Movatterモバイル変換


[0]ホーム

URL:


CN111064229A - Wind-light-gas-storage joint dynamic economic dispatch optimization method based on Q-learning - Google Patents

Wind-light-gas-storage joint dynamic economic dispatch optimization method based on Q-learning
Download PDF

Info

Publication number
CN111064229A
CN111064229ACN201911308376.8ACN201911308376ACN111064229ACN 111064229 ACN111064229 ACN 111064229ACN 201911308376 ACN201911308376 ACN 201911308376ACN 111064229 ACN111064229 ACN 111064229A
Authority
CN
China
Prior art keywords
power
wind
natural gas
output
photovoltaic
Prior art date
Legal status (The legal status is an assumption and is not a legal conclusion. Google has not performed a legal analysis and makes no representation as to the accuracy of the status listed.)
Granted
Application number
CN201911308376.8A
Other languages
Chinese (zh)
Other versions
CN111064229B (en
Inventor
余方明
吴杰康
何家裕
蔡志宏
王瑞东
Current Assignee (The listed assignees may be inaccurate. Google has not performed a legal analysis and makes no representation or warranty as to the accuracy of the list.)
Guangdong University of Technology
Original Assignee
Guangdong University of Technology
Priority date (The priority date is an assumption and is not a legal conclusion. Google has not performed a legal analysis and makes no representation as to the accuracy of the date listed.)
Filing date
Publication date
Application filed by Guangdong University of TechnologyfiledCriticalGuangdong University of Technology
Priority to CN201911308376.8ApriorityCriticalpatent/CN111064229B/en
Publication of CN111064229ApublicationCriticalpatent/CN111064229A/en
Application grantedgrantedCritical
Publication of CN111064229BpublicationCriticalpatent/CN111064229B/en
Expired - Fee Relatedlegal-statusCriticalCurrent
Anticipated expirationlegal-statusCritical

Links

Images

Classifications

Landscapes

Abstract

In order to solve the defect that a model for combined operation of an integrated energy system in the prior art cannot solve the uncertainty problem, the invention discloses a wind-light-gas-storage combined dynamic economic dispatching optimization method based on Q learning, wherein a multi-target opportunity constraint planning model is used for describing uncertainty and randomness of random variables, and meanwhile, a pumped storage unit is used for smoothing wind power and photovoltaic power; and finally, solving the multi-target opportunity constraint planning model by using an improved Q learning algorithm to obtain an optimal solution of the wind-light-gas-storage combined dynamic economic dispatching. The invention simultaneously considers the uncertainty and randomness of the output active power of the wind turbine generator, the output active power of the photovoltaic power generation system, the power load and the natural gas supply quantity, provides theoretical guidance for economic optimization and operation scheduling of the comprehensive energy system, and provides necessary technical support for distributed new energy consumption and economic scheduling operation of the comprehensive energy system.

Description

Wind-light-gas-storage combined dynamic economic dispatching optimization method based on Q learning
Technical Field
The invention belongs to the technical field of power systems and automation thereof, and particularly relates to a wind-light-gas-storage combined dynamic economic dispatching optimization method based on Q learning.
Background
With the continuous improvement of the social productivity level, people are more and more aware of the importance of energy conservation and emission reduction and sustainable development of the economic society, so that the energy Internet EI also gradually draws attention of the whole society. The energy internet is a complex multi-network flow system formed by tightly coupling an electric power system and other systems such as a natural gas system.
Wind energy and solar energy are renewable clean energy sources and play an important role in energy conservation and emission reduction and sustainable development of the economy and the society. Because wind power and photovoltaic have the characteristics of incapability of storage and non-adjustability, wind power generation technology and photovoltaic power generation technology are generally concerned and gradually develop to scale and industrialization since the middle of the 80 s of the 20 th century, and the wind power generation and the photovoltaic power generation become the most mature clean energy power generation modes except for hydroelectric power generation. According to the Chinese energy development strategy, the power generation proportion of renewable energy sources in China before 2050 reaches more than 85%, wherein the ratio of wind power to photovoltaic reaches 63%.
However, wind energy and solar energy are intermittent energy sources, which directly cause that active power output by a wind turbine generator and active power output by a photovoltaic power generation system have strong randomness, intermittency and volatility, and negative influences are brought to safe and reliable operation of a power system. Therefore, the coordinated dispatching of various power supplies such as wind power, thermal power, hydroelectric power and the like becomes a problem to be solved urgently. The comprehensive energy system organically couples renewable energy sources such as electricity, gas, wind and light and other various energy sources, establishes a multi-energy comprehensive utilization platform, improves the flexibility of an energy supply system by means of energy storage conversion, cascade utilization and the like, stabilizes the fluctuation of the renewable energy sources, promotes the consumption of clean energy sources and improves the utilization efficiency of the energy sources.
In fact, various random factors exist in the operation of the comprehensive energy system, and besides the large-scale grid connection of renewable energy sources such as wind power, photovoltaic and the like and the randomness of the system increased by the massive access of electric vehicles, the fluctuation of power load and natural gas supply also brings difficulty to the operation of the comprehensive energy system. Therefore, if the influence of the random variables on the system operation is not considered, the system optimization result lacks practicability, applicability and the like. Opportunistic constraint planning is an important branch of stochastic planning, and can be used for solving an optimization problem with uncertain factors at a given confidence level, and allowing constraint conditions to be not met at a certain probability.
Meanwhile, our country continuously increases the support for the development of the pumped storage unit, so as to improve the flexibility of the energy supply system, stabilize the fluctuation of renewable energy, promote the consumption of clean energy and improve the utilization efficiency of energy. In order to further improve the stability and reliability of energy utilization, it is necessary to consider the influence of the pumped storage unit on stabilizing the output of renewable energy on the economic dispatching of the system in the comprehensive energy system.
For the problem of random factor influence in the system operation process, a deterministic optimization method is usually adopted for modeling and solving in the past, namely wind power output power and photovoltaic output power of each optimization time period are regarded as determined quantities according to wind speed prediction and illumination intensity prediction, meanwhile, the optimal power flow problem in the comprehensive energy system is researched under the conditions of constant power load, constant natural gas supply quantity and deterministic constraint, and a water pumping energy storage unit cannot be taken into consideration to stabilize the renewable energy fluctuation.
Therefore, the conventional model for the combined operation of the comprehensive energy system generally does not adopt random variables, and even does not use opportunity constraint planning to describe the uncertainty problem, and the output of the obtained renewable energy and the prediction precision of the system load directly influence the optimization result. And because the output of the renewable energy and the load power have uncertainty, the traditional deterministic optimization method has certain limitations. In addition, most models established by the traditional deterministic optimization method do not take the pumped storage unit into consideration to stabilize the volatility of renewable energy sources, and the influence of wind-light-gas-storage combined operation on the economic dispatching of the system cannot be determined.
Disclosure of Invention
The invention discloses a wind-light-gas-storage combined dynamic economic dispatching optimization method based on Q learning, aiming at solving the defect that a model for combined operation of an integrated energy system in the prior art cannot solve the problem of uncertainty.
The technical scheme adopted by the invention for solving the technical problems is as follows: a wind-light-gas-storage combined dynamic economic dispatching optimization method based on Q learning is characterized by comprising the following steps: because of the uncertainty and randomness of the output of the wind turbine generator, the output of the solar photovoltaic power generation system, the power load and the natural gas supply quantity, the uncertainty and the randomness of random variables are described by using a multi-target opportunity constraint planning model, and meanwhile, the wind power and the photovoltaic power are smoothed by using a pumped storage unit; and finally, solving the multi-target opportunity constraint planning model by using an improved Q learning algorithm to obtain an optimal solution of the wind-light-gas-storage combined dynamic economic dispatching.
The invention has the beneficial effects that: by using the Q learning-based power grid wind-light-gas-storage combined dynamic economic dispatching optimization method provided by the invention, wind power and photovoltaic power can be smoothed to the maximum extent by using a pumped storage unit, so that wind power and photovoltaic power are merged into a power grid as much as possible, the influence of power grid wind-light-gas-storage combined operation on system economic dispatching is determined, and the comprehensive operation cost of the system is reduced. According to the Q learning-based power grid wind-light-gas-storage combined dynamic economic dispatching optimization method, uncertainty and randomness of wind turbine generator output active power, photovoltaic power generation system output active power, power load and natural gas supply are considered, theoretical guidance is provided for economic optimization and operation dispatching of a comprehensive energy system, and necessary technical support is provided for distributed new energy consumption and economic dispatching operation of the comprehensive energy system.
Drawings
Fig. 1 is a structural diagram of a wind-light-gas-storage combined dispatching system to which the present invention is directed.
Fig. 2 is a flow chart of a power grid wind-light-gas-storage combined dynamic economic dispatching optimization method based on Q learning, which is provided by the invention.
Fig. 3 is a flow chart of a solving algorithm of the grid wind-light-gas-storage combined dynamic economic dispatching optimization method based on Q learning provided by the invention.
Detailed Description
Embodiments of the present invention will be described in further detail below with reference to the accompanying drawings in conjunction with examples.
Referring to fig. 1, a wind-light-gas-storage combined dynamic economic dispatch optimization method based on Q learning is characterized in that: because of the uncertainty and randomness of the output of the wind turbine generator, the output of the solar photovoltaic power generation system, the power load and the natural gas supply quantity, the uncertainty and the randomness of random variables are described by using a multi-target opportunity constraint planning model, and meanwhile, the wind power and the photovoltaic power are smoothed by using a pumped storage unit; and finally, solving the multi-target opportunity constraint planning model by using an improved Q learning algorithm to obtain an optimal solution of the wind-light-gas-storage combined dynamic economic dispatching.
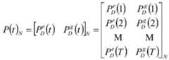
Step 1 in fig. 2 describes the process and method of constructing the random variable data matrix and the associated mathematical model. Acquiring historical and real-time data sets of a wind turbine generator and a photovoltaic power generation system in one year in a certain place from an Energy Management System (EMS), and constructing a wind power and photovoltaic power data matrix of a tth time period of a node i by processing, calculating and analyzing the acquired wind speed of the wind turbine generator of the access system node i in the one day time period t and the acquired illumination intensity of the photovoltaic power generation system of the access system node i in the one day time period t:
Figure BDA0002323812330000031
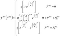
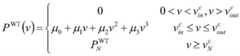
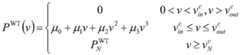
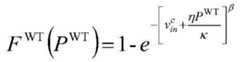
wherein: pWT(i, t) representing the power of the node i accessed to the wind power in a time period t, i is 1,2node,nnodeIs the total number of nodes; according to the document [1]]The wind turbine generator outputs active power PWT(v) Weibull distribution of wind speed v, probability density f of wind power outputWT(PWT) Cumulative distribution function F of fan outputWT(PWT) The expression is as follows:
Figure BDA0002323812330000032
in the formula: v, v,
Figure BDA0002323812330000033
Respectively wind speed, cut-in wind speed, cut-out wind speed and rated wind speed; mu.s0、μ1、μ2、μ3The shape distribution parameters related to the wind speed-power curve;
Figure BDA0002323812330000034
the rated power of the fan.
Since wind speeds are variable and cannot be given specific magnitude at any time, the distribution of the wind speed v can be represented by a weibull distribution:
Figure BDA0002323812330000035
wherein β and kappa are the shape parameter and the scale parameter respectively, and V is the probability density function of V.
By integrating the relationship between the wind power output power and the wind speed and the Weibull distribution function of the wind speed, the probability density of the wind power output can be known as follows:
Figure BDA0002323812330000041
Figure BDA0002323812330000042
therefore, the cumulative distribution function of the fan output can be obtained as follows:
Figure BDA0002323812330000043
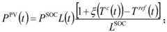
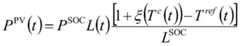
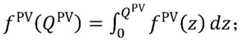
wherein: pPV(i, t) representing the power of the photovoltaic power accessed to the node i in a time period t; according to the document [1]]The photovoltaic power generation system outputs active power PPV(t) probability distribution f of solar radiation intensity GG(G) Probability density f of active power output by photovoltaic power generation systemPV(QPV) Active power distribution function F output by photovoltaic power generation systemPV(QPV) The expression is as follows:
photovoltaic power generation system outputs active power PPV(t) is:
Figure BDA0002323812330000044
in the formula: pSOCThe maximum output power of the solar photovoltaic panel under the standard operation condition, L (T) is the illumination intensity at the time T, ξ is the power temperature coefficient, Tc(t) is the working temperature of the solar photovoltaic panel at the moment t; t isref(t) is a reference temperature, which has a value of 25 ℃; l isSOCThe solar illumination intensity under the standard operation condition is 1kW/m2
The photovoltaic power generation system equation can be expressed as:
QPV=GHσ
in the formula: g is the intensity of solar radiation, which is a very random factor, so the probability distribution of G can be represented by the beta distribution function of the probability distribution:
Figure BDA0002323812330000051
in the formula:
Figure BDA0002323812330000052
Gmax、χBETA、ρBETA
the maximum deviation value, the average deviation value and the standard deviation value of the solar irradiation intensity are respectively expressed.
From the above equation, Q can be derivedPVThe probability density of (a) is:
Figure BDA0002323812330000053
therefore, the active power distribution function output by the photovoltaic power generation system can be obtained by integrating the probability density function, and is as follows:
Figure BDA0002323812330000054
wherein: t is the total number of divided time periods per day, T is 1, 2.., T; n-365, the total number of days of the year, corresponds to a particular date. The number of data samples N is 365 and the number of data sets N is 2.
Historical and real-time data sets of the electricity load and natural gas supply someplace and year are obtained from the energy management system EMS,
processing, calculating and analyzing the acquired power load and natural gas supply quantity to construct a load data matrix of the power load and the natural gas supply quantity in a time period t:
Figure BDA0002323812330000055
wherein:
Figure BDA0002323812330000056
characterizing the power load demand during the t-th time period; according to the document [2]]System power load
Figure BDA0002323812330000057
Probability density function of
Figure BDA0002323812330000058
The expression is as follows:
Figure BDA0002323812330000059
in the formula:
Figure BDA00023238123300000510
is a power load;
Figure BDA00023238123300000511
respectively, the expected value and standard deviation of the electrical load.
Wherein:
Figure BDA00023238123300000512
characterizing a natural gas supply amount in a t-th time period; according to the document [2]]Natural gas supply of the system
Figure BDA00023238123300000513
Probability density function of
Figure BDA00023238123300000514
The expression is as follows:
Figure BDA0002323812330000061
in the formula:
Figure BDA0002323812330000062
supply of natural gas;
Figure BDA0002323812330000063
respectively, the desired value and standard deviation of the natural gas supply.
Wherein: t is the total number of divided time periods per day, T is 1, 2.., T; n-365, the total number of days of the year, corresponds to a particular date. The number of data samples N is 365 and the number of data sets N is 2.
Step 2 in fig. 2 describes a process and a method for constructing an objective function of a wind-light-gas-storage combined dynamic economic dispatching model of a power grid. The main objective of the grid wind-light-gas-storage combined dynamic economic dispatching is to smooth wind power and photovoltaic output through a pumped storage unit, so that wind power and photovoltaic are merged into a grid as much as possible, and are dispatched together with a thermal power unit and a natural gas pipe network, and the requirements of system electric load and natural gas supply quantity are met. Because the wind power generation and the solar power generation do not consume fuel, the pumped storage unit aims to maximally stabilize the minimum fluctuation of wind and light output and reduce the operation cost of the system to the minimum. The objective function and the constraint condition contain random variables, so a multi-objective opportunity constraint planning model is adopted.
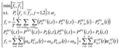
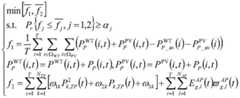
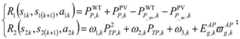
The multi-target opportunity constraint planning model formed by taking the minimum variance of the wind-light-storage combined output power of the power grid and the minimum operation cost of the combined system as targets is specifically expressed as follows:
Figure BDA0002323812330000064
in the formula:
Figure BDA0002323812330000065
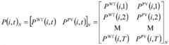
is an objective function fjAt a confidence level of αjMinimum value of (a), wherein f1Minimum variance of the wind-light-storage combined output power, f2Indicating that the combined system has the lowest operation cost; pr{. } represents the probability that the event holds in {. }; t is the number of time periods of the research period; omegaWT、ΩPVRespectively a node set connected with a fan and a photovoltaic;
Figure BDA0002323812330000066
respectively performing combined output of wind energy storage and light energy storage in the t-th time period of the node i;
Figure BDA0002323812330000067
respectively taking the average values of the joint output of the wind energy storage and the light energy storage in T time periods in one day of the node i; pP(i, t) is the pumping and power generation power of the pumping energy storage unit in the tth time period of the node i; n is a radical ofTP、NAPRespectively the total number of thermal power generating units and the total number of natural gas source nodes; omega1k、ω2k、ω3kThe consumption characteristic curve coefficient of the kth thermal power generating unit is obtained; pk,TP(t) the output of the kth thermal power generating unit in the t-th time period;
Figure BDA0002323812330000068
a cost coefficient for supplying natural gas to the natural gas source node l in the t-th time period;
Figure BDA0002323812330000069
and supplying the flow rate of the natural gas for the natural gas source node l in the t-th time period.
Step 3 in fig. 2 describes a process and a method for constructing constraint conditions of a wind-light-gas-storage combined dynamic economic dispatching model of a power grid. The constraint conditions of the power grid wind-light-gas-storage combined dynamic economic dispatching model comprise: the system comprises a system power balance constraint, a thermal power unit output constraint, a thermal power unit climbing constraint, a line power constraint, a natural gas supply quantity constraint of a natural gas pipeline network gas source point, a storage capacity variation quantity and a storage capacity constraint caused by pumped storage, a pumped/generated power constraint of a pumped storage unit, a system rotation standby constraint and the like.
Each constraint is specifically expressed as follows:
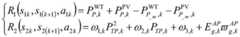
1) system power balance constraint:
Figure BDA0002323812330000071
Figure BDA0002323812330000072
because wind turbine generator system output active power, photovoltaic power generation system output active power, power load, natural gas supply volume are random variables, consequently write into the chance constraint form with the above equation, promptly:
Figure BDA0002323812330000073
in the formula β1Indicating a confidence level that the opportunity constraint holds.
2) Output restraint of the thermal power generating unit:
Figure BDA0002323812330000074
Figure BDA0002323812330000075
in the formula:
Figure BDA0002323812330000076
the minimum value and the maximum value of the output of the kth thermal power generating unit are respectively.
3) And (3) climbing restraint of the thermal power generating unit:
Figure BDA0002323812330000077
dkΔt≤Pk,TP(t+1)-Pk,TP(t)≤ukΔt
in the formula: dk、ukRespectively determining the descending rate and the ascending rate of the output of the kth thermal power generating unit; Δ t is the duration of a time period.
4) Line power constraint:
Figure BDA0002323812330000078
in the formula:
Figure BDA0002323812330000079
respectively, the upper and lower power limits of the line link.
5) Natural gas supply quantity constraint of a natural gas pipeline network gas source point:
Figure BDA00023238123300000712
Figure BDA00023238123300000710
in the formula:
Figure BDA00023238123300000711
and respectively supplying the upper limit and the lower limit of the flow of the natural gas in the t-th time period by the natural gas source node l.
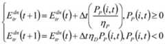
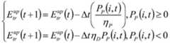
6) Reservoir capacity variation and reservoir capacity constraint caused by pumped storage:
Figure BDA00023238123300000811
Figure BDA0002323812330000081
Figure BDA0002323812330000082
Figure BDA0002323812330000083
in the formula:
Figure BDA0002323812330000084
η for the upper and lower reservoirs in time tP、ηDRespectively representing the pumping efficiency and the power generation efficiency of the pumping energy storage unit;
Figure BDA0002323812330000085
the minimum storage capacity of the upper and lower reservoirs is respectively;
Figure BDA0002323812330000086
the maximum storage capacities of the upper and lower reservoirs are respectively.
7) And (3) pumping/generating power constraint of the pumped storage group:
Figure BDA0002323812330000087
or:
PP(i,t)=0
in the formula:
Figure BDA0002323812330000088
the minimum and maximum power generation power of the pumped storage unit are respectively;
Figure BDA0002323812330000089
the minimum and maximum pumping power of the pumped storage unit are respectively.
The pumping and sending balance constraint in one period is as follows:
Figure BDA00023238123300000810
QP=ηPηDQD
in the formula: qP、QDThe total amount of power generation and water pumping of the water pumping and energy storage unit in one period are respectively.
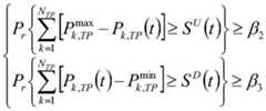
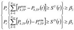
8) And (3) system rotation standby constraint:
considering the extreme condition that wind power and photovoltaic can not be normally connected to the network, the thermal power generating unit undertakes the rotation of the system for standby, namely:
Figure BDA0002323812330000091
in the formula: sU(t)、SD(t) positive and negative rotation standby requirements of the system during t period, β2、β3The confidence levels that the positive and negative rotational standby constraints need to be met, respectively.
Step 4 in fig. 2 describes the process and method of chance constraints containing random variables. And converting uncertain factors in the opportunity constraint condition into calculable deterministic factors by adopting a stochastic simulation technology. Wherein: according to the document [3], firstly, a Wblrnd random generator in MATLAB is used for generating a wind speed sample value, an illumination intensity sample value, a power load demand sample value and a natural gas supply demand sample value, wind power output is calculated according to a wind turbine generator output power expression, and photovoltaic output is calculated according to photovoltaic power generation system output power. Then, whether the opportunity constraint is satisfied or not is verified by a method using a stochastic simulation technique, in which the opportunity constraint is applied to the system power balance constraint and the spinning standby constraint, and the method is as follows:
1) obtaining n mutually independent f from the probability distribution f (·)1,f2,…,fnA random variable;
2) respectively calculating F according to known formula1、F2、…、FnA value of (d);
3) let nAIs the number of n mutually independent variables which meet the constraint condition, and can be obtained by the law of large numbers, if and only if nA/n≥βjWhen j is 1,2,3, the frequency n is usedAThe value for which the opportunity constraint holds is estimated as/n.
Step 5 in fig. 2 describes a solving process and method of the grid wind-light-gas-storage combined dynamic economic dispatching model. A Q learning algorithm in the reinforcement learning algorithm is adopted, and a Q value table updating formula in the Q learning algorithm is improved by using a self-adaptive differential evolution algorithm, so that the optimal solution of the power grid wind-light-gas-storage combined dynamic economic dispatching model can be solved.
The method comprises the following specific steps:
1) determining an input state space S1、S2: predicting the wind power prediction value P in each time intervalWT(i, t), photovoltaic prediction value PPV(i, t) as astatus input 1, predicting the power load in each period
Figure BDA0002323812330000092
Natural gas supply quantity predicted value
Figure BDA0002323812330000093
As state inputs 2:
discretizing the wind power predicted value into interval form, wherein the length of each interval is delta PWTCan be expressed as:
Figure BDA0002323812330000094
in the formula
Figure BDA0002323812330000095
Is the installed capacity of wind power. The wind power predicted value is contained after discretization
Figure BDA0002323812330000096
Figure BDA0002323812330000101
Waiting for M intervals;
discretizing the photovoltaic predicted value into interval form, wherein the length of each interval is delta PPVCan be expressed as:
Figure BDA0002323812330000102
in the formula
Figure BDA0002323812330000103
The maximum output of the photovoltaic panel. The photovoltaic predicted value after discretization comprises
Figure BDA0002323812330000104
Figure BDA0002323812330000105
Waiting for N intervals;
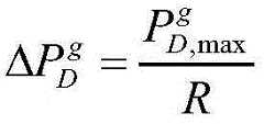
discretizing the predicted power load value into interval form and each interval length
Figure BDA0002323812330000106
Can be expressed as:
Figure BDA0002323812330000107
in the formula
Figure BDA0002323812330000108
Is the maximum power load requirement of the system. The power load predicted value is contained after discretization
Figure BDA0002323812330000109
Figure BDA00023238123300001010
Waiting for K intervals;
discretizing the predicted value of the natural gas supply amount into interval forms, wherein the length of each interval
Figure BDA00023238123300001011
Can be expressed as:
Figure BDA00023238123300001012
in the formula
Figure BDA00023238123300001013
The maximum natural gas supply requirement of the system. The natural gas supply quantity predicted value is discretized and then contained
Figure BDA00023238123300001014
Equal R intervals;
finally, the state input space S1Contains in total M × N × T states, a state input space S2Contains K × R × T states in total, state input space S1、S2Respectively expressed as:
S1={s11,s12,…,s1(M×N×T)},S2={s21,s22,…,s2(M×N×T)}
and uniquely determining the state of the system according to the wind power predicted value, the photovoltaic predicted value, the power load predicted value and the natural gas supply predicted value of the system in the period to which the system belongs.
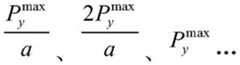
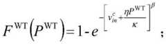
2) Determining action policy set A1、A2: taking the pumping/generating power of the pumped storage unit in the t-th time period of the node i as anaction strategy 1, taking the output of the kth thermal power unit in the t-th time period and the flow of the natural gas supplied by the natural gas source node l in the t-th time period as an action strategy 2, and respectively discretizing the action strategies into a series of fixed values.
The pumping/generating power of the pumped storage group is respectively from 0 to
Figure BDA00023238123300001015
Discretized into a fixed values. The pumping/generating power corresponding to each fixed value is respectively as follows:
Figure BDA0002323812330000111
wherein, y is D, P corresponds to the pumping and generating power of the pumping and storing unit respectively; further consider the case that the pumped-storage group pumped/generated power is 0, and contains 2a +1 fixed values.
Respectively enabling the output of the thermal power generating unit k to be from 0 to
Figure BDA0002323812330000112
Discretized into b fixed values. The output corresponding to each fixed value is respectively as follows:
Figure BDA0002323812330000113
further, considering the case where the output is 0, b +1 fixed values are included in total.
The flow rate of supplying natural gas from a natural gas source node l to a natural gas source node l is respectively from 0 to
Figure BDA0002323812330000114
Discretized into c fixed values. The flow rate corresponding to each fixed value is respectively as follows:
Figure BDA0002323812330000115
further, considering the case where the supply flow rate is 0, c +1 fixed values are included in total.
Finally, theaction strategy 1 contains 2a +1 combination conditions, and each combination corresponds to one action strategy; the action strategy 2 comprises (b +1) × (c +1) combination conditions, and each combination also corresponds to one action strategy; action policy set A1、A2Respectively expressed as:
A1={a11,a12,…,a1(2a+1)},A2={a21,a22,…,a2[(b+1)×(c+1)]}
3) initializing a Q value table: initial values of all elements in the Q value table in the pre-learning initialization stage are 0, and the Q value table is initialized to be a pre-learning reserved Q value table in online learning;
4) determining the current state, and correspondingly selecting an action strategy: determining acurrent state 1 according to the wind power predicted value and the photovoltaic predicted value of the next time period, and determining a current state 2 according to the power load predicted value and the natural gas supply predicted value of the system of the next time period; further randomly selecting an action strategy corresponding to thestate 1, determining the pumping and generating power of the pumped storage unit according to the selected action strategy, further randomly selecting an action strategy corresponding to the state 2, and determining the output of the thermal power unit and the flow supply of the gas source node according to the selected action strategy;
5) the following time status was observed: acquiring actual power values of wind power and photovoltaic power after the next moment, and solving the pumping and generating power of the pumping energy storage unit according to a preset action strategy; acquiring actual demand values of power load and natural gas supply, and acquiring output power of the thermal power generating unit and flow supply values of gas source nodes according to a preset action strategy;
6) calculation of the reward value: the calculation of the return value is corresponding to the multi-objective function, and then the return value is calculated according to the following formula:
Figure BDA0002323812330000121
7) and improving a Q value table updating formula by using an adaptive differential evolution algorithm: based on the memory function of the Q value table, the construction process and method of the adaptive mutation operator in the adaptive differential evolution algorithm are utilized to improve the forgetting factor gamma in the Q learning algorithmQTherefore, the method can define the gamma in the improved Q learning algorithmQFor adaptive forgetting factor, adaptive forgetting factor gammaQThe design can be as follows:
Figure BDA0002323812330000122
γQ=γ0×2θ
in the formula: gamma ray0Represents an initial forgetting factor; k is a radical ofmaxIs the maximum iteration number; k denotes the current iteration number.
The adaptive forgetting factor at the beginning of the algorithm is 2 gamma0The method has a large value, keeps action diversity at the initial stage, avoids falling into local optimum, and gradually reduces forgetting factor along with the progress of algorithm until the forgetting rate at the later stage approaches gamma0The optimal actions are preserved, the optimal action strategy is prevented from being damaged, the probability of selecting the global optimal action strategy set is increased, and in addition, a random range of learning rate α can be designedQ=0.5×[1+rand(0,1)]Thus, the average value of the learning rate is kept at 0.75, which helps to maintain motion diversity during the selection process, taking into account the random variation of all possible motions.
In summary, the Q-value table updating formula of the improved Q-learning algorithm is as follows:
Figure BDA0002323812330000123
Figure BDA0002323812330000124
or:
Figure BDA0002323812330000125
Figure BDA0002323812330000126
in the formula: sjkRepresents the state in the kth iteration, j is 1, 2; a isjkDenotes the control action taken in the k-th iteration, j ═ 1, 2; qk(sjk,ajk) As a function of the optimal action value Q*Represents a pass state sjkAnd select action ajkThen, obtaining the expected value of the accumulated reward;
8) checking whether the learning process converges: the judgment criterion is that the Q value table converges to an optimum value, or reaches a given learning step number or time. If the convergence time period k is not k +1, go back to step 4).
It is to be understood that: the relevant references described herein are as follows:
document [1 ]: research on a Guojianwei, Xiapanghui, wind-solar energy-storage economic dispatching scheme [ J ] scientific wind, 2019(30):213+ 215;
document [2 ]: the electric-gas interconnection comprehensive energy system based on opportunity constraint planning has the random optimal trend [ J ] of the electric power automation equipment, 2018,38(09):121 + 128;
document [3 ]: li xing, Sun Chunshun, Chenhao, Li Yi, Kudzuvian. research on the optimization operation of water, wind and electricity combined based on stochastic programming [ J ] electric technology, 2013(04): 29-32.
The above description is only an embodiment of the present invention, but the scope of the present invention is not limited thereto, and any person skilled in the art can easily change or replace the present invention within the technical scope of the present invention. Therefore, the protection scope of the present invention is subject to the protection scope of the claims.

Claims (5)

1. A wind-light-gas-storage combined dynamic economic dispatching optimization method based on Q learning is characterized by comprising the following steps: because of the uncertainty and randomness of the output of the wind turbine generator, the output of the solar photovoltaic power generation system, the power load and the natural gas supply quantity, the uncertainty and the randomness of random variables are described by using a multi-target opportunity constraint planning model, and meanwhile, the wind power and the photovoltaic power are smoothed by using a pumped storage unit; and finally, solving the multi-target opportunity constraint planning model by using an improved Q learning algorithm to obtain an optimal solution of the wind-light-gas-storage combined dynamic economic dispatching.
2. The wind-light-gas-storage combined dynamic economic dispatching optimization method based on Q learning according to claim 1, characterized in that: the method comprises the following specific steps:
s1, acquiring historical and real-time data sets of a wind turbine generator, a photovoltaic power generation system, a power load and natural gas supply quantity in a certain place within a period of time, and constructing a random variable data matrix;
s2, constructing a target function of the power grid wind-light-gas-storage combined dynamic economic dispatching model according to the random variable data matrix obtained in the step S1;
s3, continuously constructing a power grid wind-light-gas-storage combined dynamic economic dispatching model by using system power balance constraint, thermal power unit output constraint, thermal power unit climbing constraint, line power constraint, natural gas supply quantity constraint of a natural gas pipe network gas source point, reservoir capacity variable quantity and reservoir capacity constraint caused by pumped storage, pumped storage/power generation power constraint of a pumped storage unit and system rotation standby constraint as constraint conditions:
s4, generating a wind speed sample value, an illumination intensity sample value, a power load demand sample value and a natural gas supply demand sample value by using a Wblrnd random generator in MATLAB, and obtaining wind power output according to the output power of a wind turbine generator and photovoltaic output according to the output power of a photovoltaic power generation system; then, applying opportunity constraint in a system power balance constraint condition and a rotating standby constraint condition;
s5, improving a Q value table updating formula in the Q learning algorithm by adopting a Q learning algorithm and utilizing a self-adaptive differential evolution algorithm, and solving an optimal solution of a power grid wind-light-gas-storage combined dynamic economic dispatching model; the method comprises the following specific steps:
s501, determining an input state space S1、S2: predicting the wind power prediction value P in each time intervalWT(i, t), photovoltaic prediction value PPV(i, t) as a status input 1, predicting the power load in each period
Figure FDA0002323812320000011
Natural gas supply quantity predicted value
Figure FDA0002323812320000012
As state inputs 2:
discretizing the wind power predicted value into interval form, wherein the length of each interval is delta PWTCan be expressed as:
Figure FDA0002323812320000013
in the formula
Figure FDA0002323812320000014
The installed capacity of wind power; the wind power predicted value contains (0, delta P) after discretizationWT)、(ΔPWT,2ΔPWT)、…、
Figure FDA0002323812320000015
A total of M intervals;
discretizing the photovoltaic predicted value into interval form, wherein the length of each interval is delta PPVCan be expressed as:
Figure FDA0002323812320000021
in the formula
Figure FDA0002323812320000022
The maximum output of the photovoltaic panel is obtained; the photovoltaic predicted value after discretization contains (0, delta P)PV)、(ΔPPV,2ΔPPV)、…、
Figure FDA0002323812320000023
A total of N intervals;
discretizing the predicted power load value into interval form and each interval length
Figure FDA0002323812320000024
Can be expressed as:
Figure FDA0002323812320000025
in the formula
Figure FDA0002323812320000026
Is the system maximum power load demand; the power load predicted value is contained after discretization
Figure FDA0002323812320000027
Figure FDA0002323812320000028
K intervals in total;
discretizing the predicted value of the natural gas supply amount into interval forms, wherein the length of each interval
Figure FDA0002323812320000029
Can be expressed as:
Figure FDA00023238123200000210
in the formula
Figure FDA00023238123200000211
The maximum natural gas supply requirement of the system; the natural gas supply quantity predicted value is discretized and then contained
Figure FDA00023238123200000212
Figure FDA00023238123200000213
A total of R intervals;
finally, the state input space S1Contains in total M × N × T states, a state input space S2Contains K × R × T states in total, state input space S1、S2Respectively expressed as:
S1={s11,s12,…,s1(M×N×T)},S2={s21,s22,…,s2(M×N×T)}
according to the wind power predicted value, the photovoltaic predicted value, the power load predicted value and the natural gas supply predicted value of the time period to which the wind power predicted value, the photovoltaic predicted value, the power load predicted value and the natural gas supply predicted value belong to the interval, the state to which the wind power predicted value, the photovoltaic predicted value, the power load predicted value;
s502, determining an action strategy set A1、A2: taking the pumped water/generated power of a pumped water storage unit in the t-th time period of a node i as an action strategy 1, taking the output of a kth thermal power unit in the t-th time period and the flow of natural gas supplied by a natural gas source node l in the t-th time period as an action strategy 2, and respectively discretizing the output and the flow into a series of fixed values;
the pumping/generating power of the pumped storage group is respectively from 0 to
Figure FDA00023238123200000214
Discretizing into a fixed values; the pumping/generating power corresponding to each fixed value is respectively as follows:
Figure FDA00023238123200000215
Figure FDA00023238123200000216
respectively is the maximum value of the pumping power of the pumping energy storage unit,
Figure FDA00023238123200000217
the maximum values of the generated power of the pumped storage unit are respectively;
wherein, y is D, P corresponds to the pumping and generating power of the pumping and storing unit respectively; the condition that the pumping/generating power of the pumped storage group is 0 is further considered, and the pumped storage/generating power comprises 2a +1 fixed values;
respectively enabling the output of the thermal power generating unit k to be from 0 to
Figure FDA00023238123200000218
Discretizing into b fixed values, wherein the output force corresponding to each fixed value is respectively as follows:
Figure FDA0002323812320000031
b +1 fixed values are contained;
Figure FDA0002323812320000032
respectively taking the maximum output values of the kth thermal power generating unit;
the flow rate of supplying natural gas from a natural gas source node l to a natural gas source node l is respectively from 0 to
Figure FDA0002323812320000033
Discretizing into c fixed values; the flow rate corresponding to each fixed value is respectively as follows:
Figure FDA0002323812320000034
c +1 fixed values are contained; wherein c is 1,2,3 … …;
Figure FDA0002323812320000035
supplying natural gas to the natural gas source node l within the t-th time period;
finally, action strategy 1 contains 2a +1 combination cases in total, each groupCombining and corresponding to an action strategy; the action strategy 2 comprises (b +1) × (c +1) combination conditions, and each combination also corresponds to one action strategy; action policy set A1、A2Respectively expressed as:
A1={a11,a12,…,a1(2a+1)},A2={a21,a22,…,a2[(b+1)×(c+1)]}
s503, initializing a Q value table: initial values of all elements in the Q value table in the pre-learning initialization stage are 0, and the Q value table is initialized to be a pre-learning reserved Q value table in online learning;
s504, determining a current state 1 according to a wind power predicted value and a photovoltaic predicted value of a next time period, determining a current state 2 according to a system power load predicted value and a natural gas supply amount predicted value of the next time period, then randomly selecting an action strategy corresponding to the state 1, determining pumping and generating power of a pumped storage unit according to the selected action strategy, finally randomly selecting an action strategy corresponding to the state 2, and determining output of a thermal power unit and supply of gas source node flow according to the selected action strategy;
s505, after the next period comes, acquiring actual power values of wind power and photovoltaic power, and solving pumping and generating power of the pumped storage unit according to a preset action strategy; acquiring actual demand values of power load and natural gas supply, and acquiring output power of the thermal power generating unit and flow supply values of gas source nodes according to a preset action strategy;
s506, calculating a return value: the calculation of the return value is corresponding to the multi-objective function, and then the return value is calculated according to the following formula:
Figure FDA0002323812320000036
Figure FDA0002323812320000037
respectively outputting combined force of the k iteration wind energy storage and the light energy storage;
Figure FDA0002323812320000038
respectively taking the average values of the combined output of the k-th iteration wind energy storage and the light energy storage; omega1,k、ω2,k、ω3,kThe consumption characteristic curve coefficient of the thermal power generating unit corresponding to the kth iteration is obtained; pTP,kOutputting power for the thermal power generating unit corresponding to the kth iteration;
Figure FDA0002323812320000039
a cost factor for supplying natural gas for the kth iteration;
Figure FDA00023238123200000310
supplying the flow rate of natural gas for the kth iteration;
s507, improving forgetting factor gamma in Q learning algorithm by utilizing construction process and method of adaptive mutation operator in adaptive differential evolution algorithm based on memory function of Q value tableQTherefore, define Gamma in the improved Q learning algorithmQFor adaptive forgetting factor, adaptive forgetting factor gammaQThe following were used:
Figure FDA0002323812320000041
γQ=γ0×2θ(ii) a In the formula: gamma ray0Represents an initial forgetting factor; k is a radical ofmaxIs the maximum iteration number; k represents the current iteration number;
in summary, the Q-value table updating formula of the improved Q-learning algorithm is as follows:
Figure FDA0002323812320000042
or:
Figure FDA0002323812320000043
in the formula: sjkRepresents the state in the kth iteration, j is 1, 2; a isjkDenotes the control action taken in the k-th iteration, j ═ 1, 2; qk(sjk,ajk) To the optimal action valueFunction Q*Represents a pass state sjkAnd select action ajkThereafter, the expected value of the jackpot is obtained.
3. The wind-light-gas-storage combined dynamic economic dispatching optimization method based on Q learning according to claim 1, characterized in that: the step S1 specifically includes:
acquiring historical and real-time data sets of a wind turbine generator and a photovoltaic power generation system in a certain place within a period of time, and accessing the acquired data to a system node i; and constructing a wind power and photovoltaic power data matrix at the tth time of the node i through the wind speed of the wind turbine generator at the node i in one day time t and the obtained illumination intensity of the photovoltaic power generation system accessed to the node i of the system at the time t in one day:
Figure FDA0002323812320000044
wherein: pWT(i, t) representing the power of the node i accessed to the wind power in a time period t, i is 1,2node,nnodeIs the total number of nodes; wind turbine generator set outputs active power PWT(v) Weibull distribution of wind speed v, probability density f of wind power outputWT(PWT) Cumulative distribution function F of fan outputWT(PWT) The expression is as follows:
Figure FDA0002323812320000051
in the formula: v, v,
Figure FDA0002323812320000052
Respectively wind speed, cut-in wind speed, cut-out wind speed and rated wind speed; mu.s0、μ1、μ2、μ3The shape distribution parameters related to the wind speed-power curve;
Figure FDA0002323812320000053
is the amount of the fanFixing power; the distribution of wind speed v is represented by a weibull distribution:
Figure FDA0002323812320000054
wherein β and kappa are shape parameter and scale parameter respectively, and V is probability density function of V;
and (2) synthesizing the relation between the wind power output power and the wind speed and the Weibull distribution function of the wind speed to obtain the probability density of the wind power output as follows:
Figure FDA0002323812320000055
Figure FDA0002323812320000056
therefore, the cumulative distribution function of the fan output can be obtained as follows:
Figure FDA0002323812320000057
wherein: pPV(i, t) representing the power of the photovoltaic power accessed to the node i in a time period t; photovoltaic power generation system outputs active power PPV(t) probability distribution f of solar radiation intensity GG(G) Probability density f of active power output by photovoltaic power generation systemPV(QPV) Active power distribution function F output by photovoltaic power generation systemPV(QPV) The expression is as follows:
photovoltaic power generation system outputs active power PPV(t) is:
Figure FDA0002323812320000058
in the formula: pSOCThe maximum output power of the solar photovoltaic panel under the standard operation condition, L (T) is the illumination intensity at the time T, ξ is the power temperature coefficient, Tc(t) is the working temperature of the solar photovoltaic panel at the moment t; t isref(t) is a reference temperature, which has a value of 25 ℃; l isSOCThe solar illumination intensity under the standard operation condition is 1kW/m2(ii) a T is the total number of divided time periods per day, T is 1, 2.., T; n-365, the total number of days of the year, corresponds to a particular date. The number of data samples N is 365, and the number of data sets N is 2;
the photovoltaic power generation system equation can be expressed as: qPV=GHσ;
In the formula: h is the area of the photovoltaic panel, and σ is the photovoltaic panel conversion efficiency; g is the solar irradiation intensity, and the probability distribution of G is expressed by adopting a beta distribution function of the probability distribution:
Figure FDA0002323812320000061
in the formula:
Figure FDA0002323812320000062
Gmax、χBETA、ρBETArespectively representing the maximum deviation value, the average deviation value and the standard deviation value of the solar irradiation intensity;
from the above equation, Q can be derivedPVThe probability density of (a) is:
Figure FDA0002323812320000063
therefore, the active power distribution function output by the photovoltaic power generation system can be obtained by integrating the probability density function, and is as follows:
Figure FDA0002323812320000064
wherein,
acquiring historical and real-time data sets of power load and natural gas supply quantity of a certain place in one year from an Energy Management System (EMS), and constructing a load data matrix of the power load and the natural gas supply quantity in a time period t by using the acquired power load and natural gas supply quantity:
Figure FDA0002323812320000065
wherein:
Figure FDA0002323812320000066
characterizing the power load demand during the t-th time period; system power load
Figure FDA0002323812320000067
Probability density function of
Figure FDA0002323812320000068
The expression is as follows:
Figure FDA0002323812320000069
in the formula:
Figure FDA00023238123200000610
is a power load;
Figure FDA00023238123200000611
respectively, an expected value and a standard deviation of the power load;
Figure FDA00023238123200000612
characterizing a natural gas supply amount in a t-th time period;
system natural gas supply
Figure FDA00023238123200000613
Probability density function of
Figure FDA00023238123200000614
The expression is as follows:
Figure FDA00023238123200000615
in the formula:
Figure FDA00023238123200000616
for natural gas supplyMeasuring;
Figure FDA00023238123200000617
respectively, a desired value and a standard deviation of a natural gas supply; t is the total number of divided time periods per day, T is 1, 2.., T; the number n of data sets is 2.
4. The wind-light-gas-storage combined dynamic economic dispatching optimization method based on Q learning according to claim 1, characterized in that: the step S2 specifically includes:
smoothing wind power and photovoltaic output by a pumped storage unit, aiming at stabilizing wind and photovoltaic output fluctuation to the maximum extent and reducing system operation cost to the minimum extent by the pumped storage unit and adopting a multi-target opportunity constraint planning model;
the multi-target opportunity constraint planning model formed by taking the minimum variance of the wind-light-storage combined output power of the power grid and the minimum operation cost of the combined system as targets is specifically expressed as follows:
Figure FDA0002323812320000071
in the formula:
Figure FDA0002323812320000072
is an objective function fjAt a confidence level of αjMinimum value of (a), wherein f1Minimum variance of the wind-light-storage combined output power, f2Indicating that the combined system has the lowest operation cost; pr{. } represents the probability that the event holds in {. }; t is the number of time periods of the research period; omegaWT、ΩPVRespectively a node set connected with a fan and a photovoltaic;
Figure FDA0002323812320000073
respectively performing combined output of wind energy storage and light energy storage in the t-th time period of the node i;
Figure FDA0002323812320000074
are respectively provided withThe average value of the joint output of the wind energy storage and the light energy storage in T time periods in one day of the node i is obtained; pP(i, t) is the pumping and power generation power of the pumping energy storage unit in the tth time period of the node i; n is a radical ofTP、NAPRespectively the total number of thermal power generating units and the total number of natural gas source nodes; omega1k、ω2k、ω3kThe consumption characteristic curve coefficient of the kth thermal power generating unit is obtained; pk,TP(t) the output of the kth thermal power generating unit in the t-th time period;
Figure FDA0002323812320000075
a cost coefficient for supplying natural gas to the natural gas source node l in the t-th time period;
Figure FDA0002323812320000076
and supplying the flow rate of the natural gas for the natural gas source node l in the t-th time period.
5. The wind-light-gas-storage combined dynamic economic dispatching optimization method based on Q learning according to claim 1, characterized in that: the constraints in the step S3 are specifically expressed as follows:
s301, system power balance constraint:
Figure FDA0002323812320000077
Figure FDA0002323812320000078
wherein, Pr{. } represents the probability that the event holds in {. }; pWT(i, t) representing the power of the node i accessed to the wind power in a time period t, i is 1,2node,nnodeIs the total number of nodes; : pPV(i, t) representing the power of the photovoltaic power accessed to the node i in a time period t; pP(i, t) is the pumping and power generation power of the pumping energy storage unit in the tth time period of the node i;
Figure FDA0002323812320000079
characterizing power load demand during a t-th time period;
Figure FDA00023238123200000710
Characterizing a natural gas supply amount in a t-th time period;
in the formula β1Representing a confidence level that the opportunity constraint is satisfied;
s302, thermal power generating unit output restraint:
Figure FDA0002323812320000081
in the formula:
Figure FDA0002323812320000082
the output minimum value and the output maximum value of the kth thermal power generating unit are respectively;
3) and (3) climbing restraint of the thermal power generating unit:
Figure FDA0002323812320000083
dkΔt≤Pk,TP(t+1)-Pk,TP(t)≤ukΔ t; in the formula: dk、ukRespectively determining the descending rate and the ascending rate of the output of the kth thermal power generating unit; Δ t is the duration of a time period; pk,TP(t +1) is the output of the kth thermal power generating unit in the t +1 th time period;
s304, line power constraint:
Figure FDA0002323812320000084
in the formula:
Figure FDA0002323812320000085
the upper and lower power limits of the line link respectively; plinkIs the power of the line link;
s305, natural gas supply quantity constraint of a natural gas pipeline network gas source point:
Figure FDA0002323812320000086
Figure FDA0002323812320000087
in the formula:
Figure FDA0002323812320000088
respectively supplying natural gas from a natural gas source node l to the upper limit and the lower limit of the flow rate of the natural gas in the t-th time period;
Figure FDA0002323812320000089
supplying the natural gas source node l with the flow of the natural gas in the t-th time period;
s306, reservoir capacity variation and reservoir capacity constraint caused by pumped storage:
Figure FDA00023238123200000810
Figure FDA00023238123200000811
Figure FDA00023238123200000812
Figure FDA00023238123200000813
in the formula:
Figure FDA00023238123200000814
η for the upper and lower reservoirs in time tP、ηDRespectively representing the pumping efficiency and the power generation efficiency of the pumping energy storage unit;
Figure FDA00023238123200000815
the minimum storage capacity of the upper and lower reservoirs is respectively;
Figure FDA00023238123200000816
the maximum storage capacities of the upper reservoir and the lower reservoir are respectively set;
s307.s pumped storage/power generation power constraint of a pumped storage unit:
Figure FDA00023238123200000817
or:
PP(i,t)=0
in the formula:
Figure FDA00023238123200000818
the minimum and maximum power generation power of the pumped storage unit are respectively;
Figure FDA00023238123200000819
the minimum and maximum pumping power of the pumped storage unit are respectively; the pumping and sending balance constraint in one period is as follows:
Figure FDA0002323812320000091
QP=ηPηDQD
in the formula: qP、QDThe total amount of power generation and water pumping of the water pumping and energy storage unit in one period are respectively; omegaWT、ΩPVRespectively a node set connected with a fan and a photovoltaic;
s308, system rotation standby constraint:
considering the extreme condition that wind power and photovoltaic can not be normally connected to the network, the thermal power generating unit undertakes the rotation of the system for standby, namely:
Figure FDA0002323812320000092
in the formula: sU(t)、SD(t) positive and negative rotation standby requirements of the system during t period, β2、β3Confidence levels that positive and negative rotational standby constraints need to be met, respectively;
Figure FDA0002323812320000093
respectively taking the maximum output values of the kth thermal power generating unit;Pk,TP(t) the output of the kth thermal power generating unit in the t-th time period; n is a radical ofTPThe total number of the thermal power generating units; k is 1,2, …, NTP
CN201911308376.8A2019-12-182019-12-18Wind-light-gas-storage combined dynamic economic dispatching optimization method based on Q learningExpired - Fee RelatedCN111064229B (en)

Priority Applications (1)

Application NumberPriority DateFiling DateTitle
CN201911308376.8ACN111064229B (en)2019-12-182019-12-18Wind-light-gas-storage combined dynamic economic dispatching optimization method based on Q learning

Applications Claiming Priority (1)

Application NumberPriority DateFiling DateTitle
CN201911308376.8ACN111064229B (en)2019-12-182019-12-18Wind-light-gas-storage combined dynamic economic dispatching optimization method based on Q learning

Publications (2)

Publication NumberPublication Date
CN111064229Atrue CN111064229A (en)2020-04-24
CN111064229B CN111064229B (en)2023-04-07

Family

ID=70302172

Family Applications (1)

Application NumberTitlePriority DateFiling Date
CN201911308376.8AExpired - Fee RelatedCN111064229B (en)2019-12-182019-12-18Wind-light-gas-storage combined dynamic economic dispatching optimization method based on Q learning

Country Status (1)

CountryLink
CN (1)CN111064229B (en)

Cited By (19)

* Cited by examiner, † Cited by third party
Publication numberPriority datePublication dateAssigneeTitle
CN112054561A (en)*2020-09-162020-12-08三峡大学Wind power-pumped storage combined system daily random dynamic scheduling method based on SARSA (lambda) algorithm
CN112465212A (en)*2020-11-242021-03-09国网河北省电力有限公司经济技术研究院Building cluster demand side energy management method and system
CN112671033A (en)*2020-12-142021-04-16广西电网有限责任公司电力科学研究院Priority-level-considered microgrid active power scheduling control method and system
CN112865193A (en)*2021-01-072021-05-28云南电力技术有限责任公司Economic dispatching system and method for power system
CN112927098A (en)*2021-01-292021-06-08国网内蒙古东部电力有限公司Power grid economic dispatching comprehensive evaluation method considering source load uncertainty
CN113515889A (en)*2021-05-212021-10-19华北电力大学(保定)Dynamic wind speed prediction model establishing method
CN113721476A (en)*2021-06-292021-11-30武汉大学100 MW-level variable-speed seawater pumped storage unit and renewable energy source combined operation system hardware-in-loop simulation platform and method
CN113824148A (en)*2021-10-192021-12-21阳光电源股份有限公司Power generation system and control method thereof
CN114139649A (en)*2021-12-082022-03-04国网福建省电力有限公司经济技术研究院 A GIS-based flexible opportunity spatiotemporal assessment method and terminal
CN114331025A (en)*2021-11-292022-04-12中国华能集团清洁能源技术研究院有限公司Wind-solar-fire-storage system optimal configuration method and system based on time sequence difference method
CN114362258A (en)*2022-03-212022-04-15山东大学 Distributed event-triggered reinforcement learning optimization method and system for unit combination and scheduling
CN114819362A (en)*2022-04-292022-07-29金寨县涛癸电力科技有限公司 A grid power load balancing method for wind and solar power systems
WO2022160705A1 (en)*2021-01-262022-08-04中国电力科学研究院有限公司Method and apparatus for constructing dispatching model of integrated energy system, medium, and electronic device
CN114881404A (en)*2022-03-292022-08-09国网福建省电力有限公司宁德供电公司 A daily stochastic optimal scheduling method for wind storage ecological power generation based on reinforcement learning
CN115036993A (en)*2022-08-122022-09-09国网信息通信产业集团有限公司Energy device control method, device, electronic apparatus, and computer-readable medium
CN116187019A (en)*2022-12-302023-05-30华电电力科学研究院有限公司 A virtual power plant economic scheduling method with wind-solar-storage storage considering ladder carbon price
CN118586561A (en)*2024-08-052024-09-03广东工业大学 Energy system transformation scheduling optimization method and system considering energy quality
CN119136391A (en)*2024-10-302024-12-13江苏亿晖景观照明工程有限公司 A centralized control system for solar street lights
CN120013198A (en)*2025-04-142025-05-16烟台大学 Multi-energy power system dispatching method, system and device based on reinforcement learning

Citations (5)

* Cited by examiner, † Cited by third party
Publication numberPriority datePublication dateAssigneeTitle
US20150310366A1 (en)*2012-11-092015-10-29Tianjin UniversitySecurity region based security-constrained economic dispatching method
CN109066805A (en)*2018-07-182018-12-21合肥工业大学A kind of transregional interconnected network generating and transmitting system dynamic dispatching optimization method
CN109103912A (en)*2018-07-182018-12-28合肥工业大学Consider the industrial park active distribution system method for optimizing scheduling of peaking demand of power grid
CN109103929A (en)*2018-09-112018-12-28燕山大学Based on the power distribution network economic optimization dispatching method for improving dynamic gram Li Sijin model
CN110276698A (en)*2019-06-172019-09-24国网江苏省电力有限公司淮安供电分公司 Distributed renewable energy trading decision-making method based on multi-agent double-layer collaborative reinforcement learning

Patent Citations (5)

* Cited by examiner, † Cited by third party
Publication numberPriority datePublication dateAssigneeTitle
US20150310366A1 (en)*2012-11-092015-10-29Tianjin UniversitySecurity region based security-constrained economic dispatching method
CN109066805A (en)*2018-07-182018-12-21合肥工业大学A kind of transregional interconnected network generating and transmitting system dynamic dispatching optimization method
CN109103912A (en)*2018-07-182018-12-28合肥工业大学Consider the industrial park active distribution system method for optimizing scheduling of peaking demand of power grid
CN109103929A (en)*2018-09-112018-12-28燕山大学Based on the power distribution network economic optimization dispatching method for improving dynamic gram Li Sijin model
CN110276698A (en)*2019-06-172019-09-24国网江苏省电力有限公司淮安供电分公司 Distributed renewable energy trading decision-making method based on multi-agent double-layer collaborative reinforcement learning

Cited By (27)

* Cited by examiner, † Cited by third party
Publication numberPriority datePublication dateAssigneeTitle
CN112054561B (en)*2020-09-162022-06-14三峡大学 Daily random dynamic scheduling method for wind power-pumped storage combined system based on SARSA(λ) algorithm
CN112054561A (en)*2020-09-162020-12-08三峡大学Wind power-pumped storage combined system daily random dynamic scheduling method based on SARSA (lambda) algorithm
CN112465212A (en)*2020-11-242021-03-09国网河北省电力有限公司经济技术研究院Building cluster demand side energy management method and system
CN112671033B (en)*2020-12-142022-12-23广西电网有限责任公司电力科学研究院Priority-level-considered microgrid active scheduling control method and system
CN112671033A (en)*2020-12-142021-04-16广西电网有限责任公司电力科学研究院Priority-level-considered microgrid active power scheduling control method and system
CN112865193A (en)*2021-01-072021-05-28云南电力技术有限责任公司Economic dispatching system and method for power system
CN112865193B (en)*2021-01-072023-03-31云南电力技术有限责任公司Economic dispatching system and method for power system
WO2022160705A1 (en)*2021-01-262022-08-04中国电力科学研究院有限公司Method and apparatus for constructing dispatching model of integrated energy system, medium, and electronic device
CN112927098A (en)*2021-01-292021-06-08国网内蒙古东部电力有限公司Power grid economic dispatching comprehensive evaluation method considering source load uncertainty
CN112927098B (en)*2021-01-292023-10-27国网内蒙古东部电力有限公司Power grid economic dispatching comprehensive evaluation method considering source load uncertainty
CN113515889B (en)*2021-05-212023-06-13华北电力大学(保定)Dynamic wind speed prediction model building method
CN113515889A (en)*2021-05-212021-10-19华北电力大学(保定)Dynamic wind speed prediction model establishing method
CN113721476A (en)*2021-06-292021-11-30武汉大学100 MW-level variable-speed seawater pumped storage unit and renewable energy source combined operation system hardware-in-loop simulation platform and method
CN113824148A (en)*2021-10-192021-12-21阳光电源股份有限公司Power generation system and control method thereof
CN114331025A (en)*2021-11-292022-04-12中国华能集团清洁能源技术研究院有限公司Wind-solar-fire-storage system optimal configuration method and system based on time sequence difference method
CN114139649A (en)*2021-12-082022-03-04国网福建省电力有限公司经济技术研究院 A GIS-based flexible opportunity spatiotemporal assessment method and terminal
CN114362258A (en)*2022-03-212022-04-15山东大学 Distributed event-triggered reinforcement learning optimization method and system for unit combination and scheduling
CN114362258B (en)*2022-03-212022-05-31山东大学 Distributed event-triggered reinforcement learning optimization method and system for unit combination and scheduling
CN114881404A (en)*2022-03-292022-08-09国网福建省电力有限公司宁德供电公司 A daily stochastic optimal scheduling method for wind storage ecological power generation based on reinforcement learning
CN114819362A (en)*2022-04-292022-07-29金寨县涛癸电力科技有限公司 A grid power load balancing method for wind and solar power systems
CN115036993A (en)*2022-08-122022-09-09国网信息通信产业集团有限公司Energy device control method, device, electronic apparatus, and computer-readable medium
CN115036993B (en)*2022-08-122022-10-28国网信息通信产业集团有限公司Energy device control method, device, electronic apparatus, and computer-readable medium
US11967828B2 (en)2022-08-122024-04-23Xi'an Jiaotong UniversityMethod and device for low-carbon integrated energy system scheduling
CN116187019A (en)*2022-12-302023-05-30华电电力科学研究院有限公司 A virtual power plant economic scheduling method with wind-solar-storage storage considering ladder carbon price
CN118586561A (en)*2024-08-052024-09-03广东工业大学 Energy system transformation scheduling optimization method and system considering energy quality
CN119136391A (en)*2024-10-302024-12-13江苏亿晖景观照明工程有限公司 A centralized control system for solar street lights
CN120013198A (en)*2025-04-142025-05-16烟台大学 Multi-energy power system dispatching method, system and device based on reinforcement learning

Also Published As

Publication numberPublication date
CN111064229B (en)2023-04-07

Similar Documents

PublicationPublication DateTitle
CN111064229A (en) Wind-light-gas-storage joint dynamic economic dispatch optimization method based on Q-learning
CN108039737B (en) A Source-Net-Load Coordinated Operation Simulation System
CN112467807B (en)Day-ahead optimal scheduling method and system for multi-energy power system
CN116667395B (en)Capacity allocation method for water-wind-solar-energy-storage complementary pump station based on cascade hydropower transformation
CN109256810B (en) A Multi-objective Optimization Method Considering the Uncertain Cost of Fan Output
CN109103929B (en) An Economic Optimal Scheduling Method of Distribution Network Based on Improved Dynamic Christine Model
CN110535132B (en)Robust optimization-based power system construction planning method
CN113298407B (en) A method for establishing an optimal dispatch model for an electric-gas integrated energy system in an industrial park
CN105305423A (en)Method for determining optimal error boundary considering intermittent energy uncertainty
CN111934366A (en)Power grid multivariate optimization scheduling method for improving wind power receiving capacity
CN108879657A (en)Balance of electric power and ener optimization method based on wind-powered electricity generation volume metering
CN113364051B (en) Multi-power system capacity allocation scheduling method and device considering offshore wind power access
CN108667077A (en) A wind-storage combined system optimization scheduling method
CN117674292A (en) An optimized dispatching method for virtual power plants
CN110336308B (en) An Economic Dispatching Method of Active Distribution Network Based on Opportunity Constraint
CN109299862A (en)A kind of convex loose appraisal procedure of wind-powered electricity generation maximum digestion capability
CN105633950B (en)A kind of probabilistic multiple target Random-fuzzy Dynamic Optimal Power Flow Problem method for solving of consideration wind-powered electricity generation injection
CN109546647B (en) A safety and stability assessment method for power systems with wind-solar water storage
CN109657898B (en)Renewable energy random dynamic economic dispatching method based on convex relaxation
CN118889562B (en) A calculation method for the optimal dispatch model of a hydro-wind-solar hybrid power generation system
CN117350515B (en) A method for energy flow scheduling of offshore island groups based on multi-agent reinforcement learning
CN110289643B (en) A Real-time Power Generation Scheduling and Control Algorithm Based on Rejection Deep Differential Dynamic Programming
CN116760121A (en) A low-carbon dispatching method, system, equipment and medium for a virtual power plant
CN112884191A (en)Thermoelectric day-ahead scheduling model based on network source coordination and calculation method
Chi et al.Artificial intelligence enabled wind energy prediction and optimization management for renewable energy systems

Legal Events

DateCodeTitleDescription
PB01Publication
PB01Publication
SE01Entry into force of request for substantive examination
SE01Entry into force of request for substantive examination
GR01Patent grant
GR01Patent grant
CF01Termination of patent right due to non-payment of annual fee
CF01Termination of patent right due to non-payment of annual fee

Granted publication date:20230407


[8]ページ先頭

©2009-2025 Movatter.jp