Movatterモバイル変換


[0]ホーム

URL:


CN111091244A - Engine lubricating oil change period prediction method - Google Patents

Engine lubricating oil change period prediction method
Download PDF

Info

Publication number
CN111091244A
CN111091244ACN201911291211.4ACN201911291211ACN111091244ACN 111091244 ACN111091244 ACN 111091244ACN 201911291211 ACN201911291211 ACN 201911291211ACN 111091244 ACN111091244 ACN 111091244A
Authority
CN
China
Prior art keywords
lubricating oil
oil
oxidation temperature
initial oxidation
engine
Prior art date
Legal status (The legal status is an assumption and is not a legal conclusion. Google has not performed a legal analysis and makes no representation as to the accuracy of the status listed.)
Granted
Application number
CN201911291211.4A
Other languages
Chinese (zh)
Other versions
CN111091244B (en
Inventor
李健
马利欣
段海涛
詹胜鹏
金永亮
马赛赛
Current Assignee (The listed assignees may be inaccurate. Google has not performed a legal analysis and makes no representation or warranty as to the accuracy of the list.)
Wuhan Research Institute of Materials Protection
Original Assignee
Wuhan Research Institute of Materials Protection
Priority date (The priority date is an assumption and is not a legal conclusion. Google has not performed a legal analysis and makes no representation as to the accuracy of the date listed.)
Filing date
Publication date
Application filed by Wuhan Research Institute of Materials ProtectionfiledCriticalWuhan Research Institute of Materials Protection
Priority to CN201911291211.4ApriorityCriticalpatent/CN111091244B/en
Publication of CN111091244ApublicationCriticalpatent/CN111091244A/en
Application grantedgrantedCritical
Publication of CN111091244BpublicationCriticalpatent/CN111091244B/en
Activelegal-statusCriticalCurrent
Anticipated expirationlegal-statusCritical

Links

Images

Classifications

Landscapes

Abstract

The invention discloses a method for predicting an oil change period of engine lubricating oil, which selects an initial oxidation temperature as a lubricating oil quality reference index, namely the initial oxidation temperature of the lubricating oil reaches a certain threshold value, namely the lubricating oil needs to be changed, and selects an operation mileage and an operation time as visual reference indexes of the engine oil change; establishing a multiple linear regression model of the quality of the lubricating oil by taking the initial oxidation temperature as a dependent variable and the running mileage and running time of the motor vehicle as independent variables; the oil change period is calculated according to a multiple linear regression model, i.e. the maximum mileage a vehicle can run in a given time or the longest run time within a given range. According to the invention, a relation model between the initial oxidation temperature of the lubricating oil and the running mileage and running time of the vehicle is established by adopting a multiple linear regression analysis method according to test data samples obtained by testing, and the engine oil change period prediction model can accurately calculate, thereby providing a reasonable oil change period and saving resources.

Description

Engine lubricating oil change period prediction method
Technical Field
The invention belongs to the technical field of lubricating oil, relates to a technology for judging an oil change period of engine oil, and particularly relates to a method for predicting the oil change period of the engine lubricating oil.
Background
The lubricating oil for vehicles mainly refers to engine lubricating oil, and is the key for keeping the engine running reliably, reducing the friction energy loss of the engine and preventing the early abrasion of engine parts. Oil changes are also the most frequent item in vehicle maintenance. According to the requirements of 4S shops and automobile vendors, the oil change period commonly used by civil cars in China is basically 5000km or 6 months. The method is characterized in that the recommended oil change periods of 278 types of civil cars of different brands in the domestic market at present are counted, about 56.1% of the civil cars recommend 5000km for engine oil change, and among 109 types of civil cars of different brands, 78 types of cars recommend oil change for 6 months, 6 types of cars recommend 3 months, and about 77% of the civil cars require oil change within 6 months. Because of the huge automobile holding capacity and the large use and replacement of automobile lubricating oil, the consumption of the automobile lubricating oil occupies more than half of the annual total consumption of the lubricating oil in China. The excessive use of the lubricating oil for the vehicle not only causes the waste of petroleum resources, but also has difficult waste oil recovery and easily causes environmental pollution. Therefore, reasonable and scientific replacement of the lubricating oil for the vehicle is paid attention to by related people and broad vehicle owners. Foreign countries have advocated increasing the oil change cycle to over 1 kilometre. According to the research institute of Mitsubishi lubricating oil, Nippon Ringshi uses nitrate as a main degradation index, and the lubricating oil is presumed to be completely ineffective after 15000km of driving; the U.S. native general brand vehicle patent indicates that engine oil changes can be made every 12000km (up to 16000km depending on operating conditions) or 12 months. The road condition, air quality and other factors of China are different from those of foreign countries, so that although automobile engines and lubricating oil thereof adopted in China are basically the same as those of foreign countries, the extension of the oil change period still has doubt and the progress is slow. A plurality of groups of long-time driving monitoring experiments are carried out on the civil cars running under the typical urban working condition in China, and the results show that when the running time reaches 6 months, the physicochemical indexes of all groups of lubricating oil far do not reach the current national oil change standard (GB/T8028-. Therefore, the extension of the current oil change period in China is positive.
At present, methods for evaluating oil change periods are mainly based on lubricating oil tests, such as a lubricating oil spot test method, an infrared spectroscopy method, sensor online monitoring and the like. The american scholars s.jagamathan uses microsensor technology and neural network algorithms to provide a method for predicting the service life of engine oil by monitoring the operating conditions of an engine and lubricating oil; and (3) determining the consumption of the antioxidant content in the lubricating oil along with time by using a cyclic voltammetry method by using R.E.Kauffman to judge the oil change period of the lubricating oil. Chinese scholars also research the service life evaluation of the engine oil, and the physical and chemical properties of the engine oil are represented by measuring the dielectric constant of the engine oil for the vehicle, and the degradation degree of the lubricating oil is represented by the transmission value and the scattering value of infrared light. However, these evaluation methods require the detection of the vehicle lubricating oil, are relatively complex and relatively high in cost, and can only predict the oil change period of the tested lubricating oil, and a simple, clear and directly available general prediction model is not provided, so that the reference of a general vehicle owner is not facilitated.
Disclosure of Invention
According to the physical and chemical properties of a large number of obtained lubricating oil samples and corresponding operating condition data thereof, the relationship between the initial oxidation temperature change, the operating mileage and the operating time of the three types of vehicle lubricating oil is researched by a multiple linear regression analysis method, and a mathematical model of the oil change period of the vehicle lubricating oil based on the initial oxidation temperature is tried to be established, so that a user can directly refer to and use the mathematical model when determining oil change.
In view of the above, the present invention provides a method for predicting an oil change period of engine lubricating oil, which solves the problem of serious waste of the engine lubricating oil of the motor vehicle in the prior art.
The technical scheme adopted by the invention for realizing the purpose is as follows:
the method for predicting the oil change period of the engine lubricating oil is characterized by comprising the following steps of:
step 1, selecting parameters, namely selecting an initial oxidation temperature as a lubricating oil quality reference index, namely selecting the initial oxidation temperature of the lubricating oil as a certain threshold value, namely selecting the initial oxidation temperature of the lubricating oil as an intuitive reference index of engine oil change, and selecting operation mileage and operation time as the intuitive reference index of the engine oil change;
step 2, establishing a multiple linear regression model of the quality of the lubricating oil by taking the initial oxidation temperature as a dependent variable and taking the running mileage and the running time of the motor vehicle as independent variables;
and 3, calculating an oil change period according to the multiple linear regression model, namely the maximum mileage that the motor vehicle can run in a given time or the longest running time in a given running mileage.
Preferably, the multiple linear regression model is as follows:
Figure BDA0002319195020000021
wherein y is the initial oxidation temperature, x1The unit is hundred kilometers for the running mileage; x is the number of2Is the running time, the unit is month; y is0Critical initial oxidation temperature for protecting engine with lubricating oil, C is constant term, B1Partial regression coefficients for the operating mileage, B2Is the partial regression coefficient for run time.
Preferably, in the multiple linear regression model, the constant term C and the partial regression coefficient B1、B2Depending on the type of lubricant;
when the lubricating oil type is mineral oil: c3.685, B1=-0.013,B2=-0.104;
When the lubricating oil category is a semi-synthetic oil lubricating oil: c3.803, B1=-0.014,B2=-0.056;
When the lubricating oil type is a fully synthetic oil lubricating oil: c3.971, B1=-0.012,B2=-0.031。
Preferably, during the calculation of the oil change period in the step 3, a certain buffer margin for ensuring the running of the vehicle is set for the initial oxidation temperature yAmount, i.e. 3<y-y0≤8。
The invention has the beneficial effects that:
(1) the invention uses multiple linear regression analysis method to establish regression analysis model of initial oxidation temperature, mileage and operation time of lubricating oil for mineral oil, semisynthetic oil, fully synthetic oil and mixed oil on the basis of test data of 7 sets of real lubricating oil of vehicles 312. The fitting model has high precision and a simple formula, can better reflect the influence of the running mileage and the running time of the vehicle on the initial oxidation temperature, is convenient for a user to refer and refer when determining to replace the lubricating oil for the vehicle, and provides a certain basis for scientifically evaluating the oil change period.
(2) The fitting model is used for checking the typical oil change period (5000km and 6 months) of the existing civil passenger car, and the obtained predicted values of the initial oxidation temperature are far higher than the critical value when the additive is completely consumed, which indicates that the oil change is waste; according to the model calculation, mineral oil can run for 6366km in 12 months, semi-synthetic oil and fully-synthetic oil can run for about 8468km and 15030km in 18 months respectively, and the appropriate extension of the oil change period in practical application is experimental basis.
Drawings
FIG. 1 is a graph of initial oxidation temperature of mineral oil versus operating mileage.
FIG. 2 is a graph of the initial oxidation temperature of mineral oil versus run time.
FIG. 3 is the relationship between the initial oxidation temperature of the semi-synthetic oil and the mileage.
FIG. 4 is a graph showing the relationship between the initial oxidation temperature and the operation time of a semi-synthetic oil
FIG. 5 is a graph of synthetic oil onset oxidation temperature versus operating mileage.
FIG. 6 is a graph of synthetic oil onset oxidation temperature versus run time.
Detailed Description
The invention is illustrated in the following with reference to the accompanying drawings.
The invention provides a method for predicting an oil change period of engine lubricating oil, which comprises the following steps:
1. the test object is selected, and 7 civil cars running under the conventional urban working conditions are selected as the test objects to carry out long-time running condition and lubricating oil performance tracking monitoring. The basic information of the test vehicle, the brand and kind of the used oil, the total operating mileage, and the total operating time are shown in table 1. The test vehicle is completely used according to the will of the vehicle owner without any additional requirement. Test oil samples are taken from the test vehicle crankcase periodically (taken about once a month) depending on the particular operating conditions of the vehicle until the test is complete. The initial oxidation temperature (the heating rate is 10 ℃/min, the oxygen flow is 100mL/min, and the oxygen pressure is 3.5MPa) of a test oil sample is measured by using a NETZSCH HP204 high-Pressure Differential Scanning Calorimeter (PDSC), and the change characteristic of the oxidation stability of the lubricating oil along with the extension of service time is analyzed. The test time span is: the total data samples were 312 groups from 2015 to 2018.
TABLE 1 test vehicle and test lubricating oil types
Figure BDA0002319195020000041
2. The data analysis method and the prior art show that the initial oxidation temperature change of the lubricating oil can most represent the decline rule of the performance of the vehicle lubricating oil in a plurality of lubricating oil physicochemical indexes, the determination of whether the vehicle lubricating oil needs to be replaced according to the initial oxidation temperature of the lubricating oil is more scientific, and other indexes such as generation of acidic substances, accumulation of insoluble mixtures or reduction of the anti-wear performance are closely related to reduction of the anti-oxidation capability of the lubricating oil. For the vehicle owner, the operating mileage (commonly called kilometers) and the service life of the lubricating oil are the most direct and intuitive parameters for determining the oil change period. Therefore, the initial oxidation temperature is used as an index, and on the basis of a large amount of test data, a relation model of the initial oxidation temperature of the lubricating oil, the operation mileage and the operation time under the typical operation working condition of China is established and is most easily adopted by car owners.
The invention aims at vehicles adopting single mineral oil, semisynthetic oil and fully synthetic oil, respectively, establishes a multiple linear regression model by taking the initial oxidation temperature as an explained variable and taking the running mileage and the running time as explained variables (table 2), obtains a more practical equation through ridge regression analysis, and analyzes the change characteristics of the oxidation stability of the lubricating oil for vehicles along with the running mileage and the running time.
TABLE 2 analytical model variables Table
Figure BDA0002319195020000051
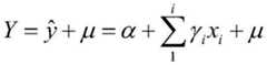
The first step is as follows: selecting an initial oxidation temperature as a dependent variable, an operation mileage and an operation time as independent variables, and selecting a model as a multiple linear regression model as shown in table 1; the general model form of multiple linear regression analysis is:
Figure BDA0002319195020000052
in the above formula, Y is an explained variable;
Figure BDA0002319195020000053
representing the estimated value of the dependent variable y for a given independent variable value, μ being the random error, representing the difference between the specific value and the average value, also called the residual error, α being a constant representing the estimated value of the dependent variable when all independent (i.e. explanatory) values are 0, xiTo explain the variables; gamma rayiIs a partial regression coefficient, and represents that when other independent variables take fixed values, the independent variable xiEach time a unit is changed
Figure BDA0002319195020000056
The amount of change in (c).
The second step is that: respectively making scatter diagrams of the initial oxidation temperature of the lubricating oil of the test vehicle along with the running mileage and the running time to observe the distribution trend (taking mineral oil as an example), as shown in figures 1 and 2;
the third step: the exponential function is selected according to the requirement of the multiple linear regression model to perform variable transformation so that the independent variable and the dependent variable satisfy a linear relation (taking mineral oil as an example), and the method for performing variable transformation on the original data is as follows. Firstly, respectively carrying out nonlinear fitting on original variables (operating mileage and time) and initial oxidation temperature data, wherein an exponential function is selected as a fitting model, and the form of the model is shown asformula 1
Figure BDA0002319195020000054
In the formula y0、A、R0Are all constants. In the fitting process, y0Are all around 200 (approximately equal to the base oil initial oxidation temperature), thus fixing y0Is 200.
The fitting results were as follows:
Figure BDA0002319195020000055
wherein x1、x2Respectively representing the running mileage/100 km (in hundred kilometers) and the running time/month (in months), y1Representing mileage run alone x1Dependent variable as independent variable, y2Representing the running time x alone2Dependent variables as independent variables are obtained by linear transformation (as shown in fig. 3 and 4):
ln(y1-200)=ln43.101-0.034x1
ln(y2-200)=ln40.233-0.237x2
let Y*Ln (y-200) and replacing the above formula:
Y*=ln43.101–0.034x1formula 2
Y*=ln40.233–0.237x2Formula 3
The fourth step: at this time, the transition variable Y*And x1、x2Is a linear relationship. The semi-synthetic oil and the fully synthetic oil can be subjected to variable transformation in the same way, and the excessive variable Y is converted*And x1、x2Importing the data into data analysis software to perform multiple linear regression analysis to obtain Y*=C+B1x1+B2x2And performing variable replacement on the calculation result to realize the return of the change characteristics of the initial oxidation temperature of the lubricating oil for the vehicle along with the change of the running mileage and the running timeAnalysis is shown in formula 3 and table 2;
Figure BDA0002319195020000061
wherein y is the initial oxidation temperature, x1The unit is hundred kilometers for the running mileage; x is the number of2Is the running time, the unit is month; y is0Critical initial oxidation temperature, y, for protecting the engine from lubricatingoils0200 parts of a total weight; c is a constant term, B1Partial regression coefficients for the operating mileage, B2Is the partial regression coefficient for run time.
TABLE 3 analysis of model parameters
Figure BDA0002319195020000062
The fifth step: according to the comparison calculation of the experimental model and the original data, the mineral lubricating oil can run for 6366km within 12 months under the urban working condition; semi-synthetic lubricants can run 8468km in 18 months, while fully synthetic oils can run 15030km in 18 months, as shown in table 4.
TABLE 4 model oil change period prediction Table
Figure BDA0002319195020000063
Figure BDA0002319195020000071
To summarize:
(1) the invention uses multiple linear regression analysis method to establish regression analysis model of initial oxidation temperature, mileage and operation time of lubricating oil for mineral oil, semisynthetic oil, fully synthetic oil and mixed oil on the basis of test data of 7 sets of real lubricating oil of vehicles 312. The fitting model has high precision and a simple formula, can better reflect the influence of the running mileage and the running time of the vehicle on the initial oxidation temperature, is convenient for a user to refer and refer when determining to replace the lubricating oil for the vehicle, and provides a certain basis for scientifically evaluating the oil change period.
(2) The fitting model is used for checking the typical oil change period (5000km and 6 months) of the existing civil passenger car, and the obtained predicted values of the initial oxidation temperature are far higher than the critical value when the additive is completely consumed, which indicates that the oil change is waste; according to the model calculation, mineral oil can run for 6366km in 12 months, semi-synthetic oil and fully-synthetic oil can run for about 8468km and 15030km in 18 months respectively, and the appropriate extension of the oil change period in practical application is experimental basis.

Claims (4)

1. The method for predicting the oil change period of the engine lubricating oil is characterized by comprising the following steps of:
step 1, selecting parameters, namely selecting an initial oxidation temperature as a lubricating oil quality reference index, namely selecting the initial oxidation temperature of the lubricating oil as a certain threshold value, namely selecting the initial oxidation temperature of the lubricating oil as an intuitive reference index of engine oil change, and selecting operation mileage and operation time as the intuitive reference index of the engine oil change;
step 2, establishing a multiple linear regression model of the quality of the lubricating oil by taking the initial oxidation temperature as a dependent variable and taking the running mileage and the running time of the motor vehicle as independent variables;
and 3, calculating an oil change period according to the multiple linear regression model, namely the maximum mileage that the motor vehicle can run in a given time or the longest running time in a given running mileage.
2. The method for predicting the oil change cycle of the engine lubricating oil according to claim 1, characterized in that: the multiple linear regression model is as follows:
Figure FDA0002319195010000011
wherein y is the initial oxidation temperature, x1The unit is hundred kilometers for the running mileage; x is the number of2Is the running time, the unit is month; y is0Critical initial oxidation temperature for protecting engine with lubricating oil, C is constant term, B1To run inPartial regression coefficient of the equation, B2Is the partial regression coefficient for run time.
3. The method for predicting the oil change cycle of the engine lubricating oil according to claim 2, characterized in that: in the multiple linear regression model, a constant term C and a partial regression coefficient B1、B2Depending on the type of lubricant;
when the lubricating oil type is mineral oil: c3.685, B1=-0.013,B2=-0.104;
When the lubricating oil category is a semi-synthetic oil lubricating oil: c3.803, B1=-0.014,B2=-0.056;
When the lubricating oil type is a fully synthetic oil lubricating oil: c3.971, B1=-0.012,B2=-0.031。
4. The method for predicting the oil change cycle of the engine lubricating oil according to claim 3, characterized in that: in the process of calculating the oil change period in the step 3, setting certain buffer allowance for ensuring the vehicle to run for the initial oxidation temperature y, namely 3<y-y0≤8。
CN201911291211.4A2019-12-162019-12-16 A method for predicting the oil change interval of engine lubricating oilActiveCN111091244B (en)

Priority Applications (1)

Application NumberPriority DateFiling DateTitle
CN201911291211.4ACN111091244B (en)2019-12-162019-12-16 A method for predicting the oil change interval of engine lubricating oil

Applications Claiming Priority (1)

Application NumberPriority DateFiling DateTitle
CN201911291211.4ACN111091244B (en)2019-12-162019-12-16 A method for predicting the oil change interval of engine lubricating oil

Publications (2)

Publication NumberPublication Date
CN111091244Atrue CN111091244A (en)2020-05-01
CN111091244B CN111091244B (en)2023-02-03

Family

ID=70396490

Family Applications (1)

Application NumberTitlePriority DateFiling Date
CN201911291211.4AActiveCN111091244B (en)2019-12-162019-12-16 A method for predicting the oil change interval of engine lubricating oil

Country Status (1)

CountryLink
CN (1)CN111091244B (en)

Cited By (6)

* Cited by examiner, † Cited by third party
Publication numberPriority datePublication dateAssigneeTitle
CN112232530A (en)*2020-09-112021-01-15上海远度汽车科技有限公司Automobile maintenance cycle operation method and vehicle-mounted intelligent operation system
CN113012763A (en)*2021-02-242021-06-22西南石油大学Crude oil oxidation reaction kinetic model building method based on four-group components
CN113343411A (en)*2021-04-202021-09-03北京新联铁集团股份有限公司Method and device for determining gear box lubricating oil replacement time and electronic equipment
CN114778553A (en)*2022-04-182022-07-22中汽研汽车检验中心(天津)有限公司 An oil spot detection system for rapid identification of lubricating oil quality
CN115424368A (en)*2022-08-252022-12-02武汉迪昌科技有限公司 Method and device for testing unpowered marshalling of EMUs
CN116227727A (en)*2023-03-202023-06-06一汽解放汽车有限公司Method and device for evaluating grease replacement cycle and computer equipment

Families Citing this family (1)

* Cited by examiner, † Cited by third party
Publication numberPriority datePublication dateAssigneeTitle
US20250104494A1 (en)*2023-09-262025-03-27Geotab Inc.Systems and methods for estimating a remaining useful life of vehicle engine oil

Citations (3)

* Cited by examiner, † Cited by third party
Publication numberPriority datePublication dateAssigneeTitle
US20110208495A1 (en)*2008-08-052011-08-25Fujitsu LimitedMethod, system, and program for generating prediction model based on multiple regression analysis
CN105205565A (en)*2015-09-302015-12-30成都民航空管科技发展有限公司Controller workload prediction method and system based on multiple regression model
CN109164249A (en)*2018-10-092019-01-08武汉材料保护研究所有限公司A kind of petrol engine lubricants performance appraisal procedure based on onboard diagnostic system

Patent Citations (3)

* Cited by examiner, † Cited by third party
Publication numberPriority datePublication dateAssigneeTitle
US20110208495A1 (en)*2008-08-052011-08-25Fujitsu LimitedMethod, system, and program for generating prediction model based on multiple regression analysis
CN105205565A (en)*2015-09-302015-12-30成都民航空管科技发展有限公司Controller workload prediction method and system based on multiple regression model
CN109164249A (en)*2018-10-092019-01-08武汉材料保护研究所有限公司A kind of petrol engine lubricants performance appraisal procedure based on onboard diagnostic system

Non-Patent Citations (4)

* Cited by examiner, † Cited by third party
Title
刘延泉等: "基于SPSS湿法烟气脱硫系统的优化", 《电力科学与工程》*
景国勋,施式亮主编: "《系统安全评价与预测》", 31 January 2016, 中国矿业大学出版社*
曾惠珍等: "福州水泥路面的温度预测及气象要素分析", 《四川理工学院学报(自然科学版)》*
熊励等: "城市道路交通拥堵预测及持续时间研究", 《公路》*

Cited By (7)

* Cited by examiner, † Cited by third party
Publication numberPriority datePublication dateAssigneeTitle
CN112232530A (en)*2020-09-112021-01-15上海远度汽车科技有限公司Automobile maintenance cycle operation method and vehicle-mounted intelligent operation system
CN112232530B (en)*2020-09-112021-09-21上海远度汽车科技有限公司Automobile maintenance cycle operation method and vehicle-mounted intelligent operation system
CN113012763A (en)*2021-02-242021-06-22西南石油大学Crude oil oxidation reaction kinetic model building method based on four-group components
CN113343411A (en)*2021-04-202021-09-03北京新联铁集团股份有限公司Method and device for determining gear box lubricating oil replacement time and electronic equipment
CN114778553A (en)*2022-04-182022-07-22中汽研汽车检验中心(天津)有限公司 An oil spot detection system for rapid identification of lubricating oil quality
CN115424368A (en)*2022-08-252022-12-02武汉迪昌科技有限公司 Method and device for testing unpowered marshalling of EMUs
CN116227727A (en)*2023-03-202023-06-06一汽解放汽车有限公司Method and device for evaluating grease replacement cycle and computer equipment

Also Published As

Publication numberPublication date
CN111091244B (en)2023-02-03

Similar Documents

PublicationPublication DateTitle
CN111091244A (en)Engine lubricating oil change period prediction method
CN111126685B (en)Method for establishing engine lubricating oil quality prediction model
Kral Jr et al.Degradation and chemical change of longlife oils following intensive use in automobile engines
CN109164249B (en) A method for evaluating the performance of gasoline engine lubricating oil based on on-board diagnostic system
CN112232530B (en)Automobile maintenance cycle operation method and vehicle-mounted intelligent operation system
US8082776B2 (en)On-vehicle evaluation of oil formulation
WolakTBN performance study on a test fleet in real-world driving conditions using present-day engine oils
Wolak et al.Determination of the content of metals in used lubricating oils using AAS
Wolak et al.FTIR analysis and monitoring of used synthetic oils operated under similar driving conditions
Wei et al.Motor oil condition evaluation based on on-board diagnostic system
Sejkorová et al.Definition of a motor oil change interval for high-volume diesel engines based on its current characteristics assessment
Styer et al.Fuel economy beyond ILSAC GF-5: correlation of modern engine oil tests to real world performance
Furch et al.Design of a tribotechnical diagnostics model for determining the technical condition of an internal combustion engine during its life cycle
CN103471963A (en)Performance analysis experiment of internal combustion engine oil
Alimov et al.Choosing of rational periodicity of engine crankcase oil changing taking into account energy-saving properties of oils
WolakStatistical analysis of HTHS viscosity rating of present-day engine oils
Glos et al.Tribo-diagnostics as an indicator and input for the optimization of vehicles preventive maintenance
Idros et al.Optical analysis for condition based monitoring of oxidation degradation in lubricant oil
Van RensselarPC-11 and GF-6: New engines drive change in oil specs.
Gołębiowski et al.Preventive maintenance in urban public transport: the role of engine oil analysis
Guinther et al.Development of a Novel Vehicle-Based Method to Assess the Impact of Lubricant Quality on Passenger Car Energy Efficiency
Idros et al.Optical behavior of transmission oil lubricant for degradation monitoring
Macias et al.ASSESSMENT OF MOTOR OIL WEAR IN TRUCKS.
Kwak et al.Continuously Variable Transmission (CVT) Fuel Economy
Kumar et al.Fuel Economy Benefits with Low Viscosity Engine Oil Formulations on Small Trucks with Chassis Dynamometer Tests

Legal Events

DateCodeTitleDescription
PB01Publication
PB01Publication
SE01Entry into force of request for substantive examination
SE01Entry into force of request for substantive examination
GR01Patent grant
GR01Patent grant

[8]ページ先頭

©2009-2025 Movatter.jp