Movatterモバイル変換


[0]ホーム

URL:


CN111010434A - An optimized task offloading method based on network delay and resource management - Google Patents

An optimized task offloading method based on network delay and resource management
Download PDF

Info

Publication number
CN111010434A
CN111010434ACN201911264618.8ACN201911264618ACN111010434ACN 111010434 ACN111010434 ACN 111010434ACN 201911264618 ACN201911264618 ACN 201911264618ACN 111010434 ACN111010434 ACN 111010434A
Authority
CN
China
Prior art keywords
mub
task
fog
resources
total
Prior art date
Legal status (The legal status is an assumption and is not a legal conclusion. Google has not performed a legal analysis and makes no representation as to the accuracy of the status listed.)
Granted
Application number
CN201911264618.8A
Other languages
Chinese (zh)
Other versions
CN111010434B (en
Inventor
刘通
邓荣
刘宇
唐林
江希
Current Assignee (The listed assignees may be inaccurate. Google has not performed a legal analysis and makes no representation or warranty as to the accuracy of the list.)
Chongqing Vocational Institute of Engineering
Original Assignee
Chongqing Vocational Institute of Engineering
Priority date (The priority date is an assumption and is not a legal conclusion. Google has not performed a legal analysis and makes no representation as to the accuracy of the date listed.)
Filing date
Publication date
Application filed by Chongqing Vocational Institute of EngineeringfiledCriticalChongqing Vocational Institute of Engineering
Priority to CN201911264618.8ApriorityCriticalpatent/CN111010434B/en
Publication of CN111010434ApublicationCriticalpatent/CN111010434A/en
Application grantedgrantedCritical
Publication of CN111010434BpublicationCriticalpatent/CN111010434B/en
Expired - Fee Relatedlegal-statusCriticalCurrent
Anticipated expirationlegal-statusCritical

Links

Images

Classifications

Landscapes

Abstract

Translated fromChinese

本发明公开了一种基于网络时延和资源管理的优化任务卸载方法,在融合区块链和雾计算系统中基于节点剩余资源和网络时延对优化卸载PoW难题进行了研究。在由基站雾节点、固定位置雾节点及移动雾节点共同构成的网络场景中分析了将PoW难题卸载至各种类型的雾节点所需要的总时长。此后基于网络节点剩余的计算资源、存储资源、功率资源和节点间的社交关系对MUB的支出进行了分析。并基于节点剩余资源和网络时延提出了优化任务卸载方案,并以最大化MUB收益为目标构建了数学优化模型,使用SA算法和博弈理论对优化模型进行了求解。最后,通过模拟仿真分析证明上述方案的优越性。未来的工作中将考虑在系统内引入人工智能的智能任务卸载方式。

Figure 201911264618

The invention discloses an optimized task offloading method based on network delay and resource management, and studies the problem of optimizing offloading PoW based on node remaining resources and network delay in a fusion blockchain and fog computing system. The total time required to offload the PoW problem to various types of fog nodes is analyzed in a network scenario composed of base station fog nodes, fixed-position fog nodes and mobile fog nodes. Afterwards, the expenditure of MUB is analyzed based on the remaining computing resources, storage resources, power resources and social relations among nodes of the network. Based on the remaining resources of nodes and network delay, an optimization task offloading scheme is proposed, and a mathematical optimization model is constructed with the goal of maximizing the MUB revenue, and the optimization model is solved using SA algorithm and game theory. Finally, the superiority of the above scheme is proved by simulation analysis. Future work will consider the introduction of artificial intelligence into the system for intelligent task offloading.

Figure 201911264618

Description

Optimized task unloading method based on network delay and resource management
Technical Field
The invention belongs to the technical field of communication, relates to an optimized task unloading method based on network delay and resource management, and particularly relates to an optimized task unloading method based on network delay and resource management in a fusion block chain and fog computing system.
Background
The basic idea of the fog computing technology is to sink the network function provided by the cloud server to the edge of the network, and as the position of the fog server is deployed closer to a network user, compared with cloud computing, the fog computing can effectively reduce data transmission delay. In addition, the distributed processing mode adopted by the fog computing can effectively relieve the problem of network congestion caused by the fact that a large amount of data burst into the cloud. The fog calculation has received a lot of attention because its advantages can meet the future network application requirements.
Moreover, the continued increase in bitcoin value has prompted the industry and academia to conduct extensive research into blockchain technology. The blockchain is a distributed accounting technology based on the Internet, and is characterized by dispersion and transparency. The distributed account book can effectively solve the problems that transaction cost is high, data is easy to lose and the like in a centralized authentication mode, and can also effectively improve the trust degree among nodes in a virtual currency system. The advantages enable each device with the blockchain application program to participate in data recording and storage, and greatly improve flexibility and safety of accounting modes in electronic transactions.
In block chain technology, the equipment that excavates digital currency is referred to visually as a "miner" because it excavates digital currency in a manner that is relatively similar to the manner in which traditional miners excavate mineral deposits. Miners will gain considerable digital monetary revenue by solving the computationally intensive pow (pro of work) puzzle, i.e., the solution of the hash value. However, solving the PoW problem requires a large amount of computing resources, and thus it is common in real-world applications to use large-scale hardware facilities, such as CPUs and GPUs, for hash value solving. Due to the size constraint of the device, it is obviously impractical to deploy a large-scale computing unit on the mobile terminal, so that the application of the block chain technology on the mobile intelligent terminal faces great difficulty and challenge.
In order to solve the above problem, it is considered to introduce a fog calculation technique into the blockchain system, solve the PoW problem with the strong computational power provided by the fog calculation, and provide low-latency network performance guarantee to the mobile user mub (mobile user with blockchain) in which the blockchain application is installed. The authors in the prior art analyzed the feasibility of fusing blockchain and fog computing systems from a security, versatility perspective. By incorporating a block chain into a fog computing network, the system can provide reliable access and control, storage, and computation of the network over a large number of distributed edge nodes. In addition, a few scholars have conducted system revenue studies based on resource management in converged blockchain and fog computing network environments. Some prior arts propose a Stackelberg game model, which provides an effective management method for resource allocation in fog computing. A blockchain system model supporting fog calculation is introduced thereafter to help fog service providers gain more profits. There are also prior art authors that have employed the two-stage Stackelberg game to maximize the revenue for both the provider and the individual MUBs of the fog calculation. During the gaming process, the operator sets the price for the service in the first phase and the MUB purchases the service in the second phase by observing it. The author deduces the Nash equilibrium point of the game by adopting a reverse induction method, and finally realizes the maximization of the system income.
These excellent prior research results are dedicated to the research on the fusion of fog computing and block chain technology, and there are few documents analyzing the resource management and benefit problems of the system. However, these documents neglect to study the income of the MUB. Only the profits of the network operator have been analyzed in the prior art. Meanwhile, different network resource management schemes have a significant impact on network performance, which further determines the benefits of the MUB. Based on the above analysis, there is still a need for further research on the following problems in the fused blockchain and fog computing system:
1) the main purpose of running the blockchain application is to obtain the transaction record right and then obtain the digital currency reward by solving the PoW problem, and the MUB is the main body for executing the blockchain application, so the benefit analysis of the MUB should be intensively studied in the system fusing the blockchain and fog calculation.
2) A MUB is essentially a mobile communication device whose computing power, storage power, etc. device performance is determined by its hardware configuration, such as CPU frequency, storage space, battery capacity, etc. of the device, which determines the computing resources, storage resources, power resources, etc. that the device has. Different resource allocation and management schemes will certainly affect the yield of the MUB, so how the resource allocation affects the expected yield of the MUB is a problem worthy of further study.
3) When the MUB unloads the PoW problem to the fog node, the network time delays corresponding to different unloading schemes are different, so that the influence of the network time delay on the MUB benefit is researched. The network has a large number of MUBs to solve the PoW problem at the same time, and only the MUB which solves the PoW problem at the earliest can obtain the benefit, so the time consumed in communication and calculation has a decisive influence on the benefit of the MUB. Therefore, it is necessary to analyze how network delays of the converged blockchain and fog computing system affect the MUB benefit problem.
4) There may be multiple offloading methods for offloading PoW problems from the MUB to the fog node, and different offloading methods for tasks may have a significant impact on the benefits of the MUB. Therefore, how to perform the optimized offloading of tasks to enable the MUB to obtain the maximum monetary benefit is also a matter of research.
In a fusion system of block chain and fog calculation, whether the PoW problem can be solved successfully directly determines whether the MUB can obtain the final benefit, and the PoW problem is not practical to be solved directly on the mobile terminal due to the limitation of the performance of the equipment. The invention combines network resource management and focuses on researching the optimization task unloading strategy in the fusion block chain and fog computing system.
Disclosure of Invention
The invention aims to overcome the defects in the prior art and provides an optimized task unloading method based on network time delay and resource management. The problem of optimizing and unloading PoW is researched in a fusion block chain and fog computing system based on node residual resources and network delay. The total time required to offload PoW problems to various types of fog nodes is analyzed in a network scenario consisting of a base station fog node, a fixed location fog node, and a mobile fog node. The expenditure of the MUBs is thereafter analyzed based on the remaining computing resources, storage resources, power resources of the network nodes, and social relationships between the nodes. And an optimized task unloading scheme is provided based on node residual resources and network time delay, a mathematical optimization model is constructed with the maximized MUB benefit as a target, and the optimization model is solved by using an SA algorithm and a game theory. Finally, the superiority of the scheme is proved by analog simulation analysis. In future work, an intelligent task unloading mode of introducing artificial intelligence into the system is considered.
The specific technical scheme is as follows:
a task unloading optimization method based on network time delay and resource management is characterized in that a considered task unloading mode is that an original task is divided into a plurality of subtasks by an MUB according to a certain proportion and the subtasks are respectively unloaded to different types of fog nodes for processing. Let the MUB divide the task into three parts, offloaded to BN, FN and MN respectively. Let the total task amount of tasks be QnThe proportion of the workload unloaded to BN, FN and MN to the total workload is α and gamma, respectively, satisfying 0. ltoreq. α. ltoreq.1, 0. ltoreq. β. ltoreq.1, 0. ltoreq. gamma. ltoreq.1 and α + β + gamma. 1.
The method comprises the following steps:
step 1 revenue analysis
According to the Nakamoto definition, there is a linear relationship between the probability that the MUB can acquire virtual currency and the data volume of the PoW puzzle. The greater the number of tasks calculated by the MUB, the greater its probability of getting rewards and the higher the expected revenue. Let the task amount of a task be QnThe probability that the MUB can obtain the digital currency reward after the task is executed is pincomeThen the gains gained by the MUB can be expressed as:
Uexp=pincomeQn(1)
step 2 time delay analysis
If a fog servers are deployed at the base station, the computing power is fbnWill amount to α QnPoW ofWhen the problem is migrated to the base station foggy node, the required transmission time can be expressed as:
Figure BDA0002312504340000031
Figure BDA0002312504340000032
is the channel rate between the MUB to the base station. WiRepresenting the bandwidth of channel i, PmIs the transmit power of the MUB and,
Figure BDA0002312504340000033
for channel gain, ωiAnd IiRepresenting the noise and interference, respectively, of channel i.
The calculation time required for migrating the task to the BN to solve is as follows:
Figure BDA0002312504340000034
it is further obtained that the total time taken to offload a task to a BN is:
Figure BDA0002312504340000035
in addition, b calculation capacities are all f within the communication range of the MUBfnThe fixed position fog server of (2), the task amount is β QnThe transmission time required for the migration of the PoW problem to the FN can be expressed as:
Figure BDA0002312504340000036
Figure BDA0002312504340000037
representing the achievable channel rate between the MUB and the jth FN. WjIs the bandwidth, P, of channel jmIs the transmit power of the MUB and,
Figure BDA0002312504340000038
for channel gain, ωjAnd IjRepresenting the noise and interference, respectively, of channel j.
The computation required for the task to perform the computation at the FN is given by:
Figure BDA0002312504340000039
the total time required to unload the task to the FN is:
Figure BDA00023125043400000310
c pieces of c piecesmnThe fixed position fog server of (2), then the task amount is gamma QnThe transit time taken for the PoW problem to migrate to the MN can be expressed as:
Figure BDA0002312504340000041
Figure BDA0002312504340000042
representing the channel rate between the MUB to the k-th MN. WkFor the channel bandwidth, PmIs the transmit power of the MUB and,
Figure BDA0002312504340000043
for channel gain, ωkAnd IkRepresenting the noise and interference, respectively, of channel k.
The time required for the MN to process the data is:
Figure BDA0002312504340000044
the total time required to offload the task to the MN can be expressed as:
Figure BDA0002312504340000045
according to the above analysis, the total delay for successfully solving the PoW problem can be expressed as:
Ts=arg max(Tbn,Tfn,Tmn)+Tback(11)
in the formula, TbackRepresenting the time consumed by a network node to successfully resolve the PoW issue by transmitting the transaction record information back to the MUB via the backhaul link. Because the returned information after the PoW problem is successfully solved is a transaction record in the block chain system, compared with the task amount of the PoW problem, the data amount of the transaction record is very small, and the transaction record is set to 0 in many researches, the invention adopts the same analysis method, and finally obtains the expression of task execution delay as follows:
Ts=arg max(Tbn,Tfn,Tmn)(12)
step 3 stage of expenditure analysis
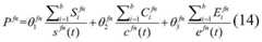
The residual resources and the total resources of the nodes are regarded as factors influencing the quotation of the fog nodes, and the quotation of the fog nodes of the three types is compared on the same standard, so that the quotation fairness among the nodes is improved, and the MUB can conveniently select the most economic task unloading mode. Unit quotes for three types of fog nodes are expressed as:
Figure BDA0002312504340000046
Figure BDA0002312504340000047
Figure BDA0002312504340000048
in the formula (I), the compound is shown in the specification,
Figure BDA0002312504340000049
and
Figure BDA00023125043400000410
respectively representing the total number of base station nodesStorage resources, total computational resources, and total power resources. sbn(t)、cbn(t) and ebnAnd (t) respectively represents the residual storage resources, computing resources and power resources at the moment t.
Figure BDA00023125043400000411
And
Figure BDA00023125043400000412
the weight values represent the influence of three different types of resources on the price respectively. The emphasis of different types of fog nodes on each resource is different, for example, MN pays more attention to power resource, so
Figure BDA00023125043400000413
Will be higher than
Figure BDA00023125043400000414
And
Figure BDA00023125043400000415
at the same time higher than
Figure BDA00023125043400000416
And
Figure BDA00023125043400000417
the symbol definitions in equations (14) and (15) are consistent with the above analysis and will not be described in detail.
Step 4 two-stage expenditure analysis
After the MUB successfully solves the POW problem, the event is broadcasted to other MUBs (called RMUBs in the invention, Recording Mobile User with Block), the RMUBs help the MUB to record the event and route the information to other RMUBs, and when more than 51% of the RMUBs record the message, the MUB can successfully acquire the digital currency reward. However, since RMUB itself is also attempting to solve the PoW problem, there is a competitive relationship between RMUB and the MUB, and RMUB is reluctant to assist the MUB in recording and routing the transaction information without any compensation. That is, the MUB that successfully acquired the transaction record would need to pay a fee to the RMUB for the purchase of the RMUB service in order to reach the RMUB as soon as possible, and the fee the MUB paid to the RMUB is its expenditure in the second phase.
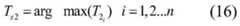
Since both the MUB and the RMUB wish to maximize their income, the MUB as a service purchaser sets a lower price at an initial stage, whereas the RMUB as a service provides a higher price, so that there is a difference between their prices, and both parties need to adjust their prices continuously by asking for a counter-offer to finally reach a transaction. Let the total time of MUB consumption in the second stage be Ts2
Figure BDA0002312504340000051
Representing the time taken by MUB and the ith RMUB to reach a transaction by bargaining, the number of MUB in the network is M, the composition set M is {1,2,3 … M }, the number of RMUB to finally reach a transaction with the MUB is N, the composition set N is {1,2,3 … N },
Figure BDA0002312504340000052
this is true. The time spent by the MUB in the second stage can be expressed as:
Figure BDA0002312504340000053
further, m and n satisfy the following relationship:
Figure BDA0002312504340000054
through Ts2After a time when the transaction is complete, let the MUB pay each RMUB for the duration of the transaction be Ci(t) i ═ 1,2.. n, then the total cost of the MUB in the second stage can be expressed as
Figure BDA0002312504340000055
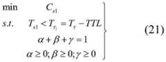
Further, the method also comprises thestep 5 of mathematical modeling
According to the definition of Nakamoto, the final benefit of the MUB is equal to the expected benefit minus the cost in the first and second phases, so the final benefit of the MUB can be expressed as:
Uu=Qnpincome-Cs1-Cs2(19)
accordingly, an optimization model that maximizes the benefits of the MUB can be expressed as:
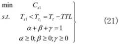
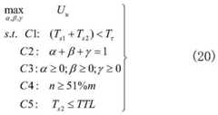
Figure BDA0002312504340000061
since the benefits of the MUB are closely related to the execution time of the task, the constraint C1 limits the total latency to TτWithin a range to ensure that the MUB addresses the speed of the PoW. C2 and C3 are the means for offloading the total task divided into sub-tasks to BN, FN and MN respectively to reduce the total time for executing the task. Equation C4 ensures that during the second phase, the MUB can agree with 51% of the RMUBs in the network to obtain virtual currency rewards. C5 requires the delay of the second stage alone To ensure that the total time consumed in the second stage cannot exceed the time-To-live ttl (time To live) of the message.
Considering that the process of mining the MUB is mainly divided into two stages, and the total expenditure in the optimization target also consists of the expenditures of the two stages respectively, in the process of relaxing the model, the original optimization model is decomposed into two sub-optimization models simultaneously, and the expenditures of the MUB in the two stages are optimized respectively. Secondly, under the condition of fixed task quantity, maximizing the benefit of the MUB is equivalent to minimizing the overhead of the MUB, so the optimization target of the original optimization model is further converted after the original problem is relaxed.
Further,step 5 finally obtains two sub-optimization models, which are respectively expressed as:
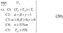
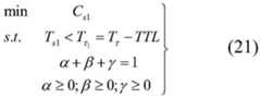
sub-optimization model 1:
Figure BDA0002312504340000062
sub-optimization model 2:
Figure BDA0002312504340000063
since thesub-optimization model 1 has a nonlinear relationship between the optimization objective and the constraint condition, it is solved by using a simulated annealing algorithm suitable for solving such problems. Forsub-optimization model 2, however, since there is a bargaining between the MUB and the RMUB, it is solved using the Rubinstein-Stahl game suitable for solving the bargaining problem.
Compared with the prior art, the invention has the beneficial effects that:
(1) the influence of the residual computing resources, storage resources and power resources of the nodes on the benefit of the MUB virtual currency is analyzed, and the fog nodes with sufficient resources provide lower service quotations to attract tasks of the MUB, so that the utilization rate of idle resources of the network is improved.
(2) The influence of the transmission delay and the calculation delay on the MUB benefit when the PoW problem is transferred to various types of fog nodes is analyzed, and a closed expression of the total delay of the PoW problem calculated by the fog nodes is obtained.
(3) Social relationship analysis among the nodes is introduced to improve the digital currency income of the MUB, and a quotation mechanism based on the social relationship analysis can effectively improve the trust degree among the nodes.
(4) Based on the analysis of node residual resources and network time delay, an optimization task unloading model is established with the aim of maximizing the virtual currency income of the MUB.
(5) The task unloading proportion is used as an optimization solution, the optimization model is solved by using a simulated annealing algorithm and a Rubinstein-stahl game theory, the performance of the optimization model is compared with a greedy algorithm and a random algorithm, and the superiority of the scheme provided by the invention is proved by a simulation result.
Drawings
FIG. 1 System model;
FIG. 2 is a diagram of a simulation environment;
FIG. 3 is a relationship between the number of nodes and the delay;
FIG. 4 is a graph comparing task volume to network latency;
FIG. 5 relationship of different resource types and pricing;
FIG. 6 is a comparison of the relationship between idle resource utilization and task volume;
FIG. 7 is a comparison of the overheads of migrating tasks to different execution agents;
FIG. 8 shows a comparison of profits for migrating tasks to different executing agents;
FIG. 9 MUB benefit comparison using different algorithms;
FIG. 10 data size versus revenue;
FIG. 11 message remaining time versus offer;
FIG. 12 relationship (MUB) between message remaining time and discount factor;
FIG. 13 is a Relationship (RMUB) between message remaining time and a discount factor;
FIG. 14 relationship between number of nodes and price.
Detailed Description
The technical solution of the present invention will be described in further detail with reference to specific embodiments.
1 System model
A distributed fog service structure of a fusion block chain and fog computing system is shown in fig. 1, and a fog server can be deployed on not only a base station but also access terminals such as intelligent vehicles. According to the service capability provided by the fog server and the mobility of the fog server, the fog nodes are divided into three categories: base station mist server BN (Base station-based fog Node), Fixed-position mist server FN (Fixed-location fog Node) and mobile mist server mn (moving fog Node). The base station fog server is used for deploying a plurality of fog servers with fog computing capability in a base station and providing services such as computing, storing and the like for network access users. Meanwhile, the fog server can be deployed on some devices with fixed geographic positions, such as rsu (road unit), notebook computer and the like, to form a fixed-position fog node. In addition, the fog server can also be deployed on mobile equipment such as intelligent vehicles, and the mobile equipment capable of providing the fog service is called a mobile fog node in the invention. The three types of fog servers form a ubiquitous fog structure, and provide fog services for users at the same time.
The MUB carries out the solution of the hash value by executing the block chain application program, massive calculation is needed in the process of solving the hash value, a large amount of calculation resources are consumed, and the calculation of the PoW problem is impractical to be directly carried out locally due to the limitation of the mobile equipment on hardware configuration. In the ubiquitous fog structure, the MUB can transfer the PoW problem to three types of fog nodes, the solution of the PoW problem is carried out by means of the strong computing power of the fog server, the data processing time is further saved, and the MUB is ensured to obtain benefits at the fastest speed.
The task unloading mode considered by the invention is that the MUB divides the original task into a plurality of subtasks according to a certain proportion, and the subtasks are respectively unloaded to different types of fog nodes for processing. Let the MUB divide the task into three parts, offloaded to BN, FN and MN respectively. Let the total task amount of tasks be QnThe proportion of the workload unloaded to BN, FN and MN to the total workload is α and gamma, respectively, satisfying 0. ltoreq. α. ltoreq.1, 0. ltoreq. β. ltoreq.1, 0. ltoreq. gamma. ltoreq.1 and α + β + gamma. 1.
2 optimized task unloading scheme based on resource management
Offloading of tasks to the fog node by the MUB takes up resources of the fog node, so the fog node charges it for services to be provided to the MUB, and the fog node offers two options to the MUB for pricing. The first is a total price quote mechanism, i.e. for a fixed data volume task, the MUB only has to pay the rated fee to the fog node, which ensures that the task can be executed. Another way of quoting is a unit quoting mechanism, i.e. the fog node charges a unit amount of data per unit time of execution. The MUB tends to accept the second offer scheme from the standpoint that it wishes to resolve PoW as quickly as possible. Because the node in fog is in the process of executing task for the MUB, it will face other new task with higher priority, such as dialing telephone number by mobile phone user, at this moment, the node in fog has to stop the service facing to MUB, and then service the local service with higher priority. If the MUB admits the first offer scenario, the extended task execution time caused by queuing will reduce the expected revenue of the MUB when this occurs. If the MUB adopts the second quotation scheme, when a service with higher priority is executed on the fog node, the MUB can select to migrate the rest tasks to other fog nodes, so that the task solving time is shortened. Based on the analysis, the method is based on a unit quotation mechanism, and analyzes the time required by the three types of fog nodes to execute tasks and the unit quotation to obtain the total expense of the MUB.
The earning of the MUB is divided into two phases. In the first stage, the MUB transfers the PoW problem to the fog node for solving, once the fog node successfully solves the problem, namely the transaction information is found in the network, the transaction information is immediately fed back to the MUB, and the MUB records the transaction record on a local accounting book. In the second phase, the MUB broadcasts the events that it has recorded the transaction to other MUBs in the network, and when 51% of the MUBs in the network confirm the transaction, the original MUB can receive the reward of digital money.
2.1 revenue analysis
The purpose of the MUB to solve the PoW problem is to obtain the record right of the transaction information, and the final purpose is to obtain the virtual currency reward, such as bitcoin and the like. According to the Nakamoto definition, there is a linear relationship between the probability that the MUB can acquire virtual currency and the data volume of the PoW puzzle. The greater the number of tasks calculated by the MUB, the greater its probability of getting rewards and the higher the expected revenue. Let the task amount of a task be QnThe probability that the MUB can obtain the digital currency reward after the task is executed is pincomeThen the gains gained by the MUB can be expressed as:
Uexp=pincomeQn(1)
2.2 time delay analysis
If a fog servers are deployed at the base station, the computing power is fbnWill amount to α QnThe PoW problem is migrated to the base station node, and the required transmission time can be expressed as:
Figure BDA0002312504340000081
Figure BDA0002312504340000082
is the channel rate between the MUB to the base station. WiRepresenting the bandwidth of channel i, PmIs the transmit power of the MUB and,
Figure BDA0002312504340000083
for channel gain, ωiAnd IiRepresenting the noise and interference, respectively, of channel i.
The calculation time required for migrating the task to the BN to solve is as follows:
Figure BDA0002312504340000084
it is further obtained that the total time taken to offload a task to a BN is:
Figure BDA0002312504340000091
in addition, b calculation capacities are all f within the communication range of the MUBfnThe fixed position fog server of (2), the task amount is β QnThe transmission time required for the migration of the PoW problem to the FN can be expressed as:
Figure BDA0002312504340000092
Figure BDA0002312504340000093
representing the achievable channel rate between the MUB and the jth FN. WjIs the bandwidth, P, of channel jmIs the transmit power of the MUB and,
Figure BDA0002312504340000094
for channel gain, ωjAnd IjRepresenting the noise and interference, respectively, of channel j.
The computation required for the task to perform the computation at the FN is given by:
Figure BDA0002312504340000095
the total time required to unload the task to the FN is:
Figure BDA0002312504340000096
c pieces of c piecesmnThe fixed position fog server of (2), then the task amount is gamma QnThe transit time taken for the PoW problem to migrate to the MN can be expressed as:
Figure BDA0002312504340000097
Figure BDA0002312504340000098
representing the channel rate between the MUB to the k-th MN. WkFor the channel bandwidth, PmIs the transmit power of the MUB and,
Figure BDA0002312504340000099
for channel gain, ωkAnd IkRepresenting the noise and interference, respectively, of channel k.
The time required for the MN to process the data is:
Figure BDA00023125043400000910
the total time required to offload the task to the MN can be expressed as:
Figure BDA00023125043400000911
according to the above analysis, the total delay for successfully solving the PoW problem can be expressed as:
Ts=arg max(Tbn,Tfn,Tmn)+Tback(11)
in the formula, TbackAfter solving the PoW problem successfully on behalf of a certain network node, the transaction is recorded through the return linkThe time it takes to record information back to the MUB. Because the returned information after the PoW problem is successfully solved is a transaction record in the block chain system, compared with the task amount of the PoW problem, the data amount of the transaction record is very small, and the transaction record is set to 0 in many researches, the invention adopts the same analysis method, and finally obtains the expression of task execution delay as follows:
Ts=arg max(Tbn,Tfn,Tmn) (12)
2.3 one-stage expenditure analysis
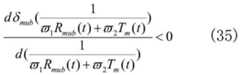
The introduction of the fog nodes greatly shortens the calculation time of various applications, and the terminal equipment with limited calculation capacity can transfer different types of service requests to the fog server, for example, an intelligent vehicle in an internet of vehicles can transfer a picture analysis task to the fog nodes, and a mobile phone user can send a high-definition video cache request to the fog nodes. In order to avoid the situation that the mobile terminal unloads excessive tasks to the fog node, under the precondition that the local service execution is not influenced, the fog node firstly considers whether the residual computing resources, storage resources and power resources of the current local server can meet the resource requirements of the unloading tasks. When the remaining resources are sufficient, the fog node may set a lower quote to attract the MUB to migrate more tasks to the local server, thereby increasing the utilization of the local idle resources. In addition, if the current remaining resources of the fog node are deficient, in order to ensure that the normal operation of the local task is not affected, the fog node may set the quotation to be higher to guide the MUB to offload the task to other fog nodes. Namely, the residual resources of the fog nodes and the quotation are in inverse proportion.
On the other hand, the BN server is provided by the operator, and in general, such a fog server is much more powerful than the FN and MN, even in the case where the remaining resources of the BN are larger than the maximum amount of resources of the FN and MN. If only the remaining resources are used as the pricing criteria of the fog server, it is obvious that unfair pricing is caused, and further the task unloading strategy of the MUB is affected.
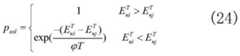
Based on the consideration, the invention takes the residual resources and the total resources of the nodes as factors influencing the quotation of the fog nodes, and aims to compare the quotation of the three types of fog nodes on the same standard, improve the fairness of the quotation among the nodes and facilitate the MUB to select the most economic task unloading mode. Unit quotes for three types of fog nodes are expressed as:
Figure BDA0002312504340000101
Figure BDA0002312504340000102
Figure BDA0002312504340000103
in the formula (I), the compound is shown in the specification,
Figure BDA0002312504340000104
and
Figure BDA0002312504340000105
respectively representing the total storage resource, the total calculation resource and the total power resource of the base station fog node. sbn(t)、cbn(t) and ebnAnd (t) respectively represents the residual storage resources, computing resources and power resources at the moment t.
Figure BDA0002312504340000106
And
Figure BDA0002312504340000107
the weight values represent the influence of three different types of resources on the price respectively. The emphasis of different types of fog nodes on each resource is different, for example, MN pays more attention to power resource, so
Figure BDA0002312504340000108
Will be higher than
Figure BDA0002312504340000109
And
Figure BDA00023125043400001010
at the same time higher than
Figure BDA00023125043400001011
And
Figure BDA00023125043400001012
the symbol definitions in equations (14) and (15) are consistent with the above analysis and will not be described in detail.
2.4 two-stage expenditure analysis
After the MUB successfully solves the POW problem, the event is broadcasted to other MUBs (called RMUBs in the invention, Recording Mobile User with Block), the RMUBs help the MUB to record the event and route the information to other RMUBs, and when more than 51% of the RMUBs record the message, the MUB can successfully acquire the digital currency reward. However, since RMUB itself is also attempting to solve the PoW problem, there is a competitive relationship between RMUB and the MUB, and RMUB is reluctant to assist the MUB in recording and routing the transaction information without any compensation. That is, the MUB that successfully acquired the transaction record would need to pay a fee to the RMUB for the purchase of the RMUB service in order to reach the RMUB as soon as possible, and the fee the MUB paid to the RMUB is its expenditure in the second phase.
Since both the MUB and the RMUB wish to maximize their income, the MUB as a service purchaser sets a lower price at an initial stage, whereas the RMUB as a service provides a higher price, so that there is a difference between their prices, and both parties need to adjust their prices continuously by asking for a counter-offer to finally reach a transaction. Let the total time of MUB consumption in the second stage be Ts2
T2iRepresenting the time taken by MUB and the ith RMUB to reach a transaction by bargaining, the number of MUB in the network is M, the composition set M is {1,2,3 … M }, the number of RMUB to finally reach a transaction with the MUB is N, the composition set N is {1,2,3 … N },
Figure BDA0002312504340000111
this is true. The time that the MUB spends in the second stageCan be expressed as:
Figure BDA0002312504340000112
further, m and n satisfy the following relationship:
Figure BDA0002312504340000113
through Ts2After a time when the transaction is complete, let the MUB pay each RMUB for the duration of the transaction be Ci(t) i ═ 1,2.. n, then the total cost of the MUB in the second stage can be expressed as
Figure BDA0002312504340000114
3 mathematical modeling
According to the definition of Nakamoto, the final benefit of the MUB is equal to the expected benefit minus the cost in the first and second phases, so the final benefit of the MUB can be expressed as:
Uu=Qnpincome-Cs1-Cs2(19)
accordingly, an optimization model that maximizes the benefits of the MUB can be expressed as:
Figure BDA0002312504340000115
since the benefits of the MUB are closely related to the execution time of the task, the constraint C1 limits the total latency to TτWithin a range to ensure that the MUB addresses the speed of the PoW. C2 and C3 are the means for offloading the total task divided into sub-tasks to BN, FN and MN respectively to reduce the total time for executing the task. Equation C4 ensures that during the second phase, the MUB can agree with 51% of the RMUBs in the network to obtain virtual currency rewards. C5 requires the delay of the second stage alone To ensure that the total time consumed in the second stage cannot exceed the time-To-live ttl (time To live) of the message.
The above optimization model is computationally intensive and the variables in the constraints are tightly coupled to each other. Solving this optimization model first requires relaxing it. Considering that the process of mining the MUB is mainly divided into two stages, and the total expenditure in the optimization target also consists of the expenditures of the two stages respectively, in the process of relaxing the model, the original optimization model is decomposed into two sub-optimization models simultaneously, and the expenditures of the MUB in the two stages are optimized respectively. Secondly, under the condition of fixed task quantity, maximizing the benefit of the MUB is equivalent to minimizing the overhead of the MUB, so the optimization target of the original optimization model is further converted after the original problem is relaxed. Finally, two sub-optimization models are obtained and are respectively expressed as:
sub-optimization model 1:
Figure BDA0002312504340000121
sub-optimization model 2:
Figure BDA0002312504340000122
since thesub-optimization model 1 has a nonlinear relationship between the optimization objective and the constraint condition, it is solved by using a simulated annealing algorithm suitable for solving such problems. Forsub-optimization model 2, however, since there is a bargaining between the MUB and the RMUB, it is solved using the Rubinstein-Stahl game suitable for solving the bargaining problem.
4 algorithm solution
4.1 simulated annealing Algorithm solution
The simulated annealing algorithm is a random optimization algorithm based on a Monte-Carlo iterative solution strategy, and the starting point of the simulated annealing algorithm is based on the similarity between the annealing process of solid matters and a general combinatorial optimization problem. The simulated annealing algorithm starts from a certain high initial temperature, and a global optimal solution of the objective function is searched in a solution space by combining with the probability jump characteristic along with the continuous decrease of the temperature parameter, namely, the global optimal solution can jump out probabilistically in a local optimal solution and finally tends to be global optimal.
For the optimization model, under the precondition that 0 is not less than α and not more than 1, 0 is not less than β and not more than 1, 0 is not less than gamma and not more than 1 and α + β + gamma is 1, different values of α and gamma form a solution space, when a simulated annealing algorithm is used for seeking an optimal solution, the highest temperature T is firstly setmaxAnd the temperature reduction speed v meets the condition that T (k +1) ═ v T (k), T (k) represents the temperature at the moment k, and when the temperature is reduced to the minimum temperature TminWhen so, the algorithm ends. In each cooling process, L solutions appear, and in order to obtain the optimal solution, the solution of the system in the current state i is assumed to be
Figure BDA0002312504340000123
The solution at the next state j is
Figure BDA0002312504340000124
According to the metropolis criterion, the following holds:
Figure BDA0002312504340000131
wherein p issolTo accept the probability that the current solution is the optimal solution, it can be expressed as:
Figure BDA0002312504340000132
in the formula
Figure BDA0002312504340000133
Is a Boltzmann constant, satisfies
Figure BDA0002312504340000134
The simulated annealing algorithm flow for solving the optimization model is described as follows:
Figure BDA0002312504340000135
set in SA algorithm from the highest temperature TmaxReduced to a minimum temperature TmaxNeeds to be cooled for N times, and L cooling units are generated at each timeThe solution space, so the complexity of this algorithm is O (N × L). In addition, if the convergence rate is set to a smaller value, for example, v is 0.9, the convergence rate of the algorithm can be increased, and thus, the algorithm has higher flexibility.
4.2 Rubnstein-Stahl game solving based on node residual resources
Forsub-optimization problem 2, since the MUB and the RMUB need to be bargained for a plurality of times, the solution ofsub-optimization problem 2 is performed by means of Rubinstein-Stahl game theory which is most suitable for solving the bargaining problem. The Rubinstein-Stahl bargaining model is a dynamic game model established under complete information. Without the intervention of a third party, the buyer and seller of the goods eventually form a consensus by bargaining off.
In the Rubinstein-Stahl game theory, buyers and sellers of items set an initial price for the item before the bargaining counter-offer begins. In this study, buyers and sellers in game theory represent MUBs and RMUBs, respectively, and the goods are recorded messages provided by RMUBs to MUBs and provide routing services.
When the remaining resources of the MUB are scarce, it is imperative that they agree with the RMUB as soon as possible to obtain the reward before the resources are exhausted, so the offer is set high at the time of the initial offer. Otherwise, if the remaining resources of the MUB are sufficient, the price quote is set lower. On the other hand, for RMUB, when its remaining resources are low, RMUB will set a high initial price to guarantee the resource demand of the local application. If the remaining resources of the RMUB are sufficient, the RMUB may provide a lower initial price in order to fully utilize these idle resources. From the above analysis, the price of both parties is inversely related to the amount of the respective remaining resources.
In addition, the price settings for both parties may change over time, subject to the remaining time of the message. Specifically, at the beginning of the bargaining, the MUB will set a lower price offer to maximize its own revenue due to the time being sufficient. As messages become less and less available, the MUB will want to reach an agreement as soon as possible, so the price it offers will gradually increase. For RMUB, it will set a higher price quote in the initial phase to gain more benefit. However, as the MUB increases its price, the RMUB also needs to make a concession based on the original price to complete the transaction, so the price of RMUB decreases gradually over time. But as the remaining duration of the message approaches, the magnitude of the price reduction becomes lower and lower, because in the transaction, the stronger the urgency is to be the MUB rather than the RMUB.
Based on the above analysis, the quotes of the MUB and RMUB for the resource are defined as:
Figure BDA0002312504340000141
Figure BDA0002312504340000142
in the above formula, Rmub(t) represents the offer of the MUB for the resource. smub(t),cmub(t) and emub(t) represents the remaining storage, computation and power resources of the MUB at time t, respectively. Sigma Smub,∑CmubSum EmubRespectively representing the total storage resources, total computational resources and total power resources of the MUB.
Figure BDA0002312504340000143
And
Figure BDA0002312504340000144
the weights of the three resources at the time of pricing are respectively. The definitions of the symbols in equation (27) are the same as those in equation (26), and are not described again.
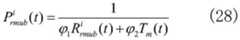
Through the foregoing analysis, the offer of a MUB is affected by both time and resources, so the initial offer of a MUB is defined as:
Figure BDA0002312504340000145
Tm(T) represents the remaining time of the message, satisfying Tm(t)≤TTL。
Figure BDA0002312504340000146
And
Figure BDA0002312504340000147
the weights of the resources and the time are respectively.
Further initial quotes for RMUB are:
Figure BDA0002312504340000151
Figure BDA0002312504340000152
and
Figure BDA0002312504340000153
the weight values of the resources and the time in the RMUB quoted price are respectively.
After the game starts, the MUB and RMUB points present their initial offers in succession. If it is
Figure BDA0002312504340000154
The transaction fails; if it is
Figure BDA0002312504340000155
Representing the space for further bargaining for both parties, the transaction is expected to be achieved.
The difference between the two quotes is expressed as:
Figure BDA0002312504340000156
this difference is called "cake" in the Rubinstein-Stahl game. During the subsequent bargaining process, the bids of both the MUB and the RMUB are made around the cake, and both hopefully share a higher proportion of the cake, defining zmAnd
Figure BDA0002312504340000157
representing the ratio of MUB and ith RMUB respectively occupied in sharing the cake, the following holds:
Figure BDA0002312504340000158
in addition, the gains obtained by the game by the MUB and the ith RMUB are respectively set as
Figure BDA0002312504340000159
And
Figure BDA00023125043400001510
then there are:
Figure BDA00023125043400001511
Figure BDA00023125043400001512
the process of the game is accompanied by consumption of time and resources, and the MUB and RMUB have different levels of tolerance to such consumption, which is commonly referred to as a discount factor in the Rubinstein-Stahl game. Let the discount factors of the two be deltamubAnd
Figure BDA00023125043400001513
then there are:
Figure BDA00023125043400001514
Figure BDA00023125043400001515
at the beginning of the bargaining, the MUB wishes to purchase the service of RMUB at the lowest price, so its initial price is low. However, if the MUB does not yield the cake, there will be no RMUB to assist it in recording information and forwarding information of how the PoW problem has been solved, which eventually results in no profit being obtained. As the remaining time of the message continues to decrease, the desire of the MUB to share the cake gets lower and lower. That is, as time goes by, its discount factor becomes smaller and smaller, the discount factor being a decreasing function with respect to time, satisfying:
Figure BDA00023125043400001516
and is
Figure BDA0002312504340000161
And
Figure BDA0002312504340000162
many functions can satisfy the above mathematical expressions, such as Sigmoid function and ReLU function, and the present invention uses Tanh function for describing the discount function of the MUB, which is expressed as:
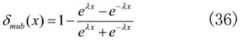
Figure BDA0002312504340000163
if the EMUB is not serving the MUB without any loss, it is less desirable to share the cake in the early stages of the game. However, as the remaining message time is shorter and shorter, the MUB is more and more urgent to reach the transaction as soon as possible, and the eager degree of cake by the EMUB which is dominant in the transaction is higher and higher, so that the discount factor is an increasing function of time and satisfies the following conditions:
Figure BDA0002312504340000164
and is
Figure BDA0002312504340000165
And
Figure BDA0002312504340000166
the function used to describe the above mathematical expression is represented as:
Figure BDA0002312504340000167
after the bargaining of multiple rounds, the MUB and the RMUB finally agree that a game equilibrium point appears, which is expressed as:
Figure BDA0002312504340000168
5 simulation results
Since the research is a document for researching the optimization task unloading mode by integrating the residual resources and the task execution time of the nodes in the block chain and fog computing system earlier, the related analysis methods cannot be inquired and compared with the research. In the simulation, only random algorithms and greedy algorithms often used to solve such problems are compared.
The parameters in the simulation are set as follows. The number a of the deployed fog servers in the base station fog node is 10. The number of FN and MN within the range of the MUB communication is also set to 10. For ease of analysis, all bandwidths are set to 10MHz, and all noise and interference are set to 1. The fading models of the channels are:
Figure BDA0002312504340000169
Figure BDA00023125043400001610
in the formula ofi~CN(0,1)i=1,2,3,
Figure BDA00023125043400001611
Is a mean value of mμVariance of
Figure BDA00023125043400001612
A circularly symmetric complex gaussian distribution. σ is the path loss factor, which was set to 3 in the simulation. d is the distance between the communication nodes, which is determined by the simulation environment diagram in fig. 2.
Fig. 2 shows the geographical location distribution of the MUBs, BN, FN and MN in the simulation. The base station is centered and has a coverage radius of 300 meters. The location of the MUBs randomly occurs within the coverage area of the base station, which is also 300 meters in communication range. The positions of 10 FNs are fixedly set within the communication range of the MUB, and the positions of 10 MNs are randomly generated by the system.
The total storage resources, total computational resources and total power resources of BN, FN and MN are shown in table 1. In order to reflect fairness among various resources, the weighted values are set to be approximately equal.
TABLE 1 Total and remaining resource amounts of various nodes and setting of their weights
Figure BDA00023125043400001613
Figure BDA0002312504340000171
The [ x, y ] in Table 1 represents a uniform distribution obeying x to y. In addition, we set the maximum temperature and the minimum temperature in the simulated annealing algorithm to 200 ° and 1 °, respectively, the annealing rate is 0.99, and the cycle number L is 10000.
The total resources, remaining resources and corresponding weight values of the MUBs and RMUB in the second stage of the simulation are set as shown in table 2. Also the number of EMUBs is set to 20,
Figure BDA0002312504340000172
the message lifetime TTL is 150ms, and the parameter λ in the discount function is 0.5.
TABLE 2 setting of total and remaining resource amounts of MUB and EMB and their weights
Figure BDA0002312504340000173
Fig. 3 analyzes the relationship between the number of fog nodes and the network delay. As is apparent from fig. 3, as the number of network nodes (including BN, FN and MN) increases, the network delay gradually decreases. Fig. 3 illustrates that offloading of pows by the MUBs onto multiple fog nodes may save task execution time for computation. If 10 mist servers are deployed in the network, the total network latency reaches 17ms, whereas if the number of mist servers in the network increases to 30, the network latency can decrease to 10 ms.
In addition, for the case of completely unloading the tasks to the BN, the FN and the MN and unloading the tasks according to the optimized proportion solved by the simulated annealing algorithm, network delay data corresponding to four modes are recorded in simulation, and an experimental result is shown in fig. 4. from fig. 4, it is obvious that the network delay for completely unloading the tasks to the BN is lower than the network delay for completely unloading the tasks to the FN and the MN, mainly because the computing capacity of the BN server is stronger than that of the FN and MN., but the network delay of the optimized unloading scheme provided by the invention is obviously lower than that for completely unloading the tasks to a certain type of fog nodes***The time delay consumed for offloading is 33ms, while for the same amount of tasks, offloading all tasks to BN, FN and MN, the corresponding network delays are 62ms, 68ms, 85ms respectively.
In the following simulation, MN is taken as an example, the size of the task is set to be 2GB, and under the condition that the weight value is fixed, the influence of different types of resources on the quoted price is analyzed. As can be seen first in fig. 5, an increase in the amount of remaining resources results in lower and lower prices for the nodes. This is mainly because when there are more resources left, the MN, in order to fully utilize the idle resources, setting the price quote lower, can direct the MUB to migrate more tasks to the MN. Furthermore, it can also be observed from fig. 5 that the power resources have the greatest impact on the MN's price quotes, mainly because MNs tend to be power-limited devices. For example, when the remaining power resource is only 10%, the price of the MN for the power resource is 9.3, while under the same remaining resource proportion condition, the price of the MN for the storage resource and the computing resource is only 2.4.
Fig. 6 analyzes the resource utilization rate of the fog node by taking the storage resource as an example, if it is assumed that the proportion of the total resource occupied by the local service of the current fog node is 20%. As can be seen from fig. 6, if the PoW task is delivered to the MUB for processing, since the task is not offloaded to the fog node, the resource utilization rate of the fog node remains unchanged. However, when the task is unloaded to the fog node for processing, the idle resource utilization rate of the fog system is continuously increased along with the continuous increase of the task amount. If the total task volume is 6GB, the resource utilization rate for offloading all tasks to MN is 0.25, and if the task volume is increased to 12GB, the value is increased to 0.29. It can also be seen from fig. 6 that the resource utilization is highest for offloading the tasks to the MN in their entirety, mainly because the hardware configuration of the MN is weaker than that of the FN and BN, and the amount of tasks of the same size will occupy a higher proportion on lower performing servers. The resource utilization rate when the SA algorithm is used is lower than the resource utilization rate when the tasks are all offloaded to the MN, the FN and the BN, and the main reason is that when the resource utilization rate is measured, the object oriented by the SA algorithm is a fog system formed by the MN, the FN and the BN together, that is, the SA algorithm aims at the resource utilization rate of the whole fog system, and the tasks are all offloaded to the BN, the FN and the MN corresponding to a single type of fog node.
In the analysis of fig. 4, it is seen that the optimization task offloading strategy provided by the present invention can effectively shorten the task execution time. Since the execution duration of the task is proportional to the overhead of the MUB, the same conclusion holds for the overhead of the MUB. As is apparent from fig. 7, the overhead of offloading tasks to scale according to the SA algorithm is minimal. For example, when the task amount is 5GB, the total overhead of offloading the tasks to the MN, FN, BN and using the SA algorithm is 107, 80, 68, 48, respectively.
The benefits corresponding to different migration patterns are compared in fig. 8. The scheme provided by the invention can effectively improve the benefit of the MUB. If the task amount is 5GB, the total profit of unloading the tasks to MN, FN, BN and using SA algorithm is 105, 127, 140, 161 respectively.
FIG. 9 compares the number of tasks with the benefits of MUB overhead when using the simulated annealing algorithm, the greedy algorithm, and the random unload algorithm, respectively. As can be seen from fig. 9, the cost of the MUB increases with the increase of the task amount, and the main reason is that the increase of the task amount occupies more resources of the fog node, the fog node charges more fees, and the cost of the MUB naturally rises. Meanwhile, due to the increase of the task amount, the transmission delay and the processing delay are increased together, so the expense of the MUB is increased. For example, when the task size is 4GB, the overhead of the MUB using the SA algorithm is 36, and when the task size increases to 7GB, the overhead increases to 73. Meanwhile, as can be seen from fig. 9, when the task amount is 5GB, the overhead of using SA is 50, which is lower than 62 when using GA, which is much lower than 104 of RA. The above data show that the performance of the SA algorithm is better than that of the GA, which is in turn better than that of the RA. The same conclusion can be drawn in fig. 10, mainly because the solution obtained by GA algorithm is only the local optimal solution, and the solution of RA algorithm is randomly generated, and its performance is not as good as that of SA algorithm.
It was noted in the previous analysis that if the remaining time of the message is longer, both the MUB and the RMUB would set the offer lower because they have sufficient time to bargain. The same conclusion is seen intuitively in fig. 11, where both the MUB and RMUB prices trend downward as the time remaining in the message, represented by the abscissa, increases. Among these, the tendency of EMUB to decline is steeper than that of the MUB, and the main reason for this is that EMUB dominates the transaction and wants to share more cakes.
FIGS. 12 and 13 are simulated functions of the discount factors for MUB and EMBB, respectively. As can be seen from fig. 12, the MUB wants to obtain all cakes in the initial stage of bargaining, but as the remaining time of the message gets smaller and smaller, the MUB will continue to earn for reaching consensus as soon as possible, which satisfies the requirements for the functional properties in equation (35). Fig. 13 is a simulation function of the discount factor of the RMUB, and shows characteristics that more accurately simulate the variation trend of the RMUB discount factor.
Finally, the performances of the Rubinstein-Stahl game and the epidemic algorithm are compared. As can be seen from fig. 14, the cost corresponding to the Rubinstein-Stahl game is lower than that of the epidemic algorithm, for example, when the number of RNs is 30, the cost of the epidemic algorithm is 55, and the cost of the game is only 35. This is mainly because in the epidemic algorithm, once the price quote of the MUB is higher than that quote of RMUB, the transaction is completed, and such a processing manner undoubtedly increases the expense of the MUB.
The above description is only a preferred embodiment of the present invention, and the scope of the present invention is not limited thereto, and any simple modifications or equivalent substitutions of the technical solutions that can be obviously obtained by those skilled in the art within the technical scope of the present invention are within the scope of the present invention.

Claims (3)

1. A method for optimizing task unloading based on network time delay and resource management is characterized by comprising the following steps:
step 1 revenue analysis
According to the definition of Nakamoto, a linear relation exists between the probability that the MUB can acquire the virtual currency and the data amount of the PoW problem; the more tasks the MUB calculates, the greater the probability that the MUB obtains the reward, and the higher the expected profit; let the task amount of a task be QnThe probability that the MUB can obtain the digital currency reward after the task is executed is pincomeThen the gains obtained by the MUB are expressed as:
Uexp=pincomeQn(1)
step 2 time delay analysis
If a fog servers are deployed at the base station, the computing power is fbnThe task amount is α QnThe PoW problem is migrated to the base station misty node, and the required transmission time is expressed as:
Figure FDA0002312504330000011
Figure FDA0002312504330000012
is the channel rate between the MUB to the base station; wiRepresenting the bandwidth of channel i, PmIs the transmit power of the MUB and,
Figure FDA0002312504330000013
for channel gain, ωiAnd IiRespectively generation by generationTable noise and interference for channel i;
the calculation time required for migrating the task to the BN to solve is as follows:
Figure FDA0002312504330000014
further the total time taken to offload a task to the BN is:
Figure FDA0002312504330000015
in addition, b calculation capacities are all f within the communication range of the MUBfnThe fixed position fog server of (2), the task amount is β QnThe transmission time required for migrating the PoW problem to FN is expressed as:
Figure FDA0002312504330000016
Figure FDA0002312504330000021
representing the channel-reaching rate between the MUB and the jth FN; wjIs the bandwidth, P, of channel jmIs the transmit power of the MUB and,
Figure FDA0002312504330000022
for channel gain, ωjAnd IjRepresenting the noise and interference of channel j, respectively;
the computation required for the task to perform the computation at the FN is given by:
Figure FDA0002312504330000023
the total time required to unload the task to the FN is:
Figure FDA0002312504330000024
c pieces of c piecesmnThe fixed position fog server of (2), then the task amount is gamma QnThe transit time taken for the PoW problem to migrate to the MN is expressed as:
Figure FDA0002312504330000025
Figure FDA0002312504330000026
representing the channel rate from the MUB to the kth MN; wkFor the channel bandwidth, PmIs the transmit power of the MUB and,
Figure FDA0002312504330000027
for channel gain, ωkAnd IkRepresenting the noise and interference of channel k, respectively;
the time required for the MN to process the data is:
Figure FDA0002312504330000028
the total time required to offload the task to the MN is then stated as:
Figure FDA0002312504330000029
according to the above analysis, the total delay for successfully solving the PoW problem is expressed as:
Ts=arg max(Tbn,Tfn,Tmn)+Tback(11)
in the formula, TbackRepresenting the time consumed by a certain network node for returning the transaction record information to the MUB through a return link after the PoW problem is successfully solved; since the returned information after the PoW problem is successfully solved is the transaction record in the block chain system, compared with the task amount of the PoW problem, the data amount of the transaction record is very small, and is set to 0 in many researches, and the returned information is adoptedWith the same analysis method, the expression of the task execution delay is finally obtained as follows:
Ts=arg max(Tbn,Tfn,Tmn) (12)
step 3 stage of expenditure analysis
The residual resources and the total resources of the nodes are taken as factors influencing the quotation of the fog nodes, and the purpose is to compare the quotation of the three types of fog nodes on the same standard, improve the fairness of quotation among the nodes and facilitate the MUB to select the most economical task unloading mode; unit quotes for three types of fog nodes are expressed as:
Figure FDA0002312504330000031
Figure FDA0002312504330000032
Figure FDA0002312504330000033
in the formula (I), the compound is shown in the specification,
Figure FDA0002312504330000034
and
Figure FDA0002312504330000035
respectively representing the total storage resource, the total calculation resource and the total power resource of the base station fog node; sbn(t)、cbn(t) and ebn(t) respectively representing the residual storage resources, computing resources and power resources at the moment t;
Figure FDA0002312504330000036
and
Figure FDA0002312504330000037
the weight values represent the influence of three different types of resources on the price respectively; different types ofThe emphasis of the misty nodes on each resource is different, for example, MN pays more attention to power resource, so
Figure FDA0002312504330000038
Will be higher than
Figure FDA0002312504330000039
And
Figure FDA00023125043300000310
at the same time higher than
Figure FDA00023125043300000311
And
Figure FDA00023125043300000312
the symbol definitions in the formulae (14) and (15) are in accordance with the above analysis;
step 4 two-stage expenditure analysis
Let the total time of MUB consumption in the second stage be Ts2
Figure FDA00023125043300000313
Representing the time taken by MUB and the ith RMUB to reach a transaction by bargaining, the number of MUB in the network is M, the composition set M is {1,2,3 … M }, the number of RMUB to finally reach a transaction with the MUB is N, the composition set N is {1,2,3 … N },
Figure FDA00023125043300000314
if true; the time spent by the MUB in the second stage is expressed as:
Figure FDA0002312504330000041
further, m and n satisfy the following relationship:
Figure FDA0002312504330000042
through Ts2After a time when the transaction is complete, let the MUB pay each RMUB for the duration of the transaction be Ci(t) i ═ 1,2.. n, then the total cost of the MUB in the second stage is expressed as
Figure FDA0002312504330000043
2. The method for optimizing task offloading based on network latency and resource management as recited in claim 1, further comprising step 5 of mathematically modeling
According to the definition of Nakamoto, the final benefit of the MUB is equal to the expected benefit minus the cost in the first and second phases, so the final benefit of the MUB is expressed as:
Uu=Qnpincome-Cs1-Cs2(19)
accordingly, the optimization model that maximizes the benefit of the MUB is expressed as:
Figure FDA0002312504330000044
constraint C1 limits the total delay to TτIn the range to ensure the speed at which the MUB resolves the PoW; c2 and C3 divide the total task into subtasks to be respectively unloaded to BN, FN and MN so as to achieve the purpose of reducing the total time for executing the tasks; the formula C4 ensures that during the second phase, the MUB can agree with 51% of the RMUB in the network to obtain virtual currency rewards; c5 separately requires the delay of the second stage, to ensure that the total time consumed in the second stage cannot exceed the time-to-live TTL of the message;
considering that the process of mining the MUB is mainly divided into two stages, and simultaneously, because the total expenditure in the optimization target also consists of the expenditure of the two stages respectively, in the process of relaxing the model, the original optimization model is decomposed into two sub-optimization models simultaneously, and the expenditure of the MUB in the two stages is optimized respectively; secondly, under the condition of fixed task quantity, maximizing the benefit of the MUB is equivalent to minimizing the overhead of the MUB, so the optimization target of the original optimization model is further converted after the original problem is relaxed.
3. The method for offloading optimization tasks based on network latency and resource management as recited in claim 2, wherein step 5 finally obtains two sub-optimization models, which are respectively expressed as:
sub-optimization model 1:
Figure FDA0002312504330000051
sub-optimization model 2:
Figure FDA0002312504330000052
because a nonlinear relation exists between the optimization target and the constraint condition of the sub-optimization model 1, the sub-optimization model is solved by using a simulated annealing algorithm suitable for solving the problem; for sub-optimization model 2, however, since there is a bargaining between the MUB and the RMUB, it is solved using the Rubinstein-Stahl game suitable for solving the bargaining problem.
CN201911264618.8A2019-12-112019-12-11 An optimized task offloading method based on network delay and resource managementExpired - Fee RelatedCN111010434B (en)

Priority Applications (1)

Application NumberPriority DateFiling DateTitle
CN201911264618.8ACN111010434B (en)2019-12-112019-12-11 An optimized task offloading method based on network delay and resource management

Applications Claiming Priority (1)

Application NumberPriority DateFiling DateTitle
CN201911264618.8ACN111010434B (en)2019-12-112019-12-11 An optimized task offloading method based on network delay and resource management

Publications (2)

Publication NumberPublication Date
CN111010434Atrue CN111010434A (en)2020-04-14
CN111010434B CN111010434B (en)2022-05-27

Family

ID=70114231

Family Applications (1)

Application NumberTitlePriority DateFiling Date
CN201911264618.8AExpired - Fee RelatedCN111010434B (en)2019-12-112019-12-11 An optimized task offloading method based on network delay and resource management

Country Status (1)

CountryLink
CN (1)CN111010434B (en)

Cited By (15)

* Cited by examiner, † Cited by third party
Publication numberPriority datePublication dateAssigneeTitle
CN111770073A (en)*2020-06-232020-10-13重庆邮电大学 A fog network offloading decision-making and resource allocation method based on blockchain technology
CN111770148A (en)*2020-06-222020-10-13重庆邮电大学 An optimization method of fog computing offloading model based on blockchain technology
CN111800495A (en)*2020-06-302020-10-20华北电力大学 A task offloading system and method in vehicle fog computing
CN111866181A (en)*2020-08-102020-10-30重庆邮电大学 A task offloading optimization method in fog network based on blockchain
CN111885657A (en)*2020-07-092020-11-03成都四相致新科技有限公司Base station communication quality selection and evaluation system and method
CN112491964A (en)*2020-11-032021-03-12中国人民解放军国防科技大学Mobile assisted edge calculation method, apparatus, medium, and device
CN112714416A (en)*2020-11-302021-04-27中南大学Trust-based task unloading method
CN112769641A (en)*2020-12-242021-05-07电子科技大学长三角研究院(衢州)Block chaining computing power optimization scheduling method for intelligent data processing
CN112839079A (en)*2020-12-302021-05-25华南理工大学 Method and device for offloading body area network tasks based on blockchain and software-defined networks
CN113347277A (en)*2021-07-152021-09-03湘潭大学Unloading distribution method based on task segmentation in edge calculation
CN113423091A (en)*2021-05-242021-09-21西安电子科技大学Multidimensional resource intelligent joint optimization method and system of vehicle-mounted computing power network
CN113435938A (en)*2021-07-062021-09-24牡丹江大学Distributed characteristic data selection method in electric power spot market
WO2021217401A1 (en)*2020-04-282021-11-04重庆邮电大学Traffic management method and management apparatus
CN114418620A (en)*2021-12-292022-04-29东南大学 A distributed cloud fog network resource pricing method for mobile blockchain system
CN115086202A (en)*2022-04-142022-09-20安世亚太科技股份有限公司Time delay analysis method and system based on network digital twin

Citations (10)

* Cited by examiner, † Cited by third party
Publication numberPriority datePublication dateAssigneeTitle
US20160381116A1 (en)*2014-03-102016-12-29Deutsche Telekom AgMethod and system to estimate user desired delay for resource allocation for mobile-cloud applications
WO2018111475A1 (en)*2016-12-122018-06-21Intel CorporationOffload computing protocol
CN109166036A (en)*2018-07-192019-01-08华北电力大学A kind of V2G energy mechanism of exchange based on block chain and contract theory
CN109460295A (en)*2018-10-192019-03-12中南大学A kind of edge calculations performance optimization method based on multi-user's competitive behavior model
CN109947574A (en)*2019-03-292019-06-28南京邮电大学 A vehicle big data computing offloading method based on fog network
CN109951873A (en)*2019-02-282019-06-28华北电力大学 A task offloading mechanism under information asymmetry and uncertainty in IoT fog computing
US20190245917A1 (en)*2018-02-052019-08-08Voxp Pte. Ltd.System, method and device for provision and management of web resource
CN110162417A (en)*2019-05-282019-08-23重庆邮电大学A kind of industry edge calculations are using data interactive method with OPC UA address space
CN110231990A (en)*2019-05-222019-09-13深圳供电局有限公司Block chain resource optimal allocation method and device based on secondary auction
CN110262845A (en)*2019-04-302019-09-20北京邮电大学The enabled distributed computing task discharging method of block chain and system

Patent Citations (10)

* Cited by examiner, † Cited by third party
Publication numberPriority datePublication dateAssigneeTitle
US20160381116A1 (en)*2014-03-102016-12-29Deutsche Telekom AgMethod and system to estimate user desired delay for resource allocation for mobile-cloud applications
WO2018111475A1 (en)*2016-12-122018-06-21Intel CorporationOffload computing protocol
US20190245917A1 (en)*2018-02-052019-08-08Voxp Pte. Ltd.System, method and device for provision and management of web resource
CN109166036A (en)*2018-07-192019-01-08华北电力大学A kind of V2G energy mechanism of exchange based on block chain and contract theory
CN109460295A (en)*2018-10-192019-03-12中南大学A kind of edge calculations performance optimization method based on multi-user's competitive behavior model
CN109951873A (en)*2019-02-282019-06-28华北电力大学 A task offloading mechanism under information asymmetry and uncertainty in IoT fog computing
CN109947574A (en)*2019-03-292019-06-28南京邮电大学 A vehicle big data computing offloading method based on fog network
CN110262845A (en)*2019-04-302019-09-20北京邮电大学The enabled distributed computing task discharging method of block chain and system
CN110231990A (en)*2019-05-222019-09-13深圳供电局有限公司Block chain resource optimal allocation method and device based on secondary auction
CN110162417A (en)*2019-05-282019-08-23重庆邮电大学A kind of industry edge calculations are using data interactive method with OPC UA address space

Non-Patent Citations (3)

* Cited by examiner, † Cited by third party
Title
XIAOYU QIU: "Online Deep Reinforcement Learning for Computation Offloading in Blockchain-Empowered Mobile Edge Computing", 《IEEE》*
刘梦婷: "超密集网络中基于随机几何理论的性能分析和资源分配研究", 《中国博士学位论文全文数据库信息科技辑》*
刘通: "车联网中基于雾计算的最小化功率开销任务卸载策略", 《中国电子科学研究院学报》*

Cited By (21)

* Cited by examiner, † Cited by third party
Publication numberPriority datePublication dateAssigneeTitle
WO2021217401A1 (en)*2020-04-282021-11-04重庆邮电大学Traffic management method and management apparatus
CN111770148A (en)*2020-06-222020-10-13重庆邮电大学 An optimization method of fog computing offloading model based on blockchain technology
CN111770148B (en)*2020-06-222022-04-29重庆邮电大学Fog calculation unloading model optimization method based on block chain technology
CN111770073A (en)*2020-06-232020-10-13重庆邮电大学 A fog network offloading decision-making and resource allocation method based on blockchain technology
CN111770073B (en)*2020-06-232022-03-25重庆邮电大学Block chain technology-based fog network unloading decision and resource allocation method
CN111800495A (en)*2020-06-302020-10-20华北电力大学 A task offloading system and method in vehicle fog computing
CN111800495B (en)*2020-06-302021-05-11华北电力大学 A task offloading method in vehicle fog computing
CN111885657A (en)*2020-07-092020-11-03成都四相致新科技有限公司Base station communication quality selection and evaluation system and method
CN111866181A (en)*2020-08-102020-10-30重庆邮电大学 A task offloading optimization method in fog network based on blockchain
CN112491964A (en)*2020-11-032021-03-12中国人民解放军国防科技大学Mobile assisted edge calculation method, apparatus, medium, and device
CN112491964B (en)*2020-11-032022-05-31中国人民解放军国防科技大学Mobile assisted edge calculation method, apparatus, medium, and device
CN112714416B (en)*2020-11-302021-12-17中南大学 A Trust-Based Task Offloading Method
CN112714416A (en)*2020-11-302021-04-27中南大学Trust-based task unloading method
CN112769641A (en)*2020-12-242021-05-07电子科技大学长三角研究院(衢州)Block chaining computing power optimization scheduling method for intelligent data processing
CN112839079A (en)*2020-12-302021-05-25华南理工大学 Method and device for offloading body area network tasks based on blockchain and software-defined networks
CN113423091A (en)*2021-05-242021-09-21西安电子科技大学Multidimensional resource intelligent joint optimization method and system of vehicle-mounted computing power network
CN113435938A (en)*2021-07-062021-09-24牡丹江大学Distributed characteristic data selection method in electric power spot market
CN113347277A (en)*2021-07-152021-09-03湘潭大学Unloading distribution method based on task segmentation in edge calculation
CN114418620A (en)*2021-12-292022-04-29东南大学 A distributed cloud fog network resource pricing method for mobile blockchain system
CN114418620B (en)*2021-12-292024-04-26东南大学Distributed cloud and fog network resource pricing method for mobile block chain system
CN115086202A (en)*2022-04-142022-09-20安世亚太科技股份有限公司Time delay analysis method and system based on network digital twin

Also Published As

Publication numberPublication date
CN111010434B (en)2022-05-27

Similar Documents

PublicationPublication DateTitle
CN111010434A (en) An optimized task offloading method based on network delay and resource management
Zhou et al.Reverse auction-based computation offloading and resource allocation in mobile cloud-edge computing
Qiu et al.Applications of auction and mechanism design in edge computing: A survey
Li et al.An online incentive mechanism for collaborative task offloading in mobile edge computing
Ma et al.TCDA: Truthful combinatorial double auctions for mobile edge computing in industrial Internet of Things
Zhou et al.Stackelberg-game-based computation offloading method in cloud–edge computing networks
CN111262940B (en) A kind of vehicle edge computing application caching method, device and system
CN109802998B (en)Game-based fog network cooperative scheduling excitation method and system
Meng et al.Joint optimization of wireless bandwidth and computing resource in cloudlet-based mobile cloud computing environment
Ayepah-Mensah et al.Blockchain-enabled federated learning-based resource allocation and trading for network slicing in 5G
CN112491964A (en)Mobile assisted edge calculation method, apparatus, medium, and device
Cheng et al.Research on task-offloading decision mechanism in mobile edge computing-based Internet of Vehicle
Guo et al.A mobile-assisted edge computing framework for emerging IoT applications
Park et al.Game-based data offloading scheme for IoT system traffic congestion problems
Li et al.Computation offloading and service allocation in mobile edge computing
Sterz et al.Multi-stakeholder service placement via iterative bargaining with incomplete information
Li et al.Resource management framework based on the Stackelberg game in vehicular edge computing
Meng et al.Incentive-driven partial offloading and resource allocation in vehicular edge computing networks
Gong et al.Slicing-based resource optimization in multi-access edge network using ensemble learning aided DDPG algorithm
Hosseinpour et al.Quality-of-experience-aware computation offloading in MEC-enabled blockchain-based IoT networks
Fan et al.Contract theory and stackelberg game based storage resource allocation in edge caching systems
Zang et al.Filling two needs with one deed: Combo pricing plans for computing-intensive multimedia applications
Chen et al.Distributed task offloading game in multiserver mobile edge computing networks
Wu et al.Revenue-driven service provisioning for resource sharing in mobile cloud computing
Liu et al.Collaborative storage for tiered cloud and edge: A perspective of optimizing cost and latency

Legal Events

DateCodeTitleDescription
PB01Publication
PB01Publication
SE01Entry into force of request for substantive examination
SE01Entry into force of request for substantive examination
GR01Patent grant
GR01Patent grant
CF01Termination of patent right due to non-payment of annual fee

Granted publication date:20220527

CF01Termination of patent right due to non-payment of annual fee

[8]ページ先頭

©2009-2025 Movatter.jp