Movatterモバイル変換


[0]ホーム

URL:


CN111081039A - A method and system for real-time dynamic intersection signal control design - Google Patents

A method and system for real-time dynamic intersection signal control design
Download PDF

Info

Publication number
CN111081039A
CN111081039ACN201911406176.6ACN201911406176ACN111081039ACN 111081039 ACN111081039 ACN 111081039ACN 201911406176 ACN201911406176 ACN 201911406176ACN 111081039 ACN111081039 ACN 111081039A
Authority
CN
China
Prior art keywords
time
real
signal control
phase
period
Prior art date
Legal status (The legal status is an assumption and is not a legal conclusion. Google has not performed a legal analysis and makes no representation as to the accuracy of the status listed.)
Pending
Application number
CN201911406176.6A
Other languages
Chinese (zh)
Inventor
张小宁
王轲
闫黄
孙立军
Current Assignee (The listed assignees may be inaccurate. Google has not performed a legal analysis and makes no representation or warranty as to the accuracy of the list.)
Tongji University
Original Assignee
Tongji University
Priority date (The priority date is an assumption and is not a legal conclusion. Google has not performed a legal analysis and makes no representation as to the accuracy of the date listed.)
Filing date
Publication date
Application filed by Tongji UniversityfiledCriticalTongji University
Priority to CN201911406176.6ApriorityCriticalpatent/CN111081039A/en
Publication of CN111081039ApublicationCriticalpatent/CN111081039A/en
Pendinglegal-statusCriticalCurrent

Links

Images

Classifications

Landscapes

Abstract

A real-time dynamic intersection signal control design method includes the steps of obtaining vehicle information of each vehicle entering each lane in the current signal period of an intersection, calculating the current traffic flow in real time according to the vehicle information, and then calculating the optimal period duration of the next signal period and green light distribution of each phase according to the real-time traffic flow so as to adapt to the change of road environment in real time and reduce the total delay time of road vehicles. A real-time dynamic intersection signal control design system comprises an AVI device and a central processing unit, wherein the central processing unit is in communication connection with an intersection signal lamp controller; the AVI apparatus includes: the reader-writer is used for reading the radio frequency tag of the vehicle; and the data transmission unit is used for transmitting data to the central processing unit. The invention can dynamically adjust the signal control of the intersection in real time, improve the traffic efficiency of vehicles at the intersection and realize the reasonable allocation of urban traffic road resources.

Description

Real-time dynamic intersection signal control design method and system
Technical Field
The invention belongs to the technical field of traffic signal control, and relates to a method and a system for intersection signal control design.
Background
With the increasing of the automobile reserves in China, the phenomenon of traffic jam is increased continuously, and the intersection is a bottleneck zone of traffic jam, so that the improvement of the traffic capacity of the intersection is a key for relieving the traffic jam. The signal control is carried out on the intersection, so that the traffic flow can pass in order, the generation of intersection conflict is reduced, and the passing capacity of the intersection is effectively improved.
Most of the existing intersection signal control is static timing control, namely, an optimal phase period is determined according to historical traffic flow data of each intersection counted in a certain time, green light time is allocated to each phase according to the ratio of the traffic flow of each intersection to the total traffic flow, and after the optimal phase period is determined, the optimal phase period is repeatedly displayed in a fixed and unchangeable mode. The intersection signal control mode is static timing control, and when the external environment changes, the static timing control method cannot make reasonable adjustment and optimization in time, so that the traffic efficiency of roads is influenced.
Disclosure of Invention
The invention aims to provide a real-time dynamic intersection signal control design method and a real-time dynamic intersection signal control design system, which are used for adjusting a signal control strategy in real time and improving the utilization rate of road resources.
In order to achieve the above purpose, the solution of the invention is:
a real-time dynamic intersection signal control design method includes the steps of obtaining vehicle information of each vehicle entering each lane in the current signal period of an intersection, calculating current traffic flow in real time according to the vehicle information, and then calculating the optimal period duration of the next signal period and green light distribution of each phase according to the current traffic flow so as to adapt to changes of road environments in real time and reduce total delay time of road vehicles.
Further, the method comprises the following steps:
(1) an AVI device and a central processing unit are arranged at the set position and the intersection of each inlet channel;
(2) the AVI device transmits the passing vehicle information acquired in a signal period to the central processing unit for calculating the real-time traffic flow of the entrance way in the current period;
(3) in the central processing unit, according to the real-time traffic flow of the entrance lane calculated in the step (2), analyzing the flow rate ratio of each lane group and determining the key traffic flow of each phase;
(4) determining the optimal signal period length of the next period by adopting a Webster signal period calculation method according to the data such as the flow rate ratio of each lane group obtained by calculation in the step (3) and the key traffic flow of each phase;
(5) according to the key lane group flow rate ratio of each phase, allocating green light time length for each phase of the next period;
(6) comparing the calculated green light duration of each phase with a preset minimum green light duration, and taking a smaller value as the green light duration of each phase of the next period;
(7) sending the calculated optimal period and the green time duration of each phase to an intersection signal controller;
(8) and (4) after the current period is finished, the intersection signal control machine performs signal control according to the obtained optimal period and the green light duration of each phase, and repeats the steps (2) to (7) when the period is started.
Optionally, the AVI device in step (1) can identify a vehicle-mounted radio frequency tag of the vehicle when the vehicle passes through, where the vehicle-mounted radio frequency tag has necessary information such as vehicle type information, vehicle status, and owner information.
Optionally, the method for calculating the real-time traffic flow of the entrance lane according to the data fed back by the AVI device in the step (2) is performed according to the following principle:
the traffic volume of each entrance lane is determined by taking a car as a unit traffic volume and multiplying different conversion coefficients according to the road area occupied by the car, the conversion coefficients can be consulted in urban road engineering design specifications (CJJ37-2012) in China, then the left-turn traffic volume and the right-turn traffic volume and the like are uniformly converted into equivalent straight-driving traffic volume, the equivalent straight-driving traffic volume refers to the traffic volume of straight-driving vehicles passing through lanes in the time of passing through the lanes when the left-turn traffic volume or the right-turn traffic volume, the flow volume of straight-driving vehicles can be obtained by multiplying the left-turn traffic volume or the right-turn traffic volume by corresponding straight-driving equivalent coefficients, and the straight-driving equivalent coefficients can also be obtained by consulting the urban road engineering design specifications (CJJ 37-2012).
Optionally, the flow rate ratio analysis in step (3) refers to: the ratio of the actual or design traffic volume of a lane group to the saturation flow rate of that lane.
Optionally, the saturation flow rate is calculated according to the following basic formula:
Figure BDA0002348697140000031
wherein: siSaturated flow rate for the inlet lane i, pcu/h;
S0the basic saturation flow rate of the inlet channel is pcu/h, and the value is 1900pcu/h when the measured data cannot be obtained;
n is the number of lanes contained in the lane group i;
fithe correction coefficients for various types of the entrance roads can be obtained by referring to a correction coefficient model recommended by the Manual for road traffic (2000) in the united states.
Optionally, the key lane group in step (4) refers to: for the same phase, traffic flows of multiple lane groups usually get right of way simultaneously in the phase, although the lane groups are in the same phase, generally speaking, the flow rate ratios of different lane groups are different, and the lane group with the largest flow rate ratio is most critical for determining the optimal signal period and the green light time length of each phase, so the lane group with the largest flow rate ratio in the same phase is called a critical lane group.
Optionally, the Webster signal period calculation method in the step (4) is calculated according to the following formula:
Figure BDA0002348697140000032
wherein: c is the optimum signal period, s;
y is the sum of the flow rate ratios of the critical lane groups for all phases in the cycle;
l is the total loss time of the signal and can be calculated as follows:
Figure BDA0002348697140000033
wherein: l is starting loss time, obtained by actual measurement, and can take 3s when no actual measurement data exists;
Iithe green interval at the end of the ith phase, which typically consists of the yellow time plus the full red time, s;
Aithe yellow lamp time at the end of the ith phase is generally set to be 2-3 s in practical use.
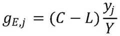
Optionally, the method for assigning green light time length to each phase in step (5) is calculated according to the following formula:
Figure BDA0002348697140000041
wherein: gE,jAn effective green time for phase j;
yjthe real-time critical lane group flow rate ratio for the j-th phase.
Optionally, the preset minimum green light duration in the step (6) is the minimum green light duration of each phase, which meets the pedestrian street time checking calculation.
Optionally, the shortest green time of each phase satisfying the pedestrian crossing time checking calculation is calculated according to the following formula:
Figure BDA0002348697140000042
wherein: gminThe shortest green time, s;
LPis the pedestrian crossing street length, m;
vPthe pedestrian crossing walking speed is m/s;
i is the green light interval, s.
The invention also provides a real-time dynamic intersection signal control design system for realizing the method; further, the system comprises an AVI device and a central processing unit, wherein the central processing unit is in communication connection with the intersection signal lamp controller; the AVI apparatus includes:
the reader-writer is used for reading the radio frequency tag of the vehicle;
and the data transmission unit is used for transmitting data to the central processing unit.
The central processor comprises the following units:
the memory is used for storing the vehicle information transmitted by the AVI device, the coefficient required by calculation, the calculation result and the like;
the signal period calculation module can calculate the optimal signal period and the green light duration of each phase according to the vehicle information and the calculation coefficient stored in the memory;
and the data transmission device is used for establishing mutual communication with the AVI device and the intersection signal control machine.
The invention has the beneficial effects that: the invention can obtain the vehicle information of each vehicle entering each lane in the current signal period of the intersection through the AVI device arranged beside the entrance lane, calculate the current traffic flow in real time, and then calculate the optimal period duration of the next signal period and the green light distribution of each phase according to the real-time traffic flow. The invention considers that when the road environment of the intersection changes, the lane group flow of each phase also changes correspondingly, and accordingly provides the real-time dynamic intersection signal control design method to adapt to the change of the road environment in real time.
Drawings
Fig. 1 is a flow chart of the present invention for real-time dynamic intersection signal control design.
Fig. 2 is a structural framework of the intersection signal control design system in the embodiment of the present invention.
Fig. 3 is a schematic diagram of the road condition at the intersection and the layout of the AVI device according to an embodiment of the present invention.
Fig. 4 is a schematic diagram of four phases at the intersection in the embodiment of the present invention.
Detailed Description
The invention will be further described with reference to examples of embodiments shown in the drawings.
The invention provides a real-time dynamic intersection signal control design method, and fig. 1 is a flow chart of the coordination control method. The signal control method generally includes the steps of:
(1) an AVI device and a central processing unit are arranged at the set position and the intersection of each inlet channel;
(2) the AVI device transmits the passing vehicle information acquired in a signal period to the central processing unit for calculating the real-time traffic flow of the entrance way in the current period;
(3) in the central processing unit, according to the real-time traffic flow of the entrance lane calculated in the step (2), analyzing the flow rate ratio of each lane group and determining the key traffic flow of each phase;
(4) determining the optimal signal period length of the next period by adopting a Webster signal period calculation method according to the data such as the flow rate ratio of each lane group obtained by calculation in the step (3) and the key traffic flow of each phase;
(5) according to the key lane group flow rate ratio of each phase, allocating green light time length for each phase of the next period;
(6) comparing the calculated green light duration of each phase with a preset minimum green light duration, and taking a smaller value as the green light duration of each phase of the next period;
(7) sending the calculated optimal period and the green time duration of each phase to an intersection signal controller;
(8) and (4) after the current period is finished, the intersection signal control machine performs signal control according to the obtained optimal period and the green light duration of each phase, and repeats the steps (2) to (7) when the period is started.
Fig. 2 is a structural framework of the signal control design system at the intersection, and fig. 3 shows a certain crossroad, each lane is 3.0m in width, no gradient exists, and the pedestrian crossing flow rate is medium. Fig. 4 is a four-phase diagram of a crossroad. The installed AVI device can identify the vehicle-mounted radio frequency tag of the vehicle when the vehicle passes by, and the vehicle-mounted radio frequency tag is provided with vehicle type information, vehicle state information, vehicle owner information and the like. The AVI device can transmit the vehicle information obtained by identification to the central processing unit for further calculation.
In this embodiment, the current period duration is 200s, the phase 1 green duration is 35s, the phase 2 green duration is 45s, the phase 3 green duration is 40s, and the phase 4 green duration is 60 s. In the period, the real-time traffic flow equivalent of each lane calculated by the processor through the data fed back by the AVI device and the straight equivalent coefficient obtained by looking up the table is shown in table 1:
TABLE 1 straight equivalent calculation table I of lane group in the embodiment of the present invention
Figure BDA0002348697140000061
Figure BDA0002348697140000071
The flow rate ratio analysis in the step (3) refers to: the ratio of the actual or design traffic volume of a lane group to the saturation flow rate of that lane. The saturation flow rate is calculated according to the following basic formula:
Figure BDA0002348697140000072
wherein: siThe saturation flow rate of the inlet duct, pcu/h;
S0the basic saturation flow rate of the inlet channel is pcu/h, and the value is 1900pcu/h when the measured data cannot be obtained;
n is the number of lanes contained in the lane group i;
fithe correction coefficients for various types of the entrance roads can be obtained by referring to a correction coefficient model recommended by the American road traffic capacity manual.
In the embodiment, the lane width of each inlet road is 3.0m, no longitudinal slope exists, the ideal condition of applying a straight-going equivalent method is met, and the saturation flow rate can be 1650 veh/h.
The key lane group in the step (4) is as follows: for the same phase, traffic flows of multiple lane groups usually get right of way simultaneously in the phase, although the lane groups are in the same phase, generally speaking, the flow rate ratios of different lane groups are different, and the lane group with the largest flow rate ratio is most critical for determining the optimal signal period and the green light time length of each phase, so the lane group with the largest flow rate ratio in the same phase is called a critical lane group. The key flow rate ratio for each phase is then calculated as follows:
y1=q1/ST=247/1650=0.15
y2=q2/ST=353/1650=0.21
y3=q3/ST=263/1650=0.16
y4=q4/ST=519/1650=0.31
Y=y1+y2+y3+y4=0.15+0.21+0.16+0.31=0.83
in this embodiment, the yellow light is taken as Ai3s, and the full red duration is 2s, the total signal loss time in one period is:
Figure BDA0002348697140000081
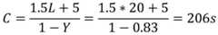
then according to the Webster signal period calculation method, the calculated next period optimal period duration in the current period is:
Figure BDA0002348697140000082
206s >25s, thus taking the period C as 206s
The effective green duration for each phase is:
Figure BDA0002348697140000083
Figure BDA0002348697140000084
Figure BDA0002348697140000085
Figure BDA0002348697140000086
the display time of the green light of each phase is as follows:
g1=gE,1+l1-A1=34s
g2=gE,2+l2-A2=47s
g3=gE,3+l3-A3=36s
g4=gE,4+l4-A4=69s
the shortest green light display time meeting the pedestrian crossing requirement is calculated, and the result is as follows:
Figure BDA0002348697140000087
therefore, it can be determined that the total duration of the next signal period after the end of the current period is 206s, and the display durations of the green lamps in each phase are respectively: 34s, 47s, 36s, 69 s. After the processor calculates and obtains the optimal signal period of the next period and the green light distribution time length, the processor sends data to a traffic signal controller of the intersection, at the moment, the signal period is dynamically changed, and after a plurality of periods, the processor calculates and obtains new real-time traffic flow equivalent of each lane as shown in table 2:
TABLE 2 straight equivalent calculation table II for lane group in the embodiment of the present invention
Figure BDA0002348697140000091
At this time, the total duration of the next signal period can be recalculated and determined to be 103s according to the above steps, and the display duration of the green light in each phase is respectively: 14s, 20s, 16s, 33 s.
The embodiments described above are intended to facilitate one of ordinary skill in the art in understanding and using the present invention. Various modifications to, or additions to, these embodiments may be readily made or substituted for those skilled in the art and the generic principles described herein may be applied to other embodiments without the use of the inventive faculty. Therefore, the present invention is not limited to the embodiments described herein, and those skilled in the art should make improvements and modifications within the scope of the present invention based on the disclosure of the present invention.

Claims (19)

1. A real-time dynamic intersection signal control design method is characterized in that: the method comprises the steps of obtaining vehicle information of each vehicle entering each lane in the current signal period of the intersection, calculating the vehicle flow in the current period in real time according to the vehicle information, and then calculating the optimal period duration of the next signal period and the green light distribution of each phase according to the real-time vehicle flow so as to adapt to the change of the road environment in real time and reduce the total delay time of the road vehicles.
2. A real-time dynamic intersection signal control design method as claimed in claim 1, comprising the steps of:
(1) an AVI device and a central processing unit are arranged at the set position and the intersection of each inlet channel;
(2) the AVI device transmits the passing vehicle information acquired in a signal period to the central processing unit for calculating the real-time traffic flow of the entrance way in the current period;
(3) in the central processing unit, according to the real-time traffic flow of the entrance lane calculated in the step (2), analyzing the flow rate ratio of each lane group and determining the key traffic flow of each phase;
(4) calculating the optimal signal period length of the next period by adopting a Webster signal period calculation method according to the data such as the flow rate ratio of each lane group calculated in the step (3) and the key traffic flow of each phase;
(5) according to the key lane group flow rate ratio of each phase, allocating green light time length for each phase of the next period;
(6) comparing the calculated green light duration of each phase with a preset minimum green light duration, and taking a smaller value as the green light duration of each phase of the next period;
(7) sending the calculated optimal period and the green time duration of each phase to an intersection signal controller;
(8) and (4) after the current period is finished, the intersection signal control machine performs signal control according to the obtained optimal period and the green light duration of each phase, and repeats the steps (2) to (7) when the period is started.
3. The real-time dynamic intersection signal control design method of claim 2, characterized in that: the AVI device in the step (1) can identify the vehicle-mounted radio frequency tag of the passing vehicle when the vehicle passes by, and necessary information is recorded on the vehicle-mounted radio frequency tag.
4. The real-time dynamic intersection signal control design method of claim 3, characterized in that: the necessary information includes vehicle type information, vehicle state information, and owner information.
5. The method for designing the real-time dynamic intersection signal control as claimed in claim 2, wherein the method for calculating the real-time traffic flow of the entrance lane according to the data fed back by the AVI device in the step (2) is performed according to the following principles:
determining the traffic flow of each entrance road by taking a car as a unit traffic volume and multiplying different conversion coefficients according to the road area occupied by the car, wherein the conversion coefficients can uniformly convert the traffic flow of left turn and right turn into equivalent straight traffic flow according to the regulation in urban road engineering design Specifications (CJJ37-2012) in China;
the equivalent straight-driving traffic flow is the traffic flow of the straight-driving vehicle which can pass through the lane in the time when the left-turn traffic flow or the right-turn traffic flow passes through the lane, and can be obtained by multiplying the left-turn traffic flow or the right-turn traffic flow by a corresponding straight-driving equivalent coefficient, and the straight-driving equivalent coefficient can be obtained by consulting the urban road engineering design specification (CJJ 37-2012).
6. A real-time dynamic intersection signal control design method as claimed in claim 2, characterized in that the flow rate ratio in step (3) is: a ratio of an actual or design traffic volume of a lane group to a saturation flow rate of the lane group.
7. A real-time dynamic intersection signal control design method as claimed in claim 6, wherein said saturation flow rate is calculated according to the following basic formula:
Figure FDA0002348697130000021
wherein: siSaturated flow rate for the inlet lane i, pcu/h;
S0the basic saturation flow rate of the inlet channel is pcu/h, and the value is 1900pcu/h when the measured data cannot be obtained;
n is the number of lanes contained in the lane group i;
fithe correction coefficients for various types of the entrance roads can be determined according to a correction coefficient model recommended by the United states handbook of road trafficability (2000).
8. A real-time dynamic intersection signal control design method as claimed in claim 2, characterized in that the key lane group in step (4) is the lane group with the largest flow rate ratio at the same phase.
9. The real-time dynamic intersection signal control design method according to claim 2, characterized in that the Webster signal period calculation method in step (4) is calculated according to the following formula:
Figure FDA0002348697130000022
wherein: c is the optimum signal period, s;
y is the sum of the flow rate ratios of the critical lane groups for all phases in the cycle;
l is the total loss time of signal, s.
10. A real-time dynamic intersection signal control design method as claimed in claim 9, wherein the total signal loss time is calculated according to the following basic formula:
Figure FDA0002348697130000031
wherein: l is starting loss time, obtained by actual measurement, s;
Iithe green light interval time at the end of the ith phase consists of yellow light time plus full red time, s;
Aiyellow lamp time, s, at the end of the ith phase.
11. The real-time dynamic intersection signal control design method of claim 10, wherein: taking 3s when the starting loss time l is short of the measured data; a. theiThe time for practical use is set to be 2-3 s.
12. The method for real-time dynamic intersection signal control design according to claim 10, wherein the full red time is a state where all lane signal lights in all entrance directions of the intersection are red.
13. A real-time dynamic intersection signal control design method as claimed in claim 12, wherein the full red time is set to within 3s of actual use.
14. A real-time dynamic intersection signal control design method according to claim 2, wherein the method for assigning green time duration to each phase in step (5) is calculated according to the following formula:
Figure FDA0002348697130000032
wherein: gE,jAn effective green time for phase j;
yjthe real-time critical lane group flow rate ratio for the j-th phase.
15. A real-time dynamic intersection signal control design method according to claim 2, characterized in that the preset minimum green time in step (6) is the shortest green time of each phase that meets the pedestrian crossing time checking calculation.
16. The preset minimum green time duration according to claim 15, wherein the minimum green time duration for each phase satisfying the pedestrian crossing time verification is calculated according to the following formula:
Figure FDA0002348697130000041
wherein: gminThe shortest green time, s;
LPis the pedestrian crossing street length, m;
vPthe pedestrian crossing walking speed is m/s;
i is the green light interval, s.
17. A real-time dynamic intersection signal control design system implementing the method of any one of claims 1 to 16.
18. The real-time dynamic intersection signal control design system of claim 17, comprising an AVI device and a central processor communicatively coupled to an intersection signal controller; the AVI apparatus includes:
the reader-writer is used for reading the radio frequency tag of the vehicle;
and the data transmission unit is used for transmitting data to the central processing unit.
19. The real-time dynamic intersection signal control design system of claim 18, wherein said central processor comprises the following elements:
the memory is used for storing the vehicle information transmitted by the AVI device, the coefficient required by calculation and the calculation result;
the signal period calculation module can calculate the optimal signal period and the green light duration of each phase according to the vehicle information and the calculation coefficient stored in the memory;
and the data transmission device is used for establishing mutual communication with the AVI device and the intersection signal control machine.
CN201911406176.6A2019-12-312019-12-31 A method and system for real-time dynamic intersection signal control designPendingCN111081039A (en)

Priority Applications (1)

Application NumberPriority DateFiling DateTitle
CN201911406176.6ACN111081039A (en)2019-12-312019-12-31 A method and system for real-time dynamic intersection signal control design

Applications Claiming Priority (1)

Application NumberPriority DateFiling DateTitle
CN201911406176.6ACN111081039A (en)2019-12-312019-12-31 A method and system for real-time dynamic intersection signal control design

Publications (1)

Publication NumberPublication Date
CN111081039Atrue CN111081039A (en)2020-04-28

Family

ID=70320352

Family Applications (1)

Application NumberTitlePriority DateFiling Date
CN201911406176.6APendingCN111081039A (en)2019-12-312019-12-31 A method and system for real-time dynamic intersection signal control design

Country Status (1)

CountryLink
CN (1)CN111081039A (en)

Cited By (7)

* Cited by examiner, † Cited by third party
Publication numberPriority datePublication dateAssigneeTitle
CN112037508A (en)*2020-08-132020-12-04山东理工大学Intersection signal timing optimization method based on dynamic saturation flow rate
CN113257017A (en)*2021-06-252021-08-13深圳市城市交通规划设计研究中心股份有限公司Estimation method and device for intersection signal timing scheme and terminal
CN113516857A (en)*2021-04-192021-10-19安徽达尔智能控制系统股份有限公司Intersection signal timing dynamic allocation method and system based on radar monitoring
CN114120654A (en)*2022-01-262022-03-01南京原力智能科技有限公司General calculation method for influence of number of vehicles running on road network traffic capacity
CN114267189A (en)*2021-12-202022-04-01黑龙江工程学院 A joint control method for expressway exit ramp and connecting intersection
CN115273499A (en)*2022-06-302022-11-01华东师范大学Traffic flow-based signal lamp dynamic timing method and system
WO2024140312A1 (en)*2022-12-262024-07-04北京东土正创科技有限公司Intersection stage green light time optimization method, apparatus, device and storage medium

Citations (7)

* Cited by examiner, † Cited by third party
Publication numberPriority datePublication dateAssigneeTitle
CN104036645A (en)*2014-06-032014-09-10东南大学Reversible-lane-based intersection signal control method
CN104282162A (en)*2014-09-292015-01-14同济大学Adaptive intersection signal control method based on real-time vehicle track
CN105118290A (en)*2015-07-222015-12-02上海应用技术学院Intersection induction signal control system and method based on RFID vehicle-borne electronic tag
KR101590016B1 (en)*2014-09-042016-01-29주식회사 큐씨디정보통신기술Real time traffic signal control system
CN106023608A (en)*2016-06-082016-10-12吉林大学Crossroad traffic signal lamp real time dynamic timing method
CN106297329A (en)*2016-08-262017-01-04南京蓝泰交通设施有限责任公司A kind of signal timing dial adaptive optimization method of networking signals machine
CN109035786A (en)*2018-10-102018-12-18南京宁昱通交通科技有限公司A kind of traffic slot control method improving trunk roads Adjacent Intersections traffic efficiency

Patent Citations (7)

* Cited by examiner, † Cited by third party
Publication numberPriority datePublication dateAssigneeTitle
CN104036645A (en)*2014-06-032014-09-10东南大学Reversible-lane-based intersection signal control method
KR101590016B1 (en)*2014-09-042016-01-29주식회사 큐씨디정보통신기술Real time traffic signal control system
CN104282162A (en)*2014-09-292015-01-14同济大学Adaptive intersection signal control method based on real-time vehicle track
CN105118290A (en)*2015-07-222015-12-02上海应用技术学院Intersection induction signal control system and method based on RFID vehicle-borne electronic tag
CN106023608A (en)*2016-06-082016-10-12吉林大学Crossroad traffic signal lamp real time dynamic timing method
CN106297329A (en)*2016-08-262017-01-04南京蓝泰交通设施有限责任公司A kind of signal timing dial adaptive optimization method of networking signals machine
CN109035786A (en)*2018-10-102018-12-18南京宁昱通交通科技有限公司A kind of traffic slot control method improving trunk roads Adjacent Intersections traffic efficiency

Cited By (10)

* Cited by examiner, † Cited by third party
Publication numberPriority datePublication dateAssigneeTitle
CN112037508A (en)*2020-08-132020-12-04山东理工大学Intersection signal timing optimization method based on dynamic saturation flow rate
CN112037508B (en)*2020-08-132022-06-17山东理工大学Intersection signal timing optimization method based on dynamic saturation flow rate
CN113516857A (en)*2021-04-192021-10-19安徽达尔智能控制系统股份有限公司Intersection signal timing dynamic allocation method and system based on radar monitoring
CN113257017A (en)*2021-06-252021-08-13深圳市城市交通规划设计研究中心股份有限公司Estimation method and device for intersection signal timing scheme and terminal
CN113257017B (en)*2021-06-252021-10-29深圳市城市交通规划设计研究中心股份有限公司Estimation method and device for intersection signal timing scheme and terminal
CN114267189A (en)*2021-12-202022-04-01黑龙江工程学院 A joint control method for expressway exit ramp and connecting intersection
CN114120654A (en)*2022-01-262022-03-01南京原力智能科技有限公司General calculation method for influence of number of vehicles running on road network traffic capacity
CN115273499A (en)*2022-06-302022-11-01华东师范大学Traffic flow-based signal lamp dynamic timing method and system
CN115273499B (en)*2022-06-302023-11-10华东师范大学 A dynamic timing method and system for traffic lights based on traffic flow
WO2024140312A1 (en)*2022-12-262024-07-04北京东土正创科技有限公司Intersection stage green light time optimization method, apparatus, device and storage medium

Similar Documents

PublicationPublication DateTitle
CN111081039A (en) A method and system for real-time dynamic intersection signal control design
CN102005125B (en)Discharging method of vehicles passing intersection and related design method and control system
CN104637315B (en) Method and system for optimal control of unsignalized intersections under vehicle-road coordination environment
CN110136455B (en) A method of timing traffic signal lights
CN105976621B (en)It is a kind of to guide the not parking device and method by intersection of vehicle based on car speed induction strategies
CN109410619B (en)Automatic traffic control method and system under one-way road network
CN107038863B (en) Calculation method of generalized right of way in urban road network considering comprehensive traffic management measures
US12236783B2 (en)Implementation method and system for road traffic reservation passage, and electronic device
CN103310640B (en)Motor vehicle stream-oriented intersection traffic pre-signal control method
CN105096622B (en)A kind of dynamic route guidance method communicated based on bus or train route
CN103280113A (en)Self-adaptive intersection signal control method
WO2011091772A1 (en)Traffic signal control system, design method and special equipment
CN105225502A (en)A kind of intersection signal control method based on multiple agent
CN105225505A (en)crossing bus signal priority control system
CN103258436A (en)Method for determining length of variable guide lane for signal control intersection approach
CN101299298A (en)Road self-adapting entrance ramp afflux control equipment and method
CN107610488A (en) An automatic control system for traffic signal lights and an automatic control method for traffic signal lights based on the system
CN105321357A (en)Setting system and method for same-phase turn-right and pedestrian signals of independent intersection
CN113421440B (en)Dynamic traffic signal control method for secondary crossing intersection of pedestrian
CN105133450B (en) A Design Method for U-turn Area at Road Intersection with Central Isolation Guardrail
CN105046984A (en)Traffic signal setting method for elimination of cross signal intersection left-turn phase
CN107230361A (en)One kind mixing public transportation lane real-time control system and method
CN111932909A (en) A real-time variable lane dynamic allocation method in an intelligent vehicle-road coordination environment
CN104192148A (en)Main road speed planning method based on traffic signal information prediction
CN106652494A (en) Method and device for controlling traffic lights

Legal Events

DateCodeTitleDescription
PB01Publication
PB01Publication
SE01Entry into force of request for substantive examination
SE01Entry into force of request for substantive examination
WD01Invention patent application deemed withdrawn after publication

Application publication date:20200428

WD01Invention patent application deemed withdrawn after publication

[8]ページ先頭

©2009-2025 Movatter.jp