Movatterモバイル変換


[0]ホーム

URL:


CN111126199A - Signal feature extraction and data mining method based on echo measurement data - Google Patents

Signal feature extraction and data mining method based on echo measurement data
Download PDF

Info

Publication number
CN111126199A
CN111126199ACN201911268281.8ACN201911268281ACN111126199ACN 111126199 ACN111126199 ACN 111126199ACN 201911268281 ACN201911268281 ACN 201911268281ACN 111126199 ACN111126199 ACN 111126199A
Authority
CN
China
Prior art keywords
input
training
signal
decoder
echo
Prior art date
Legal status (The legal status is an assumption and is not a legal conclusion. Google has not performed a legal analysis and makes no representation as to the accuracy of the status listed.)
Granted
Application number
CN201911268281.8A
Other languages
Chinese (zh)
Other versions
CN111126199B (en
Inventor
朱殷
张军平
Current Assignee (The listed assignees may be inaccurate. Google has not performed a legal analysis and makes no representation or warranty as to the accuracy of the list.)
Fudan University
Original Assignee
Fudan University
Priority date (The priority date is an assumption and is not a legal conclusion. Google has not performed a legal analysis and makes no representation as to the accuracy of the date listed.)
Filing date
Publication date
Application filed by Fudan UniversityfiledCriticalFudan University
Priority to CN201911268281.8ApriorityCriticalpatent/CN111126199B/en
Publication of CN111126199ApublicationCriticalpatent/CN111126199A/en
Application grantedgrantedCritical
Publication of CN111126199BpublicationCriticalpatent/CN111126199B/en
Activelegal-statusCriticalCurrent
Anticipated expirationlegal-statusCritical

Links

Images

Classifications

Landscapes

Abstract

Translated fromChinese

本发明属于机器学习与信号特征提取技术领域,具体为基于回波测量数据的信号特征提取与数据挖掘方法。本发明方法包括:根据已有仿真数据额外生成仿真数据;构建可同时用于编码器解码器的基本残差块;编码器和解码器同一抽象等级跨链接;将由多个目标产生的原始回波输入进编码器得到易处理的特征图,再用解码器来得到多个由不同目标产生的回波,并根据波峰的幅值和位置的相对误差来评估性能。本发明可以很好地从多个目标共同产生的回波中分离出不同目标产生的回波,使得模型能很好的学习到目标产生回波的特征,从而提取出多个相对简单、由单个目标产生的回波。

Figure 201911268281

The invention belongs to the technical field of machine learning and signal feature extraction, in particular to a signal feature extraction and data mining method based on echo measurement data. The method of the invention includes: additionally generating simulation data according to the existing simulation data; constructing a basic residual block which can be used for the encoder and decoder at the same time; the encoder and the decoder are linked across the same abstraction level; Input into the encoder to get a tractable feature map, and then use the decoder to obtain multiple echoes generated by different targets, and evaluate the performance according to the relative error of the amplitude and position of the peaks. The present invention can well separate the echoes generated by different targets from the echoes jointly generated by multiple targets, so that the model can well learn the characteristics of the echoes generated by the targets, so as to extract a plurality of relatively simple and single-target echoes. echoes generated by the target.

Figure 201911268281

Description

Signal feature extraction and data mining method based on echo measurement data
Technical Field
The invention belongs to the technical field of machine learning and signal feature extraction, and particularly relates to a signal feature extraction and data mining method based on echo measurement data.
Background
The feature extraction and data mining of echo measurement data actually belong to the technical field of signal processing, but the traditional signal processing method relies on a physical model of a signal to be processed, and a network needs to be built according to the characteristics of the signal when deep learning is used for signal processing. At present, an echo feature extraction method based on deep learning has almost no published literature with high feasibility.
The problem with the present invention, which consists of separating the signal reflected by a single signal source from the mixed echoes reflected by multiple signal sources, is called blind source separation (BlindSourceSeparation) because of the lack of useful information about the system characteristics of the mixed source signal and the need to recover the single desired signal by some methods and transformations [1 ].
The adaptive spatial sampling algorithm, originally proposed in 1986 by Heraul and Jutten et al, achieves blind separation of two signals using a simple neural network [2 ]. In 1994, Comon proposed ICA methods based on minimal mutual information, and the system elaborated the concept of independent components and also defined the basic assumptions of the blind source separation problem [3 ]. In 1995, an ICA algorithm based on the information maximization criterion published by Bell and Sejnowski successfully studied adaptive blind separation and blind deconvolution by making full use of the information amount transmitted by a nonlinear network by using a method of maximizing the entropy of nonlinear nodes [4 ]. The blind source separation theory is developed and widely applied to the fields of image processing, voice processing, signal processing and the like.
In the era of wide application of deep learning, many blind source separation problems can be solved by using a deep learning method. For example, in speech processing, the cocktail party problem is one of the most studied areas [5], which attempts to solve the problem of separating each person's voice in a waveform of a mixture of voices of a plurality of persons. Similar tasks are performed in music processing, where the different instruments that make up a song are separated from the vocal part, all belonging to the multi-channel blind deconvolution problem [6 ]. Many deep learning approaches are successfully utilized and address such problems. Jansson et al successfully isolated human voices and different instrument parts in music by applying the structure network to a music spectrogram with reference to a U-Net model structure [7] in the field of image segmentation [8 ]. Daniel et al propose a Wave-U-Net structure based on this to improve the phase information lost when Fourier transform is performed on music [9] directly in the frequency domain. Li et al proposed TF-Attention-Net [10] to apply the Attention mechanism to this type of problem.
[1]Chabriel G,Kleinsteuber M,Moreau E,et al.Joint matricesdecompositions and blind source separation:A survey of methods,identification,and applications[J].IEEE Signal Processing Magazine,2014,31(3):34-43.
[2]Jutten C,Herault J.Blind separation of sources,part I:An adaptivealgorithm based on neuromimetic architecture[J].Signal processing,1991,24(1):1-10.
[3]Comon P.Separation of stochastic processes[C]//Workshop on Higher-Order Spectral Analysis.IEEE,1989:174-179.
[4]Bell A J,Sejnowski T J.An information-maximization approach toblind separation and blind deconvolution[J].Neural computation,1995,7(6):1129-1159.
[5]Haykin S,Chen Z.The cocktail party problem[J].Neural computation,2005,17(9):1875-1902.
[6]Cardoso J F.Blind signal separation:statistical principles[J].Proceedings of the IEEE,1998,86(10):2009-2025.
[7]Ronneberger O,Fischer P,Brox T.U-net:Convolutional networks forbiomedical image segmentation[C]//International Conference on Medical imagecomputing and computer-assisted intervention.Springer,Cham,2015:234-241.
[8]Jansson A,Humphrey E,Montecchio N,et al.Singing voice separationwith deep U-Net convolutional networks[J].2017.
[9]Stoller D,Ewert S,Dixon S.Wave-u-net:A multi-scale neural networkfor end-to-end audio source separation[J].arXiv preprint arXiv:1806.03185,2018.
[10]Li T,Chen J,Hou H,et al.TF-Attention-Net:An End To End NeuralNetwork For Singing Voice Separation[J].arXiv preprint arXiv:1909.05746,2019.。
Disclosure of Invention
The invention aims to provide a method for accurately and quickly extracting characteristics and mining data of a signal under the condition of unknown physical characteristics of the signal, so that an echo signal generated by a plurality of targets can be separated into a plurality of echo signals generated by a single target.
The invention provides a method for extracting characteristics and mining data of signals, which is based on echo measurement data and adopts a deep learning information processing technology, and comprises the following specific steps:
(1) additionally generating echo data for each individual target as a tag for separating echoes, on the basis of echoes originally generated jointly by a plurality of targets;
(2) constructing a basic residual block, wherein the structure of the basic residual block comprises: three one-dimensional convolutions, one ReLU activation function, two batch regularization functions, and one maximum pooling layer; as shown in fig. 1;
(3) respectively linking 12 basic residual blocks into an encoder and a decoder, using one-dimensional convolution to link, and finally using cross-layer link between the same abstract levels of the encoder and the decoder to form a complete deep learning network;
(4) dividing a training set, a verification set and a test set on the complete data set according to the ratio of 8:1:1 and different relative postures under the same target position;
(5) for the deep learning network, firstly, training is carried out on a training set for multiple times, then, the learning rate is reduced, the training is carried out on the training set, the performance is verified on a verification set, the training is stopped after a certain condition is met, and the best network model on the verification set is output.
In step (1) of the present invention, the process of additionally generating a single target echo comprises: for a given target position and target pose, say k targets, to generate an echo from the first target alone, the position and relative pose of the first target is saved, while the other targets are removed to generate a tag corresponding to the target. Such a process is repeated k times to obtain all the tags.
In step (2) of the present invention, because the amplitude distribution of the echo signal to be processed is not uniform compared to the common sound signal, the network needs a deeper layer number and more neurons to obtain a stronger nonlinear expression capability. The deeper layers easily cause the gradient to explode or disappear, so that each layer needs to use a residual mode. Let x denote our input in the form of N x C L, which respectively denotes the number of samples (also called batch number of samples, which N samples together make up a batch), the number of channels and the length; f denotes a layer in the network, and the use of the residual error changes the output of this layer from f (x) to x + f (x). However, if this is done, the number of output channels cannot be changed, because if more neurons are used, the number of channels f (x) is greater than x, and thus direct addition cannot be achieved.
There are therefore two paths within the basic residual block, one path, called the mapping path, intended to map the input signal directly into a higher dimensional space with a higher number of channels, and it is desirable to obtain a higher dimensional representation that is easier to handle. While the other path, called the residual path, is intended to learn the residual between the high-dimensional representation obtained in the previous path and the better one.
In the mapping path, due to strong timing correlation of echo signals, a one-dimensional convolution is used to obtain timing information and change the number of input channels, and the one-dimensional convolution is represented by conv _ f. In order to realize the residual addition, the step size is set according to the kernel size of the previous convolution (the kernel size used by the invention is 3, and the step size is 1), so that the input length is ensured to be unchanged, and the residual addition can be directly added with the output of the residual path. Let conv _ f (x) denote the mapping we get.
In the residual pathway, two identical structures are reused for the expression of capacity, and are described in detail below:
(a) similarly, to obtain timing information, the input is first subjected to a one-dimensional convolution, denoted by conv _ 1.
(b) Again using a linear rectification function (rectifiedlireunit) as the activation function, a neuron-like mechanism forces the part of the result that is smaller than 0 to be 0, which part does not involve a gradient back-pass, denoted relu _ 1.
(c) For training purposes, a batch regularization (Batchnormalization) is used, denoted by bn _ 1. Because the input and output are relative to a batch, batch regularization maps all samples in the batch to a mean value of 0 and a variance of 1, which speeds up network training.
The input passes through the above paths (a), (b) and (c) twice, the one-dimensional convolution in the second time, the activation function and the batch regularization function are respectively represented by conv _2, relu _2 and bn _2, and the obtained residual is represented by res (x).
Finally, a maximum pooling level is used to obtain the final result, i.e. a sliding window is set on the input and the maximum value in the window is output, and the input of the pooling level is conv _ f (x) + res (x). The role of the pooling layer is to reduce the number of parameters while preserving significant features, denoted by MaxPool.
The whole basic residual block is schematically shown in the attached figure 1, and the algorithm pseudo code of the basic residual block is shown in the attached appendix 1.
In step (3), the method for forming the complete network is that firstly L (10 can be particularly taken) basic residual blocks are taken to form an encoder in an end-to-end mode, and the first passing basic residual block is numbered as 1 (using f) according to the sequence of input passing1Indicating, otherwise, the same) that the last passed basic residual block is numbered L.
This is then subjected to a one-dimensional convolution, denoted conv _ med, intended to process the encoded features to the following decoder. Then, taking L basic residual blocks, forming a decoder according to the end-to-end mode, the number sequence is opposite to that of the encoder, and the first passing basic residual block is numbered as L (using h)LRepresenting, otherwise) the last one is 1. Note that the input here is the feature subjected to the aforementioned one-dimensional convolution processing.
Finally, cross-linking of the encoder and decoder is established. For a basic residual block numbered i by the decoder, if i < L, i.e., not the first passing basic residual block, the input is the encoder residual block output numbered i, and the along-the-channel of the decoder residual block numbered i +1 (i.e., the last passing decoder residual block) is pieced together; if i is L, it is pieced together with the output from conv _ med as input.
The schematic diagram of the whole deep learning network is shown in the attached figure 2, and the pseudo code of the algorithm of the deep learning network is shown in the attached appendix 2.
In step (4) of the invention, the data in the data set is in the form that each file corresponds to a multi-target situation, for example, there are three targets, then there is a collected echo for the relative angles between different targets and the radar, and there are also multiple echoes generated by a single target in step (1) as tags. To take care of a variety of situations, each file is internally divided into a training set, a validation set, and a test set in a ratio of 8 to 1 when the validation set is divided.
In step (5), the network is trained by randomly dividing the data in the training set into a plurality of batches, each batch consisting of 64 echo signals. In general, the final network model is the network model that performs best on the validation set, but there is no explicit optimal way as to when to stop training. The method of the invention divides the training network into two stages, the first stage adopts relatively high learning rate, which is to estimate reasonable training times from the loss transformation curve, and in addition, the higher learning rate can reduce the probability of reaching the saddle point. Specifically, we use an Adam optimizer with a learning rate of 0.001, beta 1-0.9, and beta 2-0.999. Run only iterations (say 1000 times) on the training set, make a gradient pass-back with MSE (MeanSquareError) as the loss function, the expression is as follows:
MSE(Zi,Yi)=||Zi-Yi||2
here, ZiAnd YiRepresents the ith input and output;
the second phase uses a lower learning rate, which is to fine tune the model. The difference from the first stage is that the learning rate is reduced to 0.0001, and furthermore, the iteration is run on the training set (e.g. 1000 times), the same loss function is still used, then the performance is evaluated on the verification set every 5 times, if the performance does not improve within 50 iterations, the model is considered to have converged, the training is stopped and the historical best model is output.
In the invention, two indexes for actually evaluating the network performance are provided, one is the relative error of the peak value size, and the other is the relative error of the peak value relative position, and if the two relative errors are within fifteen percent, the qualification is carried out.
An accurate definition of these two performance indicators is given below, first defining the peak of the signal X (here and after X is assumed to be a tensor of only one dimension in length) as:
φ(X)=max(X)
the peak position of the signal X is then defined as:
P(X)=argmax(X)
then the relative error in peak magnitude is:
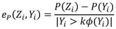
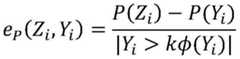
Figure BDA0002313470580000051
the relative error in peak position is:
Figure BDA0002313470580000052
note that the denominator here means the length of occurrence of a defined peak, i.e. the number of points in the whole wave band which are greater than a certain proportion of the peak, where the certain proportion is denoted by k, and the specific implementation is 0.01.
Since the evaluation index is only related to a certain maximum point of the peak, it is required that the input parameters of these evaluation indexes have only one distinct peak, which is otherwise meaningless. This is why the echo of a single object is extracted, since such an echo necessarily has only one distinct peak.
This also results in that the gradient feedback directly by the evaluation index tends to distort the separated signal at other points, so that the MSE (MeanSquareeror) is used as the loss function for the gradient feedback in the first stage. In a specific operation, the gradient can be smoothed by taking the mean value according to the number of batches of samples or the signal length. The reason for using such a loss function to perform gradient feedback is mainly to make all points of the output signal as close to the tag as possible, so that the output has more reliability.
The pseudo code of the algorithm for training the deep learning network is shown in appendix 3.
The method can well separate the echoes generated by different targets from the echoes commonly generated by a plurality of targets, so that the model can well learn the characteristics of the echoes generated by the targets, thereby extracting a plurality of relatively simple echoes generated by a single target.
Drawings
Fig. 1 is a diagram of a basic residual block structure.
FIG. 2 is a schematic representation of the model structure of the present invention.
Fig. 3 shows an example of input data. Wherein, (a) represents an echo signal generated by three targets, and (b), (c), and (d) represent echo signals generated by three targets, respectively.
FIG. 4 is a sample presentation of the present invention showing the visualization of the predicted results. (a) In (f), each row represents a predicted echo and label from left to right (e.g., (b), (c), (d) in fig. 3).
Detailed Description
Having introduced the algorithmic principles and the specific steps of the present invention, the effect of the signal separation test on simulation data is shown below.
The data set used for the experiment was derived from 802 generated frequency band-specific echo data for three targets. There were 428 target positions, 24 relative poses, and a total of 10272 samples.
In the test, the peak amplitude relative error (e) is adoptedφ) Peak position relative error (e)P) Two indexes are used for measuring the experimental effect, wherein the first two relative errors are generally within 15% and have practical application value.
Experimental example 1: 20 random samples
I denotes the sample number, H denotes the peak amplitude relative error, P denotes the peak position relative error, and the following numbers indicate relative to the several targets. For example, H1 represents the relative error in the amplitude of the predicted first target echo signal and the actual echo signal. The numbers marked in bold indicate that the indicator is not acceptable.
Table 1: performance of the algorithm over 20 random samples
Figure BDA0002313470580000061
Figure BDA0002313470580000071
From the results of the random extraction it can be seen that:
1. the mean peak error generated by the model is 8.455% at the maximum.
2. The model generated average peak position error is only 5.761% at the maximum.
3. The model behavior can in some cases present an over-fitting problem, since the robustness of the model is reduced when the data is highly noisy. But from experimental results, in most cases, has good predictive performance. We will solve this problem in the next step of the study by augmenting the data and improving the robustness of the model.
Experimental example 2: all samples
Table 2: performance of the algorithm on all samples
H1P1H2P2H3P3
Mean value (%)8.3808.3966.7397.0647.6846.775
Standard deviation of0.1040.1630.0990.2100.1110.146
From the absolute value of the error, the average peak difference is 0.0004, and the average position difference is 1.436, where the unit of the peak difference is the signal strength and the position difference is one step (0.01 m). In addition, for random sample input, the output which is qualified for the relative error of the peak is obtained with 87.208% probability, the output which is qualified for the relative position error of the peak is obtained with 84.820% probability, and the evaluation index within 15% is better reached.
Appendix 1: algorithm pseudo code for basic residual block
Input of X
f=conv_f(X)
t=conv_1(X)
t=relu_1(t)
t=bn_1(t)
t=conv_2(t)
t=relu_2(t)
res=bn_2(t)
t=f+res
output=MaxPool(t)
returnoutput
Appendix 2: algorithmic pseudo code for deep learning networks
Figure BDA0002313470580000081
Appendix 3: algorithm pseudo code for training deep learning networks
Figure BDA0002313470580000082
Figure BDA0002313470580000091

Claims (6)

1. A signal feature extraction and data mining method based on echo measurement data is characterized in that a deep learning information processing technology is adopted, and the method comprises the following specific steps:
(1) additionally generating echo data for each individual target as a tag for separating echoes, on the basis of echoes originally generated jointly by a plurality of targets;
(2) constructing a basic residual block, wherein the structure of the basic residual block comprises: three one-dimensional convolutions, one ReLU activation function, two batch regularization functions, and one maximum pooling layer;
(3) respectively linking 12 basic residual blocks into an encoder and a decoder, using one-dimensional convolution to link, and finally using cross-layer link between the same abstract levels of the encoder and the decoder to form a complete deep learning network;
(4) dividing a training set, a verification set and a test set on the complete data set according to the ratio of 8:1:1 and different relative postures under the same target position;
(5) for the deep learning network, firstly, training is carried out on a training set for multiple times, then, the learning rate is reduced, the training is carried out on the training set, the performance is verified on a verification set, the training is stopped after a certain condition is met, and the best network model on the verification set is output.
2. The method for signal feature extraction and data mining based on echo measurement data according to claim 1, wherein the additional procedure for generating a single target echo in step (1) is as follows: for a given target position and target posture, k targets are set, echo generated by the first target independently is generated, the position and the relative posture of the first target are stored, and other targets are removed to generate a label corresponding to the target; this process was repeated k times to obtain all the tags.
3. The method of claim 2, wherein two paths are provided in the basic residual block in step (2): one path is called a mapping path and is used for directly mapping the input signal to a high-dimensional space with more channels so as to obtain a high-dimensional representation which is easier to process; the other path is called a residual path and is used for learning the residual between the high-dimensional representation obtained in the previous path and the better high-dimensional representation;
in a mapping path, due to strong time sequence correlation of echo signals, a one-dimensional convolution is used for obtaining time sequence information and changing the number of input channels, and the one-dimensional convolution is represented by conv _ f; in order to realize the residual addition, the step size is set according to the kernel size of the convolution in the prior art, the input length is ensured to be unchanged, and the step size can be directly added with the output of a residual path, and the obtained mapping is represented by conv _ f (x);
in the residual path, two identical structures are reused, which are described in detail below:
(a) similarly, in order to obtain time sequence information, the input is firstly subjected to one-dimensional convolution and is represented by conv _ 1;
(b) then, a linear rectification function is used as an activation function, the part which is smaller than 0 in the result is forcibly set to be 0, the part does not relate to gradient postback and is represented by relu _ 1;
(c) for the convenience of training, a batch of regularization is used, and is represented by bn _ 1; because the input and the output are relative to a batch, the batch regularization is to map all samples in the batch to map the mean value to 0 and the variance to 1 so as to accelerate the network training;
the input passes through the paths (a), (b) and (c) above twice, the one-dimensional convolution in the second time is used for activating the function, the batch regularization function is respectively represented by conv _2, relu _2 and bn _2, the obtained residual is represented by res (x);
finally, a maximum pooling layer is used to obtain the final result, i.e. a sliding window is set on the input, and the maximum value in the window is output, wherein the input of the pooling layer is conv _ f (x) + res (x); the role of the pooling layer is to reduce the number of parameters while preserving significant features, denoted by MaxPool.
4. The method for signal feature extraction and data mining based on echo measurement data according to claim 3, wherein the method for forming the complete network in step (3) is as follows: firstly taking L basic residual blocks, forming an encoder according to a head-to-tail connection mode, numbering a first passing basic residual block as 1 according to the sequence of input passes, and using f1Showing, other similar reason; the last passing basic residual block is numbered L;
then, after a one-dimensional convolution, indicated by conv _ med, the one-dimensional convolution is used for processing the coded features to a subsequent decoder; then, taking L basic residual blocks, forming a decoder according to the end-to-end mode, the number sequence is opposite to that of the encoder, numbering the first passing basic residual block as L, and using hLShowing, other similar reason; the last one is 1; the input here is the aforementioned feature after one-dimensional convolution processing;
finally, establishing a cross link of the encoder and the decoder; for the basic residual block with the decoder number i, if i < L, i.e. not the first passing basic residual block, the input is the output of the encoder residual block with the number i, and the input is spliced with the channel of the decoder residual block with the number i + 1; if i is L, it is pieced together with the output from conv _ med as input.
5. The method for signal feature extraction and data mining based on echo measurement data according to claim 4, wherein in the step (5), the network is trained by randomly dividing the data in the training set into a plurality of batches, each batch consisting of 64 echo signals; the training network is divided into two stages:
the first stage uses an Adam optimizer with a higher learning rate, i.e., a learning rate between 0.001, beta1 equal to 0.9, and beta2 equal to 0.999; only running iteration on the training set, and taking MSE as a loss function to carry out gradient pass-back, wherein the expression is as follows:
MSE(Zi,Yi)=||Zi-Yi||2
the second stage uses a lower learning rate, which differs from the first stage in that the learning rate is reduced to 0.0001, and furthermore, the iteration is run on the training set, the same loss function is still used, then the performance is evaluated on the verification set every 5 times, if the performance is not improved within 50 iterations, the model is considered to be converged, the training is stopped, and the historical best model is output.
6. The method for extracting signal characteristics and mining data based on echo measurement data according to claim 5, wherein in the step (5), two training network indexes are evaluated, one is a relative error of the size of the peak value, and the other is a relative error of the relative position of the peak value, and if the two relative errors are within fifteen percent, the evaluation is qualified;
the following gives an accurate definition of two performance indicators, first defining the peak value of signal X as:
φ(X)=max(X)
here, the signal X and the following X are assumed to be tensors with only one dimension of length;
the peak position of the signal X is then defined as:
P(X)=argmax(X)
then the relative error in peak magnitude is:
Figure FDA0002313470570000031
the relative error in peak position is:
Figure FDA0002313470570000032
the denominator means the length of the peak, i.e. the number of points in the whole wave band which are greater than the peak by a certain proportion, and k is used for representing the certain proportion;
the evaluation index is only related to a certain maximum point of the wave crest, so that the input parameter of the evaluation index only has an obvious wave crest;
smoothing the gradient by averaging according to the number of batch samples or the signal length; the loss function is used for gradient return, all points of an output signal are close to a label as much as possible, and the output has higher reliability.
CN201911268281.8A2019-12-112019-12-11Signal characteristic extraction and data mining method based on echo measurement dataActiveCN111126199B (en)

Priority Applications (1)

Application NumberPriority DateFiling DateTitle
CN201911268281.8ACN111126199B (en)2019-12-112019-12-11Signal characteristic extraction and data mining method based on echo measurement data

Applications Claiming Priority (1)

Application NumberPriority DateFiling DateTitle
CN201911268281.8ACN111126199B (en)2019-12-112019-12-11Signal characteristic extraction and data mining method based on echo measurement data

Publications (2)

Publication NumberPublication Date
CN111126199Atrue CN111126199A (en)2020-05-08
CN111126199B CN111126199B (en)2023-05-30

Family

ID=70498598

Family Applications (1)

Application NumberTitlePriority DateFiling Date
CN201911268281.8AActiveCN111126199B (en)2019-12-112019-12-11Signal characteristic extraction and data mining method based on echo measurement data

Country Status (1)

CountryLink
CN (1)CN111126199B (en)

Cited By (2)

* Cited by examiner, † Cited by third party
Publication numberPriority datePublication dateAssigneeTitle
CN114091619A (en)*2021-11-302022-02-25上海无线电设备研究所Bullet and target intersection echo peak value feature modeling method based on deep learning
CN116962122A (en)*2023-07-312023-10-27电子科技大学Single-channel blind source separation and noise parameter estimation method based on U-net++

Citations (14)

* Cited by examiner, † Cited by third party
Publication numberPriority datePublication dateAssigneeTitle
US5706402A (en)*1994-11-291998-01-06The Salk Institute For Biological StudiesBlind signal processing system employing information maximization to recover unknown signals through unsupervised minimization of output redundancy
CN107064894A (en)*2017-01-112017-08-18南京御达电信息技术有限公司A kind of clutter suppression method based on deep learning
CN108229404A (en)*2018-01-092018-06-29东南大学A kind of radar echo signal target identification method based on deep learning
CN109036460A (en)*2018-08-282018-12-18百度在线网络技术(北京)有限公司Method of speech processing and device based on multi-model neural network
CN109034070A (en)*2018-07-272018-12-18河南师范大学A kind of displacement aliased image blind separating method and device
CN109614943A (en)*2018-12-172019-04-12电子科技大学 A Feature Extraction Method for Blind Source Separation
US20190114462A1 (en)*2017-10-152019-04-18Alethio Co.Signal translation system and signal translation method
CN109871882A (en)*2019-01-242019-06-11重庆邮电大学 An EEG Signal Classification Method Based on Gaussian Bernoulli Convolutional Deep Belief Network
CN110007366A (en)*2019-03-042019-07-12中国科学院深圳先进技术研究院A kind of life searching method and system based on Multi-sensor Fusion
CN110045419A (en)*2019-05-212019-07-23西南石油大学A kind of perceptron residual error autoencoder network seismic data denoising method
CN110073301A (en)*2017-08-022019-07-30强力物联网投资组合2016有限公司The detection method and system under data collection environment in industrial Internet of Things with large data sets
CN110321810A (en)*2019-06-142019-10-11华南师范大学Single channel signal two-way separation method, device, storage medium and processor
CN110333489A (en)*2019-07-242019-10-15北京航空航天大学 The processing method of SAR echo data sidelobe suppression using CNN and RSVA combination
CN110428424A (en)*2019-07-022019-11-08中国航空工业集团公司雷华电子技术研究所Radar echo map image height crimping dividing method based on deep learning

Patent Citations (14)

* Cited by examiner, † Cited by third party
Publication numberPriority datePublication dateAssigneeTitle
US5706402A (en)*1994-11-291998-01-06The Salk Institute For Biological StudiesBlind signal processing system employing information maximization to recover unknown signals through unsupervised minimization of output redundancy
CN107064894A (en)*2017-01-112017-08-18南京御达电信息技术有限公司A kind of clutter suppression method based on deep learning
CN110073301A (en)*2017-08-022019-07-30强力物联网投资组合2016有限公司The detection method and system under data collection environment in industrial Internet of Things with large data sets
US20190114462A1 (en)*2017-10-152019-04-18Alethio Co.Signal translation system and signal translation method
CN108229404A (en)*2018-01-092018-06-29东南大学A kind of radar echo signal target identification method based on deep learning
CN109034070A (en)*2018-07-272018-12-18河南师范大学A kind of displacement aliased image blind separating method and device
CN109036460A (en)*2018-08-282018-12-18百度在线网络技术(北京)有限公司Method of speech processing and device based on multi-model neural network
CN109614943A (en)*2018-12-172019-04-12电子科技大学 A Feature Extraction Method for Blind Source Separation
CN109871882A (en)*2019-01-242019-06-11重庆邮电大学 An EEG Signal Classification Method Based on Gaussian Bernoulli Convolutional Deep Belief Network
CN110007366A (en)*2019-03-042019-07-12中国科学院深圳先进技术研究院A kind of life searching method and system based on Multi-sensor Fusion
CN110045419A (en)*2019-05-212019-07-23西南石油大学A kind of perceptron residual error autoencoder network seismic data denoising method
CN110321810A (en)*2019-06-142019-10-11华南师范大学Single channel signal two-way separation method, device, storage medium and processor
CN110428424A (en)*2019-07-022019-11-08中国航空工业集团公司雷华电子技术研究所Radar echo map image height crimping dividing method based on deep learning
CN110333489A (en)*2019-07-242019-10-15北京航空航天大学 The processing method of SAR echo data sidelobe suppression using CNN and RSVA combination

Non-Patent Citations (2)

* Cited by examiner, † Cited by third party
Title
马红强;马时平;许悦雷;吕超;朱明明;: "基于改进栈式稀疏去噪自编码器的自适应图像去噪"*
马红强;马时平;许悦雷;吕超;朱明明;: "基于改进栈式稀疏去噪自编码器的自适应图像去噪", 光学学报*

Cited By (3)

* Cited by examiner, † Cited by third party
Publication numberPriority datePublication dateAssigneeTitle
CN114091619A (en)*2021-11-302022-02-25上海无线电设备研究所Bullet and target intersection echo peak value feature modeling method based on deep learning
CN114091619B (en)*2021-11-302025-06-27上海无线电设备研究所 A method for modeling the peak characteristics of missile-target encounter echo based on deep learning
CN116962122A (en)*2023-07-312023-10-27电子科技大学Single-channel blind source separation and noise parameter estimation method based on U-net++

Also Published As

Publication numberPublication date
CN111126199B (en)2023-05-30

Similar Documents

PublicationPublication DateTitle
CN107564513B (en)Voice recognition method and device
CN109471074B (en) Radar Radiator Identification Method Based on Singular Value Decomposition and One-dimensional CNN Network
CN114913379B (en)Remote sensing image small sample scene classification method based on multitasking dynamic contrast learning
CN106056141A (en)Target recognition and angle coarse estimation algorithm using space sparse coding
CN102945670A (en)Multi-environment characteristic compensation method for voice recognition system
CN113962265B (en) Underdetermined blind source separation method and device based on structured sparse subspace clustering
Zhou et al.Immune K-SVD algorithm for dictionary learning in speech denoising
CN111126199A (en)Signal feature extraction and data mining method based on echo measurement data
CN112861066A (en)Machine learning and FFT (fast Fourier transform) -based blind source separation information source number parallel estimation method
Zhang et al.Temporal Transformer Networks for Acoustic Scene Classification.
CN118262741A (en) A ship radiated noise target recognition method integrating attention mechanism
CN114818789B (en) A method for identifying ship radiated noise based on data enhancement
CN109034238A (en)A kind of clustering method based on comentropy
Yang et al.A sparse SVD method for high-dimensional data
CN118884439B (en)SAR vessel detection method based on multi-scale feature extraction and FRFT convolution
CN120067913A (en)Radio frequency signal classification method and system for dynamic evolution and periodic structure double-flow cross attention fusion
CN115294414A (en) A new method of transforming time series data to two-dimensional image based on Shapelet Transform feature extraction
CN113011346A (en)Radiation source unknown signal identification method based on metric learning
Kalkan et al.Online feature selection and classification
Muñoz-Romero et al.Nonnegative OPLS for supervised design of filter banks: application to image and audio feature extraction
CN112818831B (en)Hyperspectral image classification algorithm based on band clustering and improved domain transformation recursive filtering
CN109308491A (en) An improved multi-class support vector machine method for state detection of multi-station cold heading machine
CN115761325A (en)Air target self-adaptive segmented track identification method and system based on Softmax multi-classification network
Sari et al.Texture defect detection using independent vector analysis in wavelet domain
Sun et al.Single-channel blind source separation based on joint dictionary with common sub-dictionary

Legal Events

DateCodeTitleDescription
PB01Publication
PB01Publication
SE01Entry into force of request for substantive examination
SE01Entry into force of request for substantive examination
GR01Patent grant
GR01Patent grant

[8]ページ先頭

©2009-2025 Movatter.jp