Movatterモバイル変換


[0]ホーム

URL:


CN111007278A - Acceleration measuring method and device based on particle image velocimetry and storage medium - Google Patents

Acceleration measuring method and device based on particle image velocimetry and storage medium
Download PDF

Info

Publication number
CN111007278A
CN111007278ACN201911272149.4ACN201911272149ACN111007278ACN 111007278 ACN111007278 ACN 111007278ACN 201911272149 ACN201911272149 ACN 201911272149ACN 111007278 ACN111007278 ACN 111007278A
Authority
CN
China
Prior art keywords
pulse laser
particle
acceleration
tracer
ccd camera
Prior art date
Legal status (The legal status is an assumption and is not a legal conclusion. Google has not performed a legal analysis and makes no representation as to the accuracy of the status listed.)
Pending
Application number
CN201911272149.4A
Other languages
Chinese (zh)
Inventor
陈植
黄振新
冯黎明
杨可
吴继飞
李寿涛
陈然
孙智伟
郑向金
廖晓林
杨昕鹏
熊贵天
邓吉龙
Current Assignee (The listed assignees may be inaccurate. Google has not performed a legal analysis and makes no representation or warranty as to the accuracy of the list.)
China Aerodynamics Research And Development Center
Original Assignee
China Aerodynamics Research And Development Center
Priority date (The priority date is an assumption and is not a legal conclusion. Google has not performed a legal analysis and makes no representation as to the accuracy of the date listed.)
Filing date
Publication date
Application filed by China Aerodynamics Research And Development CenterfiledCriticalChina Aerodynamics Research And Development Center
Priority to CN201911272149.4ApriorityCriticalpatent/CN111007278A/en
Publication of CN111007278ApublicationCriticalpatent/CN111007278A/en
Pendinglegal-statusCriticalCurrent

Links

Images

Classifications

Landscapes

Abstract

Translated fromChinese

本申请涉及一种基于粒子图像测速的加速度测量方法、装置和存储介质,所述方法包括:向被测流体中发送示踪粒子;发射时间间隔为500ns~50us的四脉冲激光照亮所述示踪粒子,所述四脉冲激光包括第一脉冲激光、第二脉冲激光、第三脉冲激光和第四脉冲激光;获取所述四脉冲激光照亮的示踪粒子图像;基于所述示踪粒子图像获取所述流体的速度与加速度。首先向被测流体中发送示踪粒子,向示踪粒子发射时间间隔为500ns~50us的四脉冲激光照射示踪粒子,再分别获取四个脉冲激光照射的示踪粒子图像,由于四个脉冲激光之间的时间间隔极短,因此,可以通过获取的跨帧图像中的示踪粒子对计算示踪粒子速度及加速度。

Figure 201911272149

The present application relates to an acceleration measurement method, device and storage medium based on particle image velocimetry. The method includes: sending tracer particles into a fluid to be measured; and emitting four-pulse laser light with a time interval of 500ns to 50us to illuminate the display tracking particles, the four-pulse laser includes a first pulse laser, a second pulse laser, a third pulse laser and a fourth pulse laser; acquiring the image of the tracker particle illuminated by the four-pulse laser; based on the image of the tracker particle Obtain the velocity and acceleration of the fluid. First, the tracer particles are sent to the fluid to be tested, and the tracer particles are irradiated by four pulses of laser light with a time interval of 500ns to 50us, and then the tracer particles irradiated by the four pulsed laser images are obtained respectively. The time interval between them is extremely short, so the velocity and acceleration of the tracer particles can be calculated from the tracer particle pairs in the acquired cross-frame images.

Figure 201911272149

Description

Acceleration measuring method and device based on particle image velocimetry and storage medium
Technical Field
The invention relates to a Particle Image Velocimetry (PIV) technology in the technical field of laser velocimetry, in particular to an acceleration measurement method and device based on Particle image velocimetry and a storage medium.
Background
The conventional PIV technology generally adopts a pulse laser and an exposure camera to obtain 2 continuous particle images, the two obtained images are used for calculating the particle speed, a series of data is obtained by controlling the repetition frequency of the process, usually 5Hz to 10Hz, and the final particle speed calculation value is obtained by calculating the average value of a plurality of speeds. The high-frequency PIV technology can also be utilized, namely a high-frequency pulse laser is adopted to be matched with a high-speed camera to obtain a large number of particle images with short time intervals in a short time, and then the two obtained images are utilized to calculate the particle speed.
However, both of the above-mentioned PIV technologies have their own features and limitations: in the first PIV technique, the single pulse power of a double-pulse laser can be generally made to be very large, for example, 350mJ to 1J, and correspondingly, an exposure CCD camera with very high resolution can be selected as a camera, so that a study object with a very large area can be measured, but the frequency and the transmission speed of the camera are limited, and only 5 or 10 pairs of particle images, that is, 5 or 10 velocity fields, can be obtained within 1 second, so that no time correlation exists between two adjacent velocity fields, and therefore, because the time interval between every two velocity fields is too long and reaches more than 0.1 second, no time correlation exists between two adjacent velocity fields, and therefore, the acceleration fields cannot be calculated pairwise from the velocity fields; in the second high-frequency PIV technology, the frequency of a high-frequency pulse laser can reach 1KHz, but the single pulse energy is only 20mJ, and a high-speed camera works under a high frame frequency model, the resolution ratio of the high-frequency pulse laser is constrained by the transmission bandwidth, high-resolution shooting cannot be realized, so that a system cannot acquire particle images with a large area, and the difficulty of post-data processing is improved by a large amount of data obtained in a short time. Moreover, even if the measurement is carried out at a frequency of 1KHz, the time interval between the two velocity fields reaches 1ms, and for high-speed flow, the requirement for solving the time correlation between the acceleration field and each two velocity fields cannot be met.
Disclosure of Invention
In view of the above, it is necessary to provide an acceleration measurement method, an apparatus and a storage medium based on particle image velocimetry capable of automatically acquiring particle acceleration.
One aspect of the present application provides an acceleration measurement method based on particle image velocimetry, including:
sending trace particles into the measured fluid;
emitting four-pulse laser with the time interval of 500 ns-50 us to illuminate the tracing particles, wherein the four-pulse laser comprises first pulse laser, second pulse laser, third pulse laser and fourth pulse laser;
acquiring a four-pulse laser illuminated trace particle image;
and acquiring the speed and the acceleration of the fluid based on the trace particle image.
In the acceleration measurement method based on particle image velocity measurement according to the embodiment, firstly, the trace particles are sent to the measured fluid, the four-pulse laser with the emission time interval of 500 ns-50 us is irradiated to the trace particles, then the trace particle images irradiated by the four pulse lasers are respectively obtained, and the shortest time interval of 200ns can be reached because the time interval between the four pulse lasers is extremely short, so that the trace particle velocity can be calculated through the trace particle pairs in the obtained cross-frame images, the trace particle acceleration is calculated based on the obtained trace particle velocity, and further the acceleration of the measured fluid is obtained.
In one embodiment, the acquiring the velocity and acceleration of the particle based on the trace particle image comprises:
in one embodiment, based on the trace particle image, a cross-correlation algorithm is used to obtain a particle velocity; particle acceleration is obtained based on the particle velocity.
In one embodiment, the obtaining particle acceleration based on the particle velocity includes:
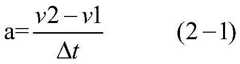
based on two images sequentially acquired by the first CCD camera from the time T0, acquiring the particle velocity v1 by using a cross-correlation algorithm;
based on two images sequentially acquired by the second CCD camera from the time T0+ delta T, acquiring the particle velocity v2 by using a cross-correlation algorithm;
the obtained particle acceleration a is:
Figure BDA0002314488800000031
in one embodiment, the laser pulse width of any four-pulse laser is 6ns-10 ns.
In one embodiment, the acquiring the image of the pulsed laser irradiated tracer particle comprises:
acquiring a first trace particle image irradiated by the first pulse laser through the first exposure of a first CCD camera;
acquiring a second trace particle image irradiated by the second pulse laser through second exposure of the first CCD camera;
acquiring a third tracer particle image irradiated by the third pulse laser through the first exposure of a second CCD camera;
and acquiring a fourth trace particle image irradiated by the fourth pulse laser through second exposure of a second CCD camera.
In one embodiment, the pulse width of any one of the four pulses of laser light is less than the exposure time of the first double-exposure CCD camera or the second double-exposure CCD camera, the first CCD camera and/or the second CCD camera performs exposure shooting in a dark room, or a filter is disposed above the first CCD camera and/or the second CCD camera, the filter is used for filtering out ambient light in a wavelength band except for the pulses of laser light.
In one embodiment, the four-pulse laser with the emission time interval of 500 ns-50 us for illuminating the trace particles comprises:
and the emergent light of the four-pulse laser is combined into one or two beams by a polarization device.
An aspect of the present application provides an acceleration measuring device based on particle image velocimetry, includes:
the tracer particle emission module is used for sending tracer particles to the measured fluid;
the four-pulse laser emission module is used for emitting four-pulse laser to illuminate the tracing particles, and the four-pulse laser comprises first pulse laser, second pulse laser, third pulse laser and fourth pulse laser;
the tracing particle image acquisition module is used for acquiring a tracing particle image illuminated by the four-pulse laser;
and the speed and acceleration acquisition module is used for acquiring the speed and acceleration of the fluid based on the tracer particle image.
In the acceleration measuring device based on particle image velocity measurement according to the above embodiment, first, the trace particles are sent into the measured fluid, the four-pulse laser with the emission time interval of 500 ns-50 us is irradiated onto the trace particles, and then the trace particle images irradiated by the four pulse lasers are respectively obtained.
An aspect of the application provides a computer device comprising a memory, a processor and a computer program stored on the memory and executable on the processor, the processor implementing the steps of any of the methods described in the embodiments of the application when executing the computer program.
Another aspect of the application provides a computer-readable storage medium having stored thereon a computer program which, when executed by a processor, performs the steps of any of the methods described in the embodiments of the application.
In the computer device or the computer-readable storage medium in the above embodiment, first, trace particles are sent into a measured fluid, the trace particles are irradiated by four pulse lasers with a time interval of 500ns to 50us, and then trace particle images irradiated by the four pulse lasers are respectively obtained.
Drawings
In order to more clearly illustrate the technical solutions in the embodiments of the present application, the drawings needed to be used in the description of the embodiments are briefly introduced below, and it is obvious that the drawings in the following description are only some embodiments of the present application, and it is obvious for those skilled in the art to obtain drawings of other embodiments based on these drawings without any creative effort.
Fig. 1 is a schematic view of an application scenario of an acceleration measurement method based on particle image velocimetry in an embodiment of the present application.
Fig. 2 is a schematic flow chart of an acceleration measurement method based on particle image velocimetry in an embodiment of the present application.
Fig. 3 is a schematic structural diagram of a polarization device provided in an embodiment of the present application.
Fig. 4 is a schematic flowchart of an acceleration measurement method based on particle image velocimetry according to another embodiment of the present application.
Fig. 5 is a schematic diagram illustrating the time interval between exposure shooting of a four-pulse laser beam and exposure shooting of a first double-exposure CCD camera and a second double-exposure CCD camera according to an embodiment of the present application.
Fig. 6 is a schematic diagram of an acceleration measurement process based on particle image velocimetry according to an embodiment of the present application.
Fig. 7 is a block diagram of an acceleration measurement apparatus based on particle image velocimetry according to an embodiment of the present application.
Fig. 8 is a schematic diagram of an internal structure of a computer device according to an embodiment of the present application.
Detailed Description
In order to make the objects, technical solutions and advantages of the present application more apparent, the present application is described in further detail below with reference to the accompanying drawings and embodiments. It should be understood that the specific embodiments described herein are merely illustrative of the present application and are not intended to limit the present application.
In an embodiment of the present application, an acceleration measurement method based on particle image velocimetry is provided, which can be applied in the application environment shown in fig. 1. Wherein thefirst terminal 102 communicates with theserver 104 via a network. Specifically, thefirst terminal 102 receives a request instruction input by a user, and thefirst terminal 102 may display a prompt user to input a control instruction to thefirst terminal 102, for example, thefirst terminal 102 may display an input box prompting the user to input a control instruction for sending a trace particle to a fluid to be tested, thefirst terminal 102 may also directly display a button for emitting a trace particle in a display interface, and when the user clicks the button for emitting a trace particle, thefirst terminal 102 may send the control instruction to a trace particle generator connected to thefirst terminal 102, and control the trace particle generator to send the trace particle to the fluid to be tested. The display interface of thefirst terminal 102 may prompt the user to input the four-pulse laser with the controlled emission time interval of 500 ns-50 us and illuminate the trace particles in a manner of an information prompt window or a menu button. The user can control the time interval between the four pulsed laser beams and the exposure time of the photographing camera through the display interface of thefirst terminal 102. Thefirst terminal 102 may obtain the velocity value of the trace particle by using a cross-correlation algorithm or a method of calculating an average value, and since the time interval between the obtained frames of images is extremely short, the acceleration value of the trace particle may be obtained by calculating by dividing the increased velocity value by the elapsed time value of the acceleration.
In the acceleration measurement method based on particle image velocimetry in the above embodiment, after the first terminal, for example, a computer, acquires a control instruction, which is input by a user, for sending the trace particles to the fluid to be measured, the first terminal may control the trace particle generator to send the trace particles to the fluid to be measured. After the first terminal, for example, a computer, obtains a control instruction for emitting four-pulse laser input by a user, the first terminal may control a four-pulse laser to emit four-pulse laser to illuminate a fluid to be measured containing trace particles, where the four-pulse laser includes first, second, third, and fourth pulse lasers. The user can control the time interval between the four pulse lasers to be 500 ns-50 us through the first terminal such as a computer. A user may control a Charge Coupled Device (CCD) camera to capture an image of a trace particle illuminated by four pulse lasers through a first terminal, for example, a computer, and the acquired image of the trace particle includes at least an image of the trace particle illuminated by a first pulse laser, a second pulse laser, a third pulse laser, and a fourth pulse laser. The user can obtain the velocity value of the trace particle through a first terminal, such as a computer, by utilizing a cross-correlation algorithm or a method of calculating an average value, and since the time interval between the obtained frames of images is extremely short, the acceleration value of the trace particle can be obtained through calculation by dividing the increased velocity value by the elapsed time value of the acceleration. Because the four-pulse laser capable of continuously emitting the four pulse lasers is adopted, and the time interval between the four emitted pulse lasers is controllable and short, after the tracing particle velocity value is obtained through the cross-correlation algorithm based on particle image velocity measurement, the tracing particle acceleration value can be obtained by a method of dividing the increased velocity value by the elapsed time value of the acceleration, and the calculation method is simple and has high accuracy. Thefirst terminal 102 may be, but not limited to, various personal computers, notebook computers, smart phones, tablet computers, all-in-one machines, and portable wearable devices, and theserver 104 may be implemented by an independent server or a server cluster formed by a plurality of servers. It should be noted that thefirst terminal 102 in this embodiment communicates with theserver 104 through a network, and control instructions can be sent to the trace particle generator, the four-pulse laser and the CCD camera through the server to measure the velocity value and the acceleration value of the measured fluid.
In an embodiment of the present application, as shown in fig. 2, an acceleration measurement method based on particle image velocimetry is provided, which is described by taking the method as an example applied to the first terminal in fig. 1, and includes the following steps:
step 202, sending trace particles into the measured fluid.
The first terminal can be a terminal with an operable interface, the first terminal interface displays an input window and can also display a webpage, and a user can input data through the input window and can also browse the webpage to acquire data stored locally or on a server connected with the first terminal through a network. The web application may be a browser or other application that can display page content (e.g., industrial control software applications, instant messaging applications, etc.). A menu, a dialog box, a graphic, or the like for inputting a command may be displayed on the web page, and the user may input a user command in the form of clicking an interface such as a menu, a dialog box, or a graphic, or may input data, voice, image information, or the like to the first terminal in the form of inputting characters, voice, fingerprints, or images. For example, a user needs to measure an acceleration value of a measured fluid, the user can input a control instruction for sending a trace particle to the measured fluid through a first terminal, a trace particle generator sends a trace particle to the measured fluid after receiving the control instruction for sending the trace particle, a velocity vector of the sent trace particle in a measured acceleration direction is zero, and a velocity vector of the trace particle in the measured acceleration direction is the same as that of the measured fluid, so that the measured velocity value and the measured acceleration value of the trace particle are equal to the velocity value and the acceleration value of the measured fluid. And then the user can realize that the speed value and the acceleration value of the measured fluid are measured through subsequent control instructions.
And 204, emitting four-pulse laser with the time interval of 500 ns-50 us to illuminate the tracing particles, wherein the four-pulse laser comprises first pulse laser, second pulse laser, third pulse laser and fourth pulse laser.
A user can input a control instruction for sending four-pulse laser with the emission time interval of 500 ns-50 us to a four-pulse laser and illuminating the tracer particles through a first terminal, and the four-pulse laser sends 4 four-pulse laser with the emission time interval of 500 ns-50 us and illuminates the tracer particles after receiving the control instruction. Because each pulse emitted by the four-pulse laser is transient, the pulse width is generally 6-10 ns, and the wavelength is 532 nm. In this embodiment, the pulsed laser may be refracted by the polarizing device into a sheet light to irradiate the measured object, so as to facilitate the CCD camera to capture and acquire the trace particle image.
Specifically, as shown in fig. 3, the polarizing means 60 may include fourinternal polarizers 61, one external polarizer 62, and first and second light-dividingpolarizers 631 and 632. The fourinternal polarizers 61 are respectively arranged on the four pulse lasers and used for polarizing the first pulse laser, the second pulse laser, the third pulse laser and the fourth pulse laser respectively, meanwhile, the first pulse laser, the second pulse laser, the third pulse laser and the fourth pulse laser are refracted to the external polarizer 62, and the pulse lasers can be combined into one combined pulse laser through the polarizers 62. This synthetic pulse laser can refract into two bundles of pulse laser respectively through firstpolarizing mirror 631 and secondpolarizing mirror 632, and then jets into first CCD camera and second CCD camera respectively, consequently, can set up firstpolarizing mirror 631 and secondpolarizing mirror 632 respectively in the outside of first CCD camera and second CCD camera mirror surface. Can be with the emergent light of four pulse laser synthetic one bunch or two bunches throughpolarizing equipment 60 to be applied to different application scenes, be convenient for simultaneously make two CCD cameras that the relative setting of mirror surface can shoot the tracer particle image that four pulse laser once only launched irradiate respectively in this application. In this embodiment the polarization direction of the first internal polarizer and the second internal polarizer may be set to be the same, the polarization direction of the third internal polarizer and said fourth internal polarizer may be set to be the same, the polarization direction of the first internal polarizer or the second internal polarizer may be set to be different from the polarization direction of the third internal polarizer or the fourth internal polarizer, and the polarization directions of the first light-splitting polarizer and the third internal polarizer are different, so that when the first CCD camera shoots the image of the tracer particle irradiated by the second pulse laser, even if the pulse start time of the third pulse laser falls within the exposure shot time of the first CCD camera, because the third pulse laser cannot enter the shooting visual field of the first CCD camera by the combined action of the second internal polarizer and the first light-splitting polarizer, and further, the first CCD camera cannot shoot the trace particle image under the irradiation of the third pulse laser in the secondary exposure shooting process.
And step 206, acquiring the four-pulse laser-illuminated trace particle image.
The user can send the control command of shooing the tracer particle image to the CCD camera through first terminal to can be through the time interval that the exposure of first terminal control CCD camera was shot, make the tracer particle under four pulsed laser irradiations all shot by the CCD camera. In this embodiment, it is preferable that the exposure shooting is performed in a darkroom environment, and the first exposure time of the CCD camera is controlled to be earlier than the start time of the first pulse laser emitted by the four-pulse laser, so that when the pulse laser is not emitted, the image shot by the CCD is black, and when the four-pulse laser emits the pulse laser to illuminate the trace particles, the CCD shoots the full view of the trace particles illuminated by the pulse laser. In other embodiments of the present application, a filter may be disposed above the first CCD camera and/or the second CCD camera, and the filter is configured to filter out ambient light in a wavelength band other than the pulsed laser, so that when the pulsed laser is not emitted, the image captured by the first CCD camera and/or the second CCD camera is black, and when the four-pulse laser emits the pulsed laser to illuminate the trace particle, the CCD captures a full view of the trace particle illuminated by the pulsed laser. The user obtains the complete picture of the tracer particles under the irradiation of four pulse lasers emitted by the four pulse lasers through the first terminal control CCD camera, at least 3 velocity fields are obtained by utilizing a cross-correlation algorithm based on the obtained tracer particle images, and the time interval between every two velocity fields is extremely short, so that at least 2 acceleration fields can be obtained by the 3 velocity fields, and the user can measure the velocity value and the acceleration value of the fluid to be measured through subsequent control instructions.
And step 208, acquiring the speed and the acceleration of the fluid based on the trace particle image.
Specifically, after the user obtains the velocity value of the trace particle through the cross-correlation algorithm based on particle image velocity measurement, the acceleration value of the trace particle can be obtained by dividing the increased velocity value by the elapsed time value of acceleration completion, and the calculation method is simple and high in precision.
In an embodiment of the present application, an acceleration measurement method based on particle image velocimetry is provided, as shown in fig. 4, which is different from the embodiment shown in fig. 2 in that the acquiring the velocity and the acceleration of the fluid based on the trace particle image includes:
step 2081: and acquiring the particle speed by adopting a cross-correlation algorithm based on the tracer particle image.
Specifically, the user may send a control instruction for shooting a trace particle image to the CCD camera through the first terminal, and the CCD camera may be a double-exposure CCD camera for continuously exposing two images at a time. As shown in fig. 5, a first trace particle image 411 under irradiation of a first pulse laser is captured by a first CCD camera starting an exposure at time t1, wherein the first pulse laser starts emitting at time t 2; under the irradiation of second pulse laser acquired by secondary exposure shooting of the first CCD cameraWherein the second pulsed laser begins emitting at time t 3. A thirdtrace particle image 421 under irradiation of a third pulse laser is captured by a second CCD camera starting an exposure at a time t4, wherein the third pulse laser starts emitting at a time t 5; and a fourthtrace particle image 422 under irradiation of a fourth pulse laser acquired by the second CCD camera through the second exposure shooting, wherein the fourth pulse laser starts emitting at time t 6. The pair of trace particles acquired at the beginning of the photographing at time t2 in the first trace particle image 411 is denoted as S1, and the pair of trace particles acquired at the beginning of the photographing at time t3 in the secondtrace particle image 412 is denoted as S2. The pair of trace particles acquired at the beginning of the photographing at the time t5 in the thirdtrace particle image 421 is denoted as S3, and the pair of trace particles acquired at the beginning of the photographing at the time t6 in the fourthtrace particle image 422 is denoted as S4. Matching the S1 and the image in the S2, displaying each tracer particle in the image in the S1 in gray scale intensity, and finding the tracer particle corresponding to the image in the S1 in the S2 by adopting a single-pixel ensemble cross-correlation method for matching, wherein the specific method is as follows: in the tracing particle cross-frame image pair, the coordinates of the pixel point in the tracing particle cross-frame image in S1 are (i, j), and the coordinates of the pixel point in the corresponding pixel point neighborhood distance coordinate (Δ r, Δ S) in S2 are (i + Δ r, j + Δ S), so that all N are NfThe ensemble-dependent function of the pair of trace particle-across-frame images is formulated as:
Figure BDA0002314488800000111
in the formula (1-1),
Figure BDA0002314488800000112
and
Figure BDA0002314488800000113
the gray values of the pixel points of the image in the S1 and the image in the S2 in the nth tracer particle cross-frame image pair are respectively set;
Figure BDA0002314488800000114
and
Figure BDA0002314488800000115
is NfThe gray intensity ensemble average of the image pixels in the S1 and the image pixels in the S2 in each tracing particle frame-spanning image pair, wherein the standard deviation of the sigma representing the gray intensity is as follows:
Figure BDA0002314488800000116
to obtain NfAfter the ensemble correlation function of the trace particle cross-frame image pair, finding the ensemble correlation function R by utilizing a cross-correlation algorithmΔr,ΔsAnd (i, j) obtaining the displacement of the tracer particles between S1 and S2, and finally obtaining the movement speed v1 of the tracer particles. Since each pulse emitted by the four-pulse laser is transient, the pulse width is generally 6ns-10ns, the wavelength is 532nm, the exposure time of the first image of the double-exposure CCD camera is 1us-1ms, and the exposure time of the second image of the double-exposure CCD camera is 30ms, as shown in fig. 5, the values of t5-t3 or t6-t5 are small, and therefore, when Δ t is one of t5-t3 or t6-t5, the velocities v1, v2 and v3 obtained from the tracer particles in S1, S2, S3 and S4 can be utilized.
Step 2082: particle acceleration is obtained based on the particle velocity.
As shown in fig. 6, the moving velocity v2 of the tracer particle is obtained from the displacement between S2 and S3, and the moving velocity v3 of the tracer particle is obtained from the displacement between S3 and S4, in the same calculation manner as v 1. The acceleration a in this time is obtained from the following expression (2-1), where Δ t is the time at which the acceleration is completed. Noting that the trace particle acceleration between v1 and v2 is a1 and the trace particle acceleration between v2 and v3 is a2, then:
Figure BDA0002314488800000121
Figure BDA0002314488800000122
Figure BDA0002314488800000123
Figure BDA0002314488800000124
in the acceleration measurement method based on particle image velocity measurement according to the embodiment, first, the trace particles are sent into the measured fluid, the four-pulse laser with the emission time interval of 500 ns-50 us is irradiated to the trace particles, and then the trace particle images irradiated by the four pulse lasers are respectively obtained.
It should be understood that, although the steps in the flowcharts of fig. 2 or 4 are shown in sequence as indicated by the arrows, the steps are not necessarily performed in sequence as indicated by the arrows. The steps are not performed in the exact order shown and described, and may be performed in other orders, unless explicitly stated otherwise. Moreover, at least some of the steps in fig. 2 or fig. 4 may include multiple sub-steps or multiple stages, which are not necessarily performed at the same time, but may be performed at different times, which are not necessarily performed in sequence, but may be performed in turn or alternately with other steps or at least some of the sub-steps or stages of other steps.
In an embodiment of the present application, as shown in fig. 7, there is provided an acceleration measurement apparatus based on particle image velocimetry, including: a traceparticle emitting module 20, a four-pulselaser emitting module 40, a trace particleimage obtaining module 60, and a velocity andacceleration obtaining module 80, wherein:
a traceparticle emitting module 20, configured to send trace particles into the measured fluid;
a four-pulselaser emitting module 40, which emits four-pulse laser with a time interval of 500 ns-50 us to illuminate the trace particles, wherein the four-pulse laser comprises first pulse laser, second pulse laser, third pulse laser and fourth pulse laser;
a trace particleimage acquisition module 60 for acquiring an image of the trace particle illuminated by the four-pulse laser;
a velocity andacceleration acquisition module 80 for acquiring the velocity and acceleration of the fluid based on the trace particle images.
Specifically, in the acceleration measuring device based on particle image velocimetry in the above embodiment, firstly, the trace particles are emitted by the traceparticle emitting module 20 toward the direction perpendicular to the shooting direction of the trace particleimage obtaining module 60. The trace particleimage acquisition module 60 may comprise a first CCD camera and a second CCD camera. The first CCD camera and the second CCD camera are preferably double-exposure CCD cameras. In this embodiment, the normal of the first CCD camera mirror is set to coincide with the normal of the second CCD camera mirror, so that the traceparticle emission module 20 shoots towards the direction perpendicular to the normal to acquire a trace particle picture. Meanwhile, the tracerparticle emission module 20 is arranged to emit tracer particles in the direction perpendicular to the direction of the measured airflow, so that the emitted tracer particles follow the measured airflow, and the speed of the tracer particles in the direction of following the measured fluid is ensured to be the same as the fluid speed. Then, four times of exposure shooting is carried out by controlling the trace particleimage acquisition module 60, and the first exposure starting time of the trace particleimage acquisition module 60 is controlled to be positioned before the starting time of the first pulse laser emitted by the four-pulselaser emission module 40; controlling the second exposure starting time of the trace particleimage obtaining module 60 to be before the starting time of the second pulse laser emitted by the four-pulselaser emitting module 40; controlling the third exposure starting time of the trace particleimage obtaining module 60 to be before the starting time of the third pulse laser emitted by the four-pulselaser emitting module 40; the fourth exposure start time of the trace particleimage acquisition module 60 is controlled to be before the start time of the fourth pulse laser emitted by the four-pulselaser emission module 40. And simultaneously controlling the four-pulselaser emitting module 40 to emit four pulse laser beams once in the direction perpendicular to the flow direction of the measured fluid for illuminating the trace particles, so that the trace particleimage acquiring module 60 respectively shoots trace particle images under the irradiation of the first pulse laser, the second pulse laser, the third pulse laser and the fourth pulse laser. Since the time interval between the two acquired trace particle images adjacent to each other before and after is determined and extremely short, three trace particle velocity fields can be acquired based on the four acquired trace particle images. Since the time interval of the laser pulses is determined and extremely short, two tracer particle acceleration fields, and thus the acceleration value of the fluid under test, can be acquired based on the acquired three tracer particle velocity fields.
Specifically, in the acceleration measuring device based on particle image velocimetry in the above embodiment, the CCD camera may be a double-exposure CCD camera for continuously exposing two images at a time. As shown in fig. 5, a first trace particle image 411 under irradiation of a first pulse laser is captured by a first CCD camera starting an exposure at time t1, wherein the first pulse laser starts emitting at time t 2; and a secondtrace particle image 412 under irradiation of a second pulse laser is obtained by the second exposure shot of the first CCD camera, wherein the second pulse laser starts to emit at time t 3. A thirdtrace particle image 421 under irradiation of a third pulse laser is captured by a second CCD camera starting an exposure at a time t4, wherein the third pulse laser starts emitting at a time t 5; and a fourthtrace particle image 422 under irradiation of a fourth pulse laser acquired by the second CCD camera through the second exposure shooting, wherein the fourth pulse laser starts emitting at time t 6. The pair of trace particles acquired at the beginning of the photographing at time t2 in the first trace particle image 411 is denoted as S1, and the pair of trace particles acquired at the beginning of the photographing at time t3 in the secondtrace particle image 412 is denoted as S2. The pair of trace particles acquired at the beginning of the photographing at the time t5 in the thirdtrace particle image 421 is denoted as S3, and the pair of trace particles acquired at the beginning of the photographing at the time t6 in the fourthtrace particle image 422 is denoted as S4. S1 is matched with the image in S2, each tracer particle in the image in S1 is displayed in gray scale intensity, and the tracer particle corresponding to the image in S1 is found in S2 by adopting a single-pixel ensemble cross-correlation methodThe matching method comprises the following specific steps: in the tracing particle cross-frame image pair, the coordinates of the pixel point in the tracing particle cross-frame image in S1 are (i, j), and the coordinates of the pixel point in the corresponding pixel point neighborhood distance coordinate (Δ r, Δ S) in S2 are (i + Δ r, j + Δ S), so that all N are NfThe ensemble-dependent function of the pair of trace particle-across-frame images is formulated as:
Figure BDA0002314488800000151
in the formula (1-1),
Figure BDA0002314488800000152
and
Figure BDA0002314488800000153
the gray values of the pixel points of the image in the S1 and the image in the S2 in the nth tracer particle cross-frame image pair are respectively set;
Figure BDA0002314488800000154
and
Figure BDA0002314488800000155
is NfThe gray intensity ensemble average of the image pixels in the S1 and the image pixels in the S2 in each tracing particle frame-spanning image pair, wherein the standard deviation of the sigma representing the gray intensity is as follows:
Figure BDA0002314488800000156
to obtain NfAfter the ensemble correlation function of the trace particle cross-frame image pair, finding the ensemble correlation function R by utilizing a cross-correlation algorithmΔr,ΔsAnd (i, j) obtaining the displacement of the tracer particles between S1 and S2, and finally obtaining the movement speed v1 of the tracer particles. Since each pulse emitted by the four-pulse laser is transient, the pulse width is typically 6ns-10ns, the wavelength is 532nm, the exposure time of the first image of the double-exposure CCD camera is 1us-1ms, and the exposure time of the second image of the double-exposure CCD camera is 30ms, as shown in fig. 5,the values of t5-t3 or t6-t5 are both small, so when Δ t is one of t5-t3 or t6-t5, the velocities v1, v2 and v3 obtained from the tracer particles in S1, S2, S3 and S4 can be used. As shown in fig. 6, the moving velocity v2 of the tracer particle is obtained from the displacement between S2 and S3, and the moving velocity v3 of the tracer particle is obtained from the displacement between S3 and S4, in the same calculation manner as v 1. The acceleration a in this time is obtained from the following expression (2-1), where Δ t is the time at which the acceleration is completed. Noting that the trace particle acceleration between v1 and v2 is a1 and the trace particle acceleration between v2 and v3 is a2, then:
Figure BDA0002314488800000161
Figure BDA0002314488800000162
Figure BDA0002314488800000163
Figure BDA0002314488800000164
in the acceleration measurement method based on particle image velocity measurement according to the embodiment, first, the trace particles are sent into the measured fluid, the four-pulse laser with the emission time interval of 500 ns-50 us is irradiated to the trace particles, and then the trace particle images irradiated by the four pulse lasers are respectively obtained.
For specific limitations of the acceleration measurement device based on particle image velocimetry, reference may be made to the above limitations of the acceleration measurement method based on particle image velocimetry, which are not described herein again. All or part of the modules in the acceleration measuring device based on particle image velocimetry can be realized by software, hardware and the combination thereof. The modules can be embedded in a hardware form or independent from a processor in the computer device, and can also be stored in a memory in the computer device in a software form, so that the processor can call and execute operations corresponding to the modules.
In one embodiment of the present application, a computer device is provided, and the computer device may be a terminal, and the internal structure diagram thereof may be as shown in fig. 8. The computer device includes a processor, a memory, a network interface, a display screen, and an input device connected by a system bus. Wherein the processor of the computer device is configured to provide computing and control capabilities. The memory of the computer device comprises a nonvolatile storage medium and an internal memory. The non-volatile storage medium stores an operating system and a computer program. The internal memory provides an environment for the operation of an operating system and computer programs in the non-volatile storage medium. The network interface of the computer device is used for communicating with an external terminal through a network connection. The computer program is executed by a processor to implement an acceleration measurement method based on particle image velocimetry. The display screen of the computer equipment can be a liquid crystal display screen or an electronic ink display screen, and the input device of the computer equipment can be a touch layer covered on the display screen, a key, a track ball or a touch pad arranged on the shell of the computer equipment, an external keyboard, a touch pad or a mouse and the like.
Those skilled in the art will appreciate that the architecture shown in fig. 8 is merely a block diagram of some of the structures associated with the disclosed aspects and is not intended to limit the computing devices to which the disclosed aspects apply, as particular computing devices may include more or less components than those shown, or may combine certain components, or have a different arrangement of components.
In one embodiment of the present application, there is provided a computer device comprising a memory, a processor and a computer program stored on the memory and executable on the processor, the processor implementing the following steps when executing the computer program:
sending trace particles into the measured fluid;
emitting four-pulse laser with the time interval of 500 ns-50 us to illuminate the tracing particles, wherein the four-pulse laser comprises first pulse laser, second pulse laser, third pulse laser and fourth pulse laser;
acquiring a four-pulse laser illuminated trace particle image;
and acquiring the speed and the acceleration of the fluid based on the trace particle image.
In one embodiment of the application, the processor when executing the computer program further performs the steps of:
sending trace particles into the measured fluid;
emitting four-pulse laser with the time interval of 500 ns-50 us to illuminate the tracing particles, wherein the four-pulse laser comprises first pulse laser, second pulse laser, third pulse laser and fourth pulse laser;
acquiring a four-pulse laser illuminated trace particle image;
based on the tracer particle image, acquiring the particle speed by adopting a cross-correlation algorithm;
particle acceleration is obtained based on the particle velocity.
In one embodiment of the application, the processor when executing the computer program further performs the steps of:
sending trace particles into the measured fluid;
emitting four-pulse laser with the time interval of 500 ns-50 us to illuminate the tracing particles, wherein the four-pulse laser comprises first pulse laser, second pulse laser, third pulse laser and fourth pulse laser;
acquiring a four-pulse laser illuminated trace particle image;
based on two images sequentially acquired by the first CCD camera from the time T0, acquiring the particle velocity v1 by using a cross-correlation algorithm;
based on two images sequentially acquired by the second CCD camera from the time T0+ delta T, acquiring the particle velocity v2 by using a cross-correlation algorithm;
obtained byThe particle acceleration a is:
Figure BDA0002314488800000181
in an embodiment of the application, a computer-readable storage medium is provided, on which a computer program is stored, which computer program, when being executed by a processor, carries out the steps of:
sending trace particles into the measured fluid;
emitting four-pulse laser with the time interval of 500 ns-50 us to illuminate the tracing particles, wherein the four-pulse laser comprises first pulse laser, second pulse laser, third pulse laser and fourth pulse laser;
acquiring a four-pulse laser illuminated trace particle image;
and acquiring the speed and the acceleration of the fluid based on the trace particle image.
In one embodiment of the application, the computer program when executed by the processor further performs the steps of:
sending trace particles into the measured fluid;
emitting four-pulse laser with the time interval of 500 ns-50 us to illuminate the tracing particles, wherein the four-pulse laser comprises first pulse laser, second pulse laser, third pulse laser and fourth pulse laser;
acquiring a four-pulse laser illuminated trace particle image;
based on the tracer particle image, acquiring the particle speed by adopting a cross-correlation algorithm;
particle acceleration is obtained based on the particle velocity.
In one embodiment of the application, the computer program when executed by the processor further performs the steps of:
sending trace particles into the measured fluid;
emitting four-pulse laser with the time interval of 500 ns-50 us to illuminate the tracing particles, wherein the four-pulse laser comprises first pulse laser, second pulse laser, third pulse laser and fourth pulse laser;
acquiring a four-pulse laser illuminated trace particle image;
based on two images sequentially acquired by the first CCD camera from the time T0, acquiring the particle velocity v1 by using a cross-correlation algorithm;
based on two images sequentially acquired by the second CCD camera from the time T0+ delta T, acquiring the particle velocity v2 by using a cross-correlation algorithm;
the obtained particle acceleration a is:
Figure BDA0002314488800000191
it will be understood by those skilled in the art that all or part of the processes of the methods of the embodiments described above can be implemented by hardware instructions of a computer program, which can be stored in a non-volatile computer-readable storage medium, and when executed, can include the processes of the embodiments of the methods described above. Any reference to memory, storage, database, or other medium used in the embodiments provided herein may include non-volatile and/or volatile memory, among others. Non-volatile memory can include read-only memory (ROM), Programmable ROM (PROM), Electrically Programmable ROM (EPROM), Electrically Erasable Programmable ROM (EEPROM), or flash memory. Volatile memory can include Random Access Memory (RAM) or external cache memory. By way of illustration and not limitation, RAM is available in a variety of forms such as Static RAM (SRAM), Dynamic RAM (DRAM), Synchronous DRAM (SDRAM), Double Data Rate SDRAM (DDRSDRAM), Enhanced SDRAM (ESDRAM), Synchronous Link DRAM (SLDRAM), Rambus Direct RAM (RDRAM), direct bus dynamic RAM (DRDRAM), and memory bus dynamic RAM (RDRAM).
The technical features of the above embodiments can be arbitrarily combined, and for the sake of brevity, all possible combinations of the technical features in the above embodiments are not described, but should be considered as the scope of the present specification as long as there is no contradiction between the combinations of the technical features.
The above-mentioned embodiments only express several embodiments of the present application, and the description thereof is more specific and detailed, but not construed as limiting the scope of the invention. It should be noted that, for a person skilled in the art, several variations and modifications can be made without departing from the concept of the present application, which falls within the scope of protection of the present application. Therefore, the protection scope of the present patent shall be subject to the appended claims.

Claims (10)

Translated fromChinese
1.一种基于粒子图像测速的加速度测量方法,其特征在于,包括:1. an acceleration measurement method based on particle image velocity measurement, is characterized in that, comprises:向被测流体中发送示踪粒子;Send tracer particles into the measured fluid;发射时间间隔为500ns~50us的四脉冲激光照亮所述示踪粒子,所述四脉冲激光包括第一脉冲激光、第二脉冲激光、第三脉冲激光和第四脉冲激光;The tracer particles are illuminated by a four-pulse laser with an emission time interval of 500ns˜50us, and the four-pulse laser includes a first pulse laser, a second pulse laser, a third pulse laser and a fourth pulse laser;获取所述四脉冲激光照亮的示踪粒子图像;acquiring an image of the tracer particles illuminated by the four-pulse laser;基于所述示踪粒子图像获取所述流体的速度与加速度。The velocity and acceleration of the fluid are obtained based on the tracer particle image.2.根据权利要求1所述的方法,其特征在于,所述基于所述示踪粒子图像获取粒子的速度与加速度包括:2 . The method according to claim 1 , wherein the acquiring the velocity and acceleration of the particle based on the tracer particle image comprises: 2 .基于所述示踪粒子图像,采用互相关算法获取粒子速度;Based on the tracer particle image, a cross-correlation algorithm is used to obtain the particle velocity;基于所述粒子速度获取粒子加速度。The particle acceleration is obtained based on the particle velocity.3.根据权利要求2所述的方法,其特征在于,所述基于所述粒子速度获取粒子加速度包括:3. The method according to claim 2, wherein the obtaining the particle acceleration based on the particle velocity comprises:基于第一CCD相机从T0时刻开始依次获取的两幅图像,利用互相关算法获取粒子速度v1;Based on the two images sequentially obtained by the first CCD camera from time T0, the particle velocity v1 is obtained by using a cross-correlation algorithm;基于第二CCD相机从T0+Δt时刻开始依次获取的两幅图像,利用互相关算法获取粒子速度v2;Based on the two images sequentially acquired by the second CCD camera from time T0+Δt, the particle velocity v2 is obtained by using a cross-correlation algorithm;获取的粒子加速度a为:
Figure FDA0002314488790000011
The obtained particle acceleration a is:
Figure FDA0002314488790000011
4.根据权利要求1-3中任一项中所述的方法,其特征在于,任一所述四脉冲激光的脉冲宽度为6ns-10ns。4. The method according to any one of claims 1-3, wherein the pulse width of any one of the four-pulse lasers is 6ns-10ns.5.根据权利要求1-3中任一项中所述的方法,其特征在于,所述获取所述脉冲激光照射的示踪粒子的图像包括:5. The method according to any one of claims 1-3, wherein the acquiring an image of the tracer particles irradiated by the pulsed laser comprises:通过第一CCD相机的首次曝光获取所述第一脉冲激光照射的第一示踪粒子图像;Obtain the first tracer particle image irradiated by the first pulsed laser through the first exposure of the first CCD camera;通过第一CCD相机的第二次曝光获取所述第二脉冲激光照射的第二示踪粒子图像;Obtain the second tracer particle image irradiated by the second pulsed laser through the second exposure of the first CCD camera;通过第二CCD相机的首次曝光获取所述第三脉冲激光照射的第三示踪粒子图像;Obtain the third tracer particle image irradiated by the third pulsed laser through the first exposure of the second CCD camera;通过第二CCD相机的第二次曝光获取所述第四脉冲激光照射的第四示踪粒子图像。The fourth tracer particle image irradiated by the fourth pulsed laser is acquired through the second exposure of the second CCD camera.6.根据权利要求5所述的方法,其特征在于,任一所述四脉冲激光的激光脉冲宽度小于所述第一CCD相机或所述第二CCD相机的曝光时间,所述第一CCD相机和/或所述第二CCD相机在暗室中进行曝光拍摄,或在所述第一CCD相机和/或所述第二CCD相机的上方设置滤镜,所述滤镜用于滤出除脉冲激光以外波段的环境光。6 . The method according to claim 5 , wherein the laser pulse width of any one of the four-pulse lasers is smaller than the exposure time of the first CCD camera or the second CCD camera, and the first CCD camera And/or the second CCD camera performs exposure shooting in a dark room, or a filter is set above the first CCD camera and/or the second CCD camera, the filter is used to filter out the pulsed laser Ambient light outside the band.7.根据权利要求1-3中任一项中所述的方法,其特征在于,所述发射时间间隔为500ns~50us的四脉冲激光照亮所述示踪粒子包括:7. The method according to any one of claims 1-3, wherein the illuminating the tracer particles with a four-pulse laser with an emission time interval of 500ns˜50us comprises:通过偏振装置将所述四脉冲激光器的出射光合成一束或两束。The outgoing light of the four-pulse laser is combined into one or two beams by a polarizing device.8.一种基于粒子图像测速的加速度测量装置,其特征在于,包括:8. An acceleration measuring device based on particle image velocity measurement, characterized in that, comprising:示踪粒子发射模块,用于向被测流体中发送示踪粒子;The tracer particle emission module is used to send tracer particles into the measured fluid;四脉冲激光发射模块,用于发射四脉冲激光照亮所述示踪粒子,所述四脉冲激光包括第一脉冲激光、第二脉冲激光、第三脉冲激光和第四脉冲激光;A four-pulse laser emission module is used to emit four-pulse laser light to illuminate the tracer particles, and the four-pulse laser light includes a first pulse laser, a second pulse laser, a third pulse laser and a fourth pulse laser;示踪粒子图像获取模块,用于获取所述四脉冲激光照亮的示踪粒子图像;a tracer particle image acquisition module, configured to acquire the tracer particle image illuminated by the four-pulse laser;速度与加速度获取模块,用于基于所述示踪粒子图像获取所述流体的速度与加速度。A velocity and acceleration acquisition module, configured to acquire the velocity and acceleration of the fluid based on the tracer particle image.9.一种计算机设备,包括存储器、处理器及存储在存储器上并可在处理器上运行的计算机程序,其特征在于,所述处理器执行所述计算机程序时实现权利要求1至7中任一项所述方法的步骤。9. A computer device comprising a memory, a processor and a computer program stored on the memory and running on the processor, wherein the processor implements any one of claims 1 to 7 when the processor executes the computer program. A step of the method.10.一种计算机可读存储介质,其上存储有计算机程序,其特征在于,所述计算机程序被处理器执行时实现权利要求1至7中任一项所述的方法的步骤。10. A computer-readable storage medium on which a computer program is stored, characterized in that, when the computer program is executed by a processor, the steps of the method according to any one of claims 1 to 7 are implemented.
CN201911272149.4A2019-12-122019-12-12Acceleration measuring method and device based on particle image velocimetry and storage mediumPendingCN111007278A (en)

Priority Applications (1)

Application NumberPriority DateFiling DateTitle
CN201911272149.4ACN111007278A (en)2019-12-122019-12-12Acceleration measuring method and device based on particle image velocimetry and storage medium

Applications Claiming Priority (1)

Application NumberPriority DateFiling DateTitle
CN201911272149.4ACN111007278A (en)2019-12-122019-12-12Acceleration measuring method and device based on particle image velocimetry and storage medium

Publications (1)

Publication NumberPublication Date
CN111007278Atrue CN111007278A (en)2020-04-14

Family

ID=70115462

Family Applications (1)

Application NumberTitlePriority DateFiling Date
CN201911272149.4APendingCN111007278A (en)2019-12-122019-12-12Acceleration measuring method and device based on particle image velocimetry and storage medium

Country Status (1)

CountryLink
CN (1)CN111007278A (en)

Cited By (2)

* Cited by examiner, † Cited by third party
Publication numberPriority datePublication dateAssigneeTitle
WO2022017501A1 (en)*2020-07-242022-01-27International Business Machines CorporationEvaluation of flow properties in physical media
CN119902473A (en)*2025-03-252025-04-29中国空气动力研究与发展中心高速空气动力研究所 Control system and method for low temperature environment PIV clean particle generation and transmission system

Citations (15)

* Cited by examiner, † Cited by third party
Publication numberPriority datePublication dateAssigneeTitle
CN2606895Y (en)*2003-03-192004-03-17申功炘Digital particle image velocity measurement system
CN1563925A (en)*2004-03-232005-01-12天津大学Whole field optical measuring method for high speed complex flow field, and its measurer
CN1588092A (en)*2004-08-182005-03-02浙江大学Micro velocity measuring system of micro flow field particle image
CN1912630A (en)*2005-08-112007-02-14北京航空航天大学Triplanar visual particle image speed measuring system
CN201037868Y (en)*2007-03-132008-03-19魏润杰High speed particle image speed measuring device
CN101295024A (en)*2007-04-292008-10-29同济大学 A method for measuring particle size
CN102798512A (en)*2012-06-252012-11-28上海理工大学Three-dimensional flow field image measurement device and method adopting single lens
CN102853918A (en)*2012-08-242013-01-02中国人民解放军国防科学技术大学Pneumatic optical wavefront ultra-high frequency measurement system and method
CN103308715A (en)*2013-06-202013-09-18南京昊控软件技术有限公司Low power consumption particle picture velocity measurement system based on bicolor laser scanning technique
CN103698554A (en)*2013-12-172014-04-02华中科技大学Flow field real-time precise measuring system and method
CN104808012A (en)*2015-05-152015-07-29北京航空航天大学 A three-dimensional velocity-pressure coupling measurement method and system
CN105807093A (en)*2016-04-182016-07-27北京航空航天大学Acceleration measurement method and device based on particle image velocimetry technology
CN107015022A (en)*2017-06-142017-08-04西华大学Particle image velocimetry device and particle image testing method
CN108896783A (en)*2018-05-142018-11-27中国人民解放军战略支援部队航天工程大学A kind of particle image velocimetry device, method and system
CN109307809A (en)*2018-08-292019-02-05华中科技大学 A kind of electric field measurement device and method using particle image velocity measurement

Patent Citations (15)

* Cited by examiner, † Cited by third party
Publication numberPriority datePublication dateAssigneeTitle
CN2606895Y (en)*2003-03-192004-03-17申功炘Digital particle image velocity measurement system
CN1563925A (en)*2004-03-232005-01-12天津大学Whole field optical measuring method for high speed complex flow field, and its measurer
CN1588092A (en)*2004-08-182005-03-02浙江大学Micro velocity measuring system of micro flow field particle image
CN1912630A (en)*2005-08-112007-02-14北京航空航天大学Triplanar visual particle image speed measuring system
CN201037868Y (en)*2007-03-132008-03-19魏润杰High speed particle image speed measuring device
CN101295024A (en)*2007-04-292008-10-29同济大学 A method for measuring particle size
CN102798512A (en)*2012-06-252012-11-28上海理工大学Three-dimensional flow field image measurement device and method adopting single lens
CN102853918A (en)*2012-08-242013-01-02中国人民解放军国防科学技术大学Pneumatic optical wavefront ultra-high frequency measurement system and method
CN103308715A (en)*2013-06-202013-09-18南京昊控软件技术有限公司Low power consumption particle picture velocity measurement system based on bicolor laser scanning technique
CN103698554A (en)*2013-12-172014-04-02华中科技大学Flow field real-time precise measuring system and method
CN104808012A (en)*2015-05-152015-07-29北京航空航天大学 A three-dimensional velocity-pressure coupling measurement method and system
CN105807093A (en)*2016-04-182016-07-27北京航空航天大学Acceleration measurement method and device based on particle image velocimetry technology
CN107015022A (en)*2017-06-142017-08-04西华大学Particle image velocimetry device and particle image testing method
CN108896783A (en)*2018-05-142018-11-27中国人民解放军战略支援部队航天工程大学A kind of particle image velocimetry device, method and system
CN109307809A (en)*2018-08-292019-02-05华中科技大学 A kind of electric field measurement device and method using particle image velocity measurement

Cited By (3)

* Cited by examiner, † Cited by third party
Publication numberPriority datePublication dateAssigneeTitle
WO2022017501A1 (en)*2020-07-242022-01-27International Business Machines CorporationEvaluation of flow properties in physical media
US12013271B2 (en)2020-07-242024-06-18International Business Machines CorporationEvaluation of flow properties in physical media
CN119902473A (en)*2025-03-252025-04-29中国空气动力研究与发展中心高速空气动力研究所 Control system and method for low temperature environment PIV clean particle generation and transmission system

Similar Documents

PublicationPublication DateTitle
Chin et al.Star tracking using an event camera
CN103063143B (en)Measuring method based on image recognition and system thereof
JP6587185B2 (en) Distance image generating apparatus and distance image generating method
Haessig et al.A spiking neural network model of depth from defocus for event-based neuromorphic vision
CN104089697B (en)Real-time online visual vibration measurement method based on thread pool concurrent technology
CN118176739A (en) Multi-sensor super-resolution scanning and acquisition system
CN106257910B (en) Image processing apparatus, image processing method, and recording medium
CN111007278A (en)Acceleration measuring method and device based on particle image velocimetry and storage medium
Rudoler et al.Image resolution limits resulting from mechanical vibrations
Dorn et al.Efficient full-field vibration measurements and operational modal analysis using neuromorphic event-based imaging
CN112414400B (en) An information processing method, device, electronic device and storage medium
Shiba et al.Event-based background-oriented schlieren
CN104990514A (en)Data processing apparatus and method for dynamic Fourier transform profilometry
US20230099872A1 (en)Image correlation for end-to-end displacement and strain measurement
Zappa et al.Digital image correlation technique in dynamic applications on deformable targets
CN109151419A (en)A kind of single pixel imaging method based on Radon transform
Zhu et al.High-speed deformation measurement with event-based cameras
US20250076036A1 (en)Three-Dimensional Information Measurement Apparatus, Measurement Method, and Electronic Device
JP7024405B2 (en) Information processing equipment, programs and information processing methods
CN110430406A (en)Depth image generation method, device, equipment and computer readable storage medium
CN110958447B (en)Camera optical center testing method and device, computer equipment and medium
RU2649420C2 (en)Method of remote measurement of moving objects
CN110850114A (en)Acceleration measuring device based on particle image velocimetry
CN113706582B (en)Speed and speed field measuring method, system, equipment, device and storage medium
JP3512894B2 (en) Relative moving amount calculating apparatus and relative moving amount calculating method

Legal Events

DateCodeTitleDescription
PB01Publication
PB01Publication
SE01Entry into force of request for substantive examination
SE01Entry into force of request for substantive examination
RJ01Rejection of invention patent application after publication
RJ01Rejection of invention patent application after publication

Application publication date:20200414


[8]ページ先頭

©2009-2025 Movatter.jp