Movatterモバイル変換


[0]ホーム

URL:


CN111083201B - An energy-saving resource allocation method for data-driven manufacturing services in the Industrial Internet of Things - Google Patents

An energy-saving resource allocation method for data-driven manufacturing services in the Industrial Internet of Things
Download PDF

Info

Publication number
CN111083201B
CN111083201BCN201911169997.2ACN201911169997ACN111083201BCN 111083201 BCN111083201 BCN 111083201BCN 201911169997 ACN201911169997 ACN 201911169997ACN 111083201 BCN111083201 BCN 111083201B
Authority
CN
China
Prior art keywords
host
hosts
energy
services
service
Prior art date
Legal status (The legal status is an assumption and is not a legal conclusion. Google has not performed a legal analysis and makes no representation as to the accuracy of the status listed.)
Active
Application number
CN201911169997.2A
Other languages
Chinese (zh)
Other versions
CN111083201A (en
Inventor
张伟哲
周擎阳
刘川意
何慧
方滨兴
王德胜
周勇林
朱勇
余翔湛
刘亚维
崔丽杰
Current Assignee (The listed assignees may be inaccurate. Google has not performed a legal analysis and makes no representation or warranty as to the accuracy of the list.)
Harbin Institute of Technology Shenzhen
Original Assignee
Harbin Institute of Technology Shenzhen
Priority date (The priority date is an assumption and is not a legal conclusion. Google has not performed a legal analysis and makes no representation as to the accuracy of the date listed.)
Filing date
Publication date
Application filed by Harbin Institute of Technology ShenzhenfiledCriticalHarbin Institute of Technology Shenzhen
Priority to CN201911169997.2ApriorityCriticalpatent/CN111083201B/en
Publication of CN111083201ApublicationCriticalpatent/CN111083201A/en
Application grantedgrantedCritical
Publication of CN111083201BpublicationCriticalpatent/CN111083201B/en
Activelegal-statusCriticalCurrent
Anticipated expirationlegal-statusCritical

Links

Images

Classifications

Landscapes

Abstract

Translated fromChinese

一种工业物联网中针对数据驱动制造服务的节能资源分配方法,属于工业物联网优化技术。本发明为了实现对分配后的任进行实时监控调整,降低系统资源消耗,确保由云制造服务提供商交付SLA的同时降低主机能耗和冷却成本。检测CPU利用率;确定待迁移出服务,SU‑hosts上的所有D2M服务以及从SO‑hosts中选择的D2M服务;搜索合适的主机为确定移出的D2M服务分配资源,利用能源和热感知资源分配方案找到适合D2M服务迁移的主机,进行服务迁移以减少能源消耗。本发明考虑了资源分配的节能消耗,并对任务分配后进行实时监控调整,降低了系统资源消耗,确保由云制造服务提供商交付SLA的同时降低主机能耗和冷却成本。

Figure 201911169997

An energy-saving resource allocation method for data-driven manufacturing services in the Industrial Internet of Things belongs to the optimization technology of the Industrial Internet of Things. In order to realize real-time monitoring and adjustment of the assigned tasks, the present invention reduces system resource consumption, ensures that the cloud manufacturing service provider delivers SLA and reduces host energy consumption and cooling cost. Detect CPU utilization; identify services to be migrated, all D2M services on SU‑hosts, and D2M services selected from SO‑hosts; search for suitable hosts to allocate resources for determined D2M services to migrate, using energy and heat-aware resource allocation The solution finds a host suitable for D2M service migration, and performs service migration to reduce energy consumption. The invention takes into account the energy-saving consumption of resource allocation, and performs real-time monitoring and adjustment after task allocation, thereby reducing system resource consumption, ensuring that the cloud manufacturing service provider delivers SLA while reducing host energy consumption and cooling costs.

Figure 201911169997

Description

Energy-saving resource allocation method for data-driven manufacturing service in industrial Internet of things
Technical Field
The invention relates to an energy-saving resource allocation method for data-driven manufacturing service, and belongs to the industrial Internet of things optimization technology.
Background
Industry 4.0 refers to the process of manufacturing digitization for the purpose of creating an ecosystem for an industry that is focused on manufacturing and supply chain management. An industrial internet of things (IIoT) includes smart sensors, camera systems, smart meters, industrial robots and actuators to utilize smart machines and the ability to perform real-time analysis in a cloud-enabled IIoT environment. According to the reports, predictions of IIoT market growth are expected to grow from $ 640 billion in 2018 to $ 914.0 billion in 2023 with a composite annual growth rate of 7.39%. In data driven manufacturing (D2M) services, IIoT devices have great potential in sustainable and green practice, supply chain traceability, quality control and overall supply chain efficiency. Therefore, to provide an efficient and accurate D2M service, a large amount of data is generated from these IIoT devices and used for analysis in cloud-enabled IIoT data centers.
Cloud-enabled IIoT environments provide MaaS, a manufacturing as a service, to the manufacturing industry, benefiting the industry by minimizing operational and administrative costs. MaaS includes different types of D2M services (e.g., supply chain management and optimization, predictive maintenance/analysis, and asset tracking and optimization), requiring significant computing, network, and storage resources to deliver to end service users. Therefore, the cloud-enabled IIoT environment requires a large amount of energy and increases with the rapid increase in D2M service demand. Currently, cloud-enabled IIoT data centers encounter problems of high energy consumption, high temperature, and Service Level Agreement (SLA) violation, which are significant challenges for the research community. For example, in the united states, cloud-enabled IIoT data centers consume approximately 2% (700 billion kilowatt-hours) of total energy. By 2030, the energy consumption of cloud-enabled IIoT data centers can be reduced from 8000TWh to 1200TWh if necessary. Therefore, improving the energy efficiency of cloud-supportable IIoT data centers is critical to a sustainable and cost-effective cloud-supportable IIoT environment. The energy consumption of the cloud-enabled IIoT environment is proportional to the energy consumption of the servers (hosts) and the heat dissipation cost or temperature of the hosts.
The prior art with the reference number of CN109491790A provides a container-based industrial internet of things edge computing resource allocation method and system, and the method comprises the following steps: dividing the tasks into n types according to the data types collected by the sensing layer, and obtaining the probability relation of the tasks sequentially reaching the edge server cluster through historical data statistics; distributing computing resources to the real-time tasks according to the system state space and the decision space, and performing sequence decision; according to a resource allocation algorithm based on reinforcement learning, a system selects the most reasonable strategy from three resource allocation strategies of low, medium and high according to the current state to allocate resources to the current task; and constructing a task scheduling processing model, creating a container, scheduling data to the container for processing and analysis, and deleting the container after the task is completed to complete distribution. In the prior art, under the condition of limited resources, different types of data are allocated by computing resources, and containers are created for processing and analysis, so that the resource use efficiency and the total task processing rate are improved. In the prior art, energy-saving consumption of resource allocation is not considered, and real-time monitoring and adjustment are not performed after task allocation, so that the resource consumption of a system is increased.
Disclosure of Invention
The invention provides an energy-saving resource allocation method for data-driven manufacturing service in the industrial Internet of things, aiming at realizing real-time monitoring and adjustment of allocated tasks, reducing system resource consumption, ensuring that SLA is delivered by a cloud manufacturing service provider and reducing host energy consumption and cooling cost.
The technical scheme adopted by the invention for solving the technical problems is as follows:
an energy-saving resource allocation method for data-driven manufacturing service in the industrial internet of things comprises the following steps:
step one, detecting the CPU utilization rate: detecting the utilization rate of a host CPU in the cloud-enabled IIoT data center, then classifying the utilization rates, and setting three threshold values T according to the utilization rate of the host CPUlower,Tmiddle,TupperClassifying the hosts, and sequentially classifying the hosts into four classes, namely SU-hosts, SA-hosts, NL-hosts and SO-hosts according to threshold values from low to high;
step two, determining all D2M services on SU-hosts and D2M services selected from SO-hosts (S0 hosts) to be migrated out of the service (D2M service refers to data-driven manufacturing service);
and step three, searching a proper host to allocate resources for the D2M service determined to be moved in the step two, finding a host suitable for D2M service migration by using an energy and thermal perception resource allocation (ETV) scheme, and performing service migration to reduce energy consumption.
Further, three thresholds T are set in step onelower,Tmiddle,TupperThe determination process of (2) is:
the determination of the three thresholds is selected by a least median square regression model, and is specifically determined by using formulas (9) to (11):
Figure GDA0003452707930000021
Figure GDA0003452707930000022
Tupper=(1-c×LMS) (11)
LMS in the formula represents the square of the minimum median; and c represents a safety factor, and the value of c is 0.5.
Further, the classification of the utilization rate based on the above three thresholds is described as follows:
1) obtaining the current ithPrediction of CPU utilization for a host
Figure GDA0003452707930000023
Classifying the hosts into an affiliated group corresponding thereto;
2) if, if
Figure GDA0003452707930000024
Then the host is identified as a member of the SO-hosts group, the host belonging to the group must migrate some D2M services to SA-hosts,
Figure GDA0003452707930000031
groups to reduce SLA violations;
3) in NL-hosts, the first step of the method,
Figure GDA0003452707930000032
hosts in the group, all their D2M services remain unchanged;
4) if, if
Figure GDA0003452707930000033
The host is identified as one of the members and the hosts belonging to the group must migrate all of their D2M services into SA-hosts.
Further, the specific implementation process of the step two is as follows:
modeling the energy consumption problem in a cloud-enabled IIoT environment, a set of n D2M services S is defined that need to be placed on m hosts H and G stands for gateway device, S ═ S1,s2,....,sn,H=h1,h2,....,hm(ii) a Energy consumption of the cloud-supported IIoT environment includes computational energy consumption and cooling energy consumption, observed time is divided into l time slots, q is 1, 2.
The allocation of D2M services to the cloud-enabled IIoT data center is described with an energy consumption model and a cooling energy consumption model;
the energy consumption model is as follows:
Figure GDA0003452707930000034
Figure GDA0003452707930000035
wherein:
Figure GDA0003452707930000036
representing the consumption of base power, P, by each hosthostRepresents the total power consumption consumed by the host,
Figure GDA0003452707930000037
and
Figure GDA0003452707930000038
maximum power consumption of the host and the gateway, respectively, over a period of time; deltajHolding a binary value of 0, 1; if the jth D2M service gets resources from the host, the value of δ j is "1", otherwise "0"; CPU(s)j) Represents the total number of CPUs required for the jth D2M service; phostThe formula represents the utilization of the host, which is derived from the ratio of the total number of CPU cores per D2M service request associated with the D2M service to the total number of CPU cores of the host;
c is the capacity of the original bearer network, CmaxIs the maximum network capacity;
Figure GDA0003452707930000039
consuming base power, P, on behalf of the gatewaygateRepresents the total power consumed by the gateway;
during the observation time, the overall computing power consumption of the cloud-enabled IIoT environment is represented by a matrix P,
Figure GDA00034527079300000310
q ═ 1, 2,. 1, l;i 1, 2, m determines the matrixAn element in P;
in summary, the computational energy consumption model of the cloud-enabled IIoT environment is defined as follows:
Figure GDA00034527079300000311
the refrigeration energy consumption model is as follows:
in cloud-supported IIoT data centers, the energy consumed by computer room air conditioners CRAC is called cooling energy consumption, and depends on the heat generated by the host and the efficiency of CRAC; HR matrix d describes the relationship between each pair of hosts, with entry di,kRepresents the i-ththGenerating host to kthThe recirculation rate of each host; the heat contribution of all hosts affects the iththThe inlet temperature of each host in the observed time slot q is given by the following formula:
Figure GDA0003452707930000041
Figure GDA0003452707930000042
which is indicative of the inlet temperature, is,
Figure GDA0003452707930000043
which is indicative of the temperature being supplied,
all inlet temperatures
Figure GDA0003452707930000044
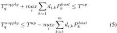
Wherein T isupIs the warning temperature, which has a nominal value of 70 ℃, the temperature of the cold air provided from the CRAC is set by equation (4) as follows:
Figure GDA0003452707930000045
using the CoP model:
CoP(Tsupply)=0.0068(Tsupply)2+0.0008Tsupply+0.458 to describe the refrigeration energy consumption model:
Figure GDA0003452707930000046
and (3) integrating the models in the formula (3) and the formula (6) to obtain a total consumption model:
Figure GDA0003452707930000047
further optimization (7) can be achieved using equation (5), resulting in the final optimization objective:
Figure GDA0003452707930000048
searching for the best host to obtain resource allocation: the D2M resource allocation optimization is achieved by selecting the most appropriate host from either SO-hosts or SU-hosts at each scheduling interval based on obtaining the list of hosts and services, with the cost of each host calculated using equation (8), and compressing the host cost in each iteration.
Further, the specific implementation process of the step three is as follows:
balancing the trade-off between computing and cooling systems with an ETV resource allocation scheme, D2M service resource allocation is directly dependent on the current temperature of the hosts, which is the lowest temperature among hosts in the cloud-enabled IIoT data center when selecting hosts for resource allocation for the D2M service, constructed based on costs of energy and thermal energy, from a list of hosts, D2M service, Tlower、TmiddleUsing equation (8) to make a feasible host list, the host list search space is sorted to find the best feasible host list.
The invention has the following beneficial technical effects: the present invention provides a solution to how to reduce host power consumption and cooling costs while ensuring that SLAs are delivered by cloud manufacturing service providers. It can be seen that increasing the level of host resource utilization in a cloud-enabled IIoT data center can minimize the overall energy consumption of the cloud-enabled IIoT environment. However, simply increasing host utilization may affect the temperature of hosts and SLAs delivered by the cloud manufacturing service provider. Therefore, D2M service should be selected for reallocation from either service-overloaded hosts (SO hosts) or service-underloaded hosts (SU hosts) according to current resource demand to reduce SLA violations. The number of active hosts is reduced by switching idle hosts to a power saving mode to reduce power consumption. When D2M service workload demand increases, the host may be reactivated. The present invention performs energy-saving resource allocation using three main tasks: (1) detecting the utilization rate of a CPU; (2) selecting a D2M service from the SO host; (3) searching for a suitable host allocates resources for the D2M service. The invention considers the energy-saving consumption of resource allocation, carries out real-time monitoring and adjustment after the task allocation, reduces the resource consumption of the system, ensures that SLA is delivered by a cloud manufacturing service provider, and simultaneously reduces the energy consumption and the cooling cost of the host.
Drawings
FIG. 1 is a graph of energy consumption simulation results for the method of the present invention, FIG. 2 is a graph of the results of comparing SLA violation percentages for KLA-MR, KMI-MP, RANDOM and PABFD with ETV, FIG. 3 is a graph of the results of comparing the ETV scheme to KMI-MR, KMI-MP, RANDOM and PABFD methods, FIG. 5 is a graph of simulation results of host temperature for the ETV scheme to KMI-MR, KMI-MP, RANDOM and PABFD, and FIG. 6 is a graph of simulation results of host shutdown numbers for the ETV scheme to KMI-MR, KMI-MP, RANDOM and PABFD.
The abscissa in fig. 1 represents cpu utilization, and the ordinate represents the number of hosts;
the abscissa in fig. 2 represents the different algorithms and the ordinate represents the energy consumption;
the abscissa in fig. 3 represents different algorithms, and the ordinate represents SLA metric violation rate;
the abscissa in fig. 4 represents the different algorithms and the ordinate represents the specific value of the ME2 index;
the ETV protocol and KMI-MR, KMI-MP, RANDOM, and PABFD are defined herein, reference KMI-MR, reference KMI-MP, reference RANDOM, and reference PABFD, respectively.
Detailed Description
With reference to fig. 1 to 5, the energy-saving resource allocation method for data-driven manufacturing service in the internet of things of the industry according to the present invention is described as follows:
1, modeling and problem formulation description of a system, and performing model research and formulation work on the energy consumption problem in the cloud-supported IIoT environment in order to better explain the problem. The following formalization is described:
a set of n D2M services S ═ (S)1,s2,....,sn) H ═ H needs to be placed on m hosts1,h2,...., hm) And G represents a gateway device. The energy consumption of the cloud-enabled IIoT environment includes computing energy consumption and cooling energy consumption. The observed time is divided into l (q ═ 1, 2.. eta., l) time slots, each time slot having a duration of κ. For the allocation algorithm to allocate D2M services to cloud-enabled IIoT data centers, we will describe their energy consumption model and thermal perception energy consumption model, respectively.
1.1 calculating energy consumption model
In the cloud-enabled IIoT environment, the computational energy consumption is determined by the energy consumed by the CPU, storage, memory, and network. However, the CPU is the primary computational energy consumer. Therefore, the computational power consumption model focuses mainly on the power consumption of the CPU. The energy consumed by the gateway is determined by its network carrying capacity, as follows:
Figure GDA0003452707930000061
Figure GDA0003452707930000062
each host consuming base power
Figure GDA0003452707930000063
To support basic tasks such as networking, monitoring and running instance fans to perform host heat dissipation. Wherein P ishostRepresents the total power consumption consumed by the host,
Figure GDA0003452707930000064
and
Figure GDA0003452707930000065
the maximum power consumption of the host and the gateway, respectively, over a period of time. C is the capacity of the original bearer network, CmaxIs the maximum network capacity. DeltajThe binary value (0,1) is maintained. If the jth D2M service gets resources from the host, then the value of δ j is "1", otherwise it is "0". CPU(s)j) Representing the total number of CPUs required for the jth D2M service. The above equation indicates that the utilization of the host is derived from the ratio of the total number of CPU cores per D2M service request associated with the D2M service to the total number of CPU cores of the host. During the observation time, the overall computing power consumption of the cloud-enabled IIoT environment is represented by a matrix P,
Figure GDA0003452707930000066
the elements in the matrix P are determined. The computational energy consumption model of the cloud-enabled IIoT environment is defined as follows:
Figure GDA0003452707930000067
1.2 refrigeration energy consumption model
In cloud-enabled IIoT data centers, the energy consumed by Computer Room Air Conditioners (CRACs) is referred to as cooling energy. It depends on the heat generated by the host and the efficiency of the CRAC. The airflow patterns in a typical cloud-enabled IIoT data center are complex and therefore result in thermal recirculation (HR). The HR phenomenon is that hot air formed at the outlet of the host is recirculated in the IIoT data center supporting the cloud function and mixed with cold air provided by the CRAC. HR matrix d describes the relationship between each pair of hosts, with entry di,kRepresents the i-ththGenerating host to kthThe recirculation rate of each host. HR phenomenon in cloud-enabled IIoT data centers results in iththThe inlet temperature of the host in the observed time slot q
Figure GDA0003452707930000071
Above the temperature provided by
Figure GDA0003452707930000072
The cold air of (2). Therefore, the HR phenomenon plays a key role in the increase in energy consumption of cloud-enabled IIoT data centers. The heat contribution of all hosts affects the iththThe inlet temperature of each host in the observed time slot q is given by the following formula:
Figure GDA0003452707930000073
to ensure reliability of all hosts in cloud-enabled IIoT data centers, the temperature of all portals
Figure GDA0003452707930000074
Figure GDA0003452707930000075
Wherein T isupIs the warning temperature (nominal 70 ℃). Therefore, we can set the cool air temperature provided from the CRAC by equation (4). The overall structure is as follows:
Figure GDA0003452707930000076
the amount of heat generated by the host is proportional to the calculated energy consumption. The efficiency of a CRAC unit is typically characterized by a coefficient of performance (CoP), expressed as cold energy, to remove 100J of heat. It should be noted that CoP is generally related to the temperature (T) of the cold air suppliedsupply) Is non-linear. We use the CoP model of the HP data center:
CoP(Tsupply)=0.0068(Tsupply)2+0.0008Tsupply+0.458。
thus, the energy consumption of the cooling can be described as follows:
Figure GDA0003452707930000077
by combining the above models, we can derive a total consumption model:
Figure GDA0003452707930000081
with equation (5), we can further optimize (7) to get the final optimization goal:
Figure GDA0003452707930000082
2 GreenlloT frame
The frame is divided into two parts: 1. the scheme of a multi-threshold-based host CPU utilization classification (MCU) scheme is responsible for dividing host into four categories: SU-hosts, SA-hosts, NL-hosts, and SO-hosts. 2. The energy and thermal awareness resource allocation (ETV) scheme uses related algorithms to find a host suitable for D2M service migration, and performs service migration to reduce energy consumption.
2.1 MCU scheme
The MCU scheme utilizes three thresholds Tlower,Tmiddle,TupperHost is divided into four categories: SU-hosts, SA-hosts, NL-hosts, and SO-hosts. The specific division is shown in fig. 1:
the division of the three thresholds was chosen by least mean square regression (LMS). More specifically, it is determined using equations (9) to (11):
Figure GDA0003452707930000083
Figure GDA0003452707930000084
Tupper=(1-c×LMS) (11)
the MCU scheme is described as follows:
1) obtain the current ithPrediction of CPU utilization for a host
Figure GDA0003452707930000085
This helps to classify the hosts into the belonging group to which they correspond.
2) If it is not
Figure GDA0003452707930000086
Identifies the host as a member of the SO-hosts group. Those hosts that fall into the group must migrate some D2M services to SA-hosts
Figure GDA0003452707930000091
Groups, thereby reducing SLA violations in an energy efficient manner.
3) In cloud-enabled IIoT data centers, migrating too much D2M service from one host to another can result in an unneeded increase in energy consumption and high SLA violations. Thus, in NL-hosts
Figure GDA0003452707930000092
The hosts in the group, all of their D2M services, remain unchanged.
4) If it is not
Figure GDA0003452707930000093
The host is identified as one of the members. Hosts that fall into this group must migrate all of their D2M services into SA-hosts. As a result, the hosts in SU-hosts will switch to a low power mode to save a lot of energy. These hosts will be reactivated as resource demands increase.
2.2 ETV protocol
In the cloud-enabled IIoT data center, an efficient resource allocation algorithm of the D2M service contributes to efficient utilization of resources and reduction of energy consumption. To balance the tradeoff between computing and cooling systems, an ETV resource allocation scheme is proposed. The basic idea of the scheme is as follows: the D2M service resource allocation is directly dependent on the current temperature of the host. This means that when a host is selected for the D2M service for resource allocation, the current temperature of that host is lower than the lowest temperature of the other hosts in the cloud-enabled IIoT data center.
Algorithm 1 is shown below.
Figure GDA0003452707930000094
Figure GDA0003452707930000101
"HostList" and "ServiceList" inalgorithm 1 refer to a host and a service in the cloud-enabled IIoT data center, respectively. GreenIIoT is divided into two stages: the first stage is as follows: allocating host resources for the new service, the second stage: service overload and under-service hosts are detected to minimize energy consumption and SLA violations, and resources are allocated for services in SA-hosts. We have discussed the CPU classification threshold Tlower,Tmiddle,Tupper. First, the algorithm sorts all D2M services in descending order according to their MIPS requirements. Thereafter, it is checked whether the D2M service resource requirements meet the requirements of the available hosts. If D2M service finds a host that meets the requirements, then T is usedlowerAnd TmiddleThe threshold value checks the corresponding host group. If none of the hosts meet the new D2M service requirements, the host that turned on sleep mode allocates resources for it. The SO-hosts and SU-hosts detection stages are key to minimize energy consumption, avoid performance degradation, and reduce SLA violations. Upon detection of the SO-hosts, the D2M service to be migrated is selected. In the next phase, the selected D2M service should be placed in the host based on the host temperature. The next algorithm is to describe the host resource allocation workflow according to each host temperature.
Algorithm 2 is as follows:
Figure GDA0003452707930000111
algorithm 2 searches for the best host to obtain resource allocation. It will take the list of hosts and services as input and return the best suited host for allocation. In the first phase, the most suitable host is selected from either SO-hosts or SU-hosts for each scheduling interval (5 minutes in this example). The cost per host is calculated by using the formula (8), and the host cost is compressed in each iteration, so that D2M resource allocation optimization is realized.
Algorithm 3 is as follows:
Figure GDA0003452707930000112
Figure GDA0003452707930000121
algorithm 3 is built based on the cost of energy and heat. It is expressed as HostList, services, Tlower,TmiddleAs input, and returns the best feasible host list (bestfeasble-HostList), whose cost is calculated by equation (8). The first stage of the algorithm is through the use of TlowerAnd TmiddleTo make a feasible host list (FeasibleHostList), which limits the search space for the best feasible host list and reduces the time complexity. Finally, the process will return a BestFeasibleHostList to which the cost of each host belongs.
3, the technical effects of the invention are verified as follows:
to illustrate the effect, we first introduce the SLA index and the energy efficiency index (ME 2).
SLA plays a quality index role in cloud-enabled IIoT data centers, measuring, for example, the quality of service provided by a cloud manufacturing service provider to cloud service users. The SLA metric is used to measure the performance characteristics of the service object. Over time, the computational performance of the SO-hosts may degrade, which may increase SLA violations. The SLA metric is critical to the energy sensitive algorithm, and can be defined as follows:
Figure GDA0003452707930000131
Figure GDA0003452707930000132
and
Figure GDA0003452707930000133
representing MIPS and MIPS assigned by all services, respectively.
Energy efficiency index (ME 2): the energy efficiency index (ME2) describes the overall performance of the proposed solution on the cloud-supported IIoT data center. By using the index, the system energy consumption efficiency and the SLA violation can be known. The larger the value of ME2, the higher the overall performance of the solution in the cloud-enabled IIoT data center. Thus, if the ME2 value of the proposed solution is greater than other solutions, the solution may be more efficient in cloud-enabled IIoT datacenters. The formula for ME2 is described as follows:
Figure GDA0003452707930000134
and simulating the system environment by utilizing a cloudsim tool, and performing related tests on the simulated environment. The superiority of the system will be explained from five aspects:
1) energy consumption: the energy consumed by the host is primarily related to CPU and memory utilization. However, on modern hosts using large storage devices, multi-core CPUs and large hard disks, the traditional linear power consumption model is no longer applicable. Simulation results of this protocol were analyzed and compared with KMI-MR, KMI-MP, RANDOM, and PABFD. The results of the simulation of energy consumption are shown in fig. 2. In terms of energy consumption, the ETV method and KMI-MR, KMI-MP, PABFD, RANDOM methods have energy consumptions of 32.5kWh, 43.2kWh, 41.1kWh, 49.3kWh, 76.7kWh, respectively. In other words, ETV reduces consumption by 24%, 20%, 34% and 57% over KMI-MR, KMI-MP, PABFD and RANDOM, respectively, as shown in FIG. 2.
2) SLA violation: over-migrating the D2M service can result in severe SLA standard violations in cloud-enabled IIoT data centers. FIG. 3 compares the SLA violation percentage of KLA-MR, KMI-MP, RANDOM and PABFD to ETV. As in the 03-Mar experiment, the methods KMI-MR, KMI-MP, PABFD, RANDOM and ETV gave SLA violation percentages of 7.2%, 9.5%, 9%, 12% and 6%, respectively. In other words, the ETV protocol SLA was 16%, 36%, 33% and 50% less than KMI-MR, KMI-MP, PABFD and RANDOM, respectively. Thus, the proposed scheme reduces the percentage of SLA violations in cloud-enabled IIoT data centers, as shown in fig. 3.
3) ME 2: ME2 is used to evaluate the overall performance of the cloud-enabled IIoT data center. Cloud manufacturing service providers aim to minimize energy consumption and SLA violations while maximizing overall performance. FIG. 4 shows that ME2 is better for the ETV scheme compared to KMI-MR, KMI-MP, RANDOM and PABFD methods. Methods KMI-ME 2 for MR, KMI-MP, PABFD, RANDOM and ETV were 16.2, 12.9, 13.1, 9.6 and 19.7, respectively. Thus, the overall performance with the ETV resource allocation scheme is much better than other approaches, as shown in fig. 4.
4) Temperature of the host: the temperature of the host directly affects the operating costs (energy consumption, cooling costs) of the cloud-enabled IIoT data center. FIG. 5 compares the results of simulations of this algorithm with host temperatures of KMI-MR, KMI-MP, RANDOM, and PABFD. The proposed ETV algorithm does not exceed the maximum temperature (T) due to its energy and thermally aware resource allocation schemeup). FIG. 4 shows that the temperature of the host is always Tup(70 ℃) nearby, which may maximize resource utilization and minimize cooling costs for the cloud-enabled IIoT environment, as shown in fig. 5.
5) The number of hosts is turned off: the reactivated host directly affects power consumption. If the number thereof increases, the power consumption also increases. The host will reactivate when assigned to a new D2M service and shut down when idle is detected. FIG. 6 analyzes and compares the results of the simulation for the number of host shutdowns. In total, simulation results of ETV schemes were compared to KMI-MR, KMI-MP, RANDOM, and PABFD for the number of host shutdowns. In the 03-Mar experiment, the algorithms KMI-MR, KMI-MP, PABFD, RANDOM, and ETV host shut down times were 1950, 1800, 2200, 2500, and 1500, respectively. In other words, proposed solution (ETV) SLA violations were 23%, 16%, 31% and 40% less than KMI-MR, KMI-MP, PABFD and RANDOM, respectively. The following figure shows that the proposed solution (ETV) is more efficient than the KMI-MR, KMI-MP, PABFD and RANDOM methods, due to the smaller number of hosts that are reactivated. In this simulation setup, we use only 800 hosts. However, the number of hosts that are shut down exceeds 800 due to the reactivation of the host. The proposed scheme significantly reduces the number of host reactivations compared to the KMI-MR, KMI-MP, PABFD and RANDOM methods, as shown in FIG. 6.

Claims (5)

1. An energy-saving resource allocation method for data-driven manufacturing service in the industrial internet of things is realized by the following steps: the method is characterized in that:
step one, detecting the CPU utilization rate: detecting the utilization rate of a host CPU in the cloud-enabled IIoT data center, then classifying the utilization rates, and setting three threshold values T according to the utilization rate of the host CPUlower,Tmiddle,TupperClassifying the hosts, and sequentially classifying the hosts into four classes, namely SU-hosts, SA-hosts, NL-hosts and SO-hosts according to threshold values from low to high;
step two, determining services to be migrated, all D2M services on SU-hosts and D2M services selected from SO-hosts;
and step three, searching a proper host to allocate resources for the D2M service determined to be moved in the step two, finding a host suitable for D2M service migration by using an energy and thermal perception resource allocation scheme, and performing service migration to reduce energy consumption.
2. The energy-saving resource allocation method for data-driven manufacturing service in the industrial Internet of things as claimed in claim 1, wherein three thresholds T are set in step onelower,Tmiddle,TupperThe determination process of (2) is:
the determination of the three thresholds is selected by a least median square regression model, and is specifically determined by using formulas (9) to (11):
Figure FDA0003452707920000011
Figure FDA0003452707920000012
Tupper=(1-c×LMS) (11)
LMS in the formula represents the square of the minimum median; and c represents a safety factor, and the value of c is 0.5.
3. The method for allocating energy-saving resources for data-driven manufacturing services in the internet of things of industry according to claim 2, wherein the method comprises the following steps:
the classification of the utilization rate based on the above three thresholds is described as follows:
1) obtaining the current ithPrediction of CPU utilization for a host
Figure FDA0003452707920000013
Classifying the hosts into an affiliated group corresponding thereto;
2) if, if
Figure FDA0003452707920000014
Then the host is identified as a member of the SO-hosts group, the host belonging to the group must migrate some D2M services to SA-hosts,
Figure FDA0003452707920000015
groups to reduce SLA violations;
3) in NL-hosts, the first step of the method,
Figure FDA0003452707920000016
hosts in the group, all their D2M services remain unchanged;
4) if, if
Figure FDA0003452707920000017
The host is identified as one of the members, and the host belonging to the group must identify the member as one of the membersAll of its D2M services migrate into SA-hosts.
4. The method for allocating energy-saving resources for data-driven manufacturing services in the internet of things of industry according to claim 1, 2 or 3, wherein the specific implementation process of the second step is as follows:
modeling the energy consumption problem in a cloud-enabled IIoT environment, a set of n D2M services S is defined that need to be placed on m hosts H and G stands for gateway device, S ═ S1,s2,....,sn,H=h1,h2,....,hm(ii) a Energy consumption of the cloud-supported IIoT environment includes computational energy consumption and cooling energy consumption, observed time is divided into l time slots, q is 1, 2.
The allocation of D2M services to the cloud-enabled IIoT data center is described with an energy consumption model and a cooling energy consumption model;
the energy consumption model is as follows:
Figure FDA0003452707920000021
Figure FDA0003452707920000022
wherein:
Figure FDA0003452707920000023
representing the consumption of base power, P, by each hosthostRepresents the total power consumption consumed by the host,
Figure FDA0003452707920000024
and
Figure FDA0003452707920000025
maximum power consumption of the host and the gateway, respectively, over a period of time; deltajHolding binary value 0,1(ii) a If the jth D2M service gets resources from the host, the value of δ j is "1", otherwise "0"; CPU(s)j) Represents the total number of CPUs required for the jth D2M service; phostRepresenting the utilization of the host, as a ratio of the total number of CPU cores per D2M service request associated with the D2M service to the total number of CPU cores of the host;
c is the capacity of the original bearer network, CmaxIs the maximum network capacity;
Figure FDA0003452707920000026
consuming base power, P, on behalf of the gatewaygateRepresents the total power consumed by the gateway;
during the observation time, the overall computing power consumption of the cloud-enabled IIoT environment is represented by a matrix P,
Figure FDA0003452707920000027
Figure FDA0003452707920000028
i 1, 2.. m determines the elements in the matrix P;
in summary, the computational energy consumption model of the cloud-enabled IIoT environment is defined as follows:
Figure FDA0003452707920000029
the refrigeration energy consumption model is as follows:
in cloud-supported IIoT data centers, the energy consumed by computer room air conditioners CRAC is called cooling energy consumption, and depends on the heat generated by the host and the efficiency of CRAC; HR matrix d describes the relationship between each pair of hosts, with entry di,kRepresents the i-ththGenerating host to kthThe recirculation rate of each host; the heat contribution of all hosts affects the iththThe inlet temperature of each host in the observed time slot q is given by the following formula:
Figure FDA0003452707920000031
Figure FDA0003452707920000032
qwhich is indicative of the inlet temperature, is,
Figure FDA0003452707920000033
which is indicative of the temperature being supplied,
all inlet temperatures
Figure FDA0003452707920000034
Wherein T isupIs the warning temperature, which has a nominal value of 70 ℃, the temperature of the cold air provided from the CRAC is set by equation (4) as follows:
Figure FDA0003452707920000035
using the CoP model:
CoP(Tsupply)=0.0068(Tsupply)2+0.0008Tsupply+0.458 to describe the refrigeration energy consumption model:
Figure FDA0003452707920000036
and (3) integrating the models in the formula (3) and the formula (6) to obtain a total consumption model:
Figure FDA0003452707920000037
further optimization (7) can be achieved using equation (5), resulting in the final optimization objective:
Figure FDA0003452707920000038
searching for the best host to obtain resource allocation: the D2M resource allocation optimization is achieved by selecting the most appropriate host from either SO-hosts or SU-hosts at each scheduling interval based on obtaining the list of hosts and services, with the cost of each host calculated using equation (8), and compressing the host cost in each iteration.
5. The energy-saving resource allocation method for the data-driven manufacturing service in the industrial Internet of things as claimed in claim 4, wherein the concrete implementation process of the third step is as follows:
balancing the trade-off between computing and cooling systems with an ETV resource allocation scheme, D2M service resource allocation is directly dependent on the current temperature of the hosts, which is the lowest temperature among hosts in the cloud-enabled IIoT data center when selecting hosts for resource allocation for the D2M service, constructed based on costs of energy and thermal energy, from a list of hosts, D2M service, Tlower、TmiddleUsing equation (8) to make a feasible host list, the host list search space is sorted to find the best feasible host list.
CN201911169997.2A2019-11-252019-11-25 An energy-saving resource allocation method for data-driven manufacturing services in the Industrial Internet of ThingsActiveCN111083201B (en)

Priority Applications (1)

Application NumberPriority DateFiling DateTitle
CN201911169997.2ACN111083201B (en)2019-11-252019-11-25 An energy-saving resource allocation method for data-driven manufacturing services in the Industrial Internet of Things

Applications Claiming Priority (1)

Application NumberPriority DateFiling DateTitle
CN201911169997.2ACN111083201B (en)2019-11-252019-11-25 An energy-saving resource allocation method for data-driven manufacturing services in the Industrial Internet of Things

Publications (2)

Publication NumberPublication Date
CN111083201A CN111083201A (en)2020-04-28
CN111083201Btrue CN111083201B (en)2022-03-04

Family

ID=70311638

Family Applications (1)

Application NumberTitlePriority DateFiling Date
CN201911169997.2AActiveCN111083201B (en)2019-11-252019-11-25 An energy-saving resource allocation method for data-driven manufacturing services in the Industrial Internet of Things

Country Status (1)

CountryLink
CN (1)CN111083201B (en)

Families Citing this family (3)

* Cited by examiner, † Cited by third party
Publication numberPriority datePublication dateAssigneeTitle
CN115270139B (en)*2022-09-202023-01-17哈尔滨工业大学(深圳)(哈尔滨工业大学深圳科技创新研究院)IoT equipment network service automatic vulnerability analysis method and system
CN117148955B (en)*2023-10-302024-02-06北京阳光金力科技发展有限公司Data center energy consumption management method based on energy consumption data
CN118798821B (en)*2024-08-202025-06-17哈尔滨工业大学(深圳)(哈尔滨工业大学深圳科技创新研究院) Method, device and computer storage medium for handling data circulation transaction violations

Citations (5)

* Cited by examiner, † Cited by third party
Publication numberPriority datePublication dateAssigneeTitle
CN103957261A (en)*2014-05-062014-07-30湖南体运通信息技术有限公司Cloud computing resource distributing method based on energy consumption optimization
CN106598733A (en)*2016-12-082017-04-26南京航空航天大学Three-dimensional virtual resource scheduling method of cloud computing energy consumption key
CN108052375A (en)*2017-12-292018-05-18哈尔滨工业大学A kind of host overload detection method
CN108292559A (en)*2016-02-052018-07-17Abb瑞士股份有限公司Method and system for the cooling system for controlling power equipment
CN109491760A (en)*2018-10-292019-03-19中国科学院重庆绿色智能技术研究院A kind of high-effect data center's Cloud Server resource autonomous management method and system

Family Cites Families (4)

* Cited by examiner, † Cited by third party
Publication numberPriority datePublication dateAssigneeTitle
US8214829B2 (en)*2009-01-152012-07-03International Business Machines CorporationTechniques for placing applications in heterogeneous virtualized systems while minimizing power and migration cost
US8463900B2 (en)*2010-02-022013-06-11International Business Machines CorporationSystems and methods for using workload characteristics for sizing and placement for power-aware consolidation
US9207993B2 (en)*2010-05-132015-12-08Microsoft Technology Licensing, LlcDynamic application placement based on cost and availability of energy in datacenters
US9363190B2 (en)*2013-07-312016-06-07Manjrasoft Pty. Ltd.System, method and computer program product for energy-efficient and service level agreement (SLA)-based management of data centers for cloud computing

Patent Citations (5)

* Cited by examiner, † Cited by third party
Publication numberPriority datePublication dateAssigneeTitle
CN103957261A (en)*2014-05-062014-07-30湖南体运通信息技术有限公司Cloud computing resource distributing method based on energy consumption optimization
CN108292559A (en)*2016-02-052018-07-17Abb瑞士股份有限公司Method and system for the cooling system for controlling power equipment
CN106598733A (en)*2016-12-082017-04-26南京航空航天大学Three-dimensional virtual resource scheduling method of cloud computing energy consumption key
CN108052375A (en)*2017-12-292018-05-18哈尔滨工业大学A kind of host overload detection method
CN109491760A (en)*2018-10-292019-03-19中国科学院重庆绿色智能技术研究院A kind of high-effect data center's Cloud Server resource autonomous management method and system

Non-Patent Citations (4)

* Cited by examiner, † Cited by third party
Title
Adaptive Energy-Aware Algorithms for Minimizing Energy Consumption and SLA Violation in Cloud Computing;RAHUL YADAV 等;《IEEE Access》;20181002;全文*
Lianpeng Li 等.Minimizing SLA Violation and Power Consumption in Cloud Data Centers Using Host State 3-Order Markov Chain Model.《2019 IEEE 21st International Conference on High Performance Computing and Communications*
Minimizing SLA violation and power consumption in Cloud data centers using adaptive energy-aware algorithms;Zhou Zhou 等;《Future Generation Computer Systems》;20171010;全文*
感知数据驱动的制造装备运行能量有效评估方法研究;欧阳飞;《万方数据库》;20180727;全文*

Also Published As

Publication numberPublication date
CN111083201A (en)2020-04-28

Similar Documents

PublicationPublication DateTitle
Zhang et al.Two-phase industrial manufacturing service management for energy efficiency of data centers
Yi et al.Efficient compute-intensive job allocation in data centers via deep reinforcement learning
CN109800066B (en) A data center energy-saving scheduling method and system
Ilager et al.ETAS: Energy and thermal‐aware dynamic virtual machine consolidation in cloud data center with proactive hotspot mitigation
Hameed et al.A survey and taxonomy on energy efficient resource allocation techniques for cloud computing systems
Kaushik et al.T*: A data-centric cooling energy costs reduction approach for Big Data analytics cloud
CN104698843B (en)A kind of data center's energy-saving control method based on Model Predictive Control
CN103218678B (en)The operation management method of information processing system
US8856321B2 (en)System to improve operation of a data center with heterogeneous computing clouds
CN111083201B (en) An energy-saving resource allocation method for data-driven manufacturing services in the Industrial Internet of Things
Magotra et al.Adaptive computational solutions to energy efficiency in cloud computing environment using VM consolidation
Chaabouni et al.Energy management strategy in cloud computing: a perspective study
CN104035542B (en)A kind of virtual machine migration method and system calculated with energy consumption for cooling balance
Jin et al.Energy-efficient task scheduling for CPU-intensive streaming jobs on Hadoop
CN115220900B (en)Energy-saving scheduling method and system based on operation power consumption prediction
Mazidi et al.Autonomic resource provisioning for multilayer cloud applications with K‐nearest neighbor resource scaling and priority‐based resource allocation
Khan et al.Advanced data analytics modeling for evidence-based data center energy management
Kanagaraj et al.Uniform distribution elephant herding optimization (UDEHO) based virtual machine consolidation for energy-efficient cloud data centres
Moocheet et al.Minimum-energy virtual machine placement using embedded sensors and machine learning
Khanna et al.Phase-aware predictive thermal modeling for proactive load-balancing of compute clusters
De Chiara et al.Data mining for big dataset-related thermal analysis of high performance computing (HPC) data center
Chaudhry et al.Considering thermal-aware proactive and reactive scheduling and cooling for green data-centers
Zhong et al.A heat-recirculation-aware data placement strategy towards data centers
Patel et al.Efficient resource allocation strategy to improve energy consumption in cloud data centers
Bergen et al.Adaptive management of energy consumption using adaptive runtime models

Legal Events

DateCodeTitleDescription
PB01Publication
PB01Publication
SE01Entry into force of request for substantive examination
SE01Entry into force of request for substantive examination
GR01Patent grant
GR01Patent grant

[8]ページ先頭

©2009-2025 Movatter.jp