Movatterモバイル変換


[0]ホーム

URL:


CN111027245A - Helicopter corrugated beam and design method of corrugated section of corrugated beam - Google Patents

Helicopter corrugated beam and design method of corrugated section of corrugated beam
Download PDF

Info

Publication number
CN111027245A
CN111027245ACN201911229144.3ACN201911229144ACN111027245ACN 111027245 ACN111027245 ACN 111027245ACN 201911229144 ACN201911229144 ACN 201911229144ACN 111027245 ACN111027245 ACN 111027245A
Authority
CN
China
Prior art keywords
corrugated
amplitude
wavelength
height
amplitude ratio
Prior art date
Legal status (The legal status is an assumption and is not a legal conclusion. Google has not performed a legal analysis and makes no representation as to the accuracy of the status listed.)
Granted
Application number
CN201911229144.3A
Other languages
Chinese (zh)
Other versions
CN111027245B (en
Inventor
卢致龙
Current Assignee (The listed assignees may be inaccurate. Google has not performed a legal analysis and makes no representation or warranty as to the accuracy of the list.)
China Helicopter Research and Development Institute
Original Assignee
China Helicopter Research and Development Institute
Priority date (The priority date is an assumption and is not a legal conclusion. Google has not performed a legal analysis and makes no representation as to the accuracy of the date listed.)
Filing date
Publication date
Application filed by China Helicopter Research and Development InstitutefiledCriticalChina Helicopter Research and Development Institute
Priority to CN201911229144.3ApriorityCriticalpatent/CN111027245B/en
Publication of CN111027245ApublicationCriticalpatent/CN111027245A/en
Application grantedgrantedCritical
Publication of CN111027245BpublicationCriticalpatent/CN111027245B/en
Activelegal-statusCriticalCurrent
Anticipated expirationlegal-statusCritical

Links

Images

Landscapes

Abstract

The invention belongs to the field of basic application of aircrafts, and particularly relates to a corrugated beam of a helicopter and a design method of a corrugated section of the corrugated beam. The weak link of the composite material corrugated beam structure is designed into a small circular arc transition form between the two ends of the structure and the flange, and a layer of composite material is laid around the web plate for a circle, so that the initial damage of the structure can be ensured to start from the end part; straight sections can be arranged at intervals of the waveform sections of the waveform beam and used for equipment installation interfaces, and the waveform sections are in a group of three waves, so that good crushing performance is guaranteed, and the material ratio energy absorption capacity is high.

Description

Helicopter corrugated beam and design method of corrugated section of corrugated beam
Technical Field
The invention belongs to the field of basic application of aircrafts, and particularly relates to a corrugated beam of a helicopter and a design method of a corrugated section of the corrugated beam.
Background
When the helicopter crashes in an accident, the crash-resistant structure of the helicopter body is required to absorb the crash energy and reduce the peak load during the crash impact, thereby achieving the purpose of saving the lives of passengers.
The traditional helicopter structure is designed to absorb energy through the falling impact of the metal structure of the lower component of the helicopter body, or is designed to absorb energy through simply adopting a composite material structure. However, for the design of the traditional metal structure for resisting falling and collision impact, the design structure is generally heavier, and because the composite material is a brittle material, the energy absorption capacity of the material is relatively weaker, and the good energy absorption effect is difficult to realize for the general composite material configuration design.
Disclosure of Invention
The purpose of the invention is as follows: the invention provides a corrugated beam of a helicopter and a design method of a corrugated section of the corrugated beam. Meanwhile, the web plates are not easy to destabilize and damage, and the beam structure has the characteristics of good rigidity, light structure weight, simple manufacture, low cost and the like.
The technical scheme of the invention is as follows:
in a first aspect, there is provided a helicopter waveform beam comprising: an upper edge strip plate 1, a corrugated web plate 2, a lower edge strip plate 3 andfilling wires 4, wherein one end of the corrugated web plate 2 is connected with the upper edge strip plate 1, the other end of the corrugated web plate 2 is connected with the lower edge strip plate 3, thefilling wires 4 are arranged at the connecting corner of the corrugated web plate 2 and the upper edge strip plate 1 and the connecting corner of the corrugated web plate 2 and the lower edge strip plate 3,
the binding surfaces between the upper edge strip plate 1, the lower edge strip plate 3 and the web plate 2 are overlapped by the same material cloth as the materials of the upper edge strip plate 1 and the lower edge strip plate 3 and are co-cured in a hot pressing furnace to form an integral structure,
the corrugated web 2 comprises corrugated and flat sections.
Optionally, thefiller wire 4 is a styrofoam plate and a carbon wire.
In a second aspect, a method for designing a corrugated section of a corrugated beam of a helicopter is provided, which is characterized by comprising the following steps:
determining a beam height value L according to the overall arrangement of the helicopter;
calculating the height amplitude ratio and the wavelength amplitude ratio of the waveform beam according to the height value L;
determining the amplitude A and the wavelength lambda according to the height amplitude ratio and the wavelength amplitude ratio;
setting an initial value of a fillet radius R of the corrugated web plate as an amplitude A, establishing a physical model of the corrugated beam structure according to the initial values of a beam height value L, the amplitude A, a wavelength lambda and the fillet radius R, then determining the property of a material, and carrying out finite element simulation on the physical model of the corrugated beam structure by using the property of the material to obtain a load-time curve and an energy-time curve;
calculating specific energy absorption by using a specific energy absorption calculation formula according to the load-time curve and the energy-time curve;
according to a preset step length, carrying out iterative solution on the fillet radius R to obtain a solution R with the largest energy absorption value;
and determining the waveform beam structure according to the beam height value L, the amplitude A, the wavelength lambda and the maximum R value.
Optionally, calculating a height amplitude ratio and a wavelength amplitude ratio of the waveform beam according to the height value L specifically includes:
simplifying the waveform of the waveform beam into a triangular wave;
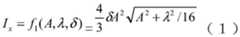
and (3) obtaining a relation (1) by operation according to the inertia moment definition formula:
Figure BDA0002303061190000021
wherein f is1As a process function, δ is the thickness of the corrugated beam, a is the amplitude of the triangular wave, and λ is the wavelength of the triangular wave;
according to the formula (2),
L/ρ<20(2),
to obtain formula (3):
FL2=f2(A,ω,δ)L2<400Ix(3)
wherein f is2(a, ω, δ) is the area of the triangular waveform, and is specifically formula (4):
Figure BDA0002303061190000022
obtaining a height amplitude ratio and wavelength amplitude ratio correlation according to the formulas (1) to (4):
Figure BDA0002303061190000023
Figure BDA0002303061190000031
wherein A is the wave amplitude, lambda is the wavelength, F is the crushing cross-sectional area, delta is the thickness of the corrugated beam,
Figure BDA0002303061190000032
the radius of the section of the corrugated beam, and L is the height value of the corrugated beam;
and taking the minimum value of the height amplitude ratio value range as the height amplitude ratio, and taking the maximum value of the wavelength amplitude ratio as the wavelength amplitude ratio.
Optionally, determining the amplitude a and the wavelength λ according to the height amplitude ratio and the wavelength amplitude ratio specifically includes:
calculating the amplitude A according to the height L and the height amplitude ratio;
and calculating the wavelength lambda according to the amplitude A and the wavelength amplitude ratio.
Optionally, establishing a solid model of the wave beam structure according to initial values of the beam height value L, the amplitude a, the wavelength λ, and the fillet radius R, specifically including:
and establishing a physical model of the wave-shaped beam structure by using three-dimensional engineering design software according to the initial values of the beam height value L, the wave amplitude A, the wavelength lambda and the fillet radius R.
Optionally, the predetermined step size is half the amplitude.
Optionally, the iterative solution of the fillet radius R to the R solution with the largest energy absorption value specifically includes:
and according to a preset step size, iterating to obtain a maximum R solution that the fillet radius R of the corrugated web meets R epsilon [ A0, 3A0 ].
The invention has the beneficial effects that:
the corrugated beam structure has the following advantages:
1. the corrugated web plate has good normal stiffness, can obtain great out-of-plane stiffness and shear buckling strength by using the form of the corrugated web plate with thinner thickness without reinforcing ribs, can effectively save materials, can be provided with other system components in the form of a corrugated beam, has good connectivity, and is beneficial to practical application in engineering practice.
2. The energy absorption device has the advantages that the ratio of the average crushing load to the initial peak load is improved on the premise of higher specific energy absorption capacity, the impact on drivers and passengers is reduced, and large fragments cannot be generated after the structure is damaged to influence the life safety of passengers.
3. The composite material wave-shaped beam has the characteristics of simple structure, light weight, simple manufacture, low cost and the like
4. The design method selects optimized design parameters through multiple rounds of iteration, improves the specific energy absorption capacity of the material, reduces peak load and achieves a high specific energy absorption effect of the material.
5. The wave-shaped design is beneficial to increasing the stable crushing process, can stably and more fully absorb a large amount of energy, and is an ideal choice for designing the falling and impacting performance of the composite material structure.
6. Under the condition of limited weight, the design of a beam or frame structure is beneficial to improving the vertical crashworthiness of the aircraft.
Drawings
FIG. 1 is a block diagram of a corrugated beam according to an embodiment of the present invention;
FIG. 2 is a cross-sectional view of a corrugated beam taken along line A-A in accordance with an embodiment of the present invention;
FIG. 3 is a cross-sectional view of a corrugated beam taken along line B-B in accordance with an embodiment of the present invention;
FIG. 4 is a diagram of a lay-up structure of a corrugated beam according to an embodiment of the invention;
FIG. 5 is a flow chart of a method of designing a corrugated section of a corrugated beam of a helicopter in accordance with an embodiment of the present invention;
FIG. 6 shows the critical stress σ of the materialcrCurve of length-to-slenderness ratio L/rho of rod
Wherein, the upper edge strip 1, the corrugated web 2, the lower edge strip 3 and thefilling wire 4.
Detailed Description
The technical solutions in the embodiments of the present invention will be described clearly and completely with reference to the accompanying drawings in the embodiments of the present invention, and it is obvious that the described embodiments are only a part of the embodiments of the present invention, and not all of the embodiments. All other embodiments, which can be derived by a person skilled in the art from the embodiments given herein without making any creative effort, shall fall within the protection scope of the present invention.
The corrugated beam structure of the invention is a laminated plate integrated structure as shown in figure 1, and comprises an upper edge strip plate 1, a corrugated web plate 2, a lower edge strip plate 3 and acarbon filling wire 4. Corrugated web 2 sets up between last border slat 1 and lower border slat 3, web 2 and last border slat 1, it has polystyrene foam plastics panel to fill between web 2 and the lower border slat 3 and also can replace into the carbon silk, it fills in to ensure that edge slat and web overlap joint inner chamber is gas-free, the binding face between upper edge slat 1, lower border slat 3 and web 2 passes through the overlap joint of edge slat carbon cloth and carries out the curing together of autoclave and form overall structure, go up border slat 1, the thickness of lower border slat 3 is 2mm, the thickness of web 2 is 1.5 mm. The overlapping amount of the edge strip plate 1, the lower edge strip plate 3 and the web plate 2 is 25mm, as shown in figure 4. The weight and strength effects of the invention are better by setting the thickness of each layer.
The invention relates to a helicopter corrugated beam, comprising: an upper edge strip plate 1, a corrugated web plate 2, a lower edge strip plate 3 and fillingwires 4, wherein one end of the corrugated web plate 2 is connected with the upper edge strip plate 1, the other end of the corrugated web plate 2 is connected with the lower edge strip plate 3, the fillingwires 4 are arranged at the connecting corner of the corrugated web plate 2 and the upper edge strip plate 1 and the connecting corner of the corrugated web plate 2 and the lower edge strip plate 3,
the binding surfaces between the upper edge strip plate 1, the lower edge strip plate 3 and the web plate 2 are overlapped by the same material cloth as the materials of the upper edge strip plate 1 and the lower edge strip plate 3 and are co-cured in a hot pressing furnace to form an integral structure,
the corrugated web 2 comprises corrugated and flat sections.
Alternatively, thefiller wire 4 is a styrofoam plate and a carbon wire.
The invention relates to a design method of a corrugated section of a helicopter corrugated beam, which comprises the following steps:
determining a beam height value L according to the overall arrangement of the helicopter;
calculating the height amplitude ratio and the wavelength amplitude ratio of the waveform beam according to the height value L;
determining the amplitude A and the wavelength lambda according to the height amplitude ratio and the wavelength amplitude ratio;
setting an initial value of a fillet radius R of the corrugated web plate as an amplitude A, establishing a physical model of the corrugated beam structure according to the initial values of a beam height value L, the amplitude A, a wavelength lambda and the fillet radius R, then determining the property of a material, and carrying out finite element simulation on the physical model of the corrugated beam structure by using the property of the material to obtain a load-time curve and an energy-time curve;
calculating specific energy absorption by using a specific energy absorption calculation formula according to the load-time curve and the energy-time curve;
according to a preset step length, carrying out iterative solution on the fillet radius R to obtain a solution R with the largest energy absorption value;
and determining the waveform beam structure according to the beam height value L, the amplitude A, the wavelength lambda and the maximum R value.
Optionally, calculating a height amplitude ratio and a wavelength amplitude ratio of the waveform beam according to the height value L specifically includes:
simplifying the waveform of the waveform beam into a triangular wave;
and (3) obtaining a relation (1) by operation according to the inertia moment definition formula:
Figure BDA0002303061190000061
wherein f is1As a process function, δ is the thickness of the corrugated beam, a is the amplitude of the triangular wave, and λ is the wavelength of the triangular wave;
according to the formula (2),
l/rho < 20(2), to obtain formula (3):
obtaining an L/rho crushing area judgment condition, namely a formula (2), according to a curve graph (figure 6) of a critical stress equation (Euler formula) of the uniform-section rod under the action of a central axial compression load;
FL2=f2(A,ω,δ)L2<400Ix(3)
wherein f is2(a, ω, δ) is the area of the triangular waveform, and is specifically formula (4):
Figure BDA0002303061190000062
obtaining a height amplitude ratio and wavelength amplitude ratio correlation according to the formulas (1) to (4):
Figure BDA0002303061190000063
Figure BDA0002303061190000064
wherein A is the wave amplitude, lambda is the wavelength, F is the crushing cross-sectional area, delta is the thickness of the corrugated beam,
Figure BDA0002303061190000065
the radius of the section of the corrugated beam, and L is the height value of the corrugated beam;
and taking the minimum value of the height amplitude ratio value range as the height amplitude ratio, and taking the maximum value of the wavelength amplitude ratio as the wavelength amplitude ratio.
Optionally, determining the amplitude a and the wavelength λ according to the height amplitude ratio and the wavelength amplitude ratio specifically includes:
calculating the amplitude A according to the height L and the height amplitude ratio;
and calculating the wavelength lambda according to the amplitude A and the wavelength amplitude ratio.
Optionally, establishing a wave-shaped beam structure solid model according to initial values of the beam height value L, the amplitude a, the wavelength λ, and the fillet radius R, specifically including:
and establishing a physical model of the wave-shaped beam structure by using three-dimensional engineering design software according to the initial values of the beam height value L, the wave amplitude A, the wavelength lambda and the fillet radius R.
Optionally, the predetermined step size is half the amplitude.
Optionally, the iterative solution of the fillet radius R to the R solution with the largest energy absorption value specifically includes:
and according to a preset step size, iterating to obtain a maximum R solution that the fillet radius R of the corrugated web meets R epsilon [ A0, 3A0 ].
The key points of the invention are as follows:
the weak link of the composite material corrugated beam structure is designed into a small circular arc transition form between the two ends of the structure and the flange, and a layer of composite material is laid around the web plate for a circle, so that the initial damage of the structure can be ensured to start from the end part;
straight sections can be arranged at intervals of the wave sections of the wave-shaped beam and used for equipment installation interfaces, and the wave sections are grouped into three waves, so that good crushing performance is ensured, and the wave-shaped beam has high material ratio energy absorption capacity;
the design parameter correlation obtained by the design method is as follows:
Figure BDA0002303061190000071
finally determining 3 key design parameters which are the beam height L, the single wavelength lambda of the corrugated web and the wave amplitude A respectively;
the constitutive equation, damage judgment and rigidity reduction of each layer of the unidirectional fiber reinforced composite material are realized through a user-defined material subprogram VUMAT in ABAQUS/Explimit (commercial software). And iterating R in the range of the A, 3A according to the step length A/2 to obtain the R solution with the maximum specific energy absorption value as a determined design parameter value, and designing the waveform beam structure according to the design parameter.
The foregoing is merely a detailed description of the embodiments of the present invention, and some of the conventional techniques are not detailed. The scope of the present invention is not limited thereto, and any changes or substitutions that can be easily made by those skilled in the art within the technical scope of the present invention will be covered by the present invention. The protection scope of the present invention shall be subject to the protection scope of the claims.

Claims (8)

1. A helicopter waveform beam comprising: an upper edge strip plate (1), a corrugated web plate (2), a lower edge strip plate (3) and filling wires (4), wherein one end of the corrugated web plate (2) is connected with the upper edge strip plate (1), the other end of the corrugated web plate (2) is connected with the lower edge strip plate (3), the filling wires (4) are arranged at the connecting corner of the corrugated web plate (2) and the upper edge strip plate (1) and the connecting corner of the corrugated web plate (2) and the lower edge strip plate (3),
the binding surfaces between the upper edge strip plate (1), the lower edge strip plate (3) and the web plate (2) are overlapped by a material cloth which is the same as the material of the upper edge strip plate (1) and the lower edge strip plate (3) and are co-cured in a hot pressing furnace to form an integral structure,
the corrugated web (2) comprises a corrugated section and a flat section.
2. A corrugated beam according to claim 1, characterised in that the filler wires (4) are styrofoam plate and carbon wires.
3. A design method of a corrugated section of a helicopter corrugated beam is characterized by comprising the following steps:
determining a beam height value L according to the overall arrangement of the helicopter;
calculating the height amplitude ratio and the wavelength amplitude ratio of the waveform beam according to the height value L;
determining the amplitude A and the wavelength lambda according to the height amplitude ratio and the wavelength amplitude ratio;
setting an initial value of a fillet radius R of the corrugated web plate as an amplitude A, establishing a wave beam structure solid model according to the initial values of a beam height value L, the amplitude A, a wavelength lambda and the fillet radius R, then determining the property of a material, and carrying out finite element simulation on the wave beam structure solid model by using the material property to obtain a load-time curve and an energy-time curve;
calculating specific energy absorption by using a specific energy absorption calculation formula according to the load-time curve and the energy-time curve;
according to a preset step length, carrying out iterative solution on the fillet radius R to obtain a solution R with the largest energy absorption value;
and determining the waveform beam structure according to the beam height value L, the amplitude A, the wavelength lambda and the maximum R value.
4. The method according to claim 1, wherein calculating the height amplitude ratio and the wavelength amplitude ratio of the corrugated beam according to the height value L specifically comprises:
simplifying the waveform of the waveform beam into a triangular wave;
and (3) obtaining a relation (1) by operation according to the inertia moment definition formula:
Figure FDA0002303061180000011
wherein f is1As a process function, δ is the thickness of the corrugated beam, a is the amplitude of the triangular wave, and λ is the wavelength of the triangular wave;
according to the formula (2),
L/ρ<20 (2),
to obtain formula (3):
FL2=f2(A,ω,δ)L2<400Ix(3)
wherein f is2(a, ω, δ) is the area of the triangular waveform, and is specifically formula (4):
Figure FDA0002303061180000021
obtaining a height amplitude ratio and wavelength amplitude ratio correlation according to the formulas (1) to (4):
Figure FDA0002303061180000022
wherein A is the wave amplitude, lambda is the wavelength, F is the crushing cross-sectional area, delta is the thickness of the corrugated beam,
Figure FDA0002303061180000023
the radius of the section of the corrugated beam, and L is the height value of the corrugated beam;
and taking the minimum value of the height amplitude ratio value range as the height amplitude ratio, and taking the maximum value of the wavelength amplitude ratio as the wavelength amplitude ratio.
5. The method according to claim 1, wherein determining the amplitude a and the wavelength λ from the height amplitude ratio and the wavelength amplitude ratio comprises:
calculating the amplitude A according to the height L and the height amplitude ratio;
and calculating the wavelength lambda according to the amplitude A and the wavelength amplitude ratio.
6. The method of claim 1, wherein building a physical model of the waved beam structure from initial values of the beam height L, the amplitude a, the wavelength λ, and the fillet radius R comprises:
and establishing a physical model of the wave-shaped beam structure by using three-dimensional engineering design software according to the initial values of the beam height value L, the wave amplitude A, the wavelength lambda and the fillet radius R.
7. The method of claim 1, wherein the predetermined step size is half the amplitude.
8. The method according to claim 1, wherein iteratively solving for the fillet radius R for an R solution that is the largest compared to the energy absorption value comprises:
and according to a preset step size, iterating to obtain a maximum R solution that the fillet radius R of the corrugated web meets R epsilon [ A0, 3A0 ].
CN201911229144.3A2019-12-042019-12-04Helicopter corrugated beam and design method of corrugated section of corrugated beamActiveCN111027245B (en)

Priority Applications (1)

Application NumberPriority DateFiling DateTitle
CN201911229144.3ACN111027245B (en)2019-12-042019-12-04Helicopter corrugated beam and design method of corrugated section of corrugated beam

Applications Claiming Priority (1)

Application NumberPriority DateFiling DateTitle
CN201911229144.3ACN111027245B (en)2019-12-042019-12-04Helicopter corrugated beam and design method of corrugated section of corrugated beam

Publications (2)

Publication NumberPublication Date
CN111027245Atrue CN111027245A (en)2020-04-17
CN111027245B CN111027245B (en)2022-09-30

Family

ID=70204226

Family Applications (1)

Application NumberTitlePriority DateFiling Date
CN201911229144.3AActiveCN111027245B (en)2019-12-042019-12-04Helicopter corrugated beam and design method of corrugated section of corrugated beam

Country Status (1)

CountryLink
CN (1)CN111027245B (en)

Cited By (1)

* Cited by examiner, † Cited by third party
Publication numberPriority datePublication dateAssigneeTitle
CN112027060A (en)*2020-09-032020-12-04中国商用飞机有限责任公司Energy-absorbing upright column for lower part of cargo compartment floor of airplane

Citations (11)

* Cited by examiner, † Cited by third party
Publication numberPriority datePublication dateAssigneeTitle
CN102180181A (en)*2011-03-302011-09-14中南大学Method for realizing collision threshold of special train collision energy-absorbing component
CN102556333A (en)*2012-03-092012-07-11北京航空航天大学Energy-absorbing scheme of corrugated beam structure at bottom of civil airplane body
CN103625555A (en)*2013-11-262014-03-12湖南大学High-strength steel automobile front carling energy absorbing structure based on embedded carbon fiber
CN203528805U (en)*2013-08-082014-04-09江西洪都航空工业集团有限责任公司Plane anti-collision energy-absorbing structure unit
JP2015066416A (en)*2013-09-282015-04-13孝典 福元Simple stretcher for emergency evacuation
US9222260B1 (en)*2009-04-102015-12-29Su HaoLightweight multi-layer arch-structured armor (LMAR)
CN206053160U (en)*2016-08-132017-03-29深圳雅致钢结构工程有限公司A kind of node structure of double-deck roof boarding cornice
CN108045547A (en)*2017-12-032018-05-18中国直升机设计研究所A kind of composite torsion-box formula anti-crash endergonic structure
CN109421915A (en)*2017-09-052019-03-05波音公司Energy absorption floor lower body
CN109455290A (en)*2018-10-252019-03-12中国民航大学A kind of cargo deck lower part endergonic structure unit for fitting pendant property for improving aircraft
CN209258409U (en)*2018-11-062019-08-16中国直升机设计研究所A kind of resistance to crash structure of helicopter

Patent Citations (11)

* Cited by examiner, † Cited by third party
Publication numberPriority datePublication dateAssigneeTitle
US9222260B1 (en)*2009-04-102015-12-29Su HaoLightweight multi-layer arch-structured armor (LMAR)
CN102180181A (en)*2011-03-302011-09-14中南大学Method for realizing collision threshold of special train collision energy-absorbing component
CN102556333A (en)*2012-03-092012-07-11北京航空航天大学Energy-absorbing scheme of corrugated beam structure at bottom of civil airplane body
CN203528805U (en)*2013-08-082014-04-09江西洪都航空工业集团有限责任公司Plane anti-collision energy-absorbing structure unit
JP2015066416A (en)*2013-09-282015-04-13孝典 福元Simple stretcher for emergency evacuation
CN103625555A (en)*2013-11-262014-03-12湖南大学High-strength steel automobile front carling energy absorbing structure based on embedded carbon fiber
CN206053160U (en)*2016-08-132017-03-29深圳雅致钢结构工程有限公司A kind of node structure of double-deck roof boarding cornice
CN109421915A (en)*2017-09-052019-03-05波音公司Energy absorption floor lower body
CN108045547A (en)*2017-12-032018-05-18中国直升机设计研究所A kind of composite torsion-box formula anti-crash endergonic structure
CN109455290A (en)*2018-10-252019-03-12中国民航大学A kind of cargo deck lower part endergonic structure unit for fitting pendant property for improving aircraft
CN209258409U (en)*2018-11-062019-08-16中国直升机设计研究所A kind of resistance to crash structure of helicopter

Non-Patent Citations (6)

* Cited by examiner, † Cited by third party
Title
FRIEDMANN: "A moderate deflection composite helicopter rotor blade model with an improved cross-sectional analysis", 《INTERNATIONAL JOURNAL OF SOLIDS AND STRUCTURES》*
丁晨等: "高速列车头车吸能排障器设计与仿真研究", 《铁道车辆》*
卢致龙等: "直升机复合材料波纹梁结构抗坠毁设计技术研究", 《直升机技术》*
甘水来等: "基于共同规范的散货船槽型横舱壁设计研究", 《船舶与海洋工程》*
程群峰等: "引发机制对复合材料波形梁吸能性能的影响及其破坏形貌分析", 《复合材料学报》*
莫易敏等: "不同截面形状薄壁梁的轴向吸能特性研究", 《机械设计与制造》*

Cited By (1)

* Cited by examiner, † Cited by third party
Publication numberPriority datePublication dateAssigneeTitle
CN112027060A (en)*2020-09-032020-12-04中国商用飞机有限责任公司Energy-absorbing upright column for lower part of cargo compartment floor of airplane

Also Published As

Publication numberPublication date
CN111027245B (en)2022-09-30

Similar Documents

PublicationPublication DateTitle
US20130209764A1 (en)Composite laminate with self-healing layer
CN111027245B (en)Helicopter corrugated beam and design method of corrugated section of corrugated beam
CN113343371B (en)Design method of foam-filled negative Poisson&#39;s ratio composite structure
CN103625555B (en)A kind of high strength steel Front longitudinal beam energy-adsorption structure for vehicle based on embedded carbon fiber
CN110374032A (en)A kind of anti-vehicle collision device of easy recovery-type and anti-vehicle hit bridge
US8348032B2 (en)Component for the absorption of energy on an impact
CN205292646U (en)Metal bonding honeycomb locomotive
CN205297208U (en)Metal bonding honeycomb door plant
CN202851267U (en)Shear web of composite vanes for wind driven generator
CN203626073U (en)Light anti-explosion board
Griffith et al.Large offshore rotor development: design and analysis of the Sandia 100-meter wind turbine blade
CN111791503A (en)Wind power generation blade web and manufacturing method thereof
CN115146375A (en) A kind of simulation analysis method of carbon fiber composite bumper beam structure
CN111347736B (en)Composite metal structure with interlayer core material and preparation method thereof
CN108045547B (en)Composite material box section type crash-resistant energy-absorbing structure
CN105205207A (en)Method for calculating double reinforced regular hexagon honeycomb axial compressive stress
CN211173797U (en)Safety door with heat insulation function
CN117416498A (en) A recoverable, impact-resistant skin structure
CN110744872A (en)Composite material honeycomb sandwich structure and foaming glue filling method used in same
CN207227999U (en)A kind of anticollision device, collision-prevention device for bridge on highway
CN205291766U (en)Metal bonding honeycomb skirtboard
CN221497993U (en)Train door leaf structure suitable for low temperature environment
CN222407500U (en)Composite board based on corrugated honeycomb structure
CN210827249U (en)Easily-recovered vehicle collision prevention device and vehicle collision prevention bridge
CN209258409U (en)A kind of resistance to crash structure of helicopter

Legal Events

DateCodeTitleDescription
PB01Publication
PB01Publication
SE01Entry into force of request for substantive examination
SE01Entry into force of request for substantive examination
GR01Patent grant
GR01Patent grant

[8]ページ先頭

©2009-2025 Movatter.jp