Movatterモバイル変換


[0]ホーム

URL:


CN111026816B - High-net-value customer group identification method and device based on knowledge graph and storage medium - Google Patents

High-net-value customer group identification method and device based on knowledge graph and storage medium
Download PDF

Info

Publication number
CN111026816B
CN111026816BCN201911247702.9ACN201911247702ACN111026816BCN 111026816 BCN111026816 BCN 111026816BCN 201911247702 ACN201911247702 ACN 201911247702ACN 111026816 BCN111026816 BCN 111026816B
Authority
CN
China
Prior art keywords
client
node
nodes
customer
social relationship
Prior art date
Legal status (The legal status is an assumption and is not a legal conclusion. Google has not performed a legal analysis and makes no representation as to the accuracy of the status listed.)
Active
Application number
CN201911247702.9A
Other languages
Chinese (zh)
Other versions
CN111026816A (en
Inventor
李琦
宋卫东
Current Assignee (The listed assignees may be inaccurate. Google has not performed a legal analysis and makes no representation or warranty as to the accuracy of the list.)
Chongqing Ruiyun Technology Co ltd
Original Assignee
Chongqing Ruiyun Technology Co ltd
Priority date (The priority date is an assumption and is not a legal conclusion. Google has not performed a legal analysis and makes no representation as to the accuracy of the date listed.)
Filing date
Publication date
Application filed by Chongqing Ruiyun Technology Co ltdfiledCriticalChongqing Ruiyun Technology Co ltd
Priority to CN201911247702.9ApriorityCriticalpatent/CN111026816B/en
Publication of CN111026816ApublicationCriticalpatent/CN111026816A/en
Application grantedgrantedCritical
Publication of CN111026816BpublicationCriticalpatent/CN111026816B/en
Activelegal-statusCriticalCurrent
Anticipated expirationlegal-statusCritical

Links

Images

Classifications

Landscapes

Abstract

A high-net-value customer group identification method, a device and a storage medium based on a knowledge graph comprise the following steps: constructing a client knowledge graph model, wherein the knowledge graph model comprises a plurality of nodes and node relations, and the nodes are divided into client nodes and non-client nodes; importing the client data in the MySQL structured database into a Neo4j graphic database; traversing neighbor client nodes of the initial client node in a breadth-first mode, and calculating the social relationship strength among the clients; sequentially traversing the client nodes with higher social relationship strength of the initial client node to obtain a set corresponding to each client node with higher social relationship strength; and combining the sets of all the client nodes to obtain the high-net-value client group in the graph. The invention provides a high-net-value customer group identification method, a high-net-value customer group identification device and a storage medium based on a knowledge graph.

Description

High-net-value customer group identification method and device based on knowledge graph and storage medium
Technical Field
The invention relates to the technical field of data processing, in particular to a knowledge graph-based high-net-value customer group identification method and device and a storage medium.
Background
High-net-value customers, defined herein as repeat-buy groups, play a vital role in the survival, continued operations, market growth, and maintenance of existing customers of property companies. Research shows that the company can create 100% profit only by maintaining 5% of old customers, and the more times of repurchase, the higher the brand recognition degree and the higher the possibility of repurchase. Accurate determination of high-net-value customers plays a critical role in the accurate marketing of subsequent customer groups of this type.
Due to the problems of data statistics simplification (single customer identification code) and regional limited purchasing (purchasing a house by borrowing other identification cards), only relevant query can be performed through customer information, statistics of the relevant relationship of a plurality of fields is difficult to realize in a relational database, the performance is low in the query with complex relationship, and the difficulty in identifying the high-net-value customer group is high.
Disclosure of Invention
The invention provides a high-net-value customer group identification method, a high-net-value customer group identification device and a storage medium based on a knowledge graph.
The invention adopts the following technical scheme:
the high-net-value customer group identification method based on the knowledge graph comprises the following steps:
constructing a client knowledge graph model, wherein the knowledge graph model comprises a plurality of nodes and node relations, each node has a unique name, the nodes are divided into client nodes and non-client nodes, edges exist between the client nodes and the non-client nodes, and the edges are node relations;
importing the client data in the MySQL structured database into a Neo4j graphic database;
randomly determining a client node as an initial client node in a graph, traversing neighbor client nodes of the initial client node in a breadth-first mode, and calculating the strength of social relationship among clients;
if the calculation result of the social relationship strength between the client and the initial client is more than 0.5, judging that the social relationship strength is stronger and considering the social relationship strength as a group, and if the calculation result of the social relationship strength between the client and the initial client is less than 0.5, judging that the social relationship strength is lower and excluding the current node group;
after the client node is added, judging whether the number of contracts is increased after the client node is added, calculating whether the strength of the social relationship among the clients is more than 0.5, and if so, adding the added client node into a set corresponding to the node;
sequentially traversing the client nodes with higher social relationship strength among the clients of the initial client node to obtain a set corresponding to the client node with higher social relationship strength among the clients;
and combining the sets of all the client nodes to obtain the high-net-value client group in the graph.
Further, the customer node is identification information of a customer, the non-customer node is one of a mobile phone number, a bank card, a contract and a home address, the node relationship of the contract includes but is not limited to contract number, contract time, contract building and contract amount, and the node relationship of the identification card includes but is not limited to name and home address.
Further, the edges also represent incidence relations and ternary relations between the client nodes and the non-client nodes.
Further, the ternary relationship is a set consisting of a starting node, a tail node and a relationship edge pointing to the tail node from the starting node, and the ternary relationship comprises an identity card, a used telephone, a mobile phone number, a contract, a used bank card, a bank card number, an identity card, a contract, an identity card, a residence address and a home address.
Further, the importing the customer data in the MySQL structured database into the Neo4j graph database includes: and standardizing the writing method of the home address, and writing the ternary relationship into a knowledge graph model by using python.
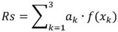
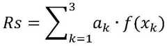
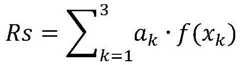
Further, the calculation formula for calculating the social relationship strength between the clients is as follows:
Figure BDA0002308150610000021
wherein Rs is the intensity of social relationship among clients, k is the number of independent variables, ak Is the weight of the kth argument; f (x)k ) Is xk The result of the normalization of (1) is [0 ] in]In between.
Furthermore, in the calculation of the strength of the social relationship among the clients, the number of independent variables is three, wherein x is1 Is the number of paths, x, between two client nodes2 Whether the node relationships of the contracted building groups for two customer nodes are the same, x3 The node relation of the two client nodes is the time interval of contract signing time; a is1 Is x1 Is weighted 3/5, a2 And a3 Are respectively x2 And x3 1/5 for each weight; f (x)k ) The calculation formula of (2) is as follows:
Figure BDA0002308150610000022
an apparatus comprising a processor, a memory, and a communication bus; the communication bus is used for realizing connection communication between the processor and the memory; the processor is configured to execute one or more programs stored in the memory to perform the steps of the method for knowledgegraph-based high-net customer base identification of any of claims 1 to 7.
A storage medium storing one or more programs, the one or more programs being executable by one or more processors to perform the steps of the method for knowledgegraph-based high net customer base identification of any of claims 1-7.
The beneficial effects of the invention are as follows: the invention establishes the knowledge graph according to the relevant information of the customer subscription class, calculates the social relationship strength among the customers according to the access degree, the subscription time and whether the same floor is purchased or not of the neighbor nodes of the customers in the knowledge graph, and judges whether the number of contracts is increased after the customer nodes are added on the basis of meeting the relationship strength so as to determine the high-net-value customer group.
Drawings
Fig. 1 is a flowchart illustrating a method for identifying a high-net-value customer group based on a knowledge graph according to an embodiment of the present invention.
Fig. 2 is an undirected graph of an example in a first embodiment of the present invention.
Fig. 3 is a schematic structural diagram of a device according to a second embodiment of the present invention.
In the figure, aprocessor 21, amemory 22, acommunication bus 23.
Detailed Description
The present invention will be described in further detail with reference to the accompanying drawings.
High-net-value customers, defined as the repurchase population in a real estate company.
Example one
As shown in fig. 1, the present invention provides a method for identifying a high-net-value customer group based on a knowledge-graph, comprising:
s1, constructing a customer knowledge graph model, wherein the knowledge graph model comprises a plurality of nodes and node relations, each node has a unique name, the nodes are divided into customer nodes and non-customer nodes, and edges exist between the customer nodes and the non-customer nodes and are in the node relations.
The client node is the identity identification information of the client, and the non-client node is one of a mobile phone number, a bank card, a contract and a home address; in the node relationship, the node relationship of the contract includes but is not limited to contract number, contract time, contract building and contract amount, and the node relationship of the identity card includes but is not limited to name and home address.
The edges also represent an associative relationship, a ternary relationship (h, r, t) between the customer node and the non-customer nodes. In the ternary relationship (h, r, t), h represents the start node, t represents the end node, and r is the relationship edge pointing from h to t. The three-dimensional relationships involved are: (identification card, use of phone, mobile phone number), (contract, use of bank card, bank card number), (identification card, contract), (identification card, residence, home address).
And S2, importing the client data in the MySQL structured database into a Neo4j graphic database. The data processing is mainly related to clearing of vacant data, writing of the home address is standardized, and the ternary relationship is written into the knowledge graph model by means of python according to the relationship among the nodes in S1.
S3, randomly determining a client node as an initial client node in a graph, traversing the neighbor client nodes of the initial client node in a breadth-first mode, and calculating the social relationship strength among clients.
The calculation formula for calculating the social relationship strength among the clients is as follows:
Figure BDA0002308150610000031
wherein Rs is the strength of social relationship between clients, and k is selfNumber of variables, ak Is the weight of the kth argument; f (x)k ) Is xk The result of the normalization of (1) is [0,1 ]]In the meantime.
In the above formula, the number of independent variables is three, wherein, x1 Is the number of paths, x, between two client nodes2 Whether the node relationships of the contracted building groups for two customer nodes are the same, x3 The node relationship for the two client nodes is the time interval of contract signing time.
In the above formula, f (x)k ) The variable normalization function relates to normalization of three variables, namely the number of associated paths, signing time interval and whether signing is carried out on the same building. The signing time interval and the number of the associated paths belong to continuous variables, whether the signing on the same floor belongs to classification variables or not, and the two types of variables are classified and processed. a is1 The weight corresponding to the path number between the client nodes plays an important role in the relation measurement as
Figure BDA0002308150610000041
a2 And a3 Corresponding weight is as follows
Figure BDA0002308150610000042
The formula for f (xk) is such that when k ∈ (1, 2), x is 4 and 1 at maximum, respectively, and k is 3, x is a time interval variable, the minimum is 0, and the maximum is determined by the time point of the repurchase. Data statistics show that the repeated purchasing client population basically performs repeated purchasing within three years, and three years are considered as effective time intervals. :
Figure BDA0002308150610000043
as shown in fig. 2, for example, a represents a customer node, M represents a telephone node, C represents a bank card node, D represents a contract node, and F represents a home address. Wherein, a1 represents the initial client node, and it can be seen that the neighboring client nodes associated with it have a2 and A3, where a2 and a1 share the mobile phone number and the home address information, and A3 and a1 have the same subscription information.
Through the graph statistics A1, the relationship attributes of the client and the neighbor clients are calculated by using the Neo4j query language Cypher according to the attributes of the buildings and the purchasing time of the contract nodes, and the table shows the statistical results.
Node pointA2A3
Number of relevant paths24
Whether to purchase the same building01
Purchase time interval (sky)1210
Whether the number of contracts increasesIs thatWhether or not
According to the steps { A2, A3} obtained by breadth-first traversal, the social relationship strength of each node is calculated in sequence, the social relationship strength of A2 is calculated:
Figure BDA0002308150610000044
social relationship strength calculation of A3:
Figure BDA0002308150610000045
And S4, if the calculation result of the social relationship strength between the client and the initial client is more than 0.5, judging that the social relationship strength is stronger and considering the client as a group, and if the calculation result of the social relationship strength between the client and the initial client is less than 0.5, judging that the social relationship strength is lower and excluding the current node group.
In the example of step S3, the social relationship strength of a2 satisfies the condition, and the social relationship strength is determined to be strong and regarded as one group, and the social relationship strength of A3 satisfies the condition, and the social relationship strength is determined to be strong and regarded as one group.
And S5, after the client node is added, judging whether the number of contracts is increased after the client node is added, calculating whether the social relationship strength among the clients is more than 0.5, and if so, adding the added client node into the set corresponding to the node.
In the example in step S3, the social relationship strength of a2 satisfies the condition, and the number of contracts after joining node a2 is increased, so a2 is added to the result set { a1, a2 }. The social relationship strength of a3 satisfies the condition, but the number of contracts does not increase, so the condition is not satisfied overall.
And S6, sequentially traversing the client nodes with higher social relationship strength among the clients of the initial client node to obtain a set corresponding to the client node with higher social relationship strength among the clients.
In the example in step S3, a2 and A3 both have no other neighbor client nodes, and when a2 and A3 both have other neighbor client nodes, a2 and the other neighbor client nodes are sequentially traversed to obtain a set corresponding to a2 with higher social relationship strength of a2, and A3 and the other neighbor client nodes are sequentially traversed to obtain a set corresponding to A3 with higher social relationship strength of A3.
And S7, merging the set of all the client nodes to obtain the high-net-value client group in the graph.
In the example in step S3, since neither A2 nor A3 has any other neighbor client nodes, the high-net-value client cluster that has finally traversed the graph is { A1, A2 }.
In practical application, when both a2 and A3 have other neighbor client nodes, the same traversal continues for the neighbor nodes of a1, and finally the result sets of a graph are obtained through combination.
Example two
In this embodiment, on the basis of the first embodiment, an apparatus is provided, as shown in fig. 3, which is mainly used for implementing the steps of the method for identifying a high-net-value customer group based on a knowledge graph in the first embodiment, and the apparatus mainly includes aprocessor 21, amemory 22 and acommunication bus 23; thecommunication bus 23 is used for realizing connection communication between theprocessor 21 and thememory 22;processor 21 is operative to execute one or more programs stored inmemory 22 to implement the steps of the knowledge-graph based high net customer base identification method as in the previous embodiment. For details, please refer to the description in the first embodiment, which is not repeated herein.
In addition, the present embodiment also provides a storage medium, where the storage medium stores one or more programs, and the one or more programs are executable by one or more processors to implement the steps of the method for identifying a high-net-worth customer group based on a knowledge graph according to the first embodiment. For details, please refer to the description in the first embodiment, which is not repeated herein.
The beneficial effects of the invention are as follows: the invention establishes the knowledge graph according to the relevant information of the customer subscription class, calculates the social relationship strength among the customers according to the access degree, the subscription time and whether the same floor is purchased or not of the neighbor nodes of the customers in the knowledge graph, and judges whether the number of contracts is increased after the customer nodes are added on the basis of meeting the relationship strength so as to determine the high-net-value customer group.
It will be apparent to those skilled in the art that the modules or steps of the invention described above may be implemented in a general purpose computing device, they may be centralized on a single computing device or distributed across a network of computing devices, and optionally they may be implemented in program code executable by a computing device, such that they may be stored on a computer storage medium (ROM/RAM, magnetic disks, optical disks) and executed by a computing device, and in some cases, the steps shown or described may be performed in an order different than that described herein, or they may be separately fabricated into individual integrated circuit modules, or multiple ones of them may be fabricated into a single integrated circuit module. Thus, the present invention is not limited to any specific combination of hardware and software.
Finally, it should be noted that: the above examples are only intended to illustrate the technical solution of the present invention, but not to limit it; although the present invention has been described in detail with reference to the foregoing embodiments, it will be understood by those skilled in the art; the technical solutions described in the foregoing embodiments may still be modified, or some or all of the technical features may be equivalently replaced; these modifications and substitutions do not cause the essence of the corresponding technical solution to depart from the scope of the technical solution of the embodiments of the present invention, and are intended to be covered by the claims and the specification of the present invention.

Claims (7)

1. The high-net-value customer group identification method based on the knowledge graph is characterized by comprising the following steps of:
constructing a customer knowledge graph model, wherein the knowledge graph model comprises a plurality of nodes and node relations, each node has a unique name, the nodes are divided into customer nodes and non-customer nodes, edges exist between the customer nodes and the non-customer nodes, and the edges are node relations;
importing the client data in the MySQL structured database into a Neo4j graphic database;
randomly determining a client node as an initial client node in a graph, traversing neighbor client nodes of the initial client node in a breadth-first mode, and calculating the strength of social relationship among clients;
if the calculation result of the social relationship strength between the client and the initial client is more than 0.5, judging that the social relationship strength is stronger and considering the social relationship strength as a group, and if the calculation result of the social relationship strength between the client and the initial client is less than 0.5, judging that the social relationship strength is lower and excluding the current node group;
after the client node is added, judging whether the number of contracts is increased after the client node is added, calculating whether the strength of the social relationship among the clients is more than 0.5, and if so, adding the added client node into a set corresponding to the node;
summarizing the client nodes with higher social relationship strength of the initial client nodes, and sequentially traversing to obtain a set corresponding to the client nodes with higher social relationship strength among the clients;
merging the sets of all the client nodes to obtain a high-net-value client group in the graph;
the calculation formula for calculating the social relationship strength among the clients is as follows:
Figure FDA0003750864630000011
wherein Rs is the intensity of social relationship among clients, k is the number of independent variables, ak Is the weight of the kth argument; f (x)k ) Is xk The result of the normalization of (1) is [0 ] in]In the middle of;
in the calculation of the social relationship strength among the clients, the number of independent variables is three, wherein x is1 Is the number of paths, x, between two client nodes2 Whether the node relationships of the contracted building groups for two customer nodes are the same, x3 The node relation of the two client nodes is the time interval of contract signing time; a is1 Is x1 Is weighted 3/5, a2 And a3 Are respectively x2 And x3 1/5 for each weight; f (x)k ) The calculation formula of (2) is as follows:
Figure FDA0003750864630000021
wherein x is a time interval variable when k ∈ (1, 2), xmax Is the maximum value of the time interval variable and is set as 4, xmin Setting the minimum value of the time interval variable as 1; when k is 3, x is a time interval variable, xmax Is the maximum value of the time interval variable, and xmax Determination by Point of time of repurchase, xmin The minimum value of the time interval variable is set as 0.
2. The method as claimed in claim 1, wherein the customer node is identification information of a customer, the non-customer node is one of a mobile phone number, a bank card, a contract, and a home address, the node relationship of the contract includes but is not limited to contract number, contract time, contract building, and contract amount, and the node relationship of the identification information includes but is not limited to name and home address.
3. The method of claim 2, wherein the edges further represent associations, triplets, between customer nodes and non-customer nodes.
4. The method of claim 3, wherein the three relationships are a set of a start node, a tail node, and a relationship edge from the start node to the tail node, and the three relationships include an identity card, a phone number, a mobile phone number, a contract, a bank card number, an identity card, a contract, an identity card, a residence, and a home address.
5. The method for identifying a high-net-value customer base based on knowledge-graph according to claim 4, wherein the importing customer data in MySQL structured database into Neo4j graphic database comprises: the writing method of the home address is standardized, and the ternary relationship is written into the knowledge graph model by utilizing python.
6. A high-net-value customer base identification device based on knowledge-graph, the device comprises a processor, a memory and a communication bus; the communication bus is used for realizing connection communication between the processor and the memory; the processor is configured to execute one or more programs stored in the memory to perform the steps of the method for knowledgegraph-based high-net customer base identification of any of claims 1 to 5.
7. A storage medium storing one or more programs executable by one or more processors to perform the steps of the method for knowledgegraph-based high net customer base identification of any of claims 1-5.
CN201911247702.9A2019-12-092019-12-09High-net-value customer group identification method and device based on knowledge graph and storage mediumActiveCN111026816B (en)

Priority Applications (1)

Application NumberPriority DateFiling DateTitle
CN201911247702.9ACN111026816B (en)2019-12-092019-12-09High-net-value customer group identification method and device based on knowledge graph and storage medium

Applications Claiming Priority (1)

Application NumberPriority DateFiling DateTitle
CN201911247702.9ACN111026816B (en)2019-12-092019-12-09High-net-value customer group identification method and device based on knowledge graph and storage medium

Publications (2)

Publication NumberPublication Date
CN111026816A CN111026816A (en)2020-04-17
CN111026816Btrue CN111026816B (en)2022-09-02

Family

ID=70204797

Family Applications (1)

Application NumberTitlePriority DateFiling Date
CN201911247702.9AActiveCN111026816B (en)2019-12-092019-12-09High-net-value customer group identification method and device based on knowledge graph and storage medium

Country Status (1)

CountryLink
CN (1)CN111026816B (en)

Families Citing this family (2)

* Cited by examiner, † Cited by third party
Publication numberPriority datePublication dateAssigneeTitle
CN112015909B (en)*2020-08-192024-04-30普洛斯科技(重庆)有限公司Knowledge graph construction method and device, electronic equipment and storage medium
CN114240685B (en)*2021-12-072025-09-26中信银行股份有限公司 A method and system for processing high-net-worth customer information based on relationship network

Citations (10)

* Cited by examiner, † Cited by third party
Publication numberPriority datePublication dateAssigneeTitle
CN109087140A (en)*2018-08-072018-12-25广州航海学院A kind of closed loop target client's recognition methods based on spark big data
CN109165239A (en)*2018-07-062019-01-08重庆邮电大学Modeling method is propagated based on the D2D information of user property and contents attribute
CN109766445A (en)*2018-12-132019-05-17平安科技(深圳)有限公司A kind of knowledge mapping construction method and data processing equipment
CN110110155A (en)*2019-04-032019-08-09中国人民解放军战略支援部队信息工程大学 Method and device for acquiring attributes of character knowledge graph based on meta-social relationship circle
CN110322318A (en)*2019-06-182019-10-11中国平安财产保险股份有限公司A kind of customer grouping method, apparatus and computer storage medium
CN110378002A (en)*2019-07-112019-10-25华中农业大学Social relationships modeling method based on motion track
CN110390039A (en)*2019-07-252019-10-29广州汇智通信技术有限公司Social networks analysis method, device and the equipment of knowledge based map
CN110489561A (en)*2019-07-122019-11-22平安科技(深圳)有限公司Knowledge mapping construction method, device, computer equipment and storage medium
CN110502670A (en)*2019-08-292019-11-26南京智慧光信息科技研究院有限公司Network social intercourse relationship knowledge mapping generation method and system based on artificial intelligence
CN111401951A (en)*2020-03-132020-07-10重庆锐云科技有限公司Virtual client construction method for user information transparentization under secret storage

Family Cites Families (1)

* Cited by examiner, † Cited by third party
Publication numberPriority datePublication dateAssigneeTitle
US11010179B2 (en)*2018-04-202021-05-18Facebook, Inc.Aggregating semantic information for improved understanding of users

Patent Citations (10)

* Cited by examiner, † Cited by third party
Publication numberPriority datePublication dateAssigneeTitle
CN109165239A (en)*2018-07-062019-01-08重庆邮电大学Modeling method is propagated based on the D2D information of user property and contents attribute
CN109087140A (en)*2018-08-072018-12-25广州航海学院A kind of closed loop target client's recognition methods based on spark big data
CN109766445A (en)*2018-12-132019-05-17平安科技(深圳)有限公司A kind of knowledge mapping construction method and data processing equipment
CN110110155A (en)*2019-04-032019-08-09中国人民解放军战略支援部队信息工程大学 Method and device for acquiring attributes of character knowledge graph based on meta-social relationship circle
CN110322318A (en)*2019-06-182019-10-11中国平安财产保险股份有限公司A kind of customer grouping method, apparatus and computer storage medium
CN110378002A (en)*2019-07-112019-10-25华中农业大学Social relationships modeling method based on motion track
CN110489561A (en)*2019-07-122019-11-22平安科技(深圳)有限公司Knowledge mapping construction method, device, computer equipment and storage medium
CN110390039A (en)*2019-07-252019-10-29广州汇智通信技术有限公司Social networks analysis method, device and the equipment of knowledge based map
CN110502670A (en)*2019-08-292019-11-26南京智慧光信息科技研究院有限公司Network social intercourse relationship knowledge mapping generation method and system based on artificial intelligence
CN111401951A (en)*2020-03-132020-07-10重庆锐云科技有限公司Virtual client construction method for user information transparentization under secret storage

Non-Patent Citations (1)

* Cited by examiner, † Cited by third party
Title
基于组合赋权-模糊评价法的商业银行高净值客户价值评价研究;周毓萍等;《金融理论与实践》;20170110(第01期);66-70*

Also Published As

Publication numberPublication date
CN111026816A (en)2020-04-17

Similar Documents

PublicationPublication DateTitle
Feng et al.Joint service pricing and cooperative relay communication for federated learning
US8712952B2 (en)Method and system for selecting a target with respect to a behavior in a population of communicating entities
CN112288347A (en)Method, device, server and storage medium for determining route of cold chain distribution
CN112200644B (en)Method and device for identifying fraudulent user, computer equipment and storage medium
CN102668457A (en) Systems and methods for social graph data analysis to determine connectivity within communities
CN110166344B (en)Identity identification method, device and related equipment
CN111026816B (en)High-net-value customer group identification method and device based on knowledge graph and storage medium
CN110210884A (en)Determine the method, apparatus, computer equipment and storage medium of user characteristic data
CN111259931B (en)User grouping and activity determining method and system
CN110532266A (en)A kind of method and apparatus of data processing
CN110209729B (en)Method and device for identifying data transfer object
CN112163096A (en)Malicious group determination method and device, electronic equipment and storage medium
CN112330373B (en) User behavior analysis method, device and computer-readable storage medium
Niazy et al.Solving capacitated vehicle routing problem using chicken swarm optimization with genetic algorithm
CN111008871A (en)Real estate repurchase customer follow-up quantity calculation method, device and storage medium
CN114390550B (en)Network type identification method, related device, equipment and storage medium
CN107507020B (en) A method to maximize the competitive advantage of network communication influence
CN109670873A (en)Real estate opens up objective method, apparatus and server
CN113743838A (en)Target user identification method and device, computer equipment and storage medium
CN107528969A (en)Management method, managing device and the terminal device of telephone call time
CN113313505A (en)Abnormity positioning method and device and computing equipment
CN107402984B (en)A kind of classification method and device based on theme
CN109740069A (en) Method and device for identifying intimate relationship between users
CN109460490B (en)Method, device, equipment and storage medium for determining center vertex in social network
CN116528242A (en) Fraud user identification method, device, electronic equipment and storage medium

Legal Events

DateCodeTitleDescription
PB01Publication
PB01Publication
SE01Entry into force of request for substantive examination
SE01Entry into force of request for substantive examination
GR01Patent grant
GR01Patent grant

[8]ページ先頭

©2009-2025 Movatter.jp