Movatterモバイル変換


[0]ホーム

URL:


CN111030761A - A Method for Predicting Electromagnetic Radiation of Base Stations in Mountainous Areas - Google Patents

A Method for Predicting Electromagnetic Radiation of Base Stations in Mountainous Areas
Download PDF

Info

Publication number
CN111030761A
CN111030761ACN201911344381.4ACN201911344381ACN111030761ACN 111030761 ACN111030761 ACN 111030761ACN 201911344381 ACN201911344381 ACN 201911344381ACN 111030761 ACN111030761 ACN 111030761A
Authority
CN
China
Prior art keywords
base station
mountain
measured
power
height
Prior art date
Legal status (The legal status is an assumption and is not a legal conclusion. Google has not performed a legal analysis and makes no representation as to the accuracy of the status listed.)
Granted
Application number
CN201911344381.4A
Other languages
Chinese (zh)
Other versions
CN111030761B (en
Inventor
杨万春
王俊
Current Assignee (The listed assignees may be inaccurate. Google has not performed a legal analysis and makes no representation or warranty as to the accuracy of the list.)
Xiangtan University
Original Assignee
Xiangtan University
Priority date (The priority date is an assumption and is not a legal conclusion. Google has not performed a legal analysis and makes no representation as to the accuracy of the date listed.)
Filing date
Publication date
Application filed by Xiangtan UniversityfiledCriticalXiangtan University
Priority to CN201911344381.4ApriorityCriticalpatent/CN111030761B/en
Publication of CN111030761ApublicationCriticalpatent/CN111030761A/en
Application grantedgrantedCritical
Publication of CN111030761BpublicationCriticalpatent/CN111030761B/en
Activelegal-statusCriticalCurrent
Anticipated expirationlegal-statusCritical

Links

Classifications

Landscapes

Abstract

The invention discloses a method for predicting electromagnetic radiation of a mountain area base station, which comprises the steps of firstly providing a base station radiation signal, obtaining power k (h) attenuated when the base station radiation signal passes through a mountain peak obstacle propagation model with the height of h, then counting the number of the mountain peaks between the base station and a point to be measured, calculating to obtain total attenuated power P (h), and finally predicting to obtain a base station electromagnetic radiation value of the point to be measured, wherein the distance from the base station to the point to be measured is r by combining a base station electromagnetic radiation intensity calculation formula S. According to the method, the radiation attenuation power of the mountain base station is calculated according to the height of the mountain peak in the mountain area, and the electromagnetic radiation intensity of the mountain base station can be accurately predicted.

Description

Electromagnetic radiation prediction method for mountain base station
Technical Field
The invention relates to a method for predicting electromagnetic radiation of a mountainous area base station.
Background
The mobile communication technology is rapidly developed, a fifth generation communication system also immediately enters the visual field of people in 2019, more and more base stations are to be built, the base stations in mountainous areas are very much built along with higher and higher coverage requirements, and mountains have certain influence on the propagation energy of electromagnetic radiation of the base stations.
Aiming at the defects in the prior art, the method provides a method for predicting the electromagnetic radiation of a mountain area base station, firstly, a base station radiation signal is provided to pass through a mountain peak obstacle propagation model to obtain the power k (h) attenuated when passing through a mountain peak with the height h, then, the number of the mountain peaks between the base station and a point to be measured is counted, the total attenuation power P (h) is calculated, then, a formula S is calculated by combining the electromagnetic radiation intensity of the base station, and finally, the electromagnetic radiation value of the base station of the point to be measured, which is r away from the base station, is predicted and obtained.
Disclosure of Invention
In order to solve the technical problem, the invention provides a method for predicting electromagnetic radiation of a mountain base station.
The technical scheme for solving the technical problems comprises the following steps:
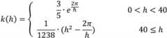
(1) establishing a base station radiation signal propagation model through a mountain peak obstacle:
Figure BDA0002331154230000011
wherein k (h) is the attenuation power when the base station radiates through a peak with height h, the unit is W, h is the peak height, the unit is m, e is a natural constant, and the value is 2.178;
(2) according to the power k (h) attenuated after the base station radiation passes through the peak with the height h obtained in the step (1), counting the number of the peaks between the base station and the point to be measured to obtain a total attenuation power expression P (h);
(3) and (4) obtaining total attenuation power P (h) according to the step (2), and obtaining the electromagnetic radiation intensity S of the base station to be measured by combining a far-field power density expression.
In the step (2), the power expression of the total attenuation is calculated by combining the base station radiation signal obtained in the step (1) through a mountain obstacle propagation model k (h) as follows:
Figure BDA0002331154230000012
where P (h) is the power of the total attenuation in W, where n1The number of peaks with the height between the base station and the point to be measured being 40 meters, and hmIs at n1The height of the mth mountain peak is m; n is2The number of peaks with the height between the base station and the point to be measured being higher than or equal to 40 meters, and hiIs at n2The height of the ith peak in m.
In the step (3), by combining the total attenuation power expression p (h) obtained in the step (2), a power density expression with a distance r between the point to be measured and the base station is as follows:
Figure BDA0002331154230000021
wherein S is the total radiation intensity value of the base station to the point to be measured, and the unit is W/m2R is the distance between the point to be measured and the base station, and the unit is m, G is the antenna gain of the base station, and the unit is dB, and P is the transmitting power of the base station, and the unit is W.
The invention has the beneficial effects that: the method comprises the steps of firstly providing a base station radiation signal, obtaining power k (h) attenuated when the base station radiation signal passes through a peak with the height h through a peak obstacle propagation model, then counting the number of peaks between a base station and a point to be measured, calculating to obtain total attenuated power P (h), and finally predicting to obtain a base station electromagnetic radiation value of the point to be measured, wherein the distance from the base station to the point to be measured is r by combining with a base station electromagnetic radiation intensity calculation formula S. According to the method, the radiation attenuation power of the mountain base station is calculated according to the height of the mountain peak in the mountain area, and the electromagnetic radiation intensity of the mountain base station can be accurately predicted.
Detailed Description
The implementation object of the invention is a base station of FDD-LTE, and the working frequency is as follows: 1980MHz, the test site was a mountainous area around the school, the measuring equipment used a portable spectrum analyzer (KEYSIGHT N9918A, measuring maximum frequency 26.5GHz) and a log periodic antenna (HyperLOG 60180, measuring frequency range 680 MHz-18 GHz), the antenna factor AF was 30dB/m, and the cable loss was 3 dB.
The invention discloses a method for predicting electromagnetic radiation of a mountainous area base station, which comprises the following steps:
(1) establishing a base station radiation signal propagation model through a mountain peak obstacle:
Figure BDA0002331154230000022
wherein k (h) is the attenuation power when the base station radiates through a peak with height h, the unit is W, h is the peak height, the unit is m, e is a natural constant, and the value is 2.178;
(2) according to the power k (h) of the attenuation of the base station radiation after the peak height h is obtained in the step (1), counting the number of the peaks between the base station and the point to be measured to obtain a total attenuation power expression P (h);
(3) and (3) obtaining the electromagnetic radiation intensity S of the base station to be measured according to the total attenuation power P (h) obtained in the step (2) and a far-field power density expression.
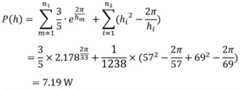
In the step (2), the number n of buildings less than or equal to 40m is obtained according to the height and the number of the peaks between the mountain area base station and the point to be measured1Number of buildings n of 1, height 33m, above 40m2And 2, the heights are 57m and 69m respectively, the power expression P (h) of the total attenuation is calculated according to the propagation model k (h) of the base station radiation passing peak obstacles obtained in the step 1, and the power expression P (h) is as follows:
Figure BDA0002331154230000031
in the step (3), a power expression p (h) of the total attenuation is calculated according to the step (2), where the antenna gain G of the base station of the FDD-LTE is 13dB 20, the transmission power of the base station is 15W, and the power density expression where the distance between the point to be measured and the base station is 45m is as follows:
Figure BDA0002331154230000032
the predicted power density s obtained from the above predicted point is 0.015W/m2To demonstrate the effectiveness of the invention, we obtained a measurement of 0.013W/m after field measurements with a spectrometer at a location 45m from the base station2,
Through comparison, the predicted value of the electromagnetic radiation intensity of the mountainous area base station is very consistent with the actual measured value, and the validity of the content of the invention is verified.

Claims (3)

Translated fromChinese
1.一种山区基站电磁辐射预测方法,其特征在于,包括以下步骤:1. a mountain base station electromagnetic radiation prediction method, is characterized in that, comprises the following steps:(1)建立基站辐射信号通过山峰障碍物传播模型:(1) Establish a model for the propagation of base station radiation signals through mountain obstacles:
Figure FDA0002331154220000011
Figure FDA0002331154220000011
其中k(h)为基站辐射经过高度为h的山峰时衰减功率,单位为W,h为山峰高度,单位为m,e为自然常数,取值为2.178;Where k(h) is the attenuation power when the base station radiation passes through the peak of height h, the unit is W, h is the height of the mountain peak, the unit is m, and e is the natural constant, the value is 2.178;(2)根据(1)得到的基站辐射经过高度为h的山峰后衰减的功率k(h),统计基站与待测点之间的山峰个数后得到总衰减的功率表达式P(h);(2) The power k(h) attenuated by the base station radiation after passing through a mountain peak with a height of h obtained according to (1), and the total attenuation power expression P(h) is obtained by counting the number of peaks between the base station and the point to be measured. ;(3)根据(2)得到的总衰减的功率P(h),结合远场功率密度表达式,得到待测点基站电磁辐射强度S。(3) According to the total attenuation power P(h) obtained in (2), combined with the far-field power density expression, the electromagnetic radiation intensity S of the base station at the point to be measured is obtained.2.如权利要求1所述的一种山区基站电磁辐射预测方法,所述步骤(2)中,结合根据步骤(1)得到的基站辐射信号通过山峰障碍物传播模型k(h),计算总衰减的功率表达式如下:2. a kind of mountain base station electromagnetic radiation prediction method as claimed in claim 1, in described step (2), in conjunction with the base station radiation signal obtained according to step (1) through mountain peak obstacle propagation model k (h), calculate total. The power expression for attenuation is as follows:
Figure FDA0002331154220000012
Figure FDA0002331154220000012
其中P(h)为总衰减的功率,单位为W,其中n1为基站与待测点之间高度低40米山峰的数量,并且hm为在n1中第m个山峰的高度,单位为m;n2为基站与待测点之间高度高于或等于40米的山峰数量,并且hi为在n2中第i个山峰的高度,单位为m。where P(h) is the total attenuated power in W, where n1 is the number of peaks with a height of 40 meters lower between the base station and the point to be measured, and hm is the height of the mth peak in n1 , in units of is m; n2 is the number of mountain peaks with a height higher than or equal to 40 meters between the base station and the point to be measured, and hi is the height of theith mountain in n2 , in m.
3.如权利要求1所述的一种山区基站电磁辐射预测方法,所述步骤(3)中,结合步骤(2)得到的总衰减功率表达式P(h),则待测点与基站距离为r的功率密度表达式为:3. a kind of mountain base station electromagnetic radiation prediction method as claimed in claim 1, in described step (3), in conjunction with the total attenuation power expression P (h) that step (2) obtains, then point to be measured and base station distance The power density expression for r is:
Figure FDA0002331154220000013
Figure FDA0002331154220000013
其中S为基站对待测点的辐射强度总值,单位为W/m2,r为待测点与基站的距离,单位为m,G为基站的天线增益,单位为dB,P为基站的发射功率,单位为W。where S is the total radiation intensity of the base station to be measured, in W/m2 , r is the distance between the point to be measured and the base station, in m, G is the antenna gain of the base station, in dB, and P is the transmission of the base station Power, in watts.
CN201911344381.4A2019-12-232019-12-23 A Method for Predicting Electromagnetic Radiation of Base Stations in Mountainous AreasActiveCN111030761B (en)

Priority Applications (1)

Application NumberPriority DateFiling DateTitle
CN201911344381.4ACN111030761B (en)2019-12-232019-12-23 A Method for Predicting Electromagnetic Radiation of Base Stations in Mountainous Areas

Applications Claiming Priority (1)

Application NumberPriority DateFiling DateTitle
CN201911344381.4ACN111030761B (en)2019-12-232019-12-23 A Method for Predicting Electromagnetic Radiation of Base Stations in Mountainous Areas

Publications (2)

Publication NumberPublication Date
CN111030761Atrue CN111030761A (en)2020-04-17
CN111030761B CN111030761B (en)2022-02-11

Family

ID=70211954

Family Applications (1)

Application NumberTitlePriority DateFiling Date
CN201911344381.4AActiveCN111030761B (en)2019-12-232019-12-23 A Method for Predicting Electromagnetic Radiation of Base Stations in Mountainous Areas

Country Status (1)

CountryLink
CN (1)CN111030761B (en)

Cited By (1)

* Cited by examiner, † Cited by third party
Publication numberPriority datePublication dateAssigneeTitle
CN115078850A (en)*2022-07-192022-09-20沸蓝建设咨询有限公司Communication base station radiation detection system

Citations (8)

* Cited by examiner, † Cited by third party
Publication numberPriority datePublication dateAssigneeTitle
US20040116111A1 (en)*2001-03-092004-06-17Simon SaundersMeasurement based prediction method for radiation path loss
WO2016196231A1 (en)*2015-05-292016-12-08Gradient Dynamics LlcSystems, apparatuses, and methods for generating and/or utilizing scalar-longitudinal waves
CN106454918A (en)*2016-09-182017-02-22广东智环创新环境技术研究有限公司Method for predicting electromagnetic radiation level of surrounding environment of TD-LTE mobile communication base station
CN106879016A (en)*2017-03-282017-06-20湘潭大学 A Base Station Electromagnetic Radiation Prediction Method Based on User Distribution
CN109459640A (en)*2018-12-122019-03-12湘潭大学A kind of scenic spot origin base station electromagnetic radiation prediction technique
CN109474946A (en)*2018-12-112019-03-15湘潭大学 A Prediction Method of Electromagnetic Radiation of Base Stations in Rural Areas
CN109547123A (en)*2018-12-272019-03-29湘潭大学A kind of base station TD-LTE electromagnetic radiation prediction technique
CN109586821A (en)*2018-11-272019-04-05湘潭大学A kind of urban area base station electromagnetic radiation prediction technique

Patent Citations (8)

* Cited by examiner, † Cited by third party
Publication numberPriority datePublication dateAssigneeTitle
US20040116111A1 (en)*2001-03-092004-06-17Simon SaundersMeasurement based prediction method for radiation path loss
WO2016196231A1 (en)*2015-05-292016-12-08Gradient Dynamics LlcSystems, apparatuses, and methods for generating and/or utilizing scalar-longitudinal waves
CN106454918A (en)*2016-09-182017-02-22广东智环创新环境技术研究有限公司Method for predicting electromagnetic radiation level of surrounding environment of TD-LTE mobile communication base station
CN106879016A (en)*2017-03-282017-06-20湘潭大学 A Base Station Electromagnetic Radiation Prediction Method Based on User Distribution
CN109586821A (en)*2018-11-272019-04-05湘潭大学A kind of urban area base station electromagnetic radiation prediction technique
CN109474946A (en)*2018-12-112019-03-15湘潭大学 A Prediction Method of Electromagnetic Radiation of Base Stations in Rural Areas
CN109459640A (en)*2018-12-122019-03-12湘潭大学A kind of scenic spot origin base station electromagnetic radiation prediction technique
CN109547123A (en)*2018-12-272019-03-29湘潭大学A kind of base station TD-LTE electromagnetic radiation prediction technique

Non-Patent Citations (2)

* Cited by examiner, † Cited by third party
Title
WANCHUN YANG 等: "The Duty Cycle Analysis for Electromagnetic Field Exposure From WLAN in a Busy Period", 《IEEE TRANSACTIONS ON ELECTROMAGNETIC COMPATIBILITY》*
张艳芳: "通信基站附近电磁环境预测系统的研制", 《中国优秀硕士学位论文全文数据库 信息科技辑》*

Cited By (1)

* Cited by examiner, † Cited by third party
Publication numberPriority datePublication dateAssigneeTitle
CN115078850A (en)*2022-07-192022-09-20沸蓝建设咨询有限公司Communication base station radiation detection system

Also Published As

Publication numberPublication date
CN111030761B (en)2022-02-11

Similar Documents

PublicationPublication DateTitle
CN106879016A (en) A Base Station Electromagnetic Radiation Prediction Method Based on User Distribution
Hindia et al.Outdoor large-scale path loss characterization in an urban environment at 26, 28, 36, and 38 GHz
Greenberg et al.Comparison of deterministic, empirical and physical propagation models in urban environments
CN107087286B (en)Indoor electromagnetic radiation prediction method of window facing communication base station
CN111030761B (en) A Method for Predicting Electromagnetic Radiation of Base Stations in Mountainous Areas
Bilgehan et al.Multiplicative based path loss model
Emeruwa et al.Investigation of the variability of signal strength of wireless services in Umuahia, Eastern Nigeria
Montenegro-Villacieros et al.Clutter loss measurements and simulations at 26 GHz and 40 GHz
CN109459640B (en)Scenic spot area base station electromagnetic radiation prediction method
CN109474946A (en) A Prediction Method of Electromagnetic Radiation of Base Stations in Rural Areas
Li et al.Measurement and simulation of 28 GHz millimeter-wave propagation characteristics in the corridor environment
CN111615138A (en) A strong, medium and weak field division method for co-located high-voltage transmission towers for mobile base stations
WO2025129732A1 (en)Ray tracing-based channel modeling method directed to low-orbit satellite communication
CN111030770B (en) A Method for Predicting Electromagnetic Radiation of Base Stations in Mountainous Areas
CN110988498A (en)Base station electromagnetic radiation prediction method for building dense area
Ahaneku et al.GSM base station radiation level: a case study of University of Nigeria environment
Montenegro-Villacieros et al.Clutter loss measurements in suburban environment at 26 GHz and 40 GHz
Elshafie et al.Measurement of UHF signal propagation loss under different altitude in hilly environment
CN110995380B (en)Indoor base station electromagnetic radiation prediction method
Zhang et al.Propagation comparisons at VHF and UHF frequencies
Chandra et al.Comparative study of path losses from propagation measurements at 450 MHz, 900 MHz, 1.35 GHz and 1.89 GHz in the corridors of a multifloor laboratory-cum-office building
Naderi et al.Investigating the effect of construction type of BTS antennas and the type of buildings around them on the microwave radiation-a case study in Maragheh City
Atenaga et al.Assessment of radiated electromagnetic waves from base station antennas using calculation and field measurement techniques
KR102640447B1 (en)Apparatus and method for managing electromagnetic waves exposure from base station
CN110361603B (en) A prediction method of electromagnetic radiation in highway scene with uniform distribution of scatterers

Legal Events

DateCodeTitleDescription
PB01Publication
PB01Publication
SE01Entry into force of request for substantive examination
SE01Entry into force of request for substantive examination
GR01Patent grant
GR01Patent grant

[8]ページ先頭

©2009-2025 Movatter.jp