










技术领域technical field
本发明涉及一种面向车载应用的模型预测控制中非线性优化问题的快速求解方法,具体涉及一种利用车辆动力学特性、庞特里亚金最小值原理(PMP)和Nelder-Mead算法等快速求解非线性优化问题的方法,简称为NM-PMP。The invention relates to a fast solution method for nonlinear optimization problems in model predictive control oriented to vehicle applications, in particular to a fast solution method using vehicle dynamics characteristics, Pontryagin Minimum Principle (PMP) and Nelder-Mead algorithm, etc. A method for solving nonlinear optimization problems, abbreviated as NM-PMP.
背景技术Background technique
模型预测控制是一种基于被控对象的模型的一种在线计算滚动优化的控制方法。模型预测控制基于当前的反馈信息和系统对象的模型对系统进行优化控制,由于考虑了系统的模型,因此在模型预测控制中可以考虑系统的相应的约束,同时还可以实现针对系统的多目标优化等。由于模型预测控制具有上述的特点和优势,基于模型预测控制框架体系的技术可以很好地解决车辆控制领域中的问题,如车辆稳定性控制、车辆自动驾驶控制以及预测巡航控制等。随着技术的不断发展,车辆对控制器的性能要求也越来越高,但车载控制器的计算能力却相当有限。车辆是一个典型的快变系统,尤其在某些典型应用中,如车辆的稳定性控制,必须提高控制器的计算速度,从而获得更好的性能。因此,当前的面向车辆的模型预测控制存在着以下问题:Model predictive control is an on-line computing rolling optimization control method based on the model of the controlled object. Model predictive control optimizes the control system based on the current feedback information and the model of the system object. Since the model of the system is considered, the corresponding constraints of the system can be considered in the model predictive control, and the multi-objective optimization of the system can also be realized. Wait. Due to the above characteristics and advantages of model predictive control, the technology based on the model predictive control framework system can well solve the problems in the field of vehicle control, such as vehicle stability control, vehicle automatic driving control and predictive cruise control. With the continuous development of technology, the performance requirements of the vehicle are getting higher and higher, but the computing power of the vehicle controller is quite limited. The vehicle is a typical fast-changing system, especially in some typical applications, such as vehicle stability control, the calculation speed of the controller must be increased to obtain better performance. Therefore, the current vehicle-oriented model predictive control has the following problems:
1.由于车辆本身就是一个复杂的非线性系统,随着对控制器性能要求的不断提高,传统的在工作点附近进行线性化近似的方法已经不能满足精度要求,因此需要采用精度更高的非线性模型,而非线性模型的引入会导致优化问题的复杂程度大大增加。1. Since the vehicle itself is a complex nonlinear system, with the continuous improvement of the performance requirements of the controller, the traditional method of linearizing approximation near the operating point can no longer meet the accuracy requirements, so it is necessary to use a non-linear system with higher accuracy. Linear models, while the introduction of nonlinear models will greatly increase the complexity of the optimization problem.
2.由于非线性优化问题复杂程度大大增加,相应的求解所需要时间也会大大增加,同时车辆还是一个快变系统。因而应用现有的车载控制器和传统的求解算法(例如已被广泛应用的序列二次规划-SQP),很有可能无法满足车辆对控制器实时性的要求。2. As the complexity of the nonlinear optimization problem is greatly increased, the time required for the corresponding solution will also be greatly increased, and the vehicle is still a fast-changing system. Therefore, the application of the existing on-board controllers and traditional solving algorithms (such as the widely used sequential quadratic programming-SQP) is likely to fail to meet the real-time requirements of the vehicle on the controller.
3.针对复杂的非线性优化问题,虽然可以通过安装性能更好的车载控制器来解决,但此举势必会造成成本的大幅增加以及整车能耗的增加。因此若能改进求解算法,提高求解速度,便可以在现有的车载控制器的基础上提高控制器性能,同时大幅节约硬件成本同时还不增加整车的能耗。3. For complex nonlinear optimization problems, although it can be solved by installing an on-board controller with better performance, this will inevitably lead to a substantial increase in cost and increase in vehicle energy consumption. Therefore, if the solution algorithm can be improved and the solution speed can be increased, the performance of the controller can be improved on the basis of the existing vehicle controller, and the hardware cost can be greatly saved without increasing the energy consumption of the vehicle.
发明内容SUMMARY OF THE INVENTION
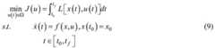
本发明主要针对在面向车载应用的模型预测控制中,由于车辆系统为非线性系统,当系统预测时域较长时,所描述的非线性优化问题较为复杂,因此会造成求解时间增加,车载控制器可能无法满足车辆实时性的要求;而出于成本控制和降低功耗等方面的考虑,车载控制器的计算能力有限。因此,当所描述的非线性优化问题较为复杂时,车载控制器所需要的计算时间可能无法满足车辆系统的实时性要求的问题。针对上述问题,本发明提供一种面向车载应用的模型预测控制中非线性优化问题的快速求解方法,具体为基于庞特里亚金最小值原理和Nelder-Mead算法的最优控制非线性优化问题快速求解方法。该方法可以在保证求解精度的前提下,大幅提高求解速度,提高控制器的实时性。The present invention is mainly aimed at the model predictive control for on-board applications. Since the vehicle system is a nonlinear system, when the system prediction time domain is long, the nonlinear optimization problem described is more complicated, so the solution time will increase, and the on-board control will increase. The on-board controller may not be able to meet the real-time requirements of the vehicle; and for the consideration of cost control and power consumption reduction, the computing power of the on-board controller is limited. Therefore, when the described nonlinear optimization problem is relatively complex, the calculation time required by the on-board controller may not be able to meet the real-time requirements of the vehicle system. In view of the above problems, the present invention provides a fast solution method for nonlinear optimization problems in model predictive control for vehicle applications, specifically an optimal control nonlinear optimization problem based on the Pontryagin minimum principle and the Nelder-Mead algorithm Fast solution method. This method can greatly improve the solution speed and improve the real-time performance of the controller under the premise of ensuring the solution accuracy.
为解决上述技术问题,本发明是采用如下技术方案实现的:In order to solve the above-mentioned technical problems, the present invention adopts the following technical solutions to realize:
一种面向车载应用的模型预测控制快速求解方法,包括以下步骤:A fast solution method for model predictive control for vehicle applications, comprising the following steps:
步骤一、高保真车辆模型搭建:在CarSim软件中选择车辆模型,并将车辆的运动状态参数读取到Simulink中,基于所选的车辆模型构建低附着路面下行驶的仿真工况,模拟实际车辆的横摆运动和侧向运动特征;
步骤二、基于快速求解算法的模型预测控制器设计:
1)建立描述车辆横摆运动和侧向运动的车辆模型;1) Establish a vehicle model that describes the yaw motion and lateral motion of the vehicle;
2)建立参考模型,根据车辆当前的车速和前轮转角生成横摆角速度和质心侧偏角的参考值;2) Establish a reference model, and generate the reference value of the yaw rate and the center of mass slip angle according to the current vehicle speed and the front wheel angle of the vehicle;
3)根据所建立的车辆模型和控制需求,将模型预测控制问题描述为一个典型的非线性优化问题;3) According to the established vehicle model and control requirements, the model predictive control problem is described as a typical nonlinear optimization problem;
4)针对该非线性优化问题,基于庞特里亚金最小值原理和Nelder-Mead算法进行非线性优化问题的快速求解;4) For the nonlinear optimization problem, based on the Pontryagin minimum principle and the Nelder-Mead algorithm to quickly solve the nonlinear optimization problem;
步骤三、根据模型预测控制器计算所得的最优控制输入,分别计算出四个轮胎的附加转矩,将附加转矩分配到四个轮毂电机上。Step 3: Calculate the additional torque of the four tires respectively according to the optimal control input calculated by the model predictive controller, and distribute the additional torque to the four in-wheel motors.
与现有技术相比本发明的有益效果是:Compared with the prior art, the beneficial effects of the present invention are:
1.本发明根据庞特里亚金最小值原理结合车辆动力学给出了面向车载应用的车辆稳定性模型预测控制中的非线性优化问题的间接求解方式,并基于该原理提出了一种最优控制问题的快速求解算法。与传统优化算法相比,本发明所提出的算法可以有效降低求解时间,提高算法实时性。1. The present invention provides an indirect solution method for the nonlinear optimization problem in the vehicle stability model predictive control for on-board applications based on the Pontryagin minimum principle combined with vehicle dynamics, and based on this principle, an optimal solution is proposed. A fast solution algorithm for optimal control problems. Compared with the traditional optimization algorithm, the algorithm proposed by the present invention can effectively reduce the solution time and improve the real-time performance of the algorithm.
2.本发明根据庞特里亚金最小值原理将原非线性优化问题进行转化,并使用Nelder-Mead算法进行搜索求解,该方法不需要计算导数,因此具有更加广泛的适用性,即可以采用多种车辆动力学模型。2. The present invention transforms the original nonlinear optimization problem according to the Pontryagin minimum principle, and uses the Nelder-Mead algorithm to search and solve. This method does not need to calculate derivatives, so it has wider applicability, that is, it can be used. Various vehicle dynamics models.
附图说明Description of drawings
下面结合附图对本发明的具体实施方式作进一步的说明,本发明的这些和/或其他方面将更清晰明白。其中:The specific embodiments of the present invention will be further described below with reference to the accompanying drawings, and these and/or other aspects of the present invention will be more clearly understood. in:
图1是仿真实验中控制器框图;Fig. 1 is the controller block diagram in the simulation experiment;
图2是车辆的二自由度模型;Figure 2 is a two-degree-of-freedom model of the vehicle;
图3是最优控制输入解析解迭代关系示意图;Fig. 3 is a schematic diagram of the iterative relationship of the optimal control input analytical solution;
图4是仿真过程中基于传统SQP求解方法的计算时间;Fig. 4 is the calculation time based on the traditional SQP solution method in the simulation process;
图5是仿真过程中基于本发明所述的NM-PMP求解方法的计算时间;Fig. 5 is the calculation time based on the NM-PMP solution method of the present invention in the simulation process;
图6是仿真过程中两种不同求解方法在不同预测时域下的平均计算时间;Fig. 6 is the average computation time of two different solving methods in different prediction time domains in the simulation process;
图7是在仿真过程中基于本发明所述的求解算法所设计的控制器开启和关闭时车辆的横摆角速度曲线以及相应的参考值;7 is the yaw rate curve of the vehicle and the corresponding reference value when the controller designed based on the solving algorithm of the present invention is turned on and off during the simulation process;
图8是在仿真过程中基于本发明所述的求解算法所设计的控制器开启和关闭时车辆的质心侧偏角曲线以及相应的参考值;Fig. 8 is the center-of-mass side-slip curve of the vehicle and the corresponding reference value when the controller designed based on the solving algorithm of the present invention is turned on and off in the simulation process;
图9是在仿真过程中基于传统SQP方法和本发明所述NM-PMP方法求解时以及在不同预测时域下的目标函数值曲线;9 is the objective function value curve when solving based on the traditional SQP method and the NM-PMP method of the present invention and under different prediction time domains in the simulation process;
图10是在仿真过程中基于传统SQP方法和本发明所述NM-PMP方法时的横摆角速度曲线及其相应的参考值;10 is the yaw rate curve and its corresponding reference value when based on the traditional SQP method and the NM-PMP method of the present invention in the simulation process;
图11是在仿真过程中基于传统SQP方法和本发明所述NM-PMP方法时的质心侧偏角曲线。FIG. 11 is the centroid side slip angle curve based on the traditional SQP method and the NM-PMP method of the present invention in the simulation process.
具体实施方式Detailed ways
为详细说明本发明的技术内容、构造特点、实现目的等下面结合附图对本发明进行全面解释。In order to describe in detail the technical content, structural features, and realization purposes of the present invention, the present invention will be fully explained below with reference to the accompanying drawings.
基于本发明所述的快速求解算法所设计的控制器框图如图1所示,其中驾驶员为CarSim中自带的驾驶员模型,在仿真中用于保持特定车速,并跟随所给定的期望路径。参考模型的作用是根据当前的车速和驾驶员所给出的前轮转角生成横摆角速度和质心侧偏角的参考值,并将生成的参考值送给控制器。控制器的作用是根据参考模型给出的参考值以及当前车辆的状态信息计算控制量使得车辆能够跟踪上横摆角速度和质心侧偏角的参考值。转矩分配的作用是根据驾驶员的期望转矩和控制器计算所得到的附加横摆力矩,将所需要的转矩分配到四个轮毂电机上。在仿真实验中,车辆模型和仿真工况均是在CarSim中构建的,控制器则是在Simulink中构建的。The block diagram of the controller designed based on the fast solution algorithm of the present invention is shown in Figure 1, wherein the driver is the driver model built in CarSim, which is used to maintain a specific speed in the simulation and follow the given expectation path. The function of the reference model is to generate the reference value of the yaw rate and the center of mass slip angle according to the current vehicle speed and the front wheel angle given by the driver, and send the generated reference value to the controller. The function of the controller is to calculate the control quantity according to the reference value given by the reference model and the current state information of the vehicle, so that the vehicle can track the reference value of the upper yaw rate and the center of mass slip angle. The role of torque distribution is to distribute the required torque to the four in-wheel motors according to the driver's desired torque and the additional yaw moment calculated by the controller. In the simulation experiment, the vehicle model and simulation conditions are built in CarSim, and the controller is built in Simulink.
本发明所述的快速求解算法及其相应的控制器均是通过软件系统的联合仿真实现并进行验证的。The fast solving algorithm and the corresponding controller of the present invention are all realized and verified through the co-simulation of the software system.
1、软件选择1. Software selection
本发明快速求解算法及其相应的控制器和由控制器控制的被控对象的仿真模型分别通过软件Matlab/Simulink和高保真车辆动力学仿真软件CarSim进行搭建,软件版本分别为Matlab R2019b和CarSim2016.1,求解器选择为ODE1。仿真步长为0.001s。其中CarSim软件是一个商用的高保真车辆动力学仿真平台,它在本发明中的主要作用是提供高保真的车辆动力学模型以及相应的仿真工况,在仿真实验中这一模型代替了真实的车辆作为所设计的快速求解算法的实施对象;MATLAB/Simulink软件则是用于控制器的仿真模型搭建,即通过Simulink编程来完成该方法中控制器的运算。The fast solving algorithm of the present invention and its corresponding controller and the simulation model of the controlled object controlled by the controller are respectively built through the software Matlab/Simulink and the high-fidelity vehicle dynamics simulation software CarSim, and the software versions are Matlab R2019b and CarSim2016 respectively. 1. The solver selection is ODE1. The simulation step size is 0.001s. The CarSim software is a commercial high-fidelity vehicle dynamics simulation platform. Its main function in the present invention is to provide a high-fidelity vehicle dynamics model and corresponding simulation conditions. In the simulation experiment, this model replaces the real vehicle dynamics model. The vehicle is used as the implementation object of the designed fast solution algorithm; MATLAB/Simulink software is used to build the simulation model of the controller, that is, the operation of the controller in this method is completed through Simulink programming.
2、联合仿真设置2. Co-simulation settings
要实现两者的联合仿真,首先需要在Matlab的路径设置中添加CarSim的路径;其次在CarSim界面中添加输出接口模块;然后将CarSim中的模型信息经过系统编译之后以CarSimS-function的形式保留在Simulink中,最后再进行Simulink中CarSim模块的参数设置。在运行Simulink仿真模型时,CarSim模型也在同时进行计算和求解。仿真过程中两者之间不断进行数据的交换。如果对CarSim中的模型结构或者参数设置进行了修改,则需要重新编译,之后将新的包含最新设定信息的CarSim模块重新发送至Simulink中。To realize the co-simulation of the two, firstly, the path of CarSim needs to be added in the path setting of Matlab; secondly, the output interface module needs to be added in the interface of CarSim; then the model information in CarSim is compiled by the system and retained in the form of CarSimS-function in the form of CarSimS-function. In Simulink, finally set the parameters of the CarSim module in Simulink. When running the Simulink simulation model, the CarSim model is also being calculated and solved simultaneously. During the simulation process, the data exchange between the two is constantly carried out. If you modify the model structure or parameter settings in CarSim, you need to recompile, and then re-send the new CarSim module containing the latest setting information to Simulink.
3、本发明所述的一种面向车载应用的模型预测控制快速求解方法,首先推导能够正确描述车辆横摆运动和侧向运动的数学模型;其次,在高保真车辆动力学仿真软件CarSim中选择合适的车辆模型并获取相应参数;之后基于所选的车辆模型构建低附着路面下的仿真工况;然后基于本发明所述的快速求解算法推导用于车辆稳定性控制的控制器。最后,在联合仿真实验中对本发明所述的方法进行验证,同时与传统的SQP求解算法进行对比,以说明本发明的有益效果。3. The fast solution method of model predictive control for vehicle-mounted applications described in the present invention firstly derives a mathematical model that can correctly describe the yaw motion and lateral motion of the vehicle; secondly, selects the method in the high-fidelity vehicle dynamics simulation software CarSim A suitable vehicle model is obtained and corresponding parameters are obtained; then, based on the selected vehicle model, a simulation operating condition under a low-adhesion road surface is constructed; then a controller for vehicle stability control is deduced based on the fast solution algorithm of the present invention. Finally, the method of the present invention is verified in a joint simulation experiment, and at the same time, it is compared with the traditional SQP solution algorithm to illustrate the beneficial effect of the present invention.
本发明提供的一种面向车载应用的模型预测控制快速求解方法,具体包括以下步骤:The invention provides a fast solution method for vehicle-mounted application-oriented model predictive control, which specifically includes the following steps:
步骤一、高保真车辆模型搭建:在CarSim软件中选择车辆模型,并将车辆的运动状态参数读取到Simulink中,基于所选的车辆模型构建低附着路面下行驶的仿真工况,模拟实际车辆的横摆运动和侧向运动特征。
高保真车辆模型模拟真实的被控对象,主要作用是能够精确的模拟实际车辆的横摆运动和侧向运动特征。在本发明中,由于使用了联合仿真,因此在CarSim中,主要用到的是车辆模型选择以及仿真工况的构建。The high-fidelity vehicle model simulates the real controlled object, and its main function is to accurately simulate the yaw motion and lateral motion characteristics of the actual vehicle. In the present invention, since the co-simulation is used, in CarSim, the vehicle model selection and the construction of the simulation conditions are mainly used.
首先选择典型的乘用车模型,之后对模型的相关参数进行修改并获取,将车辆模型参数添加到Simulink仿真模型中。车辆的主要模型参数有车辆质量、前后轴距轮胎侧偏刚度等。在选择相应的车辆模型和参数之后,需要构建相应的仿真工况,仿真工况中可以选择车辆的行驶路线,行驶环境以及驾驶员模型等。由于在本发明中只是对通过附加横摆力矩来对车辆的稳定性进行控制,因此选用CarSim中自带的驾驶员模型,并将车辆的运动状态参数读取到Simulink中,基于所选的车辆模型构建低附着路面下的仿真工况。First select a typical passenger car model, then modify and obtain the relevant parameters of the model, and add the vehicle model parameters to the Simulink simulation model. The main model parameters of the vehicle include vehicle mass, front and rear wheelbase tire cornering stiffness, etc. After selecting the corresponding vehicle model and parameters, the corresponding simulation conditions need to be constructed. In the simulation conditions, the driving route, driving environment and driver model of the vehicle can be selected. Since the present invention only controls the stability of the vehicle by adding yaw moment, the driver model in CarSim is selected, and the motion state parameters of the vehicle are read into Simulink, based on the selected vehicle The model builds simulation conditions under low adhesion pavement.
步骤二、基于快速求解算法的控制器设计:基于模型预测控制原理对所需要的控制问题进行描述,描述为一个非线性优化问题,并基于本发明所述的快速求解算法进行控制器的设计。
本发明的被控对象是行驶在低附着路面上的车辆,因此控制目标就是根据当前车辆的状态信息以及当前的参考值计算出所需要的附加横摆力矩,提高车辆的稳定性。主要设计过程描述如下。The controlled object of the present invention is a vehicle running on a low-adhesion road, so the control objective is to calculate the required additional yaw moment according to the current vehicle state information and the current reference value to improve the stability of the vehicle. The main design process is described below.
1)建立描述车辆横摆运动和侧向运动的数学模型。1) Establish a mathematical model to describe the yaw motion and lateral motion of the vehicle.
1.1)车辆二自由度模型建立1.1) Establishment of vehicle two-degree-of-freedom model
本发明采用了车辆的二自由度模型,在该模型中只考虑了车辆的侧向运动和横摆运动。如图2所示,前轴轮胎和后轴轮胎(图2中的灰色轮胎)分别被压缩至一个轮胎中(图2中的黑色轮胎)。驾驶员只能够转动前轮,且两个前轮的转角是相等的。此时车辆模型便可以简化为车辆二自由度模型。同时根据车辆动力学的理论,简化后的车辆二自由度模型可由如下方程描述:The present invention adopts the two-degree-of-freedom model of the vehicle, in which only the lateral motion and the yaw motion of the vehicle are considered. As shown in Fig. 2, the front and rear axle tires (grey tires in Fig. 2) are each compressed into one tire (black tires in Fig. 2). The driver can only turn the front wheels, and the angle of rotation of the two front wheels is equal. At this point, the vehicle model can be simplified to a vehicle two-degree-of-freedom model. At the same time, according to the theory of vehicle dynamics, the simplified two-degree-of-freedom model of the vehicle can be described by the following equation:
其中,和分别表示车辆的质心侧偏角的导数和车辆的横摆角速度的导数,V表示车辆的纵向速度,Fyf和Fyr则分别表示前后轮胎的轮胎侧向力,Lf和Lr分别表示前后轴到车辆质心的距离,m是车辆的质量,Iz是车辆绕质心旋转的转动惯量,ΔMz为附加的横摆力矩。in, and respectively represent the derivative of the vehicle's center of mass slip angle and the derivative of the vehicle's yaw rate, V represents the longitudinal speed of the vehicle, Fyf and Fyr represent the tire lateral force of the front and rear tires, respectively, and Lf and Lr represent the front and rear tires, respectively. The distance from the axle to the center of mass of the vehicle, m is the mass of the vehicle, Iz is the moment of inertia of the vehicle rotating around the center of mass, and ΔMz is the additional yaw moment.
1.2)非线性轮胎模型建立1.2) Establishment of nonlinear tire model
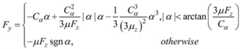
在本发明中,为了提高模型精度,轮胎的侧向力是由一个非线性模型来描述的,采用了Fiala轮胎模型进行描述。在该模型中,使用了轮胎侧偏角作为内部变量。当轮胎侧偏角α很小时,有tan(α)≈α,之后该轮胎模型可近似为:In the present invention, in order to improve the accuracy of the model, the lateral force of the tire is described by a nonlinear model, and the Fiala tire model is used for description. In this model, tire slip angle is used as an internal variable. When the tire slip angle α is very small, tan(α)≈α, then the tire model can be approximated as:
其中,Fy为轮胎侧向力,μ为路面附着系数,Fz为垂直载荷,轮胎侧偏刚度Cα可分为前轮侧偏刚度Cf和后轮侧偏刚度Cr;α为轮胎侧偏角,可分为前轮侧偏角αf和后轮侧偏角αr,他们可由下式进行计算:Among them, Fy is tire lateral force, μ is road adhesion coefficient, Fz is vertical load, tire cornering stiffness Cα can be divided into front wheel cornering stiffness Cf and rear wheel cornering stiffness Cr ; α is tire cornering stiffness C α Slip angle, can be divided into front wheel side slip angle αf and rear wheel side slip angle αr , they can be calculated by the following formula:
其中,δf为车辆的前轮转角。Among them, δf is the front wheel angle of the vehicle.
2)车辆参考模型建立2) Establishment of vehicle reference model
在本发明中,车辆的横摆角速度参考值由当前的前轮转角决定,在一般情况下,首先假设以及β=0,之后便可得到一阶线性参考模型。但事实上,当车辆转向时,车辆的质心侧偏角β并不等于零。当附加横摆力矩ΔMz作用于车辆时,上述假设并不合理,因为附加横摆力矩会引起车辆质心侧偏角的改变。然而,当车辆工作在线性区域时,车辆必须是稳定的,之后参考的质心侧偏角便可以基于车辆的稳定区域进行计算。首先忽略掉轮胎侧向力的非线性项和附加的横摆力矩,此时便可以得到一个关于横摆角速度和质心侧偏角的二自由度线性模型:In the present invention, the reference value of the yaw rate of the vehicle is determined by the current front wheel rotation angle. In general, it is assumed that and β=0, then a first-order linear reference model can be obtained. But in fact, when the vehicle turns, the vehicle's center of mass slip angle β is not equal to zero. When the additional yaw moment ΔMz acts on the vehicle, the above assumption is not reasonable, because the additional yaw moment will cause the vehicle center of mass slip angle to change. However, when the vehicle is operating in the linear region, the vehicle must be stable, after which the reference center of mass slip angle can be calculated based on the vehicle's stable region. First, ignoring the nonlinear term of the tire lateral force and the additional yaw moment, a two-degree-of-freedom linear model for the yaw rate and the center of mass slip angle can be obtained:
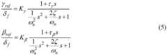
在式(4)的基础上,车辆关于前轮转角的响应便可以得到,之后便可以得到从前轮转角δf到车辆的参考横摆角速度γref以及参考质心侧偏角βref的传递函数为:On the basis of formula (4), the response of the vehicle with respect to the front wheel angle can be obtained, and then the transfer function from the front wheel angle δf to the vehicle’s reference yaw rate γref and the reference center of mass slip angle βref can be obtained for:
此时,我们定义车辆的稳定因子为其中L=Lf+Lr为车辆的前后轴距。系统的振荡频率为系统的阻尼系数为横摆角速度稳态增益为质心侧偏角稳态增益为其中的微分系数分别定义为和At this point, we define the stability factor of the vehicle as Wherein L=Lf +Lr is the front and rear wheelbase of the vehicle. The oscillation frequency of the system is The damping coefficient of the system is The steady-state gain of the yaw rate is The steady-state gain of the centroid sideslip angle is where the differential coefficients are defined as and
同时还需注意的是,当路面的附着系数较低时,轮胎所能产生的轮胎力的最大值不足以支撑所需要的较大的横摆角速度。此时我们需要对横摆角速度的参考值进行适当的限制,来适应路面的摩擦系数。为了达到满意的性能,首先定义横摆角速度的上限值为横摆角速度的参考值γref应被约束在|γref|≤γup。类似地,我们定义质心侧偏角的上限值为横摆角速度的参考值βref应被约束在|βref|≤βup。At the same time, it should be noted that when the adhesion coefficient of the road surface is low, the maximum tire force that the tire can generate is not enough to support the required large yaw rate. At this time, we need to appropriately limit the reference value of the yaw rate to adapt to the friction coefficient of the road surface. In order to achieve satisfactory performance, first define the upper limit of the yaw rate as The reference value γref of the yaw rate should be constrained to be |γref |≤γup . Similarly, we define the upper limit of the centroid slip angle as The reference value βref of the yaw rate should be constrained to be |βref |≤βup .
3)非线性控制器设计3) Nonlinear controller design
为了提高车辆的稳定性,主要的控制需求便是在控制器的作用下,使车辆跟踪横摆角速度的参考值。控制器的框图如图1所示。由控制器计算得到的附加横摆力矩通过四个轮毂电机的附加转矩来实现。In order to improve the stability of the vehicle, the main control requirement is to make the vehicle track the reference value of the yaw rate under the action of the controller. The block diagram of the controller is shown in Figure 1. The additional yaw moment calculated by the controller is achieved by the additional torque of the four in-wheel motors.
首先定义系统的状态向量为x=[x1,x2]T=[β/βup,γ/γup]T。控制量定义为u=ΔMz/ΔMmax。通过离散化式(1)在每个采样时刻kTs可以得到离散后的状态空间方程为:First define the state vector of the system as x=[x1 , x2 ]T =[β/βup ,γ/γup ]T . The control amount is defined as u=ΔMz /ΔMmax . By discretizing equation (1) at each sampling time kTs , the discrete state space equation can be obtained as:
其中的侧向力Fyf和Fyr由式(2)中的非线性轮胎模型计算得到,βup和γup分别为质心侧偏角和横摆角速度的上限值,ΔMmax为附加横摆力矩的最大值,Ts为采样时间,ΔMz为附加的横摆力矩。The lateral forces Fyf and Fyr are calculated from the nonlinear tire model in Eq. (2), βup and γup are the upper limit values of the center of mass slip angle and yaw rate, respectively, and ΔMmax is the additional yaw The maximum value of the moment, Ts is the sampling time, ΔMz is the additional yaw moment.
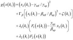
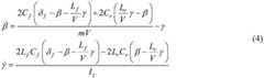
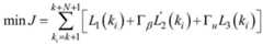
由于控制器的主要目标是跟踪横摆角速度的参考值,同时还要考虑质心侧偏角的参考值,因此在每个时刻k+1≤ki≤k+N+1定义代价函数为:Since the main goal of the controller is to track the reference value of the yaw rate and also consider the reference value of the center of mass slip angle, the cost function defined at each moment k+1≤ki ≤k+N+1 is:
其中L1(ki)、L'2(ki)和L3(ki)分别用于跟踪横摆角速度参考值、跟踪质心侧偏角参考值和抑制作动能量。状态约束为|x1(ki)|≤1,控制量限幅为|u(ki-1)|≤1。此时便可以得到非线性模型预测控制的目标函数为:Among them, L1 (ki ), L'2 (ki ) and L3 (ki ) are used to track the reference value of yaw rate, track the reference value of center of mass slip angle and suppress the actuation energy, respectively. The state constraint is |x1 (ki )|≤1, and the limit of the control quantity is |u(ki -1)|≤1. At this point, the objective function of nonlinear model predictive control can be obtained as:
满足的约束为|u(ki-1)|≤1以及|x1(ki)|≤1,其中Γβ和Γu分别为质心侧偏角和控制量的权重系数,N为预测时域。The satisfied constraints are |u(ki -1)|≤1 and |x1 (ki )|≤1, where Γβ and Γu are the weight coefficients of the center of mass slip angle and control amount, respectively, and N is the prediction time area.
4)快速求解算法4) Fast solution algorithm
由庞特里亚金最小值原理可知,对于给定的积分型性能指标、控制受约束的最优控制问题:According to the Pontryagin minimum principle, for a given integral-type performance index, the optimal control problem with constrained control:
若u*(t)和时使性能指标最小的最优解,且在最优解的作用下x*(t)所形成的的最优轨迹,则可导出如下必要条件:If u* (t) and When is the optimal solution that minimizes the performance index, and the optimal trajectory formed by x* (t) under the action of the optimal solution, the following necessary conditions can be derived:
①x(t)和λ(t)满足正则方程:①x(t) and λ(t) satisfy the regular equation:
其中H(x,λ,u)=L(x,u)+λT(t)f(x,u)为哈密顿函数。where H(x,λ,u)=L(x,u)+λT (t)f(x,u) is the Hamiltonian function.
②x(t)和λ(t)满足边界条件:②x(t) and λ(t) satisfy the boundary conditions:
③哈密顿函数在最优控制解的作用下取到绝对极小值:③The Hamiltonian function takes the absolute minimum value under the action of the optimal control solution:
④同时哈密顿函数在轨迹线的末端满足:④At the same time, the Hamiltonian function satisfies at the end of the trajectory:
H[x*(t),λ(t),u*(t)]=H[x*(tf),λ(tf),u*(tf)]=constant (13)H[x* (t),λ(t),u* (t)]=H[x* (tf ),λ(tf ),u* (tf )]=constant (13)
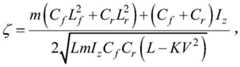
由上述必要条件可以看出,系统的状态约束是无法考虑在内的,因此需要根据车辆动力学方程对上述车辆二自由度模型的状态约束|x1(ki)|≤1进行一定的处理。在此本发明引入松弛函数对状态约束进行转化处理:It can be seen from the above necessary conditions that the state constraints of the system cannot be taken into account, so it is necessary to perform certain processing on the state constraints |x1 (ki )|≤1 of the above two-degree-of-freedom model of the vehicle according to the vehicle dynamics equation . Here, the present invention introduces a relaxation function to transform the state constraints:
其中,κ代表了函数的松弛程度,而ν则为一个较大的数,用来保证最优的状态轨迹是在约束范围之内的。引入松弛函数后,若求解得到的状态接近约束值,则函数的惩罚项会迅速增大,而当状态在约束范围之内时,函数的惩罚项会约等于零。最终代价函数L2(ki)可表示为:Among them, κ represents the degree of relaxation of the function, and ν is a large number used to ensure that the optimal state trajectory is within the constraints. After the relaxation function is introduced, if the obtained state is close to the constraint value, the penalty term of the function will increase rapidly, and when the state is within the constraint range, the penalty term of the function will be approximately zero. The final cost function L2 (ki ) can be expressed as:
L2(ki)=L′2(ki)+ζ(ki) (15)L2 (ki )=L′2 (ki )+ζ(ki ) (15)
此时式(8)所示的优化问题被重新定义为:At this time, the optimization problem shown in Eq. (8) is redefined as:
同时满足系统的状态约束|x1(ki)|≤1。At the same time, the state constraints of the system |x1 (ki )|≤1 are satisfied.
根据庞特里亚金最小值原理,将最优必要性条件进行离散化处理。再根据离散化后的车辆二自由度模型,现定义在时刻k+1≤ki≤k+N+1的哈密顿函数为:According to the Pontryagin minimum principle, the optimal necessity condition is discretized. Then, according to the discretized two-degree-of-freedom model of the vehicle, the Hamiltonian function at time k+1≤ki ≤k+N+1 is now defined as:
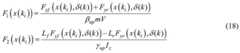
其中F1(x(ki))和F2(x(ki))分别定义为:where F1 (x(ki )) and F2 (x(ki )) are respectively defined as:
在上述方程中,λ1(k)和λ2(k)分别表示拉格朗日乘子,根据庞特里亚金最小值原理可得到最优必要性条件为:In the above equations, λ1 (k) and λ2 (k) represent Lagrange multipliers, respectively. According to the Pontryagin minimum principle, the optimal necessity condition can be obtained as:
终端条件为:The terminal conditions are:
在各个时刻都有最优控制律u*(ki)使得哈密顿函数最小化:At each moment there is an optimal control law u* (ki ) that minimizes the Hamiltonian:
基于必要性条件,我们便可以给出从初始状态到终端状态的映射关系,如图3所示。Based on the necessary conditions, we can give the mapping relationship from the initial state to the terminal state, as shown in Figure 3.
在某一时刻ki,在已知的状态λ(ki)和x(ki)条件下,便基于庞特里亚金最小值原理给出优化问题的解析解。为了简便起见,本发明将哈密顿函数重新写为关于控制量u(ki)的二次函数的形式:At a certain moment ki , under the conditions of known states λ(ki ) and x(ki ), the analytical solution of the optimization problem is given based on the Pontryagin minimum principle. For the sake of simplicity, the present invention rewrites the Hamiltonian function as a quadratic function with respect to the control quantity u(ki ):
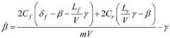
H(x(ki),u(ki))=p1u(ki)2+p2(ki)u(ki)+g(x(ki)) (22)H(x(ki ),u(ki ))=p1 u(ki )2 +p2 (ki )u(ki )+g(x(ki )) (22)
其中p1=Γu,p2(ki)=λ2(ki)ΔMmax/(γupIz)且有:where p1 =Γu , p2 (ki )=λ2 (ki )ΔMmax /(γup Iz ) and have:
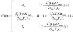
之后便可给出使哈密顿函数最小的最优控制律:The optimal control law that minimizes the Hamiltonian function can then be given:
此时原优化问题便转换为了寻找最优的初始状态λ*(k)使得终端状态满足终端条件。换句话说,原优化问题被转换为了两点边值问题:At this time, the original optimization problem is transformed to find the optimal initial state λ* (k) so that the terminal state satisfies the terminal condition. In other words, the original optimization problem is transformed into a two-point boundary value problem:
该两点边值问题在本发明中通过Nelder-Mead算法进行求解,最终可得到最优控制律为:The two-point boundary value problem is solved by the Nelder-Mead algorithm in the present invention, and finally the optimal control law can be obtained as:
得到最优控制律u*(k)之后,便可根据计算所得的控制律分别计算四个轮胎的附加转矩:After obtaining the optimal control law u* (k), the additional torque of the four tires can be calculated according to the calculated control law:
其中ΔTcfl(k),ΔTcrl(k),ΔTcfr(k),ΔTcrr(k)分别表示左前轮、左后轮、右前轮以及右后轮的附加转矩,Re表示轮胎的滚动半径,d表示车辆车身的宽度。where ΔTcfl (k), ΔTcrl (k), ΔTcfr (k), ΔTcrr (k) represent the additional torque of the left front wheel, left rear wheel, right front wheel and right rear wheel, respectively, andRe represents the tire , and d represents the width of the vehicle body.
4、仿真实验验证与对比:4. Simulation experiment verification and comparison:
为了验证本发明所提出的的模型预测控制优化问题的快速求解算法的有效性,同时也为了与传统的求解算法进行对比,需要设计仿真实验来进行验证对比。车辆的稳定性控制是一个典型的车辆控制问题,同时该控制问题还对控制器的实时性要求较高,因此本发明所设计的仿真实验为低附着路面上的车辆稳定性控制问题。在对比中,传统的求解算法选用的是应用较为广泛的序列二次规划(SQP)。In order to verify the effectiveness of the fast solution algorithm for the model predictive control optimization problem proposed by the present invention, and also to compare with the traditional solution algorithm, a simulation experiment needs to be designed for verification and comparison. Vehicle stability control is a typical vehicle control problem, and the control problem also requires high real-time performance of the controller. Therefore, the simulation experiment designed in the present invention is a vehicle stability control problem on a low-adhesion road. In the comparison, the traditional solution algorithm is the widely used sequential quadratic programming (SQP).
本发明设计了基于所述算法的控制器,对行驶在低附着路面上的车辆进行稳定性控制。同时还对比了与采用传统求解算法的求解速度与效果。通过仿真实验来进行上述验证与对比。在仿真中所使用的车辆模型的参数为质量m=1430kg,车辆前半轴距Lf=1.05m,车辆后半轴距Lr=1.61m,车辆绕质心的转动惯量Iz=2059.2kg·m2,前轮等效侧偏刚度Cf=90700N/rad,后轮等效侧偏刚度Cr=109000N/rad,车轮半径Re=0.325m,车辆车体宽度d=1.55m,路面附着系数μ=0.35。状态约束分别为γup=0.2058rad/s和βup=0.0376rad,车辆纵向速度V=60km/h,采样时间Ts0.012s,预测时域N=20,最大附加横摆力矩ΔMmax=800Nm。目标函数中的权重系数分别为Γβ=0.2和Γu=0.125。The present invention designs a controller based on the algorithm to control the stability of a vehicle running on a low-adhesion road. At the same time, the solution speed and effect of the traditional solution algorithm are compared. The above verification and comparison are carried out through simulation experiments. The parameters of the vehicle model used in the simulation are the mass m=1430kg, the front half wheelbase of the vehicle Lf =1.05m, the rear half wheelbase of the vehicle Lr =1.61m, the moment of inertia of the vehicle around the center of mass Iz =2059.2kg·m2. Front wheel equivalent cornering stiffness Cf = 90700N/rad, rear wheel equivalent cornering stiffness Cr = 109000 N/rad, wheel radiusRe = 0.325m, vehicle body width d = 1.55m, road adhesion coefficient μ=0.35. The state constraints are γup = 0.2058 rad/s and βup = 0.0376 rad, the vehicle longitudinal speed V = 60 km/h, the sampling time Ts 0.012 s, the prediction time domain N = 20, the maximum additional yaw moment ΔMmax = 800Nm . The weight coefficients in the objective function are Γβ =0.2 and Γu =0.125, respectively.
(1)实施例:双移线工况实验(1) Example: double-shift line working condition experiment
在仿真实验中,所选择的是双移线工况,车辆速度为60km/h且在整个工况中保持不变,驾驶员模型为预瞄驾驶员模型。为了验证本发明所提出的的快速求解算法的有效性,并和传统SQP算法进行对比,分别使用这两种算法求解模型预测控制中的优化问题,之后对比求解精度和求解速度。In the simulation experiment, the double lane-shifting condition is selected, the vehicle speed is 60km/h and remains unchanged in the whole working condition, and the driver model is the preview driver model. In order to verify the effectiveness of the fast solution algorithm proposed by the present invention and compare it with the traditional SQP algorithm, these two algorithms are used to solve the optimization problem in the model predictive control respectively, and then the solution accuracy and solution speed are compared.
图4和图5分别给出了基于SQP求解算法和基于本发明所述的NM-PMP求解算法的求解时间。从图中可以看出,不论是基于SQP还是基于NM-PMP的求解算法,他们的计算时间都会随着预测时域的增加而增加。但在同样的预测时域下,NM-PMP算法的求解时间要大大小于SQP算法的求解时间。当优化问题较为复杂时,例如在第4秒到第11秒期间,NM-PMP算法的求解时间可比SQP算法的求解时间快约十倍。图6给出了在不同预测时域下的两种求解算法的平均计算时间,可以看到随着预测时域的增加,NM-PMP算法的平均计算时间和预测时域基本呈线性关系,增长较为缓慢,而SQP算法的平均计算时间和预测时域呈指数关系,增长较快,且平均计算时间也大于NM-PMP算法的计算时间。以上两点充分体现出了本发明所述的快速求解算法的有益性。FIG. 4 and FIG. 5 respectively show the solution time based on the SQP solution algorithm and the NM-PMP solution algorithm according to the present invention. As can be seen from the figure, whether it is based on SQP or based on NM-PMP solution algorithm, their calculation time will increase with the increase of the prediction time domain. But in the same prediction time domain, the solution time of NM-PMP algorithm is much smaller than that of SQP algorithm. When the optimization problem is complex, for example, between the 4th second and the 11th second, the solution time of the NM-PMP algorithm can be about ten times faster than that of the SQP algorithm. Figure 6 shows the average calculation time of the two solving algorithms in different prediction time domains. It can be seen that with the increase of the prediction time domain, the average calculation time of the NM-PMP algorithm and the prediction time domain are basically linear, and the increase It is relatively slow, and the average calculation time of the SQP algorithm is exponentially related to the prediction time domain, which increases rapidly, and the average calculation time is also greater than that of the NM-PMP algorithm. The above two points fully reflect the usefulness of the fast solution algorithm of the present invention.
图7和图8给出了车辆在基于本发明所述的NM-PMP算法所设计的控制器作用下的控制效果,从图7可以看到在控制器的作用下,车辆可以较好地跟踪横摆角速度的参考值,有效改善了车辆的操纵性。从图8可以看到,在控制器作用下,车辆的质心侧偏角可以抑制在一个较小的范围内,相比于无控制器作用时,车辆的稳定性大大提高。以上说明了本发明所述的NM-PMP算法不仅求解速度较快,同时还可以实现较好的控制效果。Figures 7 and 8 show the control effect of the vehicle under the action of the controller designed based on the NM-PMP algorithm of the present invention. It can be seen from Figure 7 that under the action of the controller, the vehicle can track well The reference value of the yaw rate, which effectively improves the maneuverability of the vehicle. It can be seen from Fig. 8 that under the action of the controller, the side-slip angle of the vehicle's center of mass can be suppressed within a small range, and the stability of the vehicle is greatly improved compared with that without the action of the controller. The above shows that the NM-PMP algorithm of the present invention not only has a faster solution speed, but also can achieve a better control effect.
仿真实验还对比了两种求解算法的控制效果。图9给出了在不同预测时域下两种求解算法的目标函数值的收敛情况,从图9中可以看到,当两种算法都可以求解出优化问题时,在同样的预测时域下,本发明所述的NM-PMP算法计算出的目标函数值仅略小于SQP算法计算出的目标函数值。说明了本发明所述的NM-PMP算法在大幅加快计算速度的情况下,还可以保持较高的求解精度。儿另一方面,当优化问题较为复杂且SQP算法无法求解时,他的目标函数值便会迅速发散增大,而本发明所述的NM-PMP算法可以找到一个次优解,使目标函数保持在一个较小的范围内。The simulation experiment also compares the control effects of the two solving algorithms. Figure 9 shows the convergence of the objective function values of the two solving algorithms in different prediction time domains. It can be seen from Figure 9 that when both algorithms can solve the optimization problem, in the same prediction time domain , the objective function value calculated by the NM-PMP algorithm of the present invention is only slightly smaller than the objective function value calculated by the SQP algorithm. It is illustrated that the NM-PMP algorithm of the present invention can maintain a high solution accuracy under the condition of greatly speeding up the calculation speed. On the other hand, when the optimization problem is more complicated and the SQP algorithm cannot be solved, the value of its objective function will rapidly diverge and increase, and the NM-PMP algorithm described in the present invention can find a suboptimal solution, so that the objective function remains on a smaller scale.
图10和图11给出了在两种算法的控制器作用下的控制效果,从图10可以看到,在NM-PMP算法控制器的作用下,车辆可以更好地跟踪横摆角速度的参考值,具有更好的操纵性。从图11可以看到,在NM-PMP算法控制器的作用下,质心侧偏角可以被抑制在一个更小的范围内,从而使车辆具有更好的稳定性。Figure 10 and Figure 11 show the control effects under the action of the controllers of the two algorithms. It can be seen from Figure 10 that under the action of the NM-PMP algorithm controller, the vehicle can better track the reference of the yaw rate value for better maneuverability. It can be seen from Figure 11 that under the action of the NM-PMP algorithm controller, the side-slip angle of the center of mass can be suppressed in a smaller range, so that the vehicle has better stability.
通过仿真示例可以看出,本发明所述的NM-PMP算法能够在大幅提高计算速度的情况下还能保证较高的求解精度。此外,当传统SQP算法无法求解时,本发明所述的NM-PMP算法可以求解出一个次优解,从而实现更好的总体性能。It can be seen from the simulation example that the NM-PMP algorithm of the present invention can ensure a higher solution accuracy while greatly improving the calculation speed. In addition, when the traditional SQP algorithm cannot be solved, the NM-PMP algorithm of the present invention can solve a sub-optimal solution, thereby achieving better overall performance.
| Application Number | Priority Date | Filing Date | Title |
|---|---|---|---|
| CN202010020411.2ACN111158264B (en) | 2020-01-09 | 2020-01-09 | A fast solution method for model predictive control for in-vehicle applications |
| Application Number | Priority Date | Filing Date | Title |
|---|---|---|---|
| CN202010020411.2ACN111158264B (en) | 2020-01-09 | 2020-01-09 | A fast solution method for model predictive control for in-vehicle applications |
| Publication Number | Publication Date |
|---|---|
| CN111158264A CN111158264A (en) | 2020-05-15 |
| CN111158264Btrue CN111158264B (en) | 2021-06-29 |
| Application Number | Title | Priority Date | Filing Date |
|---|---|---|---|
| CN202010020411.2AActiveCN111158264B (en) | 2020-01-09 | 2020-01-09 | A fast solution method for model predictive control for in-vehicle applications |
| Country | Link |
|---|---|
| CN (1) | CN111158264B (en) |
| Publication number | Priority date | Publication date | Assignee | Title |
|---|---|---|---|---|
| CN112000005B (en)* | 2020-06-29 | 2021-12-21 | 吉林大学 | A target solving method for switching control parameters for economical cruise on slopes |
| CN112346337A (en)* | 2020-09-15 | 2021-02-09 | 吉林大学 | Vehicle stability control method based on active rear wheel steering under extreme conditions |
| CN112298193B (en)* | 2020-10-18 | 2021-08-24 | 吉林大学 | Fast and real-time rear wheel active steering predictive control method |
| CN113805485B (en)* | 2021-10-13 | 2023-04-14 | 吉林大学 | A warm start C/GMRES method, system, equipment and medium |
| CN116279408A (en)* | 2023-02-03 | 2023-06-23 | 同济大学 | Vehicle longitudinal and lateral movement cooperative control method based on rapid solving algorithm |
| Publication number | Priority date | Publication date | Assignee | Title |
|---|---|---|---|---|
| CN103912966B (en)* | 2014-03-31 | 2016-07-06 | 武汉科技大学 | A kind of earth source heat pump refrigeration system optimal control method |
| US20170139423A1 (en)* | 2015-11-12 | 2017-05-18 | King Fahd University Of Petroleum And Minerals | Control system and method for multi-vehicle systems |
| CN107117170B (en)* | 2017-04-28 | 2019-04-09 | 吉林大学 | A real-time predictive cruise control system based on economical driving |
| US11210609B2 (en)* | 2018-06-11 | 2021-12-28 | Traxen Inc. | User vehicle operation interface systems and methods |
| CN108482363B (en)* | 2018-04-09 | 2020-03-17 | 吉林大学 | Vehicle yaw stability prediction model control method |
| CN109795502B (en)* | 2018-09-27 | 2021-05-04 | 吉林大学 | Intelligent electric vehicle path tracking model prediction control method |
| RU2697433C1 (en)* | 2018-10-26 | 2019-08-14 | Федеральное Государственное Бюджетное Учреждение "Институт Прикладной Геофизики Имени Академика Е.К. Федорова" (Фгбу "Ипг") | Method for automatic determination of ionospheric layers parameters by ionograms |
| CN110228462B (en)* | 2019-05-17 | 2021-03-26 | 吉林大学 | Yaw stability control method for four-wheel hub motor-driven electric automobile |
| Publication number | Publication date |
|---|---|
| CN111158264A (en) | 2020-05-15 |
| Publication | Publication Date | Title |
|---|---|---|
| CN111158264B (en) | A fast solution method for model predictive control for in-vehicle applications | |
| CN110228462B (en) | Yaw stability control method for four-wheel hub motor-driven electric automobile | |
| CN108099902B (en) | A Yaw Stability Control Method Reflecting the Nonlinear Characteristics of Vehicles | |
| CN111332277B (en) | Vehicle lateral stability control method based on stable region under limit working condition | |
| CN108107731A (en) | A kind of Vehicle Stability Control method based on Tire nonlinearity characteristic | |
| CN108082182B (en) | An Active Rear Wheel Steering Control Method for Widening Vehicle Stability Domain | |
| CN104859650B (en) | A kind of vehicle yaw stability rolling optimization control method of Multiple Time Scales | |
| CN108107732A (en) | Active front wheel steering and the united Vehicle Stability Control method of direct yaw moment | |
| CN108099900A (en) | The laterally stable four-wheel steering control method of automobile is kept under a kind of limiting condition | |
| CN109808707B (en) | A vehicle steering control method and controller based on stochastic model prediction | |
| CN105045102B (en) | A kind of non-linear integrated control method of vehicle lateral stability | |
| CN116279408A (en) | Vehicle longitudinal and lateral movement cooperative control method based on rapid solving algorithm | |
| CN112298193B (en) | Fast and real-time rear wheel active steering predictive control method | |
| US20240270235A1 (en) | Coordinated control method for electric vehiles having independent four-wheel driving and steering | |
| CN105137758B (en) | The Multidisciplinary Optimization method of electric boosting steering system | |
| CN113467470B (en) | Trajectory tracking control method of unmanned autonomous trolley | |
| CN112829766B (en) | Adaptive path tracking method based on distributed driving electric vehicle | |
| Tang et al. | Coordinated control for path following of two‐wheel independently actuated autonomous ground vehicle | |
| CN109050659B (en) | A Stability Control Method for Four-wheel Steering Vehicles Based on Time-varying Dynamics Model | |
| CN108099901A (en) | A kind of method of active front wheel steering control accuracy under raising limiting condition | |
| CN108099876A (en) | A kind of electric vehicle anti-lock control method based on model prediction | |
| Liu et al. | Vehicle state estimation based on unscented Kalman filtering and a genetic-particle swarm algorithm | |
| CN116552547A (en) | Additional yaw moment real-time control method for distributed driving electric automobile | |
| CN113306545A (en) | Vehicle trajectory tracking control method and system | |
| CN118560458A (en) | Electric vehicle trajectory tracking and lateral stability control method, device and storage medium |
| Date | Code | Title | Description |
|---|---|---|---|
| PB01 | Publication | ||
| PB01 | Publication | ||
| SE01 | Entry into force of request for substantive examination | ||
| SE01 | Entry into force of request for substantive examination | ||
| GR01 | Patent grant | ||
| GR01 | Patent grant |