments of the present invention and the features in the embodiments may be combined with each other under the condition of no conflict.
在下面的描述中阐述了很多具体细节以便于充分理解本发明,但是,本发明还可以采用其他不同于在此描述的其他方式来实施,因此,本发明的保护范围并不受下面公开的具体实施例的限制。Many specific details are set forth in the following description to facilitate a full understanding of the present invention. However, the present invention can also be implemented in other ways different from those described herein. Therefore, the protection scope of the present invention is not limited by the specific details disclosed below. Example limitations.
图1为本发明界面两侧状态值及状态导数值获取技术的流程图;图2为第n个时刻,界面附近区域状态分布示意图。FIG. 1 is a flow chart of the technology for obtaining state values and state derivative values on both sides of the interface according to the present invention; FIG. 2 is a schematic diagram of the state distribution in the area near the interface at the nth moment.
对于m(m=1,2,3)维对称性问题,无粘可压刚性气体在欧拉坐标系下的控制方程为:For the m (m=1, 2, 3) dimensional symmetry problem, the governing equation of the inviscid and compressible rigid gas in the Euler coordinate system is:
此处,U为守恒量,F为通量,Ψ为对称源项,ρ是密度,u是速度,p是压力,E是总能,e是内能,m为问题的维数,e=e(ρ,P)=(γ-1)ρe-γPB为刚性气体状态方程,γ为比热比,PB为压强参数。Here, U is the conserved quantity, F is the flux, Ψ is the symmetric source term, ρ is the density, u is the velocity, p is the pressure, E is the total energy, e is the internal energy, m is the dimension of the problem, e= e(ρ,P)=(γ-1)ρe-γPB is the rigid gas state equation, γ is the specific heat ratio, and PB is the pressure parameter.
一种多介质耦合问题界面两侧状态的保物理特性获取方法,已知m维对称性多介质耦合问题在第n个时间步的各状态值:其中,m为所求解问题的维数,m=1,2,3;为第n个时间步时在第i个网格点上的密度、压强和速度构成的列向量,N为网格总数。界面位于网格j和网格j+1之间,如图2所示,获得第n个时间步界面左右两侧的线性分布,即界面两侧的状态值和状态的空间导数值,其特征在于,具体步骤如下:A method for obtaining the physical properties of the states on both sides of the interface for a multi-medium coupling problem. The state values of the m-dimensional symmetric multi-medium coupling problem at the nth time step are known: Among them, m is the dimension of the problem to be solved, m=1, 2, 3; is the column vector of the density, pressure and velocity at the ith grid point at the nth time step, where N is the total number of grids. The interface is located between grid j and
一种多介质耦合问题界面两侧状态的保物理特性获取方法,已知m维对称性多介质耦合问题在第n个时间步的各状态值:其中,m为所求解问题的维数,m=1,2,3;为第n个时间步时在第i个网格点上的密度、压强和速度构成的列向量,N为网格总数,界面位于网格j和网格j+1之间,获得第n个时间步界面左右两侧的线性分布,即界面两侧的状态值和状态的空间导数值,其特征在于,具体步骤如下:A method for obtaining the physical properties of the states on both sides of the interface for a multi-medium coupling problem. The state values of the m-dimensional symmetric multi-medium coupling problem at the nth time step are known: Among them, m is the dimension of the problem to be solved, m=1, 2, 3; is the column vector of the density, pressure and velocity at the i-th grid point at the n-th time step, N is the total number of grids, the interface is located between grid j and grid j+1, and the n-th grid is obtained. The linear distribution on the left and right sides of the time step interface, that is, the state value on both sides of the interface and the spatial derivative value of the state, is characterized in that the specific steps are as follows:
步骤S1:建立界面两侧的状态值及状态导数值满足压强平衡方程和速度平衡方程:Step S1: Establish the state value and state derivative value on both sides of the interface to satisfy the pressure balance equation and the velocity balance equation:
其中,ρ1,P1,u1,c1分别为界面左侧介质流场的密度、压强、速度和声速分布,ρ2,P2,u2,c2分别为界面右侧介质流场的密度、压强、速度和声速分布,r为空间坐标,rcd为界面的空间坐标,rcdm-1u1为界面左侧介质流场的速度积分量,rcdm-1u2为界面右侧介质流场的速度积分量,表示界面右侧速度随界面的变化率,表示界面左侧速度随界面的变化率,表示界面右侧压强随界面的变化率,表示界面左侧压强随界面的变化率,表示右侧压强的空间导数,表示左侧压强的空间导数,表示右侧速度积分量的空间导数,表示左侧速度积分量的空间导数;Among them, ρ1 , P1 , u1 , and c1 are the density, pressure, velocity and sound velocity distribution of the medium flow field on the left side of the interface, respectively, ρ2 , P2 , u2 , and c2 are the medium flow field on the right side of the interface, respectivelyThe density,pressure ,velocity andsoundvelocitydistributionsof The velocity integral of the medium flow field on the right side of the interface, represents the rate of change of the velocity on the right side of the interface with the interface, represents the rate of change of the velocity on the left side of the interface with the interface, represents the rate of change of the pressure on the right side of the interface with the interface, represents the rate of change of the pressure on the left side of the interface with the interface, represents the spatial derivative of the right-hand pressure, represents the spatial derivative of the pressure on the left side, represents the spatial derivative of the right-hand velocity integral, Represents the spatial derivative of the left velocity integral;
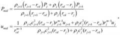
步骤S2:对步骤S1的方程进行离散,获取界面处的速度umid和压强Pmid,表达式为:Step S2: discretize the equation of step S1, and obtain the velocity umid and the pressure Pmid at the interface, and the expressions are:
其中,umid,Pmid为界面处的速度与压强,ρj,Pj,uj,cj分分别为网格点j处的密度、速度、压强和声速,ρj+1,Pj+1,uj+1,cj+1分别为网格点j+1处的密度、速度、压强和声速,rj为网格点j的空间坐标,rj+1为网格点j+1的空间坐标;Among them, umid , Pmid are the velocity and pressure at the interface, ρj , Pj , uj , cj are the density, velocity, pressure and sound velocity at grid point j, respectively, ρj+1 , Pj +1 , uj+1 , cj+1 are the density, velocity, pressure and speed of sound at grid point j+1, respectively, rj is the spatial coordinate of grid point j, rj+1 is grid point j +1 for spatial coordinates;
步骤S3:获取界面左侧压强空间导数值PL′和速度空间导数值uL′:Step S3: Obtain the pressure space derivative valuePL ′ and the velocity space derivative value uL ′ on the left side of the interface:
其中,sign(x)为符号函数,min(x,y)为最小值函数,PL′为界面左侧压强的空间导数值,uL′为界面左侧速度的空间导数值,P′j,(rm-1u)′j,uj′为网格j处P,rm-1u,u的空间导数值,分别为网格点j左侧和右侧的压强空间导数近似值,分别为网格点j左侧和右侧的速度积分量空间导数近似值;in, sign(x) is the sign function, min(x,y) is the minimum value function, PL ′ is the spatial derivative of the pressure on the left side of the interface, uL ′ is the spatial derivative of the velocity on the left side of the interface, P′j , ( rm-1 u)′j , uj ′ is the spatial derivative of P, rm-1 u, u at grid j, are the approximations of the pressure spatial derivatives to the left and right of grid point j, respectively, are the approximations of the spatial derivatives of the velocity integrals on the left and right sides of the grid point j, respectively;
步骤S4:利用等熵关系获得界面左侧的密度值ρL和密度空间导数值ρL:Step S4: Use the isentropic relationship to obtain the density value ρL and the density spatial derivative value ρL on the left side of the interface:
其中,PB,1,γ1,是左侧介质的状态方程参数,Among them, PB,1 , γ1 , are the state equation parameters of the left medium,
步骤S5:获取界面右侧压强空间导数值PR′和速度空间导数值uR′:Step S5: Obtain the pressure space derivative value PR ′ and the velocity space derivative value uR ′ on the right side of the interface:
其中,PR′为界面右侧压强的空间导数值,uR′为界面右侧速度的空间导数值,P′j+1,(rm-1u)′j+1,uj+1′为网格j+1处P,rm-1u,u的空间导数值;Among them, PR ′ is the spatial derivative of the pressure on the right side of the interface, uR ′ is the spatial derivative of the velocity on the right side of the interface, P′j+1 , (rm-1 u)′j+1 , uj+1 ′ is the spatial derivative value of P, rm-1 u, u at grid j+1;
步骤S6:利用等熵关系获得界面右侧的密度值ρR和密度空间导数值ρR′:Step S6: Use the isentropic relationship to obtain the density value ρR and the density spatial derivative value ρR ′ on the right side of the interface:
其中,PB,2,γ2是右侧介质的状态方程参数,where PB,2 , γ2 are the state equation parameters of the right medium,
步骤S7:获得界面左右状态的线性分布为:Step S7: The linear distribution of the left and right states of the interface is obtained as:
为了方便理解本发明的上述技术方案,以下通过具体实施例对本发明的上述技术方案进行详细说明。In order to facilitate the understanding of the above-mentioned technical solutions of the present invention, the above-mentioned technical solutions of the present invention will be described in detail below through specific embodiments.
实施例1Example 1
以一维球对称可压缩水中空泡爆炸过程为例,如图3所示,其中内部球为超高压气体,外部为常压可压缩液体水;Take the one-dimensional spherical symmetric compressible water bubble explosion process as an example, as shown in Figure 3, where the inner sphere is ultra-high pressure gas, and the outer is normal pressure compressible liquid water;
总计算区域为12米长的一维球对称区域,设x为空间坐标,即x∈(0,12),网格为9999个点均匀分布,初始气泡半径r0=0.401m;The total calculation area is a one-dimensional spherically symmetric area with a length of 12 meters. Let x be the spatial coordinate, that is, x∈(0,12), the grid is uniformly distributed with 9999 points, and the initial bubble radius r0 =0.401m;
气体速度初始值为ugas,0=0.0,压强初始值为pgas,0=8290.91,密度初始值为ρgas,0=1.27,状态方程为完全气体状态方程:其中,ρ是密度,p是压力,e是内能,γgas=1.4为理想气体比热比;The initial value of gas velocity is ugas, 0 = 0.0, the initial value of pressure is pgas, 0 = 8290.91, the initial value of density is ρgas, 0 = 1.27, and the state equation is the complete gas state equation: Among them, ρ is the density, p is the pressure, e is the internal energy, γgas = 1.4 is the ideal gas specific heat ratio;
可压液体水速度初始值为ugas,0=0.0,压强初始值为pgas,0=1.0,密度初始值为ρgas,0=1.0,状态方程为Tait状态方程:p=(Nwater-1)ρe-Nwater*Bwater,其中,状态常数Nwater=7.0,Bwater=3000.0。The initial value of compressible liquid water velocity is ugas, 0 = 0.0, the initial value of pressure is pgas, 0 = 1.0, the initial value of density is ρgas, 0 = 1.0, and the state equation is Tait state equation: p = (Nwater - 1) ρe-Nwater *Bwater , where the state constants Nwater =7.0 and Bwater =3000.0.
为了说明本发明的界面状态获取技术的效果,对t=0.01803772秒压强和速度的分布图,结果如图4所示,其中矩形虚线代表没有应用本技术的MGFM方法的计算结果,三角形虚线代表应用本技术的MGFM/ASC方法的计算结果。In order to illustrate the effect of the interface state acquisition technology of the present invention, the distribution diagram of pressure and velocity for t=0.01803772 seconds, the results are shown in Figure 4, where the rectangular dotted line represents the calculation result of the MGFM method without the application of this technology, and the triangular dotted line represents the application Calculation results of the MGFM/ASC method of the present technology.
在本发明中,除非另有明确的规定和限定,术语“安装”、“相连”、“连接”、“固定”等术语应做广义理解,例如,可以是固定连接,也可以是可拆卸连接,或成一体;可以是机械连接,也可以是电连接;可以是直接相连,也可以通过中间媒介间接相连,可以是两个元件内部的连通或两个元件的相互作用关系。对于本领域的普通技术人员而言,可以根据具体情况理解上述术语在本发明中的具体含义。In the present invention, unless otherwise expressly specified and limited, terms such as "installation", "connection", "connection", "fixation" and other terms should be understood in a broad sense, for example, it may be a fixed connection or a detachable connection , or integrated; it can be a mechanical connection or an electrical connection; it can be a direct connection or an indirect connection through an intermediate medium, and it can be the internal communication between the two elements or the interaction relationship between the two elements. For those of ordinary skill in the art, the specific meanings of the above terms in the present invention can be understood according to specific situations.
在本发明中,除非另有明确的规定和限定,第一特征在第二特征之“上”或之“下”可以包括第一和第二特征直接接触,也可以包括第一和第二特征不是直接接触而是通过它们之间的另外的特征接触。而且,第一特征在第二特征“之上”、“上方”和“上面”包括第一特征在第二特征正上方和斜上方,或仅仅表示第一特征水平高度高于第二特征。第一特征在第二特征“之下”、下方”和“下面”包括第一特征在第二特征正下方和斜下方,或仅仅表示第一特征水平高度小于第二特征。In the present invention, unless otherwise expressly specified and limited, a first feature "on" or "under" a second feature may include the first and second features in direct contact, or may include the first and second features Not directly but through additional features between them. Also, the first feature being "above", "over" and "above" the second feature includes the first feature being directly above and obliquely above the second feature, or simply means that the first feature is level higher than the second feature. The first feature is "below", below" and "below" the second feature includes the first feature is directly below and diagonally below the second feature, or simply means that the first feature has a lower level than the second feature.
在本发明中,术语“第一”、“第二”、“第三”、“第四”仅用于描述目的,而不能理解为指示或暗示相对重要性。术语“多个”指两个或两个以上,除非另有明确的限定。In the present invention, the terms "first", "second", "third" and "fourth" are used for descriptive purposes only, and should not be construed as indicating or implying relative importance. The term "plurality" refers to two or more, unless expressly limited otherwise.
以上所述仅为本发明的优选实施例而已,并不用于限制本发明,对于本领域的技术人员来说,本发明可以有各种更改和变化。凡在本发明的精神和原则之内,所作的任何修改、等同替换、改进等,均应包含在本发明的保护范围之内。The above descriptions are only preferred embodiments of the present invention, and are not intended to limit the present invention. For those skilled in the art, the present invention may have various modifications and changes. Any modification, equivalent replacement, improvement, etc. made within the spirit and principle of the present invention shall be included within the protection scope of the present invention.
| Application Number | Priority Date | Filing Date | Title |
|---|---|---|---|
| CN201911256999.5ACN111159958B (en) | 2019-12-10 | 2019-12-10 | Method for acquiring guaranteed physical characteristics of states on two sides of multi-medium coupling problem interface |
| Application Number | Priority Date | Filing Date | Title |
|---|---|---|---|
| CN201911256999.5ACN111159958B (en) | 2019-12-10 | 2019-12-10 | Method for acquiring guaranteed physical characteristics of states on two sides of multi-medium coupling problem interface |
| Publication Number | Publication Date |
|---|---|
| CN111159958A CN111159958A (en) | 2020-05-15 |
| CN111159958Btrue CN111159958B (en) | 2021-04-02 |
| Application Number | Title | Priority Date | Filing Date |
|---|---|---|---|
| CN201911256999.5AActiveCN111159958B (en) | 2019-12-10 | 2019-12-10 | Method for acquiring guaranteed physical characteristics of states on two sides of multi-medium coupling problem interface |
| Country | Link |
|---|---|
| CN (1) | CN111159958B (en) |
| Publication number | Priority date | Publication date | Assignee | Title |
|---|---|---|---|---|
| CN111783365B (en)* | 2020-06-04 | 2023-09-22 | 三多(杭州)科技有限公司 | Virtual medium method, device and equipment applied to low-voltage interface processing |
| CN114254573B (en)* | 2021-12-17 | 2024-05-24 | 北京航空航天大学 | A high-order treatment method for multi-medium interfaces with symmetric source terms |
| Publication number | Priority date | Publication date | Assignee | Title |
|---|---|---|---|---|
| CN110298105A (en)* | 2019-06-26 | 2019-10-01 | 大连理工大学 | The CCPDI-IMPM method of saturated porous media analysis on Large Deformation |
| Publication number | Priority date | Publication date | Assignee | Title |
|---|---|---|---|---|
| US9536197B1 (en)* | 2011-04-22 | 2017-01-03 | Angel A. Penilla | Methods and systems for processing data streams from data producing objects of vehicle and home entities and generating recommendations and settings |
| US9625177B2 (en)* | 2012-09-06 | 2017-04-18 | Lennox Industries Inc. | Furnace controller and a furnace that controls a gas input rate to maintain a discharge air temperature |
| CN103971007B (en)* | 2014-05-16 | 2017-08-29 | 北京航空航天大学 | It is a kind of to handle the interface decoupling method that compressible fluids are coupled with the ideal elastic-plastic solid under compressive state |
| CN109902376B (en)* | 2019-02-25 | 2021-01-15 | 北京理工大学 | A high-precision numerical simulation method of fluid-structure interaction based on continuum mechanics |
| CN110309543B (en)* | 2019-05-31 | 2023-04-18 | 中国航天空气动力技术研究院 | Simulation flow design method for multi-medium fluid interface motion |
| Publication number | Priority date | Publication date | Assignee | Title |
|---|---|---|---|---|
| CN110298105A (en)* | 2019-06-26 | 2019-10-01 | 大连理工大学 | The CCPDI-IMPM method of saturated porous media analysis on Large Deformation |
| Publication number | Publication date |
|---|---|
| CN111159958A (en) | 2020-05-15 |
| Publication | Publication Date | Title |
|---|---|---|
| Cao et al. | Anr-adaptive finite element method based upon moving mesh PDEs | |
| CN108763683B (en) | New WENO format construction method under trigonometric function framework | |
| CN113850008B (en) | Adaptive grid disturbance domain update acceleration method for aerodynamic prediction of aircraft | |
| Huang et al. | Well-balanced finite volume scheme for shallow water flooding and drying over arbitrary topography | |
| CN111159958B (en) | Method for acquiring guaranteed physical characteristics of states on two sides of multi-medium coupling problem interface | |
| CN113609598B (en) | RANS/LES disturbance domain update method for aerodynamic simulation of aircraft | |
| CN103778298B (en) | The multi-level finite element modeling method of two dimension flow motion in the simulation porous media improved | |
| CN107561592B (en) | A kind of density is the gravitational field forward modeling method of polynomial arbitrary polyhedron | |
| CN106951641A (en) | A kind of method and system of fracture-pore reservoir numerical simulation | |
| CN106934093A (en) | The Trple grid multi-level finite element modeling method of simulation THREE DIMENSIONAL GROUNDWATER FLOW motion | |
| CN107145671A (en) | A kind of numerical reservoir simulation method and system | |
| CN111677486A (en) | Tight oil carbon dioxide huff and puff simulation method, device and storage medium | |
| CN113449450A (en) | Particle-scale-based computational fluid mechanics simulation method | |
| Uzgoren et al. | Marker-based, 3-D adaptive Cartesian grid method for multiphase flow around irregular geometries | |
| Katz et al. | Edge-based meshless methods for compressible flow simulations | |
| López et al. | Comparison between different numerical discretizations for a Darcy-Forchheimer model | |
| Soares da Costa Azevêdo et al. | Body‐fitted topology optimization via integer linear programming using surface capturing techniques | |
| Kim et al. | Developing industry guidelines for the CFD-based evaluation of wind load on offshore floating facilities | |
| CN111488704A (en) | A method and system for calculating the external thermal resistance of cables laid in pipes | |
| Miranda et al. | A three-dimensional adaptive mesh generation approach using geometric modeling with multi-regions and parametric surfaces | |
| Lèye et al. | Numerical simulation of saltwater intrusion in coastal aquifers with anisotropic mesh adaptation | |
| Zipunova et al. | APPLICATION OF THE CLOSEST POINT PROJECTION METHOD TO SOLUTION OF REYNOLD'S LUBRICATION EQUATIONS ON EVOLVING SURFACES. | |
| Akbari et al. | Implementation of exactly well‐balanced numerical schemes in the event of shockwaves: A 1D approach for the shallow water equations | |
| Chaari et al. | A Generalized Reduced-Order Dynamic Model for Two-Phase Flow in Pipes | |
| CN115270656A (en) | A method for calculating the predicted value of the first-order spatial derivative of physical quantities on both sides of a multi-media interface |
| Date | Code | Title | Description |
|---|---|---|---|
| PB01 | Publication | ||
| PB01 | Publication | ||
| SE01 | Entry into force of request for substantive examination | ||
| SE01 | Entry into force of request for substantive examination | ||
| GR01 | Patent grant | ||
| GR01 | Patent grant |