Movatterモバイル変換


[0]ホーム

URL:


CN111145564A - Self-adaptive variable lane control method and system for signal control intersection - Google Patents

Self-adaptive variable lane control method and system for signal control intersection
Download PDF

Info

Publication number
CN111145564A
CN111145564ACN202010005695.8ACN202010005695ACN111145564ACN 111145564 ACN111145564 ACN 111145564ACN 202010005695 ACN202010005695 ACN 202010005695ACN 111145564 ACN111145564 ACN 111145564A
Authority
CN
China
Prior art keywords
lane
signal
intersection
flow
traffic
Prior art date
Legal status (The legal status is an assumption and is not a legal conclusion. Google has not performed a legal analysis and makes no representation as to the accuracy of the status listed.)
Granted
Application number
CN202010005695.8A
Other languages
Chinese (zh)
Other versions
CN111145564B (en
Inventor
杜金明
朱琳
安思颖
邹难
Current Assignee (The listed assignees may be inaccurate. Google has not performed a legal analysis and makes no representation or warranty as to the accuracy of the list.)
Shandong University
Original Assignee
Shandong University
Priority date (The priority date is an assumption and is not a legal conclusion. Google has not performed a legal analysis and makes no representation as to the accuracy of the date listed.)
Filing date
Publication date
Application filed by Shandong UniversityfiledCriticalShandong University
Priority to CN202010005695.8ApriorityCriticalpatent/CN111145564B/en
Publication of CN111145564ApublicationCriticalpatent/CN111145564A/en
Application grantedgrantedCritical
Publication of CN111145564BpublicationCriticalpatent/CN111145564B/en
Expired - Fee Relatedlegal-statusCriticalCurrent
Anticipated expirationlegal-statusCritical

Links

Images

Classifications

Landscapes

Abstract

Translated fromChinese

本发明公开了一种信控交叉口的自适应可变车道控制方法及系统,包括:采集交叉口历史流量数据,根据进道口流量变化规律确定车道功能每次转换的周期;将当前交叉口的交通负荷程度指标,作为车道功能转换的依据;根据转换周期以及当前交叉口的交通负荷程度指标,判定是否进行车道转换;如果是,切换预信号,对主信号的配时进行优化;否则,保持原信号方案;判断优化后的信号方案是否优于原方案,如果是,将当前信号方案变为优化后的方案;否则,保持原信号方案。本发明能够适应交叉口各车流随着时间不断变化的交通流,避免出现某一流向车道拥挤,另一流向车道空置的现象。

Figure 202010005695

The invention discloses a self-adaptive variable lane control method and system for a signal-controlled intersection, comprising: collecting historical flow data of the intersection, determining the cycle of each lane function change according to the flow change law of the entrance; The traffic load degree index is used as the basis for lane function conversion; according to the conversion cycle and the traffic load degree index of the current intersection, it is determined whether to perform lane conversion; if so, switch the pre-signal and optimize the timing of the main signal; otherwise, keep Original signal scheme; judge whether the optimized signal scheme is better than the original scheme, if so, change the current signal scheme to the optimized scheme; otherwise, keep the original signal scheme. The invention can adapt to the traffic flow of each traffic flow at the intersection that changes with time, and avoids the phenomenon that one flow lane is crowded and the other flow lane is vacant.

Figure 202010005695

Description

Self-adaptive variable lane control method and system for signal control intersection
Technical Field
The invention relates to the technical field of urban road signal control, in particular to a method and a system for controlling a self-adaptive variable lane of a signal control intersection.
Background
The statements in this section merely provide background information related to the present disclosure and may not necessarily constitute prior art.
The urban traffic jam becomes a ubiquitous international problem, intersections serve as key nodes of urban road networks, and different turning motor vehicle flows, non-motor vehicle flows and pedestrian flows are interwoven to seriously affect the traffic capacity of the intersections. The left-turn traffic flow has more conflict points generated at the intersection, higher accident rate and larger influence on the traffic capacity of the intersection. The temporal and spatial differences presented by the distribution of urban traffic flows on the road network make intersection resources still not well utilized.
At present, more research at home and abroad focuses on a method for setting a changeable lane on a tidal traffic flow road section, and less research on changing the lane function by tracking the road traffic demand in real time is carried out. The prior art provides a control method for determining variable lane attributes based on detector detection data, but the arrangement positions of the detectors mentioned in the description are harsher according to the conditions of arrangement, arrangement quantity and the like of traffic flow in an intersection canalization area, and the actual road conditions are often difficult to meet. In the prior art, the traffic volume of the next time period is predicted based on the current and historical traffic flow data and is used as an attribute judgment basis of the variable lane, but the time efficiency is poor because the correlation and the like are needed to be compared and analyzed with a large amount of data in a database, and the accuracy of the prediction result is difficult to ensure. In the prior art, the lane function and the signal timing of the variable guide lane are cooperatively optimized by taking the minimum delay as a target, the effect of the variable lane on reducing the delay of an intersection under the condition of known flow is analyzed, and a control conversion strategy of the variable lane is not provided. In the prior art, a dynamic lane function and signal phase combination model is established based on the analysis of the time-space relationship of the intersection, but the combination model has various constraint conditions and is not applicable to the intersection with short-time traffic demand change.
Disclosure of Invention
The invention aims to adapt to the traffic flow of each traffic flow of an intersection which changes constantly along with time, avoid the phenomena that a certain flow direction lane is crowded and the other flow direction lane is vacant, and provides a self-adaptive variable lane control method and a self-adaptive variable lane control system of a signal control intersection.
In some embodiments, the following technical scheme is adopted:
a self-adaptive variable lane control method for a signal control intersection comprises the following steps:
(1) collecting historical traffic data of the intersection, and determining the cycle of each conversion of lane functions according to the traffic change rule of the entrance;
(2) taking the traffic load degree index of the current intersection as a basis for lane function conversion;
(3) judging whether lane switching is carried out or not according to the switching period and the traffic load degree index of the current intersection; if yes, switching the pre-signal, optimizing the timing of the main signal, and entering the step (4); otherwise, keeping the original signal scheme;
(4) judging whether the optimized signal scheme is superior to the original scheme, if so, changing the current signal scheme into the optimized scheme; otherwise, keeping the original signal scheme;
(5) returning to the step (3), starting the judgment of the next period.
The method comprises the following steps of collecting historical traffic data of an intersection, and determining the cycle of each conversion of lane functions according to the traffic change rule of an entrance, wherein the method specifically comprises the following steps:
selecting a data segment space with the length of n as a sliding window, wherein n is the number of data contained in the sliding window;
setting the allowable deviation of single data in a sliding window, and setting a standard deviation threshold of n periodic flow data in the sliding window according to the allowable deviation;
calculating the standard deviation of the n flow data according to the first n calculated flow initial mean values of the flow data;
sliding a sliding window from a data starting point to a data end point, discarding the original starting point flow data and entering a window with a new period flow data every time the sliding window moves once, and calculating the mean value and the standard deviation of new n flow data;
if the total number of the N periodic flow data is N, obtaining N-N +1 standard deviation calculation values, and counting the number m of the standard deviations less than or equal to the standard deviation threshold valuen
Changing the length of the sliding window, repeating the above steps, and comparing m under each sliding window lengthnValue, take mnAnd taking the length of the sliding window at the maximum as a function switching judgment period of the lane at the intersection.
In other embodiments, the following technical solutions are adopted:
a terminal device comprising a processor and a computer-readable storage medium, the processor being configured to implement instructions; the computer readable storage medium is used for storing a plurality of instructions which are suitable for being loaded by a processor and executing the adaptive variable lane control method for the signal control intersection.
In other embodiments, the following technical solutions are adopted:
a computer readable storage medium having stored therein a plurality of instructions adapted to be loaded by a processor of a terminal device and to execute the above-described method of adaptive variable lane control at a signalized intersection.
Compared with the prior art, the invention has the beneficial effects that:
the invention can adapt to the traffic flow that each traffic flow of the intersection changes constantly along with time, avoid the phenomenon that a certain traffic flow lane is crowded, another traffic flow lane is vacant; the lane function is allowed to be coordinated according to the actual running condition of the road, and then signal timing optimization is carried out aiming at the change of the lane function, so that the aim of fully utilizing space resources in the intersection is fulfilled.
Drawings
FIG. 1 is a schematic diagram of traffic signal control according to a first embodiment of the present invention;
FIG. 2 is a flowchart illustrating the overall operation of an adaptive variable lane according to an embodiment of the present invention;
FIG. 3 is a schematic view illustrating a flow of controlling a lane function according to an embodiment of the present invention;
FIG. 4 is a schematic diagram of intersection canalization in an embodiment of the invention;
FIG. 5 is a circuit diagram according to an embodiment of the present invention;
FIG. 6 is a comparison graph of average delay per vehicle for each flow direction lane before and after a variable lane is used in the embodiment of the present invention;
fig. 7 is a comparison graph of average delay of left-turning vehicles before and after a variable lane is adopted in the embodiment of the invention.
Detailed Description
It should be noted that the following detailed description is exemplary and is intended to provide further explanation of the disclosure. Unless defined otherwise, all technical and scientific terms used herein have the same meaning as commonly understood by one of ordinary skill in the art to which this application belongs.
It is noted that the terminology used herein is for the purpose of describing particular embodiments only and is not intended to be limiting of example embodiments according to the present application. As used herein, the singular forms "a", "an" and "the" are intended to include the plural forms as well, and it should be understood that when the terms "comprises" and/or "comprising" are used in this specification, they specify the presence of stated features, steps, operations, devices, components, and/or combinations thereof, unless the context clearly indicates otherwise.
The embodiments and features of the embodiments of the present invention may be combined with each other without conflict.
The noun explains:
an inlet passage: refers to an intersection at an intersection where the road planes intersect.
Bayonet: and the vehicle monitoring system is arranged at the intersection or on the road section and is used for shooting, recording and processing all motor vehicles passing through the point.
Pre-signal: the pre-signal is a set of signal lights located upstream (about 30-50 meters) of the intersection to induce the driver to enter the variable lane.
Main signals: several groups of signal lamp devices are set at the crossing to distribute right of way to traffic flow in all directions in time.
Example one
In one or more embodiments, an adaptive variable lane control method based on bayonet detection data is disclosed, and it should be noted that not all intersections are suitable for setting a dynamic variable lane, and the following conditions and assumptions need to be satisfied in terms of road physical conditions, traffic states, and the like:
conditions are as follows:
(1) the number of the lanes at the inlet lane and the outlet lane is 4;
(2) setting a special left-turn phase for an entrance lane of the variable lane under the phase condition;
the basic assumption is that:
(1) influence of pedestrians crossing the street and non-motor vehicles is not considered;
(2) the case where right turn is controlled by a signal is not considered herein;
(3) is not suitable for a three-dimensional intersection ring intersection and the like;
(4) no consideration is given to special conditions such as traffic accidents.
The general workflow of the adaptive variable lane of the present embodiment is shown in fig. 2, and includes the following steps:
(1) collecting historical traffic data of the intersection, and determining the cycle of each conversion of lane functions according to the traffic change rule of the entrance;
(2) taking the traffic load degree index of the current intersection as a basis for lane function conversion;
(3) judging whether lane switching is carried out or not according to the switching period and the traffic load degree index of the current intersection; if so, switching the pre-signal (namely switching between left turn permission and straight going permission), optimizing the timing of the main signal, and entering the step (4); otherwise, keeping the original signal scheme;
(4) judging whether the optimized signal scheme is superior to the original scheme, if so, changing the current signal scheme into the optimized scheme; otherwise, keeping the original signal scheme;
(5) returning to the step (3), starting the judgment of the next period.
In particular, the amount of the solvent to be used,
1) determining time intervals of every two adjacent lane changes
If the time interval of the judgment is too long, the requirement of traffic flow in each direction of the road can not be met in real time, the space utilization efficiency is improved limitedly, and if the time interval of the judgment is too short, the coordination pressure between a driver and the road can be increased, and even the traffic order is disordered. Therefore, it is necessary to determine the time interval between each determination of whether the lane change function is required at the intersection through the historical rule analysis of the data collected at the actual intersection. The judgment method comprises the following steps:
the method comprises the steps of firstly, statistically analyzing the flow change characteristics of an entrance way according to a time sliding window with a period as a unit by using bayonet historical data, and determining the period of each conversion of lane functions according to the flow change rule. The time length of the lane function changing period is ensured to be shortened as much as possible under the condition that the fluctuation of the traffic flow in each flow direction is not large. The steps are as follows
(1) And selecting a data segment space with the length of n as a sliding window to judge the minimum time length of the stability of the flow data segment, wherein n is the number of data contained in the sliding window. Each data is a statistical value in a unit of one cycle
(2) Setting allowable deviation epsilon of single data in a sliding window, and setting a threshold sigma of standard deviation of n periodic flow data in the sliding window according to the allowable deviationn
(3) Calculating the standard deviation sigma of the n flow data according to the first n calculated flow initial mean values E of the flow data0
(4) And in the process of sliding the window from the data starting point to the data ending point, the original starting point flow data is abandoned and a new period flow data enters the window every time the window is moved once, and the mean value and the standard deviation of the new n flow data are calculated. If the total N periodic flow data are obtained, obtaining N-N +1 standard deviation calculated values, and counting to satisfy the condition that the sigma is not more thannThe number of standard deviations of (a) is mn
(5) Changing the length of the sliding window, repeating the above steps, and comparing m under each sliding window lengthnValue, take mnAnd taking the length of the sliding window at the maximum as a function switching judgment period of the lane at the intersection.
2) Basis of lane function conversion
The saturation is an important criterion for judging how the lane function should be changed, and is an index describing the traffic load degree of a road or an intersection by dividing the traffic flow of the road or the intersection by the traffic capacity of the road or the intersection.
When the left-turn traffic flow saturation is greater than the straight-going traffic flow saturation, the lane function is changed into left-turn;
when the left-turn traffic flow saturation is less than the straight traffic flow saturation, the lane function becomes straight.
The jth lane saturation calculation formula of each entrance lane is
Figure BDA0002355203240000071
C is the intersection signal period, qiIs the actual flow of the jth lane, SjIs the saturation flow rate of the jth lane, (pcu/h), giThe effective green time of the j-th lane traffic flow in the period,(s).
3) Signal switching scheme
In order to ensure that the traffic flow of the previous phase on the variable lane with the lane function changed is empty and the normal running of the vehicles facing to the entrance lane and the adjacent entrance lane is not influenced, the signal lamp group of the variable lane needs to ensure that the current traffic flow is closed earlier than the main signal lamp group, the vehicle of the next phase can enter the variable lane at the moment, if the average speed of the vehicle of the variable lane is v, the length of the variable lane is L, (the distance between a stop line and a variable sign) and the time length of closing the variable lane in advance is V
Figure BDA0002355203240000081
t2Time to drive off the intersection from the entrance lane stop line; in addition, in order to further ensure that the vehicle can be emptied, the releasing time of the variable lane can be delayed, and the delay time is not suitable to be too long.
With reference to figure 1 of the drawings,
Figure BDA0002355203240000082
phase of main signal turning left in north-south directionThe time of day is,
Figure BDA0002355203240000083
is the phase time of the main signal going straight in the north-south direction,
Figure BDA0002355203240000084
for the left-hand phase time of the main signal in the east-west direction,
Figure BDA0002355203240000085
is the straight-ahead phase time of the main signal in the east-west direction.
Common left-turn lane slave
Figure BDA0002355203240000086
When the vehicle starts to accumulate left-turning vehicles to pass in the next period, the variable lane needs to be delayed for a few times (the delay time is t)2) To avoid that too many vehicles accumulated on the variable lane cannot be drained in time during the left-turn phase, and the lane function is switched at t2When the time is finished, in order to ensure that the straight traffic flow on the lane before the left turn can be cleared in time when the lane changing function is switched, the pre-signal needs to be closed in advance (the advance time is t)1) Only the last straight-going vehicle entering the variable lane can be ensured to be in the state of closing the straight-going pre-signal
Figure BDA0002355203240000087
And driving away from the intersection before finishing.
Figure BDA0002355203240000088
End time to t2And finishing calculating the saturation index and the right-turn saturation index of the traffic flow on the left-turn lane of the road within the time period of the ending time.
Referring to fig. 3, in an initial state, the variable lane is straight, which is represented by α -0, α -1 represents that the variable lane is left-turned, i represents a cycle number, from the first cycle, the traffic flow of the left-turn lane and the traffic flow of the straight lane are input, the saturation of the left-turn lane and the saturation of the straight lane are calculated and compared, if the saturation of the left-turn lane is less than the saturation of the straight lane, α -0 is set, no action is performed, the lane function attribute remains unchanged, if the saturation of the left-turn lane is greater than the saturation of the straight lane, α -1 is set, N starts to count N-1, which represents that a lane function change request is received, and when the number of requests is accumulated to N times or more, the variable lane function attribute is changed to "left-turn", and the cycle count is increased by 1, and the next cycle is entered, and the above steps are repeated.
4) Main signal timing optimization
Because the number of each functional lane is continuously changed, the phase timing of each signal may need to be optimized in real time, and the optimization method is an optimization model with multiple constraint conditions.
① with average delay per car as optimization objective:
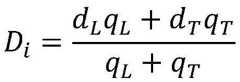
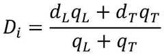
Figure BDA0002355203240000091
n is the number of the entrance lanes at the intersection, DiFor the average delay per car for the ith entrance lane, (s/pcu).
Figure BDA0002355203240000092
Wherein d isLAverage delay for left-turn traffic, qLFor left-turn traffic flow, dTIs the average delay of the straight-through traffic, qTIs a straight-going flow.
The control delay of the left-turn or straight-going traffic flow vehicles consists of three parts, namely control delay, random delay and initial queuing delay:
Figure BDA0002355203240000093
control delay calculation formula:
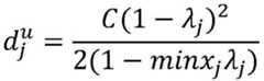
Figure BDA0002355203240000094
wherein λ isjIs the split green for the jth lane,
Figure BDA0002355203240000095
xjis the saturation of the jth lane.
Random delay calculation formula:
Figure BDA0002355203240000096
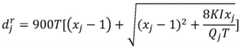
wherein x isjSaturation of jth lane, T duration of analysis period, (h), QjJ the traffic capacity of the first lane, (pcu/h), I the incremental delay correction factor for lane change and adjustment of the vehicle at the upstream signal, and K the delay correction factor for induction control.
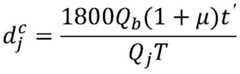
Initial queuing delay calculation formula:
Figure BDA0002355203240000101
t' is the duration of the saturation state in the analysis period, (h), μ is the delay parameter, QbFor the number of queued vehicles at the beginning of the analysis period, Q when the chef queue length is 0b=0。
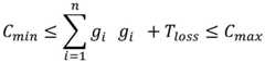
② constraints of the signal optimization model:
a) the effective green time of each lane group must be not less than the minimum effective green time, giFor the effective green time of the ith phase,
Figure BDA0002355203240000105
then it indicates that the ith phase has right of way in the jth lane
Figure BDA0002355203240000102
The traffic capacity calculation formula is as follows:
Figure BDA0002355203240000103
b) the green time of each phase should also satisfy the minimum period and maximum period constraints
Figure BDA0002355203240000104
TlossIs the total loss time in the cycle, CminAnd CmaxThe minimum period and the maximum period allowed by the intersection are respectively, and C is satisfied because the green light time of each phase is balanced under the fixed periodmin=Cmax
c) Saturation constraint
After the functional attribute of the lane is changed, the saturation of the left-turn traffic flow and the straight traffic flow must be ensured to be within a certain range, and the condition that the saturation of a certain flow direction is too large is avoided
xiL≤ximax,xiT≤ximax
xiLAverage per lane saturation, x, for left-turn trafficiTIs the average per lane saturation of the straight-ahead traffic.
In this embodiment, the south road is set to be a changeable lane by taking a ten-way young east road intersection in china, deng and china as an example, and the intersection canalization is as shown in fig. 4.
The intersection signal phase is shown in the following table:
Figure BDA0002355203240000111
assuming that the traffic flow at the intersection arrives randomly, adopting single-point preset signal control, referring to HCM2000, and setting the period C as 210 s; the distance between the intersection and the adjacent upstream intersection is more than or equal to 1.6km, so that the increment delay correction coefficient I for lane change and adjustment of the upstream signal lamp vehicle is 1.0; for a fixed period signal, the delay correction factor K for the inductive control is taken to be 0.5.
N is obtained by the lane attribute switching judgment methodp=6。
Because the method can not be applied to an actual road, the road network is drawn in VISSIM traffic simulation software, and the simulation control is completed by a program through a python through a COM port. The road network graph is shown in fig. 5.
The simulation results are as follows: the average delay per vehicle comparison graph of the flow direction lanes before and after the variable lane is shown in fig. 6 (obtained by taking one sampling point every ten periods). The average delay of left turn vehicles before and after using a variable lane is shown in fig. 7.
Optimized lane change and signal timing times (starting at 6:00 and ending at 21:00)
Figure BDA0002355203240000112
Figure BDA0002355203240000121
Example two
In one or more embodiments, a terminal device is disclosed, which includes a server including a memory, a processor, and a computer program stored on the memory and executable on the processor, and the processor implements an adaptive variable lane control method for a signalized intersection in the first embodiment when executing the program. For brevity, no further description is provided herein.
It should be understood that in this embodiment, the processor may be a central processing unit CPU, and the processor may also be other general purpose processors, digital signal processors DSP, application specific integrated circuits ASIC, off-the-shelf programmable gate arrays FPGA or other programmable logic devices, discrete gate or transistor logic devices, discrete hardware components, and so on. A general purpose processor may be a microprocessor or the processor may be any conventional processor or the like.
The memory may include both read-only memory and random access memory, and may provide instructions and data to the processor, and a portion of the memory may also include non-volatile random access memory. For example, the memory may also store device type information.
In implementation, the steps of the above method may be performed by integrated logic circuits of hardware in a processor or instructions in the form of software.
The adaptive variable lane control method for the signal control intersection in the first embodiment may be directly implemented by a hardware processor, or implemented by a combination of hardware and software modules in the processor. The software modules may be located in ram, flash, rom, prom, or eprom, registers, among other storage media as is well known in the art. The storage medium is located in a memory, and a processor reads information in the memory and completes the steps of the method in combination with hardware of the processor. To avoid repetition, it is not described in detail here.
Those of ordinary skill in the art will appreciate that the various illustrative elements, i.e., algorithm steps, described in connection with the embodiments disclosed herein may be implemented as electronic hardware or combinations of computer software and electronic hardware. Whether such functionality is implemented as hardware or software depends upon the particular application and design constraints imposed on the implementation. Skilled artisans may implement the described functionality in varying ways for each particular application, but such implementation decisions should not be interpreted as causing a departure from the scope of the present application.
Although the embodiments of the present invention have been described with reference to the accompanying drawings, it is not intended to limit the scope of the present invention, and it should be understood by those skilled in the art that various modifications and variations can be made without inventive efforts by those skilled in the art based on the technical solution of the present invention.

Claims (10)

Translated fromChinese
1.一种信控交叉口的自适应可变车道控制方法,其特征在于,包括:1. a self-adaptive variable lane control method of a signal-controlled intersection, is characterized in that, comprising:(1)采集交叉口历史流量数据,根据进道口流量变化规律确定车道功能每次转换的周期;(1) Collect the historical traffic flow data of the intersection, and determine the cycle of each lane function change according to the change rule of the traffic flow at the entrance;(2)将当前交叉口的交通负荷程度指标,作为车道功能转换的依据;(2) Use the traffic load index of the current intersection as the basis for lane function conversion;(3)根据转换周期以及当前交叉口的交通负荷程度指标,判定是否进行车道转换;如果是,切换预信号,对主信号的配时进行优化,进入步骤(4);否则,保持原信号方案;(3) According to the conversion period and the traffic load index of the current intersection, determine whether to perform lane conversion; if so, switch the pre-signal, optimize the timing of the main signal, and go to step (4); otherwise, keep the original signal scheme ;(4)判断优化后的信号方案是否优于原方案,如果是,将当前信号方案变为优化后的方案;否则,保持原信号方案;(4) Judge whether the optimized signal scheme is better than the original scheme, if so, change the current signal scheme into the optimized scheme; otherwise, keep the original signal scheme;(5)返回步骤(3),开始下一周期的判断。(5) Return to step (3), and start the judgment of the next cycle.2.如权利要求1所述的一种信控交叉口的自适应可变车道控制方法,其特征在于,采集交叉口历史流量数据,根据进道口流量变化规律确定车道功能每次转换的周期,具体为:2. The self-adaptive variable lane control method of a signal-controlled intersection as claimed in claim 1, wherein the historical flow data of the intersection is collected, and the period of each change of the lane function is determined according to the change rule of the flow at the entrance, Specifically:选取长度为n的数据段空间作为滑动窗口,其中n为滑动窗口中包含数据的个数;Select the data segment space of length n as the sliding window, where n is the number of data contained in the sliding window;设定滑动窗口中单个数据允许的偏差,根据允许偏差设定滑动窗内n个周期流量数据的标准差阈值;Set the allowable deviation of a single data in the sliding window, and set the standard deviation threshold of n periodic flow data in the sliding window according to the allowable deviation;由流量数据的前n个计算流量初始均值,计算该n个流量数据的标准差;Calculate the initial mean of the flow from the first n of the flow data, and calculate the standard deviation of the n flow data;滑动窗口由数据起始点滑至数据终点,每当移动一次,原始起点流量数据将被舍弃且有一个新的周期流量数据进入窗口,计算新的n个流量数据的均值和标准差;The sliding window slides from the data starting point to the data ending point. Every time it moves once, the original starting point flow data will be discarded and a new periodic flow data will enter the window, and the mean and standard deviation of the new n flow data will be calculated;若总计N个周期流量数据,则得到N-n+1个标准差计算值,统计小于等于标准差阈值的标准差的个数mnIf a total of N periodic flow data is obtained, N-n+1 standard deviation calculated values are obtained, and the number mn of standard deviations less than or equal to the standard deviation threshold is counted;改变滑动窗口长度,重复上述步骤,比较各滑动窗口长度下的mn值,取mn最大时的滑动窗口长度作为交叉口车道功能切换判断周期。Change the length of the sliding window, repeat the above steps, compare the mn values under each sliding window length, and take the sliding window length when mn is the largest as the intersection lane function switching judgment cycle.3.如权利要求1所述的一种信控交叉口的自适应可变车道控制方法,其特征在于,将当前交叉口的交通负荷程度指标,作为车道功能转换的依据,具体为:3. The adaptive variable lane control method of a signal-controlled intersection as claimed in claim 1, wherein the traffic load index of the current intersection is used as the basis for lane function conversion, specifically:将饱和度作为交叉口的交通负荷程度指标,当左转车流饱和度大于直行车流饱和度时,车道功能变为左转;当左转车流饱和度小于直行车流饱和度时,车道功能变为直行。Taking the saturation as the traffic load degree indicator of the intersection, when the left-turn traffic saturation is greater than the straight traffic saturation, the lane function becomes left-turn; when the left-turn traffic saturation is less than the straight traffic saturation, the lane function becomes straight .4.如权利要求3所述的一种信控交叉口的自适应可变车道控制方法,其特征在于,每个进口道的第j个车道饱和度计算公式为:4. The adaptive variable lane control method of a signal-controlled intersection as claimed in claim 3, wherein the calculation formula of the jth lane saturation of each entrance is:
Figure FDA0002355203230000021
Figure FDA0002355203230000021
其中,C为交叉口信号周期,qi为第j个车道的实际流量,Sj为第j个车道的饱和流率,gi为该周期第j车道车流的有效绿灯时长。Among them, C is the intersection signal period, qi is the actual flow of thejth lane,Sj is the saturated flow rate of the jth lane, andgi is the effective green light duration of the jth lane in this period.5.如权利要求1所述的一种信控交叉口的自适应可变车道控制方法,其特征在于,可变车道信号灯组比主信号灯组提前关闭当前流向的通行,若可变车道的车辆平均速度为v,可变车道长度为L,则提前关闭可变车道的时长为:
Figure FDA0002355203230000022
t2为从进口道停车线驶离交叉口的时间。
5 . The adaptive variable lane control method of a signal-controlled intersection according to claim 1 , wherein the signal light group in the variable lane closes the current flow of traffic earlier than the main signal light group, if the vehicle in the variable lane The average speed is v and the length of the variable lane is L, then the length of time to close the variable lane in advance is:
Figure FDA0002355203230000022
t2 is the time to leave the intersection from the entry road stop line.
6.如权利要求1所述的一种信控交叉口的自适应可变车道控制方法,其特征在于,对主信号的配时进行优化,具体为:6. The adaptive variable lane control method of a signal-controlled intersection as claimed in claim 1, wherein the timing of the main signal is optimized, specifically:以平均每车延误最小为优化目标,以最小有效绿灯时间约束、绿灯时间最小周期和最大周期约束以及饱和度约束为约束条件,建立主信号配时优化模型。Taking the minimum average delay per vehicle as the optimization objective, and with the constraints of the minimum effective green light time, the minimum period and maximum period of the green light time, and the saturation constraint as the constraints, the main signal timing optimization model is established.7.如权利要求6所述的一种信控交叉口的自适应可变车道控制方法,其特征在于,所述主信号配时优化模型具体为:7. The adaptive variable lane control method of a signal-controlled intersection as claimed in claim 6, wherein the main signal timing optimization model is specifically:
Figure FDA0002355203230000031
Figure FDA0002355203230000031
Figure FDA0002355203230000032
Figure FDA0002355203230000032
Figure FDA0002355203230000033
Figure FDA0002355203230000033
其中,n为交叉口的进口道个数,Di为第i个进口道的平均每车延误;dL为左转车流的平均延误,qL为左转车流量,dT为直行车流的平均延误,qT为直行流量;
Figure FDA0002355203230000034
分别为控制延误、随机延误和初始排队延误。
Among them, n is the number of entrance lanes at the intersection, Di is the average delay per vehicle of the ith entrance lane; dL is the average delay of left-turn traffic, qL is the left-turn traffic flow, and dT is the straight traffic flow. Average delay, qT is the straight traffic;
Figure FDA0002355203230000034
They are control delay, random delay and initial queuing delay, respectively.
8.如权利要求6所述的一种信控交叉口的自适应可变车道控制方法,其特征在于,所述约束条件包括:8 . The adaptive variable lane control method of a signal-controlled intersection according to claim 6 , wherein the constraints comprise: 8 .a)每个车道组的有效绿灯时间满足不小于最小有效绿灯时间;a) The effective green light time of each lane group is not less than the minimum effective green light time;b)各相位绿灯时间还应满足最小周期和最大周期约束;b) The green light time of each phase should also meet the minimum period and maximum period constraints;c)当改变车道功能属性后,保证左转和直行车流的饱和度均在设定范围内,避免出现某一流向饱和度过大的情况。c) After changing the functional attributes of the lane, ensure that the saturation of the left-turn and straight-through traffic flow is within the set range to avoid the situation that a certain flow direction is too saturated.9.一种终端设备,其包括处理器和计算机可读存储介质,处理器用于实现各指令;计算机可读存储介质用于存储多条指令,其特征在于,所述指令适于由处理器加载并执行权利要求1-8任一项所述的信控交叉口的自适应可变车道控制方法。9. A terminal device, comprising a processor and a computer-readable storage medium, wherein the processor is used to implement each instruction; the computer-readable storage medium is used to store a plurality of instructions, wherein the instructions are adapted to be loaded by the processor And execute the adaptive variable lane control method of the signal-controlled intersection according to any one of claims 1-8.10.一种计算机可读存储介质,其中存储有多条指令,其特征在于,所述指令适于由终端设备的处理器加载并执行权利要求1-8任一项所述的信控交叉口的自适应可变车道控制方法。10. A computer-readable storage medium, wherein a plurality of instructions are stored, wherein the instructions are adapted to be loaded by a processor of a terminal device and execute the signal-controlled intersection according to any one of claims 1-8 Adaptive variable lane control method.
CN202010005695.8A2020-01-032020-01-03Self-adaptive variable lane control method and system for signal control intersectionExpired - Fee RelatedCN111145564B (en)

Priority Applications (1)

Application NumberPriority DateFiling DateTitle
CN202010005695.8ACN111145564B (en)2020-01-032020-01-03Self-adaptive variable lane control method and system for signal control intersection

Applications Claiming Priority (1)

Application NumberPriority DateFiling DateTitle
CN202010005695.8ACN111145564B (en)2020-01-032020-01-03Self-adaptive variable lane control method and system for signal control intersection

Publications (2)

Publication NumberPublication Date
CN111145564Atrue CN111145564A (en)2020-05-12
CN111145564B CN111145564B (en)2021-09-17

Family

ID=70523442

Family Applications (1)

Application NumberTitlePriority DateFiling Date
CN202010005695.8AExpired - Fee RelatedCN111145564B (en)2020-01-032020-01-03Self-adaptive variable lane control method and system for signal control intersection

Country Status (1)

CountryLink
CN (1)CN111145564B (en)

Cited By (12)

* Cited by examiner, † Cited by third party
Publication numberPriority datePublication dateAssigneeTitle
CN111915894A (en)*2020-08-062020-11-10北京航空航天大学Variable lane and traffic signal cooperative control method based on deep reinforcement learning
CN112466113A (en)*2020-11-162021-03-09南京莱斯信息技术股份有限公司Signal self-adaptive control method based on variable lane
CN112884194A (en)*2020-12-152021-06-01苏州工业园区测绘地理信息有限公司Variable lane switching and signal timing method based on signalized intersection running condition
CN113570855A (en)*2021-06-222021-10-29阿波罗智联(北京)科技有限公司Variable lane control method, device, equipment and storage medium
CN113823101A (en)*2021-09-222021-12-21公安部交通管理科学研究所 A sensor-controlled interactive intersection signal iterative response control method and system
CN114038189A (en)*2021-11-052022-02-11苏州工业园区测绘地理信息有限公司Self-adaptive variable lane switching method based on video analysis algorithm
CN114241768A (en)*2021-12-182022-03-25擎翌(上海)智能科技有限公司Variable lane switching method and variable lane switching system
CN114360264A (en)*2022-01-182022-04-15重庆大学Intelligent city traffic management method based on traffic flow regulation
CN115019506A (en)*2022-06-012022-09-06山东衡昊信息技术有限公司Variable lane control method based on multi-process reinforcement learning
CN115691145A (en)*2023-01-042023-02-03中国科学技术大学先进技术研究院Lane number adjusting method, device, equipment and storage medium
CN115762190A (en)*2022-11-022023-03-07安徽科力信息产业有限责任公司 A method and system for adaptive control of variable lanes of traffic signals
CN116434574A (en)*2023-04-202023-07-14北京工业大学 A Robust Cooperative Optimization Method for Intersection Signal Control and Variable Lane

Citations (11)

* Cited by examiner, † Cited by third party
Publication numberPriority datePublication dateAssigneeTitle
US20040010371A1 (en)*2001-09-282004-01-15Shinji MatsumotoLane keep control apparatus and method for automotive vehicle
CN101650877A (en)*2009-08-312010-02-17吉林大学Method for setting crossing self-adapting changeable driveway
CN104036645A (en)*2014-06-032014-09-10东南大学Reversible-lane-based intersection signal control method
CN104074112A (en)*2014-07-112014-10-01武汉理工大学Tidal lane of upstream and downstream intersection of urban road and design method of tidal lane
US9423266B2 (en)*2012-01-262016-08-23Telecommunication Systems, Inc.Navigational lane guidance
CN106683405A (en)*2016-12-282017-05-17安徽科力信息产业有限责任公司Road traffic state evaluation method based on road traffic flow density
CN106997391A (en)*2017-04-102017-08-01华北电力大学(保定)A kind of method of steady state condition data in quick screening large scale process data
CN107067764A (en)*2017-03-212017-08-18东南大学A kind of variable guided vehicle road self-adaptation control method of urban intersection
CN107170257A (en)*2017-07-112017-09-15山东理工大学A kind of reverse changeable driveway intelligent control method based on multi-source data
CN206921296U (en)*2017-07-102018-01-23深圳市智能交通技术有限公司A kind of traffic signal controlling machine for possessing self-adapting changeable driveway control function
CN110097752A (en)*2019-03-272019-08-06杭州远眺科技有限公司A kind of intelligent and variable guided vehicle road calculation method

Patent Citations (11)

* Cited by examiner, † Cited by third party
Publication numberPriority datePublication dateAssigneeTitle
US20040010371A1 (en)*2001-09-282004-01-15Shinji MatsumotoLane keep control apparatus and method for automotive vehicle
CN101650877A (en)*2009-08-312010-02-17吉林大学Method for setting crossing self-adapting changeable driveway
US9423266B2 (en)*2012-01-262016-08-23Telecommunication Systems, Inc.Navigational lane guidance
CN104036645A (en)*2014-06-032014-09-10东南大学Reversible-lane-based intersection signal control method
CN104074112A (en)*2014-07-112014-10-01武汉理工大学Tidal lane of upstream and downstream intersection of urban road and design method of tidal lane
CN106683405A (en)*2016-12-282017-05-17安徽科力信息产业有限责任公司Road traffic state evaluation method based on road traffic flow density
CN107067764A (en)*2017-03-212017-08-18东南大学A kind of variable guided vehicle road self-adaptation control method of urban intersection
CN106997391A (en)*2017-04-102017-08-01华北电力大学(保定)A kind of method of steady state condition data in quick screening large scale process data
CN206921296U (en)*2017-07-102018-01-23深圳市智能交通技术有限公司A kind of traffic signal controlling machine for possessing self-adapting changeable driveway control function
CN107170257A (en)*2017-07-112017-09-15山东理工大学A kind of reverse changeable driveway intelligent control method based on multi-source data
CN110097752A (en)*2019-03-272019-08-06杭州远眺科技有限公司A kind of intelligent and variable guided vehicle road calculation method

Non-Patent Citations (6)

* Cited by examiner, † Cited by third party
Title
JINJUN TANG: ""A hierarchical prediction model for lane-changes based on combination of fuzzy C-means and adaptive neural network"", <EXPERT SYSTEMS WITH APPLICATIONS>*
MA QING: ""A New Control Strategy of Variable Lane Based on Video Detection "", <2014 FIFTH INTERNATIONAL CONFERENCE ON INTELLIGENT SYSTEMS DESIGN AND ENGINEERING APPLICATIONS>*
丁靖: ""信号控制交叉口可变导向车道的研究"", 《中国优秀硕士学位论文全文数据库 工程科技Ⅱ辑》*
傅立骏: ""基于动态交通流量的可变车道自适应控制方法"", 《科技通报》*
刘昱岗: ""基于ANFIS的可变导向车道智能控制系统"", 《交通运输工程学报》*
孙锋: ""交叉口逆向可变车道与信号配时协同优化方法"", 《公路交通科技》*

Cited By (20)

* Cited by examiner, † Cited by third party
Publication numberPriority datePublication dateAssigneeTitle
CN111915894B (en)*2020-08-062021-07-27北京航空航天大学 Variable lane and traffic signal cooperative control method based on deep reinforcement learning
CN111915894A (en)*2020-08-062020-11-10北京航空航天大学Variable lane and traffic signal cooperative control method based on deep reinforcement learning
CN112466113A (en)*2020-11-162021-03-09南京莱斯信息技术股份有限公司Signal self-adaptive control method based on variable lane
CN112884194A (en)*2020-12-152021-06-01苏州工业园区测绘地理信息有限公司Variable lane switching and signal timing method based on signalized intersection running condition
CN112884194B (en)*2020-12-152024-04-02园测信息科技股份有限公司Variable lane switching and signal timing method based on signal intersection operation condition
JP2022120022A (en)*2021-06-222022-08-17阿波▲羅▼智▲聯▼(北京)科技有限公司Control method for variable lane, device, apparatus, and storage medium
CN113570855A (en)*2021-06-222021-10-29阿波罗智联(北京)科技有限公司Variable lane control method, device, equipment and storage medium
CN113823101A (en)*2021-09-222021-12-21公安部交通管理科学研究所 A sensor-controlled interactive intersection signal iterative response control method and system
CN113823101B (en)*2021-09-222022-06-21公安部交通管理科学研究所Inductive control interactive intersection signal iterative response control method and system
CN114038189A (en)*2021-11-052022-02-11苏州工业园区测绘地理信息有限公司Self-adaptive variable lane switching method based on video analysis algorithm
CN114241768A (en)*2021-12-182022-03-25擎翌(上海)智能科技有限公司Variable lane switching method and variable lane switching system
CN114241768B (en)*2021-12-182023-07-21擎翌(上海)智能科技有限公司Variable lane switching method and variable lane switching system
CN114360264A (en)*2022-01-182022-04-15重庆大学Intelligent city traffic management method based on traffic flow regulation
CN115019506A (en)*2022-06-012022-09-06山东衡昊信息技术有限公司Variable lane control method based on multi-process reinforcement learning
CN115019506B (en)*2022-06-012024-03-01北京百车宝科技有限公司Variable lane control method based on multi-process reinforcement learning
CN115762190A (en)*2022-11-022023-03-07安徽科力信息产业有限责任公司 A method and system for adaptive control of variable lanes of traffic signals
CN115762190B (en)*2022-11-022024-12-13安徽科力信息产业有限责任公司 Adaptive control method and system for variable lanes of traffic signal
CN115691145A (en)*2023-01-042023-02-03中国科学技术大学先进技术研究院Lane number adjusting method, device, equipment and storage medium
CN116434574A (en)*2023-04-202023-07-14北京工业大学 A Robust Cooperative Optimization Method for Intersection Signal Control and Variable Lane
CN116434574B (en)*2023-04-202025-07-22北京工业大学Intersection signal control and variable lane robust collaborative optimization method

Also Published As

Publication numberPublication date
CN111145564B (en)2021-09-17

Similar Documents

PublicationPublication DateTitle
CN111145564B (en)Self-adaptive variable lane control method and system for signal control intersection
CN107067764B (en)Self-adaptive control method for variable guide lane of urban intersection
CN107578630B (en) A method for setting up the secondary road at a road level intersection
CN107170257B (en) A reverse variable lane intelligent control method based on multi-source data
CN105118308B (en)Urban road intersection traffic signal optimization method based on cluster intensified learning
CN107945539B (en) A kind of intersection signal control method
CN106710220B (en)A kind of urban road layering Dynamic coordinated control algorithm and control method
CN105551269A (en)Intelligent traffic control method for traffic signal lamps of smart city
CN103794065B (en)Active urban road area signal timing parameter collaborative optimization method
CN113538897B (en) An Iterative Learning Boundary Control Method for Urban Traffic Regions Considering Disturbances
CN110910662A (en)Single-point self-adaptive traffic signal optimization control method under cooperative vehicle and road environment
CN107038864B (en) A method for judging the rationality of setting guide lanes at intersection entrances
CN108122420B (en)Method for setting clearing distance of on-road dynamic bus lane
CN105336183A (en)Traffic congestion control method and device based on road section passing capacity
CN105405303A (en)Traffic control method based on traffic flow
CN107331166B (en)A kind of dynamic restricted driving method based on path analysis
CN106920403A (en)A kind of single-point self-adaptation control method based on array radar
CN107591011A (en)Consider the intersection traffic signal adaptive control method of supply side constraint
CN113506442B (en) An urban road network traffic signal control method based on expected revenue estimation
CN108648448A (en)Induction type coordinates signal autonomous control method
CN106097733B (en)A kind of traffic signal optimization control method based on Policy iteration and cluster
CN113763728B (en)Traffic organization and signal timing collaborative optimization method, device and equipment
CN105427630A (en)Traffic control system based on traffic flow
CN112309147A (en)Traffic signal lamp real-time control method and system based on combined control strategy
CN110889967A (en)Overflow risk balance signal control optimization method based on main road segmentation

Legal Events

DateCodeTitleDescription
PB01Publication
PB01Publication
SE01Entry into force of request for substantive examination
SE01Entry into force of request for substantive examination
GR01Patent grant
GR01Patent grant
CF01Termination of patent right due to non-payment of annual fee

Granted publication date:20210917

CF01Termination of patent right due to non-payment of annual fee

[8]ページ先頭

©2009-2025 Movatter.jp