Movatterモバイル変換


[0]ホーム

URL:


CN111123334A - A multi-vehicle cooperative positioning platform and positioning method under extreme working conditions - Google Patents

A multi-vehicle cooperative positioning platform and positioning method under extreme working conditions
Download PDF

Info

Publication number
CN111123334A
CN111123334ACN201910664988.4ACN201910664988ACN111123334ACN 111123334 ACN111123334 ACN 111123334ACN 201910664988 ACN201910664988 ACN 201910664988ACN 111123334 ACN111123334 ACN 111123334A
Authority
CN
China
Prior art keywords
vehicle
positioning
road
base station
information
Prior art date
Legal status (The legal status is an assumption and is not a legal conclusion. Google has not performed a legal analysis and makes no representation as to the accuracy of the status listed.)
Granted
Application number
CN201910664988.4A
Other languages
Chinese (zh)
Other versions
CN111123334B (en
Inventor
殷国栋
王法安
庄伟超
梁晋豪
董昊轩
汪*
刘赢
卢彦博
Current Assignee (The listed assignees may be inaccurate. Google has not performed a legal analysis and makes no representation or warranty as to the accuracy of the list.)
Southeast University
Original Assignee
Southeast University
Priority date (The priority date is an assumption and is not a legal conclusion. Google has not performed a legal analysis and makes no representation as to the accuracy of the date listed.)
Filing date
Publication date
Application filed by Southeast UniversityfiledCriticalSoutheast University
Priority to CN201910664988.4ApriorityCriticalpatent/CN111123334B/en
Publication of CN111123334ApublicationCriticalpatent/CN111123334A/en
Application grantedgrantedCritical
Publication of CN111123334BpublicationCriticalpatent/CN111123334B/en
Activelegal-statusCriticalCurrent
Anticipated expirationlegal-statusCritical

Links

Images

Classifications

Landscapes

Abstract

Translated fromChinese

本发明涉及一种极限工况下多车协同定位平台及定位方法,定位平台包括在极限工况情况下互相协作实现车辆精准定位的通信装置、车载装置、路侧装置以及卫星组;通信装置为位于网络中的车辆提供实时信号;车载装置安装在位于网络中的车辆上,其实时接收通信装置的信息以及相邻其他车辆的位置信息;路侧装置布设在道路两侧,其为车载装置实时提供道路两侧固定物的信息;卫星组为位于网络中的车辆在优质路况上提供道路级车辆定位,为位于网络中的车辆在极限工况下提供绝对定位,同时为车载装置、路侧装置提供辅助定位;本发明在极限工况下能够实时的完成道路与环境感知准确定位,为智能网联汽车的发展与交通道路系统的改善提供了强有力的基础。

Figure 201910664988

The invention relates to a multi-vehicle collaborative positioning platform and positioning method under extreme working conditions. The positioning platform includes a communication device, a vehicle-mounted device, a roadside device and a satellite group that cooperate with each other to realize precise vehicle positioning under extreme working conditions; the communication device is The vehicles located in the network provide real-time signals; the vehicle-mounted devices are installed on the vehicles located in the network, which receive the information of the communication device and the location information of other adjacent vehicles in real time; the roadside devices are arranged on both sides of the road, which are the real-time Provide information on fixed objects on both sides of the road; the satellite group provides road-level vehicle positioning for vehicles located in the network on high-quality road conditions, and provides absolute positioning for vehicles located in the network under extreme conditions. Provide auxiliary positioning; the invention can realize accurate positioning of road and environment perception in real time under extreme working conditions, which provides a strong foundation for the development of intelligent networked vehicles and the improvement of traffic road systems.

Figure 201910664988

Description

Multi-vehicle cooperative positioning platform and positioning method under limit working condition
Technical Field
The invention relates to a multi-vehicle cooperative positioning platform and a positioning method under a limit working condition, and belongs to the field of vehicle sensing.
Background
The multi-vehicle cooperative positioning is an important component of vehicle-road cooperation, the multi-vehicle cooperative positioning is used as a subsystem of the vehicle-road cooperation, the important component of cooperative research is obtained through multi-vehicle information interaction, and the multi-vehicle cooperative positioning is a new generation intelligent traffic cooperative key technology researched in countries of Europe and America.
The positioning of the vehicle under the limit working condition is greatly influenced and cannot be accurately positioned, so that the congestion of road traffic and the driving safety of the vehicle bring serious consequences, and a solid foundation is laid for accelerating the improvement of a traffic system and the development of intelligent networked automobiles, developing a multi-vehicle cooperative positioning and perfecting the traffic system and future unmanned vehicles.
Along with the continuous perfect of four major positioning systems, the location demonstrates the diversification, but do not have the high accuracy location that a location can independently accomplish the vehicle, the positioning accuracy of positioning system and the receiver in market is about 10 meters range more, current on-vehicle use GPS can't satisfy the high accuracy map, receive the influence of vehicle location, need to develop a many cars of extreme condition collaborative positioning platform, can solve the big difficult problem of vehicle positioning error, promote the development of intelligent networking car and the perfect of traffic system simultaneously, accelerate car-way-network system development, promote the whole development process of car networking.
Disclosure of Invention
The invention provides a multi-vehicle cooperative positioning platform and a positioning method under extreme conditions, which are used for completing the multi-vehicle cooperative positioning platform under the extreme conditions, can realize accurate road and environment sensing positioning of vehicles in real time under the extreme conditions, and provide a powerful basis for development of intelligent networked automobiles and improvement of traffic road systems.
The technical scheme adopted by the invention for solving the technical problems is as follows:
a multi-vehicle cooperative positioning platform under the limit working condition comprises a communication device, a vehicle-mounted device, a road side device and a satellite group, wherein the communication device, the vehicle-mounted device, the road side device and the satellite group are mutually cooperated under the limit working condition to realize accurate positioning of a vehicle;
the communication devices are positioned on two sides of a road and provide real-time signals for vehicles in the network;
the vehicle-mounted device is installed on a vehicle in the network and receives the information of the communication device and the position information of other adjacent vehicles in real time;
the roadside devices are arranged on two sides of the road and provide information of fixed objects on two sides of the road for the vehicle-mounted device in real time;
the satellite group provides road-level vehicle positioning for the vehicles in the network on high-quality road conditions, provides absolute positioning for the vehicles in the network under extreme working conditions, and provides auxiliary positioning for the vehicle-mounted device and the road side device;
as a further preferred aspect of the present invention,
the vehicles located in the network include three vehicles, a first vehicle, a second vehicle and a third vehicle,
the satellite group includes a first receiving satellite, a second receiving satellite and a third receiving satellite,
the communication device comprises a first base station, a second base station and a third base station, wherein the three base stations are communicated through buried optical cables to realize mutual communication, the first vehicle, the second vehicle and the third vehicle are simultaneously communicated with the first base station, the second base station and the third base station in pairs in real time, and the first base station, the second base station and the third base station simultaneously receive positioning signals of a satellite group in real time;
the vehicle-mounted device comprises base station receivers arranged at the head and the tail of the vehicle, the base station receivers are used for receiving base station signals matched with the corresponding vehicles and receiving positioning signals of satellite groups, and the vehicle-mounted device also comprises an information transmitter arranged on the vehicle and used for transmitting vehicle information,
the vehicle-mounted device also comprises radars which are arranged on vehicles, each vehicle is provided with four radars which are respectively a first radar, a second radar, a third radar and a fourth radar,
the vehicle-mounted device also comprises a laser scanner and an inertial navigation device which are arranged on the vehicle, wherein the inertial navigation device comprises a gyroscope and an accelerometer;
trees, high buildings, tunnels, underground parking lots, road traffic signs and fixed anchor points are distributed on two sides of a road, the road test device comprises road sending units positioned on two sides of the road, and the road sending units send fixed object information on two sides of the road to a vehicle-mounted device;
a positioning method of a multi-vehicle cooperative positioning platform under a limit working condition comprises the following steps:
the first step is as follows: the method comprises the steps that a first base station, a second base station and a third base station acquire positioning signals sent by a satellite group in real time, acquire base station positioning values in different environments, and finally acquire positioning point information of each vehicle through vehicle-to-vehicle communication, TOA and AOA;
the second step is that: receiving position information of a first base station, a second base station and a third base station through base station receivers arranged at the head and the tail of a vehicle, namely acquiring absolute road-level positioning of the vehicle under the condition of extreme working conditions, and calculating time, distance and direction angle of the vehicle to a positioning point through vehicle-to-vehicle communication, TOA and AOA by combining four radars arranged on each vehicle;
the third step: projecting the acquired absolute road level positioning information to a road traffic network database, acquiring horizontal and vertical position information of the vehicle in real time, and acquiring relative positioning precision information of an elevation of the vehicle under the condition of an extreme working condition;
the fourth step: obtaining relative positioning precision information of each vehicle, transmitting the information to adjacent vehicles in real time through an information transmitter, and receiving the information transmitted by the adjacent vehicles through a base station receiver to finally obtain the relative meter-level positioning precision of the vehicles under the condition of extreme working conditions, wherein the meter-level range is between 1m and 10 m;
the fifth step: under meter-level positioning accuracy, a road sending unit transmits information of all detected fixed objects on two sides of a road to a vehicle-mounted device of each vehicle for real-time fusion of regional information, the vehicle which receives the information firstly transmits the information to the rest vehicles through an information transmitter, the rest vehicles perform accurate meter-level positioning of the vehicle according to the acquired information, the accurate meter-level range is 10cm-50cm, and after all the information is acquired, driving plan planning is performed;
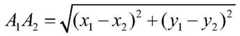
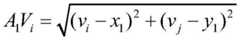
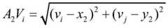
as a further preferred aspect of the present invention, in the first step, the locating point information of each vehicle is obtained, and the specific steps are as follows: taking the obtaining of the first vehicle location point information as an example:
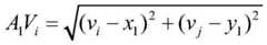
setting the coordinates of the first base station and the second base station as known points A respectively1=(x1,y1)、A2=(x2,y2) Setting the coordinates of the first vehicle to Vn=(vi,vj) Obtaining the distance between vehicles through vehicle-to-vehicle communication, TOA and AOA, namely A1A2、A1Vi、A2ViAccording to a setpoint formula of the first vehicle
Figure BDA0002139795840000031
Figure BDA0002139795840000032
Figure BDA0002139795840000033
Obtaining a location point V of a first vehiclen=(vi,vj);
As a further preferred aspect of the present invention, in the second step, the time, the distance, and the direction angle of the vehicle driving to the positioning point are calculated, and the specific steps are as follows:
setting the speed of the vehicle as the uniform speed S and the time as t under the condition of GPS interruption of the vehicle1Time at interrupt condition t2Calculating the real-time driving distance obtained by absolute road level positioning plus S (t) under the condition of road interruption2-t1) Is the distance after the interrupt is located;
the direction angle is the azimuth angle of the vehicle in the geographic position, the vehicle runs on the road straight, and the geographic position of the road is the azimuth angle of the driving road of the vehicle;
the time when the vehicle runs to the positioning point is obtained by sending the initial running time through the information transmitter and receiving the time difference between the initial running time and the time when the vehicle reaches the positioning point through the base station receiver;
as a further preferred embodiment of the present invention, the road traffic network database is a customized three-dimensional grid map database, and the computer is a plane when describing the electronic map road network database, each road is formed by a set of two-dimensional curves, wherein each curve of each road section is formed by vertices at two ends and a series of nodes in the middle, that is, the whole traffic road network is a topological connection graph formed by at least two vertices and at least one straight line section between the two vertices.
Through the technical scheme, compared with the prior art, the invention has the following beneficial effects:
1. according to the invention, when the vehicle runs on a road with a good environment, the fused accurate positioning information of the communication device, the road side device and the satellite group can be received in real time, centimeter-level positioning can be still obtained when the vehicle runs under the extreme working condition environment, and the problem of signal interruption of the GPS interruption condition of the current vehicle is solved;
2. the cooperative positioning platform has self-adaptability, can monitor signal interruption and larger positioning error of the GPS in real time, can automatically switch the platform to perform high-precision positioning, is reliable and compact to use and flexible to operate, and solves the difficulty of vehicle positioning;
3. the invention improves the problem of independent positioning of vehicles, realizes information exchange between the vehicles, integrally improves the integral level of the internet connection vehicle and the traffic road system, and lays a foundation for vehicle-road-network cooperative control.
Drawings
The invention is further illustrated with reference to the following figures and examples.
FIG. 1 is a schematic overall structure of a preferred embodiment of the present invention;
FIG. 2 is a schematic view of an in-vehicle device of a preferred embodiment of the present invention;
FIG. 3 is a schematic view of a roadside apparatus of a preferred embodiment of the present invention;
FIG. 4 is a schematic view of an inertial navigation device of a preferred embodiment of the present invention;
FIG. 5 is a diagram illustrating a computing structure for obtaining an anchor point according to a preferred embodiment of the present invention.
In the figure: 1 is a first base station, 2 is a second base station, 3 is a third base station, 4 is a first vehicle, 5 is a second vehicle, and 6 is a third vehicle.
Detailed Description
The present invention will now be described in further detail with reference to the accompanying drawings. These drawings are simplified schematic views illustrating only the basic structure of the present invention in a schematic manner, and thus show only the constitution related to the present invention.
As shown in fig. 1 to 5, the marker for describing the embodiment of the present invention includes: 1 is a first base station, 2 is a second base station, 3 is a third base station, 4 is a first vehicle, 5 is a second vehicle, and 6 is a third vehicle.
As shown in fig. 1, the multi-vehicle cooperative positioning platform under the extreme condition of the present invention includes a communication device, a vehicle-mounted device, a roadside device and a satellite group, which cooperate with each other to realize accurate positioning of a vehicle under the extreme condition;
the communication devices are positioned on two sides of a road and provide real-time signals for vehicles in the network;
as shown in fig. 2, the in-vehicle apparatus is mounted on a vehicle located in a network, and receives information of the communication apparatus and position information of other adjacent vehicles in real time;
as shown in fig. 3, the roadside devices are arranged on both sides of the road, and provide information of fixed objects on both sides of the road for the vehicle-mounted device in real time;
the satellite group provides road-level vehicle positioning for the vehicles in the network on high-quality road conditions, provides absolute positioning for the vehicles in the network under extreme working conditions, and provides auxiliary positioning for the vehicle-mounted device and the road side device;
example 1:
the vehicles located in the network are set to include three vehicles, a first vehicle, a second vehicle and a third vehicle,
the satellite group includes a first receiving satellite, a second receiving satellite and a third receiving satellite,
the communication device comprises a first base station, a second base station and a third base station, wherein the three base stations are communicated through buried optical cables to realize mutual communication, the first vehicle, the second vehicle and the third vehicle are simultaneously communicated with the first base station, the second base station and the third base station in pairs in real time, and the first base station, the second base station and the third base station simultaneously receive positioning signals of a satellite group in real time;
the vehicle-mounted device comprises base station receivers arranged at the head and the tail of the vehicle, the base station receivers are used for receiving base station signals matched with the corresponding vehicles and receiving positioning signals of satellite groups, and the vehicle-mounted device also comprises an information transmitter arranged on the vehicle and used for transmitting vehicle information,
the vehicle-mounted device also comprises radars which are arranged on vehicles, each vehicle is provided with four radars which are respectively a first radar, a second radar, a third radar and a fourth radar,
the onboard device also includes a laser scanner and an inertial navigation device mounted on the vehicle, the inertial navigation device including a gyroscope and an accelerometer, as shown in fig. 4;
trees, high buildings, tunnels, underground parking lots, road traffic signs and fixed anchor points are distributed on two sides of a road, the road test device comprises road sending units located on two sides of the road, and the road sending units send fixed object information on two sides of the road to a vehicle-mounted device.
The vehicle-mounted device also comprises a mobile smart phone positioned in the vehicle, when the vehicle is in a tunnel without GPS signals or in an indoor parking lot and other limit working conditions, absolute road-level positioning is obtained through information sending of the satellite group, the mobile smart phone in the vehicle receives positioning reference for the vehicle, four radars mounted on each vehicle jointly act to obtain the time, the distance and the direction angle of the vehicle to the positioning point, and the three are fused.
According to the inertial navigation device, the gyroscope and the accelerometer are used for realizing navigation based on the DR33 technology, the gyroscope and the accelerometer are both installed on the vehicle-mounted device, and when a vehicle runs under the limited working conditions of a tunnel, an underground parking lot and the like, the gyroscope and the accelerometer based on the DR33 technology are used for realizing positioning, and meanwhile, the gyroscope and the accelerometer form fusion real-time positioning with a vehicle-mounted GPS.
The working principle of the multi-vehicle cooperative positioning platform under the limit working condition is as follows:
when the system works, a vehicle runs under the extreme working condition weather of trees, high buildings, strong wind, fog, heavy rain and the like, zero drift errors exist in signals of a satellite group, or GPS signals are interrupted, so that a driver cannot obtain real-time accurate vehicle positioning signals, when the signals drift and are interrupted, each device of a platform is automatically switched and started, an inertial navigation device arranged on the vehicle is started, the absolute positioning accuracy of the vehicle can be received, powerful support is provided for accurate relative positioning accuracy of subsequent vehicles, meanwhile, a first vehicle, a second vehicle and a third vehicle respectively receive relative positions sent by a first base station, a second base station and a third base station, meanwhile, a first radar, a second radar, a third radar and a fourth radar of a vehicle-mounted device are arranged on each vehicle and detect road condition information, a TOA and an AOA acquire the time and the arrival angle of the vehicle at a target point, and a laser scanner acquires the positions of nearby vehicles, meanwhile, the base station receiver can obtain road-level positioning, the obtained road-level position information is projected to a road traffic network database, the horizontal and vertical position information of the vehicles can be obtained in real time, the positioning information of the elevation can be accurately realized when the vehicles run on an overpass and an overlapped road, the projection is carried out on all data to carry out fusion calculation by an extended Kalman filtering fusion algorithm, the fusion data is output and mutually transmitted to nearby vehicles, and each vehicle obtains relatively high-precision positioning data, meanwhile, the relative positions of the roadside device and the detection anchor point are calculated by the ion filtering algorithm, the positioning points such as traffic road signs are obtained, the final positions of the vehicles are obtained, accurate centimeter-level positioning can be obtained for the vehicle drivers, accurate positioning under the integral limit working condition of the platform is realized, and a higher research basis is provided for the development of intelligent internet automobiles and traffic road systems.
Example 2:
a positioning method of a multi-vehicle cooperative positioning platform under a limit working condition comprises the following steps:
the first step is as follows: the method comprises the steps that a first base station, a second base station and a third base station acquire positioning signals sent by a satellite group in real time, acquire base station positioning values in different environments, and finally acquire positioning point information of each vehicle through vehicle-to-vehicle communication, TOA and AOA;
the second step is that: receiving position information of a first base station, a second base station and a third base station through base station receivers arranged at the head and the tail of a vehicle, namely acquiring absolute road-level positioning of the vehicle under the condition of extreme working conditions, and calculating time, distance and direction angle of the vehicle to a positioning point through vehicle-to-vehicle communication, TOA and AOA by combining four radars arranged on each vehicle;
the third step: projecting the acquired absolute road level positioning information to a road traffic network database, acquiring horizontal and vertical position information of the vehicle in real time, and acquiring relative positioning precision information of an elevation of the vehicle under the condition of an extreme working condition;
the fourth step: obtaining relative positioning precision information of each vehicle, transmitting the information to adjacent vehicles in real time through an information transmitter, and receiving the information transmitted by the adjacent vehicles through a base station receiver to finally obtain the relative meter-level positioning precision of the vehicles under the condition of extreme working conditions, wherein the meter-level range is between 1m and 10 m;
the fifth step: under meter-level positioning accuracy, a road sending unit transmits information of detected fixed objects on two sides of a road to a vehicle-mounted device of each vehicle to fuse area information in real time, the vehicle which receives the information firstly transmits the information to the remaining vehicles through an information transmitter, the remaining vehicles perform accurate meter-level positioning of the vehicle according to the acquired information, the accurate meter-level range is 10cm-50cm, and after all the information is acquired, driving plan planning is performed.
Example 3:
in the first step inembodiment 2, as shown in fig. 5, the locating point information of each vehicle is obtained, and the specific steps are as follows: taking the obtaining of the first vehicle location point information as an example:
setting the coordinates of the first base station and the second base station as known points A respectively1=(x1,y1)、A2=(x2,y2) Setting the coordinates of the first vehicle to Vn=(vi,vj) Obtaining the distance between vehicles through vehicle-to-vehicle communication, TOA and AOA, namely A1A2、A1Vi、A2ViAccording to a setpoint formula of the first vehicle
Figure BDA0002139795840000061
Figure BDA0002139795840000062
Figure BDA0002139795840000071
Obtaining a location point V of a first vehiclen=(vi,vj);
The positioning points of the remaining vehicles can be obtained according to the method.
Example 4:
in the second step ofembodiment 2, the time, distance and direction angle from the vehicle to the positioning point are calculated, and the specific steps are as follows:
setting the speed of the vehicle as the uniform speed S and the time as t under the condition of GPS interruption of the vehicle1Time at interrupt condition t2Calculating the real-time driving distance obtained by absolute road level positioning plus S (t) under the condition of road interruption2-t1) Is the distance after the interrupt is located;
the direction angle is the azimuth angle of the vehicle in the geographic position, the vehicle runs on the road straight, and the geographic position of the road is the azimuth angle of the driving road of the vehicle;
the time when the vehicle runs to the positioning point is obtained by sending the initial running time through the information transmitter and receiving the time difference between the initial running time and the time when the vehicle reaches the positioning point through the base station receiver;
obtaining the relative positioning accuracy of one vehicle, wherein the devices of the rest vehicles are the same as the relative positioning accuracy of the rest vehicles, transmitting the obtained information to the adjacent vehicle in real time through an information transmitter, and simultaneously receiving the information transmitted by the adjacent vehicle through a base station receiver to finally obtain the relative meter-level positioning accuracy of the vehicle under the conditions of extreme working conditions and no GPS, wherein the meter-level range is between 1m and 10 m;
example 5:
in the fifth step ofembodiment 2, under meter-level positioning accuracy, the information of each fixed object on both sides of the road detected by the road sending unit includes fixed anchor points which can be sensed and acquired when the vehicle enters trees, high-rise buildings, tunnels and underground parking lots under extreme conditions, the base station receiver sends the sensed signals to the vehicle-mounted device, meanwhile, the road side device detects the road traffic sign, the road sending unit sends the road traffic information to the vehicle-mounted device at the same time, various information under the condition of relative meter-level positioning is fused, the regional information is fused in real time, the vehicle which receives the information firstly transmits the information to other vehicles, other vehicles can carry out the accurate decimeter-level positioning of the sending vehicle according to the acquired information, the accurate decimeter-level range is 10cm-50cm, and acquiring all road information and then carrying out further driving plan planning according to the degree of the obtained positioning accuracy.
The satellite group can provide real-time road-level positioning accuracy for the first base station, the second base station, the third base station, the first vehicle, the second vehicle and the third vehicle in a good environment, when the satellite group is influenced by limit working conditions such as trees, high buildings, tunnels and underground parking lots, the positioning service is stopped, the vehicle-mounted device, the road-side device and the communication device form a real-time measuring unit, and when the satellite group is separated from the limit working conditions, the first base station, the second base station, the third base station, the first vehicle, the second vehicle and the third vehicle still can obtain the road-level positioning accuracy, and high-accuracy positioning is obtained under a fusion algorithm.
The road traffic network database is a customized three-dimensional grid map database, the computer is a plane when describing the electronic map road network database, each road is composed of a group of two-dimensional curves, each curve of each section of road is composed of vertexes at two ends and a series of nodes in the middle, namely the whole traffic road network is a topological connection graph composed of at least two vertexes and at least one straight line section between the two vertexes;
the road traffic network database is adopted, not only can a horizontal position be obtained in positioning, but also an elevation model DEM can be obtained under special road conditions such as overhead, overpass and deep floor road conditions, meanwhile, the fused initial positioning is projected to the road traffic network database in the driving process, the road traffic network database updates the horizontal positioning position in real time, and simultaneously displays the height of the positioning point and the positions of the overpass, the overhead and the deep floor, so that a vehicle driver can really obtain the three-dimensional positioning point of vehicle driving in real time, the vehicle can be accurately positioned to the horizontal position, and simultaneously, the accurate height position of the vehicle can be intuitively sensed, and finally, the accurate three-dimensional position point of the vehicle can be realized.
It will be understood by those skilled in the art that, unless otherwise defined, all terms (including technical and scientific terms) used herein have the same meaning as commonly understood by one of ordinary skill in the art to which this application belongs. It will be further understood that terms, such as those defined in commonly used dictionaries, should be interpreted as having a meaning that is consistent with their meaning in the context of the prior art and will not be interpreted in an idealized or overly formal sense unless expressly so defined herein.
The meaning of "and/or" as used herein is intended to include both the individual components or both.
The term "connected" as used herein may mean either a direct connection between components or an indirect connection between components via other components.
In light of the foregoing description of the preferred embodiment of the present invention, many modifications and variations will be apparent to those skilled in the art without departing from the spirit and scope of the invention. The technical scope of the present invention is not limited to the content of the specification, and must be determined according to the scope of the claims.

Claims (6)

Translated fromChinese
1.一种极限工况下多车协同定位平台,其特征在于:包括在极限工况情况下互相协作实现车辆精准定位的通信装置、车载装置、路侧装置以及卫星组;1. A multi-vehicle cooperative positioning platform under extreme working conditions is characterized in that: comprising a communication device, a vehicle-mounted device, a roadside device and a satellite group that cooperate with each other to realize precise vehicle positioning under extreme working conditions;通信装置位于道路两侧,其为位于网络中的车辆提供实时信号;Communication devices are located on both sides of the road, which provide real-time signals to vehicles located in the network;车载装置安装在位于网络中的车辆上,其实时接收通信装置的信息以及相邻其他车辆的位置信息;The in-vehicle device is installed on the vehicle located in the network, and it receives the information of the communication device and the position information of other adjacent vehicles in real time;路侧装置布设在道路两侧,其为车载装置实时提供道路两侧固定物的信息;The roadside device is arranged on both sides of the road, which provides the vehicle-mounted device with the information of the fixed objects on both sides of the road in real time;卫星组为位于网络中的车辆在优质路况上提供道路级车辆定位,为位于网络中的车辆在极限工况下提供绝对定位,同时为车载装置、路侧装置提供辅助定位。The satellite group provides road-level vehicle positioning for vehicles located in the network on high-quality road conditions, absolute positioning for vehicles located in the network under extreme conditions, and auxiliary positioning for vehicle-mounted devices and roadside devices.2.根据权利要求1所述的极限工况下多车协同定位平台,其特征在于:2. The multi-vehicle cooperative positioning platform under extreme working conditions according to claim 1, is characterized in that:位于网络中的车辆包括三辆车,分别为第一车辆、第二车辆和第三车辆,The vehicles located in the network include three vehicles, namely the first vehicle, the second vehicle and the third vehicle,卫星组包括第一接收卫星、第二接收卫星和第三接收卫星,The satellite group includes a first receiving satellite, a second receiving satellite and a third receiving satellite,前述的通信装置包括第一基站、第二基站和第三基站,三座基站通过埋地光缆连通实现互相通信,且第一车辆、第二车辆以及第三车辆同时与第一基站、第二基站以及第三基站两两实现实时连通,第一基站、第二基站和第三基站同时实时接收卫星组的定位信号;The aforementioned communication device includes a first base station, a second base station, and a third base station. The three base stations communicate with each other through buried optical cables, and the first vehicle, the second vehicle, and the third vehicle communicate with the first base station and the second base station at the same time. And the third base stations are connected in real time, and the first base station, the second base station and the third base station simultaneously receive the positioning signals of the satellite group in real time;前述的车载装置包括安装在车辆车头及车尾的基站接收机,基站接收机用于接收与对应车辆匹配的基站信号,同时接收卫星组的定位信号,还包括安装在车辆上的信息发射机,信息发射机用于发送车辆信息,The aforementioned vehicle-mounted device includes a base station receiver installed at the front and rear of the vehicle, the base station receiver is used to receive base station signals matching the corresponding vehicle, and at the same time receive the positioning signal of the satellite group, and also includes an information transmitter installed on the vehicle, The information transmitter is used to send vehicle information,车载装置还包括安装在车辆上的雷达,每辆车安装四个雷达,分别为第一雷达、第二雷达、第三雷达和第四雷达,The vehicle-mounted device also includes radars installed on the vehicle, and each vehicle is installed with four radars, namely the first radar, the second radar, the third radar and the fourth radar,车载装置还包括安装在车辆上的激光扫描仪和惯性导航装置,惯性导航装置包括陀螺仪以及加速度计;The vehicle-mounted device further includes a laser scanner and an inertial navigation device installed on the vehicle, and the inertial navigation device includes a gyroscope and an accelerometer;在道路两侧布设有树木、高楼、隧道、地下停车场、道路交通标志以及固定锚点,前述的路测装置包括位于道路两侧的道路发送单元,道路发送单元将道路两侧固定物信息发送至车载装置。Trees, tall buildings, tunnels, underground parking lots, road traffic signs and fixed anchor points are arranged on both sides of the road. The aforementioned road test device includes road transmission units located on both sides of the road, and the road transmission unit transmits the information of the fixed objects on both sides of the road. to the vehicle unit.3.一种极限工况下多车协同定位平台的定位方法,其特征在于:包括以下步骤:3. A positioning method for a multi-vehicle cooperative positioning platform under extreme working conditions, characterized in that: comprising the following steps:第一步:第一基站、第二基站和第三基站实时获取卫星组发送的定位信号,获取不同环境下的基站定位值,最终通过车车通讯、TOA以及AOA得到每辆车的定位点信息;Step 1: The first base station, the second base station and the third base station obtain the positioning signal sent by the satellite group in real time, obtain the base station positioning value in different environments, and finally obtain the positioning point information of each vehicle through vehicle-to-vehicle communication, TOA and AOA ;第二步:通过安装在车辆车头及车尾的基站接收机接收第一基站、第二基站以及第三基站的位置信息,即获取在极限工况情况下车辆的绝对道路级定位,结合安装在每辆车上的四个雷达,通过车车通讯、TOA以及AOA计算得到车行驶到定位点的时间、距离以及方向角;Step 2: Receive the location information of the first base station, the second base station and the third base station through the base station receivers installed at the front and rear of the vehicle, that is, obtain the absolute road-level positioning of the vehicle under extreme working conditions, combined with the installation in the The four radars on each vehicle can calculate the time, distance and direction angle of the vehicle to the positioning point through vehicle-to-vehicle communication, TOA and AOA;第三步:将获取的绝对道路级定位信息投影至道路交通网数据库,实时获取车辆的水平、垂直位置信息,实现车辆在极限工况情况下获取高程的相对定位精度信息;Step 3: Project the obtained absolute road-level positioning information to the road traffic network database, obtain the horizontal and vertical position information of the vehicle in real time, and realize the relative positioning accuracy information of the elevation obtained by the vehicle under extreme working conditions;第四步:获取每辆车的相对定位精度信息,将前述信息通过信息发射机实时传送至相邻车辆处,同时结合通过基站接收机接收相邻车辆发送的信息,最终得到在极限工况情况下车辆的相对米级定位精度,此米级范围为1m-10m之间;Step 4: Obtain the relative positioning accuracy information of each vehicle, transmit the aforementioned information to the adjacent vehicles in real time through the information transmitter, and combine the information sent by the adjacent vehicles through the base station receiver, and finally obtain the limit working conditions. The relative meter-level positioning accuracy of the off-road vehicle, the meter-level range is between 1m-10m;第五步:在米级定位精度下,道路发送单元将检测到的道路两侧各固定物的信息传送至每辆车的车载装置,进行实时的融合区域信息,最先接收到信息的车辆将信息通过信息发射机再传送至剩余车辆,剩余车辆根据获取信息进行本车的精准分米级定位,此精准分米级范围为10cm-50cm,全部信息获取后,进行行驶计划规划。Step 5: Under the meter-level positioning accuracy, the road transmission unit transmits the detected information of the fixed objects on both sides of the road to the on-board device of each vehicle, and performs real-time fusion of regional information. The vehicle that receives the information first will The information is then transmitted to the remaining vehicles through the information transmitter, and the remaining vehicles perform accurate decimeter-level positioning of the vehicle according to the acquired information.4.根据权利要求3所述的极限工况下多车协同定位平台的定位方法,其特征在于:第一步中,获取每辆车的定位点信息,具体步骤如下:以获取第一车辆定位点信息为例:4. The method for positioning a multi-vehicle cooperative positioning platform under extreme working conditions according to claim 3, wherein in the first step, the positioning point information of each vehicle is obtained, and the specific steps are as follows: to obtain the first vehicle positioning Point information as an example:设定第一基站、第二基站的坐标分别为已知点A1=(x1,y1)、A2=(x2,y2),设定第一车辆的坐标为Vn=(vi,vj),通过车车通讯、TOA以及AOA获取车辆之间的距离,即可知A1A2、A1Vi、A2Vi,根据第一车辆的定位点公式The coordinates of the first base station and the second base station are set as known points A1 =(x1 , y1 ) and A2 =(x2 , y2 ), respectively, and the coordinates of the first vehicle are set as Vn =( vi , vj ), obtain the distance between vehicles through vehicle-to-vehicle communication, TOA and AOA, that is, A1 A2 , A1 Vi , A2 Vi , according to the positioning point formula of the first vehicle
Figure FDA0002139795830000021
Figure FDA0002139795830000021
Figure FDA0002139795830000022
Figure FDA0002139795830000022
Figure FDA0002139795830000023
Figure FDA0002139795830000023
获取第一车辆的定位点Vn=(vi,vj)。Obtain the positioning point Vn=(vi ,v j) of the first vehicle.5.根据权利要求3所述的极限工况下多车协同定位平台的定位方法,其特征在于:第二步中,计算得到车行驶到定位点的时间、距离以及方向角,具体步骤如下:5. The positioning method of the multi-vehicle cooperative positioning platform under extreme working conditions according to claim 3, is characterized in that: in the second step, the time, distance and direction angle that the vehicle travels to the positioning point are calculated, and the concrete steps are as follows:在车辆GPS中断情况下,设定车辆的速度为均速S,时间为t1,中断情况时时间为t2,可计算得到道路中断情况下,绝对道路级定位获取的实时行驶距离加上S(t2-t1)为定位中断后的距离;In the case of vehicle GPS interruption, the speed of the vehicle is set as the average speed S, the time is t1 , and the time when the vehicle is interrupted is t2 . In the case of road interruption, the real-time driving distance obtained by absolute road-level positioning plus S can be calculated. (t2 -t1 ) is the distance after positioning interruption;方向角为车辆在地理方位的方位角,车辆直行在道路上,道路的地理方位即为车辆的行驶道路方位角;The direction angle is the azimuth angle of the vehicle in the geographical orientation, the vehicle is going straight on the road, and the geographical orientation of the road is the azimuth angle of the vehicle's driving road;车辆行驶到定位点的时间,通过信息发射机发送初始行驶时间与基站接收机接收到达定位点时间差获取。The time when the vehicle travels to the positioning point is obtained by the difference between the initial travel time sent by the information transmitter and the time when the base station receiver receives the arrival time at the positioning point.6.根据权利要求3所述的极限工况下多车协同定位平台的定位方法,其特征在于:前述的道路交通网数据库为定制的三维栅格地图库,计算机在描述电子地图道路网数据库时为平面型,每一条道路由一组二维曲线构成,其中每一段道路的每一条曲线是由其两端的顶点和中间一系列的节点组成,即整个交通道路网为由至少两个顶点以及两个顶点之间的至少一条直线路段构成的拓扑连接图。6. The method for positioning a multi-vehicle cooperative positioning platform under extreme working conditions according to claim 3, wherein the aforementioned road traffic network database is a customized three-dimensional grid map library, and the computer describes the electronic map road network database when the computer is described. It is a plane type, each road is composed of a set of two-dimensional curves, and each curve of each road is composed of vertices at both ends and a series of nodes in the middle, that is, the entire traffic road network is composed of at least two vertices and two vertices. A topological connection graph consisting of at least one straight line segment between the vertices.
CN201910664988.4A2019-07-232019-07-23 A multi-vehicle cooperative positioning platform and positioning method under extreme working conditionsActiveCN111123334B (en)

Priority Applications (1)

Application NumberPriority DateFiling DateTitle
CN201910664988.4ACN111123334B (en)2019-07-232019-07-23 A multi-vehicle cooperative positioning platform and positioning method under extreme working conditions

Applications Claiming Priority (1)

Application NumberPriority DateFiling DateTitle
CN201910664988.4ACN111123334B (en)2019-07-232019-07-23 A multi-vehicle cooperative positioning platform and positioning method under extreme working conditions

Publications (2)

Publication NumberPublication Date
CN111123334Atrue CN111123334A (en)2020-05-08
CN111123334B CN111123334B (en)2022-10-28

Family

ID=70495147

Family Applications (1)

Application NumberTitlePriority DateFiling Date
CN201910664988.4AActiveCN111123334B (en)2019-07-232019-07-23 A multi-vehicle cooperative positioning platform and positioning method under extreme working conditions

Country Status (1)

CountryLink
CN (1)CN111123334B (en)

Cited By (7)

* Cited by examiner, † Cited by third party
Publication numberPriority datePublication dateAssigneeTitle
CN111551976A (en)*2020-05-202020-08-18四川万网鑫成信息科技有限公司Method for automatically completing abnormal positioning by combining various data
CN111890601A (en)*2020-07-072020-11-06东南大学 Mould forming process and forming mould of steel monocoque based on fsae racing car
CN112188386A (en)*2020-07-312021-01-05广东中达道信科技发展有限公司Vehicle positioning method based on ETC signal intensity
CN113206874A (en)*2021-04-252021-08-03腾讯科技(深圳)有限公司Vehicle-road cooperative processing method and device, electronic equipment and storage medium
CN113205701A (en)*2021-04-252021-08-03腾讯科技(深圳)有限公司Vehicle-road cooperation system and elevation conversion updating method based on vehicle-road cooperation
CN114598988A (en)*2020-11-302022-06-07动态Ad有限责任公司 The method of positioning the vehicle
WO2022206322A1 (en)*2021-03-272022-10-06华为技术有限公司Communication method and apparatus

Citations (5)

* Cited by examiner, † Cited by third party
Publication numberPriority datePublication dateAssigneeTitle
CN106781478A (en)*2016-12-232017-05-31大连理工大学A kind of trace tracking method based on LTE signaling datas
CN107578482A (en)*2017-07-212018-01-12上海电科市政工程有限公司Quick highway toll collection system and method based on technology of Internet of things
CN108027242A (en)*2015-11-302018-05-11华为技术有限公司Automatic Pilot air navigation aid, device, system, car-mounted terminal and server
CN108922188A (en)*2018-07-242018-11-30河北德冠隆电子科技有限公司The four-dimensional outdoor scene traffic of radar tracking positioning perceives early warning monitoring management system
CN109697877A (en)*2019-02-182019-04-30河北省交通规划设计院Bus or train route Synergistic method and system based on the high fine positioning of Beidou

Patent Citations (5)

* Cited by examiner, † Cited by third party
Publication numberPriority datePublication dateAssigneeTitle
CN108027242A (en)*2015-11-302018-05-11华为技术有限公司Automatic Pilot air navigation aid, device, system, car-mounted terminal and server
CN106781478A (en)*2016-12-232017-05-31大连理工大学A kind of trace tracking method based on LTE signaling datas
CN107578482A (en)*2017-07-212018-01-12上海电科市政工程有限公司Quick highway toll collection system and method based on technology of Internet of things
CN108922188A (en)*2018-07-242018-11-30河北德冠隆电子科技有限公司The four-dimensional outdoor scene traffic of radar tracking positioning perceives early warning monitoring management system
CN109697877A (en)*2019-02-182019-04-30河北省交通规划设计院Bus or train route Synergistic method and system based on the high fine positioning of Beidou

Cited By (14)

* Cited by examiner, † Cited by third party
Publication numberPriority datePublication dateAssigneeTitle
CN111551976A (en)*2020-05-202020-08-18四川万网鑫成信息科技有限公司Method for automatically completing abnormal positioning by combining various data
CN111890601A (en)*2020-07-072020-11-06东南大学 Mould forming process and forming mould of steel monocoque based on fsae racing car
CN112188386A (en)*2020-07-312021-01-05广东中达道信科技发展有限公司Vehicle positioning method based on ETC signal intensity
CN112188386B (en)*2020-07-312022-08-09广东中达道信科技发展有限公司Vehicle positioning method based on ETC signal intensity
US12038521B2 (en)2020-11-302024-07-16Motional Ad LlcLocalization of vehicles using beacons
CN114598988A (en)*2020-11-302022-06-07动态Ad有限责任公司 The method of positioning the vehicle
WO2022206322A1 (en)*2021-03-272022-10-06华为技术有限公司Communication method and apparatus
CN113206874A (en)*2021-04-252021-08-03腾讯科技(深圳)有限公司Vehicle-road cooperative processing method and device, electronic equipment and storage medium
WO2022227870A1 (en)*2021-04-252022-11-03腾讯科技(深圳)有限公司Vehicle-road collaborative processing method and apparatus, and electronic device and storage medium
WO2022227881A1 (en)*2021-04-252022-11-03腾讯科技(深圳)有限公司Vehicle-road collaboration system, vehicle-road collaboration-based elevation conversion and updating method and apparatus, and storage medium
CN113205701A (en)*2021-04-252021-08-03腾讯科技(深圳)有限公司Vehicle-road cooperation system and elevation conversion updating method based on vehicle-road cooperation
CN113206874B (en)*2021-04-252025-05-23腾讯科技(深圳)有限公司Vehicle-road cooperative processing method and device, electronic equipment and storage medium
US12347312B2 (en)2021-04-252025-07-01Tencent Technology (Shenzhen) Company LimitedCooperative vehicle-infrastructure processing method and apparatus, electronic device, and storage medium
US12361828B2 (en)2021-04-252025-07-15Tencent Technology (Shenzhen) Company LimitedCooperative vehicle-infrastructure system, elevation conversion update method and apparatus based on vehicle-infrastructure cooperation, and storage medium

Also Published As

Publication numberPublication date
CN111123334B (en)2022-10-28

Similar Documents

PublicationPublication DateTitle
JP7156206B2 (en) Map system, vehicle side device, and program
CN111123334B (en) A multi-vehicle cooperative positioning platform and positioning method under extreme working conditions
JP7167876B2 (en) Map generation system, server and method
JP7251394B2 (en) VEHICLE-SIDE DEVICE, METHOD AND STORAGE MEDIUM
JP7147712B2 (en) VEHICLE-SIDE DEVICE, METHOD AND STORAGE MEDIUM
JP5762483B2 (en) Processor unit mounted on front vehicle and processor unit mounted on following vehicle
US11530931B2 (en)System for creating a vehicle surroundings model
CN108351218B (en) Method and system for generating digital maps
KR102221321B1 (en)Method for providing information about a anticipated driving intention of a vehicle
WO2020045317A1 (en)Map system, method, and storage medium
CN206704211U (en)Heavy haul train alignment system based on movable block
CN111693055B (en)Road network change detection and local propagation of detected changes
WO2017120595A2 (en)Vehicular component control using maps
CN110798792B (en)Vehicle positioning device, vehicle positioning system and vehicle
WO2020045323A1 (en)Map generation system, server, vehicle-side device, method, and storage medium
CN105469617A (en)Driving safety assisting method and driving safety assisting device
WO2020045318A1 (en)Vehicle-side device, server, method, and storage medium
CN108267148A (en)Based on V2X vehicle locating devices and use its Co-factor propagation system
US20210180980A1 (en)Roadway mapping device
WO2020045322A1 (en)Map system, vehicle-side device, method, and storage medium
US12196560B2 (en)Localization device for visually determining the location of a vehicle
CN114111811A (en)Navigation control system and method for automatically driving public bus
CN111221020A (en)Indoor and outdoor positioning method, device and system
CN114076601A (en)Auxiliary positioning method and device
CN112585425A (en)Method for locating a vehicle

Legal Events

DateCodeTitleDescription
PB01Publication
PB01Publication
SE01Entry into force of request for substantive examination
SE01Entry into force of request for substantive examination
GR01Patent grant
GR01Patent grant

[8]ページ先頭

©2009-2025 Movatter.jp