Movatterモバイル変換


[0]ホーム

URL:


CN111077413A - Three-phase transient current-based small current grounding system fault phase selection and line selection method - Google Patents

Three-phase transient current-based small current grounding system fault phase selection and line selection method
Download PDF

Info

Publication number
CN111077413A
CN111077413ACN202010072314.8ACN202010072314ACN111077413ACN 111077413 ACN111077413 ACN 111077413ACN 202010072314 ACN202010072314 ACN 202010072314ACN 111077413 ACN111077413 ACN 111077413A
Authority
CN
China
Prior art keywords
phase
current
line
fault
transient current
Prior art date
Legal status (The legal status is an assumption and is not a legal conclusion. Google has not performed a legal analysis and makes no representation as to the accuracy of the status listed.)
Pending
Application number
CN202010072314.8A
Other languages
Chinese (zh)
Inventor
石访
徐凯
王鹏
张林林
Current Assignee (The listed assignees may be inaccurate. Google has not performed a legal analysis and makes no representation or warranty as to the accuracy of the list.)
Shandong University
Original Assignee
Shandong University
Priority date (The priority date is an assumption and is not a legal conclusion. Google has not performed a legal analysis and makes no representation as to the accuracy of the date listed.)
Filing date
Publication date
Application filed by Shandong UniversityfiledCriticalShandong University
Priority to CN202010072314.8ApriorityCriticalpatent/CN111077413A/en
Publication of CN111077413ApublicationCriticalpatent/CN111077413A/en
Pendinglegal-statusCriticalCurrent

Links

Images

Classifications

Landscapes

Abstract

Translated fromChinese

本公开提供了基于三相暂态电流的小电流接地系统故障选相和选线方法,利用三相暂态电流的特征既可以进行故障相的辨识也能辨识出故障线路,包括采集母线和支路的三相电流数据,计算所有线路每一相的暂态电流,对母线处三相暂态电流分量进行灰色关联度计算,判定平均灰色关联度最小的一相为故障相;对各条支路的三相暂态电流进行小波包多层分解,计算每条线路健全相暂态电流的各个子频带能量,找到每条线路健全相电流能量最大的子频带,将该频带作为本线路的特征频带;在特征频带内对该支路的三相暂态电流进行小波包重构,计算重构后的故障相与健全相电流能量比值,若某条线路的比值大于设定值,判定该线路为故障线路。

Figure 202010072314

The present disclosure provides a fault phase selection and line selection method for a low-current grounding system based on three-phase transient current, which can use the characteristics of three-phase transient current to identify both the faulty phase and the faulty line, including collecting busbars and branch lines. Calculate the transient current of each phase of all lines, calculate the gray correlation degree of the three-phase transient current components at the busbar, and determine the phase with the smallest average gray correlation degree as the faulty phase; The three-phase transient current of the circuit is decomposed into multi-layer wavelet packets, and the energy of each sub-band of the sound phase transient current of each line is calculated, and the sub-band with the largest energy of the sound phase current of each line is found, and the frequency band is used as the characteristic of the line. frequency band; carry out wavelet packet reconstruction of the three-phase transient current of the branch within the characteristic frequency band, and calculate the current energy ratio of the reconstructed fault phase and the sound phase. If the ratio of a certain line is greater than the set value, determine the line for the faulty line.

Figure 202010072314

Description

Three-phase transient current-based small current grounding system fault phase selection and line selection method
Technical Field
The disclosure belongs to the technical field of fault line selection and phase selection of a power system, and relates to a fault phase selection and line selection method of a low-current grounding system based on three-phase transient current.
Background
The statements in this section merely provide background information related to the present disclosure and may not necessarily constitute prior art.
At present, a power distribution network is mainly a low-current grounding system, and the grounding mode has the advantages that when a single-phase grounding fault occurs, the system can still continue to operate for a period of time, and high power supply reliability can be guaranteed. However, due to the continuous development of modern power distribution networks, the capacitance current of the system is continuously increased, so that the arc current at a fault point is difficult to self-extinguish, and the arc overvoltage can reduce the insulation of equipment, so that a single-phase earth fault is likely to develop into a two-phase short circuit or even a three-phase short circuit, and the personal safety and the equipment safety are threatened. It is therefore necessary to quickly and accurately locate and isolate the faulty line.
When a single-phase earth fault occurs in a low-current earth system, the phase selection and line selection algorithm based on steady-state characteristic quantity has poor effect in practical application due to weak current and unstable electric arc.
Disclosure of Invention
In order to solve the problems, the invention provides a three-phase transient current-based small current grounding system fault phase selection and line selection method.
According to some embodiments, the following technical scheme is adopted in the disclosure:
a three-phase transient current-based small current grounding system fault phase selection and line selection method comprises the following steps:
collecting three-phase current data of a bus and a branch, and monitoring a secondary side voltage value of a zero sequence PT at the bus;
when the voltage of the zero sequence PT secondary side at the bus exceeds a set voltage value, judging that a single-phase earth fault occurs;
calculating the transient current of each phase of all the lines, calculating the grey correlation degree of three-phase transient current components at the bus, and judging the phase with the minimum average grey correlation degree as a fault phase;
carrying out wavelet packet multilayer decomposition on the three-phase transient current of each branch, calculating energy of each sub-band of the healthy phase transient current of each line, finding out the sub-band with the maximum healthy phase current energy of each line, and taking the frequency band as a characteristic frequency band of the line;
and carrying out wavelet packet reconstruction on the three-phase transient current of the branch in the characteristic frequency band, calculating the energy ratio of the reconstructed fault phase to the healthy phase current, and if the ratio of a certain line is greater than a set value, judging the line as a fault line.
As a further limitation, the sampling frequency when collecting the three-phase current data of the bus and the branch is constant, and the sampling frequency of each branch is the same.
By way of further limitation, the transient current of the ith line j phase is the difference between the current of the cycle after the ith line j phase fault and the current of the cycle before the fault.
By way of further limitation, the energy of each sub-band of the healthy phase transient current of each line is:
Figure BDA0002377610530000021
wherein ω isj(n) represents a decomposition coefficient at the jth sub-band.
As a further limitation, the energy ratio of the reconstructed fault phase to the healthy phase current is calculated as follows:
Figure BDA0002377610530000031
wherein ξ (m) is the coefficient of the fault phase current after reconstruction, and η (m) is the coefficient of the healthy phase current after reconstruction.
Three-phase transient current-based small current grounding system fault phase selection and line selection system comprises:
the sampling module is configured to acquire three-phase current data of a bus and a branch and monitor a secondary side voltage value of a zero sequence PT at the bus;
the single-phase earth fault judgment module is configured to judge that a single-phase earth fault occurs when the voltage of the zero-sequence PT secondary side at the bus exceeds a set voltage value;
the fault phase judgment module is configured to calculate transient currents of all lines in each phase, calculate grey correlation degrees of three-phase transient current components at a bus and judge one phase with the minimum average grey correlation degree as a fault phase;
the fault line judgment module is configured to perform wavelet packet multilayer decomposition on the three-phase transient current of each branch, calculate energy of each sub-band of the healthy phase transient current of each line, find out the sub-band with the maximum healthy phase current energy of each line, and take the frequency band as a characteristic frequency band of the line;
and carrying out wavelet packet reconstruction on the three-phase transient current of the branch in the characteristic frequency band, calculating the energy ratio of the reconstructed fault phase to the healthy phase current, and if the ratio of a certain line is greater than a set value, judging the line as a fault line.
A computer readable storage medium having stored therein a plurality of instructions adapted to be loaded by a processor of a terminal device and to perform the steps of the method for three-phase transient current based low current grounding system fault phase and line selection.
A terminal device comprising a processor and a computer readable storage medium, the processor being configured to implement instructions; the computer readable storage medium is used for storing a plurality of instructions, and the instructions are suitable for being loaded by a processor and executing the steps of the three-phase transient current-based small current grounding system fault phase selection and line selection method.
Compared with the prior art, the beneficial effect of this disclosure is:
according to the method, the fault phase and the fault line can be judged only by utilizing the three-phase current magnitude, and no zero sequence CT or zero sequence PT is additionally added.
The disclosure only relates to sequence net port current and voltage and fault resistance R in the theoretical derivation processfIs irrelevant, so even in the case of intermittent arc grounding, RfIs still applicable when being a variable, and has wide application prospect.
Drawings
The accompanying drawings, which are included to provide a further understanding of the disclosure, illustrate embodiments of the disclosure and together with the description serve to explain the disclosure and are not to limit the disclosure.
FIG. 1 is an additional fault condition equivalent network diagram;
FIG. 2 is a schematic diagram of a transient current flow loop;
FIG. 3 is a schematic flow diagram of the present disclosure;
the specific implementation mode is as follows:
the present disclosure is further described with reference to the following drawings and examples.
It should be noted that the following detailed description is exemplary and is intended to provide further explanation of the disclosure. Unless defined otherwise, all technical and scientific terms used herein have the same meaning as commonly understood by one of ordinary skill in the art to which this disclosure belongs.
It is noted that the terminology used herein is for the purpose of describing particular embodiments only and is not intended to be limiting of example embodiments according to the present disclosure. As used herein, the singular forms "a", "an" and "the" are intended to include the plural forms as well, and it should be understood that when the terms "comprises" and/or "comprising" are used in this specification, they specify the presence of stated features, steps, operations, devices, components, and/or combinations thereof, unless the context clearly indicates otherwise.
The new processing mode of the power distribution network operation regulation for the single-phase earth fault of the small current grounding system is changed from 'allowing continuous operation with fault for 2 hours' to 'line selection tripping', and a fault phase and a fault line are accurately and quickly found out.
The main technical problems include the following:
(1) and analyzing the transient currents of the three phases A, B and C to find out the distinguishing characteristics of the transient currents of the healthy phase and the fault phase. And identifying the fault phase by using the found fault characteristics.
(2) And analyzing the three-phase transient current of each line to find out the distinguishing characteristics of the three-phase transient current of the sound line and the fault line. And identifying the fault line by using the found fault characteristics.
Firstly, we perform fault phase and healthy phase transient current feature analysis:
the symmetric component method can be used for steady-state calculation of the single-phase earth fault and transient calculation. The difference is that the steady-state computation is performed in the time domain, whereas the transient computation needs to be performed in the complex frequency domain.
The single phase grounding fault network can be decomposed into a normal operation network and a network with additional fault state by using the superposition principle. And the transient process is determined to be the additional fault state network, so the additional fault state network can be analyzed by using a symmetrical component method in a complex frequency domain.
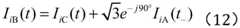
When a phase-A grounding fault occurs on a certain line of the resonant grounding power distribution network system, fault boundary conditions in a complex frequency domain can be written as follows:
Figure BDA0002377610530000061
in the formula:
Figure BDA0002377610530000062
is a Laplace transform phase function of the phase voltage A at the fault point f;
Figure BDA0002377610530000063
is the Laplace transform phase function of the current at the fault point f;
Figure BDA0002377610530000064
and
Figure BDA0002377610530000065
is a laplace transform phase function of the phase B and phase C currents at fault point f. RfIs a ground resistor.
The three-phase voltage and current at the fault point f are decomposed into positive and negative zero-sequence symmetrical components by a symmetrical component method, and then the formula (1) can be arranged as follows:
Figure BDA0002377610530000066
in the formula:
Figure BDA0002377610530000067
the Laplace transform phase function of positive and negative zero sequence current at a fault point f is obtained;
Figure BDA0002377610530000068
is a Laplace transform phase function of positive and negative zero sequence voltages at a fault point f.
Let the instantaneous voltage before A-phase fault be
Figure BDA0002377610530000069
Based on the boundary conditions of equation (2), an additional fault status network can be made as shown in FIG. 1.
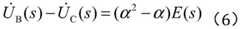
From FIG. 1, it can be seen that:
Figure BDA0002377610530000071
according to the symmetrical component method, the voltages of the two phases B and C (healthy phase) at the fault point f are as follows:
Figure BDA0002377610530000072
voltage at bus bar neglecting line voltage drop
Figure BDA0002377610530000073
Equal to the voltage at the fault point f
Figure BDA0002377610530000074
Then the following holds:
Figure BDA0002377610530000075
the positive sequence impedance and the negative sequence impedance can be considered to be equal, and formula (3) is taken into formula (5), so that the formula is simplified to obtain:
Figure BDA0002377610530000076
inverse laplace transform is performed on both ends of equation (6) to obtain:
Figure BDA0002377610530000077
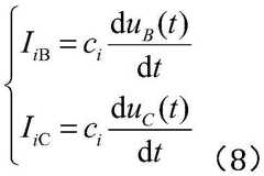
after a single-phase ground fault occurs, the B, C-phase (healthy phase) capacitance-to-ground current flowing through any line i can be expressed by the following formula:
Figure BDA0002377610530000078
from formula (8):
Figure BDA0002377610530000079
by substituting formula (7) for formula (9), it is possible to obtain:
Figure BDA0002377610530000081
according to the instantaneous voltage before the A-phase fault, the instantaneous earth capacitance current before the A-phase fault flowing through any line i can be obtained as follows:
Figure BDA0002377610530000082
by substituting formula (11) for formula (10), it is possible to obtain:
Figure BDA0002377610530000083
formula (12) indicates that: b-phase transient capacitance current I of any line when single-phase earth fault occurs at A-phase f pointiB(t) the current can be measured by the C-phase transient capacitance current I of the present circuitiC(t) capacitive current to ground I relative to A at the moment before the faultiA(t-) And (4) synthesizing. Due to IiA(t-) The transient capacitance current of the B phase and the C phase has the same transient process because of the steady-state current of the fundamental wave.
Therefore, the fault phase can be identified by utilizing the similarity of the transient phase currents of the healthy phases. The specific criteria are as follows: and comparing the similarity of the three-phase transient phase currents at the bus, wherein the two phases with the highest similarity are healthy phases, and the other phase is a fault phase.
And then carrying out three-phase transient current characteristic analysis on the fault line and the sound line:
when a single-phase earth fault occurs in a power distribution network, besides the original load current, a high-frequency transient phase current caused by sudden reduction of a fault phase voltage and sudden increase of a non-fault phase voltage exists in a fault phase. The distribution of the transient current is shown in fig. 2.
When a single-phase earth fault occurs to the power distribution network with only one feeder line, the transient phase current of the fault phase is equal to the sum of the transient phase currents of 2 healthy phases, namely the transient phase current of the fault phase is equal to 2 times of the transient phase current of any healthy phase; when the distribution network is provided with a plurality of feeder lines, the transient phase current of the fault phase of the fault line is 2 times larger than that of the healthy phase of the fault line due to the boosting effect of the healthy phase current of the healthy line.
Defining:
Figure BDA0002377610530000091
in the formula IfFor fault phase transient current, IhIs a healthy phase transient current.
For a faulty line, the faulty signature k ≧ 2. It should be noted that the compensation effect of the arc suppression coil is not considered in the above analysis because the inductance current generated by the arc suppression coil is composed of a power frequency component and a decaying direct current component, and the high-frequency transient phase current has a large difference in frequency band, so that the effect of the arc suppression coil can be ignored. Therefore, the fault line selection algorithm provided by the embodiment is suitable for both an ungrounded system and an arc suppression coil system.
The frequency component of the transient state quantity is very complex, the influence of the structure and parameters of the network is large, and the frequency bands of transient state phase current energy concentration of each line are not necessarily the same. Improper selection of the characteristic frequency band can cause misjudgment of a fault line selection algorithm. The characteristic frequency band selection should satisfy the following two principles:
1) for a healthy line, the ratio of the faulted phase to the healthy phase is significantly less than 2 within the characteristic frequency band.
2) For a faulty line, the ratio of the faulty phase to the healthy phase is significantly greater than 2 within the characteristic frequency band.
Specifically, the frequency band in which the transient current energy is most concentrated in the robust phase should be selected as the characteristic frequency band. In the characteristic frequency band, because the energy of the healthy phase is concentrated, the principle that the ratio of the fault phase and the healthy phase of the healthy line is obviously less than 2 can be met; and because the energy of the fault phase in the fault line is far greater than that of the healthy phase, the principle that the ratio of the fault phase to the healthy phase of the fault line is obviously less than 2 is also met in the characteristic frequency band. It is particularly noted that for the crowbar coil system, the frequency band containing the power frequency is removed when the characteristic frequency band is selected.
Comprehensive algorithm for fault phase selection and line selection
When a single-phase earth fault occurs in the power distribution network, the basic steps of the fault phase selection and line selection comprehensive algorithm provided by the embodiment are as follows, and a flowchart is shown in fig. 3.
1) Collecting three-phase current data of a bus and a branch, wherein the sampling frequency is 10kHz, and continuously monitoring the secondary side voltage value of zero sequence PT at the bus;
2) and when the voltage of the zero sequence PT secondary side at the bus exceeds 15V, judging that the single-phase earth fault occurs.
3) Calculating transient current of each phase of all lines
Figure BDA0002377610530000101
Wherein
Figure BDA0002377610530000102
The current of the cycle before the j-phase fault of the ith line,
Figure BDA0002377610530000103
for a cycle of current after an I-th line j-phase fault, e.g. △ I3-BRepresents the transient current, Δ I, of phase B ofline 3bus-CRepresenting the transient current of the C phase at the bus.
4) For three-phase transient current component delta I at busbus-A、ΔIbus-BAnd Δ Ibus-CAnd performing grey correlation calculation.
ΔIbus-A、ΔIbus-BAnd Δ Ibus-CThe sampling frequency of (2) is 10kHz, and the sampling frequency of (0.02s) is 200 sampling points in a cycle
ΔIbus-A={ΔIbus-A(1),ΔIbus-A(2),…,ΔIbus-A(200)}
ΔIbus-B={ΔIbus-B(1),ΔIbus-B(2),…,ΔIbus-B(200)}
ΔIbus-C={ΔIbus-C(1),ΔIbus-C(2),…,ΔIbus-C(200)}
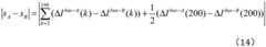
With A-phase and B-phase transient currents Δ Ibus-AAnd Δ Ibus-BFor example, the gray correlation ε is describedABThe calculation process of (2):
Figure BDA0002377610530000111
Figure BDA0002377610530000112
Figure BDA0002377610530000113
calculating the grey correlation degree of transient currents of the A phase and the B phase:
Figure BDA0002377610530000114
can calculate epsilon in the same wayAC,εBA,εBC,εCAAnd εCBFurther calculate the gray correlation matrix
Figure BDA0002377610530000115
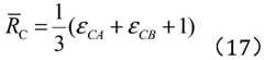
Calculate the average Grey correlation for each phase
Figure BDA0002377610530000116
And
Figure BDA0002377610530000117
Figure BDA0002377610530000118
Figure BDA0002377610530000119
Figure BDA00023776105300001110
and determining the phase as a fault phase by which the average grey correlation degree of the phase is minimum.
5) Performing wavelet packet (db 6 wavelet is selected) 5-layer decomposition (of course, in other embodiments, the number of decomposed layers may be changed) on the three-phase transient current of each branch, and calculating the energy of each sub-band of the healthy phase transient current of each line by using the following formula:
Figure BDA0002377610530000121
in the formula: omegaj(n) represents a decomposition coefficient at the jth sub-band.
And finding out the sub-band with the maximum healthy phase current energy of each line, and taking the sub-band as the characteristic band of the line.
6) Wavelet packet reconstruction is carried out on the three-phase transient current of the branch circuit in the characteristic frequency band, and the energy ratio of the reconstructed fault phase and the healthy phase current is calculated by the following formula:
Figure BDA0002377610530000122
wherein ξ (m) is the coefficient of the fault phase current after reconstruction, and η (m) is the coefficient of the healthy phase current after reconstruction.
If the ratio K of a certain line is more than or equal to 2, the line can be considered as a fault line.
As will be appreciated by one skilled in the art, embodiments of the present disclosure may be provided as a method, system, or computer program product. Accordingly, the present disclosure may take the form of an entirely hardware embodiment, an entirely software embodiment or an embodiment combining software and hardware aspects. Furthermore, the present disclosure may take the form of a computer program product embodied on one or more computer-usable storage media (including, but not limited to, disk storage, CD-ROM, optical storage, and so forth) having computer-usable program code embodied therein.
The present disclosure is described with reference to flowchart illustrations and/or block diagrams of methods, apparatus (systems), and computer program products according to embodiments of the disclosure. It will be understood that each flow and/or block of the flow diagrams and/or block diagrams, and combinations of flows and/or blocks in the flow diagrams and/or block diagrams, can be implemented by computer program instructions. These computer program instructions may be provided to a processor of a general purpose computer, special purpose computer, embedded processor, or other programmable data processing apparatus to produce a machine, such that the instructions, which execute via the processor of the computer or other programmable data processing apparatus, create means for implementing the functions specified in the flowchart flow or flows and/or block diagram block or blocks.
These computer program instructions may also be stored in a computer-readable memory that can direct a computer or other programmable data processing apparatus to function in a particular manner, such that the instructions stored in the computer-readable memory produce an article of manufacture including instruction means which implement the function specified in the flowchart flow or flows and/or block diagram block or blocks.
These computer program instructions may also be loaded onto a computer or other programmable data processing apparatus to cause a series of operational steps to be performed on the computer or other programmable apparatus to produce a computer implemented process such that the instructions which execute on the computer or other programmable apparatus provide steps for implementing the functions specified in the flowchart flow or flows and/or block diagram block or blocks.
The above description is only a preferred embodiment of the present disclosure and is not intended to limit the present disclosure, and various modifications and changes may be made to the present disclosure by those skilled in the art. Any modification, equivalent replacement, improvement and the like made within the spirit and principle of the present disclosure should be included in the protection scope of the present disclosure.
Although the present disclosure has been described with reference to specific embodiments, it should be understood that the scope of the present disclosure is not limited thereto, and those skilled in the art will appreciate that various modifications and changes can be made without departing from the spirit and scope of the present disclosure.

Claims (8)

Translated fromChinese
1.基于三相暂态电流的小电流接地系统故障选相和选线方法,其特征是:包括以下步骤:1. The fault phase selection and line selection method for a small current grounding system based on three-phase transient current is characterized in that: comprising the following steps:采集母线和支路的三相电流数据,监测母线处的零序PT的二次侧电压值;Collect the three-phase current data of the busbar and branch, and monitor the secondary side voltage value of the zero-sequence PT at the busbar;当母线处零序PT二次侧电压超过设定电压值时,判断发生单相接地故障;When the zero-sequence PT secondary side voltage at the busbar exceeds the set voltage value, it is judged that a single-phase grounding fault occurs;计算所有线路每一相的暂态电流,对母线处三相暂态电流分量进行灰色关联度计算,判定平均灰色关联度最小的一相为故障相;Calculate the transient current of each phase of all lines, calculate the gray correlation degree of the three-phase transient current components at the busbar, and determine the phase with the smallest average gray correlation degree as the faulty phase;对各条支路的三相暂态电流进行小波包多层分解,计算每条线路健全相暂态电流的各个子频带能量,找到每条线路健全相电流能量最大的子频带,将该频带作为本线路的特征频带;The three-phase transient current of each branch is decomposed into multi-layer wavelet packets, the energy of each sub-band of the sound phase transient current of each line is calculated, and the sub-band with the largest energy of the sound phase current of each line is found, and the frequency band is used as The characteristic frequency band of this line;在特征频带内对该支路的三相暂态电流进行小波包重构,计算重构后的故障相与健全相电流能量比值,若某条线路的比值大于设定值,判定该线路为故障线路。Perform wavelet packet reconstruction on the three-phase transient current of the branch within the characteristic frequency band, and calculate the current energy ratio of the reconstructed faulty phase and the sound phase. If the ratio of a certain line is greater than the set value, the line is judged to be faulty line.2.如权利要求1所述的基于三相暂态电流的小电流接地系统故障选相和选线方法,其特征是:采集母线和支路的三相电流数据时的采样频率一定,且各支路的采样频率相同。2. the low-current grounding system fault phase selection and line selection method based on three-phase transient current as claimed in claim 1, it is characterized in that: the sampling frequency when collecting the three-phase current data of bus and branch is certain, and each The sampling frequencies of the branches are the same.3.如权利要求1所述的基于三相暂态电流的小电流接地系统故障选相和选线方法,其特征是:第i线路j相的暂态电流为第i线路j相故障后一个周波的电流与故障前一个周波的电流的差值。3. the low-current grounding system fault phase selection and line selection method based on three-phase transient current as claimed in claim 1, it is characterized in that: the transient current of the i-th line j-phase is one after the i-th line j-phase fault The difference between the current of the cycle and the current of the previous cycle before the fault.4.如权利要求1所述的基于三相暂态电流的小电流接地系统故障选相和选线方法,其特征是:每条线路健全相暂态电流的各个子频带能量为:
Figure FDA0002377610520000021
其中ωj(n)表示第j个子频带下的分解系数。4. the low-current grounding system fault phase selection and line selection method based on three-phase transient current as claimed in claim 1, it is characterized in that: each sub-band energy of each line sound phase transient current is:
Figure FDA0002377610520000021
where ωj (n) represents the decomposition coefficient in the jth subband.5.如权利要求1所述的基于三相暂态电流的小电流接地系统故障选相和选线方法,其特征是:计算重构后的故障相与健全相电流能量比值为:5. The low-current grounding system fault phase selection and line selection method based on three-phase transient current as claimed in claim 1, is characterized in that: the ratio of fault phase and sound phase current energy after calculating the reconstruction is:
Figure FDA0002377610520000022
Figure FDA0002377610520000022
式中:ξ(m)为重构后故障相电流的系数,η(m)为重构后健全相电流的系数。In the formula: ξ(m) is the coefficient of the fault phase current after reconstruction, and η(m) is the coefficient of the sound phase current after reconstruction.
6.基于三相暂态电流的小电流接地系统故障选相和选线系统,其特征是:包括:6. The fault phase selection and line selection system of small current grounding system based on three-phase transient current is characterized by: including:采样模块,被配置为采集母线和支路的三相电流数据,监测母线处的零序PT的二次侧电压值;The sampling module is configured to collect the three-phase current data of the busbar and the branch, and monitor the secondary side voltage value of the zero-sequence PT at the busbar;单相接地故障判断模块,被配置为当母线处零序PT二次侧电压超过设定电压值时,判断发生单相接地故障;The single-phase grounding fault judgment module is configured to judge the occurrence of single-phase grounding fault when the zero-sequence PT secondary side voltage at the busbar exceeds the set voltage value;故障相判断模块,被配置为计算所有线路每一相的暂态电流,对母线处三相暂态电流分量进行灰色关联度计算,判定平均灰色关联度最小的一相为故障相;The fault phase judgment module is configured to calculate the transient current of each phase of all lines, calculate the gray correlation degree of the three-phase transient current components at the busbar, and determine the phase with the smallest average gray correlation degree as the fault phase;故障线路判断模块,被配置为对各条支路的三相暂态电流进行小波包多层分解,计算每条线路健全相暂态电流的各个子频带能量,找到每条线路健全相电流能量最大的子频带,将该频带作为本线路的特征频带;The fault line judgment module is configured to perform multi-layer wavelet packet decomposition on the three-phase transient current of each branch, calculate the energy of each sub-band of the sound phase transient current of each line, and find the maximum energy of the sound phase current of each line. The sub-band of , and this frequency band is regarded as the characteristic frequency band of this line;在特征频带内对该支路的三相暂态电流进行小波包重构,计算重构后的故障相与健全相电流能量比值,若某条线路的比值大于设定值,判定该线路为故障线路。Perform wavelet packet reconstruction on the three-phase transient current of the branch within the characteristic frequency band, and calculate the current energy ratio of the reconstructed faulty phase and the sound phase. If the ratio of a certain line is greater than the set value, the line is judged to be faulty line.7.一种计算机可读存储介质,其特征是:其中存储有多条指令,所述指令适于由终端设备的处理器加载并执行权利要求1-5中任一项所述的一种基于三相暂态电流的小电流接地系统故障选相和选线方法的步骤。7. A computer-readable storage medium, characterized in that: a plurality of instructions are stored therein, and the instructions are adapted to be loaded by a processor of a terminal device and execute the one based on any one of claims 1-5. The steps of phase selection and line selection method for low-current grounding system fault with three-phase transient current.8.一种终端设备,其特征是:包括处理器和计算机可读存储介质,处理器用于实现各指令;计算机可读存储介质用于存储多条指令,所述指令适于由处理器加载并执行权利要求1-5中任一项所述的一种基于三相暂态电流的小电流接地系统故障选相和选线方法的步骤。8. A terminal device, characterized in that it comprises a processor and a computer-readable storage medium, where the processor is used to implement each instruction; the computer-readable storage medium is used to store a plurality of instructions, and the instructions are suitable for being loaded by the processor and storing them. The steps of implementing the method for phase selection and line selection of a low-current grounding system fault based on three-phase transient current according to any one of claims 1-5.
CN202010072314.8A2020-01-212020-01-21Three-phase transient current-based small current grounding system fault phase selection and line selection methodPendingCN111077413A (en)

Priority Applications (1)

Application NumberPriority DateFiling DateTitle
CN202010072314.8ACN111077413A (en)2020-01-212020-01-21Three-phase transient current-based small current grounding system fault phase selection and line selection method

Applications Claiming Priority (1)

Application NumberPriority DateFiling DateTitle
CN202010072314.8ACN111077413A (en)2020-01-212020-01-21Three-phase transient current-based small current grounding system fault phase selection and line selection method

Publications (1)

Publication NumberPublication Date
CN111077413Atrue CN111077413A (en)2020-04-28

Family

ID=70324046

Family Applications (1)

Application NumberTitlePriority DateFiling Date
CN202010072314.8APendingCN111077413A (en)2020-01-212020-01-21Three-phase transient current-based small current grounding system fault phase selection and line selection method

Country Status (1)

CountryLink
CN (1)CN111077413A (en)

Cited By (2)

* Cited by examiner, † Cited by third party
Publication numberPriority datePublication dateAssigneeTitle
CN111812451A (en)*2020-06-042020-10-23国电南瑞科技股份有限公司 A distributed line selection method for distribution network based on phase current transient fault components
CN115144696A (en)*2022-06-292022-10-04国网北京市电力公司 Method, device, equipment and medium for fault line selection of small current grounding system

Citations (10)

* Cited by examiner, † Cited by third party
Publication numberPriority datePublication dateAssigneeTitle
CN101154807A (en)*2007-10-112008-04-02天津大学 Adaptive line selection method for single-phase-to-ground fault in distribution network based on transient zero-sequence current
CN102305898A (en)*2011-05-182012-01-04昆明理工大学Method for selecting fault phase of alternating current transmission line by using transient energy
CN103197202A (en)*2013-03-292013-07-10昆明理工大学Distribution network fault line selection method based on wavelet coefficient correlation analysis in three-phase breaking current component characteristic frequency band
CN105738758A (en)*2014-12-112016-07-06国网天津静海供电有限公司Small current grounding line selecting device application system
CN105974264A (en)*2016-04-282016-09-28长沙理工大学Fault line selection method based on phase current transient characteristics
CN106324432A (en)*2016-08-302017-01-11南京南瑞继保电气有限公司Single-phase grounding line selection method for small-current grounding system
CN107632237A (en)*2017-08-162018-01-26杭州零尔电力科技有限公司A kind of fault line selection method for single-phase-to-ground fault based on wavelet character amount correlation after failure
CN110118912A (en)*2019-04-232019-08-13武汉理工大学It is a kind of that wire selection method for power distribution network single phase earthing failure is grounded through arc suppression coil device based on grey correlation analysis
CN110488155A (en)*2019-08-302019-11-22东南大学A kind of fault line selection method for single-phase-to-ground fault applied to flexible ground system
CN110703128A (en)*2019-04-232020-01-17武汉理工大学Single-phase earth fault phase selection method for non-effectively-grounded power distribution network based on grey correlation analysis

Patent Citations (10)

* Cited by examiner, † Cited by third party
Publication numberPriority datePublication dateAssigneeTitle
CN101154807A (en)*2007-10-112008-04-02天津大学 Adaptive line selection method for single-phase-to-ground fault in distribution network based on transient zero-sequence current
CN102305898A (en)*2011-05-182012-01-04昆明理工大学Method for selecting fault phase of alternating current transmission line by using transient energy
CN103197202A (en)*2013-03-292013-07-10昆明理工大学Distribution network fault line selection method based on wavelet coefficient correlation analysis in three-phase breaking current component characteristic frequency band
CN105738758A (en)*2014-12-112016-07-06国网天津静海供电有限公司Small current grounding line selecting device application system
CN105974264A (en)*2016-04-282016-09-28长沙理工大学Fault line selection method based on phase current transient characteristics
CN106324432A (en)*2016-08-302017-01-11南京南瑞继保电气有限公司Single-phase grounding line selection method for small-current grounding system
CN107632237A (en)*2017-08-162018-01-26杭州零尔电力科技有限公司A kind of fault line selection method for single-phase-to-ground fault based on wavelet character amount correlation after failure
CN110118912A (en)*2019-04-232019-08-13武汉理工大学It is a kind of that wire selection method for power distribution network single phase earthing failure is grounded through arc suppression coil device based on grey correlation analysis
CN110703128A (en)*2019-04-232020-01-17武汉理工大学Single-phase earth fault phase selection method for non-effectively-grounded power distribution network based on grey correlation analysis
CN110488155A (en)*2019-08-302019-11-22东南大学A kind of fault line selection method for single-phase-to-ground fault applied to flexible ground system

Non-Patent Citations (3)

* Cited by examiner, † Cited by third party
Title
张伟刚等: "应用小波包分析实现配电网单相接地故障选线", 《电力系统自动化》*
王雪文等: "基于暂态能量的小电流接地系统单相接地故障区段定位方法", 《电网技术》*
陈科: "《市场数据分析》", 30 June 2013*

Cited By (4)

* Cited by examiner, † Cited by third party
Publication numberPriority datePublication dateAssigneeTitle
CN111812451A (en)*2020-06-042020-10-23国电南瑞科技股份有限公司 A distributed line selection method for distribution network based on phase current transient fault components
CN111812451B (en)*2020-06-042022-11-22国电南瑞科技股份有限公司Phase current transient fault component-based distributed line selection method for power distribution network
CN115144696A (en)*2022-06-292022-10-04国网北京市电力公司 Method, device, equipment and medium for fault line selection of small current grounding system
CN115144696B (en)*2022-06-292023-09-29国网北京市电力公司Fault line selection method, device, equipment and medium for low-current grounding system

Similar Documents

PublicationPublication DateTitle
CN102854437B (en)Fault line selection method of low current grounding system using time-frequency atom decomposition theory
CN103344875B (en)Classification line selection method for single-phase earth fault of resonance earthing system
CN105259471B (en)A kind of three-dimensional fault-line selecting method based on accidental resonance and transient current signal
CN104237731B (en)Single-phase earth fault line selection method on basis of EEMD (ensemble empirical mode decomposition) and energy method for resonance earthed power distribution network
CN111308272B (en) A method for locating small current ground fault sections
CN103063984A (en)Power distribution network single-phase earth fault line selection method based on line double-terminal negative sequence current
CN108336720B (en) Single-phase ground traveling wave protection method and device and computer equipment
CN109975657A (en)Single-phase ground fault line selecting method of small-electric current grounding system based on differential characteristic value
CN110007198A (en) A Novel Single-phase Ground Fault Start-up Method
Liang et al.A single-phase-to-ground fault detection method based on the ratio fluctuation coefficient of the zero-sequence current and voltage differential in a distribution network
Yong et al.High impedance fault identification method of the distribution network based on discrete wavelet transformation
CN103472348A (en)Instantaneous-power-based single phase ground fault line selection method of resonant grounded system
CN113552441A (en)Single-phase earth fault detection method and device
CN111077413A (en)Three-phase transient current-based small current grounding system fault phase selection and line selection method
CN109444666B (en)Power distribution network single-phase high-blocking line fault identification method and device
Pragati et al.Fault detection and fault phase identification in a VSC-MT-HVDC link using Stockwell transform and Teager energy operator
CN117148212A (en) A single-phase ground fault line selection method for small current grounding systems in microgrid distribution networks
Lee et al.New fault detection method for low voltage DC microgrid with renewable energy sources
CN107037321B (en)Single-phase grounding steady-state calculation method of small-current grounding power system
CN115128400B (en) A comprehensive analysis method and system for distribution network fault type identification and fault line selection
Zhang et al.Fault line selection of resonant grounding system using transient zero-sequence current waveform characteristics
Džakmić et al.Combined Fourier transform and Mexican hat wavelet for fault detection in distribution networks
Prince et al.A fault detection technique based on line parameters in ring-configured DC microgrid
Choudhary et al.Detection of transmission line faults in the presence of thyristor controlled reactor using discrete wavelet transform
Xu et al.Faulty phase and faulty line selection method based on three-phase transient current

Legal Events

DateCodeTitleDescription
PB01Publication
PB01Publication
SE01Entry into force of request for substantive examination
SE01Entry into force of request for substantive examination
RJ01Rejection of invention patent application after publication

Application publication date:20200428

RJ01Rejection of invention patent application after publication

[8]ページ先頭

©2009-2025 Movatter.jp