Movatterモバイル変換


[0]ホーム

URL:


CN111134719B - Active and passive ultrasonic composite imaging method and system for phase-change nano liquid drops through focused ultrasonic irradiation - Google Patents

Active and passive ultrasonic composite imaging method and system for phase-change nano liquid drops through focused ultrasonic irradiation
Download PDF

Info

Publication number
CN111134719B
CN111134719BCN201911319128.3ACN201911319128ACN111134719BCN 111134719 BCN111134719 BCN 111134719BCN 201911319128 ACN201911319128 ACN 201911319128ACN 111134719 BCN111134719 BCN 111134719B
Authority
CN
China
Prior art keywords
passive
ultrasonic
active
phase
ultrasound
Prior art date
Legal status (The legal status is an assumption and is not a legal conclusion. Google has not performed a legal analysis and makes no representation as to the accuracy of the status listed.)
Active
Application number
CN201911319128.3A
Other languages
Chinese (zh)
Other versions
CN111134719A (en
Inventor
路舒宽
万明习
Current Assignee (The listed assignees may be inaccurate. Google has not performed a legal analysis and makes no representation or warranty as to the accuracy of the list.)
Xian Jiaotong University
Original Assignee
Xian Jiaotong University
Priority date (The priority date is an assumption and is not a legal conclusion. Google has not performed a legal analysis and makes no representation as to the accuracy of the date listed.)
Filing date
Publication date
Application filed by Xian Jiaotong UniversityfiledCriticalXian Jiaotong University
Priority to CN201911319128.3ApriorityCriticalpatent/CN111134719B/en
Publication of CN111134719ApublicationCriticalpatent/CN111134719A/en
Application grantedgrantedCritical
Publication of CN111134719BpublicationCriticalpatent/CN111134719B/en
Activelegal-statusCriticalCurrent
Anticipated expirationlegal-statusCritical

Links

Images

Classifications

Landscapes

Abstract

Translated fromChinese

本发明提供了一种聚焦超声辐照相变纳米液滴的主被动超声复合成像方法及系统,对被动超声原始射频信号进行延时补偿处理后,分别通过两个互补的方波变迹函数和幅度相干系数得到互相关系数矩阵和被动幅度相干波束合成能量矩阵,二者点乘后得到高分辨被动超声成像结果;通过相变微泡群振动模型构造相变微泡群母小波,利用该母小波对主动超声原始射频信号延时叠加后所得的主动波束合成射频信号进行连续小波变换得到高对比主动超声成像结果;对高分辨被动与高对比主动超声成像结果复合之后得到复合图像。本发明能对聚焦超声辐照相变纳米液滴过程中的空化活动及辐照停止时的残留相变微泡进行全过程监控。

Figure 201911319128

The invention provides an active and passive ultrasonic composite imaging method and system for transforming nano-droplets by focused ultrasonic irradiation. The cross-correlation coefficient matrix and the passive amplitude coherent beamforming energy matrix are obtained from the amplitude coherence coefficient, and the high-resolution passive ultrasonic imaging results are obtained after the point product of the two; High-contrast active ultrasound imaging results are obtained by continuous wavelet transform on the active beam-forming radio-frequency signals obtained by the delayed superposition of active ultrasound original radio-frequency signals; the composite image is obtained by combining the high-resolution passive and high-contrast active ultrasound imaging results. The invention can monitor the whole process of the cavitation activity in the process of irradiating the phase-transformed nano-droplets by the focused ultrasound and the residual phase-transition microbubbles when the irradiation is stopped.

Figure 201911319128

Description

Active and passive ultrasonic composite imaging method and system for phase-change nano liquid drops through focused ultrasonic irradiation
Technical Field
The invention belongs to the field of ultrasonic detection and ultrasonic imaging, and particularly relates to an active and passive ultrasonic composite imaging method and system for phase-change nano liquid drops irradiated by focused ultrasound.
Background
In recent years, phase-change nano liquid drops are widely applied to the aspects of ultrasonic treatment and diagnostic imaging, compared with an ultrasonic contrast agent, the phase-change nano liquid drops have small enough size and can penetrate through the endothelial cell gaps of tumor blood vessels through diffusion so as to achieve tumor tissues, and then the aim of ultrasonic targeted treatment of tumors can be achieved by combining with in-vitro focused ultrasonic irradiation; in addition, the phase-change nano liquid drop has high stability and can exist in blood circulation for a long time.
The safety of focused ultrasound combined with phase-change nano-droplet therapy relies on the development of monitoring imaging technology, i.e. low-cost ultrasound imaging technology to dynamically monitor the course of therapy. The main physical mechanism of the focused ultrasound and phase-change nano-droplet therapy is cavitation activity generated in the process of irradiating the phase-change nano-droplets by focused ultrasound. The generation of cavitation activity is directly related to the therapeutic effect and is therefore of vital importance for the real-time monitoring of cavitation activity. In the passive ultrasonic imaging technology developed in recent years, an ultrasonic imaging transducer is set in a mode of receiving only but not transmitting, acoustic radiation signals generated in the process of focusing ultrasonic action are passively received, and then a cavitation image is obtained through an image reconstruction algorithm, so that real-time monitoring of cavitation activity is realized. However, the traditional passive ultrasonic imaging method can form higher imaging artifacts due to the limitations of the algorithm, the limitations of the receiving bandwidth and aperture of the imaging transducer, the tissue nonuniformity and the like, and the spatial resolution performance of imaging is reduced, so that inaccurate estimation of the spatial information of cavitation activity is caused, and the monitoring of cavitation activity in the process of irradiating the phase-change nano-droplets by focused ultrasound is not facilitated.
In the interval of the focused ultrasound stopping irradiating the phase-change nano-droplets (the irradiation time and the irradiation stopping time in 1 pulse period are determined according to the duty ratio), the residual phase-change microbubbles play a dual role in the generation of cavitation, on one hand, the phase-change microbubbles can shield the propagation of the focused ultrasound, thereby causing the change of cavitation activity; on the other hand, the phase-change microbubbles can also be used as cavitation nuclei, so that the cavitation activity in the next focused ultrasound irradiation process is easier to occur. Therefore, the same importance is attached to the dynamic monitoring of the phase-change microbubbles, and the spatial distribution of the phase-change microbubbles can be realized by setting the ultrasonic imaging transducer in a transmitting and receiving mode, namely, the spatial distribution of the phase-change microbubbles is obtained by adopting an active ultrasonic imaging technology. The most common B-mode ultrasound imaging method is one of active ultrasound imaging, but the imaging frame rate is low due to multiple line scans. The active ultrasonic imaging method based on the plane wave can obtain the whole ultrasonic image under the condition of single emission, the imaging frame rate is effectively improved, but the plane wave is unfocused and the emission energy is low, so that the imaging contrast is low, and the high-sensitivity detection of the phase-change microbubbles remained after the focused ultrasonic irradiation phase-change nano liquid drops stop is not facilitated.
In addition, passive ultrasonic imaging can only be used for monitoring cavitation activity in the process of irradiating the phase-change nano liquid drops by focused ultrasound, but cannot obtain the spatial distribution of the phase-change micro bubbles, and active ultrasonic imaging technology can only be used for monitoring the phase-change micro bubbles after the phase-change nano liquid drops are irradiated by the focused ultrasound. Therefore, the single passive or active ultrasonic imaging cannot realize the whole process monitoring of the phase-change nano liquid drop irradiated by the focused ultrasonic. In view of this, a high-resolution passive and high-contrast active ultrasonic composite imaging method of focused ultrasonic irradiation phase-change nano-droplets is urgently needed to be provided.
Disclosure of Invention
The invention aims to provide an active and passive ultrasonic composite imaging method and system for irradiating phase-change nano liquid drops by focused ultrasound.
In order to achieve the purpose, the invention adopts the following technical scheme:
a high-resolution passive and high-contrast active ultrasonic composite imaging method for phase-change nano liquid drops by focused ultrasonic irradiation comprises the following steps:
1) respectively obtaining a passive ultrasonic original radio-frequency signal and an active ultrasonic original radio-frequency signal by controlling the time sequence of focused ultrasonic irradiation and original radio-frequency signal acquisition, wherein the passive ultrasonic original radio-frequency signal refers to an acoustic radiation signal which is passively received by a linear array transducer and is generated by cavitation in the process of focused ultrasonic irradiation of phase-change nano liquid drops, and the active ultrasonic original radio-frequency signal refers to an echo signal of residual phase-change microbubbles received by the linear array transducer after the focused ultrasonic irradiation stops in a gap;
2) delaying and compensating the passive ultrasonic original radio frequency signal obtained in the step 1) aiming at any target point in a passive ultrasonic imaging area to obtain a delay compensation signal of each array element, carrying out array element apodization on the delay compensation signal of each array element through two complementary square wave apodization functions, and superposing the results of the two square wave apodization function processing respectively to obtain two half-aperture beam synthesis signals, calculating the normalized cross correlation coefficient of the two half-aperture beam synthesis signals and carrying out thresholding processing to obtain the cross correlation coefficient of the corresponding target point; forming a cross-correlation coefficient matrix by the cross-correlation coefficients of all target points in the passive ultrasonic imaging area;
3) aiming at any target point in the passive ultrasonic imaging area, calculating a full-aperture beam forming signal and the sum of squares of all array element delay compensation signals by using the delay compensation signals of each array element under the corresponding target point, which are obtained in the step 2), then obtaining a full-aperture amplitude coherent beam forming signal by calculating an amplitude coherence coefficient, and integrating the squares of the signals to obtain an energy output value of the corresponding target point; forming a passive amplitude coherent beam forming energy matrix by the energy output values of all target points in the passive ultrasonic imaging area, performing dot product operation on the matrix and the cross-correlation coefficient matrix obtained in the step 2), and performing logarithmic compression to obtain a high-resolution passive ultrasonic imaging result;
4) modifying the Keller-Miksis model according to the rising degree of saturated vapor pressure in the phase-change microbubbles caused by focused ultrasonic irradiation, establishing a phase-change microbubble group vibration model based on the interaction between the microbubbles, solving the model by utilizing a fourth-order Runge Kutta algorithm to obtain a time-varying curve of the vibration radius of each phase-change microbubble, calculating the scattering echo of each phase-change microbubble, overlapping the scattering echoes of all the phase-change microbubbles, and constructing through band-pass filtering and normalization processing to obtain a mother wavelet of the phase-change microbubble group;
5) carrying out time delay processing on array element receiving signals in effective apertures corresponding to target points in an active ultrasonic imaging area in the active ultrasonic original radio frequency signals obtained in the step 1) to obtain time delay signals, and carrying out window function weighted superposition on the time delay signals to obtain active beam-forming radio frequency signals; utilizing the phase change microbubble cluster mother wavelet obtained in the step 4) to perform continuous wavelet transformation on the active beam forming radio frequency signal according to different wavelet transformation scale parameters, performing Hilbert envelope detection on the obtained wavelet correlation coefficient matrix, calculating the contrast of the wavelet correlation coefficient envelope detection matrix, and performing logarithmic compression on the corresponding wavelet correlation coefficient envelope detection matrix when the contrast is highest to obtain a high-contrast active ultrasonic imaging result;
6) and (3) respectively carrying out interpolation, standardization and RGB conversion processing on the high-resolution passive ultrasonic imaging result obtained in the step (3) and the high-contrast active ultrasonic imaging result obtained in the step (5), and then carrying out transparentization processing on the high-resolution passive ultrasonic RGB image and superposing the high-resolution passive ultrasonic RGB image on the high-contrast active ultrasonic RGB image to obtain a passive and active ultrasonic composite image.
Preferably, the ultrasonic waves emitted by the linear array transducer are plane waves.
Preferably, the time sequence of the original radio frequency signal acquisition is as follows: the triggering moment of the self-focusing ultrasonic irradiation phase change nano liquid drop begins and passes through a time delay T1After that, the trigger works in non-emissionAn open ultrasonic imaging platform in a receiving-only mode acquires a passive ultrasonic original radio frequency signal; the triggering moment of the self-focusing ultrasonic irradiation phase change nano liquid drop begins and passes through a time delay T2And triggering the open type ultrasonic imaging platform working in the transmitting and receiving modes to acquire the original radio frequency signals of the active ultrasonic.
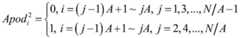
Preferably, the two complementary square wave apodization functions are respectively expressed as:
Figure BDA0002326669650000031
Figure BDA0002326669650000032
a is selected from one of 2,4,8, and N/4, and N is the number of array elements of the linear array transducer.
Preferably, the apodization processing is to multiply the square wave apodization function with the delay compensation signals of each array element of the linear array transducer at a certain target point in the passive ultrasonic imaging area.
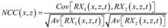
Preferably, the calculation formula of the normalized cross-correlation coefficient is represented as:
Figure BDA0002326669650000033
wherein, Cov [ · is]Representing the covariance of the two signals, Av [. DEG]Representing variance of the signal, RX1(x, z, t) and RX2(x, z, t) are two half-aperture beam-forming signals at a certain target point (x, z) in the passive ultrasound imaging region, respectively.
Preferably, the threshold parameter in the thresholding process has a value range of 10-6~10-3
Preferably, the calculation formula of the amplitude coherence coefficient is represented as:
Figure BDA0002326669650000041
s (x, z, t) is a full aperture beam synthesis signal obtained by superposing the delay compensation signals of each array element at a certain target point (x, z) in a passive ultrasonic imaging area, SQS (x, z, t) is the square sum of delay compensation signals of all array elements at the certain target point (x, z) in the passive ultrasonic imaging area, and N is the number of the array elements of the linear array transducer.
Preferably, the phase-change microbubble group vibration model is expressed as:
Figure BDA0002326669650000042
Figure BDA0002326669650000043
wherein, i is 1,2iIs the oscillation radius of the ith phase-change microbubble,
Figure BDA0002326669650000044
the radial velocity at which the ith phase-change microbubble oscillates,
Figure BDA0002326669650000045
is the radial acceleration of the i-th phase-change microbubble vibration, c is the acoustic propagation velocity, ρ is the liquid density, B is the number of phase-change microbubbles, DijThe spacing between the ith and jth phase change microbubbles,
Figure BDA0002326669650000046
wall pressure of the ith phase change microbubble; pIs hydrostatic pressure, PνIs the saturated vapor pressure of the gas in the phase-change micro-bubbles, sigma is the surface tension coefficient of the liquid, Ri0Is the initial oscillation radius of the ith phase-change microbubble, gamma is a polytropic index, mu is a viscosity coefficient, PAIs the excitation waveform.
Preferably, the filtering bandwidth of the band-pass filtering is consistent with the receiving bandwidth of the linear array transducer.
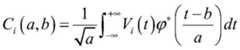
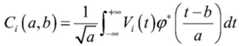
Preferably, the continuous wavelet transform specifically includes the following steps:
utilizing the mother wavelet of the phase-change microbubble group to respectively carry out continuous wavelet transformation on each row of signals in the active beam forming radio frequency signal to obtain each row of signals V under a certain wavelet transformation scale parameteri(t) wavelet correlation coefficient Ci(a,b):
Figure BDA0002326669650000047
Where, i is 1,2, N is the number of elements of the linear array transducer, Ci(a, b) characterizing the ith column signal V in the active beam-forming RF signali(t) and phase-change microbubble cluster mother wavelet
Figure BDA0002326669650000048
And a and b are respectively a wavelet transformation scale parameter and a wavelet transformation displacement parameter.
A high resolution passive and high contrast active ultrasonic composite imaging system of focused ultrasonic irradiation phase change nano liquid drop comprises a focused ultrasonic irradiation device, a passive and active original radio frequency signal acquisition device and a time sequence control device for synchronously focusing ultrasonic irradiation and original radio frequency signal acquisition; the focused ultrasonic irradiation device comprises a single-array element (or multi-array element) focused ultrasonic transducer and a high-power pulse transmitting/receiving device connected with the focused ultrasonic transducer; the passive and active original radio frequency signal acquisition devices comprise an open type ultrasonic imaging platform and a linear array transducer connected with the open type ultrasonic imaging platform; the open type ultrasonic imaging platform and the high-power pulse transmitting/receiving device are respectively connected with the time sequence control device; the open type ultrasonic imaging platform comprises a high-resolution passive ultrasonic imaging software module for executing the steps 2) and 3), a high-contrast active ultrasonic imaging software module for executing the steps 4) and 5), and a software (refer to step 6)) module for compounding the imaging results output by the high-resolution passive ultrasonic imaging software module and the high-contrast active ultrasonic imaging module.
Preferably, the timing control device is a programmable two-channel arbitrary waveform generator.
Preferably, in the composite imaging system, the programmable dual-channel arbitrary waveform generator triggers the high-power pulse transmitter/receiver and the open type ultrasonic imaging platform according to a time sequence, the single-array element (or multi-array element) focused ultrasonic transducer is driven by the high-power pulse transmitter/receiver to irradiate the phase-change nano liquid drops, and a parallel channel data acquisition unit of the open type ultrasonic imaging platform is used for respectively acquiring passive ultrasonic original radio-frequency signals generated by cavitation activity in the process of irradiating the phase-change nano liquid drops by focused ultrasonic received by the linear array transducer and active ultrasonic original radio-frequency signals containing space distribution information of residual phase-change micro bubbles when the phase-change nano liquid drops are irradiated by the focused ultrasonic.
The invention has the beneficial effects that:
aiming at the defects that the whole process of irradiating the phase-change nano liquid drops by focused ultrasound cannot be monitored in a single ultrasonic imaging mode and the defects that the traditional passive ultrasonic imaging method is low in resolution and low in contrast in the traditional active ultrasonic imaging method, on one hand, a square wave apodization function is constructed, a normalized cross-correlation coefficient is calculated to obtain a cross-correlation coefficient matrix, the matrix and a passive amplitude coherent beam synthesis energy matrix obtained through the amplitude coherent coefficient are subjected to dot multiplication operation, and the resolution of passive ultrasonic imaging is effectively improved; on the other hand, a phase-change microbubble group vibration model is established based on the interaction between the high saturated vapor pressure and the microbubbles, the model is solved by adopting a four-order Runge Kutta algorithm, a phase-change microbubble group mother wavelet is constructed on the basis, and the mother wavelet is utilized to carry out continuous wavelet transformation on the active beam synthesis radio frequency signal, so that the contrast of active ultrasonic imaging is effectively improved; the invention can realize the time-space whole process monitoring of the cavitation activity in the process of irradiating the phase-change nano liquid drops by focused ultrasound and the space distribution of the residual phase-change micro bubbles when the phase-change nano liquid drops are not irradiated by the focused ultrasound by compounding the high-resolution passive ultrasonic imaging result and the high-contrast active ultrasonic imaging result.
Furthermore, the linear array transducer is used for emitting plane waves to detect the phase-change microbubbles remained in the irradiation stopping gaps of the focused ultrasound, so that the imaging frame frequency can be improved, and the damage to the phase-change microbubbles can be reduced because the emission energy is lower due to the unfocused plane wave emission.
Furthermore, the time sequence of the original radio frequency signal acquisition adopted by the invention can respectively acquire the acoustic radiation signal generated by cavitation activity in the process of irradiating the phase-change nano-droplets by focused ultrasound and the echo signal of the residual phase-change micro-bubbles in the interval of the stop of the focused ultrasound irradiation, thereby providing the original radio frequency data of the whole time-space process for the ultrasound monitoring in the process of irradiating the phase-change nano-droplets by focused ultrasound.
Furthermore, the amplitude coherence coefficient introduced in the calculation of the passive amplitude coherent beam synthesis energy matrix can effectively reduce imaging artifacts formed by side lobe interference and improve the resolution performance of passive ultrasonic imaging.
Furthermore, the two complementary square wave apodization functions constructed by the invention and the apodization treatment can generate two very similar half-aperture beam synthetic signals at the position of the cavitation source and generate two half-aperture beam synthetic signals with low similarity degree at other positions except the cavitation source; by quantifying the similarity by using the normalized cross-correlation coefficient, a cross-correlation coefficient matrix with high cross-correlation coefficient at the position of a cavitation source and low cross-correlation coefficient at other positions can be generated, and the matrix is subjected to point multiplication with a passive amplitude coherent beam synthesis energy matrix, so that the interference artifact can be further inhibited.
Furthermore, the thresholding processing of the normalized cross-correlation coefficient by the invention is beneficial to inhibiting more interference artifacts on one hand and is also beneficial to logarithmic display of passive ultrasonic imaging results on the other hand.
Furthermore, the phase-change microbubble cluster vibration model based on saturated vapor pressure correction can better describe the dynamic change of a plurality of phase-change microbubbles under the excitation of ultrasonic plane waves, so that the phase-change microbubble cluster mother wavelet with stronger correlation with actual phase-change microbubble scattering echoes is constructed. In the continuous wavelet transformation, mother wavelets which are highly related to actual phase change microbubble scattering echoes are utilized to process active beam forming radio frequency signals, so that phase change microbubble echoes which are highly related to the mother wavelets are enhanced, background noise signals which are less related to the mother wavelets are attenuated, and the contrast of active ultrasonic imaging in the phase change microbubble detection process is effectively improved.
Furthermore, the bandwidth of the band-pass filtering is determined according to the receiving bandwidth of the actually used linear array transducer, which is beneficial to obtaining more accurate mother wavelets of the phase-change microbubble group, so that the correlation between the mother wavelets and the actual phase-change microbubble scattering echoes is stronger.
Furthermore, the programmable dual-channel arbitrary waveform generator can realize editing of trigger pulse waveforms under different pulse lengths, different pulse repetition frequencies, different trigger voltages and different trigger modes, and can simultaneously control the time sequence of focused ultrasonic irradiation phase change nano-droplets and passive and active original radio frequency signal acquisition.
Furthermore, the invention utilizes the programmable double-channel arbitrary waveform generator to trigger the high-power pulse transmitter/receiver and the open type ultrasonic imaging platform according to the time sequence, can obtain an acoustic radiation signal generated by cavitation activity in the process of irradiating the phase-change nano liquid drop by focused ultrasonic under a plurality of pulses and an echo signal of residual phase-change micro bubbles in a focused ultrasonic irradiation stopping gap, and can observe the distribution of the cavitation activity and the phase-change micro bubbles under a single pulse on one hand and the influence of the former pulse on the cavitation activity and the phase-change micro bubbles generated by the latter pulse on the other hand.
Drawings
Fig. 1 is a schematic diagram (a) of an experimental platform for phase-change nano-droplet irradiation by focused ultrasound and passive and active ultrasound imaging and a schematic diagram (b) of acquisition timing control of passive and active original radio frequency signals in an embodiment of the invention.
Fig. 2 is a flow chart of two complementary square wave apodization functions and a method for constructing a cross correlation coefficient matrix using the same according to an embodiment of the invention.
Fig. 3 is a flow chart of a high resolution passive ultrasound imaging method in an embodiment of the invention.
Fig. 4 shows the results obtained by using the conventional passive ultrasound imaging method (a) and the high-resolution passive ultrasound imaging method (b) proposed by the present invention.
FIG. 5 is a flow chart of a method for constructing a parent wavelet of a group of phase-change microbubbles according to an embodiment of the invention;
FIG. 6 is a flow chart of a method of high contrast active ultrasound imaging in an embodiment of the present invention;
fig. 7 is a result obtained using the conventional active ultrasound imaging method (a) and the high-contrast active ultrasound imaging method (b) proposed by the present invention.
Fig. 8 is a composite flow chart (a) and result (b) of high resolution passive imaging and high contrast active ultrasound imaging in an embodiment of the invention.
Detailed Description
The present invention will be described in further detail with reference to the accompanying drawings and examples.
The invention provides a high-resolution passive and high-contrast active ultrasonic composite imaging method for focused ultrasonic irradiation phase-change nano liquid drops, which comprises the following steps of:
the method comprises the following steps: building an experimental platform for collecting phase-change nano liquid drops and original radio frequency signals by focused ultrasonic irradiation, preparing a simulated pipeline model and a phase-change nano liquid drop solution, and respectively collecting passive ultrasonic original radio frequency signals and active ultrasonic original radio frequency signals by controlling the time sequence of the focused ultrasonic irradiation and the original radio frequency signal collection.
The specific process of the first step is as follows:
(1.1) establishing an experimental platform for collecting focused ultrasonic irradiation phase-change nano liquid drops and original radio frequency signals
Referring to fig. 1(a), the experimental platform mainly includes a focused ultrasound irradiation device, a passive and active original radio frequency signal acquisition device, and a timing control device for synchronizing the focused ultrasound irradiation and the original radio frequency signal acquisition; the focused ultrasonic irradiation device comprises a single-element focused ultrasonic transducer 1 (for example, the aperture is 156mm, and the center frequency is 1.2MHz) and a high-power pulse transmitting/receiving device 2. The passive and active original radio frequency signal acquisition device comprises an open type ultrasonic imaging platform 3 (comprising a parallel channel data acquisition unit 4) and a linear array transducer 5 (for example, the aperture is 38mm, and the receiving bandwidth is 5-14 MHz); the switching of different ultrasonic imaging modes can be realized by writing a custom function on the open ultrasonic imaging platform 3, a passive ultrasonic imaging function can be realized when the transmitting apodization in the custom function is 1 and the receiving apodization in the custom function is 0, and an active ultrasonic imaging function can be realized when the transmitting apodization and the receiving apodization are both 1; the linear array transducer 5 is matched with the open type ultrasonic imaging platform 3, the linear array transducer 5 is perpendicular to the axial direction of the single-array-element focused ultrasonic transducer 1, is parallel to a pipeline in the phantom pipeline model 6 and is positioned right above the focus of the single-array-element focused ultrasonic transducer 1, and the focus of the single-array-element focused ultrasonic transducer 1 is positioned in the pipeline of the phantom pipeline model 6; the parallel channel data acquisition unit 4 is responsible for acquiring experimental data (for example, an original radio frequency signal formed when the phase-change nano liquid drops in the pipeline of the focused ultrasound irradiation phantom pipeline model 6 are cavitated, namely a passive ultrasound original radio frequency signal, and an echo signal of residual phase-change microbubbles, namely an active ultrasound original radio frequency signal, which is received after the linear array transducer 5 itself transmits ultrasonic plane waves after the focused ultrasound irradiation is stopped), which are received by the linear array transducer 5, and the open ultrasound imaging platform 3 generates a high-resolution passive and high-contrast active ultrasound composite image according to the experimental data. The time sequence control device for synchronously focusing ultrasonic irradiation and collecting original radio frequency signals is a programmable two-channel arbitrary waveform generator 7, and the time sequence synchronization of the focusing ultrasonic irradiation and the collecting original radio frequency signals is realized by editing trigger waveforms of two channels on the interface of the programmable two-channel arbitrary waveform generator 7 and respectively triggering a high-power pulse transmitter/receiver 2 and an open type ultrasonic imaging platform 3. Sound-absorbing materials 9 (such as silicon rubber-based composite materials) are arranged on the side face and the bottom of thewater tank 8 so as to reduce the influence of multiple reflections on the experimental result, and the simulated pipeline model 6 is placed in thewater tank 8.
(1.2) preparation of dummy pipe model
The phantom pipeline model 6 is a phantom formed by coagulating a mixed solution prepared by acrylamide, Tris buffer solution, deionized water and other reagents according to a certain proportion, and the phantom has similar acoustic characteristics with actual biological tissues; inserting a tubular object (for example, the diameter is 5mm) into the imitation body box at the initial stage of manufacture, and drawing out the imitation body solution after solidification to form an imitation body pipeline model 6, wherein two ends of the pipeline are respectively connected with an outlet of apulse pump 10 and awaste liquid pool 11, and an inlet of thepulse pump 10 is connected with astock solution pool 12 through a rubber pipe;
(1.3) preparation of phase-transition NanoTilt solution
In the preparation process of the phase-change nano-droplet solution, deionized water, a phase-change material and a negative ion fluorinated surfactant are prepared into the solution according to a certain proportion, and the solution is acted for a certain time (for example, 90 seconds) by an ultrasonic crusher according to a certain duty ratio (for example, 80 percent) to obtain a phase-change nano-droplet stock solution (for example, the average diameter is 200-300 nm, the concentration is 10)10/mL). In the experimental process, the phase-change nano-droplet stock solution is diluted by physiological saline according to a certain volume ratio (for example, 1: 500-1000) to obtain a diluted phase-change nano-droplet solution, and the diluted phase-change nano-droplet solution is pumped into and fills a pipeline in the phantom pipeline model 6 by apulse pump 10;
(1.4) triggering a high-power pulse transmitter/receiver 2 and an open type ultrasonic imaging platform 3 by adopting a programmable double-channel arbitrary waveform generator 7 according to a time sequence, driving a single-array-element focusedultrasonic transducer 1 to irradiate phase-change nano-droplets in a pipeline of an anthropomorphic pipeline model 6 by the high-power pulse transmitter/receiver 2, and respectively acquiring passive ultrasonic original radio-frequency signals, which are passively received by a linear array transducer and are generated by cavitation, in the process of irradiating the phase-change nano-droplets by focused ultrasonic and active ultrasonic original radio-frequency signals, which are generated by residual phase-change micro-bubbles and are received after planar waves of the linear array transducer are transmitted in a focused ultrasonic irradiation stopping gap, by the open type ultrasonic imaging platform 3 by utilizing a parallel channel data acquisition unit 4;
referring to fig. 1(b), the trigger pulse signal of the first channel (for example, the waveform is square wave, the trigger mode is rising edge trigger, the peak-to-peak value is 2V, the voltage offset is 1V, and the pulse width is 1 μ s) edited on the programmable dual-channel arbitrary waveform generator 7 is used for triggering the high-power pulse transmitter/receiver 2, and the high-power pulse transmitter/receiver 2 drives the single-array focusingultrasonic transducer 1, at this time, the single-array focusingultrasonic transducer 1 presses the trigger pulse signal of the first channelAnd irradiating the phase-change nano liquid drops in the pipeline of the simulated pipeline model 6 according to acoustic parameters (such as sine wave in waveform, 1.2MHz in emission frequency, 1-10 MPa in sound pressure, 10-100 mus in pulse length and 1-100 pulses) set in the high-power pulse emission/receiver 2. A trigger pulse signal of a second channel (for example, the waveform is a square wave, the trigger mode is rising edge trigger, the peak value is 2V, the voltage deviation is 1V, and the pulse width is 1 mus) edited on a programmable double-channel arbitrary waveform generator 7 is used for triggering the open type ultrasonic imaging platform 3, and then a parallel channel data acquisition unit 4 respectively acquires a passive ultrasonic original radio frequency signal generated by cavitation activity and passively received by alinear array transducer 5 in the process of focusing ultrasonic irradiation phase change nano liquid drops and an active ultrasonic original radio frequency signal generated by residual phase change micro bubbles and received after plane waves of thelinear array transducer 5 are emitted in a focusing ultrasonic irradiation stopping gap according to set acquisition parameters (for example, the sampling frequency is 10-80 MHz, and the number of sampling points is 2000-10000); the time delay of the first trigger pulse signal of the second channel of the programmable two-channel arbitrary waveform generator 7 relative to the trigger pulse signal of the first channel is set to T1(e.g., 80-100. mu.s) passing through T1Then, the open type ultrasonic imaging platform 3 works in a mode of not transmitting but receiving, and the parallel channel data acquisition unit 4 acquires the passive ultrasonic original radio frequency signals; the delay of the second trigger pulse signal of the second channel of the programmable two-channel arbitrary waveform generator 7 relative to the trigger pulse signal of the first channel is set to T2(e.g., 1-2 ms) passing through T2Then, at this time, the open-type ultrasound imaging platform 3 works in both transmitting and receiving modes (for example, thelinear array transducer 5 transmits plane waves and receives full aperture), and the raw rf signals of active ultrasound are acquired by the parallel channel data acquisition unit 4.
Step two: setting a passive ultrasonic imaging area; carrying out delay and compensation processing on the passive ultrasonic original radio frequency signal obtained in the step one aiming at a certain target point to obtain a delay compensation signal of each array element, carrying out array element apodization processing on the delay compensation signal of each array element through two constructed complementary square wave apodization functions and superposing the signals to respectively obtain two half-aperture beam synthesis signals, calculating the normalized cross-correlation coefficient of the two half-aperture beam synthesis signals and carrying out thresholding processing; and respectively repeating the processing processes aiming at other target points in the passive ultrasonic imaging area, thereby obtaining the cross-correlation coefficient matrix.
The specific flow of the second step is as follows (fig. 2):
(2.1) setting a passive ultrasonic imaging area (for example, the range of a transverse coordinate x is-19 mm, and the range of an axial coordinate z is 40-80 mm);
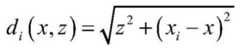
(2.2) calculating the (x) from a certain target point (x, z) to the ith array element in the passive ultrasonic imaging areaiDistance d of 0)i(x,z):
Figure BDA0002326669650000101
Where i is 1,2, and N is the number of array elements of the linear array transducer 5 (for example, N is 128);
(2.3) calculating the spatial sensitivity compensation coefficient eta corresponding to the target point (x, z)i(x,z):
Figure BDA0002326669650000102
(2.4) obtaining the target point (x, z) from the step (2.2) to the (x) of the ith array elementiDistance d of 0)i(x, z) and the spatial sensitivity compensation coefficient eta obtained in the step (2.3)i(x, z) delaying and compensating the passive ultrasonic original radio frequency signal obtained in the step one to obtain a delay compensation signal s of each array elementi(x,z,t):
si(x,z,t)=ηi(x,z)pi[t+di(x,z)/c]
Wherein p isi(t) is a signal received by the ith array element in the passive ultrasonic original radio-frequency signal obtained in the step one, wherein t is time, and c is sound propagation speed;
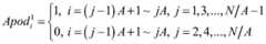
(2.5) constructing two complementary square wave apodization functions
Figure BDA0002326669650000103
And
Figure BDA0002326669650000104
in which a square wave apodization function
Figure BDA0002326669650000105
In the method, an array element group is formed by adjacent A (for example, 8) array elements, the function value corresponding to the array element in the 1 st array element group is 1, the function value corresponding to the array element in the 2 nd array element group is 0, and so on, the function value corresponding to the array element in the N/A-1 th array element group is 1, and the function value corresponding to the array element in the N/A-1 th array element group is 0; and another square wave apodization function
Figure BDA0002326669650000106
The value of (A) is then
Figure BDA0002326669650000107
On the contrary, i.e.
Figure BDA0002326669650000108
The array element with the function value of 1 is
Figure BDA0002326669650000109
The corresponding function value in (1) is 0,
Figure BDA00023266696500001010
array element with function value of 0
Figure BDA00023266696500001011
The corresponding function value in (1);
Figure BDA00023266696500001012
and
Figure BDA00023266696500001013
the specific expressions of (a) are respectively:
Figure BDA0002326669650000111
Figure BDA0002326669650000112
(2.6) respectively carrying out array element apodization processing on the delay compensation signal of each array element obtained in the step (2.4) by using the two complementary square wave apodization functions obtained in the step (2.5), and then overlapping to respectively obtain two half-aperture beam synthesis signals RX1(x, z, t) and RX2(x,z,t):
Figure BDA0002326669650000113
Figure BDA0002326669650000114
(2.7) calculating the normalized cross-correlation coefficient NCC (x, z) of the two half-aperture beam-formed signals obtained in the step (2.6):
Figure BDA0002326669650000115
wherein, Cov [. cndot ] represents the covariance of two signals, and Av [. cndot ] represents the variance of signals;
(2.8) performing thresholding on the normalized cross-correlation coefficient obtained in the step (2.7) to obtain a thresholded normalized cross-correlation coefficient corresponding to the target point (x, z)
Figure BDA0002326669650000116
Figure BDA0002326669650000117
Where ε is the threshold value (e.g., 10)-3);
And (2.9) repeating the steps (2.2) to (2.8) until the normalized cross-correlation coefficient after thresholding corresponding to all target points in the passive ultrasonic imaging region is obtained through calculation, and obtaining a cross-correlation coefficient matrix CCM.
Step three: aiming at a certain target point in the passive ultrasonic imaging area obtained in the second step, calculating a full-aperture beam forming signal and the sum of squares of all array element delay compensation signals by using the delay compensation signal of each array element obtained in the second step, then obtaining a full-aperture amplitude coherent beam forming signal by calculating an amplitude coherence coefficient, integrating the squares of the signals, and calculating to obtain an energy output value; and (3) respectively repeating the calculation process for other target points in the passive ultrasonic imaging area to obtain a passive amplitude coherent beam synthesis energy matrix, performing dot multiplication operation on the matrix and the cross-correlation coefficient matrix obtained in the second step, and performing logarithmic compression to obtain a high-resolution passive ultrasonic imaging result.
The specific flow of the third step is as follows (fig. 3):
(3.1) calculating to obtain a full aperture beam synthesis signal S (x, z, t) according to the delay compensation signal of each array element obtained in the step (2.4) aiming at a certain target point (x, z) in the passive ultrasound imaging area in the step (2.1):
Figure BDA0002326669650000121
(3.2) calculating the square sum SQS (x, z, t) of all the array element delay compensation signals according to the delay compensation signal of each array element obtained in the step (2.4) aiming at a certain target point (x, z) in the passive ultrasonic imaging region in the step (2.1):
Figure BDA0002326669650000122
(3.3) calculating an amplitude coherence coefficient ACF (x, z, t) according to the full aperture beam synthesis signal S (x, z, t) obtained in the step (3.1) and the SQS (x, z, t) of the square sum of all array element delay compensation signals obtained in the step (3.2):
Figure BDA0002326669650000123
(3.4) calculating a full aperture amplitude coherent beam synthesis signal q (x, z, t) of the target point (x, z) according to the full aperture beam synthesis signal S (x, z, t) obtained in the step (3.1) and the amplitude coherence coefficient ACF (x, z, t) obtained in the step (3.3):
q(x,z,t)=S(x,z,t)ACF(x,z,t)
(3.5) in the passive ultrasonic original radio frequency signal acquisition time interval [ t0,t0+Δt]And (4) integrating the square of the full aperture amplitude coherent beam forming signal q (x, z, t) obtained in the step (3.4) to obtain an energy output value I (x, z) of the target point (x, z):
Figure BDA0002326669650000124
wherein, t0The delta T is the initial time of the passive ultrasonic original radio frequency signal acquisition, and the delta T is the time length of the passive ultrasonic original radio frequency signal acquisition;
(3.6) repeating the steps (3.1) - (3.5) until the respective energy output values of all target points in the passive ultrasonic imaging area in the step (2.1) are obtained through calculation, and obtaining a passive amplitude coherent beam synthesis energy matrix PBEM;
(3.7) performing dot product operation on the passive amplitude coherent beam synthesis energy matrix PBEM obtained in the step (3.6) and the cross-correlation coefficient matrix CCM obtained in the step (2.9), and then performing logarithmic compression to obtain a high-resolution passive ultrasonic imaging result:
referring to fig. 4, wherein (a) and (b) are the imaging results of cavitation activity in the process of irradiating phase-change nano-droplets by focused ultrasound obtained by the traditional passive ultrasound imaging method (without using double apodization cross-correlation and amplitude coherence coefficient) and the high-resolution passive ultrasound imaging method proposed by the present invention, respectively, and the dynamic range is 50 dB. It can be seen that the imaging artifacts are significantly reduced in fig. 4(b) compared to fig. 4(a), indicating that the spatial characterization of the cavitation activity is more accurate. Through calculation, the transverse half-width at half maximum of the result shown in fig. 4(a) is 1.61mm, the axial half-width at half maximum is 20.72mm, the transverse half-width at half maximum of the result shown in fig. 4(b) is 0.94mm, the axial half-width at half maximum is 6.49mm, and the transverse half-width and the axial half-width of the result shown in fig. 4(b) are both lower than the result shown in fig. 4(a), which indicates that the high-resolution passive ultrasonic imaging method provided by the invention effectively improves the spatial resolution of imaging.
Step four: the method comprises the steps of correcting a Keller-Miksis model by adopting high saturated vapor pressure, establishing a phase-change microbubble group vibration model based on interaction among microbubbles, solving the model by utilizing a fourth-order Runge Kutta algorithm to obtain a time-varying curve of the vibration radius of each phase-change microbubble, calculating scattering echoes of each phase-change microbubble, superposing the scattering echoes of all the phase-change microbubbles, and constructing the mother wavelet of the phase-change microbubble group through band-pass filtering and normalization processing.
The specific flow of the fourth step is as follows (fig. 5):
(4.1) the traditional Keller-Miksis model is not applicable any more because the surrounding temperature is increased by the focused ultrasonic irradiation, so that the saturated vapor pressure in the phase-change micro-bubble is increased. The conventional Keller-Miksis model is modified by using a high saturation vapor pressure (for example, the saturation vapor pressure is 87600Pa) to obtain a vibration model of a single phase-change microbubble:
Figure BDA0002326669650000131
wherein R is the vibration radius of the phase-change micro-bubbles,
Figure BDA0002326669650000132
is the radial velocity of the oscillation of the phase-change microbubbles,
Figure BDA0002326669650000133
radial acceleration of the phase-change micro-bubble vibration, c acoustic propagation velocity, p liquid density,
Figure BDA0002326669650000134
representing the time differentiation, P, of a time-varying functionsWall pressure for phase-change microbubbles:
Figure BDA0002326669650000135
wherein, PIs hydrostatic pressure, PνIs the saturated vapor pressure of the gas in the phase-change micro-bubbles, sigma is the surface tension coefficient of the liquid, R0Is the initial vibration radius of the phase-change micro-bubble, gamma is a polytropic index, mu is a viscosity coefficient, PAIs an excitation waveform; the parameters can be taken as follows: 1540m/s, 998kg/m3,P=101000Pa,Pν=87600Pa,σ=0.072N/m,R0=2μm,γ=1.4,μ=0.001Pa·s;
(4.2) on the basis of considering the interaction among the microbubbles, further correcting the vibration model of the single phase-change microbubble obtained in the step (4.1) to establish a phase-change microbubble group vibration model:
Figure BDA0002326669650000141
wherein, i is 1, 2., B,
Figure BDA0002326669650000142
representing the effect of B-1 phase-change microbubbles on the ith phase-change microbubble in addition to the ith phase-change microbubble, RiIs the oscillation radius of the ith phase-change microbubble,
Figure BDA0002326669650000143
the radial velocity at which the ith phase-change microbubble oscillates,
Figure BDA0002326669650000144
radial acceleration of the i-th phase-change microbubble oscillation, B the number of phase-change microbubbles, DijThe spacing between the ith and jth phase change microbubbles,
Figure BDA0002326669650000145
wall pressure for the ith phase change microbubble:
Figure BDA0002326669650000146
wherein R isi0The initial vibration radius of the ith phase-change microbubble is the same as the vibration model of the single phase-change microbubble in the step (4.1) in definition and value of other parameters;
(4.3) determining the number B of the phase-change microbubbles and the distance D between the ith and jth phase-change microbubbles in the step (4.2) according to the distribution structure of the phase-change microbubble groups in three-dimensional spaceij. The three-dimensional space distribution structure can be a cubic structure, a regular tetrahedron structure, a sphere structure and the like. For example, considering a cube structure, eight phase-change microbubbles are distributed at eight vertexes of the cube, and the number B of the phase-change microbubbles is 8; if the side length of the cube structure is 10 micrometers, the distance between every two microbubbles in the phase-change microbubble group is respectively 10 micrometers, 14.14 micrometers and 17.32 micrometers;
(4.4) measuring the plane wave waveform emitted by thelinear array transducer 5 when the open type ultrasonic imaging platform 3 works in a plane wave emission and full-aperture receiving mode (both emission and receiving modes) by using a needle type hydrophone, and taking the waveform as the excitation waveform P of the phase-change microbubble cluster vibration model in the step (4.2) after interpolation smoothing treatmentA
(4.5) setting a calculation step length (for example, 10ns) and solving the phase-change microbubble cluster vibration model in the step (4.2) by using a fourth-order Runge Kutta algorithm to respectively obtain a time-varying curve R of the vibration radius of the ith phase-change microbubblei(t) for Ri(t) performing first-order time differentiation and second-order time differentiation to respectively obtain the time-varying curve of the radial velocity of the phase-change microbubble vibration
Figure BDA0002326669650000147
And time-varying curve of radial acceleration
Figure BDA0002326669650000148
(4.6) obtaining a time-varying curve R of the oscillation radius of the i-th phase-varying microbubble according to the step (4.5)i(t), time-varying curve of radial velocity
Figure BDA0002326669650000151
And time-varying curve of radial acceleration
Figure BDA0002326669650000152
Calculating the scattered echo P of the ith phase-change microbubblei(t):
Figure BDA0002326669650000153
Wherein r is the vertical distance between the focus of the single-array element focusedultrasonic transducer 1 and thelinear array transducer 5;
(4.7) the scattered echoes of the B-phase-change microbubbles obtained in the step (4.6) are superposed along a time axis to obtain scattered echoes P (t) of the phase-change microbubble group:
Figure BDA0002326669650000154
and (4.8) designing a band-pass filter (for example, the filter bandwidth is 5-14 MHz) with the filter bandwidth consistent with the receiving bandwidth of thelinear array transducer 5, carrying out band-pass filtering on the scattering echo of the phase-change microbubble group obtained in the step (4.7), and then carrying out normalization processing by taking the maximum absolute value of the echo obtained by filtering as a reference to obtain the mother wavelet of the phase-change microbubble group.
Step five: carrying out time delay processing on the original active ultrasonic radio-frequency signal obtained in the step one and carrying out window function weighted superposition on the time delay signal to obtain an active beam-forming radio-frequency signal; and C, utilizing the phase change microbubble cluster mother wavelet obtained in the fourth step to perform continuous wavelet transformation on the active beam forming radio frequency signal according to different wavelet transformation scale parameters, performing Hilbert envelope detection on the obtained wavelet correlation coefficient matrix, calculating the contrast of the wavelet correlation coefficient envelope detection matrix, and performing logarithmic compression on the corresponding wavelet correlation coefficient envelope detection matrix when the contrast is highest to obtain a high-contrast active ultrasonic imaging result.
The concrete flow of the fifth step is as follows (fig. 6):
(5.1) setting an active ultrasonic imaging area (for example, the range of a transverse coordinate x is-19 mm, and the range of an axial coordinate z is 40-80 mm);
(5.2) calculating the array element number K of the effective aperture corresponding to a certain target point (x, z) in the active ultrasonic imaging area:
K=z/(2Fnum)
wherein, Fnum is generally 1 or 2;
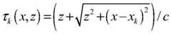
(5.3) calculating the time delay tau of the kth array element in the K array elements in the effective aperture according to the plane wave transmitting time and the echo receiving time of the linear array transducerk(x,z):
Figure BDA0002326669650000155
Wherein K is 1,2kThe horizontal position of the kth array element is shown, and c is the sound propagation speed;
(5.4) extracting a signal s of a kth array element in an effective aperture corresponding to the target point (x, z) from the active ultrasonic original radio frequency signal obtained in the step onek(t) delaying the signal by using the time delay obtained in the step (5.3) to obtain a delayed signal rfk(x,z):
rfk(x,z)=skk(x,z)]
(5.5) using a window function vector (e.g. Hanning window) to the delayed signal rf obtained in step (5.4)k(x, z) are weighted and then superimposed to obtain the intensity output value v (x, z) of the target point (x, z):
Figure BDA0002326669650000161
wherein, wkIs the kth element in the window function vector;
(5.6) repeating the steps (5.2) - (5.5) until the respective intensity output values of all target points in the active ultrasonic imaging area are obtained through calculation, so that an active beam forming radio frequency signal is obtained and is recorded as V (t);
(5.7) aiming at a certain wavelet transformation scale parameter, utilizing the phase-change microbubble cluster mother wavelet obtained in the step four to actively beam-forming an ith signal V in the radio frequency signal obtained in the step (5.6)i(t) carrying out continuous wavelet transform to obtain ith signal V under the scale parameteri(t) wavelet correlation coefficient Ci(a,b):
Figure BDA0002326669650000162
Where i is 1,2,., N is the number of array elements of thelinear array transducer 5, Ci(a, b) are characterizing signals Vi(t) wavelet correlation coefficients of wavelet correlation of parent wavelet correlation of population of phase-changed microbubbles, representing complex conjugates,
Figure BDA0002326669650000163
for the phase-change microbubble cluster mother wavelet obtained in the fourth step, a and b are respectively a scale parameter and a displacement parameter (since the displacement parameter has no influence on the imaging effect, the displacement parameter can be set to be any value, for example, 0);
(5.8) forming a wavelet correlation coefficient matrix C by the wavelet correlation coefficient of each row of signals in the active beam forming radio frequency signals obtained in the step (5.7), performing Hilbert envelope detection on the matrix C, and then calculating the contrast CR of the wavelet correlation coefficient envelope detection matrix:
CR=20lg(IB/IN)
wherein, IBPixel average of region of interest for phase-changed microbubbles, INThe pixel average value of the background noise interested region is, for example, the background noise interested region can be selected from the region outside the pipeline in the active ultrasonic imaging region;
(5.9) selecting different wavelet transformation scale parameters (for example, the range of the scale parameters is 1-100), obtaining contrast ratios CR under the different wavelet transformation scale parameters according to the steps (5.7) and (5.8), and selecting the wavelet transformation scale parameter with the highest contrast ratio CR as the optimal scale parameter;
and (5.10) carrying out logarithmic compression on the wavelet correlation coefficient envelope detection matrix under the optimal scale parameter obtained in the step (5.9) to obtain a high-contrast active ultrasonic imaging result.
Referring to fig. 7, wherein (a) and (b) are the imaging results of the residual phase-change microbubbles when the focused ultrasound irradiation phase-change nano droplets stop, obtained by the conventional active ultrasound imaging method (without using the continuous wavelet transform based on the mother wavelet of the phase-change microbubble group) and the high-contrast active ultrasound imaging method proposed by the present invention, respectively, and the dynamic range is 40 dB. It can be seen that compared with fig. 7(a), the background noise information outside the pipe of the phantom pipe model 6 in fig. 7(b) is effectively suppressed, and the information of the phase-change microbubbles in the pipe of the phantom pipe model 6 is not lost. Selecting the solid line box and the dashed line box shown in fig. 7 as the phase-change microbubble region of interest and the background noise region of interest, respectively, and then calculating the contrast CR of fig. 7(a) and 7(b), respectively; through calculation, the contrast ratio CR of the result shown in fig. 7(a) is 12.95dB, and the contrast ratio CR of the result shown in fig. 7(b) is 22.66dB, which shows that the high-contrast active ultrasonic imaging method provided by the invention effectively improves the imaging contrast ratio.
Step six: and (4) respectively carrying out interpolation, standardization and RGB conversion processing on the high-resolution passive ultrasonic imaging result obtained in the third step and the high-contrast active ultrasonic imaging result obtained in the fifth step, and then carrying out transparentization processing on the high-resolution passive ultrasonic RGB image and superposing the high-resolution passive ultrasonic RGB image on the high-contrast active ultrasonic RGB image to obtain a passive and active ultrasonic composite image.
The specific flow of the sixth step is as follows (fig. 8 (a)):
(6.1) respectively interpolating the high-resolution passive ultrasonic imaging result obtained in the step (3.7) and the high-contrast active ultrasonic imaging result obtained in the step (5.10) to unify the pixel numbers of the two, and correspondingly obtaining images IHRP and IHRA;
(6.2) normalizing the IHRP and the IHRA obtained in the step (6.1) to intervals [1, ub ] respectively](e.g., ub 64) to obtain a normalized image
Figure BDA0002326669650000171
And
Figure BDA0002326669650000172
Figure BDA0002326669650000173
Figure BDA0002326669650000174
wherein round [. cndot ] represents rounding to get an integer, and max (·) represents finding the maximum value of a pixel in an image;
(6.3) setting a display color system (such as hot color system) of high-resolution passive ultrasonic imaging and a display color system (such as gray color system) of high-contrast active ultrasonic imaging, and then normalizing the normalized image obtained in the step (6.2)
Figure BDA0002326669650000181
And
Figure BDA0002326669650000182
converting into RGB (a color system which is most widely applied at present, R, G and B respectively represent red, green and blue) images to respectively obtain a high-resolution passive ultrasound RGB image and a high-contrast active ultrasound RGB image;
and (6.4) setting transparency (for example, 0.2-0.5), carrying out transparency treatment on the high-resolution passive ultrasound RGB image obtained in the step (6.3), and then superposing the high-resolution passive ultrasound RGB image on the high-contrast active ultrasound RGB image to obtain a passive and active ultrasound composite image.
Referring to fig. 8(b), fig. 8(b) is a composite image of passive and active ultrasound obtained from the high resolution passive ultrasound imaging result shown in fig. 4(b) and the high contrast active ultrasound imaging result shown in fig. 7 (b); fig. 8(b) reflects the spatial distribution of cavitation activity during the phase-change nano droplet irradiation by the focused ultrasound, and also reflects the spatial distribution of the residual phase-change microbubbles when the phase-change nano droplet irradiation by the focused ultrasound stops.
The invention has the following advantages:
(1) the high-resolution passive ultrasonic imaging method provided by the invention obtains a cross-correlation coefficient matrix by constructing two complementary square wave apodization functions, performs dot multiplication on the cross-correlation coefficient matrix and a passive amplitude coherent beam forming energy matrix obtained by utilizing an amplitude coherent coefficient, and greatly inhibits imaging artifacts, thereby improving the spatial resolution of imaging and enabling the spatial positioning of cavitation activity in the process of irradiating phase-change nano liquid drops by focused ultrasound to be more accurate;
(2) the high-contrast active ultrasonic imaging method provided by the invention adopts a plane wave transmitting mode, can effectively reduce the damage rate to the phase-change microbubbles, and the phase-change microbubble cluster mother wavelet constructed by the phase-change microbubble cluster vibration model has higher correlation with phase-change microbubble scattering echo signals obtained in practical experiments, so that the imaging contrast is effectively improved, and the detection sensitivity of the phase-change microbubbles is improved;
(3) the passive and active ultrasonic composite images obtained based on high-resolution passive ultrasonic imaging and high-contrast active ultrasonic imaging can simultaneously monitor cavitation activity in the process of irradiating the phase-change nano-droplets by focused ultrasound and residual phase-change microbubbles when irradiation is stopped, so that the whole process monitoring of irradiating the phase-change nano-droplets by focused ultrasound is realized, and the method has important significance for the treatment monitoring application of combining focused ultrasound with the phase-change nano-droplets;
(4) the invention can be used for the treatment monitoring aspects of a plurality of focused ultrasound combined phase-change nanometer liquid drops, such as gas embolism blood vessel treatment, blood vessel rupture and tumor hypoxia area drug-loading treatment, cell sound-induced perforation, blood brain barrier opening, ultrasonic thrombolysis, high-intensity focused ultrasound treatment synergy and the like;
(5) the high-resolution passive and high-contrast active ultrasonic composite imaging method provided by the invention can be used for the treatment monitoring aspect of focused ultrasound combined phase-change nano liquid drops, is also suitable for the treatment monitoring application of focused ultrasound combined with other micro-nano particles, and simultaneously provides an effective means for the analysis of the spatiotemporal dynamics characteristics of cavitation and micro-bubbles in focused ultrasound treatment.

Claims (10)

Translated fromChinese
1.一种聚焦超声辐照相变纳米液滴的主被动超声复合成像方法,其特征在于:包括以下步骤:1. an active-passive ultrasonic composite imaging method of changing nano-droplets by focused ultrasonic irradiation, is characterized in that: comprise the following steps:1)通过控制聚焦超声辐照和原始射频信号采集的时序,分别获得被动超声原始射频信号和主动超声原始射频信号,其中,被动超声原始射频信号是指聚焦超声辐照相变纳米液滴的过程中线阵换能器(5)被动接收的由空化活动所产生的声辐射信号,主动超声原始射频信号是指聚焦超声辐照停止间隙内线阵换能器(5)在发射超声波后接收到的残留相变微泡的回波信号;1) By controlling the time sequence of focused ultrasound irradiation and raw RF signal acquisition, the passive ultrasound raw RF signal and the active ultrasound raw RF signal are obtained respectively, where the passive ultrasound raw RF signal refers to the process of focused ultrasound irradiation to transform nano-droplets The acoustic radiation signal generated by the cavitation activity passively received by the central linear array transducer (5), the active ultrasonic raw radio frequency signal refers to the acoustic radiation signal received by the linear array transducer (5) after the ultrasonic wave is emitted in the focused ultrasonic irradiation stop gap. The echo signal of the residual phase change microbubble;2)针对被动超声成像区域内任意一目标点,对步骤1)所得的被动超声原始射频信号进行延时和补偿处理,得到每个阵元的延时补偿信号,通过两个互补的方波变迹函数对每个阵元的延时补偿信号进行阵元变迹处理并分别将两个方波变迹函数处理的结果进行叠加,得到两个半孔径波束合成信号,计算两个半孔径波束合成信号的归一化互相关系数并作阈值化处理,得到对应目标点的互相关系数;由被动超声成像区域内各目标点的互相关系数构成互相关系数矩阵;2) For any target point in the passive ultrasound imaging area, perform delay and compensation processing on the passive ultrasound original radio frequency signal obtained in step 1), and obtain the delay compensation signal of each array element. The trace function performs the array element apodization process on the delay compensation signal of each array element and superimposes the results of the two square wave apodization functions respectively to obtain two half-aperture beamforming signals, and calculate the two half-aperture beamforming signals. The normalized cross-correlation coefficient of the signal is processed by thresholding to obtain the cross-correlation coefficient of the corresponding target point; the cross-correlation coefficient matrix is formed by the cross-correlation coefficient of each target point in the passive ultrasound imaging area;3)针对所述被动超声成像区域内任意一目标点,利用步骤2)所得的在对应目标点下每个阵元的延时补偿信号计算全孔径波束合成信号以及所有阵元延时补偿信号的平方和,然后通过计算幅度相干系数得到全孔径幅度相干波束合成信号,对该信号的平方进行积分,得到对应目标点的能量输出值;由被动超声成像区域内各目标点的能量输出值构成被动幅度相干波束合成能量矩阵,将该矩阵与步骤2)所得的互相关系数矩阵进行点乘运算之后做对数压缩,得到被动超声成像结果;3) For any target point in the passive ultrasonic imaging area, use the delay compensation signal of each array element obtained in step 2) under the corresponding target point to calculate the full aperture beamforming signal and the delay compensation signal of all array elements. Then, the full-aperture amplitude coherent beamforming signal is obtained by calculating the amplitude coherence coefficient, and the square of the signal is integrated to obtain the energy output value of the corresponding target point; the energy output value of each target point in the passive ultrasonic imaging area constitutes a passive Amplitude coherent beamforming energy matrix, perform logarithmic compression after the matrix and the cross-correlation coefficient matrix obtained in step 2), and perform logarithmic compression to obtain passive ultrasound imaging results;4)根据聚焦超声辐照所导致的相变微泡内的饱和蒸汽压升高程度对Keller-Miksis模型进行修正,并基于微泡之间的相互作用建立相变微泡群振动模型,利用四阶龙格库塔算法求解该模型得到每个相变微泡振动半径的时变曲线并计算每个相变微泡的散射回波,将所有相变微泡的散射回波叠加并通过带通滤波和归一化处理构造得到相变微泡群母小波;4) The Keller-Miksis model is modified according to the increase of saturated vapor pressure in the phase transition microbubbles caused by the irradiation of focused ultrasound, and the phase transition microbubble group vibration model is established based on the interaction between the microbubbles. The first-order Runge-Kutta algorithm solves the model to obtain the time-varying curve of the vibration radius of each phase-change microbubble and calculates the scattered echoes of each phase-change microbubble, superimposes the scattered echoes of all phase-change microbubbles and passes the bandpass Filter and normalize the structure to obtain the mother wavelet of the phase-change microbubble group;5)对步骤1)所得的主动超声原始射频信号中与主动超声成像区域内各目标点对应的有效孔径中的阵元接收信号进行延时处理,得到延时信号,对延时信号进行窗函数加权叠加,得到主动波束合成射频信号;利用步骤4)所得的相变微泡群母小波对主动波束合成射频信号按照不同的小波变换尺度参数进行连续小波变换,对所得小波相关性系数矩阵进行希尔伯特包络检波后计算小波相关性系数包络检波矩阵的对比度,然后对所述对比度最高时对应的小波相关性系数包络检波矩阵进行对数压缩,得到主动超声成像结果;5) Perform delay processing on the received signals of the array elements in the effective aperture corresponding to each target point in the active ultrasound imaging area in the original active ultrasound signal obtained in step 1) to obtain a delayed signal, and perform a window function on the delayed signal Weighted superposition is used to obtain the active beam synthesized radio frequency signal; the phase change microbubble group mother wavelet obtained in step 4) is used to perform continuous wavelet transformation on the active beam synthesized radio frequency signal according to different wavelet transform scale parameters, and the obtained wavelet correlation coefficient matrix is analyzed. After the Albert envelope detection, the contrast of the wavelet correlation coefficient envelope detection matrix is calculated, and then the logarithmic compression of the wavelet correlation coefficient envelope detection matrix corresponding to the highest contrast is performed to obtain an active ultrasound imaging result;6)对步骤3)所得的被动超声成像结果与步骤5)所得的主动超声成像结果分别进行插值、标准化和RGB转换处理,然后对被动超声RGB图像做透明化处理并叠加到主动超声RGB图像上,得到被动与主动超声复合图像。6) Perform interpolation, standardization and RGB conversion processing on the passive ultrasonic imaging results obtained in step 3) and the active ultrasonic imaging results obtained in step 5), respectively, and then do transparent processing on the passive ultrasonic RGB images and superimpose them on the active ultrasonic RGB images. , to obtain a composite image of passive and active ultrasound.2.根据权利要求1所述一种聚焦超声辐照相变纳米液滴的主被动超声复合成像方法,其特征在于:所述线阵换能器发射的超声波为平面波。2 . The active and passive ultrasonic composite imaging method of transforming nano-droplets by focused ultrasonic irradiation according to claim 1 , wherein the ultrasonic waves emitted by the linear array transducer are plane waves. 3 .3.根据权利要求1所述一种聚焦超声辐照相变纳米液滴的主被动超声复合成像方法,其特征在于:所述原始射频信号采集的时序为:自聚焦超声辐照相变纳米液滴的触发时刻开始,经过延时T1后,触发工作在不发射只接收模式的开放式超声成像平台(3)采集被动超声原始射频信号;自聚焦超声辐照相变纳米液滴的触发时刻开始,经过延时T2后,触发工作在既发射又接收模式的开放式超声成像平台(3)采集主动超声原始射频信号。3. The active-passive ultrasonic composite imaging method for transforming nano-droplets by focused ultrasound irradiation according to claim 1, wherein: the sequence of the original radio frequency signal acquisition is: self-focusing ultrasound radiation transforms nano-droplets The triggering moment of the droplet starts, and after the delay time T1, the open ultrasonic imaging platform (3 ), which works in the mode of not transmitting and receiving only, is triggered to collect the original radio frequency signal of passive ultrasonic; Initially, after the delay T2 , the open ultrasound imaging platform (3) working in both transmit and receive modes is triggered to collect active ultrasound raw radio frequency signals.4.根据权利要求1所述一种聚焦超声辐照相变纳米液滴的主被动超声复合成像方法,其特征在于:所述两个互补的方波变迹函数分别表示为:4. A kind of active-passive ultrasonic composite imaging method of transforming nano-droplets by focused ultrasonic irradiation according to claim 1, characterized in that: the two complementary square wave apodization functions are respectively expressed as:
Figure FDA0002688115350000021
Figure FDA0002688115350000021
Figure FDA0002688115350000022
Figure FDA0002688115350000022
其中,A=2,4,8,...,N/4,N为线阵换能器的阵元数目;Among them, A=2,4,8,...,N/4, N is the number of array elements of the linear array transducer;所述变迹处理是指将方波变迹函数与被动超声成像区域内某一目标点下线阵换能器各阵元的延时补偿信号相乘;The apodization processing refers to multiplying the square wave apodization function by the delay compensation signal of each array element of the linear array transducer under a certain target point in the passive ultrasonic imaging area;所述归一化互相关系数的计算公式表示为:The calculation formula of the normalized cross-correlation coefficient is expressed as:
Figure FDA0002688115350000023
Figure FDA0002688115350000023
其中,Cov[·]表示求两个信号的协方差,Av[·]表示求信号的方差,RX1(x,z,t)和RX2(x,z,t)分别为被动超声成像区域内某一目标点(x,z)处的两个半孔径波束合成信号;Among them, Cov[ ] represents the covariance of the two signals, Av[ ] represents the variance of the signals, RX1 (x, z, t) and RX2 (x, z, t) are the passive ultrasound imaging areas, respectively Two half-aperture beamformed signals at a certain target point (x, z) within;所述阈值化处理中阈值参数的取值范围为10-6~10-3The value range of the threshold parameter in the thresholding process is 10-6 to 10-3 .5.根据权利要求1所述一种聚焦超声辐照相变纳米液滴的主被动超声复合成像方法,其特征在于:所述幅度相干系数的计算公式表示为:5. A kind of active and passive ultrasonic composite imaging method of transforming nano-droplets by focused ultrasonic irradiation according to claim 1, is characterized in that: the calculation formula of described amplitude coherence coefficient is expressed as:
Figure FDA0002688115350000024
Figure FDA0002688115350000024
其中,S(x,z,t)为被动超声成像区域内某一目标点(x,z)处将每个阵元的延时补偿信号叠加得到的全孔径波束合成信号,SQS(x,z,t)为被动超声成像区域内某一目标点(x,z)处所有阵元延时补偿信号的平方和,N为线阵换能器的阵元数目。Among them, S(x,z,t) is the full-aperture beam synthesis signal obtained by superimposing the delay compensation signal of each array element at a target point (x,z) in the passive ultrasound imaging area, SQS(x,z ,t) is the square sum of all the delay compensation signals of all array elements at a certain target point (x, z) in the passive ultrasonic imaging area, and N is the number of array elements of the linear array transducer.
6.根据权利要求1所述一种聚焦超声辐照相变纳米液滴的主被动超声复合成像方法,其特征在于:所述相变微泡群振动模型表示为:6. A kind of active-passive ultrasonic composite imaging method for phase-changed nano-droplets by focused ultrasound irradiation according to claim 1, wherein: the phase-change microbubble group vibration model is expressed as:
Figure FDA0002688115350000031
Figure FDA0002688115350000031
Figure FDA0002688115350000032
Figure FDA0002688115350000032
其中,i=1,2,...,B,Ri为第i个相变微泡的振动半径,
Figure FDA0002688115350000033
为第i个相变微泡振动的径向速度,
Figure FDA0002688115350000034
为第i个相变微泡振动的径向加速度,c为声传播速度,ρ为液体密度,B为相变微泡的数目,Dij为第i个和第j个相变微泡之间的间距,
Figure FDA0002688115350000035
为第i个相变微泡的壁压力;P为液体静压力,Pν为相变微泡内气体的饱和蒸汽压,σ为液体表面张力系数,Ri0为第i个相变微泡的初始振动半径,γ为多方指数,μ为粘滞系数,PA为激励波形。
Among them, i=1,2,...,B, Ri is the vibration radius of the i-th phase transition microbubble,
Figure FDA0002688115350000033
is the radial velocity of the i-th phase transition microbubble vibration,
Figure FDA0002688115350000034
is the radial acceleration of the vibration of the i-th phase transition microbubble, c is the sound propagation velocity, ρ is the liquid density, B is the number of phase transition microbubbles, and Dij is the distance between the i-th and j-th phase transition microbubbles Pitch,
Figure FDA0002688115350000035
is the wall pressure of the i-th phase transition microbubble; P is the hydrostatic pressure, Pν is the saturated vapor pressure of the gas in the phase transition microbubble, σ is the liquid surface tension coefficient, and Ri0 is the i-th phase transition microbubble The initial vibration radius of , γ is the polytropic exponent, μ is the viscosity coefficient, and PA is the excitation waveform.
7.根据权利要求1所述一种聚焦超声辐照相变纳米液滴的主被动超声复合成像方法,其特征在于:所述带通滤波的滤波带宽与线阵换能器(5)的接收带宽一致。7 . The active-passive ultrasonic composite imaging method of transforming nano-droplets by focused ultrasonic irradiation according to claim 1 , wherein the filter bandwidth of the band-pass filter and the reception of the linear array transducer (5) Bandwidth is the same.8.一种聚焦超声辐照相变纳米液滴的被动超声成像方法,其特征在于:包括以下步骤:8. A passive ultrasonic imaging method for transforming nano-droplets by focused ultrasound irradiation, characterized in that: comprising the following steps:1)通过控制聚焦超声辐照和原始射频信号采集的时序,获得被动超声原始射频信号,被动超声原始射频信号是指聚焦超声辐照相变纳米液滴的过程中线阵换能器(5)被动接收的由空化活动所产生的声辐射信号;1) By controlling the sequence of focused ultrasound irradiation and raw RF signal acquisition, the passive ultrasound raw RF signal is obtained. The passive ultrasound raw RF signal refers to the linear array transducer in the process of focused ultrasound irradiation to transform nano-droplets (5) passive received acoustic radiation signals generated by cavitation activity;2)针对被动超声成像区域内任意一目标点,对步骤1)所得的被动超声原始射频信号进行延时和补偿处理,得到每个阵元的延时补偿信号,通过两个互补的方波变迹函数对每个阵元的延时补偿信号进行阵元变迹处理并分别将两个方波变迹函数处理的结果进行叠加,得到两个半孔径波束合成信号,计算两个半孔径波束合成信号的归一化互相关系数并作阈值化处理,得到对应目标点的互相关系数;由被动超声成像区域内各目标点的互相关系数构成互相关系数矩阵;2) For any target point in the passive ultrasound imaging area, perform delay and compensation processing on the passive ultrasound original radio frequency signal obtained in step 1), and obtain the delay compensation signal of each array element. The trace function performs the array element apodization process on the delay compensation signal of each array element and superimposes the results of the two square wave apodization functions respectively to obtain two half-aperture beamforming signals, and calculate the two half-aperture beamforming signals. The normalized cross-correlation coefficient of the signal is processed by thresholding to obtain the cross-correlation coefficient of the corresponding target point; the cross-correlation coefficient matrix is formed by the cross-correlation coefficient of each target point in the passive ultrasound imaging area;3)针对所述被动超声成像区域内任意一目标点,利用步骤2)所得的在对应目标点下每个阵元的延时补偿信号计算全孔径波束合成信号以及所有阵元延时补偿信号的平方和,然后通过计算幅度相干系数得到全孔径幅度相干波束合成信号,对该信号的平方进行积分,得到对应目标点的能量输出值;由被动超声成像区域内各目标点的能量输出值构成被动幅度相干波束合成能量矩阵,将该矩阵与步骤2)所得的互相关系数矩阵进行点乘运算之后做对数压缩,得到被动超声成像结果。3) For any target point in the passive ultrasonic imaging area, use the delay compensation signal of each array element obtained in step 2) under the corresponding target point to calculate the full aperture beamforming signal and the delay compensation signal of all array elements. Then the full-aperture amplitude coherent beamforming signal is obtained by calculating the amplitude coherence coefficient, and the square of the signal is integrated to obtain the energy output value of the corresponding target point; the energy output value of each target point in the passive ultrasonic imaging area constitutes a passive Amplitude coherent beamforming energy matrix, performing point multiplication operation on the matrix and the cross-correlation coefficient matrix obtained in step 2) and then performing logarithmic compression to obtain the passive ultrasound imaging result.9.一种聚焦超声辐照相变纳米液滴的主动超声成像方法,其特征在于:包括以下步骤:9. An active ultrasonic imaging method for transforming nano-droplets by focused ultrasonic irradiation, characterized in that: comprising the following steps:1)通过控制聚焦超声辐照和原始射频信号采集的时序,获得主动超声原始射频信号,主动超声原始射频信号是指聚焦超声辐照停止间隙内线阵换能器(5)在发射超声波后接收到的残留相变微泡的回波信号;1) By controlling the timing of focused ultrasound irradiation and original RF signal acquisition, the active ultrasound original radio frequency signal is obtained. The active ultrasound original radio frequency signal refers to the linear array transducer (5) received after the ultrasonic wave is transmitted in the stop interval of the focused ultrasound irradiation. The echo signal of the residual phase change microbubble;2)根据聚焦超声辐照所导致的相变微泡内的饱和蒸汽压升高程度对Keller-Miksis模型进行修正,并基于微泡之间的相互作用建立相变微泡群振动模型,利用四阶龙格库塔算法求解该模型得到每个相变微泡振动半径的时变曲线并计算每个相变微泡的散射回波,将所有相变微泡的散射回波叠加并通过带通滤波和归一化处理构造得到相变微泡群母小波;2) The Keller-Miksis model is modified according to the increase of the saturated vapor pressure in the phase-change microbubbles caused by the irradiation of focused ultrasound, and the phase-change microbubble group vibration model is established based on the interaction between the microbubbles. The first-order Runge-Kutta algorithm solves the model to obtain the time-varying curve of the vibration radius of each phase-change microbubble and calculates the scattered echoes of each phase-change microbubble. Filter and normalize the structure to obtain the mother wavelet of the phase-change microbubble group;3)对步骤1)所得的主动超声原始射频信号中与主动超声成像区域内各目标点对应的有效孔径中的阵元接收信号进行延时处理,得到延时信号,对延时信号进行窗函数加权叠加,得到主动波束合成射频信号;利用步骤2)所得的相变微泡群母小波对主动波束合成射频信号按照不同的小波变换尺度参数进行连续小波变换,对所得小波相关性系数矩阵进行希尔伯特包络检波后计算小波相关性系数包络检波矩阵的对比度,然后对所述对比度最高时对应的小波相关性系数包络检波矩阵进行对数压缩,得到主动超声成像结果。3) Perform delay processing on the received signals of the array elements in the effective aperture corresponding to each target point in the active ultrasound imaging area in the original active ultrasound radio frequency signal obtained in step 1) to obtain a delayed signal, and perform a window function on the delayed signal The weighted superposition is used to obtain the active beam synthesized radio frequency signal; the phase change microbubble group mother wavelet obtained in step 2) is used to perform continuous wavelet transformation on the active beam synthesized radio frequency signal according to different wavelet transformation scale parameters, and the obtained wavelet correlation coefficient matrix is analyzed. After the Albert envelope detection, the contrast of the wavelet correlation coefficient envelope detection matrix is calculated, and then logarithmically compresses the wavelet correlation coefficient envelope detection matrix corresponding to the highest contrast to obtain the active ultrasound imaging result.10.一种聚焦超声辐照相变纳米液滴的主被动超声复合成像系统,其特征在于:该复合成像系统包括聚焦超声辐照装置、被动与主动原始射频信号采集装置以及用于同步聚焦超声辐照和原始射频信号采集的时序控制装置;所述聚焦超声辐照装置包括聚焦超声换能器以及与该聚焦超声换能器相连的脉冲发射/接收器;所述被动与主动原始射频信号采集装置包括开放式超声成像平台(3)以及与该开放式超声成像平台(3)相连的线阵换能器(5);所述开放式超声成像平台(3)及脉冲发射/接收器分别与所述时序控制装置相连;开放式超声成像平台(3)包括被动超声成像软件模块及主动超声成像软件模块;10. An active and passive ultrasonic composite imaging system for transforming nano-droplets by focused ultrasonic irradiation, characterized in that: the composite imaging system comprises a focused ultrasonic irradiation device, a passive and active original radio frequency signal acquisition device, and a device for synchronizing focused ultrasound A timing control device for irradiation and original radio frequency signal acquisition; the focused ultrasound irradiation device includes a focused ultrasound transducer and a pulse transmitter/receiver connected to the focused ultrasound transducer; the passive and active original radio frequency signal acquisition The device comprises an open ultrasonic imaging platform (3) and a linear array transducer (5) connected to the open ultrasonic imaging platform (3); the open ultrasonic imaging platform (3) and the pulse transmitter/receiver are respectively connected with The timing control devices are connected; the open ultrasound imaging platform (3) includes a passive ultrasound imaging software module and an active ultrasound imaging software module;所述被动超声成像软件模块通过构造两个互补的方波变迹函数并计算归一化互相关系数,得到由被动超声成像区域内各目标点的互相关系数构成的互相关系数矩阵,将该矩阵与通过幅度相干系数所得到的被动幅度相干波束合成能量矩阵进行点乘运算,从而提高被动超声成像的分辨率;The passive ultrasonic imaging software module obtains a cross-correlation coefficient matrix composed of the cross-correlation coefficients of each target point in the passive ultrasonic imaging area by constructing two complementary square wave apodization functions and calculating the normalized cross-correlation coefficient, and the The matrix is dot-multiplied with the passive amplitude coherent beamforming energy matrix obtained by the amplitude coherence coefficient, thereby improving the resolution of passive ultrasound imaging;所述主动超声成像软件模块利用相变微泡群母小波对主动波束合成射频信号做连续小波变换,从而提高主动超声成像的对比度;所述相变微泡群母小波是基于高饱和蒸汽压和微泡之间的相互作用建立相变微泡群振动模型,并采用四阶龙格库塔算法求解该模型而构造得到的。The active ultrasonic imaging software module uses the phase-change microbubble group mother wavelet to perform continuous wavelet transformation on the active beam-synthesized radio frequency signal, thereby improving the contrast of active ultrasonic imaging; the phase-change microbubble group mother wavelet is based on high saturated vapor pressure and The interaction between the microbubbles establishes a phase transition microbubble group vibration model, and the fourth-order Runge-Kutta algorithm is used to solve the model.
CN201911319128.3A2019-12-192019-12-19Active and passive ultrasonic composite imaging method and system for phase-change nano liquid drops through focused ultrasonic irradiationActiveCN111134719B (en)

Priority Applications (1)

Application NumberPriority DateFiling DateTitle
CN201911319128.3ACN111134719B (en)2019-12-192019-12-19Active and passive ultrasonic composite imaging method and system for phase-change nano liquid drops through focused ultrasonic irradiation

Applications Claiming Priority (1)

Application NumberPriority DateFiling DateTitle
CN201911319128.3ACN111134719B (en)2019-12-192019-12-19Active and passive ultrasonic composite imaging method and system for phase-change nano liquid drops through focused ultrasonic irradiation

Publications (2)

Publication NumberPublication Date
CN111134719A CN111134719A (en)2020-05-12
CN111134719Btrue CN111134719B (en)2021-01-19

Family

ID=70518968

Family Applications (1)

Application NumberTitlePriority DateFiling Date
CN201911319128.3AActiveCN111134719B (en)2019-12-192019-12-19Active and passive ultrasonic composite imaging method and system for phase-change nano liquid drops through focused ultrasonic irradiation

Country Status (1)

CountryLink
CN (1)CN111134719B (en)

Families Citing this family (10)

* Cited by examiner, † Cited by third party
Publication numberPriority datePublication dateAssigneeTitle
GB202009079D0 (en)*2020-06-152020-07-29Oxsonics LtdMapping of cavitation activity
CN111855803B (en)*2020-07-282021-07-06武汉大学 A laser-ultrasonic high signal-to-noise ratio imaging method for metal additive manufacturing micro-defects
US11998393B2 (en)*2020-10-202024-06-04GE Precision Healthcare LLCSystem and method of signal processing for ultrasound arrays with mechanically adjustable transducer shapes
CN112890855B (en)*2020-12-302024-02-20深圳蓝影医学科技股份有限公司Multi-beam p-time root compression coherent filtering beam synthesis method and device
CN113332619B (en)*2021-05-282023-06-20西安交通大学 An Ultrasonic Conformal Activation and Monitoring Imaging System for Phase Change Nanodroplet Drug Carriers
CN113740437B (en)*2021-08-102023-06-16西安交通大学Method for measuring thickness and sound velocity of coating containing pores based on ultrasonic composite model
CN114397010A (en)*2021-12-292022-04-26南京中科声势智能科技有限公司 Transient Signal Acoustic Imaging Method Based on Wavelet Decomposition
CN114519752B (en)*2021-12-312024-03-29西安交通大学High-resolution rapid-calculation passive ultrasonic imaging method and system
CN117379093B (en)*2023-12-112024-03-15深圳英美达医疗技术有限公司Ultrasonic imaging method based on ring array transducer and ultrasonic probe system
CN117761671B (en)*2023-12-222024-07-12李昕Ultrasonic action area monitoring method and device

Citations (8)

* Cited by examiner, † Cited by third party
Publication numberPriority datePublication dateAssigneeTitle
US5560364A (en)*1995-05-121996-10-01The Board Of Regents Of The University Of NebraskaSuspended ultra-sound induced microbubble cavitation imaging
WO2012042423A1 (en)*2010-09-302012-04-05Koninklijke Philips Electronics N.V.Monitoring and control of microbubble cavitation in therapeutic ultrasound
CN104287776A (en)*2014-10-132015-01-21西安交通大学Two-dimensional control and ultrasonic imaging monitoring method for flowing micro-bubbles in non-free field
CN104688271A (en)*2015-03-272015-06-10清华大学Ultrasonic imaging method and ultrasonic imaging device by synthetic focusing
CN104887266A (en)*2015-05-292015-09-09西安交通大学Method for small-area three-dimensional passive cavitation imaging and three-dimensional composite imaging based on area array
CN109171811A (en)*2018-09-252019-01-11西安交通大学The passive cavitation imaging of frequency domain and frequency multiplexed imaging method based on the synthesis of feature space adaptive beam
CN109431536A (en)*2018-09-172019-03-08西安交通大学A kind of the Real-time High Resolution spatial and temporal distributions imaging method and system of focused ultrasonic cavitation
CN110575201A (en)*2019-10-092019-12-17珠海医凯电子科技有限公司Ultrasonic microbubble cavitation imaging method and device based on reverse Golay code

Patent Citations (9)

* Cited by examiner, † Cited by third party
Publication numberPriority datePublication dateAssigneeTitle
US5560364A (en)*1995-05-121996-10-01The Board Of Regents Of The University Of NebraskaSuspended ultra-sound induced microbubble cavitation imaging
WO2012042423A1 (en)*2010-09-302012-04-05Koninklijke Philips Electronics N.V.Monitoring and control of microbubble cavitation in therapeutic ultrasound
CN104287776A (en)*2014-10-132015-01-21西安交通大学Two-dimensional control and ultrasonic imaging monitoring method for flowing micro-bubbles in non-free field
CN104688271A (en)*2015-03-272015-06-10清华大学Ultrasonic imaging method and ultrasonic imaging device by synthetic focusing
CN104688271B (en)*2015-03-272017-04-26清华大学Ultrasonic imaging method and ultrasonic imaging device by synthetic focusing
CN104887266A (en)*2015-05-292015-09-09西安交通大学Method for small-area three-dimensional passive cavitation imaging and three-dimensional composite imaging based on area array
CN109431536A (en)*2018-09-172019-03-08西安交通大学A kind of the Real-time High Resolution spatial and temporal distributions imaging method and system of focused ultrasonic cavitation
CN109171811A (en)*2018-09-252019-01-11西安交通大学The passive cavitation imaging of frequency domain and frequency multiplexed imaging method based on the synthesis of feature space adaptive beam
CN110575201A (en)*2019-10-092019-12-17珠海医凯电子科技有限公司Ultrasonic microbubble cavitation imaging method and device based on reverse Golay code

Also Published As

Publication numberPublication date
CN111134719A (en)2020-05-12

Similar Documents

PublicationPublication DateTitle
CN111134719B (en)Active and passive ultrasonic composite imaging method and system for phase-change nano liquid drops through focused ultrasonic irradiation
Tong et al.Multi-transmit beam forming for fast cardiac imaging-a simulation study
CN110023782B (en) Method and system for filtering clutter in ultrasound images
CN109431536B (en)A kind of the Real-time High Resolution spatial and temporal distributions imaging method and system of focused ultrasonic cavitation
CN104777484B (en)The plane wave ultrasonic imaging of compression adaptive beam synthesis and the method and system of microvesicle imaging
EP3598950A1 (en)Ultrasound controller unit and method
KR20180013956A (en) Method, system and computer program product for single tracking position shear wave elastic imaging
JP4642977B2 (en) Ultrasonic diagnostic apparatus and ultrasonic imaging method
CN103765240B (en)Enhanced ultrasound image formation using qualified regions of overlapping transmit beams
CN104622505B (en)Ultrasonic detecting system and method for intracranial blood flow
WO2019214134A1 (en)Transcranial three-dimensional cerebral blood vessel imaging method and system
CN105266847B (en)The quick contrast imaging method of pulse inversion harmonic wave plane wave based on the synthesis of compressed sensing adaptive beam
CN111415408A (en) A microsecond-level multi-scale spatiotemporal imaging and feature map calculation method and system for ultrasonic cavitation
You et al.Pixel-oriented adaptive apodization for plane-wave imaging based on recovery of the complete dataset
CN107137111A (en)A kind of Ultrasound beamforming method
CN102188261B (en)Synthetic aperture three-dimensional ultrasonic imaging method based on non-diffraction array waves
CN103356238B (en)High resolution ultrasonic imaging method
US20240407764A1 (en)Ultrasound imaging system and method
US11432804B2 (en)Methods and systems for processing an unltrasound image
van Neer et al.Dual-pulse frequency compounded superharmonic imaging
Lu et al.1J-1 blood flow velocity vector imaging with high frame rate imaging methods
Chitnis et al.SVD-based separation of stable and inertial cavitation signals applied to passive cavitation mapping during HIFU
Wang et al.High frame rate adaptive imaging using coherence factor weighting and the MVDR method
US20250107779A1 (en)Time-shared transmission and continuous recording of ultrasound data for enhanced frame rates
US20250025131A1 (en)Ultrasound imaging using c-wave beams for increasing frame rate and signal strength

Legal Events

DateCodeTitleDescription
PB01Publication
PB01Publication
SE01Entry into force of request for substantive examination
SE01Entry into force of request for substantive examination
CB03Change of inventor or designer information

Inventor after:Lu Shukuan

Inventor after:Wan Mingxi

Inventor before:Wan Mingxi

Inventor before:Lu Shukuan

CB03Change of inventor or designer information
GR01Patent grant
GR01Patent grant

[8]ページ先頭

©2009-2025 Movatter.jp