Movatterモバイル変換


[0]ホーム

URL:


CN111103420A - A method for predicting the quality of phenolic resin products under uncertainty of raw materials - Google Patents

A method for predicting the quality of phenolic resin products under uncertainty of raw materials
Download PDF

Info

Publication number
CN111103420A
CN111103420ACN201911140036.9ACN201911140036ACN111103420ACN 111103420 ACN111103420 ACN 111103420ACN 201911140036 ACN201911140036 ACN 201911140036ACN 111103420 ACN111103420 ACN 111103420A
Authority
CN
China
Prior art keywords
phenolic resin
product quality
data
model
resin product
Prior art date
Legal status (The legal status is an assumption and is not a legal conclusion. Google has not performed a legal analysis and makes no representation as to the accuracy of the status listed.)
Granted
Application number
CN201911140036.9A
Other languages
Chinese (zh)
Other versions
CN111103420B (en
Inventor
罗娜
骆楠
颜学峰
颜世福
卢伟鹏
王家川
潘俞
朱明杰
袁敏健
刘沛
严卿
董栋
张宁
Current Assignee (The listed assignees may be inaccurate. Google has not performed a legal analysis and makes no representation or warranty as to the accuracy of the list.)
Tongcheng Chemical China Co ltd
East China University of Science and Technology
Red Avenue New Materials Group Co Ltd
Original Assignee
Tongcheng Chemical China Co ltd
East China University of Science and Technology
Red Avenue New Materials Group Co Ltd
Priority date (The priority date is an assumption and is not a legal conclusion. Google has not performed a legal analysis and makes no representation as to the accuracy of the date listed.)
Filing date
Publication date
Application filed by Tongcheng Chemical China Co ltd, East China University of Science and Technology, Red Avenue New Materials Group Co LtdfiledCriticalTongcheng Chemical China Co ltd
Priority to CN201911140036.9ApriorityCriticalpatent/CN111103420B/en
Publication of CN111103420ApublicationCriticalpatent/CN111103420A/en
Application grantedgrantedCritical
Publication of CN111103420BpublicationCriticalpatent/CN111103420B/en
Activelegal-statusCriticalCurrent
Anticipated expirationlegal-statusCritical

Links

Images

Classifications

Landscapes

Abstract

The invention discloses a method for predicting the quality of a phenolic resin product under the condition of uncertain raw materials, which comprises the following steps: (1) acquiring historical data of the production process of the phenolic resin and the quality of products in corresponding batches; (2) preprocessing, feature selection and standardization are carried out on historical data; (3) constructing a phenolic resin product quality prediction model based on a long-time and short-time memory network; (4) training the model in the step (3) based on the data obtained in the step (2) to obtain a phenolic resin product quality prediction model; (5) predicting the product quality of the current batch by the phenolic resin product quality prediction model obtained in the step (4); (6) and obtaining a new phenolic resin product quality prediction model. According to the invention, through the construction of the long-time memory network, the product quality change rule under the condition of uncertain raw materials can be excavated, so that the quality of the phenolic resin product can be accurately predicted under the condition of uncertain raw materials, and a basis is provided for the control of the product quality in the production process of enterprises.

Description

Phenolic resin product quality prediction method under uncertain raw materials
Technical Field
The invention belongs to the field of online prediction of product quality in a chemical process, and particularly relates to a method for predicting the quality of a phenolic resin product under the condition of uncertain raw materials.
Background
Phenolic resin is a classical synthetic resin, which is a high molecular material formed by polymerizing phenols and aldehydes under the action of a catalyst. Different formulas are added during synthesis, modified phenolic resins with different functions can be obtained, and the modified phenolic resins have different excellent characteristics and are widely applied to anticorrosion engineering, adhesives, flame-retardant materials, grinding wheel manufacturing and rubber product industries. The phenolic resin is usually produced in batch production mode in various varieties and batches, the production process has time-varying, dynamic and nonlinear characteristics, and meanwhile, the phenolic resin is produced by taking a phenolic mixture produced at the upstream as a raw material. The uncertain composition of the mixture raw materials and the dynamic characteristics of the production process cause that the product quality cannot be kept stable, and the product quality is difficult to realize on-line measurement, so that the method is particularly important for predicting the product quality.
With the development of computers and technology, a great deal of process data and analytical data in the industrial phenolic resin production process is preserved. These data contain rich process information. The development of deep learning provides a new solution for solving the problem of product quality prediction in the phenolic resin production process with uncertain raw materials. Compared with the traditional artificial neural network, the cyclic neural network in deep learning has better capability of processing time series, and the process rule under uncertain raw materials can be mined by modeling the time series of the production process through the long-time memory network, so that the accurate prediction of the product quality is realized.
Disclosure of Invention
One of the purposes of the invention is to provide a method for predicting the quality of a phenolic resin product under the condition of uncertain raw materials, so that the quality of the produced phenolic resin product can be predicted in real time.
Based on the purpose, the invention provides a phenolic resin product quality prediction method based on a long-time and short-time memory network, which comprises the following steps:
(1) obtaining historical data of phenolic resin production process and corresponding batch product quality
(2) Preprocessing, feature selection and standardization are carried out on historical data;
(3) constructing a phenolic resin product quality prediction model based on a long-time and short-time memory network;
(4) training a phenolic resin product quality prediction model based on the data obtained in the step (2);
(5) and (3) acquiring real-time production data of the current batch, processing the data by using the pretreatment and standardization in the step (2), and predicting the product quality of the current batch through the phenolic resin product quality prediction model.
(6) And (3) when the real-time prediction accuracy in the step (5) does not meet the requirement, processing the data by using the pretreatment and standardization in the step (2) according to the real-time production data obtained in the step (5) as historical data, returning to the step (4) to train the model, and obtaining a new phenolic resin product quality prediction model.
The phenolic resin product prediction method based on the long-time and short-time memory network comprises the following steps:
the historical data is time series data of the production process of the phenolic resin and product quality data of corresponding batches.
The Long Short-Term Memory network (LSTM) is a recurrent neural network, and is suitable for processing and predicting regular information in time sequence data.
The phenolic resin product quality prediction method based on the long-time and short-time memory network is characterized in that a phenolic resin product quality prediction model based on the long-time and short-time memory network is constructed and trained on the basis of historical data of a phenolic resin production process and product quality data of corresponding batches, and the influence rule of uncertain raw materials on the product quality is obtained by extracting the internal trend rule of the historical data, so that the product quality of the phenolic resin production process of the current batch is effectively predicted.
Further, in the phenolic resin product quality prediction method based on the long-time and short-time memory network, historical data of the phenolic resin production process comprise alkylation liquid flow, liquid aldehyde flow, solid aldehyde flow, reaction temperature, pressure and reaction kettle weight, and product quality data of corresponding batches comprise softening point data obtained through laboratory analysis.
Furthermore, in the method for predicting the quality of the phenolic resin product based on the long-time and short-time memory network, in the step (2), the preprocessing of the historical data is to resample the time series data at equal time intervals, so that the dimension of the variable is reduced.
Furthermore, in the method for predicting the quality of the phenolic resin product based on the long-time and short-time memory network, in the step (2), the data is subjected to correlation analysis by using the maximum information coefficient for the feature selection, and the correlation analysis can be calculated by the following formula:
Figure RE-GDA0002419221580000021
wherein x represents any variable in the historical data of the phenolic aldehyde production process, y represents the product quality index of the phenolic resin, and B is the 0.6 power of the total data. The maximum information coefficient is a decimal number between 0 and 1, and the larger the maximum information coefficient is, the stronger the correlation between the variable and the quality index is.
And selecting a variable with the maximum information coefficient of the product quality index larger than 0.3 as an input variable of the phenolic resin product quality prediction model.
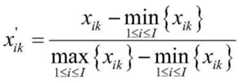
Further, in the method for predicting the quality of a phenol resin product based on a long-term and short-term memory network, in the step (2), the data is normalized by normalizing the obtained data and the obtained product quality respectively, and the data is obtained by the following formula:
Figure RE-GDA0002419221580000031
in formula (II), x'ikA k-dimensional variable x representing the ith lotikNormalized values in the range of [0,1 ]]The method has the advantages of no dimension,
Figure RE-GDA0002419221580000032
and
Figure RE-GDA0002419221580000033
respectively representing the minimum value and the maximum value in the k-dimension variable, and I represents the total number of batches.
Product quality was normalized and obtained by the following formula:
Figure RE-GDA0002419221580000034
of formula (II) to (III)'iRepresents the final quality index y of the ith batchiNormalized numerical values in the range of [0,1 ]]The method has the advantages of no dimension,
Figure RE-GDA0002419221580000035
and
Figure RE-GDA0002419221580000036
the minimum and maximum values are indicated separately and I indicates the total number of batches.
Furthermore, in the method for predicting the quality of the phenolic resin product based on the long-term and short-term memory network, in the step (3), the process of constructing the phenolic resin product quality prediction model based on the long-term and short-term memory network includes establishing the long-term and short-term memory network composed of an LSTM layer and an output fully-connected layer, and the model parameters include network weights and offsets of the layers.
In the above scheme, the time t of the network (t e [1,2, …, m)]) The network cell state of (1) is the object, the input of the network is from the output h of the hidden layer at the time t-1t-1Time t-1 cell State Ct-1And input data x at time ttThe input data passes through a forgetting gate, an input gate and an output gate of the LSTM network to finally obtain the output h of the hidden layer at the time ttAnd t time cell status Ct. The specific operation steps of the door structure are as follows:
network input x at time ① ttAnd t-1 output h of the hidden layert-1Merging the input signals as the input of a forgetting gate, and finally outputting a result f of the forgetting gate by a sigmoid functiontNormalized to between 0 and 1, the specific formula is as follows:
ft=σ(Wf*[ht-1,xt]+bf)
where σ denotes a Sigmoid activation function, WfWeight of forgetting gate, ht-1The output of the hidden layer is hidden for the previous moment,txas input at the current time, bfTo forget the biasing of the door.
② t time netThe channel input xtAnd the output h of the hidden layer at time t-1t-1The merged vector is subjected to sigmoid function to obtain a value i of the network cell needing to be updatedtMeanwhile, the merged vector also needs to be subjected to tanh function to obtain the candidate cell state
Figure RE-GDA0002419221580000041
Specifically, the following formula:
it=σ(Wi*[ht-1,xt]+bi)
Ct=tanh(Wc*[ht-1,xt]+bc)
wherein, WiAs the weight of the input gate, biFor the bias of the input gate, tanh is the activation function, WcAs a weight of the candidate cell state, bcIs the bias of the candidate cell state.
③ use t-1 memory cell Ct-1And the output result f of the forgetting gatetMultiplication, which represents redundant information at a time before discarding; (ii) the candidate cell status
Figure RE-GDA0002419221580000042
And output result i of input gatetMultiplication, which represents how much information in the candidate state cells is needed to update the memory cells; and adding the results of the two to complete the updating of the cells, wherein the specific formula is as follows:
Ct=ft*Ct-1+it*Ct
④ LSTM network output value htIs the state C of the cell at time ttCurrent time input xtAnd the output h of the previous momentt-1Are jointly decided. Input x at time ttOutput h from time t-1t-1The merged vector of (1) is passed through a sigmoid function to indicate which information in the memory cells at the current moment needs to be output. State C of the cells at time ttOutput o of the tanh function and the sigmoid functiontMultiplying to obtain the output result h of the output gatetI.e. the output of the hidden layer at time t. Specifically, the following formula:
ot=σ(Wo*[ht-1,xt]+bo)
ht=ot*tanh(Ct)
wherein, WoAs weights of output gates, boIs the biasing of the output gate.
The weight and bias of each time network in the LSTM network are shared, and the output h of the hidden layer of the m time network is finally obtained through the transmission of m time datam. The output of the LSTM at the m moment is subjected to full connection layer to finally obtain the output value y of the prediction networkoutSpecifically, the following formula:
yout=Wout×hm+bout
furthermore, in the method for predicting the quality of the phenolic resin product based on the long-time memory network, in the step (4), when the phenolic resin product quality prediction model is trained based on the production process and historical data of the quality of the corresponding batch of products, the data obtained in the step is sorted by adopting a sliding window, and the phenolic resin product quality prediction model is trained by adopting a time-based back propagation algorithm.
In the above scheme, the step (2) of sorting the data obtained by using the sliding window includes using m batches of data from the starting batch as the 1 st sample of the model, where the product quality corresponding to the sample is the product quality index of the mth batch, then using m batches of data from the 2 nd batch as the 2 nd sample of the model, where the product quality corresponding to the sample is the product quality index of the m +1 th batch, and so on. When the total batch number is I, the number of input samples of the model is I-m + 1. And keeping the front and back sequence of the samples, taking the first 80% of samples as a training sample set of the model, and taking the second 20% of samples as a testing sample set of the model for model training and testing.
Furthermore, in the method for predicting the quality of the phenolic resin product based on the long-time and short-time memory network, in the step (5), the data obtained after the real-time reading of the phenolic resin production process data is processed according to the step (2) is used as input, and the product quality of the phenolic resin of the current batch is predicted by using the phenolic resin product quality prediction model obtained in the step (4).
Furthermore, in the method for predicting the quality of the phenolic resin product based on the long-time and short-time memory network, in the step (6), the fact that the accuracy of the real-time prediction is not satisfactory means that the prediction of the quality of the product of the current batch is smaller than the factory-specified range, and the temperature value including but not limited to the softening point is outside the ± 2 ℃ interval of the final assay analysis value.
Drawings
FIG. 1 is a flow chart of the phenolic resin product quality prediction method based on a long-term and short-term memory network.
FIG. 2 is a block diagram of a phenolic resin product quality prediction model according to the present invention.
FIG. 3 is a diagram of the predicted effect of the implementation of the present invention.
Detailed Description
The technical scheme of the invention is further explained by combining the drawings and the embodiment of the specification.
As shown in fig. 1, the embodiment of the present invention and its specific implementation are as follows:
and (1) acquiring historical data of the production process of the phenolic resin and the quality of products of corresponding batches.
On a distributed control system configured in the production process, process variable data in the production process of the phenolic resin is collected through an OPC interface, wherein the process variable data comprises the flow of alkylation liquid, the flow of liquid aldehyde, the flow of solid aldehyde, reaction temperature, reaction pressure and reaction kettle weight, the sampling time is set to be 1 minute, and the phenolic resin process data is sampled to obtain a process data matrix of each batch. Collecting the latest 100 batches of phenolic resin production data, collecting the product softening point of the corresponding batch of phenolic resin analyzed by a laboratory as a quality index,
step (2) preprocessing, feature selection and standardization of the historical data obtained in the step (1)
In the pretreatment process of the step (2), 100 batches of normal phenolic resin production data collected in the step (1) are resampled at equal time intervals (the time intervals are set to be 10 minutes), and 28-dimensional data are obtained.
And (3) for 100 batches of data obtained by preprocessing in the step (2), according to a calculation formula of a maximum information coefficient:
Figure RE-GDA0002419221580000061
wherein x represents any of the variables in the phenolic production process history data and y represents the softening point of the phenolic resin product. And (4) calculating to obtain the maximum information correlation coefficient of the 28-dimensional data, and selecting variables corresponding to the first 4 maximum values as independent variables of the model, namely the mass of the alkylation liquid, the mass of the liquid aldehyde, the temperature of the liquid aldehyde during addition and the temperature of the solid aldehyde after addition.
Normalizing the data after the feature selection in the step (2), wherein the normalization formula is as follows:
Figure RE-GDA0002419221580000062
in formula (II), x'ikA k-dimensional variable x representing the ith lotikNormalized values in the range of [0,1 ]]The method has the advantages of no dimension,
Figure RE-GDA0002419221580000063
and
Figure RE-GDA0002419221580000064
respectively representing the minimum value and the maximum value in the k-dimension variable.
The softening point data, which is an index of the quality of phenolic resin products, is relatively concentrated and therefore is not standardized.
Step (3) constructing a phenolic resin product quality prediction model based on a long-time and short-time memory network;
the phenolic resin product quality prediction model is composed of 2 LSTM layers and 1 full-connection layer, wherein the dimension of input data is 4, the sequence length is 4, the number of neurons of the LSTM layers is 50, and the number of neurons of the full-connection layer is 1. The batch times of model training are set to be 30, the model training algebra is set to be 200, the loss function of the model is set to be the root mean square error, and the optimizer is adam.
Step (4) training a phenolic resin product quality prediction model based on the data obtained in the step (2);
and (4) processing the data obtained in the step (2) by adopting a sliding window method. And 4, setting a sliding window to be 4, starting from the initial batch of the phenolic resin production data normalized in the step 3, extracting 4 continuous batches of data as a first sample of the model, wherein a predicted value corresponding to the sample is the resin softening point of the 4 th batch of data, and the like. When the total number of batches is 100, the number of samples of the LSTM model is 97. The batch property of the sample is kept, and the first 80% of data is selected as training data, and the second 20% of data is selected as testing data.
And (3) taking the obtained data as input and output data, and training the network constructed in the step (3) by adopting adam as an optimizer to obtain a prediction model of the final quality index of the phenolic resin based on the LSTM.
And (5) acquiring real-time production data of the current batch, processing the data by using the pretreatment and standardization in the step (2), and predicting the product quality of the current batch by using the phenolic resin product quality prediction model.
And (3) reading the production process data of the phenolic resin in real time, calculating to obtain a standardized value of the process variable in the step (2), reading the combination of the latest previous 3 batches of historical data and the batch of data, taking the combination as the input of a model for predicting the softening point of the phenolic resin of the current batch, and predicting the softening point of the phenolic resin of the current batch of data by using the model trained in the step (4). The predicted effect is shown in fig. 3.
The above examples are only intended to illustrate the method and system of the present invention, but the present invention is not limited to the examples, and any simple modifications, equivalent changes and modifications made to the above examples according to the technical implementation of the present invention are within the scope of the present invention.

Claims (6)

Translated fromChinese
1.一种原料不确定下的酚醛树脂产品质量预测方法,其特征在于,包括步骤:1. a phenolic resin product quality prediction method under uncertainty of raw materials, is characterized in that, comprises the steps:(1)获取酚醛树脂生产过程和对应批次产品质量的历史数据;(1) Obtain the historical data of the phenolic resin production process and the quality of the corresponding batches of products;(2)对历史数据进行预处理、特征选择和标准化;(2) Preprocessing, feature selection and standardization of historical data;(3)构建基于长短时记忆网络的酚醛树脂产品质量模型;(3) Build a phenolic resin product quality model based on long-short-term memory network;(4)基于步骤(2)得到的数据对步骤(3)建立的模型进行训练,得到酚醛树脂产品质量预测模型;(4) training the model established in step (3) based on the data obtained in step (2) to obtain a phenolic resin product quality prediction model;(5)获取当前批次的实时生产数据,使用步骤(2)中的预处理和标准化对数据进行处理,通过步骤(4)得到的酚醛树脂产品质量预测模型预测当前批次的产品质量;(5) obtaining the real-time production data of the current batch, using the preprocessing and standardization in step (2) to process the data, and predicting the product quality of the current batch by the phenolic resin product quality prediction model obtained in step (4);(6)当步骤(5)实时预测的精度不满足要求时,根据步骤(5)得到的实时生产数据作为历史数据,使用步骤(2)中的预处理和标准化对数据进行处理,返回步骤(4)进行模型的训练,得到新的酚醛树脂产品质量预测模型。(6) When the accuracy of the real-time prediction in step (5) does not meet the requirements, use the real-time production data obtained in step (5) as historical data, use the preprocessing and standardization in step (2) to process the data, and return to step ( 4) Carry out model training to obtain a new phenolic resin product quality prediction model.所述步骤(1)中,酚醛树脂生产过程历史数据包括烷化液流量、液醛流量、固醛流量、反应温度、压力和反应釜重量,对应批次的产品质量数据包括经过实验室分析得到的酚醛树脂软化点数据;In the step (1), the historical data of the phenolic resin production process includes the flow rate of the alkylating liquid, the flow rate of liquid aldehyde, the flow rate of solid aldehyde, the reaction temperature, the pressure and the weight of the reaction kettle, and the product quality data of the corresponding batch includes obtained through laboratory analysis. The softening point data of phenolic resin;所述步骤(2)中,对历史数据进行预处理,是对时间序列数据进行等时间间隔的重新采样;In the step (2), preprocessing the historical data is to resample the time series data at equal time intervals;所述步骤(2)中,对历史数据进行特征选择,是采用最大信息系数对数据进行相关性分析,通过下式得到:In the step (2), the feature selection is performed on the historical data, which is to use the maximum information coefficient to perform a correlation analysis on the data, and obtain by the following formula:
Figure RE-FDA0002419221570000011
Figure RE-FDA0002419221570000011
其中x表示酚醛生产过程历史数据中的其中任一变量,y表示酚醛树脂的产品质量指标,B取样本总量的0.6次方;最大信息系数是一个介于0到1的小数,最大信息系数越大,变量与质量指标的相关性越强;选出与产品质量指标的最大信息系数大于0.3的变量作为酚醛树脂产品质量预测模型的输入变量;Where x represents any one of the variables in the historical data of the phenolic production process, y represents the product quality index of the phenolic resin, and B is the 0.6 power of the total sample; the maximum information coefficient is a decimal between 0 and 1, and the maximum information coefficient The larger the value, the stronger the correlation between the variable and the quality index; the variable whose maximum information coefficient with the product quality index is greater than 0.3 is selected as the input variable of the phenolic resin product quality prediction model;所述步骤(2)中,对历史数据进行标准化,是对上述得到的数据和产品质量分别进行标准化,通过下式得到:In the described step (2), standardizing the historical data is to standardize the data obtained above and the product quality respectively, and obtain by the following formula:
Figure RE-FDA0002419221570000012
Figure RE-FDA0002419221570000012
式中,x′ik表示第i批次的第k维变量xik经过标准化后的数值,其范围为[0,1],无量纲,
Figure RE-FDA0002419221570000021
Figure RE-FDA0002419221570000022
分别表示第k维变量中的最小值和最大值,I表示总的批次数;
In the formula, x′ik represents the normalized value of the k-th dimension variable xik of the i-th batch, and its range is [0,1], dimensionless,
Figure RE-FDA0002419221570000021
and
Figure RE-FDA0002419221570000022
Represent the minimum and maximum values in the k-th dimension variable, and I represent the total number of batches;
对产品质量进行标准化,通过下式得到:Standardize the product quality and get it by the following formula:
Figure RE-FDA0002419221570000023
Figure RE-FDA0002419221570000023
式中,y′i表示第i批次的最终质量指标yi经过标准化的数值,其范围为[0,1],无量纲,
Figure RE-FDA0002419221570000024
Figure RE-FDA0002419221570000025
分别表示最小值和最大值,I表示总的批次数。
In the formula, y′i represents the standardized value of the final quality index yi of thei -th batch, whose range is [0,1], dimensionless,
Figure RE-FDA0002419221570000024
and
Figure RE-FDA0002419221570000025
represent the minimum and maximum values, respectively, and I represent the total number of batches.
2.如权利要求1所述的原料不确定下的酚醛树脂产品质量预测方法,其特征在于,所述步骤(3)中,所述构建基于长短时记忆网络的酚醛树脂产品质量预测模型的过程包括建立由LSTM层和输出全连接层构成的长短时记忆网络,模型参数包括各层的网络权重和偏置。2. the phenolic resin product quality prediction method under raw material uncertainty as claimed in claim 1, is characterized in that, in described step (3), the process of described construction based on the phenolic resin product quality prediction model of long-short-term memory network Including the establishment of a long and short-term memory network composed of an LSTM layer and an output fully connected layer, and the model parameters include the network weights and biases of each layer.3.如权利要求1所述的原料不确定下的酚醛树脂产品质量预测方法,其特征在于,所述步骤(4)中,基于步骤(2)得到的数据训练酚醛树脂产品质量预测模型包括采用滑动窗口对上述步骤得到的数据进行整理,采用沿时间反向传播算法训练所述酚醛树脂产品质量预测模型。3. the phenolic resin product quality prediction method under raw material uncertainty as claimed in claim 1, is characterized in that, in described step (4), based on the data training phenolic resin product quality prediction model that step (2) obtains, comprises adopting. The sliding window organizes the data obtained in the above steps, and uses the back-propagation algorithm along time to train the phenolic resin product quality prediction model.4.如权利要求3所述的原料不确定下的酚醛树脂产品质量预测方法,其特征在于,采用滑动窗口对步骤(2)得到的数据进行整理,是从起始批次开始的m批数据作为模型的第1个样本,该样本所对应的产品质量为第m批产品质量指标,然后从第2批开始的m批数据作为模型的第2个样本,该样本所对应的产品质量为第m+1批产品质量指标,依次类推;当总批次数为I时,模型的输入样本个数为I-m+1;保持样本的前后顺序,将前80%样本作为模型的训练样本集,后20%的样本作为模型的测试样本集,用于模型训练与测试。4. the phenolic resin product quality prediction method under uncertainty of raw materials as claimed in claim 3, is characterized in that, adopts sliding window to organize the data that step (2) obtains, is m batch data that starts from initial batch As the first sample of the model, the product quality corresponding to this sample is the product quality index of the mth batch, and then the m batches of data starting from the second batch are used as the second sample of the model, and the product quality corresponding to this sample is the m+1 batches of product quality indicators, and so on; when the total number of batches is I, the number of input samples of the model is I-m+1; keep the order of the samples, and take the first 80% of the samples as the training sample set of the model, The last 20% of the samples are used as the model test sample set for model training and testing.5.如权利要求1所述的原料不确定下的酚醛树脂产品质量预测方法,其特征在于,所述步骤(5)中,对实时读取酚醛树脂生产过程数据按照步骤(2)进行处理后,得到的数据作为输入,利用步骤(4)得到的酚醛树脂产品质量预测模型预测当前批次酚醛树脂的产品质量。5. the phenolic resin product quality prediction method under raw material uncertainty as claimed in claim 1, is characterized in that, in described step (5), after real-time reading phenolic resin production process data is processed according to step (2) , the obtained data is used as input, and the product quality prediction model of the phenolic resin product obtained in step (4) is used to predict the product quality of the current batch of phenolic resin.6.如权利要求1所述的原料不确定下的酚醛树脂产品质量预测方法,其特征在于,所述步骤(6)中,当步骤(5)实时预测的精度不满足要求时,根据步骤(5)得到的实时生产数据作为历史数据,使用步骤(2)中的预处理和标准化对数据进行处理,返回步骤(4)进行模型的训练,得到新的酚醛树脂产品质量预测模型;通过此过程,使得模型能够不断得到更新。6. the phenolic resin product quality prediction method under raw material uncertainty as claimed in claim 1, is characterized in that, in described step (6), when the precision of step (5) real-time prediction does not meet the requirement, according to step ( 5) The obtained real-time production data is used as historical data, and the data is processed using the preprocessing and standardization in step (2), and the training of the model is returned to step (4) to obtain a new phenolic resin product quality prediction model; Through this process , so that the model can be continuously updated.
CN201911140036.9A2019-11-202019-11-20 A method for predicting the quality of phenolic resin products under uncertainty of raw materialsActiveCN111103420B (en)

Priority Applications (1)

Application NumberPriority DateFiling DateTitle
CN201911140036.9ACN111103420B (en)2019-11-202019-11-20 A method for predicting the quality of phenolic resin products under uncertainty of raw materials

Applications Claiming Priority (1)

Application NumberPriority DateFiling DateTitle
CN201911140036.9ACN111103420B (en)2019-11-202019-11-20 A method for predicting the quality of phenolic resin products under uncertainty of raw materials

Publications (2)

Publication NumberPublication Date
CN111103420Atrue CN111103420A (en)2020-05-05
CN111103420B CN111103420B (en)2022-05-10

Family

ID=70421604

Family Applications (1)

Application NumberTitlePriority DateFiling Date
CN201911140036.9AActiveCN111103420B (en)2019-11-202019-11-20 A method for predicting the quality of phenolic resin products under uncertainty of raw materials

Country Status (1)

CountryLink
CN (1)CN111103420B (en)

Cited By (9)

* Cited by examiner, † Cited by third party
Publication numberPriority datePublication dateAssigneeTitle
CN111695743A (en)*2020-06-232020-09-22信阳农林学院Industrial food safety production monitoring method, device, equipment and storage medium
CN112485260A (en)*2020-11-262021-03-12常州微亿智造科技有限公司Workpiece defect detection method and device
CN114077950A (en)*2020-08-172022-02-22株式会社日立制作所Quality correlation analysis method, quality prediction method, and quality control method
CN114139813A (en)*2021-12-032022-03-04北京航空航天大学 A product quality prediction method for process-type production equipment based on a self-updating model
JP2022167027A (en)*2021-04-222022-11-04昭和電工マテリアルズ株式会社 Model generation device, model generation method, model generation program, quality prediction model, and product quality prediction device
CN115438897A (en)*2022-05-182022-12-06沈阳化工大学Industrial process product quality prediction method based on BLSTM neural network
CN115700597A (en)*2021-07-232023-02-07北京航空航天大学 A Method for Predicting Product Quality of Manufacturing Line Based on Federated Learning
CN116307528A (en)*2023-02-212023-06-23云南中烟工业有限责任公司 A Time Series Prediction Method of Process Quality Based on Graph Neural Network
CN119514808A (en)*2025-01-152025-02-25陕西美力源乳业集团有限公司 A method and system for detecting and analyzing the production quality of goat milk powder

Citations (10)

* Cited by examiner, † Cited by third party
Publication numberPriority datePublication dateAssigneeTitle
GB1491730A (en)*1973-12-281977-11-16Charbonnages Ste ChimiqueProduction of phenol-formaldehyde resins
CN101598737A (en)*2009-06-262009-12-09华东理工大学 Soft measurement method for p-carboxybenzaldehyde content in purified terephthalic acid
CN103157772A (en)*2011-12-142013-06-19鞍钢股份有限公司Forecasting method for internal quality of continuous casting billet
CN105956330A (en)*2016-05-312016-09-21山东中烟工业有限责任公司Method and system for establishing product process quality prediction model based on site data
US20170293542A1 (en)*2016-04-062017-10-12Nec Laboratories America, Inc.System failure prediction using long short-term memory neural networks
CN108764517A (en)*2018-04-082018-11-06中南大学A kind of blast furnace molten iron silicon content trend method, equipment and storage medium
CN109523086A (en)*2018-11-262019-03-26浙江蓝卓工业互联网信息技术有限公司The qualitative forecasting method and system of chemical products based on random forest
CN109711714A (en)*2018-12-242019-05-03浙江大学 A Quality Prediction Method for Manufacturing Assembly Products Based on Parallel Long Short-Term Memory Networks
CN110070217A (en)*2019-04-112019-07-30武汉科技大学A kind of Forcasting Sinter Quality method of Kernel-based methods parameter
CN110400007A (en)*2019-07-052019-11-01浙江大学 Prediction method of molten iron quality based on improved gated recurrent neural network

Patent Citations (10)

* Cited by examiner, † Cited by third party
Publication numberPriority datePublication dateAssigneeTitle
GB1491730A (en)*1973-12-281977-11-16Charbonnages Ste ChimiqueProduction of phenol-formaldehyde resins
CN101598737A (en)*2009-06-262009-12-09华东理工大学 Soft measurement method for p-carboxybenzaldehyde content in purified terephthalic acid
CN103157772A (en)*2011-12-142013-06-19鞍钢股份有限公司Forecasting method for internal quality of continuous casting billet
US20170293542A1 (en)*2016-04-062017-10-12Nec Laboratories America, Inc.System failure prediction using long short-term memory neural networks
CN105956330A (en)*2016-05-312016-09-21山东中烟工业有限责任公司Method and system for establishing product process quality prediction model based on site data
CN108764517A (en)*2018-04-082018-11-06中南大学A kind of blast furnace molten iron silicon content trend method, equipment and storage medium
CN109523086A (en)*2018-11-262019-03-26浙江蓝卓工业互联网信息技术有限公司The qualitative forecasting method and system of chemical products based on random forest
CN109711714A (en)*2018-12-242019-05-03浙江大学 A Quality Prediction Method for Manufacturing Assembly Products Based on Parallel Long Short-Term Memory Networks
CN110070217A (en)*2019-04-112019-07-30武汉科技大学A kind of Forcasting Sinter Quality method of Kernel-based methods parameter
CN110400007A (en)*2019-07-052019-11-01浙江大学 Prediction method of molten iron quality based on improved gated recurrent neural network

Non-Patent Citations (4)

* Cited by examiner, † Cited by third party
Title
GUIXIANG XUE ETAL: "District Heating Load Prediction Algorithm Based on Feature Fusion LSTM Model", 《ENERGIES》*
吕文洋: "基于神经网络的酚醛树脂纯度软测量方法研究", 《中国优秀硕士学位论文全文数据库》*
李泽龙: "基于ARMAX-LSTM模型的高炉铁水质量预报研究", 《中国优秀硕士学位论文全文数据库》*
罗娜等: "采用LSTM模型的Android应用行为一致性检测", 《浙江大学学报(工学版)》*

Cited By (13)

* Cited by examiner, † Cited by third party
Publication numberPriority datePublication dateAssigneeTitle
CN111695743A (en)*2020-06-232020-09-22信阳农林学院Industrial food safety production monitoring method, device, equipment and storage medium
CN111695743B (en)*2020-06-232024-04-05信阳农林学院Industrial food safety production monitoring method, device, equipment and storage medium
CN114077950A (en)*2020-08-172022-02-22株式会社日立制作所Quality correlation analysis method, quality prediction method, and quality control method
CN112485260B (en)*2020-11-262023-01-03常州微亿智造科技有限公司Workpiece defect detection method and device
CN112485260A (en)*2020-11-262021-03-12常州微亿智造科技有限公司Workpiece defect detection method and device
JP2022167027A (en)*2021-04-222022-11-04昭和電工マテリアルズ株式会社 Model generation device, model generation method, model generation program, quality prediction model, and product quality prediction device
JP7647288B2 (en)2021-04-222025-03-18株式会社レゾナック MODEL GENERATION DEVICE, MODEL GENERATION METHOD, MODEL GENERATION PROGRAM, QUALITY PREDICTION MODEL, AND PRODUCT QUALITY PREDICTION DEVICE
CN115700597A (en)*2021-07-232023-02-07北京航空航天大学 A Method for Predicting Product Quality of Manufacturing Line Based on Federated Learning
CN115700597B (en)*2021-07-232025-09-16北京航空航天大学Product quality prediction method of manufacturing production line based on federal learning
CN114139813A (en)*2021-12-032022-03-04北京航空航天大学 A product quality prediction method for process-type production equipment based on a self-updating model
CN115438897A (en)*2022-05-182022-12-06沈阳化工大学Industrial process product quality prediction method based on BLSTM neural network
CN116307528A (en)*2023-02-212023-06-23云南中烟工业有限责任公司 A Time Series Prediction Method of Process Quality Based on Graph Neural Network
CN119514808A (en)*2025-01-152025-02-25陕西美力源乳业集团有限公司 A method and system for detecting and analyzing the production quality of goat milk powder

Also Published As

Publication numberPublication date
CN111103420B (en)2022-05-10

Similar Documents

PublicationPublication DateTitle
CN111103420A (en) A method for predicting the quality of phenolic resin products under uncertainty of raw materials
CN110794093B (en)Precision compensation method for discharged caustic alkali concentration measuring device in evaporation process
CN110705692B (en) A non-linear dynamic industrial process product prediction method based on spatiotemporal attention network
CN112966891B (en) A method for predicting river water environment quality
CN110824914B (en) An intelligent monitoring method for wastewater treatment based on PCA-LSTM network
CN108920888B (en) A method for identification of continuous stirred tank reaction process based on deep neural network
CN111191726B (en) A Fault Classification Method Based on Weakly Supervised Learning Multilayer Perceptron
CN115963788B (en) Online prediction method for key quality indicators of industrial processes with multiple sampling rates
CN114239397A (en) Soft sensor modeling method based on dynamic feature extraction and local weighted deep learning
CN113569993A (en)Method for constructing quality prediction model in polymerization reaction process
CN108595892A (en)Soft-measuring modeling method based on time difference model
Liu et al.Correntropy long short term memory soft sensor for quality prediction in industrial polyethylene process
CN111079856B (en)Multi-period intermittent process soft measurement modeling method based on CSJITL-RVM
Graziani et al.Design of a soft sensor for an industrial plant with unknown delay by using deep learning
CN116930609A (en)Electric energy metering error analysis method based on ResNet-LSTM model
CN114239990A (en)Time series data prediction method based on time series decomposition and LSTM
CN103279030B (en)Dynamic soft measuring modeling method and device based on Bayesian frame
CN113609766A (en)Soft measurement method based on depth probability latent model
CN118031899A (en)Multi-factor roadbed settlement prediction method based on deep learning
CN110222825B (en)Cement product specific surface area prediction method and system
CN118839620B (en) On-line soft measurement method and system for water quality parameters based on optimization algorithm
CN107729988A (en) Cyanobacterial bloom prediction method based on dynamic deep belief network
CN103675005B (en)The industrial melt index soft measurement instrument of optimum FUZZY NETWORK and method
CN103675010B (en)The industrial melt index soft measurement instrument of support vector machine and method
CN119479884A (en) Prediction method of sulfuric acid concentration at the outlet of electronic grade sulfuric acid absorption tower

Legal Events

DateCodeTitleDescription
PB01Publication
PB01Publication
SE01Entry into force of request for substantive examination
SE01Entry into force of request for substantive examination
GR01Patent grant
GR01Patent grant

[8]ページ先頭

©2009-2025 Movatter.jp